Roberto Renzetti
Tra le cose appena viste nella Parte Prima non abbiamo incontrato fenomeni importanti che sono costantemente intorno a noi, a cominciare da quelli elettrici e magnetici. Iniziamo da questi.
Credo sia successo a tutti voi di provare la sgradevole situazione di una piccola scarica elettrica quando si tocca la maniglia di un’automobile. Se dicessi che il fenomeno è analogo alla violenza di un fulmine durante un temporale sospetto che non lo credereste. Cerchiamo di capire e, per farlo, dobbiamo partire apparentemente da lontano introducendo qualche elemento che ci permette di capire come è fatto un atomo ed alcuni concetti che si sono affermati sui fenomeni elettrici.
LA DISCONTINUITA’ DELLA MATERIA. NOTA STORICA
Abbiamo tutti sentito dire che esistono gli atomi e le molecole. Come sempre crediamo a tutto ciò che ci raccontano perché, metterlo in dubbio è più faticoso che accettarlo. Pensandoci un poco si ricava che la presenza di un supposto atomo vorrebbe dire che esso è distinto da un altro atomo, magari vicinissimo. Ma da cosa è distinto? Dal fatto che, se un atomo è la parte più piccola di materia, vi deve essere assenza di materia. Cioè tra atomo ed atomo deve esservi vuoto. Ma, mentre la materia nelle sue varie forme e stati di aggregazione la conosciamo del vuoto non sappiamo nulla perché non lo vediamo, non lo osserviamo, non abbiamo esperienza di esso. Gli antichi addirittura pensavano che vi fosse da parte della natura l’horror vacui, la paura di questo supposto vuoto. Sembra quindi che ammettere gli atomi sia ammettere del vuoto che almeno li separi.
La polemica sull’esistenza del vuoto è molto antica; essa risale almeno all’antica Grecia. Svariati filosofi, con argomentazioni del tutto differenti, ebbero modo, ora, di affermare l’esistenza del vuoto (è il caso di Leucippo, di Democrito, di Anassimandro, di Platone, dei pitagorici), ora, di negarla recisamente (è il caso di Anassagora e di Aristotele).
Senza entrare anche qui nelle sottilissime disquisizioni che accompagnarono la polemica, cerchiamo di coglierne l’aspetto essenziale, quello che ruota intorno ad un’altra storica polemica: tra continuità e discontinuità della materia.
L’inizio della storia risale ad un filosofo chiamato Zenone (V secolo a.C.) che lavorò nell’antica Elea (situata nell’attuale Lucania) e che si divertì a costruire dei paradossi che misero al duro lavoro molti ingegni del passato. Il più famoso paradosso di Zenone è quello di Achille, l’eroe omerico, e la tartaruga. Vediamolo.
Come introduzione a questo paradosso possiamo darne un altro: l’impossibilità per un viandante di raggiungere una data meta. Supponiamo che il tragitto da percorrere sia un segmento AB. Chi parte da A, prima di arrivare a B dovrà aver percorso la metà AC dell’intero tragitto; prima di percorrere AC dovrà aver percorso la sua metà AD; prima di percorrere AD dovrà aver percorso la sua metà AE; e così via all’infinito. Conseguentemente ci si avvicina sempre più a B senza raggiungerlo mai.
Stesso discorso per Achille e la tartaruga. Il “pié veloce” compete in una gara di corsa con una tartaruga. Naturalmente, data la sua prestanza, concede a quest’ultima un vantaggio rispetto alla meta B. Quando Achille parte da A per arrivare a T dove si trova la tartaruga, quest’ultima si troverà in T’; quando Achille sarà arrivato in T’ la tartaruga si troverà in T”; e così via. Achille si avvicinerà sempre più alla tartaruga senza raggiungerla mai.
E paradossi di questo tipo Zenone ne costruì svariati. A noi basta raccontarne altri due, il paradosso del segmento e quello della freccia, per trarre alcune conclusioni.
Sia dato un segmento. Possiamo pensarlo costituito da infiniti punti senza dimensioni o da infiniti punti con dimensioni. Ma, secondo Zenone, se si sommano infinite quantità che hanno per dimensione zero, si ottiene per risultato lo zero. Viceversa, sommando infinite quantità con dimensioni otteniamo un oggetto infinito. In ambedue i casi non abbiamo il segmento.
Una freccia scagliata da un arco occupa in ogni istante (indivisibile) uno spazio uguale alla propria lunghezza e dunque è ferma in quel luogo; ciò vuol dire che, istante per istante, la freccia è immobile, e quindi è sempre immobile. E quindi ancora il movimento non esiste.
Sembrano sciocchezze ma su queste sciocchezze si è costruito il raffinato pensiero greco e quindi romano e quindi occidentale. Riferendoci al paradosso del segmento è chiaro che siamo di fronte alla comprensione di quello che chiamiamo punto matematico. E’ una semplice definizione che utilizziamo nel gioco della matematica. Con questo punto possiamo costruire sia segmenti che rette perché così è scritto nelle regole del gioco. Servono infiniti punti per costruire un segmento ed infiniti punti per costruire una retta, infiniti punti per fare un piano o per realizzare uno spazio. Diverso da questo punto è il punto materiale con il quale possiamo costruire un oggetto infinito disponendo di un’infinità di questi punti, ma se vogliamo costruire un segmento materiale possiamo solo pensare di avere un numero finito di questi punti. La differenza è sottile ma comprensibilissima. Quando facciamo la matematica noi, da beceri materialisti quali siamo, abbiamo bisogno di aiutarci con dei disegni. E così disegniamo un segmento. Questo ci aiuta ma non ha niente a che vedere con il segmento matematico che, semplicemente, non può essere disegnato ma va solo immaginato. E ciò vale per tutti gli enti della geometria che è pura e meravigliosa astrazione che noi rendiamo volgare nel disegnarla. Lavoriamo con questi enti astratti per poter descrivere la realtà. E’ il modo migliore che è stato trovato e funziona perfettamente.
Il paradosso della freccia pone con efficacia il problema della definizione del movimento. È chiaro che in un dato istante non si ha moto. Per poter parlare di moto si deve costruire una corrispondenza biunivoca tra punti dello spazio e istanti di tempo. Se, a diversi istanti di tempo, l’oggetto occupa lo stesso punto nello spazio, si dice che questo oggetto è immobile. Se, a diversi istanti di tempo, l’oggetto occupa punti diversi nello spazio, si dice che l’oggetto è in moto. In definitiva, dire che la freccia è ferma “a ogni istante” non significa dire che essa è “sempre” ferma. Più in generale si può dire che ha senso parlare di velocità solo quando si considerino due luoghi dello spazio occupati in due tempi diversi da un dato oggetto. Se poi, come sembra più attinente con il paradosso di Zenone, si vuole parlare di velocità istantanea, ecco che c’imbattiamo in un classico concetto limite (problema di infinitesimi) che riguarda studi di analisi matematica e che, nella storia furono risolti solo da Newton e Leibniz (XVII secolo).
Una possibile soluzione ai paradossi di Zenone venne fornita da Democrito con l’ammissione dell’esistenza degli atomi come ultimi costituenti la materia. Prendiamo ad esempio il paradosso del segmento e, visto quanto sosteneva Zenone, viene subito da chiedersi: Allora cos’è un segmento? A questo punto interviene Democrito distinguendo tra punti matematici (con i quali come ho già detto ci si può fare una matematica, e punti fisici (gli atomi) con i quali si può descrivere la relatà. I segmenti matematici sono costituiti da infiniti punti senza dimensioni, i segmenti fisici sono costituiti da un numero finito di punti fisici con dimensioni, da un numero finito di atomi.
La prima introduzione del concetto di atomo fu più o meno quella che ho descritto. Ma l’ammissione di atomo prevedeva, delle conseguenze che trascendevano le disquisizioni da cui nasceva. Prevedere un atomo, un granulo inscindibile di materia, e prevederne un altro è ammettere l’esistenza di un elemento di separazione tra l’uno e l’altro. E, poiché tutta la materia è costituita da atomi, non potrà essere materia quella che separa due atomi, ma assenza di materia, cioè vuoto. Ecco quindi che il vuoto diventa un elemento indispensabile per l’ammissione di una struttura discontinua della materia.
Senza fare ricerche sofisticate per complicare le cose, è a tutti noto che la prima formulazione atomistica, in chiave esclusivamente speculativa, furono elaborate dai filosofi greci Leucippo e Democrito tra il V ed il IV secolo a. C. Queste elaborazioni furono poi riprese, modificate ed ampliate da Epicuro nel III secolo a. C. e dal poeta romano Lucrezio che le riportò nella sua opera De rerum natura (Sulla natura delle cose) del I secolo a. C.
Leucippo e Democrito impressero una svolta densa di conseguenze al problema della continuità o discontinuità della materia. Furono loro che precisarono la questione del vuoto, in stretta connessione con quanto era stato proposto in termini di paradossi da Zenone.
Osservando diversi fenomeni, Democrito ne cercava la spiegazione. Ecco per esempio l’acqua: riscaldata si trasforma in un vapore invisibile e si dissolve; come spiegare questo fenomeno? E’ chiaro che tale proprietà dell’acqua deve avere una qualche relazione con la sua struttura interna. O ancora: perché sentiamo l’odore dei fiori a distanza? Perché il fulmine passa attraverso i muri delle case come le voci? Riflettendo su questioni di tale natura ed anche per rispondere ad alcuni quesiti sull’infinito che erano stati posti da Zenone, Democrito giunse alla conclusione che la materia deve essere discontinua e formata da particelle invisibili ed indivisibili da cui il nome atomi.
Secondo Democrito esistono solo gli atomi e lo spazio vuoto, tutto il resto è opinione. Gli atomi hanno dimensioni, sono eterni ed infiniti in numero, diversi tra loro solo per la grandezza, la forma ed il peso; essi si muovono nello spazio infinito per la loro gravità, ed i più grandi e pesanti cadono più velocemente dei più piccoli e leggeri. L’urto ed il rimbalzo producono un continuo turbinio che forma un numero infinito di mondi. Tutte le cose nascono per l’aggregazione degli atomi, muoiono per la loro disgregazione; solo gli atomi, eterni, non nascono né muoiono. Per Democrito gli atomi sono nude forme, schemi o idee, cioè, secondo il significato attribuito a questi termini dai matematici greci, mere entità geometriche, dotate solo di estensione e prive perciò di tutte le qualità che i nostri sensi proiettano nella realtà fisica. Tali qualità, in effetti, sono risposte date dall’occhio, dal naso e dagli altri organi sensibili, quando questi vengono stimolati dagli atomi: ad esempio gli atomi angolosi, a molte code o punte, pungendo il palato, provocano in questo la sensazione dell’acido; quelli sferici, al contrario, solleticano piacevolmente la lingua ed il palato, suscitandovi l’impressione del dolce. La figura seguente ricostruisce alcuni possibili atomi secondo Democrito.

Con questi pensatori, per la prima volta s’intuisce un mondo costituito da corpuscoli (atomi) indivisibili. E proprio per denotare l’effettiva individualità di un atomo si postula l’esistenza di un vuoto che risulti elemento di separazione tra atomo e atomo. Si esce quindi dall’equivoco di corpuscoli costituenti una materia continua. La materia è ora discontinua; essa risiede nei piccolissimi e indivisibili atomi che sono separati da vuoto. La materia che ci appare estesa e continua è in realtà discontinua. È un qualcosa di poroso, con pori vuoti tra atomo e atomo. Le proprietà della materia sono poi le proprietà dei singoli atomi che la costituiscono (ciò si può intendere con la visione moderna che abbiamo di atomo: un atomo di rame è la più piccola entità che possiede tutte le proprietà del rame). Le forme degli atomi sono responsabili di alcune qualità secondarie (colore, sapore…) che noi osserviamo. Se, ad esempio, una sostanza è costituita da atomi sferici, essa ci darà la sensazione del dolce accarezzandoci dolcemente la lingua. Al contrario, se una sostanza è acida dovrà essere costituita da atomi a molte punte che, penetrando nella bocca, la “pungono” in varie partì dandoci la sensazione di acido. Il calore è invece spiegato con l’ammissione che il fuoco sprigioni degli atomi velocissimi; per render conto della loro estrema velocità questi atomi devono essere di forma sferica, la forma che meglio riesce a muoversi negli spazi vuoti lasciati da altri atomi. Se si volesse poi una spiegazione della maggiore o minore “gravità” (leggi peso specifico) di dati corpi, la si ritroverebbe nella minore o maggiore presenza di spazi vuoti tra atomo e atomo. E questa materia, l’universo, come sarebbe nata, come si sarebbe organizzata? Al principio, secondo Democrito, solo atomi e moto. Un’infinita varietà di atomi per forma e dimensioni (per Democrito è pensabile l’esistenza di un atomo grande come un mondo), in moto eterno nello spazio infinito, vuoto e privo di direzioni privilegiate. Moto, quindi, in tutte le direzioni dello spazio (è interessante osservare che in queste che parrebbero inoffensive affermazioni vi è un universo di problemi. Gli stessi seguaci futuri dell’atomismo democriteo si sentiranno in dovere di modificare le vedute del maestro.
Il problema era essenzialmente il seguente: che cosa fa muovere gli atomi? Poiché non vi era nessuna apparente ragione di ciò, contro le dure critiche aristoteliche Lucrezio assegnò agli atomi la proprietà del peso: gli atomi cadevano all’infinito verso il basso – la terra – e solo deviazioni da questa verticale – clinamen – permettevano una serie di reazioni che avrebbero originato tutto ciò che ci circonda. Con questa sostanziale modifica se ne fa strada un’altra: la reintroduzione di direzioni privilegiate nello spazio, alto e basso, su e giù: come si vede, l’elaborazione lucreziana rappresenta un sostanziale passo indietro rispetto a quella democritea). Questo moto di atomi in tutte le direzioni fa sì che atomi diversi vadano a urtarsi; quando l’urto non è centrale, i due o più atomi che si sono urtati iniziano a girare l’uno intorno all’altro; altri atomi vanno ad aggiungersi a questa specie di vortice finché non si formano i mondi che ci circondano; mondi che, così come sono stati generati, possono corrompersi.
In definitiva: atomi non tali per la loro piccolezza ma per la loro indivisibilità, estesi, indivisibili, immutabili e impenetrabili, differenti tra loro solo per forma e dimensioni, qualitativamente uguali, in eterno moto nel vuoto lungo tutte le direzioni dello spazio; il moto di questi atomi è alla base di tutti i mutamenti sostanziali e qualitativi che osserviamo; un atomo non è né caldo, né freddo, né bianco, né dolce; di queste sensazioni, che sono soltanto soggettive, sono responsabili gli aggregati di atomi.
Questo modo di intendere la costituzione della materia, pur avendo notevole successo all’epoca, fu immediatamente soppiantata dalla visione aristotelica che richiedeva una astrazione molto minore e risultava molto più comprensibile. Aristotele (IV° secolo a. C.) liquidava la faccenda con osservazioni del tipo: “Se l’aria ed il fuoco fossero fatti di piccole particelle solide, come potrebbero innalzarsi? Esse si rovescerebbero piuttosto sulla terra come una pioggia di ciottoli!“. Questo ragionamento era molto più legato all’empirismo ingenuo. La spiegazione delle cose con le cose ebbe maggior successo e, piano piano, Democrito fu dimenticato. Nessuno più parlò di atomi finché, durante il Rinascimento (2000 anni dopo!), non si riscoprirono le cose sostenute da Democrito, più per come erano state raccontate da altri che per le opere originali, tutte praticamente perdute.
Abbiamo ora accennato ad una delle obiezioni di Aristotele alla teoria di Democrito. Ma le obiezioni che Aristotele mosse a questa teoria erano essenzialmente di due tipi: la prima alla quale ho già accennato, se tutti gli atomi sono fatti di materia, com’è possibile che esistono atomi leggeri ed atomi pesanti? come è cioè possibile che vi sia il fuoco che s’innalza e la pioggia che cade? gli atomi di fuoco non cadrebbero anche essi al suolo come una pioggia di ciottoli? L’altra obiezione era più pertinente all’esistenza del vuoto e su di essa ci soffermeremo di più.
Uno degli elementi portanti della teoria del moto violento (moto provocato dall’uomo distinto dal moto naturale) di Aristotele è che un oggetto continua a muoversi fino a quando un motore lo sospinge. Così, se scagliamo un sasso, esso continua a muoversi con il seguente meccanismo: il sasso taglia l’aria; l’aria tagliata si richiude dietro il sasso sospingendolo. Scrive Aristotele nella sua Fisica: “perché l’aria, spinta, spinge a sua volta con un moto più veloce di quello spostamento del corpo spinto in virtù del quale il corpo stesso viene spostato verso il suo proprio luogo”. E se non ci fosse l’aria? se cioè vi fosse vuoto? Conseguentemente a quanto fin qui sostenuto, il sasso non potrebbe muoversi. E, come il sasso, nessun oggetto sarebbe in grado di muoversi in presenza di vuoto. Scrive Aristotele:
“… non è possibile che neppure un solo oggetto si muova, qualora il vuoto esista.”
Ma anche supponendo che il vuoto esista, perché un oggetto mosso dovrebbe fermarsi qui piuttosto che lì? E perché dovrebbe fermarsi? Secondo Aristotele si verificherebbe l’assurdo che:
” … il corpo o dovrà essere in quiete ovvero necessariamente sarà spostato all’infinito …“
E gli assurdi non finiscono qui. Nel caso della caduta dei corpi, secondo Aristotele in accordo con il resto della sua fisica,
” … Se si ammettesse il vuoto, tutti i corpi avrebbero la medesima velocità [di caduta]: il che è impossibile.“
E’ interessante osservare come alcune delle conoscenze della fisica che noi oggi accettiamo risultano qui esattamente ribaltate. E Aristotele non era un pazzo ma un attento osservatore della natura e quanto scriveva rispondeva a quanto l’osservazione (ma non l’esperienza) mostrava e nessun fatto, fino a Galileo, era servito a smentire le sue teorie.
Nei secoli che seguirono solo pochi elementi andarono ad arricchire questo dibattito, essenzialmente l’osservazione che l’aria oppone resistenza al moto, anziché agevolarlo ed il fatto che l’aria pesa. Il primo critico della teoria del moto di Aristotele fu Giovanni Filopono (VI secolo d.C.). Egli sostenne che, se si lancia un proietto
“è necessario che una certa potenza motrice incorporea sia ceduta al proiettile dallo strumento che lo lancia; l’aria non contribuisce affatto a tal moto, e vi contrasta ben poco…“.
Ma la fisica aristotelica, dopo alterne vicende, riuscì a riprendere vigore e si affermò come una sorta di verità immutabile e quasi religiosa. Più o meno in questi termini la questione era arrivata al secolo di Galileo, secolo nel quale il problema venne definitivamente risolto, almeno nell’ambito della scienza.
Nel 1647, quasi in contemporanea con il processo a Galileo, vi fu uno studioso francese, Pierre Gassendi che negò pubblicamente l’aristotelismo imperante e riportò alla luce il pensiero di Democrito, assumendolo come sistema filosofico. Il sistema di Democrito fu anche modificato da Gassendi che avanzò nell’elaborazione democritea nella parte riguardante gli stati di aggregazione della materia ed i cambiamenti di stato, anche se, naturalmente, siamo ben lontani da una teoria fisica. Egli riteneva che gli atomi dei corpi solidi dovessero possedere dei piccoli ganci (si pensi alle lettiere metalliche) che si attaccavano gli uni agli altri. In tal modo i metalli e le rocce acquistavano durezza e robustezza. Tali ganci mancavano per materiali aeriformi …. Ad un certo punto della sua opera egli propugnò perfino l’esistenza di una forza fisica che agiva sugli atomi facendoli aderire gli uni agli altri come altrettante piccole calamite.
Anche Bacone, Galileo, Hooke, Boyle, pur ritenendo probabile una struttura atomica della materia, non potendo sostenerla sperimentalmente, non fecero alcun tentativo per sviluppare una qualche teoria matematica Devono passare altri 100 anni perché la teoria atomica riacquisti un poco di forza, ad opera del fisico francese Daniel Bernouilli (1738) che sviluppò una teoria matematica che aveva gli atomi come principali interpreti.
Nel 1662 il chimico britannico Robert Boyle aveva trovato empiricamente la legge che ancora oggi porta il suo nome: in un gas ad una data temperatura il prodotto della pressione per il volume è costante (la pressione ed il volume sono tra loro inversamente proporzionali). E ciò vuol dire che, se si dispone di un gas in un recipiente, raddoppiando la pressione P su di esso si dimezza il volume V; triplicando la pressione P, il volume si riduce ad un terzo; …

In formula:
P.V = K,
dove K è una costante. E questa legge la abbiamo già incontrata nella Parte I.
Ebbene, nel 1738 D. Bernouilli ritrovò la stessa legge per via esclusivamente teorica a partire da ipotesi che avevano al centro la costituzione atomica del gas in considerazione. Cercherò di ricostruire i conti fatti da Bernouilli avvertendo che inserirò elaborazioni e perfezionamenti posteriori, ricavati principalmente da Joule e Maxwell intorno alla metà dell’Ottocento.
Le ipotesi da cui partì Bernouilli sono le seguenti:
1) un gas è costituito da atomi in continuo movimento;
2) questi atomi, semplici sferette, sono piccole particelle sferiche il cui volume è trascurabile rispetto al volume totale occupato dal gas;
3) gli atomi non esercitano forze tra loro a distanza (né si attraggono né si respingono);
4) quando un atomo collide con un altro atomo o con la parete del recipiente la collisione è perfettamente elastica (non si perde energia).
Un’idea di quanto Bernouilli pensava discende proprio da una figura che egli stesso riporta:

sono proprio le molte particelle costituenti il gas che, con i loro urti sulla parete superiore del recipiente sostengono il peso P.
A partire da queste ipotesi, con dei conti molto semplici che noi tralasciamo Bernouilli ritrovò la Legge che Boyle aveva trovato sperimentalmente per via esclusivamente teorica: Era un ottimo indizio che toglieva l’atomo dalle speculazioni filosofiche e lo portava dentro una possibile realtà fisica.
A partire da questo momento, pur in una situazione di gravi difficoltà sperimentali che permettessero un approccio diretto alla conoscenza del mondo dell’infinitamente piccolo, si intensificarono le ricerche sull’atomo, sulla sua realtà, sulle sue funzioni e proprietà, …. Esperienze su esperienze si accumularono e, soprattutto, gli apparati sperimentali si perfezionarono e divennero sempre più sofisticati.
LA NASCITA DELLA SCIENZA ELETTRICA
Su sentieri diversi si erano scoperti, in una remota antichità, alcuni fenomeni chiamati elettrici. Il nome derivava dal fatto che il fenomeno riguardava pezzi di ambra (una resina fossile) che in greco si chiama electron. Ebbene strofinando dell’ambra con un panno essa acquistava la proprietà di attrarre piccole pagliuzze. Dai tempi di Talete di Mileto (VI secolo a.C.) a cui viene assegnata la scoperta, passarono circa 2400 anni prima che il fenomeno fosse ripreso con pochi cenni dall’inglese William Gilbert che introdusse il termine di forza elettrica che si esercita tra ambra e piccoli oggetti attratti (in analogia alla forza magnetica che si esercita tra magnete e pezzi di ferro che egli studiava). Seguirono varie ricerche finché non fu realizzata dal tedesco Otto von Guericke nel 1660 la prima macchina che produceva in gran quantità l’elettrizzazione dell’ambra, la macchina elettrostatica, quella che produce grossi scintilloni (e quelle scariche elettriche di cui parlavo all’inizio). Da qui iniziò la rincorsa a macchine elettrostatiche sempre più raffinate e la scoperta che era possibile produrre elettricità non solo mediante strofinio ma anche mettendo a contatto un oggetto caricato di elettricità (ad esempio per strofinio) con uno non carico, oppure avvicinando un oggetto carico di elettricità ad un altro. Si scoprì (l’inglese Gray, 1732) che vi sono dei materiali che conducono questa elettricità (i conduttori) e degli altri che non la conducono (gli isolanti). L’anno seguente il francese Du Fay scoprì che vi sono due tipi di elettricità la resinosa (quella che chiamiamo negativa) e la vetrosa (quella che chiamiamo positiva) quindi trovò che i corpi elettrizzati di elettricità vetrosa attraggono i corpi elettrizzati con elettricità resinosa e respingono gli altri corpi elettrizzati con elettricità vetrosa (e ciò dice in breve che corpi elettrizzati dello stesso segno si respingono e corpi elettrizzati di segno opposto si attraggono). I passi avanti erano notevoli ma tutti di tipo empirico, non si era fatto alcun passo nella comprensione dei fenomeni in gioco. I fenomeni elettrostatici restavano qualcosa di transitorio, esistevano in modo da affascinare le corti dei vari principi e sovrani ma la loro peculiarità era una scarica elettrica per breve tempo e poi basta. Finalmente nel 1800 Alessandro Volta realizzò la pila che metteva fine alla transitorietà elettrostatica per passare all’elettricità (o corrente) continua attraverso un semplice apparato da lui realizzato, la pila. Questo oggetto era costituito da due metalli (opportunamente sistemati), rame e zinco, che pescavano in un composto chimico situato in un piccolo recipiente di vetro. Ai capi dei due metalli si avevano, da una parte l’elettricità positiva e dall’altra l’elettricità negativa. Questa poteva fluire, finché non si era scaricata la pila, se si mettevano in contatto con un filo conduttore i due metalli. La pila sarà la base da cui partirono innumerevoli ricerche che fondarono la scienza elettrica, fino alla corrente alternata e ad una vastità incredibile di fenomeni.
Per ciò che ora ci interessa occorre solo accennare ad un’altra fondamentale scoperta, quella che per la prima volta rese quantitativi i fenomeni elettrici. La scoperta fatta dal francese Augustin Coulomb tra il 1785 ed il 1789, stabilisce qual è la forza che si esercita tra due piccole sferette caricate di elettricità. Esse si attraggono o si respingono (si attraggono se sono caricate di segno opposto e si respingono se sono caricate dello stesso segno) con una legge del tipo di quella di Newton di Gravitazione Universale (alla quale ho accennato nella Parte I) che, anche qui, riporto solo in figura

La legge di Coulomb. Due quantità di elettricità qualunque, q1 ed q2, si attraggono con una forza F1 o F2 che aumenta all’aumentare del prodotto tra le due quantità di elettricità e diminuisce di molto (con il quadrato) della distanza r tra i centri delle due quantità. La Kc che compare nella formula è una costante chiamata Costante di Coulomb.
ANCORA ATOMI
Possiamo ora riprendere le questioni relative all’atomo. Sul finire dell’Ottocento il britannico J.J. Thomson scoprì una piccolissima particella che doveva essere tra i costituenti dell’atomo, l’elettrone. I problemi si complicarono perché l’elettrone mostrava di avere una carica elettrica negativa mentre la materia di cui l’elettrone è parte non ha proprietà elettriche, ma è neutra. Ciò portò a concludere che nella materia dovevano esservi anche particelle con carica elettrica negativa di modo che, nel complesso, la materia fosse, come è, priva di carica. Si iniziò allora a pensare che la materia fosse costituita da atomi neutri ma formati da particelle negative e da una carica positiva diffusa nell’intero atomo, visto che non i trovavano particelle cariche positivamente. Ancora J. J. Thomson si mise a studiare il problema e nel 1904 portò a compimento il suo modello di atomo. Tale modello atomico era pensato come costituito da una carica elettrica positiva distribuita uniformemente in una sfera piccolissima, neutralizzata da un conveniente numero di elettroni immersi nella stessa sfera e liberi di muoversi in essa:

Nel 1911 E. Rutherford, che era stato assistente di Thomson, suggerì, in base all’esperienza, che in un dato atomo la carica positiva e la maggior parte della massa fosse concentrata in un nucleo di dimensioni estremamente ridotte; la carica negativa, formata dagli elettroni è distribuita nel resto del volume atomico che risulta essere quindi in gran parte vuoto (se un elettrone atomico girasse intorno al Duomo di Milano, il nucleo non sarebbe più grande della capocchia di uno spillo).

In (a) è schematicamente disegnato un pezzo di materia pensato con atomi secondo il modello di J.J. Thomson; in (b) lo stesso pezzo di materia con atomi secondo il modello di Rutherford.
In definitiva, secondo Rutherford, si ha un nucleo positivo immerso in una atmosfera poco densa di elettroni, o meglio, si ha un sistema solare in miniatura con il nucleo centrale ed un certo numero di elettroni che gli ruotano intorno trattenuti dall’attrazione dovuta alla forza di Coulomb, così come i pianeti ruotano intorno al Sole, sottoposti all’attrazione gravitazionale. Alla periferia dell’atomo, questi elettroni negativi neutralizzano l’effetto della carica positiva del nucleo; così che, complessivamente, l’atomo è neutro. Questo significa che il nucleo ha un numero di cariche elementari positive uguale al numero degli elettroni. Osservo a parte che Rutherford ha scoperto il nucleo dell’atomo.

Siamo agli inizi del Novecento e la fisica aveva fatto passi avanti clamorosi in tutti i campi. Non entro per ora in questi dettagli (fondamentali) ma faccio tagli brutali per arrivare ad un modello atomico esteriormente simile a quello di Rutherford ma concettualmente differente in modo sostanziale. Il modello di Rutherford fu subito messo in discussione e scartato perché cozzava contro alcune leggi della fisica (in particolare con il fatto che le cariche elettriche in moto circolare emettono energia e non si sa bene chi dà questa energia agli elettroni).
Nel 1913 il danese N. Bohr apportò alcune correzioni all’atomo di Rutherford in modo che esso potesse rispondere ai fatti sperimentali e fosse in grado di risolvere le gravi difficoltà cui esso si era scontrato. Queste correzioni erano basate sull’accettazione della teoria dei quanti che Einstein aveva elaborato nel 1905 e sulla sua applicazione alla struttura degli atomi ma sembravano del tutte ingiustificate da un punto di vista teorico. Essenzialmente Bohr basò il suo modello atomico su due postulati non giustificati (il mio professore di fisica all’Università diceva: Se li è inventati), se non per rendere conto dei fatti sperimentali. Il primo di questi postulati, conseguenza diretta dell’applicazione dei quanti alla struttura atomica, afferma che in un atomo gli elettroni non possono assumere qualsiasi valore dell’energia ma solo certi valori definiti (si usa dire che in un atomo l’energia è quantizzata). Ciò significa qualcosa di molto importante: solo su certe orbite elettroniche, a distanze determinate dal nucleo, possono ruotare dagli elettroni e ad ogni orbita corrisponde un determinato valore dell’energia che quell’elettrone possiede. Quindi un elettrone in un atomo non può avere un qualunque valore dell’energia ma solo determinati valori multipli interi di una determinata quantità.
II secondo postulato riconosce che l’elettrone orbitale non può emettere alcuna energia a meno che non cambi orbita (cioè livello energetico); questo passaggio non può avvenire, quindi, gradualmente, ma si ha un vero e proprio salto energetico (qui si scavalcano le obiezioni a Rutherford con una semplice affermazione, piena però di conseguenze). Quando, per un qualche motivo, un elettrone salta da una orbita ad energia più alta (livello energetico iniziale: i) ad una energia più bassa (livello energetico finale: f), la sua perdita di energia è emessa sotto forma di quanto di luce (oggi meglio conosciuto come fotone). Si ha così: ΔE = Ei – Ef = hν, dove Ei è l’energia corrispondente all’orbita ad energia più alta, Ef quella corrispondente all’orbita ad energia più bassa ed hν è l’energia che corrisponde al fotone (è il prodotto tra una costante h e la frequenza ν che corrisponde a quel fotone). La relazione scritta significa che un elettrone nel passare da una certa orbita ad una ad energia più bassa perde energia, e questa perdita di energia (per la legge di conservazione) la si ritrova sotto forma di emissione di radiazione (emissione di un quanto di radiazione). Nel caso il salto avvenga in senso contrario a quello descritto fin qui si ha assorbimento di un quanto di radiazione hν dall’esterno.

