https://www.sciencedirect.com/topics/engineering/generation-iv-nuclear-reactor
Da: Produzione sostenibile di idrogeno , 2016
Termini correlati:
- Supercritico
- Eutettica
- Reattori nucleari
- Reattore a sale fuso
- Irradiazione
- Circolazione naturale
- Uranio
- Temperatura di uscita
Visualizza tutti gli argomenti
Yıldız İlhami , Craig MacEachern , in Sistemi energetici completi , 2018
1.2.6.1.2 Reattori nucleari a fissione di quarta generazione
I reattori nucleari di quarta generazione sono sistemi nucleari proposti che tengono conto di almeno una delle seguenti considerazioni: maggiore efficienza, generazione e cattura del calore di processo da utilizzare in altre applicazioni termiche, come la produzione di idrogeno, maggiore sicurezza e riduzione dei rifiuti e manipolazione [131]. A seguito di un processo di presentazione aperto, il Dipartimento dell’Energia degli Stati Uniti ha selezionato sei progetti da perseguire ulteriormente. Questi progetti erano il reattore supercritico raffreddato ad acqua (SCWR), il reattore veloce al piombo (LFR), il reattore veloce al sodio (SFR), il reattore a sali fusi (MSR), il reattore veloce a gas (GFR) e il reattore ad altissima temperatura (VHTR). ). Ciascuno dei sistemi proposti ha due cose in comune, ha temperature di esercizio molto più elevate e grava maggiormente sui materiali di reazione rispetto ai sistemi tradizionali. Ciò significa che il materiale da costruzione è della massima importanza nella progettazione di questi nuovi reattori [106]. I nomi della maggior parte di questi sistemi derivano dal materiale utilizzato per raffreddare i reattori. Poiché queste temperature sono troppo elevate per i refrigeranti tradizionali, per raffreddare la reazione vengono utilizzati materiali come sale fuso, gas elio ad alta pressione, sodio liquido e piombo. Nonostante ciò, ci sono ancora una serie di problemi associati alla costruzione di questi reattori. La più pressante di queste preoccupazioni sembra essere il vuoto rigonfiamento dei materiali da costruzione. Il rigonfiamento del vuoto si verifica negli acciai nell’intervallo 325–650°C e può causare strisciamento e infragilimento del materiale se non adeguatamente tenuto conto. Si stanno sviluppando leghe specifiche per aiutare a combattere questi problemi; tuttavia, sembrano ancora lontani dall’implementazione su vasta scala [131]. Nonostante tutte le sfide tecnologiche associate ai reattori nucleari di quarta generazione, rappresentano ancora una strada promettente verso una produzione di energia più pulita. Tenendo conto degli aspetti di efficienza e sicurezza, la speranza è che questi sistemi possano spingere il nucleare oltre la sua immagine pubblica negativa e verso un futuro più sicuro dal punto di vista energetico.
Reattori e impianti nucleari attuali e futuri
I. Pioro , R. Duffey , in Gestione del riscaldamento globale , 2019Acciai rinforzati con dispersione di ossido/ferrite-martensite come materiali di base per reattori nucleari di quarta generazione
S. Ukai , … J. Malaplate , in Materiali strutturali per reattori nucleari di quarta generazione , 2017
Astratto
Gli acciai rinforzati con dispersione di ossido (ODS) sono i materiali candidati più promettenti per il rivestimento del combustibile dei reattori nucleari di quarta generazione . Vengono esaminati i progressi e lo stato attuale dello sviluppo degli acciai ODS/FM (ferrite-martensite) condotto principalmente in Giappone e Francia. I percorsi di fabbricazione del tubo di rivestimento sono menzionati per il processo ottimizzato per ODS. Vengono esaminati i progressi e lo stato attuale dello sviluppo degli acciai ODS/FM (ferrite-martensite) condotto principalmente in Giappone e Francia. I percorsi di fabbricazione del tubo di rivestimento sono menzionati per gli acciai ODS di tipo ferrite utilizzando un processo ricristallizzato e uno di tipo martensite utilizzando la trasformazione di fase α-γ. Il processo ottimizzato è identico per entrambi i paesi. Il processo di giunzione tra rivestimento e tappo è stato sviluppato anche utilizzando il metodo di saldatura a resistenza pressurizzata. Vengono verificati i miglioramenti apportati dagli acciai ODS/FM in termini di resistenza alle alte temperature e resistenza all’irraggiamento. Infine, vengono esaminati i diversi effetti ambientali sul comportamento dell’ODS, inclusa l’irradiazione. di tipo ferrite è identico per entrambi i paesi. Il processo di giunzione tra rivestimento e tappo è stato sviluppato anche utilizzando il metodo di saldatura a resistenza pressurizzata. Vengono verificati i miglioramenti apportati dagli acciai ODS/FM in termini di resistenza alle alte temperature e resistenza all’irraggiamento. Infine, vengono esaminati i diversi effetti ambientali sul comportamento dell’ODS, inclusa l’irradiazione.
