Roberto Renzetti
Abbiamo lasciato la parte II avendo discusso il motore elettrico a corrente continua ed annunciando alcune ricerche di Faraday. Riparto dalle ricerche del grande scienziato inglese che hanno aperto la strada alla corrente alternata.
INDUZIONE ELETTROMAGNETICA
Supponiamo di disporre di 4 semplici oggetti:
- una spira non percorsa da corrente

- un solenoide non percorso da corrente

- un magnete rettilineo con il suo campo magnetico

- uno strumento per misurare piccole correnti, un galvanometro

Prima di organizzare questi oggetti descrivo brevemente l’ultimo. La corrente si misura con uno strumento chiamato amperometro. Quando si intende misurare delle piccole correnti si utilizza uno strumento chiamato galvanometro. Per ciò che ci serve il galvanometro dovrà essere a zero centrale (come quello di figura), deve essere cioè in grado di dirci il verso della corrente. Negli schemi dei circuiti elettrici i loro simboli sono rispettivamente:


E già che abbiamo iniziato ad introdurre i simboli di alcuni strumenti di misura, ne riporto anche altri, quelli maggiormente in uso: l’ohmetro (misura resistenze); il voltmetro (misura differenze di potenziale):


Altri simboli in uso sono:

- – Generatore di corrente continua
- – Generatore di corrente continua, pila
- – Resistenza
- – Condensatore
- – Induttanza (vedremo oltre di cosa si tratta)
- – Interruttore
- – Diodo (vedremo oltre di cosa si tratta)
- – Generatore di corrente alternata
Torniamo ai nostri quattro oggetti da utilizzare per mostrare un fenomeno nuovo di estremo interesse.
Iniziamo con il collegare il galvanometro sia alla spira che al solenoide (ricordo: non percorsi da corrente).

Ora prendiamo il magnete con il suo campo magnetico e poggiamolo vicino alla spira.

In questa situazione che, sottolineo, è statica non accade nulla.
Facciamo or solo una unica cosa: muoviamo il magnete verso la spira. Osservo a lato che mano a mano che il magnete si avvicina alla spira le linee di forza del suo campo vanno a concatenarsi, sempre in numero maggiore, con la spira stessa:

Ebbene, questo moto, finché si realizza, provoca lo spostamento dell’ago del galvanometro in un dato verso. Ciò vuol dire che nella spira circola una corrente in un dato verso e lo fa finché il magnete è in moto cessando immediatamente appena si ferma. Occorre osservare che ciò che si richiede non è il moto del magnete ma il moto relativo tra spira e magnete. Ciò vuol dire che possiamo tenere fisso il magnete e far muovere la spira in modo che si infili intorno al magnete. Attenzione a quest’ultima osservazione che apre alla relatività un poco oltre quella di Galileo. Ma di questo parleremo oltre.
Torniamo ora al fenomeno che si origina tra spira e magnete. Abbiamo visto che finché c’è moto c’è corrente (che chiamiamo indotta) circolante nella spira. Continuiamo allora a muovere (fissiamoci sul moto del magnete) il magnete che, una volta fatto entrare nella spira, non possiamo far altro che farlo uscire muovendolo a marcia indietro. Se operiamo in questo modo, scopriamo che continua a circolare corrente nella spira ma, questa volta, in verso opposto come ci mostra il galvanometro che sposta l’ago nel verso opposto al precedente.




Identico fenomeno si verifica se, anziché una spira, colleghiamo un solenoide al galvanometro. Sostituiamo quindi nei disegni il galvanometro alla spira:

A questo punto c’è da osservare che, se invertiamo la polarità del magnete in moto, si invertono i versi della corrente:

Facciamo ora una semplice osservazione: abbiamo visto nella Parte Seconda che per avere un magnete rettilineo con il suo campo non serve la barra metallica e magnetizzata perché un solenoide fa esattamente le stesse funzioni. Quindi, anziché muovere un magnete dentro un solenoide non percorso da corrente, possiamo muovere un solenoide alimentato da una pila in un altro solenoide non alimentato. L’effetto è lo stesso di quanto raccontato per un magnete metallico in moto dentro un solenoide non alimentato: vi sarà passaggio di corrente cambiante continuamente verso nel solenoide non alimentato.

Fissata questa possibilità di generare corrente elettrica oscillante vediamo tutte le possibili combinazioni che si possono creare. Per fare ciò occorre introdurre una grandezza che ci servirà, il flusso del campo magnetico B (ricordo che quando una grandezza è scritta in grassetto rappresenta un vettore). Quanto qui dirò per il campo elettrico vale in modo quasi identico per il campo elettrico ed il gravitazionale. Inizio quindi da B andando a vedere il valore che assume il campo magnetico in alcune situazioni che si presentano spesso.
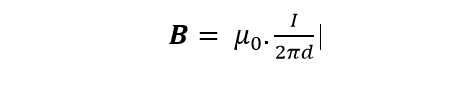
Legge di Biot e Savart. Il campo magnetico d’induzione B intorno ad un filo rettilineo percorso da corrente è dato dalla relazione:


Ciò vuol dire che il campo magnetico è direttamente proporzionale alla corrente I che circola nel filo; è sempre più piccolo man mano ci si sposta su circonferenze 2πd più distanti dal filo; dipende da una costante μ0 (permeabilità magnetica del vuoto che vale 4π.10-7N/A2) che rende conto di come il vuoto si lascia attraversare dalle linee di forza.
Nel caso in cui si voglia il campo generato da una spira, nel suo centro, si ha esattamente la stessa relazione.
Nel caso si voglia il campo generato da un solenoide, convengono alcune specificazioni. Se il diametro d delle spire è piccolo rispetto alla lunghezza ℓ (d << ℓ) del solenoide, il campo d’induzione B è uniforme al suo interno (distante dalle estremità) mentre è trascurabile all’esterno. La relazione che ci fornisce il campo all’interno di un tal solenoide che abbia un numero di spire pari ad N:

ELETTROMAGNETE
Abbiamo visto nella Parte Seconda che una spira percorsa da corrente si comporta come un magnete elementare. Allo stesso modo e con effetto maggiore si comporta un solenoide. Riferendoci a quest’ultimo, se introduciamo dentro un solenoide una barra di ferro dolce l’effetto magnetico complessivo di solenoide più ferro dolce è molto più intenso dell’effetto ottenuto con il solenoide.


E’ d’interesse osservare che l’effetto magnetico prodotto da corrente continua circolante nel solenoide che circonda il ferro dolce è un effetto temporaneo che dura solo il tempo in cui la corrente circola nel solenoide. Azionando un interruttore si può avere un elettromagnete per il tempo necessario alla funzione per cui è impiegato.
CORRENTI DI FOUCAULT
Il fenomeno dell’induzione avviene sempre, ogni volta che si ha una variazione del flusso concatenato con un filo conduttore costituente un circuito. Se muovo un fino non alimentato dentro un campo magnetico, ai suoi capi si genera una tensione indotta e, se il conduttore si chiude in esso circolerà una corrente indotta. Se dentro un campo magnetico muoviamo invece un conduttore massiccio (una barra di rame, un disco conduttore, un blocco di qualunque materiale conduttore) dentro di esso circoleranno corrente molto ma molto intense proprio per il fatto che tali conduttori (a sezioni grandi) presentano sempre una minima resistenza elettrica. Ora noi sappiamo che il riscaldamento di un conduttore per effetto Joule dipende moltissimo dall’intensità di corrente che circola (va con il suo quadrato), quindi ne concludiamo che dovranno scaldarsi molto questi conduttori massicci in cui si generino correnti indotte. Questo è il motivo per il quale queste correnti, scoperte da Foucault, sono chiamate parassite. Occorre quindi tentare di evitarle e per farlo occorre non utilizzare conduttori massicci.

E’ questo il motivo per il quale i fili conduttori che usiamo in casa sono fatti di tanti piccoli filini intrecciati piuttosto che i un unico cavo massiccio. Inoltre, come vedremo nei trasformatori, il pezzo di ferro (traferro) su cui sono avvolte le spire di rame non è a blocco unico ma fatto con lamelle di ferro poi tenute insieme da viti e bulloni.

Sappiamo quindi come difenderci dalle correnti parassite ma, è bene saperlo, abbiamo anche imparato ad utilizzarle ad esempio nei freni elettromagnetici. Spieghiamo. Un’automobile ha in genere dei freni meccanici: si preme il pedale, dell’olio viene compresso in piccoli tubicini, questa pressione si trasferisce ad una ganascia che va a stringersi intorno ad un disco che gira solidale con la ruota. Pensiamo ora a dover frenare un rimorchio, una roulotte o un vero e proprio rimorchio di un camion. Come trasferisco la pressione del piede sul pedale al rimorchio? Certo, potrei pensare a tubicini che, sono agganciati al momento dell’aggancio del rimorchio stesso. Se riflettete un poco vi rendete conto che la cosa può funzionare ma resta estremamente delicata ed in definitiva non affidabile. Pensiamo ora alle ruote del rimorchio alle quali sia sistemato solidalmente un disco come quello di freni a disco ordinari (magari fatto in rame per essere un miglior conduttore). Il disco ruoti dentro le espansioni polari di un elettromagnete ad U

La situazione di principio è quella mostrata in figura seguente:

dove noi possiamo far girare il disco con una manovella dentro le espansioni polari dell’elettromagnete non collegato all’alimentatore. Ma quando lo colleghiamo, nel disco si originano le intense correnti di Foucault che, ancora per la legge di Lenz, si opporranno alla causa che le genera, la rotazione del disco, e quindi lo bloccheranno. Nei freni elettromagnetici le cose vanno allo stesso modo con materiali più raffinati ed efficienti (vedi figura seguente). Quando l’autista preme il pedale del freno, insieme ai freni della motrice che possono essere i freni tradizionali, aziona anche un interruttore che va ad alimentare gli elettromagneti disposti intorno ai dischi solidali con le ruote. Qui non vi sono problemi a trasferire un impulso elettrico dalla motrice al rimorchio: un cavo elettrico collegato con una presa di corrente.

I feni elettromagnetici sono molto utilizzati nei treni, soprattutto quelli ad alta velocità. Nella figura seguente è rappresentato un tale freno montato non direttamente sulla ruota ma sull’asse che collega due ruote di un treno:

FLUSSO DI UN VETTORE ATTRAVERSO UNA SUPERFICIE
Supponiamo di avere un campo magnetico B uniforme, quale quello che si ha tra le espansioni polari di due magneti di polarità opposte affacciate (nel caso elettrico il campo è uniforme tra due piastre come le armature di un condensatore).


Consideriamo poi una superficie piana ΔS la cui orientazione positiva sia definita dalla perpendicolare n uscente da essa
Se inseriamo la superficie S all’interno del campo B, un certo numero di linee di forza attraverserà questa superficie e questo numero dipenderà dall’orientazione della superficie stessa rispetto al verso delle linee di forza. Quando ΔS è perpendicolare alle linee di forza (quando cioè n è parallelo ad esse) allora la superficie sarà attraversata dal maggior numero possibile di linee di forza. Quando ΔS è parallela alle linee di forza (quando cioè n è perpendicolare ad esse) allora il numero di linee di forza che attraverserà la superficie sarà uguale a zero.
Il numero di linee di forza che attraversa una superficie si definisce flusso e si indica con ΦΔS.
Se le linee di forza sono originate, come nel nostro caso, da un campo magnetico B, si avrà un flusso di linee di forza di un campo B attraverso una superficie ΔS e si indicherà con ΦΔS(B).
E’ facile convincersi che questo flusso è tanto più grande quanto più grande è B (è evidente che più è intenso il campo più sono numerose le linee di forza), quanto maggiore è l’estensione della superficie ΔS e quanto più essa si trova vicina alla posizione perpendicolare rispetto ad esse (quanto più l’angolo α tende a diventare zero).


in a) l’angolo α tra n e B è di 0° ed il flusso attraverso la superficie è massimo;
in b) l’angolo α tra n e B è compreso tra 0° e 90°
in c) l’angolo α tra n e B è di 90° ed il flusso attraverso la superfice è nullo.
Tutto ciò si può riassumere nella relazione:

dove α è l’angolo formato tra la normale n ed il verso delle linee di forza B. Si vede subito che quando α = 0, da cui cos α = 1 (la superficie è perpendicolare alle linee di forza), il flusso è massimo e vale BS. Altro caso limite è quando α = 90°, da cui cos α = 0 (la superficie è parallela alle linee di forza), il flusso è nullo. L’ultimo caso limite che va considerato è quando la superficie è perpendicolare alle linee di forza, ma i versi di n e delle linee di forza sono opposti (questo fatto è rappresentato da α = 180°, da cui cos α = – 1); in questo caso il flusso assume un massimo negativo e vale – BS.
Nel caso più generale, quando la superficie S non è piana, bisognerà considerare su di essa svariate piccole superfici (con buona approssimazione piane) di area ΔS e per ciascuna di esse calcolarsi il flusso elementare ΔΦΔS(B). In questo caso, riferendosi alla figura seguente, il flusso totale sarà la somma di tutti i flussi elementari:


Arrivati fin qui restano un paio di questioni da mettere a fuoco per riuscire a ricavare la legge che regola l’induzione elettromagnetica, il fatto cioè che il moto relativo tra magnete e solenoide non alimentato o tra corrente in un solenoide e solenoide non alimentato. La prima riguarda la conservazione dell’energia nel fenomeno, l’altra riguarda la realizzazione di meccanismi che rendano continuo il moto relativo suddetto. Per capire esemplifichiamo nel modo più semplice con una spira non alimentata ed un magnete. Abbiamo già visto che il moto relativo tra magnete e spira provoca un passaggio di corrente nella spira:

Si tratta di stabilire qual è il verso della corrente nella spira tra i due possibili. Sappiamo già che il passaggio di corrente in una spira la fa diventare un piccolo magnete con un polo su una faccia ed un polo sull’altra.

Il tipo di polo è stabilito da chi osserva nel modo seguente: se l’osservatore vede la corrente circolare in verso antiorario avrà di fronte il Nord della spira; se vede circolare la corrente in verso orario avrà di fronte il Sud della spira.
Torniamo ora alla nostra azione di avvicinamento del magnete alla spira. Se avviciniamo il Nord del magnete ed in tale azione si creasse corrente circolante in modo da creare il Sud nella spira, il magnete sarebbe succhiato nella spira con creazione gratuita di corrente. La natura non fa certi regali e sappiamo bene che per avere dell’energia occorre fornirne (anche un poco di più di quanto si ottiene). Non c’è nulla da fare: avvicinare il Nord del magnete farà circolare la corrente nella spira in modo da avere il suo Nord affacciato al Nord del magnete che si avvicina. In tal modo dovremmo fare un piccolo sforzo, un lavoro, per introdurre il magnete nella spira e in cambio di esso avremo l’energia di una corrente circolante in essa.

Il fenomeno si ripete quando andiamo ad estrarre il magnete dalla spira. Ora stiamo estraendo il Nord del magnete e, a questa azione, corrisponde una corrente che circola in modo da creare un Sud nella spira, Sud che tende a trattenere il magnete. In due situazioni quanto detto è riassunto nella figura seguente:

Quanto qui detto risponde al primo problema che avevo posto, quello della conservazione dell’energia: noi ne diamo per creare moto, la corrente circolante nella spira è la moneta con cui siamo ripagati. Queste osservazioni non furono di Faraday perché quando egli ricavò la gran parte dei fenomeni d’induzione elettromagnetica (1831) non si era ancora stabilita la conservazione dell’energia (Helmholtz, 1847). Fu il fisico russo Emilij Kristianovic Lenz (1804-1865) che nel 1834 capì in anticipo rispetto alla conservazione dell’energia che le cose dovevano andare come ora illustrato. Così la legge che regola le correnti indotte è una legge che porta tre nomi: il primo è quello di Faraday, il secondo è quello del matematico Ernst Franz von Neumann (1798-1895) che nel 1845 scrisse la legge trovata e raccontata da Faraday che non conosceva la matematica. il terzo è quello di Lenz che sistemò la legge dal punto di vista energetico (un segno meno davanti alla formula che fornisce il fenomeno dell’induzione elettromagnetica. In definitiva la Legge dell’induzione elettromagnetica di Faraday-Neumann-Lenz è la seguente (avendo indicato con ε la differenza di potenziale o forza elettromotrice indotta che deve crearsi ai capi della spira per permettere la circolazione di corrente):

Nella Legge è scritto che la forza elettromotrice indotta ε da una variazione di flusso magnetico (o elettromagnetico) concatenato con una spira o un solenoide, ΔΦ(B), è tanto più grande quanto è più grande questa variazione di flusso (quindi quanto è più grande B) ed è tanto più grande in quanto minor tempo Δt si realizza tale variazione di flusso. Il segno meno, come già detto, è la Legge di Lenz. Come realizzare la situazione che ci dia un valore più grande di ε? Occorre avere un grande campo B che ha una gran quantità di linee di forza associate; occorre che queste line di forza vadano a concatenarsi ad un circuito elettrico non alimentato (una spira, un solenoide, …) attraverso il movimento più rapido possibile del magnete (o elettromagnete) induttore rispetto al circuito suddetto.
Stabilita questa legge fondamentale passiamo al secondo problema che avevo posto: come realizzare praticamente una macchina che ci dia corrente indotta non episodicamente ma in modo tale da poterla sfruttare. Per i non addetti ai lavori sembra difficile cogliere applicazioni pratiche di queste sensazionali esperienze. Eppure qui vi è nientemeno che la corrente alternata, le dinamo ed ogni apparato moderno di elettricità industriale. Cerco di descriverne i vagiti. Inizio con il mostrare lo schema di principio dell’apparato per la produzione di corrente alternata (alternatore), che segue immediatamente dalla scoperta di Faraday.
ALTERNATORE
Inizio con la figura seguente:

Schema di principio di un alternatore: N-S sono le espansioni polari di un magnete chiuso ad anello (può anche essere un elettromagnete alimentato da parte della corrente che viene prodotta); ABCD è un circuito elettrico elementare (una spira) che ha i suoi terminali costituiti da due spazzole s s’ che strofinano su due anelli a a’ collegati ad un galvanometro G. Le frecce indicano il verso di rotazione della spira nel campo magnetico del magnete, rappresentato dalle linee di forza che vanno da N ad S.
Se con una manovella mettiamo in rotazione la spira immersa nel campo magnetico, avremo una variabilità continua delle linee di forza del campo concatenate con il circuito medesimo. La situazione di figura ci dà il massimo di linee di forza concatenate con il circuito ma, al ruotare della spira si presentano, al primo giro le seguenti situazioni:

(1) (2) (3) (4) (5)
In (1) la spira è sistemata come nello schema dell’alternatore mostrato nella figura precedente. Siamo con la spira perpendicolare alle linee di forza del campo magnetico indicato con B. La spira raccoglie il massimo numero di linee di forza che vanno dal polo N al polo S.
In (2) la spira ha ruotato, nel verso indicato dallo schema ed intorno all’asse tratteggiato di figura, di 90°. In questa situazione nessuna linea di forza del campo magnetico attraverserà più la spira.
In (3) è continuata la rotazione della spira di altri 90°. Siamo tornati ad una situazione simile alla (1) sono che ora le linee di forza del campo magnetico entrano dalla parte opposta della spira.
In (4) altra rotazione di 90° e ritorno alla situazione (2).
In (5) ultimi 90° per chiudere un giro completo di 360°e ritorno alla situazione (1).
In tutto questo giro si è realizzato un continuo cambiamento delle linee di forza concatenate con il circuito. Il giro si ripete e tutto si svolge ancora come ora descritto.