FENOMENI MAGNETICI
Abbiamo accennato alla nascita dell’elettricità riferendoci alle proprietà dell’ambra strofinata di attrarre pezzetti di paglia, da cui il nome electron, elettricità. Fenomeni analoghi a quelli elettrici erano di particolari minerali ferrosi noti come pietra di Magnesia (e litos Magnetis, dal nome della città che si trovava alle falde del monte Sipilo, nell’Asia Minore) che presentavano la proprietà di attrarre a sé pezzettini di ferro. Talete riteneva che il magnete fosse vivo perché in grado di far muovere le cose e che avesse un’anima. Anche qui, comunque, il nome magnete, da cui il termine fenomeni magnetici, discende dal nome della città di Magnesia ed anche qui prima di capire il fenomeno occorsero i circa 2400 anni dei quali abbiamo parlato per i fenomeni elettrici. Nel caso magnetico comunque una prima applicazione pratica si ebbe nella bussola.
Le notizie che riporto sono in gran parte incerte, vaghe ed a volte contraddittorie, come è sempre quando non si dispone di documenti. Fornisco quindi solo alcuni cenni per seguire alcune tracce della storia della vicenda.
Una delle proprietà che venne scoperta (?) era quella per cui i magneti di forma allungata, barrette o aghi magnetici, se sistemati in condizioni di orientarsi liberamente su di un piano orizzontale si disponevano spontaneamente dirigendo sempre una delle due estremità (per questo chiamata nord dell’ago) verso il nord geografico mentre l’altra risultava diretta verso il sud geografico (sud dell’ago). Tale proprietà risulta sia stata sfruttata in Cina intorno al IV secolo d. C. con la realizzazione di bussole (dal greco puxis che in latino diventa buxis e che, nelle due lingue, vuol dire “scatola di legno di bosso“) per orientarsi nella navigazione (fatto che permetteva il superamento del bordeggiare per inoltrarsi in mare aperto anche in condizioni di non visibilità del cielo ma SOLO con mare calmo). Esse erano in genere costituite da un recipiente contenente acqua, sulla quale galleggiava un piccolo oggettino di legno (una canna cava), spesso forgiato artisticamente con la forma di un drago, di un pesce, …, vincolato a ruotare liberamente intorno all’asse verticale centrale del recipiente. All’interno di tale oggetto era disposto un ago magnetico che, orientandosi come accennato, orientava anche l’oggetto, che quindi si disponeva indicando la direzione del nord.

Tale scoperta sembra sia arrivata in Europa, con l’intermediazione araba, tra l’XI ed il XII secolo (occorre però osservare che furono ancora gli stessi arabi a trasferire la bussola europea, da poter usare anche con mare mosso, in Oriente e probabilmente nella stessa Cina). Sull’introduzione della bussola in Europa vi è molta leggenda che occorre ridimensionare ad evitare errori clamorosi. Fu probabilmente nel XVI secolo che tali leggende si affermarono a seguito dell’errata interpretazione di un testo, scritto nel 1543 da Flavio Biondo, storico di Positano, vicino ad Amalfi, secondo il quale sembrava che marinai amalfitani fossero stati i primi a usare e anche a perfezionare la bussola dei Cinesi. La tradizione popolare, con una strana deformazione del nome, attribuì a questo Flavio l’invenzione della bussola.
Una prima notizia certa, e non in ordine cronologico, è che due commentatori della Divina Commedia del XIV secolo, Francesco da Buti e Giovanni da Ferravalle, spiegavano il verso 29 del canto XII del Paradiso in tal modo:
“Hanno li naviganti uno bussolo che in mezzo è imperniato una rotella di carta leggera, la quale gira su detto perno; e la detta rotella ha molte punte, et ad una di quelle che vi è dipinta una stella, è fitta una punta d’ago; la quale punta li naviganti quando vogliono vedere dove sia la tramontana, imbriacano con la calamita”
E’ la prima descrizione nota di una bussola che si avvicina a quella moderna ed in uso in Italia: l’ago magnetico, imperniato al centro della scatola che lo contiene, gira solidale con la rosa dei venti (la sospensione cardanica, una normale bussola montata su un giroscopio, che permette che l’ago mantenga sempre il medesimo piano di rotazione, qualunque sia l’oscillazione della nave, sarà introdotta nel XVI secolo). Da notare che in Italia vi fu una sottovalutazione della bussola almeno fino al XV secolo perché era ritenuta uno strumento della magia nera.

Una antica bussola a sospensione cardanica (circa 1570). Come in un giroscopio, gli anelli metallici che sostengono la bussola possono ruotare o oscillare a piacere, mentre la bussola, che nella sua parte più bassa è zavorrata, resta immobile all’interno.
Tra il secolo XV ed il XVII vi furono molti perfezionamenti tecnici in svariati campi e particolarmente agli strumenti della navigazione, con particolare riferimento alla bussola in epoche che videro estendersi la navigazione su rotte non più bordeggianti la costa. Quando si tratta di affrontare il mare aperto sapendo che la costa è da ogni parte lontana la strumentazione, e tra questa la bussola, diventa fondamentale. Per quanto si sa sembra sia stato Cristoforo Colombo il primo ad osservare la declinazione magnetica (angolo formato tra il nord geografico ed il nord magnetico) il 13 settembre del 1492 quando, trovandosi a 200 miglia marine dall’isola di Ferro, determinò in 5° e 30′ verso occidente l’angolo che l’ago magnetico fa con il meridiano. Molto probabilmente, anche in precedenza, ci si era accorti del fenomeno a partire dai costruttori di meridiane solari i quali segnavano l’angolo formato tra la direzione dell’ago magnetico e l’ombra dello gnomone a mezzogiorno come risulta da alcuni esemplari conservati in musei tedeschi. E se conoscevano il fenomeno i fabbricanti di meridiane, a maggior ragione, si doveva conoscere in mare.

Successivamente (1644) si scoprì che la declinazione magnetica varia anche nel tempo in un medesimo luogo. Ignorando quest’ultimo fatto i navigatori credettero fino a tutto il XVIII secolo di aver risolto con la conoscenza della declinazione magnetica in ogni luogo il problema della determinazione della longitudine di quel luogo ma la cosa risultò del tutto errata. Altro fenomeno legato alla bussola fu di G. Hartmann (1544) e successivamente R. Norman (1576), che scoprirono l’inclinazione magnetica: sospendendo un ago magnetico ad un asse orizzontale passante per il suo centro di gravità, si accorsero che l’ago punta, con vari angoli (molto piccoli), a seconda del luogo, verso il suolo.

Primi studi importanti sul magnetismo furono dello scienziato francese Pierre de Maricourt (mago ed alchimista nato in Picardie, Francia settentrionale, ammirato da Ruggero Bacone e sceso in Italia con Carlo D’Angiò), più noto con la sua denominazione latina di Petrus Peregrinus (presumibilmente per essersi recato in pellegrinaggio a Roma), nel 1269 scrisse Epistula ad Sygerum de Foucaucourt militem, de magnete, un compendio di quello che allora si sapeva sul magnetismo in generale e sul magnetismo terrestre in particolare, che, nell’inevitabile forma manoscritta, ebbe subito larga diffusione tra gli scienziati (fu passato a stampa soltanto nel 1558). Pierre de Maricourt, le cui opere sono andate quasi completamente perdute, descrisse con dettagli la bussola ad ago imperniato, le attrazioni e repulsioni tra poli magnetici, il magnetismo indotto mantenendo un magnete naturale vicino ad un pezzo di ferro, la riproduzione dei magneti allo spezzarli successivamente (se si dispone di una barra magnetica e la si spezza, i due pezzi diventano due magneti indipendenti; continuando a spezzare i magneti si ottengono sempre dei magneti “autonomi”, fatto che mostra che i due poli magnetici risultano inseparabili), come realizzare un buon magnete.
Una importante scoperta di Pierre de Maricourt è la seguente. Si lavori un pezzo di magnetite (il minerale di ferro che ha le proprietà magnetiche naturali) in modo da dargli la forma di un globo. Si disponga poi un ago magnetico su questo globo e si marchi con una linea la sua posizione. Si prosegua sistemando l’ago in posizioni diverse sull’intero globo. Si scopre che le linee segnate sulla magnetite sono dei cerchi che circondano il minerale allo stesso modo dei meridiani sul globo terrestre, cerchi che hanno due punti da parti opposte in cui tutti i cerchi si incontrano allo stesso modo che i punti di incontro dei meridiani sulla Terra indicano il polo Nord ed il Polo Sud della Terra medesima. Colpito da tale analogia, Pierre de Maricourt propose di chiamare i due punti sulla magnetite, individuati come riassunto, poli del magnete. Tali poli godevano di particolari proprietà poiché l’interazione di due magneti dipende solo dalla posizione dei rispettivi poli come se in essi risiedesse l’intera potenza dei magneti. La scoperta dei poli è alla base degli sviluppi successivi di diverse teorie: essi per moltissimi anni hanno giocato un grande ruolo nella filosofia della natura.
Risalgono a questa epoca le prime teorie sul funzionamento della bussola. Una delle più diffuse partiva dalla constatazione sperimentale che un ago magnetico deviava verso una vicina massa ferrosa e giungeva a spiegare il funzionamento della bussola come dovuto alla presenza di grandi masse di rocce ferrose (si parlava di «montagne di ferro») nella zona del polo nord geografico: una supposizione che ben s’accordava con la nota esistenza di ricche miniere di ferro nella penisola scandinava, all’estremo nord dell’Europa. Fu Ruggero Bacone che confutò una parte di tale teoria: dall’osservazione che l’ago magnetico punta a Nord ma anche verso il basso, la supposta grande massa ferrosa che «attirava» l’ago si sarebbe trovata in una imprecisabile regione delle profondità terrestri, sia pure verso il nord, e non in montagne scandinave. Ma vi erano altri teorie che volevano l’intera Terra come se fosse, essa stessa, un gigantesco magnete. Non mi occuperò della cosa, osservando solo che la circostanza di una Terra “magnetica” fu falsificata da Pierre Curie (XX secolo) che mostrò che tutti i magneti perdono le loro proprietà magnetiche al di sopra di una temperatura di circa 760 °C (temperatura di Curie) che è abbondantemente superata immediatamente sotto la crosta terrestre.
Altri contributi e descrizione dei fenomeni vennero da Gilbert (1600), al quale dobbiamo la fondamentale scoperta del perché si orientano gli aghi magnetici o le bussole. La Terra stessa è un gigantesco magnete con i suoi poli sistemati alle massime latitudini sia Nord che Sud. Risulta così spiegato il comportamento della bussola come interazione tra poli dell’ago magnetico e della Terra (in realtà qui vi è un errore storico: non è il Nord dell’ago della bussola che si orienta verso il Polo Nord terrestre; occorrerebbe cambiare uno dei due nomi). Altri ancora scrissero di magnetismo come
Galileo (1632), Descartes (1644), Padre Grimaldi (1665), Newton (1704) ed altri ma senza nessuna novità di rilievo. Gli anni seguenti, fino agli inizi dell’Ottocento, vedranno molto poco nelle discussioni sul magnetismo. L’attenzione è tutta concentrata sui fenomeni elettrici e, solo per analogia ogni tanto vengono richiamati quelli magnetici. In particolare si sente la necessità di passare a qualche relazione formale, a raccontare il magnetismo in termini quantitativi. Coulomb, sul finire del Settecento, accennerà al magnetismo, proprio nel senso ora detto. Il primo però che tentò di dare una legge quantitativa sulla forza che agisce tra due magneti fu il geologo ed astronomo britannico John Michell (fine Settecento). In un suo lavoro del 1750 vi sono varie accurate osservazioni sul magnetismo ed un metodo facile e celere per realizzare magneti artificiali attraverso il meccanismo dell’induzione magnetica. Michell era un fervente newtoniano e andò a scoprire ciò che voleva scoprire, il fatto cioè che le forze agenti tra poli magnetici si comportano come la legge regina di Newton, quella di gravitazione universale (sulla stessa strada si mosse successivamente Coulomb, come abbiamo visto). Egli elaborò una formula simile (a parte la definizione dei poli con p) alla legge di Newton:
F = K1.(p1.p2/r2)
(proporzionalità tra poli che interagiscono e dipendenza dall’inverso del quadrato della loro distanza). E’ inutile dire che tale legge, non ha retto a successive e rigorose verifiche sperimentali (e non poteva reggere perché il polo magnetico è inseparabile dall’altro polo che interferisce quando si fanno delle misure) anche se ha avuto il pregio di indicare una strada per rendere la scienza magnetica quantitativa.
Il momento più importante, che dette una svolta clamorosa alla comprensione del magnetismo, si ebbe nel 1820 con una esperienza clamorosa, quella di Oersted. La descriverò tra poco ma prima occorre seguire alcune tappe dello sviluppo dell’elettricità.
LEGGE DI COULOMB. ELETTRIZZAZIONE.
Quanto visto è una sorta di quadro generale di quanto si sapeva più o meno alla fine del Settecento ed inizi dell’Ottocento. Occorre ora vedere come inizia la vera e propria scienza elettrica a partire da quando si iniziò a disporre di una macchina come la pila. Prima però riprendiamo quanto ho solo accennato su Coulomb, colui che per primo introdusse la misura nei fenomeni elettrici. Si conosceva l’esistenza della carica elettrica, di corpi cioè che, in particolari condizioni (ad esempio, strofinati), avevano la proprietà di attrarre altri piccoli corpi. Si sapeva anche che, se si strofinava due pezzetti di ambra e poi si sistemavano l’uno vicino all’altro, si aveva una piccola repulsione tra questi due pezzetti. Insomma, piccole cariche elettriche, in alcune condizioni si attraggono tra di loro ed in altre si respingono. Tutto ciò rientra in quanto abbiamo già accennato: cariche di segno opposto si attraggono mentre cariche dello stesso segno si respingono. Convenzionalmente chiamiamo con il segno + un tipo di carica e con il segno – l’altro tipo. Ebbene, Coulomb si costruì un apparecchio che con grande precisione era in grado di misurare con quale forza due piccole cariche si attraggono tra loro se sono di segno opposto o si respingono se sono dello stesso segno. Tale strumento si chiama bilancia di torsione (una bilancia simile, ma molto più grande, era stata realizzata anni prima da Cavendish per determinare la costante gravitazionale G che figura nella Legge di gravitazione universale di Newton).

Bilancia di Cavendish
Un filo di seta sospeso ha alla sua estremità una barretta perpendicolare al filo. Ad una estremità della barretta vi è una sferetta carica bilanciata all’altra estremità da un contrappeso. Sul filo di seta è fissato uno specchietto che ruota quando ruota il filo. Un raggio di luce, indirizzato sullo specchietto, si riflette andando su una scala graduata. Quando lo specchietto ruota solidalmente con il filo il raggio riflesso si sposta sulla scala graduata. Se si sistema una carica fissa nelle vicinanze della carica sospesa, supponiamo dello stesso segno, si eserciterà una forza repulsiva che fa ruotare (torcere) il filo, quindi lo specchietto ed in definitiva potremo misurare il tutto dal raggio riflesso sulla scala graduata: l’angolo di torsione è proporzionale alla forza torcente.

Da: http://www.liceoberchet.gov.it/ricerche/scienzafirenze/2010_coulomb/coulomb_sito.pdf

Schema della bilancia di torsione da una memoria di Coulomb del 1785
Naturalmente il tutto richiede una grande precisione e tecnica costruttiva a cominciare dal fatto che il tutto doveva essere sistemato dentro un contenitore di vetro per evitare che il movimento dello specchietto sia influenzato, ad esempio, da una corrente d’aria. Deve essere possibile cambiare le cariche e la loro distanza in modo da poter ripetere l’esperienza in differenti condizioni.
Con questo sistema abbiamo introdotto le quantità in elettrostatica ed abbiamo la nuova grandezza carica elettrica q che agisce con attrazioni e repulsioni con altre cariche elettriche e con forze determinate dalla Legge di Coulomb:
F = K.(q1.q2/r2)
Ebbene, in primissima approssimazione, delle cariche elettriche in movimento costituiscono la corrente elettrica.
Arrivati però a questo punto non possiamo far finta di non sapere che esiste l’elettrone come la più piccola carica negativa che si conosce (lo indicheremo con e sottintendendo che è carica negativa). Conosciamo l’elettrone con carica negativa ed il nucleo con carica positiva che costituiscono, in differenti combinazioni di elettroni rispetto ad un dato nucleo, l’atomo. Ogni materiale che conosciamo, sia esso un conduttore che un isolante, è formato dagli atomi o dalle molecole (combinazione tra atomi) che lo costituiscono. Questi atomi o molecole non sono però immobili ma in continuo movimento disordinato, movimento che si accentua sempre più quanto più è elevata la temperatura (ma questo lo sappiamo dalla Prima Parte del lavoro).
Torniamo ora a quel fenomeno che permetteva di caricare elettrostaticamente un oggetto. Abbiamo già detto che alcune sostanze possono essere caricate, abbiamo anche accennato ai modi che sono tre: strofinio, contatto, induzione. Vediamoli.
Strofinio. Se strofiniamo un oggetto con un panno diciamo che quell’oggetto si elettrizza, acquista cioè quelle particolari proprietà che gli permettono di attrarre piccoli oggetti, come palline di carta, pagliuzze, … Questa descrizione è del tutto incompleta. E’ molto più corretto dire che l’oggetto si elettrizza insieme al panno che lo strofina e, fatto importante, si elettrizzano con segni opposti. Se l’oggetto si elettrizza positivamente, il panno si elettrizza negativamente.

Cosa accade? Strofinando forniamo dell’energia all’oggetto e permettiamo ad alcuni elettroni di staccarsi dai loro nuclei per emigrare sul panno. Elettroni che se ne vanno vuol dire che, nell’oggetto, prevalgono le cariche positive dei nuclei di modo che, in definitiva, l’intero oggetto risulta carico positivamente. Gli elettroni che si sono staccati non sono scomparsi ma sono andati a sistemarsi sul panno di modo che, sul panno, prevalgono le cariche negative. La quantità di carica si conserva: tanto è emigrato dall’oggetto quanto ritroviamo sul panno.

Pettinandosi con un pettinino di plastica, quest’ultimo si è caricato ed è in grado di attrarre piccoli pezzi di carta
Quanto ho detto richiede qualche ulteriore spiegazione. Nessuno pensi che si possa elettrizzare un qualunque oggetto spostando i nuclei degli atomi che sono positivi. Questi nuclei sono enormemente più grandi degli elettroni e non si spostano. L’elettrizzazione avviene sempre o per sottrazione di elettroni o per loro aggiunta.
Il come si carica un determinato oggetto (se positivamente o negativamente) dipende da come è fatto dal punto di vista atomico (o molecolare). Questo lo vedremo meglio più avanti ma per ora basti un discorso molto semplice: vi sono sostanze i cui atomi hanno disponibilità di sistemare sulle loro orbite elettroniche altri elettroni (non definitivamente ma per un certo tempo), mentre vi sono alte sostanze che sono più propense a perdere elettroni. Se si strofinano due sostanze che sono propense a perdere elettroni, vi sarà quella che è più propensa dell’altra e sarà quindi quella che si caricherà positivamente (con l’altra che si caricherà negativamente).
E’ quindi lo spostamento degli elettroni, che sono cariche elettriche, che dà origine ad oggetti carichi di un certo tipo. Se lasciamo questi oggetti carichi all’aria libera, dopo un certo tempo (che varia di molto con l’umidità dell’aria), si scaricheranno: prenderanno dall’ambiente circostante gli elettroni che gli mancano o li cederanno ad esso (si tenga sempre coto che in natura si tende all’equilibrio e, a parte casi straordinari, gli oggetti tendono ad essere neutri).
Supponiamo ora che un oggetto sia stato caricato negativamente. Esso è in uno stato di eccitazione e ha la tendenza a perdere gli elettroni in più che si ritrova. Invece di farglieli perdere piano piano naturalmente, possiamo aiutare il fenomeno in modo che avvenga in tempi più rapidi. Si è scoperto che una punta metallica ha la proprietà di attrarre a sé degli elettroni se gli si avvicina un oggetto carico negativamente (proprietà che cambia se gli si avvicina un oggetto carico positivamente: in tal caso è la punta che sputa fuori elettroni). Quando l’oggetto è molto ma molto carico anche un dito che lo indichi può essere la punta che provoca il fenomeno (nel caso di un temporale, se si cammina su di un prato o in una piazza, l’intera persona può diventare una punta). Questi studi furono fatti intorno alla metà del Settecento da Beniamino Franklin che, attraverso essi, inventò il parafulmine.

Ritorniamo al nostro oggetto (molto) carico negativamente. Se gli avviciniamo la punta di un cacciavite vedremo una piccola scarica elettrica tra l’oggetto carico e la punta. Questa scarica è tanto maggiore quanto più è carico l’oggetto. Nel caso del fulmine si tratta di strati d’aria, caricatisi enormemente per aver strofinato con altri strati, che scaricano al suolo, meglio se vi è una punta (una persona su un prato, un campanile, una guglia, una qualche protuberanza del suolo, un parafulmine, …), tutta la loro carica. Una scarica elettrica è quindi una corrente elettrica che va da un luogo ad un altro in un tempo brevissimo. Esaurita la scarica è esaurito il fenomeno elettrico.

Contatto. E’ un altro modo per elettrizzare un oggetto che si illustra bene con un disegno. Abbiamo una pallina, sostenuta da un manico isolante (fig. 1), che carichiamo positivamente, ad esempio, strofinandola (fig.2).

fig. 1

fig. 2
Avviciniamo alla pallina carica un oggetto scarico anch’esso sostenuto da un manico isolante fino a metterlo in contatto con la pallina (fig. 3).

fig. 3
Immediatamente questo oggetto si caricherà acquistando parte della carica in eccesso che ha la sferetta. In questo caso, poiché nella sferetta mancano elettroni, vari elettroni dell’oggetto si trasferiranno sulla sferetta in modo che ambedue gli oggetti risulteranno carichi positivamente (fig.4). Sia chiaro che la sferetta resta carica positivamente anche se con meno carica di quella che aveva (ricordo che la carica si conserva).

fig. 4
Sarebbe accaduta esattamente la stessa cosa se avessimo caricato la sferetta negativamente. con l’oggetto che, al contatto, si sarebbe caricato negativamente.
Induzione. Ripartiamo dalla nostra sferetta carica positivamente ed avviciniamogli l’oggetto neutro (fig. 5).

fig. 5
Sappiamo che cariche dello stesso segno si respingono mentre cariche di segno opposto si attraggono. Ebbene qui l’eccesso di carica positiva della sferetta attrarrà gli elettroni dell’oggetto nella parte dell’oggetto più vicina alla sferetta, con la conseguenza che questa parte si caricherà negativamente. Ma, attenzione, questi elettroni vengono a mancare nella parte più lontana dell’oggetto che si caricherà positivamente. In definitiva avremo l’oggetto per metà carico positivamente e per metà carico negativamente, come mostrato in figura 6.

fig. 6
Sembra sia chiaro che, qualunque situazione si abbia, l’elettrizzazione è uno spostamento momentaneo ed istantaneo di elettroni. Elettrizzare, ottenere scariche elettriche e cose del genere rappresentano fenomeni temporanei dai quali non si intravide alcuna possibilità di progresso, di ulteriore comprensione scientifica che permettesse passi in avanti. Resta forse da ricordare che all’inizio si credette che l’elettrizzazione fosse dovuta a fluidi elettrici e che di questi fluidi ve ne fossero due. Come con quanto abbiamo visto per il calore, Lavoisier mostrò che i fluidi, con l’elettricità, non c’entrano nulla.
Altra osservazione riguarda la possibilità di caricare, mediante l’induzione, un oggetto solo del segno opposto alla sferetta inducente. La figura seguente lo mostra in tre passaggi. Nel primo una bacchetta carica negativamente induce la carica in un oggetto parallelepipedo; come sappiamo la parte dell’oggetto più vicina alla bacchetta si carica di segno opposto mentre quella più lontana dello stesso segno; nel secondo si tocca con un dito l’estremità dell’oggetto più lontana dalla bacchetta ed in tal modo, utilizzando della proprietà dell’elettrizzazione per contatto, liberiamo elettroni dall’oggetto; nel terzo abbiamo l’oggetto che resta carico solo del segno opposto alla bacchetta.

fig. 7
Con le cose qui dette, più oltre sarà possibile parlare di alcuni strumenti di misura come gli elettroscopi ed elettrometri.
QUALCHE FORMULA CHE CI AIUTA
Ritorniamo ora alla Prima Parte del lavoro per scrivere in formula alcune delle cose lì dette che estenderò alle questioni elettriche. Quando ho parlato di energia l’ho fatto senza formalizzare (scrivere la formula), lo faccio ora e per farlo parto dalla definizione di forza. Una forza (con tutte le avvertenze viste nella Prima Parte) è una entità che, agendo su una data massa, la fa accelerare. Un’altra grandezza d’interesse che non abbiamo ancora visto è il lavoro. E’ una grandezza che storicamente ha tardato ad affermarsi e lo ha fatto in epoca di Seconda Rivoluzione industriale nella seconda metà del Settecento. Quando si iniziarono a montare nastri trasportatori in catene di montaggio qualcuno cercò di capire cosa doveva essere pagato ad un operaio, quella cosa che chiamiamo lavoro e che in fisica ha un significato non corrispondente al linguaggio comune. Un solo esempio: se una persona trasporta una pesante valigia lungo il binario di una stazione, non fa lavoro in fisica ma tutti sappiamo che quel lavoro è misurato dalla grande fatica che si è fatta.
Cos’è il lavoro nella vita comune tutti lo sappiamo, cerchiamo allora di capire come è definito in fisica. La definizione dice che si ha lavoro L ogni volta che una forza F provoca lo spostamento s di un certo oggetto, cioè L = F.s.

L = F.s
Se fosse così il lavoro della vita quotidiana e quello della fisica sarebbero la stessa cosa. Cos’è che è differente allora? In fisica la forza e lo spostamento devono avere la stessa direzione e lo stesso verso come nella figura precedente. Se le cose stessero come nella figura seguente occorrerebbe dare una diversa valutazione del lavoro.

Qui la forza e lo spostamento hanno versi differenti, non siamo quindi all’interno della definizione data per il lavoro in fisica. Per avere il lavoro fatto in fisica occorre non considerare tutta la forza F di figura ma solo la sua proiezione F’ sullo spostamento che avverrà sul piano nel quale cammina il carrello.

La formula che fornisce quindi il lavoro non è un prodotto ordinario ma un prodotto scalare tra i due vettori forza e spostamento, prodotto che si indica con il vecchio simbolo x (scrivere in grassetto delle grandezze fisiche indica il loro essere vettori):
L = F x s
e questa relazione vuol dire che il lavoro si ottiene moltiplicando una delle due grandezze (forza e spostamento) per la proiezione dell’altra su di essa. Con simboli matematici quanto ho ora detto si scrive:
L = F.s.cosα
dove è l’angolo di figura, quello tra forza e spostamento. Quanto detto ci fa comprendere perché quella persona che porta una pesante valigia su un marciapiede della stazione non fa lavoro in fisica: la forza applicata alla valigia ha il verso del braccio che sostiene la valigia e questo verso è perpendicolare allo spostamento. Se proiettiamo la forza sullo spostamento abbiamo un punto che ha dimensioni nulle ed in definitiva il lavoro è nullo (avevo accennato al fatto che questo concetto di lavoro era stato introdotto intorno alla metà del Settecento in corrispondenza della seconda rivoluzione industriale; ebbene i proprietari delle fabbriche avevano ben capito che non conveniva pagare qualcuno per trasportare pesi in orizzontale: bastava un nastro trasportatore).
Con quanto detto ho definito almeno in modo approssimativo il lavoro meccanico. Ebbene da qui si può passare a definire l’energia: quando una macchina, una persona è in grado di compiere del lavoro è dotata di energia. Tale energia sarà potenziale se resta come capacità di fare lavoro che però non si sta facendo. Sarà invece cinetica se è in atto se cioè sta facendo il lavoro. Ora se una persona o una macchina è in grado di fare del lavoro, ha quindi in sé dell’energia potenziale, e la vuole trasformare in cinetica, vuole cioè fare quel lavoro, deve essere chiaro che la cosa non avviene istantaneamente. Voglio dire che non tutta l’energia potenziale si trasforma in cinetica istantaneamente, non tutta l’energia potenziale si trasforma in lavoro istantaneamente. Ci vuole del tempo durante il quale mentre via via l’energia potenziale si va perdendo, si va acquistando energia cinetica, si va cioè facendo del lavoro. Possiamo illustrare quanto detto con una bambina su una altalena.

Supponiamo che un amichetto tenga la bambina ferma in A. In questo caso la bambina ha il massimo di energia potenziale. Quando è lasciata essa va perdendo energia potenziale acquistando velocità, cioè energia cinetica. Arrivata in B la bambina ha il massimo di energia cinetica che va perdendo man mano che l’altalena va salendo nel lato opposto da dove era partita. Arrivata al punto massimo di questo lato opposto, per un istante si ferma. In questo istante si è accumulata di nuovo energia potenziale e si è persa energia cinetica.