J. Henry , SA Maloy , in Materiali strutturali per reattori nucleari di quarta generazione , 2017
9.1 Introduzione
Il comportamento dei materiali , in primo luogo le prestazioni dei materiali di base, è una questione chiave per lo sviluppo di successo dei reattori nucleari di quarta generazione . In effetti, tutti i concetti di reattori di quarta generazione pongono un onere molto elevato sui materiali del nucleo, che dovranno resistere a temperature di esercizio elevate , flussi di neutroni veloci intensi e contatto con refrigeranti corrosivi come sali fusi o leghe di piombo . Inoltre, gli obiettivi del programma di quarta generazione includono un’estensione della durata dell’impianto di progettazione a 60 anni, l’aumento dei consumi di combustibile e la durata del ciclo rispetto agli attuali reattori [1] . Di conseguenza, le dosi massime di radiazioni per i materiali interni potrebbero superare i 200 dpa (spostamento per atomo) [2,3] .
Gli acciai ad alto contenuto di cromo ferritico e ferritico-martensitico (FM), compresi i materiali avanzati come le leghe rinforzate con dispersione di ossidi (ODS) (vedi Ukai et al. nel capitolo 10 [4] sezione 9.2) sono attualmente previsti come materiali per anime, in particolare per applicazioni di rivestimento e involucri di combustibili, in quanto sono tra i pochi materiali in grado di soddisfare questa esigenza di alte dosi, grazie in particolare alla loro eccellente resistenza al rigonfiamento dei vuoti. Infatti, gli acciai ferritici e FM sono stati inizialmente sviluppati per l’uso negli impianti termoelettrici e il loro sviluppo è tuttora in corso, con l’obiettivo di migliorare ulteriormente le proprietà meccaniche ad alta temperatura, in particolare il loro comportamento allo scorrimento termico. In effetti, gli acciai FM commerciali che sono stati utilizzati finora nei reattori veloci (vedi) non sono idonei al funzionamento a temperature superiori a circa 550°C, in particolare a causa della loro insufficiente resistenza allo scorrimento termico.
Gli acciai ferritici e FM sono stati presi in considerazione per la prima volta per applicazioni di fissione quando si è scoperto che gli acciai inossidabili austenitici convenzionali , che erano stati inizialmente selezionati per i componenti principali, mostravano un elevato rigonfiamento del vuoto indotto dalle radiazioni . Da allora, nell’ambito dei programmi di reattori autofertilizzanti veloci in tutto il mondo, molti gruppi di combustibili che utilizzano vari acciai FM come materiali di rivestimento e/o condotti sono stati irradiati in reattori veloci e hanno raggiunto dosi di spostamento elevate [5]fino a circa 155 dpa nel caso di HT9 o EM10 [6,7] . Inoltre, va menzionato che gli acciai FM sono stati selezionati anche come materiali candidati per componenti ad alte dosi di futuri sistemi nucleari avanzati diversi dai reattori di quarta generazione, come i reattori a fusione e i sistemi azionati da acceleratori (ADS) [8–10] .
Di seguito, forniremo prima una breve panoramica dell’uso degli acciai FM per i componenti interni dei reattori veloci e dei futuri reattori di quarta generazione. Nella parte successiva del capitolo ci concentreremo sugli effetti dell’irraggiamento sugli acciai FM, in termini di evoluzione microstrutturale e conseguenti modificazioni delle proprietà meccaniche. Per quanto riguarda l’evoluzione microstrutturale, evidenzieremo il comportamento di rigonfiamento indotto dalle radiazionidegli acciai FM e discutono dei meccanismi di rigonfiamento, poiché il rigonfiamento è certamente una delle principali preoccupazioni per le leghe irradiate nell’intervallo di temperatura di interesse per i reattori veloci. Affronteremo anche altri effetti, come la formazione di una microstruttura di dislocazione sotto irraggiamento, la segregazione indotta da radiazioni e la precipitazione sotto irraggiamento. Queste modifiche microstrutturali sono responsabili delle modificazioni osservate delle proprietà meccaniche, che saranno descritte in dettaglio nella parte finale di questo capitolo, concentrandosi sullo scorrimento viscoso per irraggiamento , sull’indurimento indotto dall’irradiazione, sull’evoluzione del comportamento a trazione e sulle modifiche delle proprietà di frattura(tenacità all’urto e alla frattura), tutto dovuto all’irraggiamento. In effetti, una delle principali preoccupazioni riguardo all’uso degli acciai FM per applicazioni nucleari è il fatto che questi materiali, come altre leghe con struttura cristallina cubica centrata sul corpo (bcc), mostrano una transizione da duttile a fragile. Inoltre, la temperatura di transizione da duttile a fragile (DBTT) aumenta come risultato dell’irraggiamento, mentre l’energia di scaffale superiore (USE) viene ridotta. Come verrà descritto in dettaglio di seguito, l’entità dello spostamento DBTT dipende fortemente dalla temperatura di irradiazione. Per l’intervallo di temperatura di irradiazione dei componenti interni dei reattori veloci raffreddati con sodio (tipicamente al di sopra di circa 390°C), lo spostamento DBTT è risultato piuttosto moderato per gli acciai FM[11], anche dopo irradiazione ad alte dosi. Al contrario, l’infragilimento indotto dall’irradiazione è forse la sfida più grande nell’utilizzo di acciai FM in componenti nucleari che operano in un intervallo di temperatura inferiore, come i concetti di coperte di allevamento al trizio raffreddate ad acqua per le future macchine a fusione.