Abbiamo cioè una variazione sinusoidale nel tempo del flusso di B, Φ(B), come mostra la figura precedente. Se questo flusso è sinusoidale lo è anche la tensione ε con una fase diversa rispetto a quella ora vista.
La variazione del flusso induce ai capi della spira una forza elettromotrice che è istante per istante eguale a -ΔΦ/Δt con Δt molto piccolo.

La tensione ε ai capi della spira sarà massima in valore assoluto quando il flusso è nullo, negativa se il flusso è crescente e positiva se è decrescente (ciò è dovuto al segno –). Sarà invece nulla quando il flusso è massimo o minimo.
L’andamento della funzione ε ora scritta è sinusoidale come mostrato nella figura seguente dove si può osservare che a flusso massimo BS si ha un valore nullo di ε; che ε è massima quando il flusso è nullo e così via come rappresentato dalle posizioni disegnate in basso della spira in corrispondenza dei valori di ε.

θ è l’angolo θ di rotazione della spira nel campo magnetico con velocità angolare ω: θ = ωt)
Poiché ho riportato il grafico della tensione ε in funzione del tempo, è facile riportare lo stesso grafico solo riferito alla corrente i:

Nella figura IM ed εM rappresentano i valori massimi di tensione e corrente che hanno i corrispettivi valori minimi negativi Im ed εm. T è il periodo, il tempo che impiega una spira a fare un giro completo nel campo magnetico.
Dal grafico che ci dà ε in funzione di t si può osservare che ε varia tra un valore massimo ed un minimo. La rappresentazione temporale della ε ci mostra come l’andamento della tensione si ripeta in modo regolare. E’ possibile individuare un periodo T in cui la tensione si ripete. Il periodo è individuato come in figura, ma può essere misurato come la distanza temporale fra due picchi positivi (o negativi) ecc … Esso ci indica in quanto tempo la tensione compie una variazione completa. Sostituendo nell’argomento del seno T a t, possiamo ricavare il valore ω della velocità angolare della nostra spira:
ωT = 2π
da cui

La frequenza indica il numero di variazioni complete della tensione nell’unità di tempo.
In Italia la tensione di rete varia con una frequenza di 50Hz, ossia in un secondo la tensione compie 50 periodi completi. In altri paesi la frequenza di rete è diversa. Negli Stati Uniti è di 60Hz.
Il fatto che la ε sia una grandezza sinusoidale fa dire che le tensioni prodotte dagli alternatori sono alternate e quindi che le correnti prodotte da tali tensioni sono correnti alternate.
Nelle macchine industriali che sfruttano questo principio il numero di giri è in genere di 50 al secondo (ma può arrivare a 60 al secondo). E’ ciò che conosciamo come una caratteristica della nostra corrente che diciamo essere di 50 hertz (giri al secondo, Hz). Naturalmente si otterrebbero più vantaggi a fare, ad esempio, una corrente da 100 Hz ma quando dalla fisica si passa alle realizzazioni pratiche si deve tener conto di svariate compatibilità. In questo caso, avere un sistema meccanico che ruota a velocità gigantesche può distruggere l’intero sistema per l’intensità delle forze centrifughe messe in gioco.
Prima di passare a vedere qualche figura di tale macchine nella loro evoluzione, è utile osservare che l’alternatore che abbiamo introdotto è una macchina che può essere realizzata non solo per produrre correnti alternate ma anche correnti continue o quasi (dinamo) concepita per funzionare alla rovescia del principio visto per l’alternatore. Ho ora descritto un sistema al quale si forniva moto meccanico per avere corrente elettrica. E’ possibile invece avere la stessa macchina (con accorgimenti opportunamente diversi) alla quale si fornisce energia elettrica perché essa ci dia energia meccanica. Ed è questa la struttura di tutti quelli che oggi conosciamo ed usiamo come motori elettrici (una vera quantità): trapani, torni, frullatori, spremiagrumi, … ma anche giostre, filobus, treni, …
CORRENTE ALTERNATA
Riprendo la figura riportata in precedenza per discutere un poco del sistema che permette di prelevare ai capi della spira ruotante, mediante un sistema di contatti striscianti chiamato collettore, la tensione o corrente alternata.

Il generatore di corrente alternata con il sistema di prelievo della medesima, il collettore, collegato ad un galvanometro.
Nel disegno siamo ancora ad una sola spira ruotante in un campo magnrtico uniforme e, lo ricordo, con la rotazione della spira originata da una manovella messa in funzione da un operatore. Rendiamo il tutto più moderno introducendo gli elementi necessari. Iniziamo dalla spira che non è mai una sola spira ma un avvolgimento che comprende varie spire. In inea ancora di massima si può osservare la figura seguente:

Più in dettaglio la figura seguente mostra una sezione del sistema ruotante (rotore o indotto) in cui si vede che gli avvolgimenti sono molti e disposti regolarmente (tralascio di illustrare qui gli altri elementi presenti in figura):

Un sistema simile è rappresentato nella figura seguente:

dove si apprezza il sistema rotante che riporto anche nelle figure seguenti per evidenziare la quantità di avvolgimenti (spire) presenti:


Detto tutto questo siamo ancora ad una manovella che muove il rotore. Evidentemente le cose non stanno così. Le macchine che producono corrente alternata sono molto grandi e sarebbe piuttosto complicato far ruotare un grande rotore. Per farlo si utilizzano imponenti mezzi meccanici come la caduta d’acqua da una diga che mette in moto le pale di una turbina connessa all’asse del rotore:

Le figure seguenti mostrano le dimensioni che a volta raggiungono le macchine con cui si ha a che fare:


Nella prima figura, è mostrata, in primo piano, la turbina allacciata all’asse dell’alternatore; nella seconda figura un rotore industriale.

Turbine ed alternatori in una centrale idroelettrica di molti anni fa.
Fin qui abbiamo discusso di alternatore costituito da un magnete permanente fisso (statore o induttore) che induce tensione o corrente in una serie di spire (indotto o rotore). Proviamo a cambiare la tecnica di queste macchine.
Molto spesso si preferisce avere il magnete ruotante e le spire fisse. Inoltre i magneti permanenti non hanno mai le potenze sufficienti a generare grandi correnti per cui si ricorre quasi sempre ad elettromagneti.
ANCORA ALTERNATORI
Per una serie di motivi costruttivi, si preferisce far ruotare il campo magnetico e mantenere la spira fissa (lo schema di figura seguente già data è generalmente usato, con opportune modifiche, per produrre corrente quasi continua con le dinamo).

Figura 1
Nella figura seguente è mostrato uno schema ancora semplificato di alternatore:

Nel disegno si vede la bobina ferma ed un solo magnete che ruota. Anche qui in rotazione non si ha un solo elettromagnete, ma vari opportunamente sfasati
dove: CD, che ruota intorno al suo asse passante per O, è l’elettromagnete che ruota ed è quindi l’induttore; mentre AA’BB’ è un’unica spira fissa (come mostrato nella figura seguente) e quindi l’indotto:

L’unica bobina dell’indotto di un alternatore
In pratica, cioè, si preferisce avere, per un alternatore, un induttore ruotante ed un indotto fisso. E’ abbastanza semplice rendersi conto del perché si preferisca questo arrangiamento. Come chiaro da quanto fin qui detto, la tensione di uscita in un alternatore viene prelevata ai capi dell’indotto (della spira-bobina). Nel caso in cui l’indotto ruoti, per prelevare questa tensione sono necessari contatti striscianti mediante anelli e spazzole (vedi figure seguenti).

- (a) (b)
Figura 2 – In (a) è riportato il sistema di anelli e spazzole che abbiamo già visto e che ci fornisce tensione e corrente alternata. In (b) il sistema permette di raddrizzare parzialmente la tensione e corrente alternata: ogni mezzo giro, anziché ogni giro, la corrente riprende il verso che aveva all’inizio. Sezionando ulteriormente quei semianelli ci si può avvicinare sempre più ad una corrente continua.
Nella figura (a) ogni anello è saldato con un capo della spira ed è isolato dall’altro, oltre ché dall’asse di rotazione; man mano che la spira ruota la tensione che si genera ai suoi capi si ritrova sui due anelli; i due anelli, nella rotazione, strisciano su delle spazzole di carbone conduttrici che a loro volta sono collegate a dei fili conduttori ai capi dei quali si preleva la tensione di uscita. Un sistema come quello descritto è chiamato, come già detto, collettore. Vediamo in breve il sistema di prelievo di figura 2b. Qui abbiamo un commutatore (il più semplice possibile). Le spazzole della bobina strofinano su due semianelli in modo tale che, ad ogni mezzo giro (180°, il verso della corrente nella bobina risulta invertito cosicché mentre il grafico che rappresenta la corrente in funzione del tempo di figura 2a in un giro è quello rappresentato in (d), lo stesso grafico relativo al commutatore 2b è rappresentato in (c).

Il grafico di (c) è una sinusoide come (d) nella quale, ogni mezzo giro, viene ribaltata la semisinusoide negativa con il risultato che la corrente non passa per valori negativi ma ha sempre valori positivi. Una tale corrente viene chiamata continua anche se, come si vede, non lo è (una corrente continua, del tipo di quella fornita dalla pila, è rappresentata da una retta parallela all’asse orizzontale delle ascisse). Si può chiamare meglio una tale corrente come pulsante o unidirezionale. Per raddrizzare sempre più una corrente di un alternatore si usano dei commutatori più sofisticati nei quali il verso alla corrente cambia, in un giro, più e più volte. La figura che segue mostra al centro un commutatore costituito da un cilindro suddiviso in tanti settori che, successivamente, vanno a toccare, da bande opposte, le spazzole in m ed n. Ad ogni nuovo settore che arriva in contatto con le spazzole in m ed n corrisponde un cambiamento di verso di circolazione di corrente nella bobina (Circuit extérieur).

Torniamo ora al sistema di prelievo della tensione di figura 2. Esso funziona quando si ha a che fare con piccole potenze. Ma quando le potenze in gioco sono molto elevate, al collettore si pongono gravi problemi di isolamento non sempre risolvibili. Per questo si preferisce che l’indotto (da cui si preleva la tensione) sia fisso, in modo appunto da evitare contatti striscianti per il prelievo di alte tensioni e correnti. Indotto fisso prevede però che l’induttore sia in rotazione e poiché per induttore, come accennato, si preferisce un elettromagnete ad un magnete permanente, occorre inviare corrente all’induttore proprio per avere un elettromagnete. Quindi ancora contatti striscianti per inviare corrente al rotore ma con una differenza fondamentale: le tensioni e le correnti in gioco per eccitare il magnete sono di gran lunga più piccole di quelle che si hanno nel caso visto prima (prelievo) e in questo caso si può realizzare un buon isolamento.

L’induttore, alimentato da corrente continua per realizzare elettromagneti, è quello che ruota (il rotore) mentre l’indotto da cui si preleva la corrente alternata è fisso (statore)
Un altro vantaggio che si ha nell’uso dell’indotto fisso è che si possono ottenere più alte velocità di rotazione dell’induttore e quindi più alte tensioni (anche qui, senza entrare in dettagli, c’è alla base un problema di isolamento).
In definitiva un alternatore è realizzato con un indotto fisso ed un induttore in rotazione. All’uscita di questo alternatore si ha una tensione (e corrente, quando c’è un utilizzatore) alternata che è rappresentata dai grafici visti. Una tensione di questo tipo è anche chiamata monofase per distinguerla da tensioni a più fasi prodotte da altri particolari alternatori. In pratica gli alternatori monofase hanno scarsa applicazione, in loro luogo si preferiscono, per la loro maggiore efficienza, gli alternatori trifase ma qui entriamo in questioni troppo tecniche alle quali debbo però dare almeno un cenno.
La tensione monofase è così chiamata per distinguerla da tensioni a più fasi prodotte da altri particolari alternatori. In pratica gli alternatori monofase hanno scarsa applicazione, in loro luogo si preferiscono, per la loro maggiore efficienza, gli alternatori trifase. Lo schema di principio di un alternatore trifase ed il grafico delle tensioni in uscita sono riportati in figura seguente:

In questo caso la spira e quindi la bobina non è una sola. Si hanno tre bobine i cui terminali, da cui prelevare tensione e corrente mediante anelli e spazzole, si hanno in aa’, bb’, cc’. Naturalmente, in uscita, si prelevano tre tensioni V1, V2, V3. Le bobine hanno gli assi sfasati tra loro di 1/3 di giro. Il grafico rappresenta le tre tensioni (o correnti) prelevate ai collettori (spazzole + anelli). Si dimostra che, in ogni istante, l’ordinata di una tensione è uguale alla somma, cambiata di segno, delle altre due.


Questo alternatore differisce da quello monofase perché, anziché avere un solo indotto, ne ha tre separati e distanziati di 120° l’uno dall’altro. Così si avranno anche tre tensioni in uscita (tre fasi) che risulteranno sfasate di 120° l’una rispetto all’altra. Le tensioni (o correnti) in uscita saranno prelevate da aa’, bb’ e cc’ di fig. 2 ed avranno un andamento come quello riportato in fig. 3. L’insieme di queste tre correnti (quando vi sono gli utilizzatori) costituisce quella che è chiamata corrente trifase. La ragione principale per cui la corrente trifase è preferita alla monofase è di natura economica. Infatti per portare all’esterno le correnti prodotte servirebbero normalmente 6 fili (allo stesso modo 6 sono i fili che dovrebbero portare all’esterno le correnti prodotte da tre alternatori monofase) due per ciascuna fase. Si è invece trovato che con appropriati collegamenti degli utilizzatori (essenzialmente due il cui nome si capisce dal loro disegno: a stella e a triangolo, vedi le due figure seguenti) si possono trasportare le tre correnti con solo tre fili. Ciò e reso possibile dal fatto che ad ogni istante l’intensità di una corrente è sempre uguale e contraria alla somma delle altre due intensità (vedi fig. 3: a = b + c), e quindi un filo che trasporti una fase serve contemporaneamente per il ritorno delle altre due.
C’è ancora un altro accorgimento che modifica l’alternatore, industrialmente in uso, rispetto a quello che abbiamo schematicamente illustrato ed è ancora relativo all’induttore rotante. Per produrre una corrente alla frequenza industriale di 50 Hz, se l’induttore fosse un unico magnete, occorrerebbe che l’induttore stesso ruotasse con la velocità di 50 giri al secondo che equivale a 3000 giri al minuto (proprio per generare nell’indotto 50 variazioni alternate di flusso magnetico ogni secondo). Una tale velocità è difficilmente ottenibile, bisogna quindi cercare di ridurla senza modificare la frequenza della AC. Ciò è reso possibile aumentando il numero dei magneti dell’induttore e disponendoli a raggiera con i poli nord alternati ai poli sud. Se i magneti sono, ad esempio, 24, si otterranno variazioni di flusso ogni ventiquattresimo di giro, cioè la velocità dell’induttore può ridursi ad 1/24 di 50 giri al secondo che equivale a circa 2 giri al secondo che equivale ancora a 125 giri al minuto, velocità quest’ultima molto più facilmente raggiungibile. La scelta del numero dei magneti viene comunque fatta in sede di progetto in relazione alle caratteristiche meccaniche delle turbine che azionano l’alternatore permettendo la rotazione dell’induttore. Per turbine veloci a vapore può andare bene un solo elettromagnete mentre per turbine idrauliche si possono avere da tre fino a trenta elettromagneti (da sei fino a sessanta poli).
Con gli elettromagneti è possibile costruire gli alternatori sostituendo i magneti permanenti con gli elettromagneti che, come detto, hanno campi magnetici molto più intensi e con i quali sono possibili maggiori variazioni di progetto.
Nelle foto seguenti sono riportati due rotori con un numero differente di elettromagneti ed due dei tanti possibili statori (di dimensioni molto differenti) fatti con elettromagneti:




Sono solo degli esempi di una infinità di macchine che generano corrente alternata e non solo perché queste macchine possono essere trasformate in strumenti per la produzione di corrente continua, le dinamo. Tutte queste macchine hanno inoltre il grandissimo pregio della reversibilità: possono fornire energia elettrica quando si fornisce ad esse energia meccanica ma possono anche fornire energia meccanica quando ad esse si fornisce energia elettrica. Un antico disegno mostra quanto ancor detto:

In ogni caso abbiamo a che fare con interessanti argomenti di elettrotecnica che per essere trattati richiederebbero grande quantità di spazio che per ora non sconviene utilizzare. Ma la dinamo merita attenzione.
LA DINAMO
Il funzionamento di principio di una dinamo, un generatore di corrente continua, non si discosta molto da quello di un alternatore e per comprenderlo ci possiamo rifare direttamente alla figura 1 (spira ruotante in un campo magnetico) ed alla figura 2 (a) (sistema collettore formato da contatti striscianti tra anelli e spazzole). Abbiamo già detto che nel caso di un alternatore per correnti e tensioni elevate non era consigliabile avere l’indotto in movimento poiché il prelievo della tensione fatto attraverso contatti striscianti poneva gravi e non risolubili problemi di isolamento. La figura 1 insieme alla figura 2 (a) servivano quindi solo ad illustrare il principio di funzionamento di un alternatore che nella pratica è invece realizzato essenzialmente con l’indotto fisso e l’induttore in moto. Nel caso invece di una dinamo, poiché tensioni e correnti in gioco sono più piccole, è possibile usare contatti striscianti per prelevare la tensione di uscita e quindi è possibile avere l’indotto in moto proprio come nella figura 1. Ma uno strumento come quello visto forniva comunque tensione alternata. Per renderla continua o quasi occorre modificare il sistema di collettore, visto in figura 2 (a), come in figura 2 (b) (commutatore). Ridisegno la figura 2 (b) più in dettaglio per spiegare il funzionamento del commutatore.

- /a) (b) (c)
Figura 3
Per capire come funziona questo sistema formato da due semianelli collegati alle estremità della spira (ed isolati fra loro) e due spazzole striscianti serviamoci delle figure 3 (b) e 3 (c), ottenute guardando il sistema lungo l’asse della spira e dei semianelli in due istanti successivi, quando nel suo moto rotatorio la spira dà luogo all’inversione dei contatti dei due semianelli con le due spazzole. Nella spira circola sempre una corrente indotta che viene trasferita all’esterno attraverso i due contatti A e B delle spazzole. Nel caso di figura 3 (b) la corrente va dalla spazzola A al semianello 1 e quindi, tramite la spira, dal semianello 2 alla spazzola B. In definitiva la corrente prodotta dalla spira ha il verso che va da A a B. Nel caso di figura 3 (c), quando la spira ha superato la posizione di tensione nulla (spira perpendicolare alle linee di forza), le spazzole si sono scambiati i semianelli e contemporaneamente la corrente nella spira circola in verso opposto; ciò fa sì che la corrente vada dalla spazzola A al semianello 2 e quindi, tramite la spira, dal semianello 1 alla spazzola B. In definitiva, anche qui, la corrente prodotta dalla spira circola da A verso B. La corrente complessiva prodotta da un giro completo della spira sarà allora, unidirezionale ed anche se non proprio continua avrà un andamento come quello riportato in figura 4 (questo collettore taglia la componente negativa della corrente alternata facendola diventare corrente pulsante).