Come sappiamo tutto si ripete uguale per un poco di tempo e non a tempo indeterminato perché parte dell’energia a disposizione all’inizio va consumata negli attriti, nella resistenza dell’aria, nel calore che si sviluppa. Trascurando questa perdita di energia si può dire che l’energia totale (E), cioè la somma dell’energia potenziale (U) e cinetica (K), in ogni processo si mantiene costante:
E = U + K
Se non trascuriamo quella Q, occorre, per mantenere l’oscillazione, una forza esterna che sostituisca quella Q

Un’oscillazione che continua con questo sistema è chiamata oscillazione forzata.
Se, in formula, non vogliamo trascurare quell’energia persa per i vari motivi indicati, che chiamiamo Q, basta inserirla nell’uguaglianza:
E = U + K + Q.
Un’altra grandezza che si può qui definire è la potenza. Fare un dato lavoro è spesso legato al tempo impiegato per farlo. Spostare ad esempio una catasta di mattoni da un luogo ad un altro, è lavoro che può fare un bambino o un adulto. Il primo ne porterà uno alla volta, il secondo alcuni alla volta. Il lavoro complessivo, quando tutti i mattoni sono stati spostati, è lo stesso ma vi è un qualcosa di diverso. L’adulto ha fatto lo stesso lavoro in un tempo minore. Ebbene la potenza è una grandezza che mette in relazione un dato lavoro con il tempo che si impiega nel farlo. La potenza è definita come il lavoro fatto nell’unità di tempo:
W = L/T
ed è una grandezza utilizzabile in ogni capitolo della fisica.
Consideriamo ora un oggetto di massa m sospeso ad una quota h rispetto al suolo. Esso avrà un peso P = mg e quindi sarà soggetto alla forza mg. Se lo lasciamo cadere la forza peso e lo spostamento avranno stessa direzione e stesso verso di modo che la caduta origina complessivamente un lavoro P.h = mgh che è identico all’energia potenziale che aveva l’oggetto prima che lo lasciassimo cadere. Ebbene la quantità U = mgh è chiamata energia potenziale gravitazionale. Osservo qui che, se volessimo calcolarci l’energia potenziale gravitazionale per unità di massa avremmo:
V = U/m
Questa relazione scritta per la gravitazione è inutile semplicemente perché non si usa mentre l’energia potenziale elettrica per unità di carica assume grande importanza in elettricità e si chiama, come vedremo, potenziale elettrico o tensione:
V = U/q
.
Oltre al potenziale elettrico dovremo introdurre la differenza di potenziale ΔV.
CAMPO ELETTRICO
Nella Parte Prima abbiamo accennato alla Gravitazione Universale, al fatto cioè che una data massa M1 ne attrae un’altra M2 con una forza Fg data dalla legge di Newton:

Due masse qualunque, M1 ed M2, si attraggono con una forza FG che aumenta all’aumentare del prodotto tra le due masse e diminuisce di molto (con il quadrato) della distanza d tra i centri delle due masse. La G che compare nella formula è una costante chiamata Costante gravitazionale.
Riferiamoci ora alla Terra che ha una massa MT. Se poniamo qualunque massa m nelle vicinanze della Terra essa sarà attratta da MT (non insisto troppo su questo ma per essere precisi anche la Terra è attratta da m). Specifichiamo meglio. Tutti sanno che la massa m la possiamo mettere dovunque ed essa sarà sempre attratta dalla MT. Naturalmente man mano che ci si allontana dalla superficie terrestre la forza di attrazione diminuisce e, da un certo punto in poi, si azzererà. E’ possibile definire la zona di spazio in cui si risente l’azione attrattiva della Terra chiamando campo gravitazionale lo spazio in cui si risente dell’attrazione terrestre. In generale il campo gravitazionale è lo spazio in cui si risente dell’azione attrattiva di una certa massa e per scoprire se vi è un tale campo si dispone in un dato punto una piccola massa m di prova che ci dirà se il campo esiste o meno. Quindi il campo gravitazionale (g) ad una distanza d dalla superficie della Terra, se lo dovessimo scrivere in formula, sarebbe la forza gravitazionale FG per unità di massa m:
g = Fg/m
Ho parlato al condizionale perché questa formula, che è una semplice definizione, in realtà non serve e non si utilizza mai. C’è però una cosa che occorre sottolineare. Il valore del campo gravitazionale dipende dalla distanza d che si considera. Ma quella distanza è tacitamente fissata rispetto ad un riferimento abbastanza noto e comune: la superficie della Terra o, se si vuole essere ancora più precisi (ma molto più teorici), il centro della Terra (non viene in mente altro riferimento da cui misurare d).
Un discorso analogo ma con importanti e necessarie differenze si può fare per il campo elettrico: in un dato punto dello spazio esiste un campo elettrico E se su di un corpo carico collocato in tale punto si esercita una forza elettrica (Fe):
E = Fe/q
dove q è la carica di prova sistemata nel campo E.
Il campo si rappresenta mediante delle linee di forza che sono le traiettorie che seguirebbe la piccola carica di prova (considerata positiva) sottoposta all’azione di quel campo. La densità delle linee di forza è proporzionale all’intensità del campo:
E = N/S => N = E.S

Poiché la carica di prova l’abbiamo presa positiva dovremo considerare le due rappresentazioni di campo elettrico di figura: in (a) la carica di prova viene attratta dalla carica negativa che crea il campo; in (b) le linee di forza hanno verso opposto al precedente perché la carica che crea il campo è positiva.
Ma veniamo qui alle specificazioni di rilievo, che differenziano il campo elettrico dal campo gravitazionale, alle quali accennavo. Intanto, contrariamente al caso gravitazionale, il campo elettrico è molto utile e viene utilizzato comunemente. Quindi nel caso elettrico dobbiamo intenderci sul riferimento rispetto al quale misurare la distanza r. Ora non abbiamo riferimenti evidenti e dobbiamo stabilire di volta in volta da dove misuriamo la distanza r. Riferiamoci alla figura seguente supponendo che il campo sia generato da una carica +Q. Se la nostra carica di prova +q si sposta dal punto A che si trova a distanza rA da +Q ad un punto B a distanza rB da +Q, la forza elettrica del campo agente su +q varierà da FA ad FB:
FA = K.(Q.q/r2A) FB = K.(Q.q/r2B)

Poiché si è avuto uno spostamento in un campo sotto l’azione di una forza, si è fatto del lavoro. Vediamolo.
Abbiamo che il lavoro è dato dalla forza Fe per lo spostamento generico r. In formula si ha:

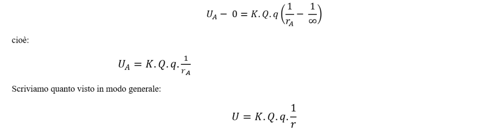
dove troviamo che il lavoro fatto per spostare una carica q da un punto A ad un punto B è dato dalla differenza delle energie potenziali della carica in A, cioè UA, ed in B, cioè UB. Si può anche dimostrare che questa relazione è sempre vera qualunque sia il percorso che la carica q fa per andare da A a B. Questa relazione ci fa capire subito che non è possibile dare il valore dell’energia potenziale U di una carica in un dato punto. Lo possiamo fare solo se consideriamo, ad esempio, UB come energia potenziale di riferimento ponendola quindi uguale a zero in corrispondenza di un campo che vale zero:
UB = 0 per E = 0.
Ora E = 0 a distanza infinita, quando cioè R = ∞. Quindi abbiamo:

In definitiva: l’energia potenziale elettrica di una carica q in un punto a distanza r dalla carica Q che genera il campo esprime il lavoro che la forza del campo compie quando la carica q si sposta da quel punto all’infinito (lungo qualsiasi traiettoria).
La grandezza U caratterizza il campo elettrico anche se, in pratica, se ne preferisce un’altra, il potenziale elettrico o tensione (V) definito come l’energia potenziale per unità di carica, cioè:
V = U/q = K. Q/r
E’ importante osservare che quando la carica q diventa doppia o tripla, anche l’energia potenziale U diventa doppia o tripla, conseguentemente il potenziale V rimane costante.
Da ultimo, avevamo visto che
L = UA – UB
con la definizione di potenziale elettrico avremo l’importante definizione di differenza di potenziale elettrico tra due punti A e B di un campo elettrico:

LA CORRENTE ELETTRICA DALLA PILA AD AMPÈRE ED OHM
La grande novità che realizzò Volta fu la pila, uno strumento che permette di disporre con continuità di un flusso di carica elettrica da una parte all’altra come cercheremo di capire specificando il tutto con maggiore precisione.
In linea di principio la pila che Volta (dopo molti tentativi diversi) realizzò è schematizzata nella figura seguente. In un contenitore di vetro (ad esempio un becher) vi è una sostanza chimica (una soluzione elettrolitica di acido solforico in acqua). Dentro questa sostanza chimica vi sono immerse due barrette metalliche, una di rame ed una di zinco. La soluzione elettrolitica crea un flusso di pezzi di molecole che, in ultima analisi, rifornisce di elettroni lo zinco, elettroni che vengono sottratti al rame. Si creano così i due poli, quello positivo e quello negativo che, stando le cose come in figura restano potenzialmente in grado di mettere in moto cariche elettriche con continuità tra A e B. Perché ciò accada occorre collegare con un filo conduttore A con B. Ma fare una cosa del genere non ha molto significato. Si consumerebbe l’energia disponibile per nulla. Ciò che invece si fa, tra A e B si collega un utilizzatore che, ad esempio, è una lampadina, un piccolo ventilatore, … In tal modo il flusso continuo di elettroni tra i due poli costituisce una corrente elettrica che con continuità fornisce energia elettrica all’utilizzatore. Proprio perché la corrente parte da un polo e va sull’altro con continuità la corrente è chiamata corrente continua.

Dico subito, per evitare inutili confusioni in seguito, che il flusso di elettroni che costituisce la corrente (che si indica con I) non deve in alcun modo essere pensato come un flusso d’acqua in un tubo. Si tratta piuttosto di particolari oscillazioni che privilegiano una direzione. Cioè: gli elettroni vengono spinti in una direzione ma poi sono richiamati indietro. In questo movimento prevale lo spostamento verso la direzione della corrente che va dal polo negativo al polo positivo. E’ stato fatto un calcolo molto complesso il cui risultato è molto significativo: se potessimo seguire il moto di un elettrone troveremmo che esso percorre un metro in circa 5 ore. Un modo per rappresentare quanto ho tentato di dire è con quell’oggetto divertente di figura in cui si solleva una pallina che urtando le altre trasmette il moto all’ultima senza che quelle intermedie apparentemente si muovano.



Se nella serie di pendoli solleviamo il primo, quando lo lasciamo trasferirà il suo moto agli altri pendoli fino all’ultimo che acquisterà l’energia del primo.

La feccia gialla dà il verso della corrente. Nella figura in alto si può apprezzare che un elettrone trasferisce l’impulso ricevuto all’elettrone vicino in un tempo brevissimo. Sarà l’ultimo elettrone della serie ad acquistare l’energia del primo. Nella figura in basso una palla da biliardo che riceve un impulso, lo trasferisce ad una fila di palle in modo che solo l’ultima si muoverà per l’impulso fornito dalla prima.
Poiché siamo a discutere di questo moto cooperativo dico qualche parola sulla struttura dei materiali che conducono la corrente. Intanto occorre convincersi che le nostre sono descrizioni approssimate che tentano di avvicinarsi sempre più a come stanno davvero le cose. Noi ci serviamo di modelli che perfezioniamo sempre più ma sono modelli che accettiamo finché spiegano i fenomeni per cui sono stati creati. Se le cose stanno proprio così nessuno può dirlo. Per certo conosciamo modelli molto più elaborati di questo ma ora non siamo in grado di comprenderli. Chi è interessato può leggere la nota 2 in cui parlo, in modo semplificato, di teoria delle bande(2).
Consideriamo allora un metallo conduttore. In esso gli atomi sono sistemati ordinatamente in un reticolo cristallino. Questi atomi sono soggetti a delle oscillazioni, intorno alle loro posizioni di equilibrio, a seguito dell’agitazione termica. Gli atomi della sostanza in considerazione hanno i loro elettroni che ruotano quasi tutti intorno ai rispettivi nuclei. Ho detto quasi perché gli elettroni delle orbite più esterne di un atomo di una struttura cristallina non appartengono più al singolo atomo ma sono elettroni di tutto il cristallo che si muovono disordinatamente in tutte le direzioni mentre l’atomo mantiene legati al suo nucleo gli elettroni delle orbite più interne. Il tutto si può allora descrivere come degli ioni positivi oscillanti ordinatamente intorno alle loro posizioni di equilibrio nel reticolo con i suddetti elettroni liberi in moto disordinato (elettroni di valenza che diventano elettroni di conduzione). Quando ai capi di questo conduttore si applicano i due poli di una pila quel moto disordinato degli elettroni si dirige, con le modalità oscillatorie accennate, verso una particolare direzione. Ma ormai l’espressione: “Quando ai capi di questo conduttore si applicano i due poli di una pila …”, può essere sostituita con l’altra, più corretta: “Quando ai capi di questo conduttore si applica una differenza di potenziale”.

Da: http://www.uop-perg.unipa.it/f21/promamos/elettriche/

Da: https://argomentidifisica.wordpress.com/category/resistenza/
Dato questo modello è facile capire qual è la struttura cristallina di un isolante: la medesima solo che non vi sono elettroni liberi perché sono tutti strettamente legati ai loro nuclei.
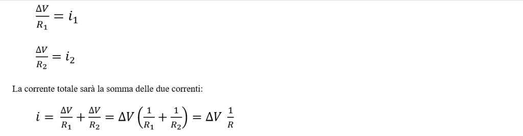
In definitiva una pila fornisce una differenza di potenziale ΔV ai suoi due poli e tale differenza resta finché non la si utilizza (a). Questa situazione è chiamata circuito aperto. Per utilizzarla occorre collegare i due poli con un utilizzatore (b) attraverso il quale passa la corrente elettrica, una data quantità di cariche nel tempo, che indichiamo con I. Questa situazione è relativa ad un circuito chiuso.

QUALCHE UNITA’ DI MISURA
Abbiamo introdotto varie grandezze, ritengo utile fornirne la relative unità di misura ricordando che tali unità, anche se derivano da nomi di persona, vanno scritte in lettere minuscole (contrariamente ai simboli che possono essere scritti in lettera maiuscola).
La forza, data dalla legge di Newton (F = m.a), si misura in newton con simbolo N.
Il lavoro, dato da una forza per uno spostamento, si misura in joule, con simbolo J, che è dato dal prodotto di un newton per un metro.
La potenza, lavoro fatto nell’unità di tempo, si misura in watt ed il watt è dato da un joule al secondo.
L’energia totale, cinetica, potenziale si misura sempre in Joule.
La carica elettrica si misura in coulomb con simbolo C. Un coulomb è quella carica che attrae o respinge una uguale carica posta ad un metro di distanza (nel vuoto) con una forza data da 9.109 N (il numero fornito è il valore numerico della costante K).
Il potenziale (come la differenza di potenziale), una energia diviso una carica, si misura in volt con simbolo V. Il volt è appunto un joule diviso un coulomb.
La corrente (o meglio l’intensità di corrente) I, cariche transitanti nel tempo in un circuito (quindi q diviso t), si misura in ampere con simbolo A.

Se sarà necessario sarò più preciso nel seguito.
LA CAPACITA’
Riprendiamo la nostra discussione sulle grandezze elettrostatiche definendo la capacità di un conduttore proprio in riferimento a quella grandezza che abbiamo lasciato qualche pagina indietro, il potenziale.
Avevamo visto che, con le definizioni date, il potenziale all’infinito è nullo, mentre il potenziale di un singolo conduttore isolato che porta una carica Q è proporzionale alla stessa carica Q e dipende dalla forma e dalle dimensioni del conduttore. In generale quanto maggiori sono le dimensioni di un conduttore, tanto maggiore è la quantità di carica che esso può portare per un dato potenziale. Abbiamo visto che il potenziale di un conduttore sferico di raggio R e con una carica Q è dato da:

Un sistema in grado di immagazzinare cariche mettendosi ad un dato potenziale si chiama condensatore. Nella figura seguente è rappresentato il primo condensatore, la bottiglia di Leyda, bottiglia in quanto si riteneva che l’elettricità fosse un fluido da tenere in bottiglia (si hanno due materiali conduttori, uno all’esterno e l’altro all’interno di una bottiglia di vetro che è isolante).

(a)

(b)
Fig. (a). Sia dentro che fuori del vetro della bottiglia vi è una lamina conduttrice di piombo. La lamina interna è collegata all’esterno mediante una catenella che termina sulla pallina visibile in alto.
Fig. (b). Una realizzazione più semplice della precedente. Un bicchiere di vetro (isolante) è sistemato tra due bicchieri di rame conduttori (disegnati in colore grigio).
Naturalmente è scomodo avere un sistema come quello ora illustrato. Dato il principio di due superfici conduttrici (placche) separate da un isolante, si sono ideati condensatori piani sempre più perfezionati, tutti rispondenti al criterio dato.

Se si collegano i due conduttori connessi alle due placche con una pila, si avrà un passaggio di corrente per un tempo brevissimo, necessario a caricare il condensatore delle polarità della pila, fornendo quindi ai suoi capi la sua stessa differenza di potenziale, ma poi la corrente cesserà perché l’isolante la blocca (l’isolante funziona come se il circuito elettrico fosse tagliato in sua corrispondenza).

Ed allora che serve il condensatore? Praticamente a nulla se lo si utilizza in corrente continua. Infatti lo introduciamo qui e ne parleremo quando affronteremo la corrente alternata.
Cerchiamo ora di stabilire da quali caratteristiche costruttive dipende la capacità di un condensatore, riferendoci alla figura seguente:

Dato un condensatore piano la sua capacità (C) cresce al crescere delle superfici (A) delle placche; cresce all’aumentare del potere isolante del materiale (dielettrico) sistemato tra le due placche (ε); cresce al diminuire della distanza (d) tra le due placche. In definitiva per avere un condensatore con grande capacità occorre: avere due grandi superfici conduttrici con un ottimo isolante, molto sottile tra le due. In pratica ed in un modo semplificato si tratta di avere due lunghe strisce di materiale conduttore separate da una striscia di materiale isolante; il tutto si arrotola poi collegando con cavi conduttori le due strisce di materiale conduttore originando quello che è noto come condensatore cilindrico:


Resta solo da fornire il simbolo con cui un condensatore si disegna in un circuito:

LA CORRENTE ELETTRICA E QUALCHE LEGGE CONNESSA
Come già detto, si chiama corrente continua la corrente elettrica che fluisce, nello stesso verso, nel filo conduttore che collega i poli di una pila. L’intensità di corrente continua e costante, che fluisce in un conduttore, è la quantità di carica elettrica che ne attraversa una sezione durante l’unità di tempo:
I = q/t
e si misura in coulomb al secondo, unità chiamata ampère.
Definita l’unità di corrente e la sua unità di misura si può tornare alla definizione di lavoro elettrico L per definire la potenza elettrica W.
L = q.(VA – VB) = It.(VA – VB)
avendo solo ricordato che q = I.t. Ebbene, sappiamo che la potenza è data da:
W = L/t
sostituendo, si ha:

(l’unità è, come visto, il watt, ma dalla formula si può capire perché è anche in uso l’altra unità: il voltampere, proprio perché al secondo membro dell’ultima relazione si hanno due grandezze moltiplicate tra loro: l’intensità di corrente che si misura in ampere e la differenza di potenziale che si misura in volt).
CIRCUITO ELETTRICO. LEGGI DI OHM
Un rudimentale circuito elettrico è quello di figura seguente:

una pila come Volta l’ha pensata che alimenta un utilizzatore, in questo caso una lampadina. Ora, nella figura seguente, aggiungo degli elementi modernizzando il tutto. La pila è una pila che si trova comunemente in commercio; un cavetto elettrico (conduttore) collega i due poli della pila (la sua differenza di potenziale) ad un utilizzatore o resistenza (in questo caso una lampadina) attraverso un normale interruttore o tasto.

In questo come in ogni circuito vi sono differenti variabili. Intanto la differenza di potenziale (ddp) che fornisce la pila che può variare di molto; quindi la corrente che circola; quanto richiede di corrente l’utilizzatore; il cavo elettrico dimensionato all’uso che si richiede; … Sono tutti questi problemi che inizierò ora a discutere ma prima voglio riportare in altro modo, più schematico, la figura ora vista.

E’ più semplice lavorare con questo circuito schematico che permette cambiamenti, come vedremo, in modo semplice.
A questo punto sappiamo che la pila dispone di una differenza di potenziale ΔV; che dal polo negativo della pila viene generata una corrente I di elettroni; che l’utilizzatore, indicato con R e chiamato resistenza, sfrutta questa corrente per la funzione per cui è pensato (se è una lampadina accendersi; se è un campanello suonare; se è un ventilatore muovere le sue pale; …) e lo fa solo quando il tasto è chiuso. Queste tre grandezze dovranno essere legate tra loro in qualche modo come capì Georg Simon Ohm (1827) che costruì due leggi riguardanti appunto la resistenza elettrica.
La prima di queste leggi riguarda la relazione esistente tra ΔV ed I, determinata dal valore dell’utilizzatore R. La differenza di potenziale fornisce tanta corrente quanta ne è richiesta dall’utilizzatore in modo che il rapporto esistente tra ΔV ed I è costante e la costante è proprio il valore di R:
ΔV/I = R

e poiché il ΔV lo si indica spesso con la sola V, la prima legge di Ohm si può scrivere:
(1) V/I = R
Dal punto di vista delle unità di misura abbiamo il rapporto tra volt ed ampere che è l’unità di misura della resistenza, l’ohm con simbolo Ω. In modo molto qualitativo si può dire che il volt è una grandezza piccola, l’ampere è una grandezza molto grande e quindi, il rapporto tra le due fornisce una grandezza piccolissima come l’ohm.
La seconda legge di Ohm si occupa dei valori intrinseci della resistenza, quali sono cioè le caratteristiche fisiche di un utilizzatore che ne aumentano o diminuiscono la resistenza. Scrivo la legge e poi la discuto:
(2) R = ρ. ℓ/S
dove ρ (leggi rho) rappresenta una grandezza chiamata resistività (o resistenza specifica) che discuterò alla fine, ℓ è la lunghezza del filo attraverso cui passa la corrente ed S è la sezione di questo filo. La legge dice che, a parte ρ, che la resistenza che un circuito presenta al passaggio di corrente è tanto maggiore quanto più è lungo il circuito (si noti che nell’ultimo disegno la R è messa in corrispondenza della lampadina ma in realtà essa rappresenta la resistenza della lampadina più quella dell’intero circuito attraversato dalla corrente) e che la resistenza di un circuito è tanto minore quanto maggiore è il diametro del filo attraverso cui passa la corrente. Questa cosa si comprende bene con una analogia idraulica.

E veniamo alla resistività ρ. Osserviamo che se si riscalda un filo conduttore l’effetto è che aumenta l’agitazione termica degli atomi che lo costituiscono con la conseguenza che gli elettroni di conduzione avranno maggiore difficoltà a passare. Inoltre è chiaro che tra i conduttori ve ne sono di migliori e di scarsini. Tra i migliori vi sono, nell’ordine, l’argento, il rame, l’oro, l’alluminio, il ferro … E tutti sapete che il rame è il più utilizzato per ovvi motivi di costi, anche se in sofisticati apparecchi elettronici si utilizza l’argento. Ebbene, nell’espressione che ci fornisce la resistività, si dice quanto ho ora accennato nel modo seguente:
ρℓ = ρ0 (1 + α.Δt)
e cioè: la resistività ρt ad una data temperatura t è uguale a quella che si ha a 0°C, cioè , moltiplicata per quel binomio tra parentesi in cui α è una costante che varia da metallo a metallo (come anche ) indicandoci quale conduce meglio e Δt è la temperatura centigrada alla quale funziona il circuito (nel nostro caso: Δt = t – 0, ma se avessimo considerato invece di la ρ a 20°C, cioè ρ20, avremmo avuto Δt = t – 20).
Osservo solo che l’inverso della resistività ρ si chiama conducibilità e si indica con σ (leggi sigma). Debbo avvertire che quanto detto è relativo ad una fisica approssimata. Chi vuole ha modo di capire qual è la struttura dei conduttori, degli isolanti e di taluni materiali che iniziarono ad essere conosciuti nei loro comportamenti solo nel secolo scorso, i semiconduttori leggendo la nota 2 dove introduco alcuni elementi base di fisica quantistica per parlare della già citata teoria delle bande.
CIRCUITI ELETTRICI
Abbiamo visto un circuito elettrico che è ben distante dai circuiti elettrici con cui comunemente si ha a che fare. Quello visto è l’elementare circuito di una torcia elettrica o di qualcosa di simile. Sappiamo tutti che la corrente elettrica serve circuiti ben più complessi. Basti pensare ad un circuito con due lampadine: come le mettiamo? perché non vi è un solo modo di farlo. E’ diverso, infatti, avere due lampadine in un circuito collegate come nelle figure seguenti:

Nel primo caso le due lampadine sono in serie, nel secondo sono in parallelo. Ma, al di là delle definizioni, che vuol dire in pratica avere un collegamento o un altro? Iniziamo dal rappresentare schematicamente i circuiti. Nel primo caso, circuito in serie, abbiamo:

Nel secondo caso, circuito in parallelo, abbiamo:

avendo indicato con il simbolo generico di resistenza R la lampadina. Qual è la differenza tra le due situazioni? perché si sceglie un collegamento invece che un altro?
Nel circuito in serie del primo schema è evidente che la medesima corrente i passa attraverso le due resistenze (lampadine) ma ai capi delle due resistenze (se di diverso valore) vi sono due diverse differenze di potenziale, fermo restando che ΔV1 + ΔV2 = ΔV; nel circuito in parallelo del secondo schema si vede che la corrente, arrivata al punto A si divide in due quantità che attraversano indipendentemente le due resistenze per poi ricongiungersi in B ridando la stessa corrente i. Per ciò che riguarda la differenza di potenziale, tra A e B si ha la stessa ΔV fornita dalla pila. Qui l’analogia idraulica ci aiuta molto: è come se un tubo che porta acqua dividesse in A la sua portata in due tubi diversi. In tal caso è evidente che se i due tubi sono uguali (stessa resistenza) uguale quantità d’acqua andrà in ambedue, ma se sono diversi in sezione (diversa resistenza) andrà più acqua dove è più facile che vada (minore resistenza). Ritornando alla corrente elettrica essa si dividerà in A andando in maggiore quantità nella resistenza che risulta minore, fermo restando che i1 + i2= i.
Abbiamo solo visto una piccolissima possibile complicazione in un circuito. Si deve sapere che moltissimi sono gli elementi che lo compongono e non sono sempre solo o in serie o in parallelo. Vi sono circuiti in cui alcune parti sono in serie ed altre in parallelo, alcune sono insieme serie parallelo, eccetera. Per non parlare di altri elementi del circuito, come altre alimentazioni, capacità, elementi costanti ed altri variabili, amplificatori, transistor, diodi, trasformatori, … Un esempio abbastanza semplice è il seguente:

Ma noi non ce ne occupiamo anche se qualche altro elemento sui circuiti dobbiamo darlo. Iniziamo dal dare la regola che ci permette di calcolare il valore di (almeno) due resistenze in serie ed in parallelo.
Nel caso si abbiano due resistenze in serie:

per la legge di Ohm abbiamo che:
ΔV = ΔV1 + ΔV2 = iR1 + iR2 = i(R1 + R2)
e quindi la resistenza totale è la somma delle due resistenze (ciò vale qualunque sia il numero delle resistenze in serie):
R = R1 + R2
Il risultato vale qualunque sia il numero delle resistenze in serie. Ciò significa che aggiungere resistenze in serie è come avere un’unica resistenza più grande con valore somma dei singoli valori.
Nel caso si abbiano due resistenze in parallelo:

come visto si ha:
i = i1 + i2
la differenza di potenziale ai capi delle due resistenze è la stessa, quindi, applicando la legge di Ohm si ha:
ΔV = i1R1
ΔV = i2R2
da cui:

ed in definitiva la resistenza totale è data da:
.

Mentre è intuitivo capire come funziona il passaggio di corrente in una resistenza, occorre qui spiegare come si caricano i due condensatori in serie. Dal polo negativo della pila si muovono degli elettroni fino ad arrivare sulla placca del condensatore di sinistra. Questa si caricherà negativamente e, per induzione, caricherà l’altra piastra. Questo condensatore acquisterà una carica Q1. Quest’ultima placca per caricarsi positivamente deve perdere elettroni i quali migrano verso la placca più vicina del condensatore di destra caricandolo negativamente. Questa placca, a sua volta caricherà positivamente, per induzione, l’altra placca. Questo condensatore acquisterà una carica Q2. La differenza di potenziale fra le armature del primo condensatore è ΔV1 = Q/C1. In modo analogo, la differenza di potenziale fra le armature del secondo condensatore è ΔV2 = Q/C2. La differenza di potenziale ai capi dei due condensatori collegati in serie è semplicemente la somma di queste differenze di potenziale:

La figura seguente mostra due condensatori collegati in parallelo. Le armature di destra dei due condensatori sono collegate insieme con un filo conduttore e sono perciò allo stesso potenziale. Anche le armature di sinistra sono collegate tra loro e sono ad uno stesso potenziale. È chiaro che l’aggiunta di condensatori collegati in questo modo ha l’effetto di aumentare la capacità; cioè, l’area è sostanzialmente aumentata, consentendo che venga accumulata una maggiore quantità di carica per la stessa differenza di potenziale ΔV = VA – VB.

Se le capacità dei due condensatori sono Cl e C2, le cariche Ql e Q2 accumulate sulle armature sono date da Q1 = C1V e Q2 = C2V dove V è la differenza di potenziale ai capi dei condensatori. La carica totale accumulata è perciò:
Q = Q1 + Q2 = C1ΔV + C2ΔV = (C1 + C2)ΔV
La capacità equivalente o risultante di condensatori collegati in parallelo è il rapporto fra la carica totale accumulata e il potenziale, Q/V. Perciò
C = Q/ΔV = C1 + C2
La capacità equivalente è quella di un singolo condensatore che potrebbe sostituire i due condensatori collegati in parallelo e accumulare la stessa quantità di carica per una data differenza di potenziale ΔV. Questo ragionamento può essere esteso a più condensatori collegati in parallelo, la capacità equivalente è semplicemente la somma delle singole capacità.
POTENZA ELETTRICA
Presento due immagini a tutti noi note:


La prima è una batteria (meglio un accumulatore) che si usa nelle automobili; la seconda è una batteria che si usa per piccole torce elettriche, per telecomandi, per telecomandi, … Sono intercambiabili? Forse la batteria d’automobile può essere usata per far funzionare un telecomando ma certamente la batteria per il telecomando non può essere usata per far partire un’automobile. Il fatto è che, data una determinata differenza di potenziale, alcune batterie sono in grado di fornire grandi intensità di corrente, altre solo molto piccole. La differenza non può però rimanere così sul generico. Occorre maggiore precisione e per darla ricordiamo la grandezza potenza introdotta in meccanica ma con significato del tutto generale (lavoro fatto nell’unità di tempo) e già utilizzata in elettricità dove abbiamo trovato che la potenza è il prodotto tra la corrente e la differenza di potenziale:
W = L/t
oppure:
W = I.ΔV
che possiamo semplificare nel modo seguente:
W = I.V
Ricordando la prima legge di Ohm (V = I.R oppure I = V/R) la precedente espressione può anche scriversi:
W = I2.R
oppure:
W = V2/R
L’unità di misura della potenza è il watt con simbolo w.
Tornando alle due figure mostrate all’inizio, mentre la batteria per auto, con una differenza di potenziale di 12 volt, può fornire anche 100 ampere di corrente e quindi ha almeno una potenza di 1200 watt, la batteria per telecomando, con una differenza di potenziale di 1,5 volt, può fornire correnti di millesimi di ampere e quindi ha una potenza che al massimo è di un paio di millesimi di watt. Più in generale non basta sapere quanti volt servono per alimentare un qualche utilizzatore, ma occorre anche sapere qual è la potenza che occorre per alimentare tale utilizzatore. Facendo un esempio riguardante la corrente alternata (che vedremo più oltre) tutti sanno o dovrebbero sapere che alimentare una lavatrice richiede 2500 watt ed un forno elettrico ne richiede altrettanti, mentre alimentare una lampadina ne richiede 100. Se in casa avete un contratto che prevede da parte dell’azienda elettrica una fornitura di 3000 watt, accendendo forno e lavatrice vi scatta l’interruttore generale e non potete farlo. Serve aumentare a 6000 watt il contratto con l’azienda elettrica con la conseguenza che vi dissanguerà per i costi con bollette da capogiro.
Arrivati a questo punto è facile fornire alcune relazioni che ci serviranno nel seguito. Poiché W = L/t, si ricava facilmente che il lavoro è dato da L = W.t, da cui, per quanto appena trovato, il lavoro in elettricità è dato da

TORNIAMO UN POCO INDIETRO: EQUIVALENZA TRA LAVORO E CALORE. L’EQUIVALENTE MECCANICO DELLA CALORIA.
E’ esperienza comune che ogni lavoro che si fa comporta l’emissione o creazione i calore. Per trovare la relazione che lega lavoro e calore occorre realizzare un’esperienza in cui dall’esterno si compia del lavoro sul sistema e quindi si misuri la quantità di calore che il sistema ha acquistato. Nel caso che discuteremo occorrerà sistemare dell’acqua in un recipiente che non disperda il calore (ad esempio un thermos) e fare lavoro su quest’acqua mediante delle palette che la agiteranno e quindi misurare il calore sviluppato dal moto delle palette (l’intera esperienza dovrà prevedere che alla fine della medesima ci si accerti che non è cambiato nulla di ciò che avevamo all’inizio di essa). Occorre naturalmente cautela perché mentre per misurare il lavoro meccanico non vi sono grandi problemi, le misure di trasferimenti di calore sono molto delicate. Occorre tra l’altro accertarsi che tutto il calore deve essere ceduto al thermos durante la trasformazione. In una tale esperienza realizzata con somma cura indipendentemente (con procedimenti diversi) da Mayer e Joule, si è trovato:
(1) L/Q = J
dove J è una costante che vale 1 se misuriamo sia il lavoro L che il calore Q con la stessa unità di misura, il joule (in caso contrario si deve sapere che 1 chilocaloria = 4186 joule). L’esperienza di Joule-Mayer ha mostrato che per ogni quantità di lavoro scomparsa si acquista una ben definita quantità di calore e cioè che il calore non è altro che una ben determinata forma di energia. Superando il fatto che il calore storicamente è stato misurato in chilocalorie anziché in Joule, e quindi misurandolo, come il lavoro, in joule, si può scrivere:
L/Q = 1 => L= Q
Misurando invece il lavoro ed il calore con le loro unità storicamente definite si ha:

EFFETTI DELLA CORRENTE ELETTRICA
La corrente elettrica provoca svariati fenomeni o effetti che provo ad elencare.
Effetto termico o effetto Joule.
Le ultime due relazioni scritte nel paragrafo precedente, messe insieme con quanto avevamo trovato:

:
Q = 0,00024. .R.t chilocalorie
Quanto ora trovato dice che il calore che si sviluppa in un circuito dipende principalmente dalla quantità di corrente che vi circola (perché la grandezza I è al quadrato); dipende poi dalla grandezza della resistenza e, naturalmente, da quanto tempo circola corrente.
Effetto chimico. Non mi soffermo su questo. Ricordo solo che il passaggio di corrente in una soluzione provoca effetti chimici in essa separando le molecole in essa presenti.
Effetto magnetico. Questo effetto è di enorme importanza e su di esso occorrerà soffermarsi con attenzione, a partire da ciò che storicamente realizzò nel 1820 Hans Christian Oersted.
L’ESPERIENZA DI OERSTED
La fenomenologia dell’esperienza è semplice: un filo conduttore, se disposto parallelamente ad un ago magnetico, vede l’ago ruotare di 90º e disporsi perpendicolarmente al filo, quando in esso viene fatta circolare corrente.