Va anche menzionato che le prestazioni degli acciai FM in ambienti aggressivi sono anche una questione importante per quanto riguarda l’uso degli acciai FM come materiali interni per i futuri reattori di quarta generazione raffreddati con metalli liquidi pesanti, come piombo liquido e bismuto liquido eutettico (LBE). Oltre alla mitigazione della corrosione e dell’erosione da parte del metallo liquido, eventualmente utilizzando rivestimenti dedicati, dovrebbero essere presi in considerazione anche gli effetti dannosi sulle proprietà meccaniche. Ad esempio, è stato dimostrato che gli acciai FM sono soggetti a infragilimento da metalli liquidi (LME) da parte delle leghe di piombo. Inoltre, questo fenomeno è potenziato dall’indurimento indotto dall’irradiazione [12] . Poiché i problemi di compatibilità con i metalli liquidi sono affrontati in dettaglio in questo libro ( Capitolo 2), questo argomento non sarà discusso ulteriormente in questo capitolo. Allo stesso modo, per una sintesi della metallurgia di base degli acciai FM, si rimanda il lettore capitoli 6 e 18, capitolo 6 , capitolo 18 .
Programma di ricerca e formazione Euratom nei sistemi di quarta generazione
G. Van Goethem , in Handbook of Generation IV Nuclear Reactors , 2016
A1 Introduzione
Questo rapporto definisce i risultati di apprendimento per la formazione degli ingegneri coinvolti nello sviluppo e nella progettazione preconcettuale dei reattori nucleari di quarta generazione. Il programma di formazione è in linea con l’ Agenda strategica di ricerca (SRA) della Piattaforma tecnologica per l’energia nucleare sostenibile (SNE-TP), pubblicata nel 2009. Comprende quindi aree di interesse che darebbero ai tirocinanti la possibilità di trovare risposte a le sfide di R&S menzionate nell’SRA , tra le altre:
•
Semplificazione della progettazione del sistema primario
•
Materiali migliorati
•
Scambiatori di calore innovativi e sistemi di conversione di potenza
•
Strumentazione avanzata, sistemi di ispezione in servizio
•
Maggiore sicurezza
•
Partizionamento e trasmutazione
•
Carburanti innovativi (incluso MA) e prestazioni di base.
Tutti e sei i tipi di reattore di quarta generazione sono presi di mira in questo schema di addestramento: il reattore veloce al piombo (LFR), il reattore veloce al sodio (SFR), il reattore veloce a gas (GFR), il reattore a temperatura molto alta (VHTR), il reattore ad acqua super critica (SCWR ) e reattore a sali fusi (MSR).
Il codice di prestazione del carburante TRANSURANUS
A. Magni , … P. Van Uffelen , in Codici di analisi e progettazione di centrali nucleari , 2021
8.4.3 Applicazione alla valutazione di sicurezza del reattore ALFRED
concetti di reattore nucleare concetti di reattore a sali fusi (MSR). Le principali specifiche del reattore, secondo il layout del concept preliminare, possono essere trovate in rif.
Il nucleo ALFRED [97] Tabella 8.9 [97,98] .è composto da 171 FA esagonali avvolte, ciascuna contenente 127 perni di carburante disposti su un reticolo triangolare. Il combustibile considerato per ALFRED è costituito da pellet anulari U–Pu MOX, con contenuto di plutonio diverso a seconda della zona radiale del nocciolo. Per quanto riguarda il rivestimento è stato selezionato un acciaio della classe 15-15Ti, in quanto già autorizzato per altri FR raffreddati a metallo liquido (es. Phenix, Superphenix). I dettagli sui parametri di progettazione del perno del carburante come fabbricato sono raccolti in
Tabella 8.9 . Parametri di progettazione ALFRED dei perni del carburante come fabbricati.
| Specifiche di progettazione del perno del carburante | |
| Tipo di carburante | MOX |
| Tipo di rivestimento | AIM1 |
| Tipo di liquido di raffreddamento | Guida |
| Arricchimento del combustibile come Pu/(Pu+U), zona interna (% in peso) | 21.7 |
| Arricchimento del combustibile come Pu/(Pu+U), zona esterna (% in peso) | 27.8 |
| Densità carburante (% TD) | 95 |
| O/M (/) | 1.97 |
| Gas di riempimento stelo | Lui |
| Pressione di riempimento iniziale (MPa) | 0.1 |
| Volume plenum superiore (mm 3 ) | ~30000 |
| Lunghezza plenum superiore (mm) | 120 |
| Lunghezza attiva carburante (mm) | 600 |
| Lunghezza plenum inferiore (mm) | 550 |
| Diametro esterno rivestimento (mm) | 10.5 |
| Diametro interno del rivestimento (mm) | 9.3 |
| Diametro esterno pellet di combustibile (mm) | 9 |
| Diametro interno del pellet di combustibile (mm) | 2 |
| Larghezza iniziale del gap di rivestimento del combustibile (μm) | 150 |
| Passo del perno (mm) | 13.86 |
MOX , ossido misto ; TD , densità teorica.
L’analisi qui presentata si concentra su due diversi canali del refrigerante del reattore ALFRED, ovvero il canale medio (AC) rappresentativo delle condizioni medie del nocciolo e il canale caldo (HC) rappresentativo delle condizioni più critiche raggiunte nel nocciolo in termini della storia del potere. Questo canale è caratterizzato dalla massima potenza lineare, che diminuisce dall’inizio alla fine della vita. Lo storico della potenza ALFRED, considerato in questa analisi, è calcolato mediante il codice deterministico ERANOS e mostrato in Fig. 8.25 [97] .