Figura 4 – Loop = Spira; Field = Campo; EMF = Forza elettromotrice.
Anche qui però con opportuni accorgimenti costruttivi è possibile rendere praticamente continua la tensione e corrente di uscita. Si tratta di avere, anziché una sola spira, tanti gruppi di spire avvolte intorno ad un nucleo di ferro dolce (anello di Pacinotti) che funzionano da indotto ed un commutatore consistente in tanti settori di rame quanti sono i gruppi di spire disposti sopra un cilindro ed isolati tra loro (figura 5, figura 6 e figura 7). In questo modo la corrente di uscita risulta uguale alla somma di tutte le correnti indotte originate in ciascun gruppo di spire ed si avvicina sempre più ad una corrente continua al crescere del numero degli avvolgimenti, come mostrato in figura 7 (c). La dinamo è inoltre una macchina ad elevato rendimento che, in pratica ed in una buona dinamo, può arrivare al 92%.
E’ quindi una dinamo che viene usata da eccitatore per fornire tensione (continua) all’induttore di un alternatore. Questa dinamo può essere montata sullo stesso asse dell’alternatore in modo che la rotazione di quest’asse origini contemporaneamente la rotazione dell’indotto della dinamo e dell’induttore dell’alternatore.
Altre volte, per svariate ragioni, la dinamo può essere separata dall’alternatore. Oggi poi, per ragioni di maggiore semplicità costruttiva e maggiore facilità di regolazione,
si tendono ad usare altre macchine separate dall’alternatore (raddrizzatori statici, raddrizzatori a secco, commutatori a vapori di mercurio, …).

Figura 5: In questo caso si dispone di due spire ruotanti. I semianelli sono diventati quattro. Le tensioni si sovrappongono in modo da dare per risultante ciò che è mostrato in figura 6.

Figura 6

Figura 7: Le spire ruotanti sono ora tre (a). I semianelli sono sei (a). La tensione risultante è mostrata in (c).

Figura 8: come si presenta in genere un disegno schematico di una dinamo.
USO INDUSTRIALE E CIVILE DELLA CORRENTE ALTERNATA
Nella Seconda Parte ho accennato al calore che si sviluppa in circuito al passaggio di corrente. Ricapitolo qui quanto avevamo discusso e trovato.
La grandezza potenza introdotta in meccanica ma con significato del tutto generale (lavoro fatto nell’unità di tempo) è definita come:



Avevamo poi trovato dal Primo principio della termodinamica scritto per una trasformazione ciclica (Esperienza di Joule-Mayer) che la quantità di calore Q ed il lavoro L sono legati tra loro dalla relazione

Quanto ora trovato dice che il calore che si sviluppa in un circuito (Effetto Joule) dipende principalmente dalla quantità di corrente che vi circola (perché la grandezza I è al quadrato); dipende poi dalla grandezza della resistenza e, naturalmente, da quanto tempo circola corrente.
Quest’ultima era la conclusione che mi serviva ricordare: l’intensità I di corrente che circola in un qualunque circuito è la principale responsabile del suo riscaldamento. Senza troppi ragionamenti è facile capire che questo riscaldamento è consumo di energia, consumo non cercato ed a volte dispendiosissimo.
Ma questo valeva per la corrente continua (DC). Cosa accade per la corrente alternata (AC)?
Osservando il grafico della tensione sinusoidale ε in funzione di t appena dato ci si accorge immediatamente che il valore medio in un periodo è nullo in quanto l’area sottesa nel semiperiodo positivo è identica a quella sottesa nel semiperiodo negativo: ne risulta una somma nulla.
Questo però non deve far credere che la potenza trasportata sia nulla (e quindi che, tra l’altro, non si sviluppi calore) perché è esperienza comune che in casa i fili percorsi da corrente alternata si scaldano ed a volte provocano disastrosi corti circuiti con disastrosi incendi. Ma poiché la tensione e la corrente sono alternate, dovendo noi dare un numero che ci dica qual è la tensione o la corrente, che numero diamo se appunto i loro valori variano nel tempo? Nel calcolo delle correnti di uscita di un generatore sarebbe ovviamente errato usare il valore massimo (IM) della corrente poiché per la gran parte dell’intero ciclo la corrente si mantiene più bassa del valore massimo. Si è allora introdotta una grandezza, il valore efficace, che tra l’altro ha il grande vantaggio di mettere in relazione la AC con la DC. Si definisce valore efficace di una corrente alternata (Ieff ) il valore che dovrebbe avere una corrente continua, per produrre, nelle stesse condizioni di resistenza e nello stesso tempo, una uguale quantità di calore. La stessa cosa vale per la tensione efficace (εeff ). Si e poi calcolato che esiste una precisa relazione tra valori efficaci e valori massimi di corrente e tensione, come riportato nelle seguenti uguaglianze:

.
Ebbene queste relazione è valida solo in particolari condizioni che vedremo più oltre (quando tensione e corrente sono in fase, quando abbiamo un circuito puramente resistivo). Nel caso più generale di tensione e corrente sfasate, la potenza (media) che un generatore di AC può erogare è sempre minore del valore ora visto (W = εeff.Ieff.cosφ cioè si ha la quantità vista prima moltiplicata per cosφ, cioè per un numero compreso tra zero ed uno).
Introdotti i valori efficaci si ha subito la quantità di calore che si sviluppa in un circuito percorso da corrente alternata:

Per quel che ci interessa, è importante osservare la dipendenza dal quadrato della corrente in contemporanea con la dipendenza dalla resistenza. Infatti per rendere il più piccolo possibile Q occorre rimpicciolire sia I2eff che R (visto che sul tempo necessario ad una corrente per trasferirsi da un punto ad un altro non possiamo intervenire). Ma noi sappiamo che le dinamo producono alte correnti (e basse tensioni) e quindi la nostra possibilità di intervento si riduce ad R. Da un punto di vista tecnico si potrebbe diminuire di molto la resistenza della linea ma, per far questo, occorrerebbe usare cavi di grande sezione. Per ragioni economiche questa eventualità viene esclusa.
Con la corrente continua quindi si avrebbero grosse perdite per effetto Joule nel trasporto a distanza. Con le correnti alternate le cose vanno diversamente. Infatti un alternatore può produrre alte tensioni che, essendo alternate, possono essere trasformate ulteriormente in tensioni (anche moltissimo) più alte (come vedremo subito); nel trasformare una tensione in una più alta si ha, a parità di potenza, la conseguenza dell’abbassamento (anche notevole) della corrente.
Il problema si pose negli Stati Uniti con una diatriba notevole tra aziende elettriche. Vediamo.
TRASMISSIONE DI CORRENTE
Nel 1884 un disordinato autodidatta che aveva a volte idee geniali, Tesla, si trasferì da Parigi a New York a lavorare per la Edison, nella Edison Machine Works, con lettera di raccomandazione del suo dirigente a Parigi, Charles Batchelor. Assunse il ruolo di semplice ingegnere elettrotecnico. Più avanti gli fu affidato il compito di ridisegnare e perfezionare i generatori di corrente continua prodotti dalla Edison (ricordo che sul finire dell’Ottocento si puntava sulla corrente continua – DC – più che su quella alternata – AC – ed Edison era un ardente sostenitore dell’opzione corrente continua mentre, ad esempio, Sebastian Ziani de Ferranti, l’inglese di padre italiano, costruiva in Gran Bretagna centrali per corrente alternata). Edison in persona gli aveva promesso una quantità esorbitante di denaro (50 mila dollari, pari ad un milione di dollari al valore del 2007) se avesse realizzato generatori e motori in corrente continua commercialmente validi. Quando Tesla terminò il suo lavoro con successo, nel 1885, chiese i suoi soldi ma Edison rispose che Tesla non aveva ancora capito l’umorismo americano proponendogli una paga settimanale di 25 dollari in luogo dei 14 dollari con cui era stato assunto. Edison aveva già realizzato diverse compagnie elettriche e varie piccole centrali elettriche non disdegnando la corruzione di deputati al fine di approvare la legge per l’illuminazione delle strade con lampade ad incandescenza di sua invenzione e realizzazione. Aveva quindi ben compreso lo spirito del capitalismo americano organizzando fabbriche per lo sfruttamento integrale di ogni invenzione, investendo in ogni attività (come le ferrovie a vapore) che mostrassero una qualche possibilità di guadagno. Gli USA erano già una grande potenza industriale, disponevano di molti tecnici pratici che lavoravano empiricamente, di imprenditori con grandi disponibilità economiche ma mancavano di scienziati come quelli formati in Europa che sottoponevano a trattamento teorico i dati dell’esperienza. Tra Edison e Tesla vi fu un’altra divergenza con implicazioni molto maggiori, divergenza che, sviluppatasi successivamente anche con l’intervento di Westinghouse, fu chiamata dalla stampa guerra delle correnti. Tesla osservò ad Edison che le centrali elettriche della sua compagnia erano del tutto inefficienti. Edison aveva costruito la prima centrale a DC a New York nel 1882 (e fondato la Edison Electric Light Company nel 1878 che nel 1892 diventerà la General Electric Company). La centrale copriva le esigenze di una limitata zona in cui iniziò ad essere introdotta l’illuminazione pubblica con lampade dello stesso Edison. E’ interessante osservare che il miracolo elettrico raggiunse anche la villa del banchiere Morgan, fondatore della Morgan Stanley, rendendola luminosa ed invidiabile tanto che Morgan divenne un sostenitore di Edison. Dalla prima centrale di Edison ne erano seguite molte altre lungo la costa atlantica. Poiché la potenza di una centrale del tipo Edison diveniva inutilizzabile a circa 3 Km dalla centrale, era necessario costruire centrali ogni 3 Km. La cosa risultava evidente nell’illuminazione fornita dalle stesse lampade di Edison: all’allontanarsi dalla centrale esse illuminavano sempre meno, finché a circa 3 Km dalla centrale erano praticamente spente. Il motivo di ciò risiedeva nei principi elementari alla base della corrente, la legge di Ohm e, soprattutto, l’effetto Joule che prevede un riscaldamento del filo che trasporta la corrente proporzionale al quadrato dell’intensità di corrente. Ora, una DC ha determinati valori di intensità di corrente e tensione alla sua produzione, valori che non possono essere mutati al momento dell’immissione nella rete elettrica. La potenza della centrale è data dal prodotto dell’intensità di corrente che viene prodotta moltiplicata la tensione di tale corrente.

= .
Il fatto del quale si deve prendere atto è che, alla produzione, i valori di intensità di corrente sono sempre elevati mentre le tensioni sono relativamente piccole. E’ il contrario di ciò che interesserebbe. A questo punto si inseriscono le osservazioni di Tesla. Perché non puntare sulla corrente alternata? Essa cambia ciclicamente e dovrebbe essere possibile distribuirla in onde multiple mediante sistemi polifase. L’idea era di utilizzare una AC che, subito dopo essere stata prodotta, può essere trasformata. Fermo restando che, alla produzione, si hanno alti valori di intensità e bassi di tensione, con la AC è possibile elevare la tensione, anche di moltissimo (mediante trasformatori), abbassando l’intensità. In questa operazione si mantiene la costanza della potenza della centrale, del prodotto cioè tra tensione e intensità prodotte. Per ragioni di sicurezza, prima dell’utilizzazione la tensione viene di nuovo abbassata con un altro trasformatore. Con tali centrali non occorre più costruirne tante perché è possibile trasportare una corrente a piccola intensità e grande tensione a grandi distanze senza dissipare troppa energia in calore.
Edison comunque non capì le cose che Tesla gli proponeva ed addirittura lo cacciò lasciandolo in miseria. Tesla riuscì a sopravvivere mettendo in piedi un laboratorio e, nel maggio 1888, pubblicò, presso il citato American Institute of Electrical Engineers, un suo fondamentale lavoro: A New System of Alternating Current Motors and Transformers. Alcune sue realizzazioni e la lettura di questo lavoro impressionarono l’industriale ed inventore George Westinghouse (arricchitosi producendo freni idrodinamici e sistemi di segnalazione per ferrovie) che si recò a visitare il laboratorio di Tesla e si dice che ne restò sbalordito. Tesla aveva costruito dei prototipi di sistemi polifase (una dinamo a corrente alternata, dei trasformatori in salita ed in discesa, un motore in AC ed altri apparati. Erano stati i due avvocati Peck e Brown a far incontrare Tesla con Westinghouse; quando costoro capirono che le idee sui generatori e motori di Tesla avrebbero avuto un futuro, anziché mettersi a produrli in proprio vendettero i brevetti a Westinghouse che li comprò a carissimo prezzo. Westinghouse chiamò Tesla a lavorare presso i laboratori della Westinghouse Electric & Manufacturing Company’s di Pittsburgh. Westinghouse si interessò particolarmente ai sistemi polifase ai quali lavorava Tesla e finanziò la loro realizzazione riuscendo, in breve tempo, a fornire energia elettrica con il sistema Tesla, che nel suo insieme costituisce il prototipo di tutte le reti elettriche su vasta scala, agli interi Stati Uniti. Edison perse il suo primato dopo una battaglia senza esclusione di colpi su vari organi di stampa. L’arma che Edison riteneva definitiva contro la AC era la sua pericolosità e, allo scopo, costruì la tristemente nota sedia elettrica in CA in cui folgorò ogni specie di animale fino ad un elefante. Tesla rispose alla sfida facendosi attraversare da una AC senza che la cosa gli procurasse danno. Da qui iniziò il crollo della Edison e la crescita inarrestabile della Westinghouse. Alla Fiera Mondiale di Chicago del 1893 l’illuminazione fu affidata alla Westinghouse e non per qualche preconcetto ma perché il preventivo di spesa era minore della metà di quello della General Electric. A questa Fiera Tesla poté finalmente esporre e far conoscere i suoi apparati in AC polifase (generatori, motori, alternatori, trasformatori). Più tardi la Niagara Falls Power Company incaricò la Westinghouse di trasmettere per il Paese l’energia prodotta nelle sue centrali idroelettriche. Ma su questa applicazione vi furono importanti modifiche ai lavori di Tesla realizzate dagli altri ingegneri della Westinghouse.
Insomma, con aggiustamenti fondamentali, soprattutto nella frequenza di trasmissione della corrente, la corrente alternata si impose in modo evidente soprattutto, come detto e ripetuto per la sua possibilità di essere trasformata. Ebbene vediamo come funzionano i trasformatori.
TRASFORMATORI ED EFFETTO JOULE
Il trasformatore elettrico serve a trasformare una corrente elettrica in un’altra di caratteristiche diverse. Il trasformatore di tensione serve a trasformare una corrente fornita ad una data tensione in un’altra corrente sotto tensione diversa. Ci proponiamo di studiare il solo trasformatore statico monofase che non comporta alcuna parte mobile e viene utilizzato esclusivamente per correnti alternate. Esso è formato da un nucleo composto da lamierini di ferro-silicio sovrapposti per evitare al massimo possibile perdite dovute alle correnti di Foucault che surriscaldano sempre conduttori metallici massicci; inoltre il nucleo è chiuso per evitare la dispersione del flusso Φ di induzione.

Figura 9
Ai due lati del nucleo sono avvolti due solenoidi completamente indipendenti uno dall’altro.
Nella figura, a sinistra vi è l’avvolgimento primario P al quale viene fornita l’energia in ingresso mentre a destra si trova l’avvolgimento secondario S che può fornire energia elettrica e costituisce perciò un generatore di corrente. Si supponga per il momento che il circuito del secondario sia aperto. Applicando ai capi del primario P una tensione alternata εp, esso sarà attraversato da una corrente ip che genera nel nucleo una induzione magnetica B continuamente variabile con legge sinusoidale e con ugual frequenza ν della corrente. Poiché il nucleo è chiuso, le linee di induzione praticamente non vengono disperse perché preferiscono addensarsi nei materiali ferromagnetici: si dice che il nucleo forma un circuito magnetico chiuso. Tutte le spire del secondario S verranno allora attraversate dallo stesso flusso d’induzione alternato Φ che sappiamo essere proporzionale, istante per istante, all’induzione B. La variazione di flusso nel secondario, per la legge di Faraday-Neumann, creerà una forza elettromotrice indotta εs pure alternata, avente ugual frequenza ν della tensione applicata al primario. Chiudendo il circuito del secondario sopra un carico di utilizzazione, la tensione εs farà circolare in esso una corrente is, pure alternata e della stessa frequenza.
Si dice che il trasformatore funziona a vuoto quando il secondario è aperto. In questo caso (l’unico che studiamo) il rapporto fra le tensioni efficaci ai capi del secondario e del primario è uguale al rapporto fra il numero delle spire degli avvolgimenti corrispondenti.
Vi è una semplice catena di proporzionalità che può portarci a quanto si trova sperimentalmente:
ε è proporzionale a Φ
Φ è proporzionale a B
B è proporzionale a N
ed in definitiva:
ε è proporzionale a N
In simboli, indicando con Eeff,,S la tensione letta al secondario e con Eeff,,P quella del primario, si ha:

Nella relazione scritta, il segno meno discende dalla Legge di Lenz ed il rapporto tra il numero delle spire del secondario rispetto al primario è chiamato rapporto di trasformazione. Il segno di uguaglianza vale solo per trasformatori a vuoto. Se si inserisce un carico al secondario allora quell’uguale va sostituito con un circa uguale (~). Nel caso si passi da basse tensioni ad alte tensioni il trasformatore è detto elevatore, nel caso contrario è detto riduttore.
Una osservazione importante è la seguente: se la tensione ai capi del primario è prelevata dalla rete di distribuzione e se nel luogo ove si esperimenta il carico è rappresentato solo dall’avvolgimento del primario, il disco del contatore non ruota o ruota debolmente. Non si consuma, o quasi, energia. Infatti il circuito è praticamente solo induttivo e pertanto corrente e tensione sono sfasate di un angolo φ = π/2 ed in tal caso la potenza è sensibilmente nulla. Un trasformatore a vuoto non consuma energia elettrica.
Aggiungo che nel trasformare una tensione in una più alta si ha, a parità di potenza, la conseguenza dell’abbassamento (anche notevole) della corrente (e viceversa). Vediamo perché. La potenza in AC è data da:
W = εeff.Ieff.cosφ
Poiché in una stessa corrente il cos φ si mantiene lo stesso non ci interessa; rimane allora da occuparci degli altri termini della relazione. Se W rimane costante ed aumentiamo εeff , proprio perché W rimane costante, si ha come conseguenza una diminuzione proporzionale di Ieff. Posto cos φ =1, se W = 10, εeff = 5 e Ieff = 2 si ha:
10 = 5.2
se raddoppiamo εeff , come conseguenza si dimezzerà Ieff
10 = 10.1
e così via:
10 = 100.1/10 10 = 1000.1/100 10 = 10000.1/1000 ………..
Quindi il poter trasformare una tensione è un fatto di notevole importanza che tra l’altro si realizza con macchine ad elevatissimo rendimento, i trasformatori, con nessun organo in movimento e concettualmente molto semplici.
Supponiamo di avere una tensione al primario di 1000 V e di volerla portare a 10000 V. Basta far sì che il rapporto εS /ε1P (rapporto di trasformazione) sia uguale a 10 e quindi si potranno avere, ad esempio, 100 spire al primario (NP = 100) e 1000 spire al secondario (NS = 1000) cosicché NS/NP = 1000/100 = 10. Per ridurre la tensione da 10000 V a 1000 V basta operare allo stesso modo e far sì che NS/NP = 1/10. Si avranno quindi, ad esempio, 1000 spire al primario (NP = 1000) e cento spire al secondario (NS = 100), di modo che NS/NP = 1/10.
Nel caso in cui si disponga di un utilizzatore collegato al secondario allora il trasformatore non trasforma più solo la tensione ma anche la corrente, diventando un trasformatore di potenza. Poiché, abbiamo già detto, il trasformatore è una macchina
ad altissimo rendimento (può superare anche il 99%), si possono considerare uguali le potenze di entrata e di uscita (è sottinteso che le tensioni e le correnti sono quelle
efficaci):

e, ricordando la (3), si ha:
Ieff.S/Ieff.P = NS/NP da cui IeffS = IeffP.NS/NP
Si vede subito allora che, mentre le tensioni erano direttamente proporzionali ai numeri di spire del primario e del secondario, le correnti risultano inversamente proporzionaliallo stesso numero di spire; quindi mentre la macchina eleva tensione abbassa corrente a viceversa (vedi fig. 9 a e 9 b).