Evidentemente la cosa non fu semplice per Oersted che impiegò 9 anni per mettere a punto questo suo lavoro. Vi era soprattutto una complicazione concettuale. Nell’epoca in cui Oersted lavorava ogni scienziato avrebbe cercato gli effetti di forze tra i due oggetti in studio. Il quadro concettuale nel quale questa esperienza irrompeva era quello newtoniano che si era affermato a partire dal 1685, dalla scoperta della gravitazione universale di Newton: per intenderci si sarebbe pensato ad una azione rettilinea tra ago magnetico che viene attratto o respinto dal filo. Invece questo tipo di azione si svolge su di un piano perpendicolare alla congiungente filo – ago e consiste in una rotazione dell’ago medesimo risultando, come dice Oersted, circolare. Oersted, nel condurre l’esperienza, muove l’ago nello spazio circostante il filo e si accorge che, se la rotazione avviene in un senso con l’ago disposto sotto il filo, essa avviene in senso opposto se si dispone l’ago sopra il filo. Per Oersted quindi, le forze magnetiche sono distribuite nello spazio che circonda il filo e, data la simmetria degli spostamenti dell’ago, conclude che le forze magnetiche sono costituite da cerchi “poiché è nella natura dei cerchi che movimenti da parti opposte debbano avere opposte direzioni” (oggi diremmo che le linee di forza del campo magnetico intorno ad un filo rettilineo percorso da corrente, sezionando il filo con un piano ad esso perpendicolare, hanno la forma di circonferenze concentriche al filo).
Il verso di rotazione dell’ago è dato dalla regola di Ampère:

Regola di Ampère: Un osservatore disposto parallelamente sul filo in modo che la corrente gli entri dai piedi e gli esca dalla testa, vede il polo nord dell’ago ruotare verso sinistra
In definitiva Oersted mostra, in linguaggio moderno, che una corrente elettrica provoca effetti magnetici e subito dopo Faraday mostrerà che il magnetismo produce elettricità. Da questo momento il magnetismo diventa un capitolo della più generale scienza elettromagnetica (resta sempre lo studio dei fenomeni legati ai materiali magnetici ma sarà piuttosto un problema di struttura della materia). Finché la luce non sarà inglobata nel più generale elettromagnetismo, rendendo l’ottica un suo capitolo. E la misura della sua velocità ci riporterà a vicende meccaniche con conseguenze impensabili ancora alla fine dell’Ottocento.
Il campo di indagine diventa immenso e sarà occupato successivamente dai grandi fisici dell’Ottocento e dei primi del Novecento, tra i quali giganteggiano Ampère, Ohm, Faraday, Maxwell, Hertz, W. Thomson, Lorentz, Einstein.
AZIONI RETTILINEE A DISTANZA O CIRCOLARI A CONTATTO? NOTA STORICA
Abbiamo cisto che la Legge di Gravitazione Universale di Newton dice che: due corpi di massa M1 ed M2 si attraggono reciprocamente con una forza F che è proporzionale, secondo una costante G, al prodotto delle masse dei due corpi ed inversamente proporzionale al quadrato della distanza d che, appunto, separa i due corpi.

Due masse qualunque, M1 ed M2, si attraggono con una forza FG che aumenta all’aumentare del prodotto tra le due masse e diminuisce di molto (con il quadrato) della distanza d tra i centri delle due masse. La G che compare nella formula è una costante chiamata Costante gravitazionale.
La G rappresenta la costante gravitazionale (che anni dopo sarà misurata con precisione da Cavendish). Fin qui quello che nella formula è scritto. Per noi è però interessante andare a vedere cosa non è scritto in questa relazione, soprattutto per quanto vedremo a proposito della teoria di campo e dei lavori di Faraday. L’azione F si esercita tra M1 ed M2 lungo la congiungente i centri delle due masse; si tratta quindi di un’azione rettilinea. Inoltre essa è istantanea e a distanza, nel senso che non si richiede tempo (che appunto nella relazione non compare direttamente) affinché due masse si accorgano l’una dell’altra (si noti che questo tipo di azione tra massa e massa senza alcun intermediario era ostica allo stesso Newton). Per spiegarci meglio, supponiamo che nell’universo vi sia una sola massa M1. Ebbene, se prendiamo in considerazione una seconda massa M2, in questo universo, ambedue le masse cominceranno ad attrarsi reciprocamente all’istante. Questo fatto, sul quale torneremo parlando di Faraday, comporta una conseguenza importantissima: l’esigenza di azioni istantanee implica che ci siano delle entità dotate di una velocità infinita.
Questa visione fu soggetta ad aspre critiche da parte dei massimi scienziati per circa 100 anni finché in Germania, sulla scia del pensiero di Kant, non nacque il movimento filosofico della Naturphilosophie. Il più autorevole rappresentante di questa scuola fu certamente Federico Guglielmo Schelling (1775 – 1854) le cui radici di pensiero si possono ritrovare nei lavori di Leibniz (1646 – 1716) di Boscovich e, appunto, di Kant. Secondo Schelling il meccanicismo fisico non rende ragione dell’esistenza della natura. La concezione meccanicista di materia come un qualcosa di inerte fino a che su di essa non agiscono forze, entità diverse e separate dalla materia è, secondo Schelling, l’ammissione di una discontinuità tra materia e spirito (tra natura e uomo) che non corrisponde alla unità originaria di queste due entità, per esempio, nell’organismo vivente. Schelling sostiene (tra il 1797 ed il 1799) che è lo spirito (le forze) che si organizza in materia e pone quindi le forze, agenti tra punti inestesi, con i loro “conflitti e trasformazioni” alla base dell’esistenza del mondo (dinamismo fisico). Non c’è più materia allora ma c’è una particolare modificazione di una determinata zona dello spazio dovuta appunto ai conflitti ed alle trasformazioni delle forze (spirito) eterne e preesistenti. Questo rifiuto netto del meccanicismo, e più in generale del metodo scientifico, non nasce casualmente in questo periodo. Si deve infatti tener conto che elementi non immediatamente riconducibili al meccanicismo fisico nascevano senz’altro dalla spiegazione dei processi biologici. Inoltre le scoperte di quegli anni del galvanismo (1789) e della pila di Volta (1800), che il meccanicismo non aveva ancora spiegato esaurientemente, avevano aperto campi di indagine e di polemica in cui si inserirono efficacemente le speculazioni romantiche nella loro offensiva generale contro il meccanicismo. Certamente al culmine del meccanicismo, quando l’azione istantanea a distanza lungo la congiungente gli «oggetti» era alla base di tutte le teorie fisiche, nessuno avrebbe pensato di ottenere un qualche risultato progettando esperienze che si ponevano a priori in contrasto con le premesse di principio ed in particolare con quel tipo di azione. È quindi proprio sotto l’influenza ideologica della Naturphilosophie che il fisico danese Hans Christian Öersted (1777-1851) progettò ed effettuò la memorabile esperienza appena raccontata che scosse profondamente l’edificio meccanicista.
L’azione che si esercita tra un filo percorso da corrente ed un ago magnetico disposto parallelamente al filo è perpendicolare alla congiungente filo-ago e non è più riconducibile alle forze centrali che invece agiscono lungo la congiungente i due «oggetti». Sono proprio le forze secondo un moderno modo di vedere, che riempiono tutto lo spazio e quindi che esistono sia lungo la congiungente filo-ago sia lungo la perpendicolare a questa congiungente che rendono possibile la deviazione dell’ago. Lo stesso Öersted sosteneva: «… Il conflitto elettrico non è racchiuso nel conduttore ma, come abbiamo già detto, è al medesimo tempo disperso nello spazio circostante, e ciò è ampiamente dimostrato da tutte le osservazioni fin qui fatte …». Riferendosi poi all’effetto di simmetria da lui riscontrato nel disporre l’ago magnetico al di sopra o al di sotto del filo percorso da corrente diceva: «… In maniera simile è possibile dedurre da quanto abbiamo osservato che questo conflitto agisce circolarmente perché questa sembra essere una condizione senza la quale è impossibile che la medesima parte del filo di congiunzione, che quando sta sotto il polo magnetico lo fa spostare ad est, lo fa spostare invece ad ovest quando è posta sopra di esso. Perché è nella natura dei cerchi che moti in parti opposte abbiano direzioni opposte …». La Naturphilosophie aveva la sua base sperimentale e l’esperienza di Öersted suscitò un interesse ed un fermento di ricerca che tanti risultati avrebbero dato allo sviluppo della scienza.
Ampère, un fervente sostenitore della teoria dell’azione a distanza alla Newton, dedicò molti anni della sua vita e del suo ingegno a tentare l’operazione di ricondurre l’esperienza di Oersted all’azione a distanza. Non vi riuscì. Altri scienziati cercarono altre interpretazioni sviluppando nuove teorie. Tra questi emerge l’inglese Faraday.
A cavallo fra la fine del ‘700 e gli inizi dell’800 erano penetrate in Gran Bretagna le speculazioni del movimento della Naturphilosophie importate, con particolare foga, dal poeta inglese S. T. Coleridge (1772 – 1834) reduce da un lungo viaggio in Germania. Davy (1778 – 1829), insigne chimico inglese (al quale, tra l’altro, si deve l’invenzione della lampada di sicurezza per minatori), era amico di Coleridge e rimase molto influenzato dalle idee della Naturphilosophie che quest’ultimo, in lunghe conversazioni, gli aveva fatto conoscere. In questo contesto di pensiero M. Faraday (1791 – 1867) iniziò a lavorare (1813) come sciacquaprovette nel laboratorio di Davy, in un ambiente, quello britannico, dove fu molto importante l’accoglienza che l’esperienza di Oersted ebbe. Nel 1821 Richard Phillips, direttore degli Annals of Philosophy, chiese al giovane assistente di Davy e suo amico, Michael Faraday, di fare, per la rivista, una rassegna storica di tutti gli esperimenti e teorie dell’elettromagnetismo che erano apparsi dopo Oersted. Ma Faraday, nel realizzare il suo lavoro, ebbe modo di ripetere molte delle esperienze che trovava descritte nella letteratura e la cui redazione non lo soddisfaceva; ebbe modo di valutare i pregi e le idee oscure di ogni singola teoria proposta; in particolare non lo convinceva la spiegazione teorica che Ampère dava dell’esperienza di Oersted. Egli, in nessun modo, riusciva a convincersi che le azioni tra filo conduttore e magnete potessero essere rettilinee, istantanee ed a distanza. L’aspetto che più lo colpiva nell’esperienza di Oersted erano gli effetti di simmetria che balzavano immediatamente agli occhi: se l’ago era disposto sotto il filo la rotazione dell’ago avveniva in un senso; sopra il filo la rotazione si realizzava in verso opposto. Su ciò concentrò il suo lavoro fino a realizzare una esperienza in cui, se possibile, le azioni non rettilinee ma circolari erano portate ad una evidenza ancora maggiore. Con l’apparato sperimentale di figura, riuscì a realizzare il moto circolare di un magnete intorno ad una corrente e, simultaneamente, di un filo percorso da corrente intorno ad un magnete. L’apparato è costituito da due coppe di vetro; all’interno delle coppe vi è del mercurio che permette la chiusura del circuito mediante un contatto strisciante (il conduttore rigido si muove mantenendo il contatto elettrico con il mercurio); i conduttori che escono da sotto le coppe sono collegati ad una batteria; quando passa corrente il magnete della coppa di sinistra ed il conduttore della coppa di destra cominciano a ruotare vorticosamente intorno, rispettivamente, al conduttore fisso ed al magnete fisso. Sarebbe stato a questo punto più difficile mettere in discussione le azioni circolari.
Questo successo però quasi obbligò Faraday ad una pausa di riflessione. Questa pausa durò 10 anni nei quali egli si occupò essenzialmente di questioni di chimica. Ma non smise mai di pensare ad un problema che continuava a girargli per la testa: se una corrente produce un effetto magnetico, anche un magnete deve produrre una corrente. Tentò svariati esperimenti, tutti con esito negativo. Finalmente, nel 1831, scoprì l’induzione elettromagnetica: un magnete mosso in prossimità di un circuito non alimentato provoca in esso il passaggio di corrente. Non si trattava di un fenomeno semplice da evidenziare: chissà quante volte Faraday aveva mosso un magnete vicino ad un circuito! Il fatto è che il fenomeno è evidente solo durante il moto relativo di magnete e circuito elettrico. Solo quando c’è una variazione di una qualche grandezza nella fase transitoria. E di questo Faraday si rese ben conto fino a progettare l’esperienza di figura seguente; all’apertura o chiusura del circuito A, mediante il tasto T, il galvanometro G segna passaggio di corrente (se in un dato verso all’apertura, in verso opposto alla chiusura). E’ la prima evidenza chiara di un nesso tra corrente elettrica, magnetismo e movimento (o variazione di una data situazione).

L’apparato è costituito da due coppe di vetro; all’interno delle coppe vi è del mercurio che permette la chiusura del circuito mediante un contatto strisciante (il conduttore rigido si muove mantenendo il contatto elettrico con il mercurio); i conduttori che escono da sotto le coppe sono collegati ad una batteria; quando passa corrente il magnete della coppa di sinistra ed il conduttore della coppa di destra cominciano a ruotare vorticosamente intorno, rispettivamente, al conduttore fisso ed al magnete fisso. Sarebbe stato a questo punto più difficile mettere in discussione le azioni circolari.

L’azione a contatto e non più rettilinea era ormai evidente per Faraday che però era cosciente della difficoltà di convincere i newtoniani. Dopo varie altre esperienze che mostravano nel campo della elettrochimica (elettrolisi) sempre più l’evidenza di azioni a contatto, nel 1838 andò a ricercare l’azione a contatto anche in elettrostatica. Se la trasmissione della forza elettrostatica dipende dalle particelle del mezzo attraverso cui passa la forza, il carattere di queste particelle deve essere tale da avere un qualche effetto sulle forze stesse (capacità, costante dielettrica, costante della legge di Coulomb, …). Come nel caso elettrochimico, l’energia coinvolta nel processo la si ritrova nel mezzo esistente tra le cariche elettrostatiche. E come nel caso elettrochimico il fenomeno ha luogo nel mezzo interposto tra le cariche elettrostatiche. I corpi inducente ed indotto sono semplicemente i terminali dell’azione e delle particelle in tensione elettrostatica. La forza elettrica risiede nelle particelle e non nei terminali. Lo spazio che prima subiva ora comincia ad agire! Ma, nonostante questi continui successi, le prove fin qui date non convincevano.

Faraday continuò a darne: nell’elettrolisi le sostanze che si decompongono rivestono uniformemente gli elettrodi, mentre secondo la teoria dell’azione a distanza dovrebbero essere ricoperti solo sulle superfici contrapposte. Ciò è possibile solo se l’azione si esercita attraverso linee curve. Nella figura EP ed EN sono i due poli di un voltametro e le linee di azione (più tardi linee di forza).

Le linee curve dimostrano che l’azione è a contatto poiché sono gli effetti di volume delle particelle interposte e sotto lo stato di tensione ad originare curvatura (solo la linea che unisce i centri degli elettrodi è retta). E Faraday mostrò che anche in elettrostatica si verifica ciò provandolo con l’esperienza di figura:

Evidentemente le linee di forza originate dalla bacchetta sono, anche qui, curve e tali da andare dietro la sfera indotta.
L’insieme di questi fatti convinsero Faraday che le linee di forza hanno una realtà fisica: esse rappresentano il continuo di forze che riempie tutto; dove c’è addensamento di linee di forza c’è materia. Il propagarsi di una azione lungo una linea di forza non è istantanea ma richiede tempo. Stesse cose Faraday sperimentò con il magnetismo mostrando l’esistenza di linee di forza anche nel caso di magneti. Il modo da lui usato per rilevarle era il muovere vicino ad un magnete un filo connesso con un galvanometro. Le linee di forza magnetiche sono curve continue e chiuse. Non ci sono quindi né poli né centri di azione ed il mezzo circostante è soggetto e non oggetto delle azioni. Così Faraday scriveva: ” dentro il magnete vi sono linee di forza esattamente uguali in forza e quantità a quelle fuori di esso, ma con direzione opposta …Ed in effetti ciascuna linea di forza è una curva chiusa, che in qualche parte del proprio percorso passa attraverso il magnete cui essa appartiene ” ed aggiungeva ” io propendo a considerare il mezzo esterno al magnete come altrettanto essenziale per il magnete: è esso infatti che collega l’una all’altra le polarità esterne per mezzo di linee di forza curve e fa sì che esse non possano essere altro che curve“. Finalmente, tra il 1844 ed il 1855, Faraday sviluppò la sua teoria di campo. La forza non può esistere senza un mezzo e la forza deve essere trovata nel mezzo, non nel corpo da cui è originata. Le linee di forza si propagano nello spazio vuoto in modo che una delle proprietà di questo spazio è la capacità di trasmetterle. Secondo la teoria di Newton, egli argomentava, due corpi che si attraggono (Sole e Terra, ad esempio) devono essere considerati separatamente come inerti, cioè a ciascun corpo non deve essere associata alcuna forza. Se ora facciamo interagire i due corpi essi si attraggono a seguito del fatto che si sarebbe creata nello spazio tra i due quella forza che li tiene uniti (si ricordi che l’azione alla Newton è istantanea e a distanza). Se invece tolgo uno dei due corpi che stanno interagendo annichilo una forza che precedentemente li teneva uniti. Questi fatti paiono assurdi e l’unico modo per spiegarli è ammettere l’ipotesi che ciascuno dei due corpi abbia una preesistente forza (oggi diremmo energia) che lo circonda e questa forza si diparte da questo corpo pervadendo l’intero spazio. Due corpi che si attraggono sono allora due corpi che fanno interagire le loro preesistenti linee di forza (i loro campi). Su questi argomenti ed in particolare sulla gravitazione, tema per lui di sommo interesse ma sul quale non era in grado di sperimentare, Faraday tornò ancora nel 1857 sostenendo che “se la forza agisce nel tempo ed attraverso lo spazio, essa deve allora agire mediante linee fisiche di forza” e che la gravità “non risiede semplicemente nelle particelle della materia … ma in tutto lo spazio… essendo solo la parte residua delle altre forze della natura“.
CAMPI MAGNETICI GENERATI DA CORRENTI
Torniamo ora ai magneti per vedere come sono fatti i campi introdotti da Faraday ed anche per vedere come sono i campi elettrici.
Il primo fatto notevole che si ricava dall’esperienza di Oersted è che il passaggio di corrente provoca effetti magnetici. Il fatto che vi siano dei materiali magnetici passa da ora in secondo piano perché assume enorme importanza il magnetismo associato alla corrente. Iniziamo con il vedere i campi magnetici (per ora indicati con B senza ulteriori specificazioni) prodotti da magneti permanenti (alle linee di forza del campo magnetico si assegna il verso convenzionale che va dal Nord al Sud del magnete) e vi è da sottolineare proprio il vedere perché le line di forza di Faraday sono visibili mediante della limatura di ferro disposta su un cartoncino poggiato sopra al magnete. Ebbene, medesimi campi si possono osservare disponendo opportunamente delle correnti elettriche, come vedremo.

- (a) (b)

- Campo prodotto da un magnete rettilineo
- Campo prodotto da un magnete ad “U”
- Campo prodotto da due poli magnetici affacciati.
Vediamo ora la struttura dei campi elettrici (per ora indicati con E senza ulteriori specificazioni) che scopriremo simili (simili e non uguali!) a quelli magnetici. Questi campi si possono osservare sistemando il polo positivo o negativo di una pila, oppure ambedue, in una vaschetta contenente olio sul quale galleggiano dei piccoli semi che si orientano lungo le linee di campo.



Campo generato da carica positiva o negativa isolata



Campo generato da due cariche di segno opposto vicine



Campo generato da due placche cariche di segno opposto vicine



Campo generato da due cariche dello stesso segno vicine
Passiamo ora a vedere i campi (per ora indicati con B senza ulteriori specificazioni) prodotti da fili percorsi da corrente, iniziando dalla situazione più semplice, un filo rettilineo (osservo che questo è il campo che provoca la deviazione dell’ago nell’esperienza di Oersted).

- (a)

(b)

(c)

(d)
Quindi, un filo rettilineo percorso da corrente continua è circondato da un campo magnetico che ha delle linee di forza circolari e concentriche al filo (si tratta di successive superfici cilindriche circondanti il filo, la cui sezione sono le circonferenze di cui ho detto). Fissiamo anche qui convenzionalmente il verso di queste linee di forza circolari, anticipando che la direzione del campo è tangente alle linee di forza (figure b e c).

- (a) (b)
Tale verso è dato dalla regola della mano destra (o della presa della mano destra) secondo la quale si sistema la mano destra in modo di abbracciare (teoricamente) il filo con il pollice orientato secondo il verso della corrente; ebbene le dita, dal palmo alle unghie, forniscono il verso delle linee di forza del campo magnetico. Si può anche utilizzare un’altra regola, quella del cavatappi: si infila il cavatappi dove entra la corrente e si fa ruotare come ordinariamente si fa; il verso di rotazione del manico del cavatappi dà il verso delle linee di forza.

Dato questa prima convenzione è facile andare oltre e passare alle linee di forza di una spira percorsa da corrente. La corrente fa il percorso AaCbB. Entra da sotto il piano Σ in a per poi rientrarvi in b. Nel tratto AaC la corrente si comporta come nel filo rettilineo e quindi le linee di forza che circondano questo tratto di filo sono dirette come indicato dalla freccia (verso antiorario). Lo stesso avviene nel tratto di filo CbB solo che in tal caso la corrente entra da sopra il piano Σ con la conseguenza che il verso è anche qui quello indicato dalla freccia, opposto al precedente (verso orario). Ciò che interessa è valutare la situazione complessiva: delle linee di forza entrano nella spira da dietro ed escono sul davanti.


Una situazione come questa ricorda quanto abbiamo visto per il campo magnetico di un magnete rettilineo. Siamo cioè nella situazione in cui tutte le line di forza escono da un polo ed entrano in un altro. Per convenzione avevamo stabilito che in un magnete le linee di forza escono dal nord per entrare al sud. Torniamo alla spira e traiamo le conseguenze: essa si comporta come un piccolo magnete rettilineo che (nel caso visto) ha il nord nella faccia della spira che si rivolge verso l’osservatore ed il sud nella faccia opposta. La spira percorsa da corrente si comporta come un magnete elementare e viene attratta o respinta da un’altra spira, così come fanno i magneti rettilinei (queste analisi e scoperte e quelle che sull’argomento seguiranno sono dovute ad Ampère).
Scoperta questa proprietà della spira cerchiamo di capire come si comporta un lungo avvolgimento a spire di un filo (solenoide).



In quest’ultimo disegno si utilizza la mano sinistra anziché la destra con la conseguenza che il pollice indica il verso opposto alla corrente
Qui l’analogia con il campo magnetico di una barra magnetica è molto più evidente e possiamo utilizzare il solenoide percorso da corrente come un ago magnetico che si orienta nel campo magnetico terrestre come fa un ago magnetico.
Fissate queste analogie che comunque richiederebbero molte spiegazioni entrando in dettagli che tralascio, torniamo ad una delle cose che aveva scritto Oersted. Se una corrente esercita una forza su un magnete (Oersted) bisogna attendersi che anche un magnete eserciti una forza su una corrente. Se si dispone una spira percorsa da corrente all’interno di un campo magnetico essa tende a ruotare disponendosi perpendicolarmente alle linee del campo. Il dipolo-spira si orienta in modo che il suo sud vada a sistemarsi di fronte al nord del magnete ed il suo nord verso il sud del magnete. Lo stesso accade con un solenoide percorso da corrente ed un magnete. E su questo lavorerà ampiamente Faraday realizzando macchine che avranno ricadute enormi su ogni aspetto della vita civile dell’uomo.
Per le equivalenze tra magneti e correnti, Ampère realizzò un apparato sperimentale noto come Banco di Ampère. Nella figura seguente è mostrato il Banco con un degli apparati in uso:

I poli di una pila si collegano in A e B. La corrente cammina lungo le due aste di ottone fino ad arrivare alle due coppette a e b contenenti mercurio. Questo è un metallo conduttore liquido che è in grado di realizzare contatti elettrici striscianti. Alle due coppette si possono collegare diversi circuiti. Nella figura riportata tra a e b è collegata una spira che termina con due punte che vanno a pescare nel mercurio. La spira, quando si collega la pila, è un magnete che si muove avvicinandogli un magnete rettilineo ordinario. Allo steso modo se tra a e b si collega un solenoide.

Fin qui abbiamo visto le azioni che si esercitano tra magneti e correnti. Ancora Ampère studiò le azioni tra correnti. Se una corrente si può comportare come un magnete, tra due correnti si deve prevedere un’azione attrattiva o repulsiva. Poiché una corrente crea un campo magnetico ed un campo magnetico esercita una forza su una corrente, anche due correnti eserciteranno una forza tra loro, forza che sarà di natura magnetica. Vediamo.

Due fili rettilinei percorsi da correnti concordi si attraggono mentre due fili rettilinei percorsi da correnti discordi si respingono. Osservando la figura è facile capire cosa accade. Riferiamoci ai due fili percorsi da correnti concordi ed in particolare sulle linee di forza del campo di ciascun filo (le circonferenze) e su di queste della parte riportata in grassetto. Ognuna di esse è analoga ad un ago magnetico.

Se si mettono due aghi magnetici affiancati con le stesse polarità, i due aghi si respingono. Analogamente le due parti di linee di forza a contatto hanno versi opposti e, in quanto tali, si attraggono. Discorso opposto si deve fare per la parte in grassetto delle linee di forza dei due fili percorsi da correnti concordi: in questo caso le due parti di linee di forza a contatto hanno stesso verso e quindi si respingono. Il caso di due correnti concordi sezionate con i loro campi connessi è riportato in figura seguente dove si vede che medesimi campi B sono affacciati.


MOTORE ELETTRICO
Consideriamo un campo magnetico uniforme come quello di figura:


Se inseriamo una spira percorsa da corrente dentro questo campo vi saranno effetti di attrazione e repulsione tra il campo stesso e le polarità magnetiche che la spira ha.

Se la spira è sistemata come in figura, al centro e perpendicolare alle linee di forza del campo magnetico e con il suo nord affacciato al sud del magnete (ed il suo sud evidentemente affacciato al nord del magnete), la spira è ferma perché le forze attrattive da una parte e dall’altra si equilibrano.
Se la spira, sempre mantenendosi al centro del campo del magnete, forma un dato angolo con le line di forza di questo campo (l’angolo α è quello formato tra le linee di forza del campo e la perpendicolare n al piano della spira), non vi sarà più equilibrio e la spira ruoterà fino a sistemarsi nella posizione di equilibrio di figura precedente (n si sovrappone a B e l’angolo α = 0).

Capito il meccanismo cerchiamo di stabilire con maggiore precisione quali sono le forze che agiscono su una spira percorsa da corrente all’interno di un campo magnetico uniforme.
FORZA MAGNETICA AGENTE SU UNA CORRENTE IN UN CAMPO MAGNETICO UNIFORME
Consideriamo la figura seguente e sia il lato BC della spira mobile. Su questo lato (come su ogni altro lato) della spira si esercita una forza F qualunque sia l’orientazione della spira nel campo.

L’intensità della forza varia al variare dell’orientazione ed esiste una direzione di BC in corrispondenza della quale la forza si annulla. Tale direzione è quella mostrata in figura seguente e noi l’assumeremo come direzione del campo magnetico (direzione di BC quando la forza F è nulla).

Si verifica sperimentalmente che la forza è massima quando il lato della spira ℓ = BC risulta perpendicolare alle linee del campo B ed in tal caso vale:

La direzione di F è sempre perpendicolare al piano formato da B ed ℓ ed il verso è dato dalla regola della mano sinistra:

COPPIA DI FORZE AGENTE SU UNA SPIRA IMMERSA IN UN CAMPO MAGNETICO. MOTORE ELETTRICO
Riprendiamo ora in considerazione una spira percorsa da corrente posta all’interno di un campo magnetico B. Nella figura seguente è mostrata la spira prospetticamente nel campo e vista dall’alto.

D quanto visto nel paragrafo precedente ogni lato della spira è soggetto ad ua forza dato dalla regola della mano sinistra ora vista. Ciò fornisce le forze agenti sui lati della spira disegnate nella figura precedente.
F1 = – F3 giacciono sulla stessa retta d’azione
F2 = – F4 giacciono su piani differenti in modo da costituire una coppia di forze che fa ruotare la spira.
Guardando la situazione dall’alto si ha la seconda figura ora riportata. C’è da osservare che la rotazione della spira avrà la massima intensità quando α = 90° (B giace nel piano della spira) e nullo per α = 0° (B perpendicolare al piano della spira).
Se si inverte il verso della corrente si invertono i versi delle forze e la spira ruota in senso inverso fino a tornare nella posizione di equilibrio.

Su questa proprietà si basa il motore più semplice, quello a corrente continua.
Riferendoci alla figura seguente, in (a) la spira tende a ruotare per portarsi alla sua posizione di equilibrio; in (b) ha raggiunto tale posizione che, per inerzia, supera almeno di un poco (se non si interviene in alcun modo dall’esterno, dopo alcune oscillazioni, la spira si ferma nella posizione di equilibrio); in (c) si è invertito il verso della corrente e ciò fa continuare la rotazione della spira fino ad arrivare di nuovo ad una posizione simile a quella che aveva in (a): in (d) si riprende come se ripartissimo da (a).


La figura seguente mostra il meccanismo (collettore) che permette il cambiamento di verso della corrente nella spira attraverso dei contatti striscianti su dei semicilindri metallici connessi agli estremi della spira:


Quest’ultima figura mostra come opera il collettore: in (a) la corrente che entra attraverso la spazzola C, va sul semicilindro 1, passa alla spira stabilendo un verso della corrente in essa, quindi esce attraverso il semicilindro 2 e la spazzola C’; in (b) la corrente che entra attraverso la spazzola C, va sul semicilindro 2, passa alla spira stabilendo il verso della corrente in essa opposta al precedente, quindi esce attraverso il semicilindro 1 e la spazzola C’.
In definitiva, cambiando continuamente il verso della corrente, si ottiene una rotazione continua della spira nel campo magnetico del magnete.

Quanto ora descritto è il principio del motore elettrico a corrente continua. Dato il principio sono seguiti i perfezionamenti che hanno, in definitiva sostituito la spira con una matassina di spire (il rotore che si muove dentro lo statore):


Un rotore

Un rotore
E’ appena il caso di dire che la parte più vicina all’osservatore è quella collegata alle spazzole e quella che in definitiva genera la rotazione del rotore. Occorre però dire che dall’asse più distante a chi osserva le figure si prende l’energia da utilizzare per qualunque macchina si voglia far funzionare (frullatore, spremiagrumi, dinamo di un’automobile, …).
Resta da vedere come sia stata inventata e prodotta la corrente alternata a partire dai fondamentali lavori di Faraday. Lo faremo nella Terza Parte di questo lavoro.
NOTE
- Faccio qui il conto tralasciato nel testo.
CAMPI CONSERVATIVI
Si definisce conservativo un campo di forze quando il lavoro fatto per spostarsi tra due punti A e B di esso è indipendente dal cammino percorso. Dietro la definizione data vi è un fatto semplice. Supponiamo che da un paesino A a fondovalle si voglia raggiungere una cima B. Tale cima, come si sa, è raggiungibile per varie vie, da quella per principianti a quella per esperti scalatori. L’una sarà una passeggiata che si servirà di molti tornanti, l’altra punterà a perpendicolo verso la cima. Ambedue, il principiante e lo scalatore, faranno un lavoro per andare da A a B. Nel caso del principiante si avrà l’applicazione media di una forza minore ma il tragitto è più lungo; nel caso dello scalatore vi sarà l’applicazione di una forza maggiore per un tragitto però più breve. Si tratta di capire quale lavoro è maggiore se ve ne è uno maggiore. La cosa non è priva di senso, semplicemente perché, ad esempio, dovendo costruire una strada si tenterà sempre di farlo lungo il preteso tragitto in cui il lavoro sia minimo. Fin qui mi sono riferito al campo gravitazionale. Stesse cose si possono dire per campi elettrici, magnetici, elettromagnetici, … evidentemente con esemplificazioni diverse. Rappresentiamo con un disegno i due punti A e B uniti da due tragitti, l’1 ed il 2 che ci permettono di andare da un punto all’altro secondo il verso delle frecce (Fig. 1).

a b
Figura 1
Tornando al campo conservativo e riferendoci alla figura 1, la definizione data vuol dire che se un campo è conservativo il lavoro fatto per andare da A a B lungo la linea 1 deve essere lo stesso di quello che si fa lungo la linea 2:
(LAB)1 = (LAB)2
Dire questo equivale a dire che in un campo conservativo il lavoro che si fa per andare da A a B lungo una linea (1) è uguale e di segno opposto a quello che si fa per andare da B ad A lungo un’altra linea (2):
(LAB)1 = (-LBA)2
Ed in definitiva se si calcola il lavoro fatto per andare da A a B e quindi da B ad A, dopo aver percorso un giro completo (Fig. 1b), questo deve essere nullo:
(LAB)1 – (-LBA)2 = 0 ⇒ (LAB)1 + (LBA)2 = 0
Dimostriamo in un caso elementare che il lavoro fatto per spostarsi lungo una linea chiusa in un campo gravitazionale è nullo, dimostriamo cioè che il campo gravitazionale è conservativo. Consideriamo una massa m sferica da dover caricare sul cassone di un camion. Le possibilità evidenti sono due: o facciamo rotolare la massa fin sotto il cassone e poi la solleviamo (cammino 1), o sistemiamo una tavola che ci serva da piano inclinato su cui far rotolare la massa sul cassone del camion (cammino 2). Anche qui facciamo un disegnino per capire meglio (Fig. 2).