Accedi per scaricare l’immagine a grandezza naturale
Figura 8.25 . Storie di potenza per canale medio e caldo ALFRED in funzione di (A) giorni di piena potenza equivalenti (EFPD) e (B) posizione assiale (BoC, inizio ciclo).
I principali risultati delle simulazioni ALFRED AC e HC sono presentati di seguito. Per ogni risultato viene verificato il rispetto del limite di progettazione ALFRED associato. Tali limiti sono riportati nella Tabella 8.10 , da intendersi come indicazioni preliminari, utili nella fase di progettazione concettuale di ALFRED. Le figure ingegneristiche di merito qui riportatesono considerate le temperature del carburante, del rivestimento e del liquido di raffreddamento, il rilascio di gas di fissione, la dinamica del gap, le sollecitazioni e le deformazioni nel rivestimento.
Tabella 8.10 . Limiti di progettazione preliminare per il caso di studio ALFRED.
| Quantità limitata | Limite proposto | Riferimento |
| Temperatura massima del carburante | <2000°C | [99] |
| Picco di temperatura di rivestimento | <550°C | [99] |
| Plenum pressione | <5 MPa | [99] |
| Variazione relativa del diametro del rivestimento (Δ D / D ) | <3% | [100] |
| Ceppo di rigonfiamento del rivestimento | <5% | [101] |
| Deformazione da scorrimento termico (1) | <0,2% | [100] |
| Deformazione da scorrimento termico (2) | <1% | [101] |
| Deformazione a scorrimento totale | <3% | [101] |
| CDF a | <0,2–0,3 | [100] |
| Ceppo di plastica del rivestimento | <0,5% | [102] |
CDF , funzione di danno cumulativo.
un
Il CDF è un parametro di durata del pin che considera l’accumulo lineare del danno ed è calcolato come il rapporto tra ciascun intervallo di tempo e il tempo di rottura corrente [103] .
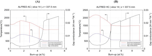
La Fig. 8.26 mostra l’evoluzione della temperatura del combustibile durante l’irraggiamento sia per il canale medio che per il canale caldo, insieme all’evoluzione della conduttanza del gap, per una fetta di combustibile a metà colonna. La temperatura massima del carburante è ben al di sotto del limite di progetto (2000°C) per l’AC. Per l’HC invece la temperatura massima è prossima a 2200°C (comunque lontana dallo scioglimento del combustibile) e si trova a metà del ciclo del primo anno (cioè a ~1 at.% burn-up). Per quanto riguarda il rivestimento e le temperature del liquido di raffreddamento, la temperatura massima viene raggiunta dall’HCall’inizio dell’irraggiamento, nella parte superiore della lunghezza attiva del combustibile ( Fig. 8.27 ). Inoltre, la temperatura del rivestimento esterno è accettabile, poiché è prossima al limite di progetto di 550°C (impostato per limitare la corrosione da piombo dell’acciaio del rivestimento) solo all’inizio dell’irraggiamento.

Accedi per scaricare l’immagine a grandezza naturale
Figura 8.26 . Temperatura interna ed esterna del carburante ed evoluzione della conduttanza del gap rispetto al burn-up per il caso di riferimento (A) AC e (B) HC.

Accedi per scaricare l’immagine a grandezza naturale
Figura 8.27 . Evoluzione della temperatura del liquido di raffreddamento e del rivestimento per il caso di riferimento (A) AC e (B) HC.
Il rilascio integrale di gas di fissione (FGR) è del 32% per l’AC e del 32,4% per l’HC. La FGR frazionaria (definita come la frazione di gas di fissione rilasciata rispetto alla quantità totale prodotta), insieme alla pressione interna del perno, è mostrata in Fig. 8.28 per la fetta di colonna centrale già considerata in Fig. 8.26 . A causa della maggiore temperatura del carburante, l’FGR frazionale nell’HC è maggiore rispetto all’AC, raggiungendo un massimo del 70% circa al 2 % di combustione. A causa di questa quantità relativamente piccola di gas di fissione rilasciata, la pressione interna rimane al di sotto del limite preliminare di 5 MPa durante tutti i cicli di alimentazione, sia in AC che HC. I valori relativamente bassi raggiunti dalla pressione interna suggeriscono un potenziale aumento della pressione iniziale di riempimento dell’elio di progetto (fissata a 0,1 MPa), con un effetto benefico sulla conduttanza del gap e quindi sullatemperatura del carburante, mantenendo la stessa larghezza del gap iniziale e altezza del plenum iniziale come nel design standard [98,103,104] .

Accedi per scaricare l’immagine a grandezza naturale
Figura 8.28 . Rilascio di gas di fissione e pressione interna in funzione della combustione per il caso di riferimento (A) AC e (B) HC.