Figura 9 a

Figura 9 b
Si tenga poi conto che la differenza fra le intensità delle correnti del primario e del secondario dimensiona anche le sezioni dei fili conduttori nei due circuiti. Infatti là dove le correnti sono più elevate occorre utilizzare cavi di sezione maggiore (resistenze minori).
Un importante problema che si presenta utilizzando i trasformatori, soprattutto se di elevata potenza è quello del loro raffreddamento. Si pensi che un trasformatore con la potenza di 5000 KW con un rendimento del 97% dà una perdita di 150 KW che vanno a scaldare il trasformatore come un forno di quella potenza.
Per raffreddare i trasformatori si usano due metodi:
- raffreddamento ad aria: quando i trasformatori sono di piccola potenza basta lo scambio di calore con 1’ambiente esterno, per raffreddare il trasformatore;
- raffreddamento ad olio: per trasformatori di elevata potenza. Il trasformatore è posto in un contenitore metallico pieno di olio minerale. L’olio ha il duplice scopo di isolare le varie parti del trasformatore e di raffreddarlo con i suoi moti convettivi. Le pareti dei recipienti sono poi munite di radiatori per facilitare lo scambio con l’aria esterna. Nel caso in cui si usi l’olio per raffreddare un trasformatore occorre porre in atto due importanti precauzioni. La prima è che il recipiente deve essere sempre pieno d’olio (ed allo scopo si usa un particolare recipiente esterno – il conservatore d’olio – che serve appunto a mantenere costante il livello dell’olio). La seconda è relativa alla formazione nel trasformatore di sovracorrenti che sviluppino dall’olio dei gas che possono originare delle esplosioni (ed allo scopo si usano delle apparecchiature automatiche che servono a distaccare il trasformatore dalla linea in caso di produzione di sovracorrenti).

Figura 10
La figura 9 è lo schema relativo ad un trasformatore statico monofase. E’ utile accennare al fatto che, a partire dallo stesso principio, vi sono trasformatori trifasi (fig. 10): ogni fase viene trasformata come ora visto. La figura 11 mostra un grande trasformatore trifase in funzione in una centrale elettrica

Figura 11 – Il cilindro orizzontale in alto (anche nella figura 10) è il conservatore d’olio
LINEE DI TRASMISSIONE DELL’ENERGIA ELETTRICA (INTERCONNESSIONE E RISERVA)
Abbiamo a questo punto in mano tutti gli elementi per seguire l’energia dal momento in cui diventa elettrica fino al momento in cui viene usata nell’industria, negli usi civili, nei trasporti. Non dobbiamo far altro che ricapitolare brevemente introducendo alcune informazioni aggiuntive.
A monte di ogni processo di produzione e trasporto di energia elettrica vi è la centrale. Di qualunque tipo sia la centrale essa abbisogna di una fonte primaria, di energia che può essere acqua in caduta (centrali idroelettriche), vapore naturale o da rocce calde e secche con immissione d’acqua (centrali geotermoelettriche), vapore originato bruciando combustibili fossili (centrali termoelettriche), vapore originato da energia nucleare (centrali nucleari), gas ad alta temperatura e pressione originato dalla combustione di nafta o metano (centrali turbogas).
Ogni centrale ha lo scopo di trasformare energia da un qualunque tipo iniziale, in energia meccanica di rotazione della turbina (nel caso di centrali idroelettriche si trasforma energia gravitazionale di caduta di una massa di acqua; nel caso delle centrali termoelettriche o turbogas o geotermoelettriche o nucleari o solari si trasforma energia termica). La figura 12 esemplifica quanto detto con l’aggiunta che, arrivati nel luogo di utilizzazione, la tensione deve essere trasformata di nuovo per abbassarla:

Figura 12
La rotazione della turbina è trasmessa all’induttore dell’alternatore (ed alla relativa dinamo eccitatrice) che ha lo scopo di trasformare energia meccanica di rotazione in energia elettrica (ad alta corrente e bassa tensione). Poiché poi per il trasporto è conveniente avere tensione molto alta (con conseguente corrente bassa), collegato all’alternatore vi è il trasformatore che ha lo scopo di trasformare la tensione a valori molto più alti di quelli di produzione (fino a 380 000 volt). A questo punto c’è la linea ad alta tensione (l’elettrodotto) che collega la centrale con i luoghi di consumo. La tensione immessa in queste linee è per gli elettrodotti principali di 380 000 volt (380 KV) e di 220 000 V (220 KV). Per gli elettrodotti secondari questa tensione scende a vari livelli. (In alcuni Paesi come gli U.S.A. e 1° Russia sono in via di sperimentazione linee di trasmissione a DC della tensione di 800 KV). Si tenga conto che le perdite su una linea si aggirano intorno al 20% (se in buono stato di conservazione e di manutenzione).
Arrivati al luogo di utilizzo la tensione viene ridotta a valori più bassi. Se il centro di utilizzazione è di piccola estensione (raggio di circa 200 m) si ha una sola cabina di trasformazione che porta la tensione ai normali 220 V (e 380 V) d’uso. Se il centro di utilizzazione è invece di grande estensione si hanno prima delle sottostazioni che trasformano la tensione intorno agli 11 000 V; quindi, da queste sottostazioni partono linee che vanno ad alimentare svariate cabine per l’ulteriore trasformazione ai valori normali d’uso della tensione (220 V o 380 V). Da tenere molto in conto che si perde circa la metà dell’energia a partire dalla fonte primaria fino ad arrivare all’utilizzazione con l’intermediazione elettrica.
Prima di concludere con questo paragrafo ancora qualche parola sull’interconnessione e la riserva.
Abbiamo già detto che vari impianti per la produzione energetica possono venire collegati in parallelo. A questo collegamento in parallelo esteso a tutti i centri di produzione nazionale (e non solo) si dà il nome di interconnessione. Naturalmente una volta interconnesse più stazioni di produzione si tratterà di distribuire la potenza disponibile ai vari centri di consumo.
L’interconnessione presenta svariati vantaggi tra i quali la connessione dei carichi delle punte, l’integrazione reciproca delle centrali di produzione, la riduzione della quantità del macchinario di riserva, l’aumento delle potenze unitarie dei gruppi generatori.
Tra i vantaggi ora elencati dell’interconnessione merita attenzione quello relativo alla riserva.
La riserva di potenza nel passato veniva intesa come un surplus di macchinari che in centrale facesse fronte all’andata fuori servizio di quelli in uso.
E’ appunto il concetto prevalso negli ultimi anni di interconnessione che ha fatto superare quello precedente di riserva. Infatti se una centrale dovesse andare fuori servizio, non servono macchinari che sostituiscano quelli guasti o in manutenzione, poiché l’intera rete supplisce alla potenza che viene a mancare. Purché l’interconnessione sia completa (non è il caso italiano dove, ad esempio, un solo elettrodotto unisce il nord al sud: se per jattura andasse fuori servizio i black-out sarebbero la norma).
La riserva, definita come maggiore potenza generatrice disponibile in rete, può comunque essere di due tipi: riserva come margine di potenza di gruppi già in servizio (riserva rotante) e riserva come gruppi pronti ad entrare in servizio in caso di manutenzione programmata di uno o più gruppi (riserva fredda). L’entità della riserva occorrente ad un Paese è determinata da procedimenti molto aleatori che spesso sono usati come strumenti di pressione (in Italia era al 1980 del 24% mentre in tutti gli altri Paesi dell’Europa oscilla intorno al 16%).
CIRCUITI IN CORRENTE ALTERNATA
Nelle cose dette ho qua e là accennato al fatto che ci riferivamo ad un circuito in cui comparivano solo resistenze (puramente resistivo) cosa che è una semplificazione estrema che richiede qualche precisazione almeno di principio. Ho discusso di questo parlando dello sfasamento φ che introduce quel cos φ nella formula che fornisce la potenza di una corrente alternata. Vediamo da dove nascono i problemi.
Mentre nei circuiti a DC ha solo senso introdurre resistenze perché se introducessimo un condensatore sarebbe come se tagliassimo il filo che trasporta la corrente. Discutere quindi di condensatori in DC è abbastanza inutile. Non è così quando abbiamo a che fare con la AC dove i condensatori giuocano un ruolo importante ma non solo. In AC subentra un altro elemento, l’induttanza (della quale parlerò più oltre), al quale in DC non si pensava.
Prima di discutere l’inserimento di un condensatore all’interno di un circuito alimentato da corrente alternata, circuito in cui vi è solo un condensatore (puramente capacitivo), riprendo brevemente il circuito puramente resistivo.

Figura 13
In figura 13 (a) è rappresentato un circuito puramente resistivo, con una sola resistenza R, alimentato da una tensione alternata E = E0. sen ωt (con E0 valor massimo della tensione) e percorso da una corrente (con i0 valor massimo della corrente). Più in generale si definisce puramente resistivo un circuito che abbia un preponderante valore di resistenza e nel quale le induttanze e capacità si possano considerare nulle o trascurabili (figura 13 a).
Si ricordi comunque che ogni circuito presenta anche un certo valore di induttanza (ed anche di capacità). Però se esso è costituito da conduttori rettilinei e non vicino a nuclei ferromagnetici si può considerare in pratica puramente resistivo, ossia dotato di sole resistenze: tali sono ad esempio le lampade ad incandescenza e gli apparecchi destinati a produrre calore (stufe, fornelli, ecc.). In questo caso è ancora valida la legge di Ohm come è stato visto per le correnti continue, ossia:
εeff = R.Ieff
dove le grandezze rappresentano i valori efficaci della tensione e della corrente (la legge è però valida anche per i valori istantanei).
Le due sinusoidi della corrente e della tensione sono in fase fra loro, ossia la corrente aumenta e diminuisce contemporaneamente alla tensione (figura 13 b). Come già detto è ancora valida la legge di Joule (ripetiamo: applicata ai soli valori efficaci) dando risultati numerici uguali a quelli della corrente continua.
CIRCUITO PURAMENTE INDUTTIVO
Si definisce così un circuito che presenti un determinato valore di induttanza ed abbia resistenza e capacità praticamente nulle (fig. 14).
Questo caso è praticamente irrealizzabile in quanto qualsiasi conduttore, come detto, presenta un certo valore di resistenza, anche se piccolo, per cui non si potrà mai ottenere una induttanza pura. In pratica si possono considerare tali i conduttori di grossa sezione avvolti a spirale attorno ad un nucleo magnetico, in modo da ottenere un valore molto elevato della induttanza.
Con corrente alternata si ha la generazione di una forza elettromotrice indotta (precisamente in questo caso si tratta di f.e.m. di autoinduzione perché è prodotta dalla corrente del circuito). Poiché la f.e.m. si oppone alla tensione, essa avrà in ogni istante segno contrario alla tensione e potremo quindi chiamarla forza controelettromotrice essendo una f.e.m. opposta, cioè contraria, alla tensione.

Figura 14
Questo circuito si comporta come un circuito in cui, ponendo R = 0, la corrente incontra una resistenza induttiva (differente da quella resistiva) data da:
(4) ωL = ZL
e chiamata reattanza induttiva.
La tensione è numericamente uguale alla f.e.m. autoindotta. Il termine di proporzionalità fra la tensione e corrente, che si esprime con la appena vista reattanza induttiva, ZL = ωL = 2πν.L, e viene misurata in ohm, come una resistenza, poiché determina il valore della corrente che percorre un circuito puramente induttivo al quale sia applicata una certa tensione. Si tenga però presente che non è uguale ad una resistenza: in primo luogo esso non dà origine a dissipazione di energia sotto forma di calore, ma rappresenta lo scambio di energia che avviene fra il generatore elettrico ed il campo magnetico con la frequenza corrispondente a quella della corrente; secondariamente esso non ha valore costante: infatti per il fenomeno della saturazione l’induttanza L cambia il suo valore quando il flusso magnetico si sviluppa entro materiali ferromagnetici. Infine il valore della reattanza dipende anche dalla frequenza applicata alla rete, per cui con frequenze molto elevate circuiti contenenti nuclei di ferro possono addirittura impedire il passaggio della corrente.
In tale circuito, data sempre una alimentazione E = E0 sen ωt, la corrente sarà data da

.
La (5) ci dice che la corrente i è in ritardo di fase di π/2 (o, che è lo stesso, di T/4) rispetto alla tensione ε:

Figura 15
CIRCUITO PURAMENTE CAPACITIVO
Si definisce puramente capacitivo un circuito che comprenda una capacità ed abbia invece resistenza ed induttanza praticamente nulla (fig. 16). A questa condizione ci si può avvicinare abbastanza nella realtà con un circuito costituito da un condensatore che sia collegato al generatore mediante conduttori non induttivi e di resistenza molto bassa. In corrente continua, come abbiamo visto, il condensatore rappresenta una interruzione del circuito e non consente il passaggio della corrente, mentre se si ha alimentazione con tensione alternata il fenomeno della carica e scarica del condensatore provoca un movimento di cariche fra le armature corrispondente ad una corrente alternata.
Come abbiamo visto quando aumenta la tensione applicata alle armature di un condensatore, si ha un addensamento di cariche di segno opposto su di esse. Quando la tensione rimane costante, la carica non varia, ma appena la tensione diminuisce la carica accumulata decresce. Ne consegue che il movimento delle cariche elettriche dei due segni verso le armature (movimento che corrisponde ad una corrente elettrica) si verifica quando la tensione varia, mentre non vi è movimento (quindi non c’è corrente) negli istanti in cui la tensione non varia, quando raggiunge i valori massimi positivo o negativo. Traducendo questo comportamento in un diagramma (fig. 17) si vede che la corrente in un circuito capacitivo è sfasata rispetto alla tensione. Si dice allora che la corrente in un circuito capacitivo è sfasata di 90° in anticipo rispetto alla tensione applicata.
Anche qui valgono le considerazioni sulla resistenza, fatte nel caso precedente. Considereremo quindi R = 0 (ricordo che in DC il condensatore non fa passare corrente e si comporta quindi come se R = ∞) ed E = E0 sen ωt.

Figura 16
In questo caso, il valore istantaneo della corrente i è dato da

viene misurata in ohm come la resistenza e la reattanza induttiva, poiché determina il valore della corrente che percorre un circuito capacitivo al quale sia applicata una certa tensione. Anche in questo caso valgono le considerazioni svolte per la reattanza induttiva, ossia: la reattanza capacitiva non dà luogo a dissipazione di energia ma rappresenta lo scambio di energia che avviene fra il generatore ed il campo elettrico con frequenza corrispondente a quella della corrente. Anche in questo caso, a differenza della resistenza, la reattanza Zc non ha valore costante, poiché essa dipende della frequenza della tensione: la reattanza è tanto minore quanto più elevata è la frequenza (perché ω compare al denominatore), per cui un condensatore in alta frequenza si comporta quasi come un elemento in corto circuito. La legge di Ohm sarà quindi:

La (6) ci dice che la corrente i è in anticipo di fase di π/2 (o, che è lo stesso, di T/4) rispetto alla tensione ε:

Figura 17
Nel caso in cui si considerasse un valore di R ≠ 0, l’ultima relazione diventerebbe:

Quanto qui detto ci spiega la differenza esistente tra condensatore alimentato in corrente continua (si carica il condensatore e tutto si ferma) e circuito alimentato in corrente alternata. Abbiamo ora visto che in AC vi è passaggio di corrente e ciò avviene per un semplice meccanismo. Quando colleghiamo il condensatore ad un generatore alternato la corrente circolerà alternativamente in un verso ed in quello opposto, con la stessa frequenza del generatore. Ciò vuol dire (riferendosi al grafico) che, ad un dato istante, una armatura si caricherà positivamente e quella affacciata si caricherà negativamente e ciò significa che quando il condensatore è scarico in quell’istante la corrente è massima; quando la tensione comincia a crescere si ha la carica del condensatore; il condensatore è carico quando la tensione ai suoi capi è massima (corrente nulla); nell’intervallo di scarica la tensione ai capi diminuisce passando dal valore massimo a zero, mentre la corrente cresce da zero al valore massimo; nel semiperiodo negativo della tensione si ripetono l’analoga fase di carica e di scarica. Con tensione decrescente la corrente aumenta e viceversa con tensione crescente. Quanto detto è riferito ad un solo ciclo e si ripete con la frequenza del generatore: l’armatura prima carica positivamente si caricherà negativamente con quella affacciata che si caricherà di segno opposto. In questo passaggio il condensatore passa istantaneamente a non avere carica e quindi permettendo di nuovo alla corrente del generatore di essere massima, e così via.
Il condensatore in alternata è quindi un sistema che permette oscillazioni elettriche dentro un circuito. Quello discusso era un circuito puramente capacitivo e la frequenza di queste oscillazioni coincide con quella del generatore. In generale il circuito contiene altri utilizzatori e ciò comporta una variazione della frequenza delle oscillazioni. Ma di questo parlerò più oltre.
Ritorno qui per un istante al condensatore in corrente continua per mostrare il meccanismo di carica e di scarica attraverso una resistenza.
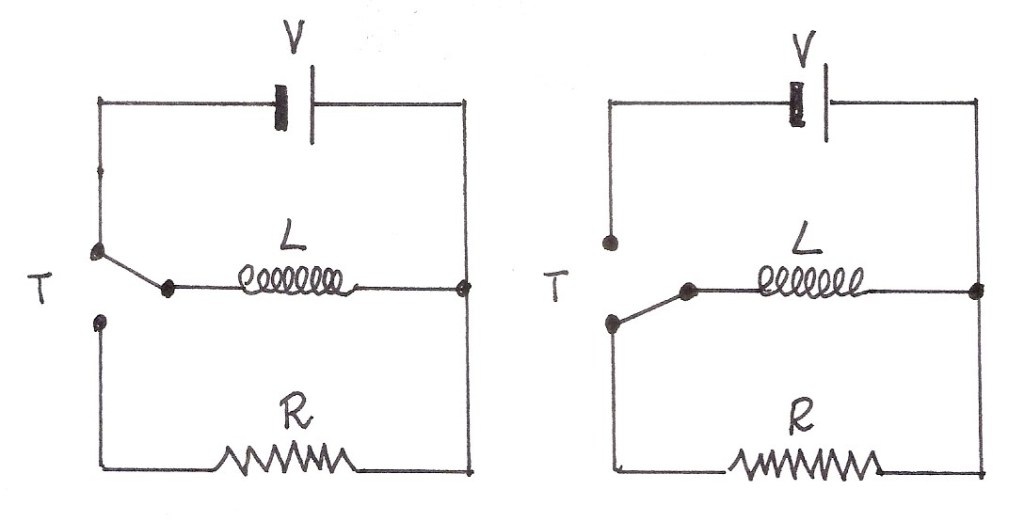
Sia dato il circuito di figura seguente:

Quando T viene chiuso (trattino rosso di figura) delle cariche verranno inviate dal generatore V nel circuito. Già sappiamo che quando si è caricato il condensatore, nel circuito non circola più corrente.
Quanto visto riguarda la carica di un condensatore attraverso la resistenza R. Se invece cortocircuitiamo la pila di figura, il condensatore C si scaricherà attraverso la resistenza R.