Figura 2
Occorre calcolarsi il lavoro fatto per andare da B ad A, quindi quello fatto per andare da A a C ed infine quello fatto per andare da C a B. La somma di questi valori fornisce il lavoro fatto per spostarsi lungo una linea chiusa all’interno di un campo gravitazionale (si noti che, la linea rossa corrisponde al lavoro che si fa lungo un cammino e la linea verde quello che si fa lungo l’altro cammino: per considerare l’insieme dei due cammini come linea chiusa ho considerato uno dei due cammini percorso in senso inverso, come annunciato nella seconda relazione scritta). Ricordando che il lavoro è il prodotto scalare di forza per spostamento:
L = F × s = F ⋅s⋅ cosα
si trova subito che:
LBA = p . s . cosα = p . h
(poiché la forza deve essere moltiplicata per la proiezione dello spostamento su di essa)
LAC = 0
(poiché la forza è perpendicolare allo spostamento e quindi cos α = 0)
LCB = – p . h
(poiché forza e spostamento hanno versi opposti).
In definitiva:
L = LBA + LAC + LCB = p . h + 0 – p . h = 0.
Con questo conticino elementare si dimostra (solo in questo caso semplice) che il campo gravitazionale è conservativo. Il caso è semplice perché abbiamo supposto implicitamente che le linee lungo cui agisce la forza gravitazionale sono parallele tra loro. Tale approssimazione è pure legittima ma non fornisce una dimostrazione rigorosa. Per dimostrarlo in generale ci si può servire di identica dimostrazione che darò per il campo elettrico, nel caso in cui le linee lungo cui agisce la forza di tale campo sono radiali, si dipartono cioè da una carica come prolungamento dei suoi raggi.
CONSERVATIVITA’ DEL CAMPO ELETTRICO: CASO RADIALE
Si abbia una sfera carica + Q di raggio R. Il campo radiale creato da tale sfera è dato da:

(1)
Supponiamo ora di avere una piccola carica + q che si sposti, seguendo una linea di campo, dal punto A (sulla superficie della sfera carica) ad un punto qualunque B.

Figura 3
Ora calcoleremo il lavoro che le forze del campo fanno a spostare tale carichetta da A a B (cammino 1), quindi calcoleremo il lavoro che dovremo fare contro le forze del campo per riportare la carichetta in A lungo il cammino 2. Ma torniamo al calcolo del lavoro fatto per portare + q da A a B. Per farlo occorre partire con una osservazione di fondamentale importanza, pena un calcolo errato in tutto. Lo spostamento è AB e qui non vi è nulla da osservare. Ma la forza (che si ottiene moltiplicando la carica + q per il campo E) è davvero un grave problema perché, osservando la (1), ci si rende immediatamente conto che essa varia con l’inverso del quadrato della distanza (l’analogo della forza gravitazionale). Le altre cose che compaiono nella formula sono delle costanti, anche Q, una volta fissata è quella e basta. Il fatto che la forza vari con il quadrato della distanza, vuol dire che man mano che ci si allontana dalla carica Q tale forza diminuisce. Fin qui è chiaro. Il fatto è che la variazione di tale forza avviene punto per punto. Ciò vuol dire che per calcolare il lavoro fatto per andare da A a B occorre sommare infiniti lavori, quelli fatti punto per punto (della linea AB) che sono diversi tra loro. Se ci mettiamo con la matematica classica a fare questo calcolo troviamo come risultato zero. Una forza moltiplicata per uno spostamento nullo dà zero e sommando infinite volte zero, abbiamo sempre zero. Come fare? Seguiamo il metodo di calcolo seguente. Suddividiamo la distanza AB = r – R in tanti piccoli segmenti tali che, in ognuno di essi la forza F = q.E sia approssimativamente costante, pari cioè al valor medio (attenzione: non ho detto media aritmetica!) nell’intervallo. All’inizio del primo intervallo (punto A) la forza che agisce sulla carica +q sarà data da:

Nel secondo intervallo (quello che va da r1 ad r2) si troverà:

……………………..
.

………………………..

Prima di andare oltre si deve notare che questo lavoro è fatto dalle forze del campo (è il campo elettrico della carica +Q che allontana la carica +q) e non contro di esse come nel caso in cui, invece di una carica +q, avessimo avuto una carica –q (in tal caso, per andare da A a B dovevamo essere noi ad esercitare una forza sulla carica –q che altrimenti sarebbe stata spontaneamente attratta da +Q). In quest’ultimo caso l’espressione doveva essere cambiata di segno. Ma torniamo alla discussione che stavamo facendo.
Volendo chiudere il discorso sul campo elettrico, campo conservativo nel caso radiale, occorre fare il conto del lavoro che si fa per tornare da B ad A, attraverso la linea 2 della figura 3. Se facendo questo conto, troviamo lo stesso valore (cambiato di segno) che abbiamo ora trovato per il lavoro, allora potremo concludere che il lavoro fatto per andare da A a B è indipendente dal cammino percorso in accordo con quanto detto all’inizio: il lavoro fatto lungo una linea chiusa è nullo.

Figura 4
Riferendoci alla figura 4, soffermiamoci sulla linea curva che unisce B ad A. Anche qui mi servirò di ragionamenti analitici. Tale linea la posso pensare costituita da tanti tratti radiali (paralleli alle linee di forza) e da tanti archi di cerchi concentrici alla sfera. Lungo tali archi la forza che sposta la carica non compie lavoro perché la forza è perpendicolare allo spostamento (la forza agisce lungo la linea di forza e tale linea è un raggio della sfera e quindi perpendicolare alla sua superficie ed a tutte le superfici concentriche ad essa). Nel tragitto curvo restano allora solo da considerare i contributi radiali e la somma di tali contributi non è altro che il tratto BA: Pertanto il lavoro complessivo (lavoro fatto contro le forze del campo) che facciamo per portare la carica +q da B ad A lungo la linea curva non è altro che quello che abbiamo già trovato cambiato di segno. Pertanto:
LBA = – LAB ⇒ L = LAB + LBA = 0.
Con questo abbiamo dimostrato la conservatività del campo elettrico nel caso radiale. Merita appena una citazione la generalizzazione del caso. Nel caso in cui la carica +q si sposti come mostrato in figura 5a le cose vanno in modo identico a quanto visto e la relazione che ci fornisce il lavoro per andare da A a B è la stessa.

- (a) (b)
Figura 5
Nel caso in cui da A a B si sposta una carica – q (figura 5b), come già accennato, occorre cambiare di segno all’espressione che ci fornisce quel lavoro che diventa:

Aggiungo solo che, con dei conti identici, si dimostra anche la conservatività del campo gravitazionale.
(2) UN POSSIBILE APPROCCIO ALLA TEORIADELL’ELETTRONE LIBERO ED ALLA TEORIA DELLE BANDE DI ENERGIA
IL CAMPO DI ENERGIA POTENZIALE IN UN METALLO
Un modello semplificato per la struttura cristallina di un metallo vede un reticolo tridimensionale di atomi disposti ai vertici di figure solide regolari. In un metallo puro, allo stato solido, gli atomi si dispongono secondo una geometria ordinata e regolare, chiamata reticolo cristallino, che si ripete uguale in tutte le direzioni (ciò non accade nelle sostanze amorfe). Ai vertici del reticolo vi sono gli atomi. Per quel che ci riguarda è meglio dire che vi sono gli ioni positivi circondati da elettroni liberi di muoversi.


La struttura di un metallo: una cella elementare che si ripete uguale in tutte le direzioni.
Volendo considerare l’energia potenziale in un punto all’interno del metallo occorre tener conto che essa è la risultante di tutte le energie potenziali che sono prodotte in quel punto dagli ioni che occupano i vertici del reticolo.
L’atomo che occupa un vertice del reticolo ha poi, esso stesso, una struttura che, in prima approssimazione, può essere pensata costituita da un nucleo di carica positiva Ze (con Z numero dei protoni, ciascuno di carica + e) circondato da Z elettroni (in orbite che approssimativamente si svolgono lungo una sfera).

Se prendiamo in considerazione un elettrone sull’ultimo livello energetico atomico (un elettrone di valenza, elettrone che partecipa alla conduzione) di uno di questi atomi del reticolo è facile capire cosa accade. Questo elettrone avrà carica q1 = – e; vedrà quindi la parte rimanente del «suo» atomo come uno ione di carica q2 = + e.
Facciamo ora l’ipotesi di scegliere come riferimento l’infinito in cui il potenziale vale V = 0 e ricordiamo che, per un atomo isolato, l’espressione che ci fornisce il potenziale V in un punto a distanza r dal nucleo è:
V = q1 /r
dove q1 è la carica totale racchiusa in una sfera di raggio r.
E’ allora evidente che l’energia potenziale U è data da:
U = q2.V
Poiché nel nostro caso la carica totale fornita dallo ione è q1 = + e, si trova subito che il valore per l’energia potenziale di un elettrone nel campo dello ione è:

:
E’ bene, a questo punto, ricordare che r è una distanza radiale dallo ione (in figura indicato con α) e quindi deve essere considerata in tutto lo spazio circostante lo ione. Scelta quindi una direzione arbitraria a partire dallo ione, la curva S di figura rappresenta la funzione U = U(r) a destra dello ione mentre la curva tratteggiata rappresenta U(r) a sinistra dello stesso ione.
Il metodo induttivo ci permette facilmente di arrivare alla situazione del cristallo da cui eravamo partiti.
Consideriamo allora due ioni (α e β) adiacenti e trascuriamo tutti gli altri. Nella figura 2 si vede come vanno le cose, tenuto conto che:
S rappresenta la funzione U(r) per lo ione α;
S’ » » » » » » β;
S” rappresenta la funzione U(r) risultante dall’interazione (somma) dei due ioni (si osservi infatti che: ab + ac = ad).

Una importante caratteristica della curva S” risultante è il suo essere praticamente coincidente con le curve S ed S’ nelle vicinanze degli ioni e più schiacciata delle altre due nella zona tra essi compresa.
Consideriamo ora una intera fila di ioni (α, β, γ, δ, …) all’interno del reticolo metallico e cerchiamo di trovarci l’andamento dell’energia potenziale da ione a ione fino ad arrivare alla superficie del metallo.
Il procedimento, analogo a quanto visto per due ioni adiacenti (si tiene conto solo della piccola influenza che sulle curve risultanti danno ioni vicini), fornisce la curva di figura 3.

Quello che si nota subito è che all’interno del metallo c’è una ampia regione che è, con buona approssimazione, equipotenziale a campo medio nullo (basta osservare che, a parte la rapida variazione di U nelle immediate vicinanze degli ioni, dove tende a – ∞, le curve risultanti sono molto schiacciate nelle zone tra ione e ione, fatto questo che sta appunto ad indicare la lenta variazione di U (r) in queste zone).
Soffermiamoci ancora sulla figura 3; si vede che lo ione δ è l’ultimo sulla destra della fila di ioni presa in considerazione. Il che, è ovvio, vuol dire che alla sua destra non vi sono più ioni. Ebbene questo ultimo ione non può essere considerato esso stesso la «superficie» del metallo; alla sua destra c’è infatti una piccola zona a cui compete un certo valore di energia potenziale di cui bisogna tener conto. Questa piccola zona alla destra di δ sposta la «superficie» del metallo di poco ed in un modo non perfettamente definito. Dalla figura si vede che la curva che ci dà U alla destra di δ è molto più «alta» di tutte le altre. Se si tiene conto dell’ovvia osservazione che interno del metallo è circa a sinistra di δ ed esterno del metallo è circa a destra di δ, la maggiore «altezza» della U (r) alla destra di δ implica che nel passaggio dall’interno all’esterno del metallo (e viceversa) c’è una barriera di energia potenziale.
ELETTRONI LIBERI ED ELETTRONI LEGATI
Rimane da vedere cosa fanno gli elettroni in questo campo di energia potenziale. Sempre riferendoci alla figura 3, consideriamo un elettrone a cui compete una energia corrispondente al livello A di figura. Esso sarà uno degli elettroni dei livelli energetici più interni dell’atomo e perciò risulterà fortemente attratto dal nucleo (elettrone legato), avendo a disposizione solo il piccolo tratto ab per i suoi movimenti. Questo elettrone infatti “colliderà” alternativamente nei punti a e b delle barriere di energia potenziale non avendo possibilità di liberarsi e di entrare in qualunque processo di conduzione quando si applichi un campo elettrico esterno.
Gli elettroni liberi sono invece quelli a cui compete, ad esempio, un’energia corrispondente al livello B di figura 3.
Questo elettrone non possiederà solo energia potenziale ma sarà dotato anche di energia cinetica; esso si muoverà liberamente all’interno del metallo risentendo solo della piccola azione che gli altri elettroni liberi hanno su di lui. Quando questo elettrone raggiunge la superficie del metallo colliderà con la barriera di energia potenziale nel punto C e, rimbalzando, tornerà verso l’interno del metallo.
Un elettrone «più libero» ancora è quello a cui compete, ad esempio, un’energia corrispondente al livello D di figura 3. Questo elettrone ha complessivamente un’energia superiore a quella della barriera; esso è pertanto in grado di lasciare, in qualsiasi momento, il metallo (ad esempio: per effetto fotoelettrico o termoionico).
MODELLO SEMPLIFICATO DELL’ENERGIA POTENZIALE ALL’INTERNO DI UN METALLO (IL MODELLO DELL’ELETTRONE LIBERO)
Consideriamo ancora la figura 3 ed in essa la zona di energia in cui gli elettroni sono liberi. Questa zona può essere schematizzata come in figura 4 e quindi come in figura 5.

La schematizzazione che abbiamo fatto corrisponde ad aver ammesso che il campo agente su di un elettrone, all’interno del metallo, sia effettivamente uguale a zero, e non solo in media. Ci interesseremo quindi degli elettroni liberi (quelli responsabili dei fenomeni di conduzione) che si trovano, in base alla nostra ipotesi, in una regione equipotenziale (non soggetti ad alcuna forza) dove si comportano allo stesso modo di un gas perfetto; nel far questo trascureremo completamente gli elettroni legati. Questo punto di vista è, come si può riconoscere, in accordo con l’elettrostatica classica anche perché non tiene conto della struttura atomica.
Poiché è un fatto sperimentale che a temperatura ambiente non si osserva emissione di elettroni da un metallo, viene spontaneo ammettere che, a temperature di questo ordine (~300° K), un elettrone in riposo all’interno del metallo si trovi ad una energia potenziale minore di quella che competerebbe ad un elettrone in riposo al di fuori del metallo. Ciò significa che tutti gli elettroni debbono trovarsi, a temperature ordinarie, al disotto del «livello di vuoto» (energia di un elettrone in riposo al di fuori del metallo) di figura 5, dentro la buca di energia potenziale di profondità ES. Ad una temperatura T = 0°K tutti i livelli energetici fino ad EF sono pieni (rispettando però il principio di Pauli: al massimo due elettroni per ogni livello energetico), tutti quelli più che si trovano più su sono vuoti. Alla quantità:
F = ES – EF
si dà il nome di potenziale di estrazione di un elettrone da un metallo (o funzione lavoro).
INSUFFICIENZA DEL MODELLO
II modello dell’elettrone libero mentre spiega bene la conducibilità elettrica e termica dei metalli, non spiega altri fenomeni, tra cui la differenza tra conduttori ed isolanti (perché alcune sostanze hanno degli elettroni liberi ed altre no?) e come mai la forte corrente che può condurre un metallo diminuisce al crescere della temperatura mentre la debole corrente condotta da un isolante aumenta con la temperatura.
LA TEORIA DELLE BANDE NEI SOLIDI
I fenomeni a cui abbiamo accennato alla fine del precedente paragrafo trovano una brillante spiegazione con l’introduzione della teoria delle bande (di energia).
Per spiegare, almeno qualitativamente, il contenuto della teoria, occorre rifarsi per un momento ad un fenomeno ben noto in fisica: la corda vibrante. Una corda elastica lunga L, unidimensionale e continua, fissata con un estremo ad una parete e tenuta in mano all’altra estremità, potrà vibrare solo a quelle frequenze che soddisfano la seguente condizione: la lunghezza d’onda λ deve essere un sottomultiplo intero del doppio della lunghezza L della corda (2L = nλ, con n ≥ 1ed intero). Le frequenze possibili sono quindi discrete (ricordiamo che n è proporzionale ad 1/λ), ad ogni valore intero di n appartiene una frequenza.
La stessa cosa si verifica per un oscillatore del tipo riportato in figura 6 (a) (massa m collegata ad una molla che è fissata ad una parete); si hanno cioè frequenze discrete del tipo riportato in figura 6 (b).

Se ora accoppiamo (accoppiamento debole) due oscillatori con frequenze uguali come in figura 7, si può dimostrare che se le frequenze possibili per i due oscillatori disaccoppiati (figura 6 a) sono quelle riportate in figura 8 (a) e (b), le frequenze possibili per i due oscillatori accoppiati (fig. 7) sono date dalla figura 8 (c). [Per tutti i conti relativi a questa parte vedi: Carlo e Silvia Bernardini, Fisica degli atomi e dei nuclei, Zanichelli, 1965]. Quello che succede è che ogni frequenza degli oscillatori isolati si scinde in due frequenze distinte.

Se abbiamo tre oscillatori disaccoppiati che oscillano con frequenze uguali e li accoppiamo otteniamo che ogni singola frequenza di oscillazione dell’oscillatore isolato si scinde in tre diverse frequenze (fig. 9).

Ritornando nel campo atomico ed osservando che l’atomo è un oscillatore, l’estensione è immediata.
Consideriamo due atomi identici a grande distanza l’uno dall’altro. Supponiamo, per fissare le idee, che questi due atomi abbiano i loro elettroni disposti sugli orbitali S. I livelli energetici elettronici per questi atomi saranno come quelli riportati in fig. 10.

Ora avviciniamoli. Essi quanto più saranno vicini tanto più interagiranno. In definitiva non si dovranno più considerare i due atomi (oscillatori) separati ma accoppiati. Quello che accade è analogo a quanto abbiamo visto nel caso degli oscillatori ed è riportato in figura 11 in cui è disegnata l’energia E dei successivi livelli energetici in funzione della distanza d tra i due atomi.

.
Quando i due atomi sono a grande distanza vi è un livello energetico 1S singolo e comune (degenere) per i due atomi. Quando i due atomi interagiscono il livello 1S, comune ai due atomi, origina due livelli 1S per l’accoppiamento tra i due atomi, ed il livello 2S per i due atomi separati origina due livelli 2S per l’accoppiamento tra gli stessi due atomi.
Se portiamo ad interagire tre atomi con livelli energetici del tipo riportato in fig. 10 otteniamo un grafico E = f(d) [energia dei livelli energetici degli atomi in funzione della distanza tra di essi] del tipo riportato in figura 12.

Se il numero degli atomi che interagiscono diventa N (circa 1023 per cm3) avremo N livelli energetici in corrispondenza di ogni singolo livello energetico che avevamo per ciascun atomo isolato. Poiché il numero N è enorme, in luogo di considerare 1023 livelli energetici in corrispondenza di ogni livello energetico atomico, si può considerare una banda (continua) di energie permesse agli elettroni in corrispondenza di ogni singolo livello energetico atomico
Quindi se dobbiamo considerare l’interazione di N atomi per cm3 (e questo è il caso di un solido) il grafico E = f(d), che otteniamo, è del tipo riportato in figura 13.

Così per ogni livello energetico atomico avremo N livelli energetici (che formano una banda) per il solido; e poiché per ogni livello energetico si possono avere al massimo 2 elettroni, in ogni banda vi possono essere al massimo 2N elettroni. Si ha allora banda piena (semipiena) per un solido i cui atomi hanno un numero pari (dispari) di elettroni liberi.
Poiché stiamo trattando con atomi è importante notare che non si debbono più considerare livelli energetici elettronici relativi al singolo atomo ma, per così dire, il singolo atomo sparisce e si ha a che fare con livelli elettronici che sono di tutto il cristallo. In ognuno di questi livelli poi, come abbiamo già visto, vi possono essere al massimo due elettroni e ve ne sono due solo se hanno spin antiparalleli. Ebbene, conseguentemente con quanto detto ora, questi elettroni si muoveranno con traiettorie quantizzate attraverso l’intero cristallo.
E’ proprio dal riempimento delle bande, costituite dai livelli elettronici del cristallo, che è possibile trovare una distinzione tra conduttori ed isolanti.
Prima di far questo, però, forniamo un modo più semplice per rappresentare le bande. Allo scopo serviamoci della figura 14.

Nella figura 14 (a) sono schematizzate le bande energetiche che si formano all’interno di un solido: la banda ad energia più bassa è completamente piena di elettroni, quella intermedia altrettanto, mentre l’ultima è completamente vuota.
I casi che si possono presentare in termini di riempimento di bande e distanza tra queste ultime sono riportati in fig.15:

La figura 15 (a) è relativa al caso di un materiale isolante. Le prime due bande sono completamente piene di elettroni, mentre l’ultima banda è completamente vuota. Nelle bande completamente piene gli elettroni non hanno possibilità di contribuire alla conduzione, a causa del principio di Pauli. Infatti l’acquisto di energia da parte di un elettrone implica un suo salto ad un livello energetico a cui compete una energia superiore, ma, essendo tutti i livelli occupati da due elettroni con spin antiparalleli, non c’è possibilità, all’interno della banda, che un elettrone acquisti energia, poiché non ha livello energetico dove sistemarsi. D’altra parte i primi livelli non occupati da elettroni (quelli attraverso i quali gli elettroni stessi potrebbero condurre) si trovano sulla terza banda, quella completamente vuota, ma il salto energetico E1 tra la banda piena e quella vuota è tanto grande che la forza elettrica, comunemente impiegata, non è in grado, da sola, di fornire energia sufficiente ad un elettrone, che si trova nella banda piena, per questo salto.
La figura 15 (b) è relativa al caso di un materiale conduttore. La prima banda (quella ad energia più bassa) è completamente piena di elettroni, la seconda è piena per metà, mentre la terza è completamente vuota. In questo caso basta fornire agli elettroni una piccolissima quantità di energia E2 per mandarli in conduzione sui livelli energetici che sono liberi all’interno della stessa banda (quella ad energia intermedia). [Ricordiamo che fornendo energia ad un «set» di elettroni, situati in una banda, i primi ad essere eccitati sono quelli che si trovano sui livelli energetici superiori della banda].
La figura 15(c) è infine relativa al caso di un materiale semiconduttore. La prima banda è completamente piena di elettroni, come pure la seconda, mentre la terza banda è completamente vuota. Come si può osservare la situazione è strutturalmente simile a quella di un materiale isolante; la differenza è che il salto energetico E3 fra le ultime bande, nel caso del semiconduttore, è molto minore del salto energetico E1 del caso dell’isolante. Quando l’intervallo E3 di energia è sufficientemente piccolo l’energia termica (dovuta a volte anche alla sola temperatura ambiente) è in grado di eccitare alcuni elettroni della parte superiore della banda piena, attraverso l’intervallo di energie proibite agli elettroni, fino alla parte inferiore della banda vuota. Allora la banda «piena» non lo è del tutto, e quella «vuota» neppure, e gli elettroni possono condurre in entrambe le bande (vedi figura 16). Poiché, pero, vi sono relativamente pochi elettroni liberi di farlo, i materiali che presentano queste proprietà (silicio, germanio, …), non conducono una corrente paragonabile a quella dei metalli e si meritano il nome di semiconduttori

SPIEGAZIONE CON LA TEORIA DELLE BANDE DI ALCUNI FENOMENI CHE NON TROVANO SPIEGAZIONE CON LA TEORIA DELL’ELETTRONE LIBERO
Abbiamo già visto qual è la differenza tra materiali conduttori e materiali isolanti; abbiamo così spiegato un primo fenomeno che la teoria dell’elettrone libero non spiegava. Cerchiamo ora, con la teoria delle bande, di rispondere a quell’altro problema che era rimasto insoluto: perché la forte corrente che può condurre un metallo diminuisce al crescere della temperatura, mentre la debole corrente condotta da un isolante aumenta con la temperatura? Per rispondere a questa domanda occorre risalire alla natura ondulatoria degli elettroni.
Consideriamo quindi un gas di elettroni all’interno di una scatola in cui una dimensione prevalga nettamente sulle altre due (come riportato in figura 17).

Questa situazione rappresenta in prima approssimazione gli elettroni liberi all’interno di un metallo. Ad ogni elettrone è associata un’onda che ha la caratteristica di darci la probabilità, ad ogni istante, di trovare l’elettrone in un certo punto dello spazio (l’altezza dell’onda in un punto misura la probabilità che l’elettrone si trovi in quel punto). Affinché un’onda possa esistere lungo il «segmento» L occorre che essa valga zero alle due estremità di L (vedi figura 18).

Questo fatto è direttamente legato al moto di un elettrone lungo la direzione L all’interno della scatola. Se l’elettrone è un’onda (e se c’è l’onda c’è l’elettrone), esso urtando ad una estremità della scatola deve riflettersi su se stesso (ricostruendo la stessa onda) per andare di nuovo ad urtare all’altra estremità che lo farà di nuovo riflettere su se stesso (ricostruendo la stessa onda).
In definitiva la condizione per l’esistenza di un’onda (un elettrone) all’interno di una scatola è che lungo L possa starci un numero esatto di mezze lunghezze d’onda o, che è lo stesso, 2L = nλ (si ricordi quanto visto sulla condizione di esistenza di un’onda su una corda).
All’interno della scatola gli elettroni si muoveranno o verso destra o verso sinistra ed il grafico che ci fornisce le energie degli elettroni in funzione delle velocità è dato dalla figura 19 (si ricordi che E = l/2. mv2 rappresenta una parabola nel piano E, v).

Le lunghezze delle onde permesse (vedi fig. 18) determineranno le velocità permesse che risulteranno equidistanziate sull’asse delle ascisse di figura 19 (si ricordi che v è proporzionale a λ). Sull’asse delle ordinate vi sarà invece l’energia che è permessa ai singoli elettroni che nel caso in esame (gas di elettroni in assenza di nuclei atomici) sarà tutta cinetica.
Nella scatola gli elettroni (in assenza di forze esterne) si muoveranno indifferentemente verso destra e verso sinistra cosicché si può pensare che una metà circa si muove verso destra mentre l’altra metà si muove verso sinistra. Il risultato è che non si ha nessuna «corrente» elettrica risultante.
Prendiamo ora la scatola ed alle due sue estremità applichiamole una forza elettrica in modo che questa provochi uno spostamento degli elettroni da sinistra verso destra (in realtà ci sarà una componente di velocità che si sottrarrà agli elettroni che si muovono verso sinistra ed una componente di velocità che si sommerà agli elettroni che si muovono verso destra). Il risultato può essere schematizzato come in figura 20.
Completiamo ora il modello inserendo nella scatola a distanze regolari i nuclei atomici (ricordando che la dimensione L è molto maggiore delle altre due si dovrà considerare una sola fila equidistanziata di nuclei).
Con i nuclei aggiunti al gas di elettroni la scatola ci rappresenta in prima approssimazione la situazione di un metallo e in accordo con quanto visto nel paragrafo precedente bisognerà tener conto dell’esistenza di bande di energia permesse e proibite.

La figura 21 ci rappresenta la nuova situazione.

Ora, evidentemente, non è più possibile pensare che indefinitamente gli elettroni « passino » da sinistra a destra come avveniva nel caso illustrato in figura 20 (gas di elettroni senza nuclei). Poiché ad ogni passaggio da sinistra a destra corrisponde un acquisto di energia (al passaggio ad un livello energetico più elevato) è chiaro che, data la struttura a bande, questo processo debba ad un certo punto interrompersi (quando gli elettroni sono arrivati ad occupare il livello energetico più elevato che compete ad una banda di energia permessa).
E quando un elettrone raggiunge il livello energetico più elevato di una banda sarà riflesso all’indietro andando ad occupare livelli lasciati vuoti alla sinistra (vedi figure 22 e 23).


A questo punto si può introdurre l’effetto originato dalla temperatura.
La temperatura fa aumentare il moto di vibrazione degli atomi originando quindi una più marcata variazione delle distanze interatomiche del reticolo cristallino (la situazione atomica appare agli elettroni più disordinata). Questo fatto origina la riflessione di elettroni che hanno anche lunghezza d’onda diverse da quelle del limite della banda ed in definitiva si avranno riflessioni di elettroni anche molto prima che essi vadano a trovarsi al limite della banda.
La nuova situazione è illustrata in figura 24.