L’evoluzione della dimensione del gap e del rivestimento e dei raggi esterni del carburante, in funzione della combustione, sono mostrati in Fig. 8.29 . La dinamica della dimensione del gap è principalmente determinata dalla deformazione del pellet, dovuta al progressivo rigonfiamento del carburante. Nell’AC la chiusura avviene ad un burn-up del 5 at.% (cioè tra il secondo ed il terzo anno di irraggiamento). D’altra parte, l’HC, che è soggetto al più alto LHR, mostra una chiusura anticipata del gap con un burn-up del 4 at.% (cioè, alla fine del secondo anno di irradiazione). Di conseguenza, nell’HC si osserva una più forte interazione meccanica del rivestimento del combustibile (FCMI), che porta al peggioramento delle prestazioni del rivestimento (cioè, maggiore sollecitazione, vedere la successiva Fig. 8.30 ).

Accedi per scaricare l’immagine a grandezza naturale
Figura 8.29 . Raggio interno del rivestimento ed esterno del carburante e evoluzione della larghezza del gap in funzione della combustione per il caso di riferimento (A) AC e (B) HC.

Accedi per scaricare l’immagine a grandezza naturale
Figura 8.30 . Pressione di contatto tra carburante e rivestimento, insieme alla sollecitazione equivalente media radialmente nel rivestimento per il caso di riferimento (A) AC e (B) HC.
I risultati dell’analisi meccanica, in termini di sollecitazione media radiale del telaio di rivestimento durante l’irraggiamento, sono riportati in Fig. 8.30 . Non ci sono problemi per quanto riguarda lo stress del rivestimentoosservato fino all’apertura del gap, poiché sia la pressione interna che le sollecitazioni termiche sono piuttosto basse. Quando il gap si chiude e inizia una pressione di contatto combustibile-rivestimento, la sollecitazione subisce un forte aumento, raggiungendo al termine dell’irraggiamento rispettivamente 160 e 430 MPa per il caso AC e HC. Come previsto, a causa della prevista chiusura del gap, lo stress del rivestimento nell’HC è molto più alto di quello AC e vicino al limite di snervamento. Il rilassamento dello stress dovuto al creep termico non è sufficiente per evitare una piccola deformazione plastica in HC, che è comunque molto bassa (sotto il limite di progetto dello 0,5%, Tabella 8.10). Pertanto, mentre l’AC non presenta problemi, i livelli di alta sollecitazione HC meritano particolare attenzione, poiché la deformazione termica da creep , a causa dell’elevata sollecitazione indotta da FCMI, potrebbe essere un serio problema per il rivestimento.
BA Pint , RG Brese , in Fondamenti e applicazioni dei cicli di alimentazione basati su anidride carbonica supercritica (sCO₂) , 2017
4.4.1 Laboratorio nazionale dell’Idaho
La compatibilità con sCO 2 è stata studiata presso l’Idaho National Laboratory (INL) come una piccola parte di uno sforzo per migliorare l’efficienza e ridurre il costo di concetti avanzati di reattori nucleari (cioè di quarta generazione), come la sostituzione dell’elio per la conversione di potenza secondaria per reattori raffreddati a gas (ad esempio, Oh et al., 2004, 2006 ). Il materiale primario studiato era la lega Ni-20Cr rinforzata con dispersione di ossidi (ODS) MA754 (composizione tipica riportata nella Tabella 4.1 mm esterno e 4,3), insieme alla lega a base di Ni 617. Il team ha sviluppato due banchi di prova , uno per la valutazione di provini simili a tubi (l’asta MA754 è stata utilizzata per fabbricare un provino lungo 1,2 m con 12,5 . Tuttavia, i tassi sono troppo alti per operazione di generazione di energia prolungata.Non è stata osservata alcuna prova di carburazione interna, sebbene sia stata osservata una maggiore ossidazione interna per 617 rispetto a MA754 dopo 175. C’è stata un’analisi approfondita delle proprietà di scorrimento di MA754 a grana fine e grossolana. Non inaspettatamente, lo scorrimento le proprietà di una lega ODS erano significativamente migliori di quelle delle leghe lavorate convenzionali a 1000 ° C. Tuttavia, la conclusione realistica era “la bassa duttilità e la rottura fragilemm di diametro interno) e l’altro con tubi in 304SS per l’esposizione dei coupon. Tutte le esposizioni a 1000°C erano a pressione relativamente bassa e avevano tempi di esposizione brevi: 47–500 ore nel primo impianto a 10 MPa e 175 ore nel secondo a 7 MPa. I tre test in provetta di durata più breve hanno indicato una velocità di ~10 -11 g 2 /cm 4 s, mentre il test in provetta da 500 ore di MA754 aveva una velocità di un ordine di grandezza inferiore, Fig. 4.14 ore a 1000°C in 7 MPa sCO 2 , Fig. 4.15modalità pone seri problemi per l’applicazione di questo materiale (MA754)in un ciclo Brayton a CO supercritico operante ad alte temperature”. MA754 non è approvato dal codice ASME BPV e non è più prodotto da Special Metals. 2

Accedi per scaricare l’immagine a grandezza naturale
Figura 4.15 . Sezioni trasversali lucidate di campioni dopo esposizione a sCO 2 a 1000°C per 175 h: (a) MA754 e (b) lega 617.
Da Oh, CH, Lillo, T., Windes, W., Totemeier, T., Ward, B., Moore, R., Barner, R., 2006. Sviluppo di un ciclo di Brayton di anidride carbonica supercritica: miglioramento dell’efficienza VHTR e Test di compatibilità dei materiali. Rapporto del laboratorio nazionale dell’Idaho INL/EXT-06-01271.