Poiché V = q/C, nel nostro caso avremo q/C = Ri dove i è la corrente che si origina dalla carica q ancora presente nel condensatore C.
Gli andamenti della scarica e della corrente in funzione del tempo, ambedue esponenziali decrescenti, sono riportati nella figura seguente:

Un fenomeno analogo avviene per una induttanza, nella quale circola una corrente costante i, se staccata dal circuito che la alimenta (si vedano le due figure seguenti: in a l’induttanza è collegata alla pila, in b è staccata da essa e si fa scaricare sulla resistenza):

- (a) (b)
Il problema che vogliamo ora affrontare è del cosa accade quando un condensatore C si scarica attraverso una induttanza L (un circuito del genere è noto come circuito oscillante). Sia dato il circuito di figura seguente. Quando il tasto T (in questo caso funzionante come un deviatore) è nella posizione 1, il condensatore C va caricando le sue armature A e B; quando spostiamo il deviatore T nella posizione 2, togliamo l’alimentazione ed il condensatore inizia a scaricarsi sull’induttanza L.

Supponiamo allora di aver caricato il condensatore con una carica q0. Nel condensatore risulta immagazzinata una determinata energia elettrostatica. Quando il condensatore si scarica trasforma la sua energia in energia magnetica dell’induttanza. Completato questo processo q è diventata zero ed i ha acquistato il suo valore massimo i0 (condensatore scarico ed induttanza percorsa da i0). A questo punto i0 va a caricare di nuovo il condensatore ed il tutto si ripete con andamento periodico.

Ciò vuol dire che la carica q sul condensatore, la differenza di potenziale V tra le armature e la corrente i variano tutte sinusoidalmente. Abbiamo cioè un’oscillazione di carica elettrica che sarà smorzata, dipendendo ciò soprattutto dal valore complessivo della resistenza ohmica del circuito. Scoperto questo fenomeno è utile capire come esaltarlo e come sia possibile passare da oscillazioni smorzate ad oscillazioni persistenti.
CIRCUITO QUALUNQUE IN ALTERNATA
Abbiamo già accennato al fatto che un circuito non è mai solo puramente resistivo o induttivo o capacitivo ma è sempre un insieme delle tre grandezze, resistenza, induttanza e capacità. Può o meno prevalere una di queste sulle altre ma le altre non si annullano mai. La cosa è anche facilmente spiegabile. Un circuito qualunque è una struttura chiusa nella quale: vi è certamente un utilizzatore che, se anche non vi fosse, avrebbe i cavi che presentano una resistenza al passaggio di corrente; vi è certamente una capacità perché una capacità è costituita da due conduttori separati da un isolante e due cavi contrapposti del circuito sono conduttori separati quantomeno dall’aria che è un isolante; vi è poi almeno una spira che è il circuito stesso che si chiude realizzando un’induttanza.
Senza entrare in dettagli si può dire che in un circuito qualunque vi è sempre un certo sfasamento tra tensione e corrente dipendendo dai tre elementi (resistenza, induttanza e capacità) sempre presenti nel circuito stesso. Questo sfasamento non sarà mai φ = 0 o φ = + π/2 o φ = – π/2. Ma avrà un valore dato da –π/2 < φ < +π/2 così le formule più generali che si possono scrivere per la tensione e la corrente in un circuito qualunque saranno:
(7) ε = ε0 sen(ωt + φ) i =i0 sen(ωt + φ)
e la legge di Ohm sarà:
ieff = εeff/Z
Vale la pena dire che un circuito contenente una resistenza, una induttanza, una capacità, come quello di figura:

è come se la ε che alimenta il circuito si dividesse nelle tensioni ai capi di ogni elemento R, L, C:

ed è chiamata impedenza del circuito. Soffermiamoci un istante sull’espressione che figura sotto la radice quadrata ed in particolare su quella che figura tra parentesi. E’ possibile utilizzare una descrizione simbolica per le grandezze in gioco:

.

Casualmente siamo fortunati perché nella (8) abbiamo a che fare con un segno meno. Ciò suggerisce la possibilità di realizzare in modo abbastanza facile un circuito puramente resistivo pur lavorando con un circuito reale. Se operiamo in modo da rendere ZL = ZC, pur avendo nel circuito sia induttanze che capacità, l’espressione per Z diventa la più semplice possibile:

quindi la corrente è la massima possibile poiché l’impedenza Z si riduce ad R.
Abbiamo poi tg φ = 0 e ciò vuol dire che tensione e corrente sono in fase.
In definitiva la condizione di risonanza è una condizione favorevole per ogni applicazione.
POTENZA DI UNA CORRENTE ALTERNATA
La potenza W di una corrente alternata, come già detto, non si può calcolare con l’espression
W = ε.I
valida per la corrente continua. Nelle correnti alternate la tensione ε ai capi del circuito, varia istante per istante così come l’intensità i; inoltre i ed ε, salvo casi particolari, non hanno mai la stessa fase.
Per calcolare la potenza di una corrente alternata si deve invece ricorrere alla seguente espressione dimostrata da Galileo Ferraris:
W = εeff . ieff .cosφ
(8)
con 0 ≤ φ ≤ π/2.
E’ importantissimo capire che ruolo gioca lo sfasamento φ infatti, nei suoi limiti di validità, può rendere la potenza nulla (φ = π/2) o massima (φ = 0). Quel φ non è regolabile ma varia a seconda di cosa nella rete viene inserito e, alla centrale, deve essere prevista una macchina chiamata rifasatrice. Quando lo sfasamento dovesse crescere avvicinandosi a π/2, occorre intervenire per abbassarlo. Quando φ arrivasse a π/2 saremmo in una situazione in cui la centrale sta consumando combustibile (ad esempio, olio combustibile) e non è in grado di fornire energia alla rete (la corrente in tal caso si dice swattata e non è in grado di generare lavoro).
Nella (8) il prodotto si chiama potenza apparente mentre cos φ si chiama fattore di potenza.
A questo unto resta da chiedersi perché in corrente alternata si può usare un condensatore e che funzione assolve?
INDUTTANZA
Ho appena utilizzato l’induttanza in un circuito ma non la ho ancora definita compiutamente. Questo elemento che dissipa energia, quindi elemento passivo come resistenza e capacità, è nato con la scoperta dell’induzione elettromagnetica. Vediamo.
Consideriamo un semplice circuito, ad esempio un circuito resistivo, con un solo utilizzatore R alimentato da DC.

Abbiamo visto che intorno ad un filo percorso da corrente si crea un campo magnetico formato da circonferenze concentriche. Possiamo facilmente osservare che un tale circuito chiuso è una spira di area S con la corrente che circola in verso antiorario, quindi avremo le linee di forza del campo magnetico B uscenti dalla spira (circuito) stessa che si comporta come un magnete elementare, con il nord rivolto verso chi osserva, finché è alimentata. Una volta stabilita la corrente circolante il tutto resta come detto ed in particolare con le linee di forza sempre dirette allo stesso modo. Vi è quindi un flusso del campo magnetico B costante:
φ = BS
Sostituendo a B il valore trovato in precedenza (B=μ0 .I/2πd) troviamo:

e si tratta di un avvolgimento di spire:

costruttivamente realizzato con una camicia ceramica:

Supponiamo ora di avere lo stesso circuito precedentemente visto questa volta alimentato in AC.

Qui dobbiamo considerare la corrente che circola alternativamente in un verso e nell’altro con le linee di forza del campo magnetico dirette una volta verso l’osservatore ed una volta in verso contrario (questa variazione si realizzerà cinquanta volte al secondo, in accordo con la frequenza della AC). Quindi abbiamo un flusso concatenato con il circuito, flusso variabile (ed anche rapidamente) nel tempo ed ogni volta che ciò accade si genera una corrente indotta, in questo caso autoindotta. Questa corrente si andrà a sommare algebricamente con quella del generatore.

Per la legge di Lenz, se la corrente aumenta nel tempo (Δt > 0), la f.e.m. autoindotta EL è negativa e ciò vuol dire che ha segno opposto a quella fornita dal generatore E, opponendosi ad essa. La corrente non sarà in fase con la tensione ma sarà sfasata di un angolo intermedio fra 0° e 90°.
Se la corrente diminuisce nel tempo (Δt < 0), la f.e.m. autoindotta EL è positiva e quindi dello stesso segno di quella E fornita dal generatore, opponendosi alla diminuzione di corrente.
In definitiva la presenza di un’induttanza ostacola il passaggio di corrente alternata fornita dal generatore.
Quanto detto vuol dire che o c’è esplicitamente una induttanza in circuito o non c’è, si dovrà sempre considerarla ed un circuito che avremmo voluto, ad esempio, perfettamente resistivo diventerà un circuito che contiene anche una induttanza L (si chiama circuito RL):

Se invece si volesse accentuare l’effetto fornito dall’induttanza allora si deve inserire esplicitamente un solenoide, una bobina con un numero adeguato di spire, ed il circuito sarà ancora come quello ora mostrato con un differente valore di L.
EXTRACORRENTI DI APERTURA E DI CHIUSURA
Ritorniamo ancora ad un semplice circuito in corrente continua per occuparci di un fenomeno che avviene anche in corrente alternata.
Nel caso di corrente continua occorre distinguere tra due momenti: quello transitorio, quando ad esempio si accende o si spegne un interruttore e quello stazionario che si instaura immediatamente dopo l’accensione dell’interruttore e fino alla sua chiusura. Abbiamo più volte detto che in regime stazionario, non transitorio dunque, gli elementi capacità ed induttanza giocano un ruolo praticamente nullo (sistemato un condensatore in un circuito alimentato da una pila, quando si è caricato il condensatore è tutto finito, e la corrente smette di circolare nel circuito; analogamente con una induttanza, quando si è stabilizzata la corrente, l’induttanza funziona né più né meno come fosse una resistenza). Ma noi ci occupiamo ora di regime transitorio, quello cioè che interessa il tempo necessario alla corrente fornita da una pila o altro alimentatore in DC per stabilizzarsi nel circuito (in genere si tratta di tempi brevissimi) dopo aver chiuso l’interruttore (quando abbiamo acceso l’interruttore) e il tempo necessario alla corrente per ritirarsi dal circuito (quando abbiamo spento l’interruttore). In tali situazioni transitorie (di chiusura del circuito nel primo caso e di apertura del circuito nel secondo caso) si generano dei fenomeni elettromagnetici che occorre conoscere. Si tratta cioè di capire quelle che vanno sotto il nome di extracorrenti di chiusura ed extracorrenti di apertura in differenti situazioni di connessione nel circuito degli elementi passivi di cui ho appena detto. I casi sono svariatissimi, mi limito al più semplice perché qui non ci interessa andare a fondo ma solo di capire i problemi che si pongono.
Sia dato il circuito di figura in cui abbiamo una pila, una resistenza (ad esempio una lampadina) ed un interruttore T. Alla chiusura di T (trattino rosso di figura) inizierà a circolare una corrente che non è immediatamente la I di figura ma una i che varia al variare del tempo, quindi una i(t) da determinarsi che, crescendo, andrà al suo valore I dopo un dato tempo.

Questo fenomeno è diretta conseguenza dall’autoinduzione. Un circuito elettrico, perché funzioni, si chiude sempre su se stesso costituendo nel suo insieme una spira. Quando in una spira circola corrente, per la legge di Lenz, si genera una corrente contraria che tenta di impedire l’instaurarsi di quella proveniente dalla pila. Vi sarà quindi un certo tempo in cui la corrente di autoinduzione i(t) ostacolerà la corrente I. Vediamo come vanno le cose.
Un circuito in cui è collegata una resistenza R ed alimentato da una pila con differenza di potenziale V fornisce, Quando arriviamo al regime stazionario, un valore massimo di corrente I dato dalla legge di Ohm:
I = V/R
Al momento della chiusura del circuito mediante il tasto T si sviluppa una tensione di autoinduzione data da:
εL = – L. di/dt
e questa tensione fa circolare la corrente i(t) che come detto, per la legge di Lenz tende ad opporsi alla causa che l’ha generata e quindi a circolare in verso contrario a quella che origina la pila. Ma mentre la pila continua ad erogare corrente, quella che viene prodotta dalla legge di Lenz, dovuta alla variazione istantanea di flusso concatenato con il circuito, tende a scemare con il passare del tempo (si tratta comunque di tempi infinitamente piccoli). In definitiva l’andamento della corrente in funzione del tempo saràò dato dal grafico seguente:

dal quale si vede che occorre del tempo (in figura indicato con τ e molto esagerato) perché arrivi a stabilizzarsi la corrente I. Quel tempo τ non è lo stesso per tutti i circuiti e varia al variare degli elementi che lo compongono e per questo è chiamato costante di tempo del circuito.
Stesso fenomeno si ha quando apriamo l’interruttore, quando cioè spegniamo la lampada. Ora siamo nella situazione di avere una corrente I stazionaria che vogliamo eliminare. Ma la legge di Lenz, quando operiamo sull’interruttore, tende a non far andare via la corrente I provocando una corrente che vuole continuare a mantenersi, una corrente chiamata appunto extracorrente di chiusura del circuito.
Dobbiamo ora considerare lo stesso circuito di figura precedente in cui sta circolando la corrente I. Se apriamo l’interruttore, togliamo cioè il contatto rosso di figura precedente, la corrente I non andrà immediatamente al valore zero, ma impiegherà un certo tempo. All’apertura di T si avrà infatti una forte variazione del flusso di B concatenato con il circuito che provocherà una extracorrente, questa volta di apertura, che per la legge di Lenz circolerà in verso opposto alla I impedendo che la I vada a zero.

Ed il grafico questa volta ci darà:

Si vede che la I non va a zero istantaneamente ma ci mette un poco (il solito tempo τ che, per uno stesso circuito ha lo stesso valore in apertura ed in chiusura).
OSCILLAZIONI ELETTRICHE
E’ interessante andare a costruire qualche semplice circuito elettrico che contenga, connessi in vari modi, gli utilizzatori dei quali ci siamo occupati, resistenze R, induttanze L, capacità C. Iniziamo con il tornare a studiare due circuiti R, L, C con caratteristiche differenti. Allo scopo ricordiamo le condizioni di risonanza di un tale circuito. Avevamo visto che in un circuito R, L, C, la resistenza (impedenza) che incontra la corrente è data da:

Avendo ricordato ciò, prendiamo in considerazione i due circuiti R, L, C, con caratteristiche differenti, annunciati (si noti che non vi è alimentazione):


esso, scaricandosi, originerà una scarica elettrica (una scintilla) tra i punti P e Q. Questa scarica può essere continua (unidirezionale) o oscillatoria
Se siamo nelle condizioni di figura (a),

, allora la scarica sarà continua con la f.e.m. V e la corrente i rappresentati nel grafico seguente:

Se siamo invece nelle condizioni di figura (b),

la scarica sarà oscillatoria. Seguiamo questo processo. Supponiamo di aver fornito all’armatura A del condensatore la carica positiva di modo che VA > VB. Quando il condensatore inizia a scaricarsi, la corrente circola nel senso ALRB. Dopo qualche istante risulterà VA = VB (condensatore scarico: V = VA – VB = 0), ma, per effetto dell’autoinduzione in L, la corrente raggiunge gradatamente il massimo di intensità non risultando nulla quando VA – VB = 0. Così essa circola ancora nello stesso senso portando cariche positive all’armatura B che prima era negativa. Ora, essendo VB > VA, si ripete il fenomeno in senso inverso. Naturalmente, dopo un certo tempo, queste scariche oscillatorie si smorzano per effetto Joule nel modo rappresentato nella figura seguente:

Se si riesce, con opportuno meccanismo, a mantenere l’oscillazione persistente, si avrebbe il grafico seguente:

Un possibile modo per realizzare oscillazioni elettriche persistenti è il seguente:

Quando il deviatore P è nella posizione 1 stiamo caricando il condensatore; quando passiamo nella posizione 2 scarichiamo il condensatore attraverso la resistenza e l’induttanza (tra M ed N vi è una resistenza variabile per poter regolare opportunamente il circuito). Ripetendo varie volte l’operazione abbiamo oscillazioni elettriche (quasi) persistenti.
Altro modo per ottenere oscillazioni elettriche persistenti è il disporre dei due avvolgimenti di un trasformatore: la variazione di flusso originata dal Primario la ritroviamo sul Secondario e così via.

e le frequenze che si ottengono avranno valori molto elevati, dell’ordine di 108 Hz. La formula di Thomson (1) ci permette tra l’altro di calcolare il periodo proprio o oscillazione di un circuito oscillante in funzione di L e C.
Il circuito oscillante è un risuonatore che entra in risonanza quando la frequenza della f.e.m. eccitatrice è uguale alla frequenza propria del circuito. Per realizzare un circuito oscillante occorre lavorare con L e C molto piccole e si deve tener conto che, in alta frequenza (ν > 106 Hz), un’impedenza arresta praticamente le oscillazioni elettriche.
GENERAZIONE, TRASMISSIONE E RICEZIONE DI ONDE ELETTROMAGNETICHE
Racconto qui una storia semplificata delle onde elettromagnetiche teorizzate da Maxwell e sperimentate da Hertz sul finire dell’Ottocento. Mi occuperò principalmente degli sviluppi pratici delle scoperte teoriche, sviluppi che hanno visto, tra gli altri protagonisti, Guglielmo Marconi.
DA MAXWELL AD HERTZ
La storia che porta ai lavori di Maxwell è lunga e complessa perché possa essere trattata nell’economia di questo lavoro. Basti solo dire che nel 1865 il fisico britannico teorizzò l’esistenza di onde elettromagnetiche che si sarebbero dovute propagare nello spazio vuoto con la velocità della luce (c = 300.000 Km/sec). L’esistenza di queste onde è conseguenza dell’ammissione, che Maxwell fa, di una corrente detta di spostamento.
Ciò che si può dire è che fino ad ora abbiamo trattato la creazione di una corrente indotta quando variamo il flusso del campo magnetico B. Non abbiamo trattato un aspetto fin qui secondario ma ora rilevante: quello del campo elettrico indotto [si veda anche nota 2]. Estraendo una spira da un campo magnetico uniforme (sistemata per semplicità perpendicolarmente alle linee di forza) varia il flusso di B perché la spira, uscendo, taglia le linee di forza.