Quando gli elettroni sono diffusi a sinistra trovano stati ad energia più bassa avendo ceduto sotto forma di calore la differenza di energia agli atomi che li hanno diffusi. Più sale la temperatura e più il disordine atomico aumenta e più onde elettroniche (anche di diverse lunghezze d’onda) saranno riflesse dagli atomi del reticolo.
E’ allora evidente che nel caso di un conduttore, all’aumentare della temperatura debba aumentare la resistenza elettrica.
Rimane ora da prendere in considerazione ciò che avviene per un isolante all’aumentare della temperatura.
Se si scalda molto un materiale isolante aumenta notevolmente l’energia di oscillazione degli atomi che si trovano ai nodi del reticolo. Questa energia si trasmette agli elettroni i quali non potendo «muoversi» all’interno della banda in cui si trovano cercano altri stati in cui sistemarsi. Gli impulsi che gli elettroni ricevono dagli atomi del reticolo sono sufficienti a permettere che una parte di essi possa saltare nella banda vuota dove può cominciare ad entrare in conduzione.
BIBLIOGRAFIA
Millman-Halkias – Electronic Devices and Circuits, Me Graw Hill, 1967.
A. J. Dekker – Fisica dello stato solido, Ambrosiana., 1965.
C. e S. Bernardini – Fisica degli atomi e dei nuclei, Zanichelli, 1965.
A. Holden – La fisica dei solidi, EST Mondadori., 1967.
V. Rydnik – Qu’est-ce que la mécanique quantique?, EM (Éditions de Moscov), 1969.
J. C. Slater – Introduzione alla chimica fisica, Sansoni Edizioni Scientifiche., 1949.
C. A. Coulson – La valenza, Zanichelli, 1968.
R
Roberto Renzetti
Tra le cose appena viste nella Parte Prima non abbiamo incontrato fenomeni importanti che sono costantemente intorno a noi, a cominciare da quelli elettrici e magnetici. Iniziamo da questi.
Credo sia successo a tutti voi di provare la sgradevole situazione di una piccola scarica elettrica quando si tocca la maniglia di un’automobile. Se dicessi che il fenomeno è analogo alla violenza di un fulmine durante un temporale sospetto che non lo credereste. Cerchiamo di capire e, per farlo, dobbiamo partire apparentemente da lontano introducendo qualche elemento che ci permette di capire come è fatto un atomo ed alcuni concetti che si sono affermati sui fenomeni elettrici.
LA DISCONTINUITA’ DELLA MATERIA. NOTA STORICA
Abbiamo tutti sentito dire che esistono gli atomi e le molecole. Come sempre crediamo a tutto ciò che ci raccontano perché, metterlo in dubbio è più faticoso che accettarlo. Pensandoci un poco si ricava che la presenza di un supposto atomo vorrebbe dire che esso è distinto da un altro atomo, magari vicinissimo. Ma da cosa è distinto? Dal fatto che, se un atomo è la parte più piccola di materia, vi deve essere assenza di materia. Cioè tra atomo ed atomo deve esservi vuoto. Ma, mentre la materia nelle sue varie forme e stati di aggregazione la conosciamo del vuoto non sappiamo nulla perché non lo vediamo, non lo osserviamo, non abbiamo esperienza di esso. Gli antichi addirittura pensavano che vi fosse da parte della natura l’horror vacui, la paura di questo supposto vuoto. Sembra quindi che ammettere gli atomi sia ammettere del vuoto che almeno li separi.
La polemica sull’esistenza del vuoto è molto antica; essa risale almeno all’antica Grecia. Svariati filosofi, con argomentazioni del tutto differenti, ebbero modo, ora, di affermare l’esistenza del vuoto (è il caso di Leucippo, di Democrito, di Anassimandro, di Platone, dei pitagorici), ora, di negarla recisamente (è il caso di Anassagora e di Aristotele).
Senza entrare anche qui nelle sottilissime disquisizioni che accompagnarono la polemica, cerchiamo di coglierne l’aspetto essenziale, quello che ruota intorno ad un’altra storica polemica: tra continuità e discontinuità della materia.
L’inizio della storia risale ad un filosofo chiamato Zenone (V secolo a.C.) che lavorò nell’antica Elea (situata nell’attuale Lucania) e che si divertì a costruire dei paradossi che misero al duro lavoro molti ingegni del passato. Il più famoso paradosso di Zenone è quello di Achille, l’eroe omerico, e la tartaruga. Vediamolo.
Come introduzione a questo paradosso possiamo darne un altro: l’impossibilità per un viandante di raggiungere una data meta. Supponiamo che il tragitto da percorrere sia un segmento AB. Chi parte da A, prima di arrivare a B dovrà aver percorso la metà AC dell’intero tragitto; prima di percorrere AC dovrà aver percorso la sua metà AD; prima di percorrere AD dovrà aver percorso la sua metà AE; e così via all’infinito. Conseguentemente ci si avvicina sempre più a B senza raggiungerlo mai.
Stesso discorso per Achille e la tartaruga. Il “pié veloce” compete in una gara di corsa con una tartaruga. Naturalmente, data la sua prestanza, concede a quest’ultima un vantaggio rispetto alla meta B. Quando Achille parte da A per arrivare a T dove si trova la tartaruga, quest’ultima si troverà in T’; quando Achille sarà arrivato in T’ la tartaruga si troverà in T”; e così via. Achille si avvicinerà sempre più alla tartaruga senza raggiungerla mai.
E paradossi di questo tipo Zenone ne costruì svariati. A noi basta raccontarne altri due, il paradosso del segmento e quello della freccia, per trarre alcune conclusioni.
Sia dato un segmento. Possiamo pensarlo costituito da infiniti punti senza dimensioni o da infiniti punti con dimensioni. Ma, secondo Zenone, se si sommano infinite quantità che hanno per dimensione zero, si ottiene per risultato lo zero. Viceversa, sommando infinite quantità con dimensioni otteniamo un oggetto infinito. In ambedue i casi non abbiamo il segmento.
Una freccia scagliata da un arco occupa in ogni istante (indivisibile) uno spazio uguale alla propria lunghezza e dunque è ferma in quel luogo; ciò vuol dire che, istante per istante, la freccia è immobile, e quindi è sempre immobile. E quindi ancora il movimento non esiste.
Sembrano sciocchezze ma su queste sciocchezze si è costruito il raffinato pensiero greco e quindi romano e quindi occidentale. Riferendoci al paradosso del segmento è chiaro che siamo di fronte alla comprensione di quello che chiamiamo punto matematico. E’ una semplice definizione che utilizziamo nel gioco della matematica. Con questo punto possiamo costruire sia segmenti che rette perché così è scritto nelle regole del gioco. Servono infiniti punti per costruire un segmento ed infiniti punti per costruire una retta, infiniti punti per fare un piano o per realizzare uno spazio. Diverso da questo punto è il punto materiale con il quale possiamo costruire un oggetto infinito disponendo di un’infinità di questi punti, ma se vogliamo costruire un segmento materiale possiamo solo pensare di avere un numero finito di questi punti. La differenza è sottile ma comprensibilissima. Quando facciamo la matematica noi, da beceri materialisti quali siamo, abbiamo bisogno di aiutarci con dei disegni. E così disegniamo un segmento. Questo ci aiuta ma non ha niente a che vedere con il segmento matematico che, semplicemente, non può essere disegnato ma va solo immaginato. E ciò vale per tutti gli enti della geometria che è pura e meravigliosa astrazione che noi rendiamo volgare nel disegnarla. Lavoriamo con questi enti astratti per poter descrivere la realtà. E’ il modo migliore che è stato trovato e funziona perfettamente.
Il paradosso della freccia pone con efficacia il problema della definizione del movimento. È chiaro che in un dato istante non si ha moto. Per poter parlare di moto si deve costruire una corrispondenza biunivoca tra punti dello spazio e istanti di tempo. Se, a diversi istanti di tempo, l’oggetto occupa lo stesso punto nello spazio, si dice che questo oggetto è immobile. Se, a diversi istanti di tempo, l’oggetto occupa punti diversi nello spazio, si dice che l’oggetto è in moto. In definitiva, dire che la freccia è ferma “a ogni istante” non significa dire che essa è “sempre” ferma. Più in generale si può dire che ha senso parlare di velocità solo quando si considerino due luoghi dello spazio occupati in due tempi diversi da un dato oggetto. Se poi, come sembra più attinente con il paradosso di Zenone, si vuole parlare di velocità istantanea, ecco che c’imbattiamo in un classico concetto limite (problema di infinitesimi) che riguarda studi di analisi matematica e che, nella storia furono risolti solo da Newton e Leibniz (XVII secolo).
Una possibile soluzione ai paradossi di Zenone venne fornita da Democrito con l’ammissione dell’esistenza degli atomi come ultimi costituenti la materia. Prendiamo ad esempio il paradosso del segmento e, visto quanto sosteneva Zenone, viene subito da chiedersi: Allora cos’è un segmento? A questo punto interviene Democrito distinguendo tra punti matematici (con i quali come ho già detto ci si può fare una matematica, e punti fisici (gli atomi) con i quali si può descrivere la relatà. I segmenti matematici sono costituiti da infiniti punti senza dimensioni, i segmenti fisici sono costituiti da un numero finito di punti fisici con dimensioni, da un numero finito di atomi.
La prima introduzione del concetto di atomo fu più o meno quella che ho descritto. Ma l’ammissione di atomo prevedeva, delle conseguenze che trascendevano le disquisizioni da cui nasceva. Prevedere un atomo, un granulo inscindibile di materia, e prevederne un altro è ammettere l’esistenza di un elemento di separazione tra l’uno e l’altro. E, poiché tutta la materia è costituita da atomi, non potrà essere materia quella che separa due atomi, ma assenza di materia, cioè vuoto. Ecco quindi che il vuoto diventa un elemento indispensabile per l’ammissione di una struttura discontinua della materia.
Senza fare ricerche sofisticate per complicare le cose, è a tutti noto che la prima formulazione atomistica, in chiave esclusivamente speculativa, furono elaborate dai filosofi greci Leucippo e Democrito tra il V ed il IV secolo a. C. Queste elaborazioni furono poi riprese, modificate ed ampliate da Epicuro nel III secolo a. C. e dal poeta romano Lucrezio che le riportò nella sua opera De rerum natura (Sulla natura delle cose) del I secolo a. C.
Leucippo e Democrito impressero una svolta densa di conseguenze al problema della continuità o discontinuità della materia. Furono loro che precisarono la questione del vuoto, in stretta connessione con quanto era stato proposto in termini di paradossi da Zenone.
Osservando diversi fenomeni, Democrito ne cercava la spiegazione. Ecco per esempio l’acqua: riscaldata si trasforma in un vapore invisibile e si dissolve; come spiegare questo fenomeno? E’ chiaro che tale proprietà dell’acqua deve avere una qualche relazione con la sua struttura interna. O ancora: perché sentiamo l’odore dei fiori a distanza? Perché il fulmine passa attraverso i muri delle case come le voci? Riflettendo su questioni di tale natura ed anche per rispondere ad alcuni quesiti sull’infinito che erano stati posti da Zenone, Democrito giunse alla conclusione che la materia deve essere discontinua e formata da particelle invisibili ed indivisibili da cui il nome atomi.
Secondo Democrito esistono solo gli atomi e lo spazio vuoto, tutto il resto è opinione. Gli atomi hanno dimensioni, sono eterni ed infiniti in numero, diversi tra loro solo per la grandezza, la forma ed il peso; essi si muovono nello spazio infinito per la loro gravità, ed i più grandi e pesanti cadono più velocemente dei più piccoli e leggeri. L’urto ed il rimbalzo producono un continuo turbinio che forma un numero infinito di mondi. Tutte le cose nascono per l’aggregazione degli atomi, muoiono per la loro disgregazione; solo gli atomi, eterni, non nascono né muoiono. Per Democrito gli atomi sono nude forme, schemi o idee, cioè, secondo il significato attribuito a questi termini dai matematici greci, mere entità geometriche, dotate solo di estensione e prive perciò di tutte le qualità che i nostri sensi proiettano nella realtà fisica. Tali qualità, in effetti, sono risposte date dall’occhio, dal naso e dagli altri organi sensibili, quando questi vengono stimolati dagli atomi: ad esempio gli atomi angolosi, a molte code o punte, pungendo il palato, provocano in questo la sensazione dell’acido; quelli sferici, al contrario, solleticano piacevolmente la lingua ed il palato, suscitandovi l’impressione del dolce. La figura seguente ricostruisce alcuni possibili atomi secondo Democrito.
Con questi pensatori, per la prima volta s’intuisce un mondo costituito da corpuscoli (atomi) indivisibili. E proprio per denotare l’effettiva individualità di un atomo si postula l’esistenza di un vuoto che risulti elemento di separazione tra atomo e atomo. Si esce quindi dall’equivoco di corpuscoli costituenti una materia continua. La materia è ora discontinua; essa risiede nei piccolissimi e indivisibili atomi che sono separati da vuoto. La materia che ci appare estesa e continua è in realtà discontinua. È un qualcosa di poroso, con pori vuoti tra atomo e atomo. Le proprietà della materia sono poi le proprietà dei singoli atomi che la costituiscono (ciò si può intendere con la visione moderna che abbiamo di atomo: un atomo di rame è la più piccola entità che possiede tutte le proprietà del rame). Le forme degli atomi sono responsabili di alcune qualità secondarie (colore, sapore…) che noi osserviamo. Se, ad esempio, una sostanza è costituita da atomi sferici, essa ci darà la sensazione del dolce accarezzandoci dolcemente la lingua. Al contrario, se una sostanza è acida dovrà essere costituita da atomi a molte punte che, penetrando nella bocca, la “pungono” in varie partì dandoci la sensazione di acido. Il calore è invece spiegato con l’ammissione che il fuoco sprigioni degli atomi velocissimi; per render conto della loro estrema velocità questi atomi devono essere di forma sferica, la forma che meglio riesce a muoversi negli spazi vuoti lasciati da altri atomi. Se si volesse poi una spiegazione della maggiore o minore “gravità” (leggi peso specifico) di dati corpi, la si ritroverebbe nella minore o maggiore presenza di spazi vuoti tra atomo e atomo. E questa materia, l’universo, come sarebbe nata, come si sarebbe organizzata? Al principio, secondo Democrito, solo atomi e moto. Un’infinita varietà di atomi per forma e dimensioni (per Democrito è pensabile l’esistenza di un atomo grande come un mondo), in moto eterno nello spazio infinito, vuoto e privo di direzioni privilegiate. Moto, quindi, in tutte le direzioni dello spazio (è interessante osservare che in queste che parrebbero inoffensive affermazioni vi è un universo di problemi. Gli stessi seguaci futuri dell’atomismo democriteo si sentiranno in dovere di modificare le vedute del maestro.
Il problema era essenzialmente il seguente: che cosa fa muovere gli atomi? Poiché non vi era nessuna apparente ragione di ciò, contro le dure critiche aristoteliche Lucrezio assegnò agli atomi la proprietà del peso: gli atomi cadevano all’infinito verso il basso – la terra – e solo deviazioni da questa verticale – clinamen – permettevano una serie di reazioni che avrebbero originato tutto ciò che ci circonda. Con questa sostanziale modifica se ne fa strada un’altra: la reintroduzione di direzioni privilegiate nello spazio, alto e basso, su e giù: come si vede, l’elaborazione lucreziana rappresenta un sostanziale passo indietro rispetto a quella democritea). Questo moto di atomi in tutte le direzioni fa sì che atomi diversi vadano a urtarsi; quando l’urto non è centrale, i due o più atomi che si sono urtati iniziano a girare l’uno intorno all’altro; altri atomi vanno ad aggiungersi a questa specie di vortice finché non si formano i mondi che ci circondano; mondi che, così come sono stati generati, possono corrompersi.
In definitiva: atomi non tali per la loro piccolezza ma per la loro indivisibilità, estesi, indivisibili, immutabili e impenetrabili, differenti tra loro solo per forma e dimensioni, qualitativamente uguali, in eterno moto nel vuoto lungo tutte le direzioni dello spazio; il moto di questi atomi è alla base di tutti i mutamenti sostanziali e qualitativi che osserviamo; un atomo non è né caldo, né freddo, né bianco, né dolce; di queste sensazioni, che sono soltanto soggettive, sono responsabili gli aggregati di atomi.
Questo modo di intendere la costituzione della materia, pur avendo notevole successo all’epoca, fu immediatamente soppiantata dalla visione aristotelica che richiedeva una astrazione molto minore e risultava molto più comprensibile. Aristotele (IV° secolo a. C.) liquidava la faccenda con osservazioni del tipo: “Se l’aria ed il fuoco fossero fatti di piccole particelle solide, come potrebbero innalzarsi? Esse si rovescerebbero piuttosto sulla terra come una pioggia di ciottoli!“. Questo ragionamento era molto più legato all’empirismo ingenuo. La spiegazione delle cose con le cose ebbe maggior successo e, piano piano, Democrito fu dimenticato. Nessuno più parlò di atomi finché, durante il Rinascimento (2000 anni dopo!), non si riscoprirono le cose sostenute da Democrito, più per come erano state raccontate da altri che per le opere originali, tutte praticamente perdute.
Abbiamo ora accennato ad una delle obiezioni di Aristotele alla teoria di Democrito. Ma le obiezioni che Aristotele mosse a questa teoria erano essenzialmente di due tipi: la prima alla quale ho già accennato, se tutti gli atomi sono fatti di materia, com’è possibile che esistono atomi leggeri ed atomi pesanti? come è cioè possibile che vi sia il fuoco che s’innalza e la pioggia che cade? gli atomi di fuoco non cadrebbero anche essi al suolo come una pioggia di ciottoli? L’altra obiezione era più pertinente all’esistenza del vuoto e su di essa ci soffermeremo di più.
Uno degli elementi portanti della teoria del moto violento (moto provocato dall’uomo distinto dal moto naturale) di Aristotele è che un oggetto continua a muoversi fino a quando un motore lo sospinge. Così, se scagliamo un sasso, esso continua a muoversi con il seguente meccanismo: il sasso taglia l’aria; l’aria tagliata si richiude dietro il sasso sospingendolo. Scrive Aristotele nella sua Fisica: “perché l’aria, spinta, spinge a sua volta con un moto più veloce di quello spostamento del corpo spinto in virtù del quale il corpo stesso viene spostato verso il suo proprio luogo”. E se non ci fosse l’aria? se cioè vi fosse vuoto? Conseguentemente a quanto fin qui sostenuto, il sasso non potrebbe muoversi. E, come il sasso, nessun oggetto sarebbe in grado di muoversi in presenza di vuoto. Scrive Aristotele:
“… non è possibile che neppure un solo oggetto si muova, qualora il vuoto esista.”
Ma anche supponendo che il vuoto esista, perché un oggetto mosso dovrebbe fermarsi qui piuttosto che lì? E perché dovrebbe fermarsi? Secondo Aristotele si verificherebbe l’assurdo che:
” … il corpo o dovrà essere in quiete ovvero necessariamente sarà spostato all’infinito …“
E gli assurdi non finiscono qui. Nel caso della caduta dei corpi, secondo Aristotele in accordo con il resto della sua fisica,
” … Se si ammettesse il vuoto, tutti i corpi avrebbero la medesima velocità [di caduta]: il che è impossibile.“
E’ interessante osservare come alcune delle conoscenze della fisica che noi oggi accettiamo risultano qui esattamente ribaltate. E Aristotele non era un pazzo ma un attento osservatore della natura e quanto scriveva rispondeva a quanto l’osservazione (ma non l’esperienza) mostrava e nessun fatto, fino a Galileo, era servito a smentire le sue teorie.
Nei secoli che seguirono solo pochi elementi andarono ad arricchire questo dibattito, essenzialmente l’osservazione che l’aria oppone resistenza al moto, anziché agevolarlo ed il fatto che l’aria pesa. Il primo critico della teoria del moto di Aristotele fu Giovanni Filopono (VI secolo d.C.). Egli sostenne che, se si lancia un proietto
“è necessario che una certa potenza motrice incorporea sia ceduta al proiettile dallo strumento che lo lancia; l’aria non contribuisce affatto a tal moto, e vi contrasta ben poco…“.
Ma la fisica aristotelica, dopo alterne vicende, riuscì a riprendere vigore e si affermò come una sorta di verità immutabile e quasi religiosa. Più o meno in questi termini la questione era arrivata al secolo di Galileo, secolo nel quale il problema venne definitivamente risolto, almeno nell’ambito della scienza.
Nel 1647, quasi in contemporanea con il processo a Galileo, vi fu uno studioso francese, Pierre Gassendi che negò pubblicamente l’aristotelismo imperante e riportò alla luce il pensiero di Democrito, assumendolo come sistema filosofico. Il sistema di Democrito fu anche modificato da Gassendi che avanzò nell’elaborazione democritea nella parte riguardante gli stati di aggregazione della materia ed i cambiamenti di stato, anche se, naturalmente, siamo ben lontani da una teoria fisica. Egli riteneva che gli atomi dei corpi solidi dovessero possedere dei piccoli ganci (si pensi alle lettiere metalliche) che si attaccavano gli uni agli altri. In tal modo i metalli e le rocce acquistavano durezza e robustezza. Tali ganci mancavano per materiali aeriformi …. Ad un certo punto della sua opera egli propugnò perfino l’esistenza di una forza fisica che agiva sugli atomi facendoli aderire gli uni agli altri come altrettante piccole calamite.
Anche Bacone, Galileo, Hooke, Boyle, pur ritenendo probabile una struttura atomica della materia, non potendo sostenerla sperimentalmente, non fecero alcun tentativo per sviluppare una qualche teoria matematica Devono passare altri 100 anni perché la teoria atomica riacquisti un poco di forza, ad opera del fisico francese Daniel Bernouilli (1738) che sviluppò una teoria matematica che aveva gli atomi come principali interpreti.
Nel 1662 il chimico britannico Robert Boyle aveva trovato empiricamente la legge che ancora oggi porta il suo nome: in un gas ad una data temperatura il prodotto della pressione per il volume è costante (la pressione ed il volume sono tra loro inversamente proporzionali). E ciò vuol dire che, se si dispone di un gas in un recipiente, raddoppiando la pressione P su di esso si dimezza il volume V; triplicando la pressione P, il volume si riduce ad un terzo; …
In formula:
P.V = K,
dove K è una costante. E questa legge la abbiamo già incontrata nella Parte I.
Ebbene, nel 1738 D. Bernouilli ritrovò la stessa legge per via esclusivamente teorica a partire da ipotesi che avevano al centro la costituzione atomica del gas in considerazione. Cercherò di ricostruire i conti fatti da Bernouilli avvertendo che inserirò elaborazioni e perfezionamenti posteriori, ricavati principalmente da Joule e Maxwell intorno alla metà dell’Ottocento.
Le ipotesi da cui partì Bernouilli sono le seguenti:
1) un gas è costituito da atomi in continuo movimento;
2) questi atomi, semplici sferette, sono piccole particelle sferiche il cui volume è trascurabile rispetto al volume totale occupato dal gas;
3) gli atomi non esercitano forze tra loro a distanza (né si attraggono né si respingono);
4) quando un atomo collide con un altro atomo o con la parete del recipiente la collisione è perfettamente elastica (non si perde energia).
Un’idea di quanto Bernouilli pensava discende proprio da una figura che egli stesso riporta:
sono proprio le molte particelle costituenti il gas che, con i loro urti sulla parete superiore del recipiente sostengono il peso P.
A partire da queste ipotesi, con dei conti molto semplici che noi tralasciamo Bernouilli ritrovò la Legge che Boyle aveva trovato sperimentalmente per via esclusivamente teorica: Era un ottimo indizio che toglieva l’atomo dalle speculazioni filosofiche e lo portava dentro una possibile realtà fisica.
A partire da questo momento, pur in una situazione di gravi difficoltà sperimentali che permettessero un approccio diretto alla conoscenza del mondo dell’infinitamente piccolo, si intensificarono le ricerche sull’atomo, sulla sua realtà, sulle sue funzioni e proprietà, …. Esperienze su esperienze si accumularono e, soprattutto, gli apparati sperimentali si perfezionarono e divennero sempre più sofisticati.
LA NASCITA DELLA SCIENZA ELETTRICA
Su sentieri diversi si erano scoperti, in una remota antichità, alcuni fenomeni chiamati elettrici. Il nome derivava dal fatto che il fenomeno riguardava pezzi di ambra (una resina fossile) che in greco si chiama electron. Ebbene strofinando dell’ambra con un panno essa acquistava la proprietà di attrarre piccole pagliuzze. Dai tempi di Talete di Mileto (VI secolo a.C.) a cui viene assegnata la scoperta, passarono circa 2400 anni prima che il fenomeno fosse ripreso con pochi cenni dall’inglese William Gilbert che introdusse il termine di forza elettrica che si esercita tra ambra e piccoli oggetti attratti (in analogia alla forza magnetica che si esercita tra magnete e pezzi di ferro che egli studiava). Seguirono varie ricerche finché non fu realizzata dal tedesco Otto von Guericke nel 1660 la prima macchina che produceva in gran quantità l’elettrizzazione dell’ambra, la macchina elettrostatica, quella che produce grossi scintilloni (e quelle scariche elettriche di cui parlavo all’inizio). Da qui iniziò la rincorsa a macchine elettrostatiche sempre più raffinate e la scoperta che era possibile produrre elettricità non solo mediante strofinio ma anche mettendo a contatto un oggetto caricato di elettricità (ad esempio per strofinio) con uno non carico, oppure avvicinando un oggetto carico di elettricità ad un altro. Si scoprì (l’inglese Gray, 1732) che vi sono dei materiali che conducono questa elettricità (i conduttori) e degli altri che non la conducono (gli isolanti). L’anno seguente il francese Du Fay scoprì che vi sono due tipi di elettricità la resinosa (quella che chiamiamo negativa) e la vetrosa (quella che chiamiamo positiva) quindi trovò che i corpi elettrizzati di elettricità vetrosa attraggono i corpi elettrizzati con elettricità resinosa e respingono gli altri corpi elettrizzati con elettricità vetrosa (e ciò dice in breve che corpi elettrizzati dello stesso segno si respingono e corpi elettrizzati di segno opposto si attraggono). I passi avanti erano notevoli ma tutti di tipo empirico, non si era fatto alcun passo nella comprensione dei fenomeni in gioco. I fenomeni elettrostatici restavano qualcosa di transitorio, esistevano in modo da affascinare le corti dei vari principi e sovrani ma la loro peculiarità era una scarica elettrica per breve tempo e poi basta. Finalmente nel 1800 Alessandro Volta realizzò la pila che metteva fine alla transitorietà elettrostatica per passare all’elettricità (o corrente) continua attraverso un semplice apparato da lui realizzato, la pila. Questo oggetto era costituito da due metalli (opportunamente sistemati), rame e zinco, che pescavano in un composto chimico situato in un piccolo recipiente di vetro. Ai capi dei due metalli si avevano, da una parte l’elettricità positiva e dall’altra l’elettricità negativa. Questa poteva fluire, finché non si era scaricata la pila, se si mettevano in contatto con un filo conduttore i due metalli. La pila sarà la base da cui partirono innumerevoli ricerche che fondarono la scienza elettrica, fino alla corrente alternata e ad una vastità incredibile di fenomeni.
Per ciò che ora ci interessa occorre solo accennare ad un’altra fondamentale scoperta, quella che per la prima volta rese quantitativi i fenomeni elettrici. La scoperta fatta dal francese Augustin Coulomb tra il 1785 ed il 1789, stabilisce qual è la forza che si esercita tra due piccole sferette caricate di elettricità. Esse si attraggono o si respingono (si attraggono se sono caricate di segno opposto e si respingono se sono caricate dello stesso segno) con una legge del tipo di quella di Newton di Gravitazione Universale (alla quale ho accennato nella Parte I) che, anche qui, riporto solo in figura
La legge di Coulomb. Due quantità di elettricità qualunque, q1 ed q2, si attraggono con una forza F1 o F2 che aumenta all’aumentare del prodotto tra le due quantità di elettricità e diminuisce di molto (con il quadrato) della distanza r tra i centri delle due quantità. La Kc che compare nella formula è una costante chiamata Costante di Coulomb.
ANCORA ATOMI
Possiamo ora riprendere le questioni relative all’atomo. Sul finire dell’Ottocento il britannico J.J. Thomson scoprì una piccolissima particella che doveva essere tra i costituenti dell’atomo, l’elettrone. I problemi si complicarono perché l’elettrone mostrava di avere una carica elettrica negativa mentre la materia di cui l’elettrone è parte non ha proprietà elettriche, ma è neutra. Ciò portò a concludere che nella materia dovevano esservi anche particelle con carica elettrica negativa di modo che, nel complesso, la materia fosse, come è, priva di carica. Si iniziò allora a pensare che la materia fosse costituita da atomi neutri ma formati da particelle negative e da una carica positiva diffusa nell’intero atomo, visto che non i trovavano particelle cariche positivamente. Ancora J. J. Thomson si mise a studiare il problema e nel 1904 portò a compimento il suo modello di atomo. Tale modello atomico era pensato come costituito da una carica elettrica positiva distribuita uniformemente in una sfera piccolissima, neutralizzata da un conveniente numero di elettroni immersi nella stessa sfera e liberi di muoversi in essa:
Nel 1911 E. Rutherford, che era stato assistente di Thomson, suggerì, in base all’esperienza, che in un dato atomo la carica positiva e la maggior parte della massa fosse concentrata in un nucleo di dimensioni estremamente ridotte; la carica negativa, formata dagli elettroni è distribuita nel resto del volume atomico che risulta essere quindi in gran parte vuoto (se un elettrone atomico girasse intorno al Duomo di Milano, il nucleo non sarebbe più grande della capocchia di uno spillo).
In (a) è schematicamente disegnato un pezzo di materia pensato con atomi secondo il modello di J.J. Thomson; in (b) lo stesso pezzo di materia con atomi secondo il modello di Rutherford.
In definitiva, secondo Rutherford, si ha un nucleo positivo immerso in una atmosfera poco densa di elettroni, o meglio, si ha un sistema solare in miniatura con il nucleo centrale ed un certo numero di elettroni che gli ruotano intorno trattenuti dall’attrazione dovuta alla forza di Coulomb, così come i pianeti ruotano intorno al Sole, sottoposti all’attrazione gravitazionale. Alla periferia dell’atomo, questi elettroni negativi neutralizzano l’effetto della carica positiva del nucleo; così che, complessivamente, l’atomo è neutro. Questo significa che il nucleo ha un numero di cariche elementari positive uguale al numero degli elettroni. Osservo a parte che Rutherford ha scoperto il nucleo dell’atomo.
Siamo agli inizi del Novecento e la fisica aveva fatto passi avanti clamorosi in tutti i campi. Non entro per ora in questi dettagli (fondamentali) ma faccio tagli brutali per arrivare ad un modello atomico esteriormente simile a quello di Rutherford ma concettualmente differente in modo sostanziale. Il modello di Rutherford fu subito messo in discussione e scartato perché cozzava contro alcune leggi della fisica (in particolare con il fatto che le cariche elettriche in moto circolare emettono energia e non si sa bene chi dà questa energia agli elettroni).
Nel 1913 il danese N. Bohr apportò alcune correzioni all’atomo di Rutherford in modo che esso potesse rispondere ai fatti sperimentali e fosse in grado di risolvere le gravi difficoltà cui esso si era scontrato. Queste correzioni erano basate sull’accettazione della teoria dei quanti che Einstein aveva elaborato nel 1905 e sulla sua applicazione alla struttura degli atomi ma sembravano del tutte ingiustificate da un punto di vista teorico. Essenzialmente Bohr basò il suo modello atomico su due postulati non giustificati (il mio professore di fisica all’Università diceva: Se li è inventati), se non per rendere conto dei fatti sperimentali. Il primo di questi postulati, conseguenza diretta dell’applicazione dei quanti alla struttura atomica, afferma che in un atomo gli elettroni non possono assumere qualsiasi valore dell’energia ma solo certi valori definiti (si usa dire che in un atomo l’energia è quantizzata). Ciò significa qualcosa di molto importante: solo su certe orbite elettroniche, a distanze determinate dal nucleo, possono ruotare dagli elettroni e ad ogni orbita corrisponde un determinato valore dell’energia che quell’elettrone possiede. Quindi un elettrone in un atomo non può avere un qualunque valore dell’energia ma solo determinati valori multipli interi di una determinata quantità.
II secondo postulato riconosce che l’elettrone orbitale non può emettere alcuna energia a meno che non cambi orbita (cioè livello energetico); questo passaggio non può avvenire, quindi, gradualmente, ma si ha un vero e proprio salto energetico (qui si scavalcano le obiezioni a Rutherford con una semplice affermazione, piena però di conseguenze). Quando, per un qualche motivo, un elettrone salta da una orbita ad energia più alta (livello energetico iniziale: i) ad una energia più bassa (livello energetico finale: f), la sua perdita di energia è emessa sotto forma di quanto di luce (oggi meglio conosciuto come fotone). Si ha così: ΔE = Ei – Ef = hν, dove Ei è l’energia corrispondente all’orbita ad energia più alta, Ef quella corrispondente all’orbita ad energia più bassa ed hν è l’energia che corrisponde al fotone (è il prodotto tra una costante h e la frequenza ν che corrisponde a quel fotone). La relazione scritta significa che un elettrone nel passare da una certa orbita ad una ad energia più bassa perde energia, e questa perdita di energia (per la legge di conservazione) la si ritrova sotto forma di emissione di radiazione (emissione di un quanto di radiazione). Nel caso il salto avvenga in senso contrario a quello descritto fin qui si ha assorbimento di un quanto di radiazione hν dall’esterno.
FENOMENI MAGNETICI
Abbiamo accennato alla nascita dell’elettricità riferendoci alle proprietà dell’ambra strofinata di attrarre pezzetti di paglia, da cui il nome electron, elettricità. Fenomeni analoghi a quelli elettrici erano di particolari minerali ferrosi noti come pietra di Magnesia (e litos Magnetis, dal nome della città che si trovava alle falde del monte Sipilo, nell’Asia Minore) che presentavano la proprietà di attrarre a sé pezzettini di ferro. Talete riteneva che il magnete fosse vivo perché in grado di far muovere le cose e che avesse un’anima. Anche qui, comunque, il nome magnete, da cui il termine fenomeni magnetici, discende dal nome della città di Magnesia ed anche qui prima di capire il fenomeno occorsero i circa 2400 anni dei quali abbiamo parlato per i fenomeni elettrici. Nel caso magnetico comunque una prima applicazione pratica si ebbe nella bussola.
Le notizie che riporto sono in gran parte incerte, vaghe ed a volte contraddittorie, come è sempre quando non si dispone di documenti. Fornisco quindi solo alcuni cenni per seguire alcune tracce della storia della vicenda.