Metalli refrattari come materiali di base per i reattori nucleari di quarta generazione
T. Muroga , in Materiali strutturali per reattori nucleari di quarta generazione , 2017
Astratto
I metalli refrattari e le loro leghe hanno un intervallo di temperatura di funzionamento elevato, a causa della resistenza alle alte temperature superiore, e sono stati considerati materiali candidati per le opzioni di refrigerante He o Na dei reattori nucleari di quarta generazione . Erano candidati per reattori nucleari spaziali e, al momento, le leghe V vengono sviluppate come candidati per materiali strutturali per reattori a fusione a causa delle loro caratteristiche di bassa attivazione. In questo capitolo verrà presentata prima di tutto una panoramica delle leghe V, seguita da quella di altri metalli e leghe refrattari. Questi materiali presentano problemi critici di fattibilità associati al loro utilizzo nei materiali dei reattori nucleari di quarta generazione, come la resistenza all’ossidazione dell’infragilimento da radiazioni a bassa temperatura. Erano candidati per reattori nucleari spaziali e, al momento, le leghe V vengono sviluppate come candidati per materiali strutturali per reattori a fusione a causa delle loro caratteristiche di bassa attivazione. In questo capitolo verrà presentata prima di tutto una panoramica delle leghe V, seguita da quella di altri metalli e leghe refrattari. Questi materiali presentano problemi critici di fattibilità associati al loro utilizzo nei materiali dei reattori nucleari di quarta generazione, come infragilimento da radiazioni a bassa temperatura anche a basse dosi, scarsa resistenza all’ossidazione e difficoltà di fabbricazione e giunzione. Sono stati esplorati la microstruttura e il controllo delle impurità, per migliorare la duttilità e mitigare la ricristallizzazione e l’infragilimento da radiazioni, come la struttura del grano fine e stabile, la precipitazione, la dispersione di nanoparticelle e l’introduzione di getter di impurità interne., e difficoltà di fabbricazione e giunzione. Sono stati esplorati la microstruttura e il controllo delle impurità, per migliorare la duttilità e mitigare la ricristallizzazione e l’infragilimento da radiazioni, come la struttura del grano fine e stabile, la precipitazione, la dispersione di nanoparticelle e l’introduzione di getter di impurità interne . Ulteriori progressi sono previsti migliorando la tecnologia di fabbricazione, giunzione e rivestimento delle leghe.
Governare le equazioni differenziali per i sistemi di circolazione naturale
Pallippattu Krishnan Vijayan , … Naveen Kumar , in sistemi di circolazione naturale monofase, bifase e supercritico , 2019
3.4.4 Equazione di stato
L’ equazione di stato è necessaria anche per eseguire calcoli significativi per le NCS . Nel caso di circuiti monofase, richiediamo densità, viscosità, conducibilità termica , calore specifico e coefficiente di dilatazione termica in funzione della temperatura. I loop bifase e supercritici richiedono dati aggiuntivi. La maggior parte dei codici informatici utilizzati oggi hanno proprietà vapore-acqua integrate, generalmente basate sulla formulazione. Molti dei reattori nucleari avanzati e di quarta generazione in fase di sviluppo necessitano di proprietà di fluidi come acqua supercritica, elio, metalli liquidi come sodio, piombo e piombo bismuto eutetticoin fase di sviluppo sono necessarie proprietà di fluidi come acqua supercritica, elio, metalli liquidi come sodio, piombo e piombo bismuto eutettico e una varietà di sali fusi. Inoltre, in alcuni casi vengono spesso utilizzati fluidi simulanti, specialmente nelle strutture di test per facilitare la sperimentazione. Inoltre, il ciclo Brayton supercritico a base di CO , e una varietà di sali fusi. Inoltre, in alcuni casi vengono spesso utilizzati fluidi simulanti, specialmente nelle strutture di test per facilitare la sperimentazione. Inoltre, il ciclo Brayton supercritico a base di CO è proposto per la conversione di potenza nei reattori di quarta generazione invece del ciclo Rankine attualmente utilizzato. Proprietà dell’elio, CO supercritica . Gli impianti solari termici ad alta temperatura a circolazione naturale utilizzano sale fuso contenente una miscela eutettica di nitrati di sodio e potassio. Pertanto, le proprietà di un gran numero di sali fusi sono necessarie per l’analisi di NCS rilevanti per i reattori nucleari e le centrali solari termiche. Le proprietà del sale fuso sono disponibili da2 2 supercritica e dell’acqua supercritica sono disponibili nel database delle proprietà dei fluidi del NIST ( NIST, 2010 ). Le proprietà dei refrigeranti a metallo liquido utilizzati nei reattori di quarta generazione sono disponibili da Sobolev (2010). Altre fonti di sodio liquido e proprietà LBE sono il Manuale di proprietà termodinamiche e di trasporto dei metalli alcalini (1985) , Fink e Leibowitz (1995) e il Manuale LBE (2015) Janz (1967) , Khokhlov et al. (2009) e Serrano-Lopez et al. (2013) .