In figura i circoletti rappresentano linee di forza del campo B entranti o uscenti dallo schermo. Una spira, con il suo piano perpendicolare alle linee di forza, viene mossa verso l’esterno. Questo movimento taglia le line di forza facendo in modo che un numero sempre minore risulta concatenata con la spira medesima.
Questa variazione del flusso tagliato genera nella spira un campo elettrico indotto che muove le cariche elettriche generando quindi una corrente indotta.
[Da qui, la parte in corsivo è tratta da Caforio-Ferilli, vol. III] Va osservato che questo campo elettrico indotto esiste indipendentemente dalla presenza di una spira, per cui quest’ultima risulta solo un dispositivo idoneo alla rivelazione del campo elettrico a mezzo della corrente indotta.
In altri termini, generalizzando il concetto, possiamo affermare che in una regione di spazio in cui il flusso di un campo magnetico attraverso una certa superficie varia nel tempo, si produce un campo elettrico indotto.
Un caso particolarmente notevole di variazione del flusso è quello determinato da un campo magnetico variabile nel tempo. Per esempio, la figura seguente mostra in (a) un elettromagnete in cui l’intensità di corrente aumenta con il tempo. Per quanto è stato osservato, si produce un campo elettrico indotto. Questo campo, per motivi di simmetria, lungo le circonferenze: centrate sull’asse del magnete è diretto tangenzialmente alle circonferenze stesse e ha lo stesso modulo in ciascun punto delle circonferenze.

a) Il campo magnetico dell’elettromagnete prodotto da una corrente d’intensità crescente origina un campo elettrico indotto.
b) Cambiando il verso della corrente nell’elettromagnete muta anche l’orientazione del campo elettrico indotto.
Il verso del campo elettrico indotto è quello indicato in figura ed è determinato dalla legge di Lenz; si osserva infatti facilmente che, se al posto di una delle circonferenze della figura si inserisce una spira conduttrice avente la stessa forma, si produce una corrente indotta (con lo stesso verso del campo elettrico), il cui campo magnetico è rivolto verso il basso, e perciò produce un flusso di segno opposto a quello crescente che ha originato il campo elettrico indotto.
Nella figura precedente in (b) l’elettromagnete è alimentato da una corrente di intensità ancora crescente, ma di verso opposto; si osserva che anche il campo elettrico indotto cambia verso, rispettando la legge di Lenz.
Stabilita l’esistenza di questo campo elettrico indotto che chiamiamo E, cerchiamo di capire il fondamentale contributo di Maxwell che scrisse quattro equazioni che prevedevano molti risultati poi sperimentati d Hertz.
Supponiamo che in una certa regione dello spazio e in un certo istante si determini una variazione del campo elettrico, originato, per esempio, da un moto accelerato di cariche elettriche(2).
Nei punti immediatamente vicini si produce allora un campo magnetico anch’esso variabile nel tempo.
La variazione del campo magnetico origina nei punti immediatamente vicini un campo elettrico anch’esso variabile, e così via. Nasce in tal modo una perturbazione elettromagnetica che si propaga nello spazio.
Nella figura seguente abbiamo supposto che in un punto dello spazio il campo elettrico aumenti da E1 ad E2; le circonferenze disegnate, rappresentano alcune linee di forza del campo elettrico e del campo magnetico.

La variazione del campo elettrico può essere, per esempio, quella prodotta tra le armature di un condensatore.
Secondo tutte le teorie fisiche precedenti, la presenza di un condensatore in un circuito significava semplicemente il blocco del passaggio della corrente (il condensatore nel circuito equivaleva ad un taglio del cavo conduttore): le armature del condensatore si caricavano di segno opposto e tra di esse si creava un campo elettrico con direzione e verso determinati dalle polarità delle armature. Maxwell, sulle orme di svariate ricerche sperimentali in proposito portate a termine da Faraday, non riusciva a pensare un condensatore come un taglio fatto nel circuito di conduzione e concentrò in modo speciale la sua attenzione sul materiale isolante che separa le armature del condensatore. Secondo la sua teoria quest’isolante doveva diventare sede di correnti istantanee di spostamento. In definitiva si tratta di considerare tutte le correnti come chiuse, e ciò anche quando il circuito è aperto (caso del condensatore). Ma cos’è una corrente di spostamento? Le sue caratteristiche sono peculiari; è una sorta di stress, di stato di sforzo cui viene istantaneamente sottoposta la «materia» isolante che separa le armature del condensatore quando quest’ultimo è caricato (nel caso in cui il materiale isolante fosse stato il vuoto, nella teoria di Maxwell, occorreva pensare che tra le armature del condensatore vi fosse un mezzo in grado di sottostare allo stato di sforzo; questo mezzo era l’etere. Il cammino che portò all’eliminazione di questa supposta sostanza fu lungo e laborioso e terminò con il lavoro di Einstein del 1905 “Sull’elettrodinamica dei corpi in movimento“, quello volgarmente noto come il lavoro sulla relatività). Le «molecole» costituenti il materiale isolante sono formate da cariche positive e negative; l’applicazione di un campo elettrico esterno sposta le cariche positive di queste molecole verso l’armatura caricata negativamente e, viceversa, sposta le cariche negative delle stesse molecole verso l’armatura caricata positivamente.



Lo spostamento delle cariche dalle loro posizioni di equilibrio è piccolo e, appena avvenuto, nasce in ogni molecola una forza elastica di richiamo che tende a riportare la situazione nello stato di non stress. Ma, quando questo spostamento istantaneo di materia (per Maxwell, nel vuoto, erano le molecole di etere a subire lo stress di cui si parla nel testo) si è prodotto, se l’alimentazione del circuito seguita ad essere in corrente continua, tutto si stabilizza in una situazione di isolante polarizzato e non vi è più nessuna corrente di spostamento (come una membrana che, tirata da una parte, resta in questa posizione finché non cessa la sollecitazione). Ma se alimentiamo il circuito con una corrente che cambia continuamente verso (ad esempio, una corrente alternata) allora le armature del condensatore cambiano continuamente di polarità, con una frequenza che è la stessa della corrente che alimenta il circuito. Ciò comporta che il campo elettrico che si genera tra le armature del condensatore cambia continuamente verso e, conseguentemente, nel condensatore (o meglio, nel mezzo isolante che separa le sue armature) si generano correnti di spostamento alternativamente dirette in un senso ed in senso opposto (come una membrana che sia sollecitata alternativamente in un senso ed in senso opposto). La figura 1 illustra la situazione ora descritta.

Poiché un campo elettrico variabile produce una corrente di spostamento e poiché ad ogni corrente è associato un campo magnetico (come mostrato da Oersted), Maxwell ne conclude che un campo elettrico variabile produce un campo magnetico (e, viceversa, che un campo magnetico variabile produce un campo elettrico). In definitiva non vi è più luogo a considerare separatamente campi elettrici o magnetici ma campi elettromagnetici. La situazione completa del nostro condensatore (fig. 2) sarà quindi descritta da questi campi elettrici variabili nel tempo, circondati da campi magnetici (anch’essi variabili nel tempo) le cui linee di forza risulteranno perpendicolari a quelle dei campi elettrici. In definitiva si avrà un concatenarsi perpendicolare di campi elettrici e magnetici (campo elettromagnetico) che cambiano continuamente verso con la frequenza della fonte di alimentazione alternata.

La teoria (teoria, si badi bene) prevede quindi la possibilità di generazione di perturbazioni, vibrazioni, onde elettromagnetiche nello spazio. Per altri versi un lavoro di W. Thomson (Lord Kelvin) del 1853 permette di calcolare la frequenza di queste onde elettromagnetiche. Indicando con R la resistenza del circuito in oggetto, con C la capacità del condensatore e con L l’induttanza, se siamo nella condizione di scarica oscillatoria, cioè R minore del doppio della radice quadrata del rapporto L/C, cioè di oscillazione persistente (non smorzata),


Questa relazione fa subito vedere che per intervenire sulla frequenza delle onde elettromagnetiche ipotizzate occorre modificare i valori dell’induttanza e della capacità del circuito: per avere una frequenza elevata occorre rendere piccolo il prodotto LC (e viceversa).
Ma torniamo a Maxwell. Abbiamo già detto che la sua era una teoria, elegantissima, ma teoria. Riferendoci alla figura 2, tutto il fenomeno elettromagnetico (le onde) ipotizzato da Maxwell era confinato all’interno delle armature del condensatore. Come tirarlo fuori? E come evidenziarlo?
Nel 1887 H. Hertz fornisce la verifica sperimentale della teoria di Maxwell. Il fenomeno elettromagnetico, le onde elettromagnetiche, esiste davvero all’interno del condensatore! Per tirarlo fuori – sembra incredibile — basta «aprire» il condensatore come mostrato in figura 3 (nella quale le linee tratteggiate rappresentano il campo elettrico esistente tra le armature del condensatore, campo che cambia verso con la frequenza del circuito di alimentazione).
Completando poi l’ultimo disegno di figura 3 con il campo magnetico perpendicolare al campo elettrico, si ottiene il campo elettromagnetico risultante dal fenomeno (fig. 4), campo che si propaga dal punto in cui è generato nello spazio circostante. In questo modo disponiamo di un sistema che permette la propagazione nello spazio di onde elettromagnetiche. Ma, come possiamo evidenziare queste onde? Renderci conto che, partite dal generatore, arrivino in un altro luogo? Le svariate e belle esperienze di Hertz risposero abbondantemente a tutte le questioni. La risposta che egli trovò all’ultima domanda fatta è oggi banale: serve una particolare antenna. Hertz riuscì anche a realizzare questa antenna (risuonatore di Hertz) e ad evidenziare le onde elettromagnetiche mediante minuscole scintille che si producevano alle estremità PP’ del risuonatore (figura 5: questa antenna ricevente non era altro che un anello di filo conduttore aperto in un tratto; in corrispondenza di questa apertura vi era una vite micrometrica che permetteva la regolazione della sua ampiezza). L’apparato sperimentale di cui Hertz si servì è illustrato in figura 6.

Un accumulatore A alimenta un rocchetto di Ruhmkorff(1) R; quest’ultimo produce delle scintille tra S ed S’; queste scintille costituiscono il campo elettrico variabile che alimenta il condensatore, le cui armature sono C e C’ (si confronti con la figura 4); nel risuonatore r, in determinate posizioni (in corrispondenza, essenzialmente, dei nodi delle onde elettromagnetiche così prodotte), si producono per induzione elettromagnetica delle piccole correnti (circolanti per la legge di Lenz in un verso ed in quello opposto in modo da provocare delle minuscole scintille che fanno sentire a distanza la presenza delle onde elettromagnetiche ipotizzate da Maxwell. Naturalmente Hertz dovette eseguire diverse prove prima di giungere all’arrangiamento sperimentale di figura 6.
La situazione, riguardo al lavoro di Thomson citato, era comunque tale che la resistenza R del circuito era molto piccola (la resistenza da considerarsi è quella esistente tra S ed S’: essa ha un piccolo valore a seguito della forte ionizzazione dell’aria che producono le scintille stesse; questo piccolo valore di R fa sì che siamo nelle condizioni di oscillazioni persistenti o debolmente smorzate). Anche l’induttanza L e la capacità C (tra le armature C e C’ del condensatore) erano molto piccole, di modo che la frequenza ν delle onde prodotte (onde hertziane) era molto grande o, che è lo stesso, la loro lunghezza d’onda era molto piccola (all’inizio di circa 3 metri, successivamente, nel corso dei suoi lavori, e soprattutto per verificare che le onde elettromagnetiche avessero lo stesso comportamento della luce, Hertz modificò i valori dei parametri in gioco fino ad ottenere frequenze ancora più elevate, corrispondenti a lunghezze d’onda di 66 cm). Con tale frequenza l’apparato di Hertz era in grado solo di trasmettere onde elettromagnetiche alla distanza di poche decine di metri (va comunque ricordato che questo problema non era in alcun modo al centro degli interessi di Hertz).
CONTRIBUTI ULTERIORI: RIGHI, BRANLY, CALZECCHI-ONESTI, POPOV, LODGE
Le esperienze di Hertz furono ripetute, con notevoli perfezionamenti, da Augusto Righi a Bologna. Tra l’altro, l’apparato utilizzato da Righi, simile in linea di principio a quello di Hertz, riusciva ad ottenere frequenze ancora più elevate, corrispondenti a lunghezze d’onda di qualche millimetro (il tentativo era quello di avvicinarsi sempre più alle frequenze della luce visibile allo scopo di studiare con maggiore disponibilità di dati e con misure sempre più precise il comportamento delle onde elettromagnetiche a confronto con quello delle onde luminose).
Nel 1884 il fisico italiano T. Calzecchi-Onesti scoprì un effetto mediante il quale si riuscì a perfezionare l’apparato di Hertz nella sua parte ricevente. La limatura di ferro che non è conduttrice (molto poco) di elettricità in condizioni normali, lo diventa se investita de onde elettromagnetiche. Analoghe ricerche portava avanti in Francia E. Branly (1891). La scoperta di questo effetto permise di realizzare uno strumento, il «coherer» (così chiamato dal fisico britannico O. Lodge, che apportò allo strumento notevoli perfezionamenti), costituito da un tubicino di vetro contenente limatura di ferro (o di altri metalli) e chiuso alle due estremità da due conduttori che pescavano nella limatura, svolgendo il ruolo di elettrodi. Se ai capi del coherer si collegava una pila non si osservava passaggio di corrente; quando il coherer veniva investito da onde elettromagnetiche la corrente passava e continuava a passare, anche se si toglieva la sorgente di tali onde. Se però si colpiva il tubicino di vetro, disordinando di nuovo la limatura, la corrente non passava più; essa sarebbe tornata a circolare solo esponendo di nuovo il coherer alla sorgente di onde. Tenendo conto di questa proprietà del coherer, esso fu utilizzato come ricevitore di onde elettromagnetiche in accoppiamento con una suoneria elettrica, come mostrato in figura 7. Quando delle onde elettromagnetiche arrivano sul coherer esso diventa conduttore di elettricità; in questa situazione nel circuito passa corrente che attiva l’elettrocalamita; quest’ultima attrae l’ancora A a cui è collegato il martelletto M; il martelletto va a colpire il coherer disordinando la polvere e riportandolo, quindi, ad una situazione di non conduzione; l’elettrocalamita cessa di funzionare rilasciando l’ancora; questo rilascio fa sì che il martelletto vada ad urtare il campanello; la cosa si ripete all’arrivo di nuove onde elettromagnetiche.

Tra la fine del 1894 e l’inizio del 1895 (contemporaneamente ai lavori di Marconi, come vedremo) il russo Popov utilizzò il coherer per la rivelazione di onde elettromagnetiche prodotte da scariche elettriche atmosferiche. È interessante osservare che, per far ciò, Popov si servì di una antenna e di una presa di terra (A e T di figura 8). Un anno più tardi Popov realizzò delle modifiche alle sue apparecchiature che gli permisero trasmissioni e ricezioni di onde elettromagnetiche a piccole distanze (circa 250 m nel 1896; circa 5 Km nel 1897).

Tornato a casa alla fine delle vacanze in montagna dove aveva letto della morte prematura di Hertz, Marconi (1874-1937) iniziò con il ripetere le esperienze del fisico tedesco. Egli aveva visto la esecuzione di tali esperienze nelle lezioni universitarie di Augusto Righi e, per realizzarle in casa, si servì degli strumenti che Righi aveva concesso in prestito (una cortesia nei riguardi della famiglia Marconi) e di svariati strumenti comprati (con disapprovazione del padre) o realizzati allo scopo. La novità, in questo periodo, è l’utilizzazione del coherer come ricevitore.
È interessante notare che non vi è alcuno scritto che renda conto dell’iter intellettuale del giovane Marconi. Non si capisce bene da dove egli prenda le mosse; quale teoria vi sia a monte se non la convinzione «irrazionale» della possibilità di trasmettere segnali a grande distanza mediante onde elettromagnetiche. Sta di fatto che egli aveva certamente una ottima conoscenza della parte sperimentale delle esperienze di Hertz e che era un abilissimo sperimentatore che si muoveva esclusivamente in modo empirico, non sostenuto da alcuna teoria. Una lettura, anche superficiale, degli scritti di Marconi rende conto di quanto sto dicendo. Non viene mai abbozzata una teoria; non viene mai scritta neppure una formula (in un tempo in cui la formalizzazione nel campo dell’elettromagnetismo era impressionante); solo viene fatto il resoconto dell’esperienza e, per di più, in modo estremamente superficiale (schema del circuito, affermazioni del tipo si faccia questo e si ottiene questo, se si fa quest’altro i risultati non saranno buoni…). Pare quindi si possa dire che Marconi è stato certamente un geniale manipolatore di strumentazione, ebbe delle intuizioni di grandissimo rilievo, ma certamente non fu uno scienziato nel senso che noi diamo oggi alla parola (e certamente non un fisico).
Nella manipolazione delle esperienze di Hertz venne fuori l’idea più importante ai fini della trasmissione a distanza. Egli introdusse l’antenna aerea e la presa di terra nel trasmettitore, fatto che permise un notevole aumento della capacità del sistema, con la conseguenza che le frequenze erano più piccole e quindi si disponeva di lunghezze d’onda sempre più grandi. Solo in questo modo, almeno in un primo tempo, sarebbe stato possibile trasmettere segnali a distanza (in grado cioè di superare i dislivelli del suolo). Abbiamo già visto che, mossi da finalità distinte, altri ricercatori esploravano la strada di frequenze sempre più grandi. Marconi realizza un sistema che abbassa le frequenze aumentando la capacità del sistema mediante antenna e terra. Da un punto di vista di principio la prima strumentazione di Marconi per la trasmissione e ricezione è riportata nella figura 9. Come si può vedere, l’antenna compare e nella trasmittente e nella ricevente (analogamente alla presa di terra). Con il dispositivo di figura 9 Marconi riuscì a trasmettere dei segnali alla distanza di 1600 metri (fine del 1894), distanza che subito (agosto 1895) fu estesa a 2400 metri (esperimenti di Villa Grifone).