Una delle proprietà che venne scoperta (?) era quella per cui i magneti di forma allungata, barrette o aghi magnetici, se sistemati in condizioni di orientarsi liberamente su di un piano orizzontale si disponevano spontaneamente dirigendo sempre una delle due estremità (per questo chiamata nord dell’ago) verso il nord geografico mentre l’altra risultava diretta verso il sud geografico (sud dell’ago). Tale proprietà risulta sia stata sfruttata in Cina intorno al IV secolo d. C. con la realizzazione di bussole (dal greco puxis che in latino diventa buxis e che, nelle due lingue, vuol dire “scatola di legno di bosso“) per orientarsi nella navigazione (fatto che permetteva il superamento del bordeggiare per inoltrarsi in mare aperto anche in condizioni di non visibilità del cielo ma SOLO con mare calmo). Esse erano in genere costituite da un recipiente contenente acqua, sulla quale galleggiava un piccolo oggettino di legno (una canna cava), spesso forgiato artisticamente con la forma di un drago, di un pesce, …, vincolato a ruotare liberamente intorno all’asse verticale centrale del recipiente. All’interno di tale oggetto era disposto un ago magnetico che, orientandosi come accennato, orientava anche l’oggetto, che quindi si disponeva indicando la direzione del nord.
Tale scoperta sembra sia arrivata in Europa, con l’intermediazione araba, tra l’XI ed il XII secolo (occorre però osservare che furono ancora gli stessi arabi a trasferire la bussola europea, da poter usare anche con mare mosso, in Oriente e probabilmente nella stessa Cina). Sull’introduzione della bussola in Europa vi è molta leggenda che occorre ridimensionare ad evitare errori clamorosi. Fu probabilmente nel XVI secolo che tali leggende si affermarono a seguito dell’errata interpretazione di un testo, scritto nel 1543 da Flavio Biondo, storico di Positano, vicino ad Amalfi, secondo il quale sembrava che marinai amalfitani fossero stati i primi a usare e anche a perfezionare la bussola dei Cinesi. La tradizione popolare, con una strana deformazione del nome, attribuì a questo Flavio l’invenzione della bussola.
Una prima notizia certa, e non in ordine cronologico, è che due commentatori della Divina Commedia del XIV secolo, Francesco da Buti e Giovanni da Ferravalle, spiegavano il verso 29 del canto XII del Paradiso in tal modo:
“Hanno li naviganti uno bussolo che in mezzo è imperniato una rotella di carta leggera, la quale gira su detto perno; e la detta rotella ha molte punte, et ad una di quelle che vi è dipinta una stella, è fitta una punta d’ago; la quale punta li naviganti quando vogliono vedere dove sia la tramontana, imbriacano con la calamita”
E’ la prima descrizione nota di una bussola che si avvicina a quella moderna ed in uso in Italia: l’ago magnetico, imperniato al centro della scatola che lo contiene, gira solidale con la rosa dei venti (la sospensione cardanica, una normale bussola montata su un giroscopio, che permette che l’ago mantenga sempre il medesimo piano di rotazione, qualunque sia l’oscillazione della nave, sarà introdotta nel XVI secolo). Da notare che in Italia vi fu una sottovalutazione della bussola almeno fino al XV secolo perché era ritenuta uno strumento della magia nera.
Una antica bussola a sospensione cardanica (circa 1570). Come in un giroscopio, gli anelli metallici che sostengono la bussola possono ruotare o oscillare a piacere, mentre la bussola, che nella sua parte più bassa è zavorrata, resta immobile all’interno.
Tra il secolo XV ed il XVII vi furono molti perfezionamenti tecnici in svariati campi e particolarmente agli strumenti della navigazione, con particolare riferimento alla bussola in epoche che videro estendersi la navigazione su rotte non più bordeggianti la costa. Quando si tratta di affrontare il mare aperto sapendo che la costa è da ogni parte lontana la strumentazione, e tra questa la bussola, diventa fondamentale. Per quanto si sa sembra sia stato Cristoforo Colombo il primo ad osservare la declinazione magnetica (angolo formato tra il nord geografico ed il nord magnetico) il 13 settembre del 1492 quando, trovandosi a 200 miglia marine dall’isola di Ferro, determinò in 5° e 30′ verso occidente l’angolo che l’ago magnetico fa con il meridiano. Molto probabilmente, anche in precedenza, ci si era accorti del fenomeno a partire dai costruttori di meridiane solari i quali segnavano l’angolo formato tra la direzione dell’ago magnetico e l’ombra dello gnomone a mezzogiorno come risulta da alcuni esemplari conservati in musei tedeschi. E se conoscevano il fenomeno i fabbricanti di meridiane, a maggior ragione, si doveva conoscere in mare.
Successivamente (1644) si scoprì che la declinazione magnetica varia anche nel tempo in un medesimo luogo. Ignorando quest’ultimo fatto i navigatori credettero fino a tutto il XVIII secolo di aver risolto con la conoscenza della declinazione magnetica in ogni luogo il problema della determinazione della longitudine di quel luogo ma la cosa risultò del tutto errata. Altro fenomeno legato alla bussola fu di G. Hartmann (1544) e successivamente R. Norman (1576), che scoprirono l’inclinazione magnetica: sospendendo un ago magnetico ad un asse orizzontale passante per il suo centro di gravità, si accorsero che l’ago punta, con vari angoli (molto piccoli), a seconda del luogo, verso il suolo.
Primi studi importanti sul magnetismo furono dello scienziato francese Pierre de Maricourt (mago ed alchimista nato in Picardie, Francia settentrionale, ammirato da Ruggero Bacone e sceso in Italia con Carlo D’Angiò), più noto con la sua denominazione latina di Petrus Peregrinus (presumibilmente per essersi recato in pellegrinaggio a Roma), nel 1269 scrisse Epistula ad Sygerum de Foucaucourt militem, de magnete, un compendio di quello che allora si sapeva sul magnetismo in generale e sul magnetismo terrestre in particolare, che, nell’inevitabile forma manoscritta, ebbe subito larga diffusione tra gli scienziati (fu passato a stampa soltanto nel 1558). Pierre de Maricourt, le cui opere sono andate quasi completamente perdute, descrisse con dettagli la bussola ad ago imperniato, le attrazioni e repulsioni tra poli magnetici, il magnetismo indotto mantenendo un magnete naturale vicino ad un pezzo di ferro, la riproduzione dei magneti allo spezzarli successivamente (se si dispone di una barra magnetica e la si spezza, i due pezzi diventano due magneti indipendenti; continuando a spezzare i magneti si ottengono sempre dei magneti “autonomi”, fatto che mostra che i due poli magnetici risultano inseparabili), come realizzare un buon magnete.
Una importante scoperta di Pierre de Maricourt è la seguente. Si lavori un pezzo di magnetite (il minerale di ferro che ha le proprietà magnetiche naturali) in modo da dargli la forma di un globo. Si disponga poi un ago magnetico su questo globo e si marchi con una linea la sua posizione. Si prosegua sistemando l’ago in posizioni diverse sull’intero globo. Si scopre che le linee segnate sulla magnetite sono dei cerchi che circondano il minerale allo stesso modo dei meridiani sul globo terrestre, cerchi che hanno due punti da parti opposte in cui tutti i cerchi si incontrano allo stesso modo che i punti di incontro dei meridiani sulla Terra indicano il polo Nord ed il Polo Sud della Terra medesima. Colpito da tale analogia, Pierre de Maricourt propose di chiamare i due punti sulla magnetite, individuati come riassunto, poli del magnete. Tali poli godevano di particolari proprietà poiché l’interazione di due magneti dipende solo dalla posizione dei rispettivi poli come se in essi risiedesse l’intera potenza dei magneti. La scoperta dei poli è alla base degli sviluppi successivi di diverse teorie: essi per moltissimi anni hanno giocato un grande ruolo nella filosofia della natura.
Risalgono a questa epoca le prime teorie sul funzionamento della bussola. Una delle più diffuse partiva dalla constatazione sperimentale che un ago magnetico deviava verso una vicina massa ferrosa e giungeva a spiegare il funzionamento della bussola come dovuto alla presenza di grandi masse di rocce ferrose (si parlava di «montagne di ferro») nella zona del polo nord geografico: una supposizione che ben s’accordava con la nota esistenza di ricche miniere di ferro nella penisola scandinava, all’estremo nord dell’Europa. Fu Ruggero Bacone che confutò una parte di tale teoria: dall’osservazione che l’ago magnetico punta a Nord ma anche verso il basso, la supposta grande massa ferrosa che «attirava» l’ago si sarebbe trovata in una imprecisabile regione delle profondità terrestri, sia pure verso il nord, e non in montagne scandinave. Ma vi erano altri teorie che volevano l’intera Terra come se fosse, essa stessa, un gigantesco magnete. Non mi occuperò della cosa, osservando solo che la circostanza di una Terra “magnetica” fu falsificata da Pierre Curie (XX secolo) che mostrò che tutti i magneti perdono le loro proprietà magnetiche al di sopra di una temperatura di circa 760 °C (temperatura di Curie) che è abbondantemente superata immediatamente sotto la crosta terrestre.
Altri contributi e descrizione dei fenomeni vennero da Gilbert (1600), al quale dobbiamo la fondamentale scoperta del perché si orientano gli aghi magnetici o le bussole. La Terra stessa è un gigantesco magnete con i suoi poli sistemati alle massime latitudini sia Nord che Sud. Risulta così spiegato il comportamento della bussola come interazione tra poli dell’ago magnetico e della Terra (in realtà qui vi è un errore storico: non è il Nord dell’ago della bussola che si orienta verso il Polo Nord terrestre; occorrerebbe cambiare uno dei due nomi). Altri ancora scrissero di magnetismo come
Galileo (1632), Descartes (1644), Padre Grimaldi (1665), Newton (1704) ed altri ma senza nessuna novità di rilievo. Gli anni seguenti, fino agli inizi dell’Ottocento, vedranno molto poco nelle discussioni sul magnetismo. L’attenzione è tutta concentrata sui fenomeni elettrici e, solo per analogia ogni tanto vengono richiamati quelli magnetici. In particolare si sente la necessità di passare a qualche relazione formale, a raccontare il magnetismo in termini quantitativi. Coulomb, sul finire del Settecento, accennerà al magnetismo, proprio nel senso ora detto. Il primo però che tentò di dare una legge quantitativa sulla forza che agisce tra due magneti fu il geologo ed astronomo britannico John Michell (fine Settecento). In un suo lavoro del 1750 vi sono varie accurate osservazioni sul magnetismo ed un metodo facile e celere per realizzare magneti artificiali attraverso il meccanismo dell’induzione magnetica. Michell era un fervente newtoniano e andò a scoprire ciò che voleva scoprire, il fatto cioè che le forze agenti tra poli magnetici si comportano come la legge regina di Newton, quella di gravitazione universale (sulla stessa strada si mosse successivamente Coulomb, come abbiamo visto). Egli elaborò una formula simile (a parte la definizione dei poli con p) alla legge di Newton:
(proporzionalità tra poli che interagiscono e dipendenza dall’inverso del quadrato della loro distanza). E’ inutile dire che tale legge, non ha retto a successive e rigorose verifiche sperimentali (e non poteva reggere perché il polo magnetico è inseparabile dall’altro polo che interferisce quando si fanno delle misure) anche se ha avuto il pregio di indicare una strada per rendere la scienza magnetica quantitativa.
Il momento più importante, che dette una svolta clamorosa alla comprensione del magnetismo, si ebbe nel 1820 con una esperienza clamorosa, quella di Oersted. La descriverò tra poco ma prima occorre seguire alcune tappe dello sviluppo dell’elettricità.
LEGGE DI COULOMB. ELETTRIZZAZIONE.
Quanto visto è una sorta di quadro generale di quanto si sapeva più o meno alla fine del Settecento ed inizi dell’Ottocento. Occorre ora vedere come inizia la vera e propria scienza elettrica a partire da quando si iniziò a disporre di una macchina come la pila. Prima però riprendiamo quanto ho solo accennato su Coulomb, colui che per primo introdusse la misura nei fenomeni elettrici. Si conosceva l’esistenza della carica elettrica, di corpi cioè che, in particolari condizioni (ad esempio, strofinati), avevano la proprietà di attrarre altri piccoli corpi. Si sapeva anche che, se si strofinava due pezzetti di ambra e poi si sistemavano l’uno vicino all’altro, si aveva una piccola repulsione tra questi due pezzetti. Insomma, piccole cariche elettriche, in alcune condizioni si attraggono tra di loro ed in altre si respingono. Tutto ciò rientra in quanto abbiamo già accennato: cariche di segno opposto si attraggono mentre cariche dello stesso segno si respingono. Convenzionalmente chiamiamo con il segno + un tipo di carica e con il segno – l’altro tipo. Ebbene, Coulomb si costruì un apparecchio che con grande precisione era in grado di misurare con quale forza due piccole cariche si attraggono tra loro se sono di segno opposto o si respingono se sono dello stesso segno. Tale strumento si chiama bilancia di torsione (una bilancia simile, ma molto più grande, era stata realizzata anni prima da Cavendish per determinare la costante gravitazionale G che figura nella Legge di gravitazione universale di Newton).
Bilancia di Cavendish
Un filo di seta sospeso ha alla sua estremità una barretta perpendicolare al filo. Ad una estremità della barretta vi è una sferetta carica bilanciata all’altra estremità da un contrappeso. Sul filo di seta è fissato uno specchietto che ruota quando ruota il filo. Un raggio di luce, indirizzato sullo specchietto, si riflette andando su una scala graduata. Quando lo specchietto ruota solidalmente con il filo il raggio riflesso si sposta sulla scala graduata. Se si sistema una carica fissa nelle vicinanze della carica sospesa, supponiamo dello stesso segno, si eserciterà una forza repulsiva che fa ruotare (torcere) il filo, quindi lo specchietto ed in definitiva potremo misurare il tutto dal raggio riflesso sulla scala graduata: l’angolo di torsione è proporzionale alla forza torcente.
Da: http://www.liceoberchet.gov.it/ricerche/scienzafirenze/2010_coulomb/coulomb_sito.pdf
Schema della bilancia di torsione da una memoria di Coulomb del 1785
Naturalmente il tutto richiede una grande precisione e tecnica costruttiva a cominciare dal fatto che il tutto doveva essere sistemato dentro un contenitore di vetro per evitare che il movimento dello specchietto sia influenzato, ad esempio, da una corrente d’aria. Deve essere possibile cambiare le cariche e la loro distanza in modo da poter ripetere l’esperienza in differenti condizioni.
Con questo sistema abbiamo introdotto le quantità in elettrostatica ed abbiamo la nuova grandezza carica elettrica q che agisce con attrazioni e repulsioni con altre cariche elettriche e con forze determinate dalla Legge di Coulomb:
Ebbene, in primissima approssimazione, delle cariche elettriche in movimento costituiscono la corrente elettrica.
Arrivati però a questo punto non possiamo far finta di non sapere che esiste l’elettrone come la più piccola carica negativa che si conosce (lo indicheremo con e sottintendendo che è carica negativa). Conosciamo l’elettrone con carica negativa ed il nucleo con carica positiva che costituiscono, in differenti combinazioni di elettroni rispetto ad un dato nucleo, l’atomo. Ogni materiale che conosciamo, sia esso un conduttore che un isolante, è formato dagli atomi o dalle molecole (combinazione tra atomi) che lo costituiscono. Questi atomi o molecole non sono però immobili ma in continuo movimento disordinato, movimento che si accentua sempre più quanto più è elevata la temperatura (ma questo lo sappiamo dalla Prima Parte del lavoro).
Torniamo ora a quel fenomeno che permetteva di caricare elettrostaticamente un oggetto. Abbiamo già detto che alcune sostanze possono essere caricate, abbiamo anche accennato ai modi che sono tre: strofinio, contatto, induzione. Vediamoli.
Strofinio. Se strofiniamo un oggetto con un panno diciamo che quell’oggetto si elettrizza, acquista cioè quelle particolari proprietà che gli permettono di attrarre piccoli oggetti, come palline di carta, pagliuzze, … Questa descrizione è del tutto incompleta. E’ molto più corretto dire che l’oggetto si elettrizza insieme al panno che lo strofina e, fatto importante, si elettrizzano con segni opposti. Se l’oggetto si elettrizza positivamente, il panno si elettrizza negativamente.
Cosa accade? Strofinando forniamo dell’energia all’oggetto e permettiamo ad alcuni elettroni di staccarsi dai loro nuclei per emigrare sul panno. Elettroni che se ne vanno vuol dire che, nell’oggetto, prevalgono le cariche positive dei nuclei di modo che, in definitiva, l’intero oggetto risulta carico positivamente. Gli elettroni che si sono staccati non sono scomparsi ma sono andati a sistemarsi sul panno di modo che, sul panno, prevalgono le cariche negative. La quantità di carica si conserva: tanto è emigrato dall’oggetto quanto ritroviamo sul panno.
Pettinandosi con un pettinino di plastica, quest’ultimo si è caricato ed è in grado di attrarre piccoli pezzi di carta
Quanto ho detto richiede qualche ulteriore spiegazione. Nessuno pensi che si possa elettrizzare un qualunque oggetto spostando i nuclei degli atomi che sono positivi. Questi nuclei sono enormemente più grandi degli elettroni e non si spostano. L’elettrizzazione avviene sempre o per sottrazione di elettroni o per loro aggiunta.
Il come si carica un determinato oggetto (se positivamente o negativamente) dipende da come è fatto dal punto di vista atomico (o molecolare). Questo lo vedremo meglio più avanti ma per ora basti un discorso molto semplice: vi sono sostanze i cui atomi hanno disponibilità di sistemare sulle loro orbite elettroniche altri elettroni (non definitivamente ma per un certo tempo), mentre vi sono alte sostanze che sono più propense a perdere elettroni. Se si strofinano due sostanze che sono propense a perdere elettroni, vi sarà quella che è più propensa dell’altra e sarà quindi quella che si caricherà positivamente (con l’altra che si caricherà negativamente).
E’ quindi lo spostamento degli elettroni, che sono cariche elettriche, che dà origine ad oggetti carichi di un certo tipo. Se lasciamo questi oggetti carichi all’aria libera, dopo un certo tempo (che varia di molto con l’umidità dell’aria), si scaricheranno: prenderanno dall’ambiente circostante gli elettroni che gli mancano o li cederanno ad esso (si tenga sempre coto che in natura si tende all’equilibrio e, a parte casi straordinari, gli oggetti tendono ad essere neutri).
Ritorniamo al nostro oggetto (molto) carico negativamente. Se gli avviciniamo la punta di un cacciavite vedremo una piccola scarica elettrica tra l’oggetto carico e la punta. Questa scarica è tanto maggiore quanto più è carico l’oggetto. Nel caso del fulmine si tratta di strati d’aria, caricatisi enormemente per aver strofinato con altri strati, che scaricano al suolo, meglio se vi è una punta (una persona su un prato, un campanile, una guglia, una qualche protuberanza del suolo, un parafulmine, …), tutta la loro carica. Una scarica elettrica è quindi una corrente elettrica che va da un luogo ad un altro in un tempo brevissimo. Esaurita la scarica è esaurito il fenomeno elettrico.
Contatto. E’ un altro modo per elettrizzare un oggetto che si illustra bene con un disegno. Abbiamo una pallina, sostenuta da un manico isolante (fig. 1), che carichiamo positivamente, ad esempio, strofinandola (fig.2).
fig. 1 fig. 2
Avviciniamo alla pallina carica un oggetto scarico anch’esso sostenuto da un manico isolante fino a metterlo in contatto con la pallina (fig. 3).
fig. 3
Immediatamente questo oggetto si caricherà acquistando parte della carica in eccesso che ha la sferetta. In questo caso, poiché nella sferetta mancano elettroni, vari elettroni dell’oggetto si trasferiranno sulla sferetta in modo che ambedue gli oggetti risulteranno carichi positivamente (fig.4). Sia chiaro che la sferetta resta carica positivamente anche se con meno carica di quella che aveva (ricordo che la carica si conserva).
fig. 4
Sarebbe accaduta esattamente la stessa cosa se avessimo caricato la sferetta negativamente. con l’oggetto che, al contatto, si sarebbe caricato negativamente.
Induzione. Ripartiamo dalla nostra sferetta carica positivamente ed avviciniamogli l’oggetto neutro (fig. 5).
fig. 5
Sappiamo che cariche dello stesso segno si respingono mentre cariche di segno opposto si attraggono. Ebbene qui l’eccesso di carica positiva della sferetta attrarrà gli elettroni dell’oggetto nella parte dell’oggetto più vicina alla sferetta, con la conseguenza che questa parte si caricherà negativamente. Ma, attenzione, questi elettroni vengono a mancare nella parte più lontana dell’oggetto che si caricherà positivamente. In definitiva avremo l’oggetto per metà carico positivamente e per metà carico negativamente, come mostrato in figura 6.
fig. 6
Sembra sia chiaro che, qualunque situazione si abbia, l’elettrizzazione è uno spostamento momentaneo ed istantaneo di elettroni. Elettrizzare, ottenere scariche elettriche e cose del genere rappresentano fenomeni temporanei dai quali non si intravide alcuna possibilità di progresso, di ulteriore comprensione scientifica che permettesse passi in avanti. Resta forse da ricordare che all’inizio si credette che l’elettrizzazione fosse dovuta a fluidi elettrici e che di questi fluidi ve ne fossero due. Come con quanto abbiamo visto per il calore, Lavoisier mostrò che i fluidi, con l’elettricità, non c’entrano nulla.
Altra osservazione riguarda la possibilità di caricare, mediante l’induzione, un oggetto solo del segno opposto alla sferetta inducente. La figura seguente lo mostra in tre passaggi. Nel primo una bacchetta carica negativamente induce la carica in un oggetto parallelepipedo; come sappiamo la parte dell’oggetto più vicina alla bacchetta si carica di segno opposto mentre quella più lontana dello stesso segno; nel secondo si tocca con un dito l’estremità dell’oggetto più lontana dalla bacchetta ed in tal modo, utilizzando della proprietà dell’elettrizzazione per contatto, liberiamo elettroni dall’oggetto; nel terzo abbiamo l’oggetto che resta carico solo del segno opposto alla bacchetta.
fig. 7
Con le cose qui dette, più oltre sarà possibile parlare di alcuni strumenti di misura come gli elettroscopi ed elettrometri.
QUALCHE FORMULA CHE CI AIUTA
Ritorniamo ora alla Prima Parte del lavoro per scrivere in formula alcune delle cose lì dette che estenderò alle questioni elettriche. Quando ho parlato di energia l’ho fatto senza formalizzare (scrivere la formula), lo faccio ora e per farlo parto dalla definizione di forza. Una forza (con tutte le avvertenze viste nella Prima Parte) è una entità che, agendo su una data massa, la fa accelerare. Un’altra grandezza d’interesse che non abbiamo ancora visto è il lavoro. E’ una grandezza che storicamente ha tardato ad affermarsi e lo ha fatto in epoca di Seconda Rivoluzione industriale nella seconda metà del Settecento. Quando si iniziarono a montare nastri trasportatori in catene di montaggio qualcuno cercò di capire cosa doveva essere pagato ad un operaio, quella cosa che chiamiamo lavoro e che in fisica ha un significato non corrispondente al linguaggio comune. Un solo esempio: se una persona trasporta una pesante valigia lungo il binario di una stazione, non fa lavoro in fisica ma tutti sappiamo che quel lavoro è misurato dalla grande fatica che si è fatta.
Cos’è il lavoro nella vita comune tutti lo sappiamo, cerchiamo allora di capire come è definito in fisica. La definizione dice che si ha lavoro L ogni volta che una forza F provoca lo spostamento s di un certo oggetto, cioè L = F.s.
L = F.s
Se fosse così il lavoro della vita quotidiana e quello della fisica sarebbero la stessa cosa. Cos’è che è differente allora? In fisica la forza e lo spostamento devono avere la stessa direzione e lo stesso verso come nella figura precedente. Se le cose stessero come nella figura seguente occorrerebbe dare una diversa valutazione del lavoro.
Qui la forza e lo spostamento hanno versi differenti, non siamo quindi all’interno della definizione data per il lavoro in fisica. Per avere il lavoro fatto in fisica occorre non considerare tutta la forza F di figura ma solo la sua proiezione F’ sullo spostamento che avverrà sul piano nel quale cammina il carrello.
La formula che fornisce quindi il lavoro non è un prodotto ordinario ma un prodotto scalare tra i due vettori forza e spostamento, prodotto che si indica con il vecchio simbolo x (scrivere in grassetto delle grandezze fisiche indica il loro essere vettori):
e questa relazione vuol dire che il lavoro si ottiene moltiplicando una delle due grandezze (forza e spostamento) per la proiezione dell’altra su di essa. Con simboli matematici quanto ho ora detto si scrive:
dove è l’angolo di figura, quello tra forza e spostamento. Quanto detto ci fa comprendere perché quella persona che porta una pesante valigia su un marciapiede della stazione non fa lavoro in fisica: la forza applicata alla valigia ha il verso del braccio che sostiene la valigia e questo verso è perpendicolare allo spostamento. Se proiettiamo la forza sullo spostamento abbiamo un punto che ha dimensioni nulle ed in definitiva il lavoro è nullo (avevo accennato al fatto che questo concetto di lavoro era stato introdotto intorno alla metà del Settecento in corrispondenza della seconda rivoluzione industriale; ebbene i proprietari delle fabbriche avevano ben capito che non conveniva pagare qualcuno per trasportare pesi in orizzontale: bastava un nastro trasportatore).
Con quanto detto ho definito almeno in modo approssimativo il lavoro meccanico. Ebbene da qui si può passare a definire l’energia: quando una macchina, una persona è in grado di compiere del lavoro è dotata di energia. Tale energia sarà potenziale se resta come capacità di fare lavoro che però non si sta facendo. Sarà invece cinetica se è in atto se cioè sta facendo il lavoro. Ora se una persona o una macchina è in grado di fare del lavoro, ha quindi in sé dell’energia potenziale, e la vuole trasformare in cinetica, vuole cioè fare quel lavoro, deve essere chiaro che la cosa non avviene istantaneamente. Voglio dire che non tutta l’energia potenziale si trasforma in cinetica istantaneamente, non tutta l’energia potenziale si trasforma in lavoro istantaneamente. Ci vuole del tempo durante il quale mentre via via l’energia potenziale si va perdendo, si va acquistando energia cinetica, si va cioè facendo del lavoro. Possiamo illustrare quanto detto con una bambina su una altalena.
Supponiamo che un amichetto tenga la bambina ferma in A. In questo caso la bambina ha il massimo di energia potenziale. Quando è lasciata essa va perdendo energia potenziale acquistando velocità, cioè energia cinetica. Arrivata in B la bambina ha il massimo di energia cinetica che va perdendo man mano che l’altalena va salendo nel lato opposto da dove era partita. Arrivata al punto massimo di questo lato opposto, per un istante si ferma. In questo istante si è accumulata di nuovo energia potenziale e si è persa energia cinetica.
Come sappiamo tutto si ripete uguale per un poco di tempo e non a tempo indeterminato perché parte dell’energia a disposizione all’inizio va consumata negli attriti, nella resistenza dell’aria, nel calore che si sviluppa. Trascurando questa perdita di energia si può dire che l’energia totale (E), cioè la somma dell’energia potenziale (U) e cinetica (K), in ogni processo si mantiene costante:
E = U + K
Se non trascuriamo quella Q, occorre, per mantenere l’oscillazione, una forza esterna che sostituisca quella Q
Un’oscillazione che continua con questo sistema è chiamata oscillazione forzata.
Se, in formula, non vogliamo trascurare quell’energia persa per i vari motivi indicati, che chiamiamo Q, basta inserirla nell’uguaglianza:
E = U + K + Q.
Un’altra grandezza che si può qui definire è la potenza. Fare un dato lavoro è spesso legato al tempo impiegato per farlo. Spostare ad esempio una catasta di mattoni da un luogo ad un altro, è lavoro che può fare un bambino o un adulto. Il primo ne porterà uno alla volta, il secondo alcuni alla volta. Il lavoro complessivo, quando tutti i mattoni sono stati spostati, è lo stesso ma vi è un qualcosa di diverso. L’adulto ha fatto lo stesso lavoro in un tempo minore. Ebbene la potenza è una grandezza che mette in relazione un dato lavoro con il tempo che si impiega nel farlo. La potenza è definita come il lavoro fatto nell’unità di tempo:
ed è una grandezza utilizzabile in ogni capitolo della fisica.
Consideriamo ora un oggetto di massa m sospeso ad una quota h rispetto al suolo. Esso avrà un peso P = mg e quindi sarà soggetto alla forza mg. Se lo lasciamo cadere la forza peso e lo spostamento avranno stessa direzione e stesso verso di modo che la caduta origina complessivamente un lavoro P.h = mgh che è identico all’energia potenziale che aveva l’oggetto prima che lo lasciassimo cadere. Ebbene la quantità U = mgh è chiamata energia potenziale gravitazionale. Osservo qui che, se volessimo calcolarci l’energia potenziale gravitazionale per unità di massa avremmo:
Questa relazione scritta per la gravitazione è inutile semplicemente perché non si usa mentre l’energia potenziale elettrica per unità di carica assume grande importanza in elettricità e si chiama, come vedremo, potenziale elettrico o tensione:
.
Oltre al potenziale elettrico dovremo introdurre la differenza di potenziale ΔV.
CAMPO ELETTRICO
Nella Parte Prima abbiamo accennato alla Gravitazione Universale, al fatto cioè che una data massa M1 ne attrae un’altra M2 con una forza Fg data dalla legge di Newton:
Due masse qualunque, M1 ed M2, si attraggono con una forza FG che aumenta all’aumentare del prodotto tra le due masse e diminuisce di molto (con il quadrato) della distanza d tra i centri delle due masse. La G che compare nella formula è una costante chiamata Costante gravitazionale.
Riferiamoci ora alla Terra che ha una massa MT. Se poniamo qualunque massa m nelle vicinanze della Terra essa sarà attratta da MT (non insisto troppo su questo ma per essere precisi anche la Terra è attratta da m). Specifichiamo meglio. Tutti sanno che la massa m la possiamo mettere dovunque ed essa sarà sempre attratta dalla MT. Naturalmente man mano che ci si allontana dalla superficie terrestre la forza di attrazione diminuisce e, da un certo punto in poi, si azzererà. E’ possibile definire la zona di spazio in cui si risente l’azione attrattiva della Terra chiamando campo gravitazionale lo spazio in cui si risente dell’attrazione terrestre. In generale il campo gravitazionale è lo spazio in cui si risente dell’azione attrattiva di una certa massa e per scoprire se vi è un tale campo si dispone in un dato punto una piccola massa m di prova che ci dirà se il campo esiste o meno. Quindi il campo gravitazionale (g) ad una distanza d dalla superficie della Terra, se lo dovessimo scrivere in formula, sarebbe la forza gravitazionale FG per unità di massa m:
Ho parlato al condizionale perché questa formula, che è una semplice definizione, in realtà non serve e non si utilizza mai. C’è però una cosa che occorre sottolineare. Il valore del campo gravitazionale dipende dalla distanza d che si considera. Ma quella distanza è tacitamente fissata rispetto ad un riferimento abbastanza noto e comune: la superficie della Terra o, se si vuole essere ancora più precisi (ma molto più teorici), il centro della Terra (non viene in mente altro riferimento da cui misurare d).
Un discorso analogo ma con importanti e necessarie differenze si può fare per il campo elettrico: in un dato punto dello spazio esiste un campo elettrico E se su di un corpo carico collocato in tale punto si esercita una forza elettrica (Fe):
dove q è la carica di prova sistemata nel campo E.
Il campo si rappresenta mediante delle linee di forza che sono le traiettorie che seguirebbe la piccola carica di prova (considerata positiva) sottoposta all’azione di quel campo. La densità delle linee di forza è proporzionale all’intensità del campo:
Poiché la carica di prova l’abbiamo presa positiva dovremo considerare le due rappresentazioni di campo elettrico di figura: in (a) la carica di prova viene attratta dalla carica negativa che crea il campo; in (b) le linee di forza hanno verso opposto al precedente perché la carica che crea il campo è positiva.
Ma veniamo qui alle specificazioni di rilievo, che differenziano il campo elettrico dal campo gravitazionale, alle quali accennavo. Intanto, contrariamente al caso gravitazionale, il campo elettrico è molto utile e viene utilizzato comunemente. Quindi nel caso elettrico dobbiamo intenderci sul riferimento rispetto al quale misurare la distanza r. Ora non abbiamo riferimenti evidenti e dobbiamo stabilire di volta in volta da dove misuriamo la distanza r. Riferiamoci alla figura seguente supponendo che il campo sia generato da una carica +Q. Se la nostra carica di prova +q si sposta dal punto A che si trova a distanza rA da +Q ad un punto B a distanza rB da +Q, la forza elettrica del campo agente su +q varierà da FA ad FB:
Poiché si è avuto uno spostamento in un campo sotto l’azione di una forza, si è fatto del lavoro. Vediamolo.
Abbiamo che il lavoro è dato dalla forza Fe per lo spostamento generico r. In formula si ha:
La formula scritta non ha alcun significato se non si specifica cos’è quella r che è al denominatore e quella r generica che è al numeratore. Con qualche conto non difficile ma noioso(1) al denominatore dovremo considerare in luogo di r2 l’approssimazione rA.rB che è la media geometrica tra i due valori di r mentre al numeratore in luogo del generico r la quantità rB – rA. Sostituendo queste quantità alla formula scritta in precedenza abbiamo:
– =
Possiamo anche scrivere la precedente relazione nel modo seguente (si osservi che
dove troviamo che il lavoro fatto per spostare una carica q da un punto A ad un punto B è dato dalla differenza delle energie potenziali della carica in A, cioè UA, ed in B, cioè UB. Si può anche dimostrare che questa relazione è sempre vera qualunque sia il percorso che la carica q fa per andare da A a B. Questa relazione ci fa capire subito che non è possibile dare il valore dell’energia potenziale U di una carica in un dato punto. Lo possiamo fare solo se consideriamo, ad esempio, UB come energia potenziale di riferimento ponendola quindi uguale a zero in corrispondenza di un campo che vale zero:
UB = 0 per E = 0.
Ora E = 0 a distanza infinita, quando cioè R = ∞. Quindi abbiamo:
cioè:
Scriviamo quanto visto in modo generale:
In definitiva: l’energia potenziale elettrica di una carica q in un punto a distanza r dalla carica Q che genera il campo esprime il lavoro che la forza del campo compie quando la carica q si sposta da quel punto all’infinito (lungo qualsiasi traiettoria).