Storia e pietre miliari del fluoro e dei prodotti fluorurati attraverso i secoli
Alain Tressaud , in Fluoro , 2019
8.4.2 Importanza dei materiali fluorurati nel ciclo nucleare
Oggi, il 60% della produzione mondiale di F 2 è dedicato alla produzione di UF 6per alimentare le centrali nucleari . Pertanto, il fluoro elementare fa parte di quello che viene comunemente chiamato il “ciclo del combustibile nucleare”, e costituisce quindi un collegamento essenziale per la preparazione dell’elettricità attraverso le centrali elettriche.
u3o8→HNO3UO2NO32→T0UO3→H2UO2→HFUF4→F2UF6
UO2.0→+4HF,−2Η2o,400°CUF4→F2,T>400°CUF6
Per la fabbricazione del combustibile nucleare, i prodotti fluorurati si verificano a due livelli: acido fluoridrico , HF, trasforma i concentrati di minerale in UF mostra il posto del fluoro nelle diverse fasi del ciclo del combustibile nucleare : conversione in UF 4 e, infine, è un’ossidazione di UF 4 da parte del gas fluoro che si traduce nella produzione di esafluoruro di uranio, UF 6 , per cui l’ arricchimento 235 UF 6 può avvenire. In Francia, questi processi sono implementati da orano-AREVA, che si classifica prima in Europa e seconda al mondo per la preparazione di fluoro e numero uno al mondo per la produzione di UF 6. Così, grazie alla sua flotta di 58 reattori nucleari, la Francia ha raggiunto un tasso di indipendenza energetica vicino al 50%. La quota nucleare della produzione di elettricità è attualmente di circa l’80%. La flotta nucleare francese dispone di 34 unità da 900 MW, 20 unità da 1300 MW e 4 unità da 1450 MW; l’ultima unità è stata commissionata nel 1999 a Civaux. 128 La Fig. 38 6 e arricchimento, UF 6 arricchito convertito in UO 2 e deconversione di UF 6 impoverito. Va sottolineato che i programmi nucleari civili, anche se a volte criticati, consentono oggi di limitare l’esaurimento delle risorse energetiche fossili.

Accedi per scaricare l’immagine a grandezza naturale
Fig. 38 . Contributo del fluoro e dei suoi componenti nel ciclo nucleare [ credito orano-AREVA ].
Diversi anni fa è stato avviato un think tank per proporre nuovi tipi di reattori nucleari: i reattori nucleari di quarta generazione . Un “Forum Internazionale di IV Generazione” (GIF) è stato avviato nel 2000. 129 È un collettivo internazionale che rappresenta i governi di 14 paesi in cui l’energia nucleare è importante ora e anche considerata vitale per il futuro. La maggior parte dei paesi è impegnata nello sviluppo congiunto della prossima generazione di tecnologia nucleare. 130 Le motivazioni del progetto includono obiettivi quali il miglioramento della sicurezza, della sostenibilità, dell’efficienza e dei costi.
Tra i vari tipi di reattori nucleari di quarta generazione, ci sono reattori termici, reattori ad altissima temperatura (VHTR), reattori a sali fusi (MSR), reattori supercritici raffreddati ad acqua (SCWR), reattori veloci raffreddati a gas (GFR) , reattori veloci raffreddati al sodio (SFR) e reattori veloci raffreddati al piombo (LFR).
Nei reattori a sale fuso, il combustibile nucleare può essere solido o disciolto nel liquido di raffreddamento. Il reattore a sali fusi al torio utilizzava miscele di LiF-BeF 2 -ThF 4 -UF 4 come combustibile. La composizione iniziale era molto bassa in U, con una composizione del 77,5% LiF, ThF 4 18,7% e 3,8% UF 4 . Uno dei suoi vantaggi era che era stata implementata una miscela di uranio-238 per assicurarsi che l’uranio recuperato non fosse adatto alle armi. Il più noto reattore autofertilizzante a sale fuso è stato costruito presso l’Oak Ridge National Laboratory e utilizzava LiF-BeF 2 -ThF 4 -UF 4(72-16-12-0,4 (%)) miscele come combustibile. È stato moderato dalla grafite con un programma di sostituzione di 4 anni. Il refrigerante secondario era NaF-NaBF 4 . La sua temperatura massima di esercizio era di circa 705°C. 131 Nonostante il suo successo, il programma MSR è stato chiuso all’inizio degli anni ’70 a favore del reattore autofertilizzante a metallo liquido (LMFBR), dopodiché la ricerca è rimasta stagnante negli Stati Uniti. Sono disponibili rapporti GIF regolari, incluso il rapporto 2016. 132 A gennaio 2016, il Dipartimento dell’Energia degli Stati Uniti ha annunciato nuovi investimenti in reattori nucleari avanzati. 133
https://www.ansaldoenergia.com/Pages/Generation-IV–SMR.aspx
GENERAZIONE IV E SMR
Impegnati per il futuro dell’energia nucleare
ESNII+/LEADER
Ansaldo Nucleare ha coordinato il progetto EURATOM ELSY ( European L ead cooledSY stem) sin dal suo inizio nel 2006. L’obiettivo del progetto era lo sviluppo di un design pre-concettuale innovativo di un reattore veloce industriale raffreddato al piombo per la produzione di elettricità basato su un ciclo del combustibile chiuso per una maggiore sostenibilità.
