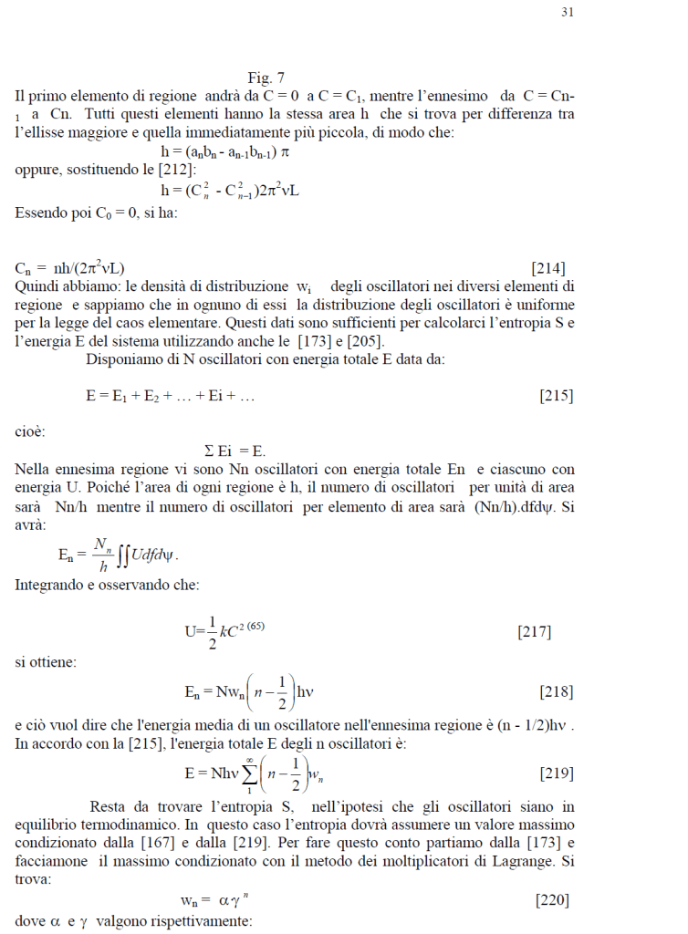
LA FISICA AGLI INIZI DEL NOVECENTO 1: LA NASCITA DELLA TEORIA DEI “QUANTI” By robertorenzetti44 on 15 giugno 2023 • ( 0 ) Roberto Renzetti LA NASCITA DELLA TEORIA DEI “QUANTI” Condividi: Condividi su X (Si apre in una nuova finestra) X Condividi su Facebook (Si apre in una nuova finestra) Facebook Mi piace Caricamento...‹ LA CATTEDRA DI FISICA SACRALA CACCIATA DI LAMA DALL’UNIVERSITA’ DEL 17 FEBBRAIO 1977 ›Categorie:Senza categoria
Rispondi