I successivi migliori risultati erano ottenuti mediante diversi accorgimenti ed aggiustamenti che empiricamente venivano realizzati sui componenti essenziali della strumentazione:
– antenna posta sempre più in alto e con forme via via differenti;
– coherer costruito con materiali aventi rese migliori (polveri speciali, elettrodi in argento…);
– realizzazione del vuoto all’interno del cilindretto di vetro del coherer;
– miglioramento dei contatti di terra (lastre di rame o di bronzo venivano interrate in varie disposizioni ed a profondità differenti; queste lastre venivano circondate di sabbia e carbonella e quindi innaffiate continuamente).
Sempre in quell’estate 1895, Marconi riuscì a far giungere un segnale al di là di un ostacolo (una collinetta). Egli stesso non si rese ben conto di cosa era accaduto: in effetti aveva modificato capacità (antenna) ed induttanza (avvolgimenti elettrici che realizzavano il circuito) in modo da abbassare ulteriormente la frequenza e quindi da ottenere onde sempre più lunghe ed in grado di superare quel dato ostacolo.
Da questo momento in poi i problemi che si porranno saranno tutti di tipo tecnologico:
– costruire trasmittenti con potenze sempre maggiori;
– disporre di riceventi sempre più sensibili e potenti;
– realizzare antenne sempre più grandi.
Sul finire del 1895 fu proposto al Ministero italiano delle poste di sfruttare l’invenzione di Marconi. La risposta fu negativa. La madre di Marconi, una inglese, incitò il figlio a recarsi in Gran Bretagna, dove, nel luglio 1896, ottenne il brevetto per la sua realizzazione. A questo punto si iniziò una stretta collaborazione tra Marconi e l’ingegnere capo delle Poste britanniche, William Preece. I mezzi aumentarono, l’impresa incoraggiava ed i risultati continuarono a venire abbondanti: nel 1897 Marconi riuscì a trasmettere segnali a 300 Km di distanza, tra la Cornovaglia e l’isola di Wight in Gran Bretagna.
Grande spirito imprenditoriale, sua madre lo spinse a mettere su una società per lo sfruttamento del suo brevetto; nacque così la Marconi Company (luglio 1897).
Durante gli esperimenti realizzati in Gran Bretagna, Marconi si rese conto che, perché il suo brevetto potesse progredire, sarebbe stato necessario risolvere un fondamentale problema: quello della sintonia, in connessione con l’altro (specialmente caro ai militari), quello della segretezza delle comunicazioni radiotelegrafiche. Verso la fine dell’Ottocento già erano operanti diverse stazioni trasmittenti e riceventi: i segnali emessi da stazioni differenti interferivano tra di loro rendendo impossibile la ricezione distinta di un qualche segnale (mancanza di selettività). Inoltre, nel caso in cui si fosse inviato un messaggio riservato, chiunque avrebbe potuto accendere la propria ricevente e captarlo. Se non si trovava una qualche soluzione a ciò, la vita del brevetto marconiano sarebbe stata tanto più breve quanto più rapidamente si fossero diffuse stazioni trasmittenti e riceventi.
L’inizio della soluzione del primo problema, quello dell’interferenza di segnali emessi da diverse emittenti, si ebbe nel 1898, quando Marconi realizzò un sistema che egli chiamò di «radiotelegrafia sintonica» (si tratta dell’invenzione della sintonia, il sistema che oggi ci permette, in un apparecchio radio, di cambiare stazione e quindi sintonizzarci su di un’altra frequenza). Lo schema di principio di questo sistema è riportato in figura 10 e, come si può vedere, si tratta essenzialmente di dotare le trasmittenti e riceventi di induttanze (i conduttori avvolti a spirale) e capacità (antenna fissa + condensatore) variabili. Variando la lunghezza dell’avvolgimento che si inserisce nel circuito varia l’induttanza; variando la capacità del condensatore che è nel circuito varia la capacità del sistema antenna + condensatore. Noi già sappiamo (formula di Thomson) che, variando il prodotto di capacità ed induttanza di un dato circuito, varia la frequenza delle onde elettromagnetiche che esso trasmette. Ebbene, la stessa cosa vale per il circuito ricevente. Il problema è quindi così risolto da Marconi: ciascuna trasmittente trasmette con una data frequenza che si ottiene da una data lunghezza dell’avvolgimento a spirale (dato valore dell’induttanza) in connessione con una data capacità del sistema antenna + condensatore variabile; la stazione ricevente deve sintonizzarsi con la frequenza della trasmittente con la quale vuole mettersi in contatto e per far questo deve regolare il suo sistema induttanza-capacità variabili in modo che esso abbia lo stesso valore di quello della stazione trasmittente (agendo in questo modo si dice che i due circuiti sono sintonizzati o accordati). Nel 1900 Marconi ottenne, in Gran Bretagna, il brevetto per questa sua invenzione.

L’altro problema, quello della segretezza dei messaggi, fu risolto da Marconi invertendo i termini del problema per portare a suo vantaggio l’impossibilità della segretezza: poiché tutti possono udire gli stessi messaggi, è utile trasmettere ad ore fisse dei radiomessaggi che (per l’epoca) tutti i piroscafi in navigazione possano ascoltare (previsioni del tempo, avvisi di pericolo, avvistamento di iceberg richieste di soccorso per qualche nave in difficoltà…). Il servizio iniziò con regolarità nell’ottobre 1903.
ALTRI SUCCESSI, LA FAMA, IL NOBEL
Le sperimentazioni incessanti che Marconi realizzava avevano bisogno di scenari sempre più grandi: l’intera Terra diventa laboratorio per Marconi. E nel 1901 egli riuscì a realizzare il primo collegamento radiotelegrafico transatlantico tra la Cornovaglia e Terranova. Il fatto clamoroso è che la gran parte del mondo scientifico negava questa possibilità: si sapeva che le onde elettromagnetiche viaggiavano in linea retta e solo pochi avanzavano la remota possibilità che queste onde, in qualche modo, sarebbero riuscite a venire a capo della curvatura della Terra. Questi successi, uniti alla risoluzione del problema della sintonia, fecero diffondere rapidamente il sistema Marconi di radiotelegrafia. E gli apparati venivano sempre più perfezionandosi. È di questi anni la sostituzione del rocchetto di Ruhmkorff con un generatore di corrente alternata con frequenze variabili tra 500 e 1.000 Hz.
Ancora nel 1901 Marconi risolse una quantità di problemi legati al non affidabile e capriccioso coherer. Occorreva un qualcosa che rispondesse meglio alle sollecitazioni e Marconi lo ideò sfruttando un fenomeno scoperto da Rutherford in quegli anni: se un ago di ferro magnetizzato viene investito da onde elettromagnetiche la sua magnetizzazione diminuisce. Nasce così il «detector magnetico» che immediatamente andò a sostituire il coherer negli apparati Marconi. Il detector magnetico, un cui schema è riportato in figura 11, funziona, in linea di principio, nel modo seguente: il cavo proveniente dall’antenna A si avvolge intorno ad un nucleo di ferro magnetizzato e quindi è posto a terra T; l’avvolgimento di questo cavo sul nucleo di ferro magnetizzato costituisce il circuito primario P; intorno al primario, ed isolato da esso, si avvolge un secondo cavo (il secondario S) le cui estremità sono connesse con un microfono telefonico M; all’asse C è connesso un magnete ad U che ruota (circa 30 giri al minuto), mediante un meccanismo ad orologeria, al fine di indurre sull’intero sistema un campo magnetico lentamente variabile nel tempo. Quando delle onde elettromagnetiche sono raccolte dall’antenna A, esse fanno variare la magnetizzazione del primario producendo nel secondario una corrente indotta, variabile al variare delle sollecitazioni delle onde elettromagnetiche, che fa vibrare la membrana del microfono. Il magnete girevole permette che tutto quanto si svolga come detto (eliminandolo non si riceve alcun effetto da onde elettromagnetiche che investano l’antenna).

Il 1902 è un anno importante. L’Italia si accorge di Marconi. La Marina Militare gli mette a disposizione la nave «Carlo Alberto» affinché la utilizzi per la realizzazione dei suoi esperimenti. Con essa Marconi si recò in Russia dove installò due stazioni (è interessante notare, per sgombrare il campo da polemiche, come la Russia si rivolga a Marconi e non a Popov per l’installazione di stazioni di potenza sul suo territorio). Al ritorno dalla Russia, quando la «Carlo Alberto» incrociava nel Mediterraneo, si ricevettero i segnali di quelle stazioni: anche le montagne d’Europa erano superate.
Nel 1903 furono gli USA che installarono una stazione Marconi di grande potenza.
Furono gli anni degli onori e della gloria: lauree honoris causa, medaglie, titoli, associazione alle più prestigiose accademie scientifiche mondiali (ma anche anni in cui la Marconi Company soffrì una grande crisi a seguito di investimenti sbagliati).
Nel 1905 una eccezionale scoperta di un consulente scientifico-tecnico della Marconi Company, J. A. Fleming, permise che i sistemi di radiotelegrafia prendessero rapidamente il volo verso le radio che oggi conosciamo: si tratta delle valvole termoioniche, del diodo che de Forest (1910) fece diventare triodo, che ha le ben note proprietà di amplificazione dei segnali elettromagnetici (questi strumenti eccezionali ma ingombranti e richiedenti forti correnti per la loro alimentazione, sono stati sostituiti da diodi, transistor, circuiti integrati sempre più perfezionati) che richiedono piccolissime correnti per il loro funzionamento e che occupano gli spazi irrisori che oggi permettono la costruzione di macchine come i cellulari con tutte le infinite funzioni integrate in essi.
E qui veniamo ad uno degli aspetti del problema “contributo scientifico di Marconi”. In accordo con Enrico Persico che trattò dell’argomento in un articolo del 1938 su Scientia, Marconi dette certamente impulso alla ricerca scientifica ed in questo senso egli va ricordato più per quanto ha indotto che per quanto ha prodotto (si badi: parlo qui di ricerca scientifica). Intanto la scoperta delle valvole termoioniche è un fatto che fu di estrema importanza in svariatissimi campi della fisica; ma c’è dell’altro: le onde elettromagnetiche che superano la curvatura della Terra permisero lo studio approfondito del fenomeno ad opera dello statunitense Kennelly e dell’irlandese Heaviside (esistenza di uno strato fortemente ionizzato nell’alta atmosfera che permette la riflessione delle onde elettromagnetiche – fig. 12 -. La possibilità di studio di questo strato di gas – la ionosfera – è poi affidato alle stesse onde elettromagnetiche utilizzando la loro eco). E così via con altre ricerche che ricevettero impulso nei campi della radiotecnica, dell’elettronica, della indagine medica (marconiterapia)…

È interessante osservare a questo punto che la vera e propria radio, la possibilità di trasmettere la parola mediante onde elettromagnetiche, nacque dai primi esperimenti di Poulsen (che per primo utilizzò l’arco voltaico come generatore di oscillazioni elettriche persistenti) nel 1902, esperimenti a cui seguirono quelli di Quirino Majorana e di svariati altri ricercatori. Ecco che qui si può immediatamente intravedere una enorme ricaduta sociale dei lavori di Marconi. Al di là di questioni sociologiche, vi sono dei fatti concreti cui far riferimento:
— il 25 gennaio 1909 il piroscafo «Republic» affonda nell’Atlantico e, grazie al radiotelefono, più di 2.000 persone possono venir salvate;
— nel 1912 affonda il «Titanic» e l’uso del radiotelefono permette di salvare molte vite (svariati piroscafi che incrociavano nelle vicinanze non accorsero perché sprovvisti di radiotelefono. Questi episodi convinsero i Governi a rendere obbligatorio l’uso del radiotelefono su navi di determinato tonnellaggio).
Tutto ciò portò Marconi, che nel frattempo aveva ottenuto il Nobel per la fisica per l’anno 1909 (non senza polemiche), alla notorietà popolare. Ciò ebbe una ulteriore ricaduta: l’apprezzamento dell’utilità della scienza da parte di Governi ed industrie.
Ma la tragedia del «Titanic» suggerì a Marconi una idea di grande portata, quella del «radiofaro» (1934); «Mediante un’onda radio, che sarà impiegata esclusivamente per questo genere di lavoro, daremo al comandante della nave il senso della direzione». Vediamo brevemente lo schema di principio di un radiofaro, aiutandoci con la figura 13. Due antenne a telaio, disposte perpendicolarmente tra loro, inviano ciascuna un segnale Morse (un’antenna una A e l’altra una N). I due segnali (A ed N) sono così scelti perché complementari: quando interferiscono danno come risultante un segnale costante (equisegnale). Una nave od aereo che si avvicini a P nella direzione segnata in figura non riceverà alcun segnale. Se nel procedere verso P la nave dirottasse verso destra il suo apparato radio inizierebbe a ricevere la N; se la deviazione avvenisse verso sinistra inizierebbe a ricevere la A (a maggior deviazione maggiore intensità del segnale ricevuto). Un sistema di questo tipo è evidentemente di grande aiuto in situazioni in cui i sistemi ottici non possono operare (ad esempio: nebbia).
Intorno al 1910 Marconi si convince che sviluppi ulteriori della radio potranno essere raggiunti solo tornando all’uso delle onde corte e, da questo momento, inizia una sperimentazione continua con esse. I lavori continuarono anche durante la guerra, alla quale Marconi partecipò come ufficiale addetto ai servizi radiotelegrafici (egli, già nel 1915, era stato nominato Senatore a vita). Alla fine della guerra, Marconi acquistò in Gran Bretagna il panfilo Elettra (1919) con il quale iniziò a lavorare sulle onde corte spostandosi su tutti i mari (tra l’altro, Marconi aveva manifestato l’intenzione di voler comprendere i limiti di applicabilità pratica di onde di varia lunghezza). Nel 1922 egli riuscì a mostrare a tutti coloro che continuavano a sperimentare con onde lunghe che le possibilità delle onde corte erano maggiori: iniziò le prime trasmissioni ad onde corte tra gli USA e l’Europa mostrando che per grandi distanze erano indispensabili onde corte per una migliore ricezione dei segnali. Per altri versi, le onde corte hanno il difetto di subire un maggiore assorbimento da parte della radiazione solare (di giorno, con onde corte e medie, si raggiungono distanze metà o addirittura terza parte di quelle che sono raggiunte di notte; questo effetto, scoperto da Marconi, si risente meno con le onde lunghe).
GLI ULTIMI ANNI
Nel 1923, uno dei rappresentanti italiani alle conferenze per la pace che seguirono la prima guerra mondiale, Guglielmo Marconi, si iscrisse al Partito Nazionale Fascista (PNF). Da questo momento divenne lo «scienziato» italiano, lo scienziato del regime. Con il Fascismo, Marconi ebbe rapporti molto stretti e non si sa bene chi di più dovette all’altro. Sta di fatto che nel 1927 Marconi fu nominato Presidente del Consiglio Nazionale delle Ricerche (CNR) e presidente (1930) della appena fondata Accademia d’Italia (in sostituzione dell’Accademia dei Lincei, sospetta politicamente). Il disinteresse di Marconi per queste cariche emerge se solo si osserva che i primi fondi che resero operativo il CNR sono del 1937 (anno della morte di Marconi); cosa interessava la ricerca italiana a chi aveva fondi sufficienti pei far le sue proprie ricerche?
Marconi, comunque, continuava a lavorare per la sua Compagnia. Nel 1924 realizzò la prima trasmissione radiofonica tra la Gran Bretagna e l’Australia e, intorno a quegli anni, installò varie stazioni radiofoniche in diversi paesi del mondo. Intanto continuavano gli esperimenti con le onde corte. Nel 1931 la sperimentazione passò alle onde cortissime, finalmente, nel 1932 la sperimentazione abbracciò le onde ultracorte. Altri fatti, nel frattempo, fecero crescere il mito Marconi: nel 1928 i superstiti del dirigibile Italia vengono salvati da appelli di soccorso radio; nel 1930 dall’Elettra, ancorata a Genova, Marconi accende le luci di Sidney, in Australia.
Nel 1935 fu creata, appositamente per lui, la cattedra di Onde Elettromagnetiche presso la Facoltà di Scienze Fisiche, Matematiche e Naturali dell’Università di Roma.
Gli ultimi lavori che gli vengono attribuiti, senza però alcuna documentazione scientificamente accettabile che li sostengano, riguardano alcune sperimentazioni che sarebbero avvenute per dirigere la navigazione di un piroscafo alla cieca. Ciò avrebbe fatto nascere in Marconi l’intuizione di quel sistema che successivamente fu conosciuto come radar. Su un apparato simile al radar (riflessione di microonde su auto in corsa) avrebbe sperimentato nella campagna romana nel corso del 1935.
Marconi si spense nel 1937 per un attacco di angina pectoris, disturbo che lo affliggeva da anni.
Mentre la salma di Marconi riceveva tutti gli onori del regime, altri scienziati (Fermi, Segré, Pontecorvo, Rasetti, Luria, Levi Montalcini, …) prendevano silenziosamente la strada dell’esilio.
L’ILLUMINAZIONE ELETTRICA
Era da tempo che le macchine si perfezionavano e crescevano in potenze disponibili.
Gli accoppiamenti con macchine a vapore mediante cinghie di trasmissione veniva via via sostituito con l’applicazione diretta del moto rotatorio tramite sistemi a turbina. In pratica o si comincia ad utilizzare l’acqua in caduta per originare il moto della turbina accoppiata all’alternatore (fra il 1886 e il 1893 la Westinghouse costruì negli USA la centrale di Niagara Falls da 200.000CV, con propri alternatori e turbine idrauliche Francis), o questa turbina è messa in moto dal vapore prodotto in una centrale in cui si bruciano combustibili fossili.

Centrale elettrica in costruzione (Deptford, 1889)
Questi accoppiamenti insieme a macchine sempre più affidabili, permisero via via l’uso industriale dell’elettricità. In parallelo alle ricerche sulle macchine elettriche per produrre elettricità, andava avanti anche la ricerca sul come prelevarla per illuminare, particolarmente per l’illuminazione pubblica. Le prime esperienze riguardarono dimostrazioni con lampade ad arco (che ebbero diverse e successive varianti dalla loro invenzione al 1876) alimentate da dinamo ad anello di Gramme che rendeva l’operazione relativamente economica e applicazioni limitate come quelle per illuminare una fabbrica a Mülhausen in Germania (ormai unificata), la Gare du Nord di Parigi (1875), il Gaiety Theatre di Dublino (1878). Ma senza uno sviluppo delle lampade non si sarebbe andati molto avanti.
La svolta si ebbe nel 1879 quando lo statunitense Thomas Alva Edison (1847-1931) brevettò nel dicembre del 1878 una lampada ad incandescenza con filamento di platino. Il fatto è che Edison era uno dei furbastri americani che brevettava pure l’aria, fregando in tal modo ogni concorrente che avesse avuto una tale invenzione ma in grado di funzionare (analogo personaggio fu Bell). Gli studi e le esperienze in tal senso
furono dell’inglese Joseph Swann (1828-1914) che aveva iniziato molto prima, sperimentando con lampade ad incandescenza utilizzanti filamenti di carbone. Swann, basandosi su un vecchio brevetto di J. W. Starr (1822-1847) che aveva osservato lo scaldarsi e l’illuminare di filamenti di carbone percorsi da corrente, a partire dal 1848 iniziò a realizzare diversi marchingegni che avrebbero dovuto portarlo ad un sistema di illuminazione diverso dall’arco voltaico. Capì che qualunque fosse stato il materiale da rendere incandescente, l’impresa del suo mantenimento incandescenze sarebbe risultata momentanea se non si fosse riusciti a realizzare l’incandescenza dentro un bulbo di vetro in cui fosse fatto un buon vuoto. In quegli anni però le pompe da vuoto non erano ancora all’altezza delle caratteristiche richieste. Swann tornò sulla questione solo dopo che Hermann Sprengel nel 1865, non ebbe realizzato una pompa da vuoto molto perfezionata (a vapori di mercurio). Tale pompa era stata utilizzata con successo da William Crookes per esperienze sul vuoto e da qui Swann ritrovò lo stimolo della ricerca sulle lampade ad incandescenza, presentando una tale lampada (non in funzione) in una riunione della Chemical Society di Newcastle-upon-Tyne nel dicembre 1878.