Dopo il completamento di ELSY (2010), nell’ambito del 7° PQ dell’UE, siamo stati nominati come organizzazione principale e coordinatore del progetto LEADER ( L ead-cooled E uropean A dvancedDE dimostrazione reattore ). Il progetto LEADER era finalizzato allo sviluppo di un progetto concettuale di un impianto di dimensioni Lead Fast Reactor Industrial (l’European LFR – ELFR) e di un dimostratore in scala della tecnologia LFR denominato ALFRED ( A dvanced L ead F ast R eactor E uropean D emonstrator) .
ALFRED e FALCON
L’obiettivo principale dietro lo sviluppo della tecnologia ALFRED e Lead è mantenere la fonte di energia nucleare come un importante contributo allo sviluppo di un sistema energetico europeo sicuro ea basse emissioni di carbonio. ALFRED, come uno dei progetti sostenuti dalla European Sustainable Nuclear Industrial Initiative (ESNII), riunisce l’industria e i partner di ricerca nello sviluppo della cosiddetta tecnologia dei reattori a neutroni veloci di quarta generazione, nell’ambito del Piano strategico per le tecnologie energetiche dell’UE (SET -Piano). Nel ruolo di European Technology Demonstrator Reactor (ETDR), ALFRED è stato progettato per essere pienamente rappresentativo di un reattore di dimensioni industriali, ma con una potenza termica ridotta. Soluzioni progettuali specifiche (es. assenza di circuito intermedio, design dei componenti semplificato e robusto, dimensioni compatte), consentiranno di acquisire esperienza operativa sulla tecnologia LFR.
Il nostro forte impegno e profondo coinvolgimento nello sviluppo di LFR è stato formalizzato attraverso la firma di un Consorzio non costituito, ovvero FALCON ( F ostering AL Fred CON costruzione), a Bucarest (2013). Il Consorzio riunisce Ansaldo Nucleare, ENEA e RATEN-ICN, più CV-Rez dal 2014.
FALCON mirava a gestire le esigenze strategiche di ricerca e sviluppo e ad assicurare i finanziamenti necessari per l’ubicazione, le licenze e la costruzione. La firma di molteplici Memoranda Of Agreement (MOA) tra FALCON e università, centri di ricerca e industrie ha ulteriormente rafforzato la comunità europea LFR fornendo stabilità al programma a lungo termine previsto.
Il ministro rumeno dell’Economia, del Commercio e dell’Ambiente delle Imprese ha espresso l’interesse ad ospitare ALFRED e sostenere l’attuazione del dimostratore. ALFRED è considerato un fattore di crescita economica, miglioramento dell’innovazione, creazione di posti di lavoro, rafforzamento dei poli RDI e creazione di opportunità di carriera per i giovani talenti.

ALIMENTAZIONE DI MIRRA
Nel 2013 il Centro belga di ricerca nucleare (SCK•CEN) ha affidato l’appalto per la progettazione tecnica del reattore di ricerca MYRRHA a un consorzio internazionale composto da Areva TA, Ansaldo Nucleare ed Empresarios Agrupados. La società belga Grontmij eseguirà parte della gara in qualità di subappaltatore di Areva TA.
MYRRHA ( M ultipurpose H y brid R esearch R eactor for High -tech A pplications) è un innovativo reattore di ricerca azionato da un acceleratore di particelle, progettato per la costruzione presso il sito Mol di SCK•CEN nel Belgio settentrionale. È destinato a sostituire il vecchio reattore di ricerca BR2 del Belgio e sarà utilizzato in una serie di funzioni di ricerca, tra cui la dimostrazione del concetto di trasmutazione di radionuclidi a vita lunga nelle scorie nucleari, nonché la produzione di radioisotopi per la medicina.
Il FEED ( F ront E nd Engineering D esign ) consiste nella progettazione tecnica di tutti gli elementi dell’infrastruttura, ad eccezione del reattore stesso e dell’acceleratore di particelle. In particolare, copre la progettazione tecnica di tutti gli elementi dell’infrastruttura dell’impianto unico nel suo genere, compresi gli edifici, i sistemi di raffreddamento e la strumentazione e il controllo del reattore e dell’acceleratore di particelle. Il suo scopo include la stima dei costi di investimento e di esercizio del reattore, la convalida degli obiettivi di prestazione e la preparazione per l’ottenimento di una licenza di esercizio.

CLEAR-I
Nel 2011, l’Accademia cinese delle scienze (CAS) ha lanciato un progetto di ingegneria volto allo sviluppo di un sistema accelerato (ADS) per la trasmutazione delle scorie nucleari. Il CHIARO ( C hina LEA d-based Reactor) proposto dall’Institute of Nuclear Energy Safety Technology (INEST) è stato selezionato come concetto di riferimento ADS .
Il primo passo, ovvero CLEAR-I, della strategia di implementazione dell’ADS è un reattore veloce di tipo pool da 10 MWth raffreddato da Lead Bismuth Eutectic (LBE), in grado di funzionare sia in modalità critica che subcritica.
La Design Review del Conceptual Design è stata affidata ad Ansaldo Nucleare, nota azienda a livello internazionale, coinvolta nella progettazione di sistemi LFR.
Valore aggiunto e competenze fornite da Ansaldo Nucleare al Cliente
- la nostra vasta e unica esperienza e know-how nella progettazione, analisi e revisione di sistemi LFR critici e subcritici;
- un team di revisori qualificati, indipendenti, con comprovata esperienza nelle discipline coinvolte, oltre che in precedenti e in corso progetti simili

Categorie:Nucleare
Rispondi