Lampada ad incandescenza di Swann
Swann non riteneva ancora di brevettare in quanto i suoi studi erano in corso. ma arrivò Edison e nel gennaio 1880 brevettò una lampada ad incandescenza (fatta funzionare per la prima volta il 21 ottobre 1879). Fu comunque Swann che proseguì gli studi sul miglioramento del filamento che, con le prime lampade, non superava le 40 ore di accensione. E’ da notare che in Italia, Alessandro Cruto (1847-1908) realizzò una lampada ad incandescenza 35 giorni dopo quella di Edison con la differenza che i suoi filamenti avevano una durata di 500 ore. Una fabbrica di lampadine Cruto nella cintura di Torino venne rilevata dalla Philips. Le cose migliorarono a partire dal 1903 quando William. T. Coolidge realizzò il filamento di tungsteno che portò la durata delle lampade ad incandescenza a 1000 ore.

In A lampada di Edison a filamento di carbone (1881); in B altra lampada di Edison (1882); in C
gruppo di lampade Edison.
Ormai la strada all’uso completo che oggi conosciamo dell’elettricità era aperta. Una cosa di rilievo va detta. L’energia elettrica è estremamente più utile dell’energia da vapore perché ha la caratteristica della trasportabilità e della controllabilità locale. Ciò vuol dire che essa può essere prodotta in un dato luogo per essere utilizzata in un altro e che si può trasportare dove si vuole con un semplice cavo.
Iniziò allora l’industria elettrica con tutto ciò che ruota intorno ad esse (fonti, centrali in muratura, alternatori, dinamo, turbine, cavi elettrici, trasformatori, lampade e strumenti d’uso, strumenti di misura (per fatturare),


…
Centrale elettrica per l’alimentazione della stazione della Great Western Railway (1885)
Altra applicazione immediata delle grandi istallazioni per la produzione della corrente fu nel trasporto elettrico, tram e treni. Il principio è semplice: una centrale è dotata di macchine per la produzione elettrica con una potenza sufficiente per i motori elettrici che sono all’interno del tram o della locomotiva. La corrente è trasportata in andata attraverso una linea aerea che va ad alimentare il motore elettrico all’interno del tram ed al ritorno attraverso la rotaia che chiude il circuito.

TELEGRAFO, TELEFONO E RAGGI X
Fornisco ora alcuni elementi storici riguardanti queste tre fondamentali invenzioni.
Altra fondamentale applicazione elettromagnetica è quella del telegrafo. Per la prima volta, a grandi distanze si potevano trasmettere dei messaggi, anche superando la curvatura terrestre. I primi telegrafi necessitavano di fili e, per molte utenze, di veri e propri cavi di grande diametro. Una delle grandi imprese di fine secolo scorso fu proprio la posa di cavi telegrafici transoceanici.

Posa del cavo telegrafico sottomarino attraverso la Manica (1850)
In linea di principio è possibile spiegare con facilità il sistema servendoci della figura seguente:

Da una stazione trasmittente (Estación emisora) si chiude un tasto che fa circolare una corrente lungo una linea che lo porta fino alla stazione ricevente (Estación receptora) per poi chiudere il circuito attraverso la terra. All’arrivo alla stazione ricevente la corrente mette in funzione un elettromagnete E che attrae un martelletto metallico A. Questo martelletto spinge una punta S bagnata d’inchiostro su una striscia di carta che scorre. Se dalla stazione trasmittente si tiene spinto il tasto per breve tempo, sulla striscia di carta della stazione ricevente si avrà un punto, se dalla stazione trasmittente si tiene spinto il pulsante per un breve tempo, alla stazione ricevente, sulla striscia di carta vi sarà una linea. Per comunicare tra due stazioni, un sistema identico andava dalla stazione ricevente a quella trasmittente di modo che ambedue potevano trasmettere e ricevere. Ma per capire i messaggi serviva un codice che accoppiasse linee e punti con lettere dell’alfabeto. Si tratta appunto del codice Morse che riporto qui sotto osservando che il famoso segnale di aiuto SOS proviene proprio da questo codice essendo le lettere S ed O le più semplici da trasmettere (tre punti la S e tre linee lo O).

Questo apparato fu inventato dallo statunitense Samuel Finley Breese Morse (1791-
1872) nel 1838 e il 24 Maggio 1844 fu inaugurata la prima linea telegrafica che collegava Washington con Baltimora. In Italia la prima linea telegrafica fu realizzata nel 1847 e collegava Livorno con Pisa. Mancava la trasmissione di segnali senza fili per un utilizzo anche in mare aperto. Questa cosa fu realizzata da Guglielmo Marconi sul finire del secolo e ci si rese conto dell’enorme importanza della sua invenzione solo dopo che l’inaffondabile Titanic affondò portandosi in fondo al mare il suo carico umano solo perché quella nave non disponeva del sistema telegrafico senza fili. E mancava la trasmissione tramite radiosegnali che fu ancora realizzata da Marconi. Il telefono invece era stato inventato da Antonio Meucci (1808-1889), un emigrato italiano negli USA che si affidò ad un sistema di brevetti disonesto. Meucci, nel 1871, riuscì a depositare un brevetto temporaneo, chiamato caveat, per il suo “telegrafo parlante” al Patent Office di New York. Convinto delle grandi potenzialità della sua invenzione, cercò finanziamenti in patria tramite l’amico Bendelari ma senza successo. Grazie agli aiuti di amici riuscì a prorogare il brevetto per due anni, ma la scarsità di mezzi finanziari gli impedì di rinnovare le successive scadenze annuali e nel 1876 Alexander Graham Bell (1847- 1922) presentò la sua domanda di brevetto ottenendo la regolare concessione(3). Si noti che Bell, rubò anche il brevetto del volo ai fratelli Wright.
Altre invenzioni ed applicazioni vennero a cascata in modo inarrestabile. Ricordo solo la scoperta dei raggi X che fu resa possibile con un opportuno uso di un rocchetto di Ruhmkorff (vedi nota 1) collegato ad un tubo di Crookes. La scoperta del 1895 è di Wilhelm Conrad Roentgen (1845-1923).
…. Se la scarica di una bobina di induzione abbastanza grande è fatta passare attraverso un tubo sotto vuoto di Hittford, o attraverso un tubo di Lenard, di Crookes o altri simili apparati, sufficientemente vuotati, e il tubo è ricoperto con cura mediante un sottile cartoncino nero, e se l’intero apparato è posto in una camera completamente buia, ad ogni scarica si osserva una brillante illuminazione di uno schermo di carta ricoperto con cianuro di platino e bario, posto in vicinanza della bobina di induzione, la fluorescenza così prodotta è interamente indipendente dal fatto che lo schermo sia rivolto verso il tubo a scarica con la superficie rivestita o quella non rivestita. Questa fluorescenza è visibile anche quando lo schermo fluorescente è disposto ad una distanza di 2 metri dall’apparato…
La scoperta fu casuale. L’8 novembre 1895, Röntgen, stava compiendo al buio degli esperimenti con un tubo a raggi catodici, nel suo laboratorio, quando notò una luce verde proveniente da un pezzo di cartone che si trovava in un’altra parte della stanza. Il cartone era ricoperto di una sostanza chimica luminescente, che risplendeva se colpita dalla luce. Ma non c’era luce nel laboratorio. Röntgen tolse la corrente al tubo catodico e quella luce verde sparì. Ridiede corrente e mise la mano tra il tubo e il cartone: con suo grande stupore, vide proiettata sul cartone l’ombra delle ossa della mano. Non avevo idea di cosa fossero quei raggi scrisse in seguito perciò li chiamai semplicemente raggi X, essendo x il simbolo matematico di una grandezza incognita. Questi raggi passavano attraverso la carta, il legno, la carne, ma non attraverso le ossa e i metalli, e inoltre impressionavano le lastre fotografiche. La loro scoperta rivoluzionò il mondo della medicina, perché per la prima volta i medici potevano guardare all’interno del corpo. Infatti, già nel 1896, i raggi X erano utilizzati per esaminare le fratture ossee.

Apparato per raggi Röntgen
QUALCHE CONSIDERAZIONE
Scrivono Umberto Eco e Gian Battista Zorzoli:
In piena fioritura della Belle Époque, la lampadina elettrica rappresentò un segno tangibile, un simbolo immaginoso del progresso in marcia. Da secoli immemorabili la luce era stata per l’uomo l’emblema della conoscenza, della vita, della rivelazione, della saggezza infusa. Ora bastava girare una chiavetta, e la saggezza infusa circolava per casa un tanto al kilowattora. Nell’ingenua allegoria del Ballo Excelsior la Dea Elettricità appariva sfolgorante a entusiasmare i nostri fiduciosissimi antenati. E in realtà occorre sottolineare l’enorme influenza che una buona illuminazione alla portata di tutti ebbe sullo sviluppo della cultura e sull’affinamento dei costumi. Per centinaia di migliaia di persone l’unico tempo libero è costituito dalle ore serali: una civiltà che consenta a costoro di utilizzare queste ore per una vita associata che non debba più svolgersi faticosamente al lume della candela o del focolare, mancherà forse di poesia, ma apre maggiori orizzonti. Anche la presenza di una lampadina può cambiare il destino di un individuo.
L’introduzione dell’illuminazione elettrica ebbe naturalmente una influenza determinante sui mutamenti del paesaggio urbano; dalle vie semibuie illuminate dai lampioni a gas si è giunti alle moderne grandi arterie cittadine in cui la facciata degli edifici scompare sotto una nervatura di tubi al neon: le scariche delle primitive lampade a arco si realizzano ora attraverso gas rarefatti, vapori di sodio o di mercurio variamente trattati, che forniscono tutte le variazioni cromatiche desiderate: la civiltà dei lumi, sognata dagli eredi positivistici della Rivoluzione Francese, si è avviata piuttosto a diventare una «civiltà delle luci». Immediatezza e superficialità del richiamo visivo, distrazione e stordimento decorativo, risoluzione e camuffamento della realtà nello sfolgorio fittizio dei gas incandescenti… Ecco il volto negativo di una «civiltà delle luci» e il contraltare del Ballo Excelsior.
Queste considerazioni sono state fatte sull’energia elettrica oltre 50 anni fa. La cosa si può facilmente sottoscrivere per ogni campo del progresso scientifico e tecnologico. Vi è poi un altro aspetto, quello dell’impatto sul mondo produttivo e sui modi di produzione che non spetta a me indagare ma che certamente comporta modificazioni profonde del modo di vita di ciascuno di noi. Oggi possiamo aggiungere che la produzione selvaggia che serve solo alla massimizzazione del profitto ha aggredito l’ambiente in modo irreversibile, tanto da far temere per la sopravvivenza dell’intera umanità. Ma a queste cose non vengono assegnati fondi per la ricerca. Guardarsi allo specchio, in certi momenti non è gradevole. Ci fidiamo di Bush che paga scienziati per far dire al mondo che tutto va bene e che, comunque, nessuno deve mettere in discussione il modo di vita americano che tutti, in modo quantomeno incosciente, prendono a modello.
In due lettere di Werner a Karl Siemens vi è il primitivo spirito del capitano d’industria nei riguardi dell’energia elettrica. Leggiamo:
Charlottenburg, 6 dicembre 1887.
A Karl Siemens, St. Petersburg.
…È ormai tempo di costruire centrali elettriche in tutto il mondo, e finora ne costruiscono solo gli americani e noi, cioè la Siemens & Halske e la Allgemeine Elektrizitats-Gesellschaft (già Edison). In Inghilterra non esiste ancora alcuna centrale che fornisca l’illuminazione, e in Francia stiamo ora costruendo la prima a Lione insieme alla Società di Costruzioni Meccaniche Mülhausen-Belfort…
Charlottenburg, 25 dicembre 1887.
A Karl Siemens, St. Petersburg.
…Certo mi sono affannato anche per ottenere il guadagno e la ricchezza, non per goderne, ma come mezzo per poter eseguire altri progetti ed altre imprese e per poter ottenere con il successo la conferma della fondatezza delle mie azioni, e dell’utilità del mio lavoro. Così mi sono agitato fin da giovane per la fondazione di un’impresa di portata mondiale come quella di Fugger, che desse potenza e lustro non solo a me ma anche ai miei posteri in tutto il mondo e fornisse i mezzi per innalzare a migliori condizioni di vita anche i miei fratelli e parenti più prossimi… Vedo nel commercio soltanto in seconda linea un modo per far denaro; per me si tratta piuttosto di un regno che io ho fondato, e che vorrei tramandare.
NOTE
- Un rocchetto di Ruhmkorff serve, tra l’altro, per la produzione di oscillazioni elettriche persistenti. Lo strumento, riportato in figura I (nella figura II vi è una sua sezione; nella figura III vi è un particolare della figura precedente), funziona nel modo seguente. Ricordando la legge di Faraday-Neumann-Lenz, la forza elettromotrice indotta E è data dalla velocità di variazione del flusso dell’induzione magnetica (preceduta da un segno meno). Quando circola corrente nel primario (PP’ di figura II) si crea un grande campo elettromagnetico che va ad indurre una f.e.m. molto elevata nel secondario (SS di figura II). Questa f.e.m. indotta sarebbe solo istantanea se non vi fosse una variazione del campo inducente; a quest’ultima cosa provvede un interruttore V che, con estrema rapidità, porta a zero e quindi di nuovo al massimo il campo inducente.

(2) Una corrente elettrica è un flusso di cariche elettriche in moto. A questo flusso di cariche elettriche lungo un filo è associato un campo magnetico con le linee di forza circolari e concentriche al filo stesso:

Il campo magnetico B è tangente punto per punto a queste linee di forza con verso dato dalla regola di Maxwell o del cavatappi (il verso è quello di rotazione del cavatappi che avanza nel senso della corrente):

Supponiamo ora di avere una singola carica q in moto. E’ spontaneo assumere che questa carica costituisca una piccolissima corrente elettrica lungo la linea su cui avanza la carica stessa:

Sappiamo già che una carica elettrica ferma ha intorno a sé un campo elettrico E radiale (le linee di forza possono essere interpretate come i prolungamenti dei raggi della sferetta che ci rappresenta la carica):

Se questa carica si muove, poiché origina una piccolissima corrente elettrica, al campo elettrico si aggiungerà un campo magnetico le cui linee di forza saranno circonferenze concentriche alla linea del moto.
Questo campo magnetico risulterà essere trasversale (il vettore campo magnetico B è in ogni punto perpendicolare al vettore campo elettrico E); esso sarà nullo sulla linea del moto ed avrà il suo massimo sul piano perpendicolare a questa linea e passante per la carica.
I due campi, elettrico e magnetico, risultano così strettamente legati originando il cosiddetto campo elettromagnetico.
Consideriamo ora una carica elettrica che si muove di moto rettilineo uniforme (moto su di una retta con velocità costante). Questa particella, nel suo moto, trasporta con sé il campo elettromagnetico e l’energia che compete a questo campo. Supponiamo ora che la carica si sposti nel verso indicato in figura con velocità costante v:

Il campo elettrico della carica rimane invariato, mentre il campo magnetico: nei punti che sono dietro la carica (a sinistra della carica in figura) decresce gradualmente della stessa quantità, nei punti che sono davanti alla carica (a destra della carica in figura) cresce gradualmente della stessa quantità. In definitiva il campo elettromagnetico cresce gradualmente a destra della carica mentre decresce gradualmente, della stessa quantità a sinistra della carica. L’aumento di un campo significa un aumento dell’energia e viceversa per la diminuzione del campo, quindi, relativamente alla nostra carica in moto, si ha un continuo trasferimento di energia da sinistra verso destra o, più precisamente, nella direzione del moto. Si ha così un continuo flusso di energia nel verso del moto della carica.
Se si fanno i conti si vede che, data la simmetria dei campi elettrico e magnetico, non si ha irraggiamento di energia verso l’esterno, ma solo un trasferimento dell’energia nel verso del moto della carica. Ciò è comprensibile se si tiene conto che la carica vede intorno a sé, istante per istante, sempre lo stesso campo e quindi ha sempre una energia costante. Se questa energia è costante per la carica lo deve essere anche per un ipotetico osservatore.
In conclusione: una carica elettrica che si muove di moto rettilineo uniforme non irradia energia elettromagnetica verso l’esterno.
Consideriamo ora una carica che si muova di moto accelerato. Il campo elettrico di questa carica non è più radiale ma risulta dissimetrico con un addensamento delle linee di forza dalla parte verso cui si muove la carica:

Quando questa carica si muove non si avrà più la situazione vista precedentemente (aumento di campo a destra uguale alla diminuzione di campo a sinistra); ora il campo a destra crescerà di più di quanto diminuisca il campo a sinistra proprio a causa della accelerazione della carica e della conseguente dissimetria destra-sinistra del campo stesso. A questo aumento di campo corrisponde, come già sappiamo, un aumento di energia ed il bilancio destra-sinistra della carica in moto è tale per cui c’è un eccesso di energia risultante nella direzione del moto. Questo eccesso di energia originato a spese della carica che crea il campo si trasferirà in tutto lo spazio circostante sotto forma di radiazione elettromagnetica.
In conclusione: una carica elettrica che si muove di moto accelerato irradia energia elettromagnetica verso l’esterno nello spazio circostante.
(3) Esempi in questo senso non mancano: Pascal si appropriò di parte dei lavori di Torricelli senza mai citarlo; lo stesso fece Gay-Lussac con alcuni lavori di Volta; analogo problema tra Avogadro e Loschmidt; Gramme copiò e commercializzò la dinamo di Pacinotti; Tesla fece lo stesso con il campo rotante di Galileo Ferraris; Matteucci e Barsanti videro copiare il loro progetto di motore a scoppio da Otto e Langen; Bell, come detto nel testo, si appropriò dell’invenzione del telefono realizzata da Meucci.
Categorie:Meccanica
Rispondi