La grandezza U caratterizza il campo elettrico anche se, in pratica, se ne preferisce un’altra, il potenziale elettrico o tensione (V) definito come l’energia potenziale per unità di carica, cioè:
E’ importante osservare che quando la carica q diventa doppia o tripla, anche l’energia potenziale U diventa doppia o tripla, conseguentemente il potenziale V rimane costante.
Da ultimo, avevamo visto che
con la definizione di potenziale elettrico avremo l’importante definizione di differenza di potenziale elettrico tra due punti A e B di un campo elettrico:
oppure:
La precedente relazione si può anche scrivere:
LA CORRENTE ELETTRICA DALLA PILA AD AMPÈRE ED OHM
La grande novità che realizzò Volta fu la pila, uno strumento che permette di disporre con continuità di un flusso di carica elettrica da una parte all’altra come cercheremo di capire specificando il tutto con maggiore precisione.
In linea di principio la pila che Volta (dopo molti tentativi diversi) realizzò è schematizzata nella figura seguente. In un contenitore di vetro (ad esempio un becher) vi è una sostanza chimica (una soluzione elettrolitica di acido solforico in acqua). Dentro questa sostanza chimica vi sono immerse due barrette metalliche, una di rame ed una di zinco. La soluzione elettrolitica crea un flusso di pezzi di molecole che, in ultima analisi, rifornisce di elettroni lo zinco, elettroni che vengono sottratti al rame. Si creano così i due poli, quello positivo e quello negativo che, stando le cose come in figura restano potenzialmente in grado di mettere in moto cariche elettriche con continuità tra A e B. Perché ciò accada occorre collegare con un filo conduttore A con B. Ma fare una cosa del genere non ha molto significato. Si consumerebbe l’energia disponibile per nulla. Ciò che invece si fa, tra A e B si collega un utilizzatore che, ad esempio, è una lampadina, un piccolo ventilatore, … In tal modo il flusso continuo di elettroni tra i due poli costituisce una corrente elettrica che con continuità fornisce energia elettrica all’utilizzatore. Proprio perché la corrente parte da un polo e va sull’altro con continuità la corrente è chiamata corrente continua.
Dico subito, per evitare inutili confusioni in seguito, che il flusso di elettroni che costituisce la corrente (che si indica con I) non deve in alcun modo essere pensato come un flusso d’acqua in un tubo. Si tratta piuttosto di particolari oscillazioni che privilegiano una direzione. Cioè: gli elettroni vengono spinti in una direzione ma poi sono richiamati indietro. In questo movimento prevale lo spostamento verso la direzione della corrente che va dal polo negativo al polo positivo. E’ stato fatto un calcolo molto complesso il cui risultato è molto significativo: se potessimo seguire il moto di un elettrone troveremmo che esso percorre un metro in circa 5 ore. Un modo per rappresentare quanto ho tentato di dire è con quell’oggetto divertente di figura in cui si solleva una pallina che urtando le altre trasmette il moto all’ultima senza che quelle intermedie apparentemente si muovano.
Se nella serie di pendoli solleviamo il primo, quando lo lasciamo trasferirà il suo moto agli altri pendoli fino all’ultimo che acquisterà l’energia del primo.
La feccia gialla dà il verso della corrente. Nella figura in alto si può apprezzare che un elettrone trasferisce l’impulso ricevuto all’elettrone vicino in un tempo brevissimo. Sarà l’ultimo elettrone della serie ad acquistare l’energia del primo. Nella figura in basso una palla da biliardo che riceve un impulso, lo trasferisce ad una fila di palle in modo che solo l’ultima si muoverà per l’impulso fornito dalla prima.
Poiché siamo a discutere di questo moto cooperativo dico qualche parola sulla struttura dei materiali che conducono la corrente. Intanto occorre convincersi che le nostre sono descrizioni approssimate che tentano di avvicinarsi sempre più a come stanno davvero le cose. Noi ci serviamo di modelli che perfezioniamo sempre più ma sono modelli che accettiamo finché spiegano i fenomeni per cui sono stati creati. Se le cose stanno proprio così nessuno può dirlo. Per certo conosciamo modelli molto più elaborati di questo ma ora non siamo in grado di comprenderli. Chi è interessato può leggere la nota 2 in cui parlo, in modo semplificato, di teoria delle bande(2).
Consideriamo allora un metallo conduttore. In esso gli atomi sono sistemati ordinatamente in un reticolo cristallino. Questi atomi sono soggetti a delle oscillazioni, intorno alle loro posizioni di equilibrio, a seguito dell’agitazione termica. Gli atomi della sostanza in considerazione hanno i loro elettroni che ruotano quasi tutti intorno ai rispettivi nuclei. Ho detto quasi perché gli elettroni delle orbite più esterne di un atomo di una struttura cristallina non appartengono più al singolo atomo ma sono elettroni di tutto il cristallo che si muovono disordinatamente in tutte le direzioni mentre l’atomo mantiene legati al suo nucleo gli elettroni delle orbite più interne. Il tutto si può allora descrivere come degli ioni positivi oscillanti ordinatamente intorno alle loro posizioni di equilibrio nel reticolo con i suddetti elettroni liberi in moto disordinato (elettroni di valenza che diventano elettroni di conduzione). Quando ai capi di questo conduttore si applicano i due poli di una pila quel moto disordinato degli elettroni si dirige, con le modalità oscillatorie accennate, verso una particolare direzione. Ma ormai l’espressione: “Quando ai capi di questo conduttore si applicano i due poli di una pila …”, può essere sostituita con l’altra, più corretta: “Quando ai capi di questo conduttore si applica una differenza di potenziale”.
Da: http://www.uop-perg.unipa.it/f21/promamos/elettriche/
Da: https://argomentidifisica.wordpress.com/category/resistenza/
Dato questo modello è facile capire qual è la struttura cristallina di un isolante: la medesima solo che non vi sono elettroni liberi perché sono tutti strettamente legati ai loro nuclei.
In definitiva una pila fornisce una differenza di potenziale ΔV ai suoi due poli e tale differenza resta finché non la si utilizza (a). Questa situazione è chiamata circuito aperto. Per utilizzarla occorre collegare i due poli con un utilizzatore (b) attraverso il quale passa la corrente elettrica, una data quantità di cariche nel tempo, che indichiamo con I. Questa situazione è relativa ad un circuito chiuso.
QUALCHE UNITA’ DI MISURA
Abbiamo introdotto varie grandezze, ritengo utile fornirne la relative unità di misura ricordando che tali unità, anche se derivano da nomi di persona, vanno scritte in lettere minuscole (contrariamente ai simboli che possono essere scritti in lettera maiuscola).
La forza, data dalla legge di Newton (F = m.a), si misura in newton con simbolo N.
Il lavoro, dato da una forza per uno spostamento, si misura in joule, con simbolo J, che è dato dal prodotto di un newton per un metro.
La potenza, lavoro fatto nell’unità di tempo, si misura in watt ed il watt è dato da un joule al secondo.
L’energia totale, cinetica, potenziale si misura sempre in Joule.
La carica elettrica si misura in coulomb con simbolo C. Un coulomb è quella carica che attrae o respinge una uguale carica posta ad un metro di distanza (nel vuoto) con una forza data da 9.109 N (il numero fornito è il valore numerico della costante K).
Il potenziale (come la differenza di potenziale), una energia diviso una carica, si misura in volt con simbolo V. Il volt è appunto un joule diviso un coulomb.
La corrente (o meglio l’intensità di corrente) I, cariche transitanti nel tempo in un circuito (quindi q diviso t), si misura in ampere con simbolo A.
Se sarà necessario sarò più preciso nel seguito.
LA CAPACITA’
Riprendiamo la nostra discussione sulle grandezze elettrostatiche definendo la capacità di un conduttore proprio in riferimento a quella grandezza che abbiamo lasciato qualche pagina indietro, il potenziale.
Avevamo visto che, con le definizioni date, il potenziale all’infinito è nullo, mentre il potenziale di un singolo conduttore isolato che porta una carica Q è proporzionale alla stessa carica Q e dipende dalla forma e dalle dimensioni del conduttore. In generale quanto maggiori sono le dimensioni di un conduttore, tanto maggiore è la quantità di carica che esso può portare per un dato potenziale. Abbiamo visto che il potenziale di un conduttore sferico di raggio R e con una carica Q è dato da:
Da questa relazione si vede subito che, per un dato valore di V, più è grande R, più grande può diventare Q. Il rapporto tra la carica e il potenziale di un conduttore isolato è chiamato capacità elettrica del conduttore:
- [si misura in farad = coulomb/volt]
Tale rapporto non dipende né da Q né da V (poiché V è sempre proporzionale alla carica Q). Esso dipende solo dalle dimensioni e dalla forma del conduttore. La capacità di un dato conduttore sferico sarà (dalla relazione 1):
Un sistema in grado di immagazzinare cariche mettendosi ad un dato potenziale si chiama condensatore. Nella figura seguente è rappresentato il primo condensatore, la bottiglia di Leyda, bottiglia in quanto si riteneva che l’elettricità fosse un fluido da tenere in bottiglia (si hanno due materiali conduttori, uno all’esterno e l’altro all’interno di una bottiglia di vetro che è isolante).
(a)
(b)
Fig. (a). Sia dentro che fuori del vetro della bottiglia vi è una lamina conduttrice di piombo. La lamina interna è collegata all’esterno mediante una catenella che termina sulla pallina visibile in alto.
Fig. (b). Una realizzazione più semplice della precedente. Un bicchiere di vetro (isolante) è sistemato tra due bicchieri di rame conduttori (disegnati in colore grigio).
Naturalmente è scomodo avere un sistema come quello ora illustrato. Dato il principio di due superfici conduttrici (placche) separate da un isolante, si sono ideati condensatori piani sempre più perfezionati, tutti rispondenti al criterio dato.
Se si collegano i due conduttori connessi alle due placche con una pila, si avrà un passaggio di corrente per un tempo brevissimo, necessario a caricare il condensatore delle polarità della pila, fornendo quindi ai suoi capi la sua stessa differenza di potenziale, ma poi la corrente cesserà perché l’isolante la blocca (l’isolante funziona come se il circuito elettrico fosse tagliato in sua corrispondenza).
Ed allora che serve il condensatore? Praticamente a nulla se lo si utilizza in corrente continua. Infatti lo introduciamo qui e ne parleremo quando affronteremo la corrente alternata.
Cerchiamo ora di stabilire da quali caratteristiche costruttive dipende la capacità di un condensatore, riferendoci alla figura seguente:
Dato un condensatore piano la sua capacità (C) cresce al crescere delle superfici (A) delle placche; cresce all’aumentare del potere isolante del materiale (dielettrico) sistemato tra le due placche (ε); cresce al diminuire della distanza (d) tra le due placche. In definitiva per avere un condensatore con grande capacità occorre: avere due grandi superfici conduttrici con un ottimo isolante, molto sottile tra le due. In pratica ed in un modo semplificato si tratta di avere due lunghe strisce di materiale conduttore separate da una striscia di materiale isolante; il tutto si arrotola poi collegando con cavi conduttori le due strisce di materiale conduttore originando quello che è noto come condensatore cilindrico:
Resta solo da fornire il simbolo con cui un condensatore si disegna in un circuito:
LA CORRENTE ELETTRICA E QUALCHE LEGGE CONNESSA
Come già detto, si chiama corrente continua la corrente elettrica che fluisce, nello stesso verso, nel filo conduttore che collega i poli di una pila. L’intensità di corrente continua e costante, che fluisce in un conduttore, è la quantità di carica elettrica che ne attraversa una sezione durante l’unità di tempo:
e si misura in coulomb al secondo, unità chiamata ampère.
Definita l’unità di corrente e la sua unità di misura si può tornare alla definizione di lavoro elettrico L per definire la potenza elettrica W.
L = q.(VA – VB) = It.(VA – VB)
avendo solo ricordato che q = I.t. Ebbene, sappiamo che la potenza è data da:
sostituendo, si ha:
(l’unità è, come visto, il watt, ma dalla formula si può capire perché è anche in uso l’altra unità: il voltampere, proprio perché al secondo membro dell’ultima relazione si hanno due grandezze moltiplicate tra loro: l’intensità di corrente che si misura in ampere e la differenza di potenziale che si misura in volt).
CIRCUITO ELETTRICO. LEGGI DI OHM
Un rudimentale circuito elettrico è quello di figura seguente:
una pila come Volta l’ha pensata che alimenta un utilizzatore, in questo caso una lampadina. Ora, nella figura seguente, aggiungo degli elementi modernizzando il tutto. La pila è una pila che si trova comunemente in commercio; un cavetto elettrico (conduttore) collega i due poli della pila (la sua differenza di potenziale) ad un utilizzatore o resistenza (in questo caso una lampadina) attraverso u normale interruttore o tasto.
In questo come in ogni circuito vi sono differenti variabili. Intanto la differenza di potenziale (ddp) che fornisce la pila che può variare di molto; quindi la corrente che circola; quanto richiede di corrente l’utilizzatore; il cavo elettrico dimensionato all’uso che si richiede; … Sono tutti questi problemi che inizierò ora a discutere ma prima voglio riportare in altro modo, più schematico, la figura ora vista.
E’ più semplice lavorare con questo circuito schematico che permette cambiamenti, come vedremo, in modo semplice.
A questo punto sappiamo che la pila dispone di una differenza di potenziale ΔV; che dal polo negativo della pila viene generata una corrente I di elettroni; che l’utilizzatore, indicato con R e chiamato resistenza, sfrutta questa corrente per la funzione per cui è pensato (se è una lampadina accendersi; se è un campanello suonare; se è un ventilatore muovere le sue pale; …) e lo fa solo quando il tasto è chiuso. Queste tre grandezze dovranno essere legate tra loro in qualche modo come capì Georg Simon Ohm (1827) che costruì due leggi riguardanti appunto la resistenza elettrica.
La prima di queste leggi riguarda la relazione esistente tra ΔV ed I, determinata dal valore dell’utilizzatore R. La differenza di potenziale fornisce tanta corrente quanta ne è richiesta dall’utilizzatore in modo che il rapporto esistente tra ΔV ed I è costante e la costante è proprio il valore di R:
e poiché il ΔV lo si indica spesso con la sola V, la prima legge di Ohm si può scrivere:
Dal punto di vista delle unità di misura abbiamo il rapporto tra volt ed ampere che è l’unità di misura della resistenza, l’ohm con simbolo Ω. In modo molto qualitativo si può dire che il volt è una grandezza piccola, l’ampere è una grandezza molto grande e quindi, il rapporto tra le due fornisce una grandezza piccolissima come l’ohm.
La seconda legge di Ohm si occupa dei valori intrinseci della resistenza, quali sono cioè le caratteristiche fisiche di un utilizzatore che ne aumentano o diminuiscono la resistenza. Scrivo la legge e poi la discuto:
dove ρ (leggi rho) rappresenta una grandezza chiamata resistività (o resistenza specifica) che discuterò alla fine, ℓ è la lunghezza del filo attraverso cui passa la corrente ed S è la sezione di questo filo. La legge dice che, a parte ρ, che la resistenza che un circuito presenta al passaggio di corrente è tanto maggiore quanto più è lungo il circuito (si noti che nell’ultimo disegno la R è messa in corrispondenza della lampadina ma in realtà essa rappresenta la resistenza della lampadina più quella dell’intero circuito attraversato dalla corrente) e che la resistenza di un circuito è tanto minore quanto maggiore è il diametro del filo attraverso cui passa la corrente. Questa cosa si comprende bene con una analogia idraulica.
E veniamo alla resistività ρ. Osserviamo che se si riscalda un filo conduttore l’effetto è che aumenta l’agitazione termica degli atomi che lo costituiscono con la conseguenza che gli elettroni di conduzione avranno maggiore difficoltà a passare. Inoltre è chiaro che tra i conduttori ve ne sono di migliori e di scarsini. Tra i migliori vi sono, nell’ordine, l’argento, il rame, l’oro, l’alluminio, il ferro … E tutti sapete che il rame è il più utilizzato per ovvi motivi di costi, anche se in sofisticati apparecchi elettronici si utilizza l’argento. Ebbene, nell’espressione che ci fornisce la resistività, si dice quanto ho ora accennato nel modo seguente:
e cioè: la resistività ρt ad una data temperatura t è uguale a quella che si ha a 0°C, cioè , moltiplicata per quel binomio tra parentesi in cui α è una costante che varia da metallo a metallo (come anche ) indicandoci quale conduce meglio e Δt è la temperatura centigrada alla quale funziona il circuito (nel nostro caso: Δt = t – 0, ma se avessimo considerato invece di la ρ a 20°C, cioè ρ20, avremmo avuto Δt = t – 20).
Osservo solo che l’inverso della resistività ρ si chiama conducibilità e si indica con σ (leggi sigma). Debbo avvertire che quanto detto è relativo ad una fisica approssimata. Chi vuole ha modo di capire qual è la struttura dei conduttori, degli isolanti e di taluni materiali che iniziarono ad essere conosciuti nei loro comportamenti solo nel secolo scorso, i semiconduttori leggendo la nota 2 dove introduco alcuni elementi base di fisica quantistica per parlare della già citata teoria delle bande.
CIRCUITI ELETTRICI
Abbiamo visto un circuito elettrico che è ben distante dai circuiti elettrici con cui comunemente si ha a che fare. Quello visto è l’elementare circuito di una torcia elettrica o di qualcosa di simile. Sappiamo tutti che la corrente elettrica serve circuiti ben più complessi. Basti pensare ad un circuito con due lampadine: come le mettiamo? perché non vi è un solo modo di farlo. E’ diverso, infatti, avere due lampadine in un circuito collegate come nelle figure seguenti:
Nel primo caso le due lampadine sono in serie, nel secondo sono in parallelo. Ma, al di là delle definizioni, che vuol dire in pratica avere un collegamento o un altro? Iniziamo dal rappresentare schematicamente i circuiti. Nel primo caso, circuito in serie, abbiamo:
Nel secondo caso, circuito in parallelo, abbiamo:
avendo indicato con il simbolo generico di resistenza R la lampadina. Qual è la differenza tra le due situazioni? perché si sceglie un collegamento invece che un altro?
Nel circuito in serie del primo schema è evidente che la medesima corrente i passa attraverso le due resistenze (lampadine) ma ai capi delle due resistenze (se di diverso valore) vi sono due diverse differenze di potenziale, fermo restando che ΔV1 + ΔV2 = ΔV; nel circuito in parallelo del secondo schema si vede che la corrente, arrivata al punto A si divide in due quantità che attraversano indipendentemente le due resistenze per poi ricongiungersi in B ridando la stessa corrente i. Per ciò che riguarda la differenza di potenziale, tra A e B si ha la stessa ΔV fornita dalla pila. Qui l’analogia idraulica ci aiuta molto: è come se un tubo che porta acqua dividesse in A la sua portata in due tubi diversi. In tal caso è evidente che se i due tubi sono uguali (stessa resistenza) uguale quantità d’acqua andrà in ambedue, ma se sono diversi in sezione (diversa resistenza) andrà più acqua dove è più facile che vada (minore resistenza). Ritornando alla corrente elettrica essa si dividerà in A andando in maggiore quantità nella resistenza che risulta minore, fermo restando che i1 + i2= i.
Abbiamo solo visto una piccolissima possibile complicazione in un circuito. Si deve sapere che moltissimi sono gli elementi che lo compongono e non sono sempre solo o in serie o in parallelo. Vi sono circuiti in cui alcune parti sono in serie ed altre in parallelo, alcune sono insieme serie parallelo, eccetera. Per non parlare di altri elementi del circuito, come altre alimentazioni, capacità, elementi costanti ed altri variabili, amplificatori, transistor, diodi, trasformatori, … Un esempio abbastanza semplice è il seguente:
Ma noi non ce ne occupiamo anche se qualche altro elemento sui circuiti dobbiamo darlo. Iniziamo dal dare la regola che ci permette di calcolare il valore di (almeno) due resistenze in serie ed in parallelo.
Nel caso si abbiano due resistenze in serie:
per la legge di Ohm abbiamo che:
ΔV = ΔV1 + ΔV2 = iR1 + iR2 = i(R1 + R2)
e quindi la resistenza totale è la somma delle due resistenze (ciò vale qualunque sia il numero delle resistenze in serie):
R = R1 + R2
Il risultato vale qualunque sia il numero delle resistenze in serie. Ciò significa che aggiungere resistenze in serie è come avere un’unica resistenza più grande con valore somma dei singoli valori.
Nel caso si abbiano due resistenze in parallelo:
come visto si ha:
i = i1 + i2
la differenza di potenziale ai capi delle due resistenze è la stessa, quindi, applicando la legge di Ohm si ha:
ΔV = i1R1
ΔV = i2R2
da cui:
La corrente totale sarà la somma delle due correnti:
ed in definitiva la resistenza totale è data da:
.
Il risultato vale qualunque sia il numero delle resistenze in parallelo. Ciò significa che collegare delle resistenze in parallelo significa avere un valore complessivo più piccolo delle singole resistenze.
Passiamo ora ai condensatori cercando le leggi che forniscono le loro connessioni in serie e parallelo. Iniziamo dal collegamento in serie:
Mentre è intuitivo capire come funziona il passaggio di corrente in una resistenza, occorre qui spiegare come si caricano i due condensatori in serie. Dal polo negativo della pila si muovono degli elettroni fino ad arrivare sulla placca del condensatore di sinistra. Questa si caricherà negativamente e, per induzione, caricherà l’altra piastra. Questo condensatore acquisterà una carica Q1. Quest’ultima placca per caricarsi positivamente deve perdere elettroni i quali migrano verso la placca più vicina del condensatore di destra caricandolo negativamente. Questa placca, a sua volta caricherà positivamente, per induzione, l’altra placca. Questo condensatore acquisterà una carica Q2. La differenza di potenziale fra le armature del primo condensatore è ΔV1 = Q/C1. In modo analogo, la differenza di potenziale fra le armature del secondo condensatore è ΔV2 = Q/C2. La differenza di potenziale ai capi dei due condensatori collegati in serie è semplicemente la somma di queste differenze di potenziale:
dove con abbiamo indicato la quantità:
+
e l’espressione scritta ci dice che nel caso di condensatori collegati in serie l’inverso della capacità totale è uguale alla somma degli inversi delle singole capacità e ciò vuol dire che la capacità equivalente o risultante di due condensatori collegati in serie è minore di quella dei condensatori considerati separatamente.
La figura seguente mostra due condensatori collegati in parallelo. Le armature di destra dei due condensatori sono collegate insieme con un filo conduttore e sono perciò allo stesso potenziale. Anche le armature di sinistra sono collegate tra loro e sono ad uno stesso potenziale. È chiaro che l’aggiunta di condensatori collegati in questo modo ha l’effetto di aumentare la capacità; cioè, l’area è sostanzialmente aumentata, consentendo che venga accumulata una maggiore quantità di carica per la stessa differenza di potenziale ΔV = VA – VB.
Se le capacità dei due condensatori sono Cl e C2, le cariche Ql e Q2 accumulate sulle armature sono date da Q1 = C1V e Q2 = C2V dove V è la differenza di potenziale ai capi dei condensatori. La carica totale accumulata è perciò:
Q = Q1 + Q2 = C1ΔV + C2ΔV = (C1 + C2)ΔV
La capacità equivalente o risultante di condensatori collegati in parallelo è il rapporto fra la carica totale accumulata e il potenziale, Q/V. Perciò
La capacità equivalente è quella di un singolo condensatore che potrebbe sostituire i due condensatori collegati in parallelo e accumulare la stessa quantità di carica per una data differenza di potenziale ΔV. Questo ragionamento può essere esteso a più condensatori collegati in parallelo, la capacità equivalente è semplicemente la somma delle singole capacità.
POTENZA ELETTRICA
Presento due immagini a tutti noi note:
La prima è una batteria (meglio un accumulatore) che si usa nelle automobili; la seconda è una batteria che si usa per piccole torce elettriche, per telecomandi, per telecomandi, … Sono intercambiabili? Forse la batteria d’automobile può essere usata per far funzionare un telecomando ma certamente la batteria per il telecomando non può essere usata per far partire un’automobile. Il fatto è che, data una determinata differenza di potenziale, alcune batterie sono in grado di fornire grandi intensità di corrente, altre solo molto piccole. La differenza non può però rimanere così sul generico. Occorre maggiore precisione e per darla ricordiamo la grandezza potenza introdotta in meccanica ma con significato del tutto generale (lavoro fatto nell’unità di tempo) e già utilizzata in elettricità dove abbiamo trovato che la potenza è il prodotto tra la corrente e la differenza di potenziale:
oppure:
che possiamo semplificare nel modo seguente:
Ricordando la prima legge di Ohm (V = I.R oppure I = V/R) la precedente espressione può anche scriversi:
oppure:
L’unità di misura della potenza è il watt con simbolo w.
Tornando alle due figure mostrate all’inizio, mentre la batteria per auto, con una differenza di potenziale di 12 volt, può fornire anche 100 ampere di corrente e quindi ha almeno una potenza di 1200 watt, la batteria per telecomando, con una differenza di potenziale di 1,5 volt, può fornire correnti di millesimi di ampere e quindi ha una potenza che al massimo è di un paio di millesimi di watt. Più in generale non basta sapere quanti volt servono per alimentare un qualche utilizzatore, ma occorre anche sapere qual è la potenza che occorre per alimentare tale utilizzatore. Facendo un esempio riguardante la corrente alternata (che vedremo più oltre) tutti sanno o dovrebbero sapere che alimentare una lavatrice richiede 2500 watt ed un forno elettrico ne richiede altrettanti, mentre alimentare una lampadina ne richiede 100. Se in casa avete un contratto che prevede da parte dell’azienda elettrica una fornitura di 3000 watt, accendendo forno e lavatrice vi scatta l’interruttore generale e non potete farlo. Serve aumentare a 6000 watt il contratto con l’azienda elettrica con la conseguenza che vi dissanguerà per i costi con bollette da capogiro.
Arrivati a questo punto è facile fornire alcune relazioni che ci serviranno nel seguito. Poiché W = L/t, si ricava facilmente che il lavoro è dato da L = W.t, da cui, per quanto appena trovato, il lavoro in elettricità è dato da:
L = V.I.t
e l’unità per il lavoro è quella che conosciamo dalla meccanica, il joule.
TORNIAMO UN POCO INDIETRO: EQUIVALENZA TRA LAVORO E CALORE. L’EQUIVALENTE MECCANICO DELLA CALORIA.
E’ esperienza comune che ogni lavoro che si fa comporta l’emissione o creazione i calore. Per trovare la relazione che lega lavoro e calore occorre realizzare un’esperienza in cui dall’esterno si compia del lavoro sul sistema e quindi si misuri la quantità di calore che il sistema ha acquistato. Nel caso che discuteremo occorrerà sistemare dell’acqua in un recipiente che non disperda il calore (ad esempio un thermos) e fare lavoro su quest’acqua mediante delle palette che la agiteranno e quindi misurare il calore sviluppato dal moto delle palette (l’intera esperienza dovrà prevedere che alla fine della medesima ci si accerti che non è cambiato nulla di ciò che avevamo all’inizio di essa). Occorre naturalmente cautela perché mentre per misurare il lavoro meccanico non vi sono grandi problemi, le misure di trasferimenti di calore sono molto delicate. Occorre tra l’altro accertarsi che tutto il calore deve essere ceduto al thermos durante la trasformazione. In una tale esperienza realizzata con somma cura indipendentemente (con procedimenti diversi) da Mayer e Joule, si è trovato:
dove J è una costante che vale 1 se misuriamo sia il lavoro L che il calore Q con la stessa unità di misura, il joule (in caso contrario si deve sapere che 1 chilocaloria = 4186 joule). L’esperienza di Joule-Mayer ha mostrato che per ogni quantità di lavoro scomparsa si acquista una ben definita quantità di calore e cioè che il calore non è altro che una ben determinata forma di energia. Superando il fatto che il calore storicamente è stato misurato in chilocalorie anziché in Joule, e quindi misurandolo, come il lavoro, in joule, si può scrivere:
Misurando invece il lavoro ed il calore con le loro unità storicamente definite si ha:
L = Q.J oppure
con
EFFETTI DELLA CORRENTE ELETTRICA
La corrente elettrica provoca svariati fenomeni o effetti che provo ad elencare.
Effetto termico o effetto Joule.
Le ultime due relazioni scritte nel paragrafo precedente, messe insieme con quanto avevamo trovato:
L = .R.t
ci forniscono:
Se sostituiamo a J il suo valore troviamo:
Q = 0,00024. .R.t chilocalorie
Quanto ora trovato dice che il calore che si sviluppa in un circuito dipende principalmente dalla quantità di corrente che vi circola (perché la grandezza I è al quadrato); dipende poi dalla grandezza della resistenza e, naturalmente, da quanto tempo circola corrente.
Effetto chimico. Non mi soffermo su questo. Ricordo solo che il passaggio di corrente in una soluzione provoca effetti chimici in essa separando le molecole in essa presenti.
Effetto magnetico. Questo effetto è di enorme importanza e su di esso occorrerà soffermarsi con attenzione, a partire da ciò che storicamente realizzò nel 1820 Hans Christian Oersted.
L’ESPERIENZA DI OERSTED
La fenomenologia dell’esperienza è semplice: un filo conduttore, se disposto parallelamente ad un ago magnetico, vede l’ago ruotare di 90º e disporsi perpendicolarmente al filo, quando in esso viene fatta circolare corrente.
Evidentemente la cosa non fu semplice per Oersted che impiegò 9 anni per mettere a punto questo suo lavoro. Vi era soprattutto una complicazione concettuale. Nell’epoca in cui Oersted lavorava ogni scienziato avrebbe cercato gli effetti di forze tra i due oggetti in studio. Il quadro concettuale nel quale questa esperienza irrompeva era quello newtoniano che si era affermato a partire dal 1685, dalla scoperta della gravitazione universale di Newton: per intenderci si sarebbe pensato ad una azione rettilinea tra ago magnetico che viene attratto o respinto dal filo. Invece questo tipo di azione si svolge su di un piano perpendicolare alla congiungente filo – ago e consiste in una rotazione dell’ago medesimo risultando, come dice Oersted, circolare. Oersted, nel condurre l’esperienza, muove l’ago nello spazio circostante il filo e si accorge che, se la rotazione avviene in un senso con l’ago disposto sotto il filo, essa avviene in senso opposto se si dispone l’ago sopra il filo. Per Oersted quindi, le forze magnetiche sono distribuite nello spazio che circonda il filo e, data la simmetria degli spostamenti dell’ago, conclude che le forze magnetiche sono costituite da cerchi “poiché è nella natura dei cerchi che movimenti da parti opposte debbano avere opposte direzioni” (oggi diremmo che le linee di forza del campo magnetico intorno ad un filo rettilineo percorso da corrente, sezionando il filo con un piano ad esso perpendicolare, hanno la forma di circonferenze concentriche al filo).
Il verso di rotazione dell’ago è dato dalla regola di Ampère:
Regola di Ampère: Un osservatore disposto parallelamente sul filo in modo che la corrente gli entri dai piedi e gli esca dalla testa, vede il polo nord dell’ago ruotare verso sinistra
In definitiva Oersted mostra, in linguaggio moderno, che una corrente elettrica provoca effetti magnetici e subito dopo Faraday mostrerà che il magnetismo produce elettricità. Da questo momento il magnetismo diventa un capitolo della più generale scienza elettromagnetica (resta sempre lo studio dei fenomeni legati ai materiali magnetici ma sarà piuttosto un problema di struttura della materia). Finché la luce non sarà inglobata nel più generale elettromagnetismo, rendendo l’ottica un suo capitolo. E la misura della sua velocità ci riporterà a vicende meccaniche con conseguenze impensabili ancora alla fine dell’Ottocento.
Il campo di indagine diventa immenso e sarà occupato successivamente dai grandi fisici dell’Ottocento e dei primi del Novecento, tra i quali giganteggiano Ampère, Ohm, Faraday, Maxwell, Hertz, W. Thomson, Lorentz, Einstein.
AZIONI RETTILINEE A DISTANZA O CIRCOLARI A CONTATTO? NOTA STORICA
Abbiamo cisto che la Legge di Gravitazione Universale di Newton dice che: due corpi di massa M1 ed M2 si attraggono reciprocamente con una forza F che è proporzionale, secondo una costante G, al prodotto delle masse dei due corpi ed inversamente proporzionale al quadrato della distanza d che, appunto, separa i due corpi.
Due masse qualunque, M1 ed M2, si attraggono con una forza FG che aumenta all’aumentare del prodotto tra le due masse e diminuisce di molto (con il quadrato) della distanza d tra i centri delle due masse. La G che compare nella formula è una costante chiamata Costante gravitazionale.
La G rappresenta la costante gravitazionale (che anni dopo sarà misurata con precisione da Cavendish). Fin qui quello che nella formula è scritto. Per noi è però interessante andare a vedere cosa non è scritto in questa relazione, soprattutto per quanto vedremo a proposito della teoria di campo e dei lavori di Faraday. L’azione F si esercita tra M1 ed M2 lungo la congiungente i centri delle due masse; si tratta quindi di un’azione rettilinea. Inoltre essa è istantanea e a distanza, nel senso che non si richiede tempo (che appunto nella relazione non compare direttamente) affinché due masse si accorgano l’una dell’altra (si noti che questo tipo di azione tra massa e massa senza alcun intermediario era ostica allo stesso Newton). Per spiegarci meglio, supponiamo che nell’universo vi sia una sola massa M1. Ebbene, se prendiamo in considerazione una seconda massa M2, in questo universo, ambedue le masse cominceranno ad attrarsi reciprocamente all’istante. Questo fatto, sul quale torneremo parlando di Faraday, comporta una conseguenza importantissima: l’esigenza di azioni istantanee implica che ci siano delle entità dotate di una velocità infinita.
Questa visione fu soggetta ad aspre critiche da parte dei massimi scienziati per circa 100 anni finché in Germania, sulla scia del pensiero di Kant, non nacque il movimento filosofico della Naturphilosophie. Il più autorevole rappresentante di questa scuola fu certamente Federico Guglielmo Schelling (1775 – 1854) le cui radici di pensiero si possono ritrovare nei lavori di Leibniz (1646 – 1716) di Boscovich e, appunto, di Kant. Secondo Schelling il meccanicismo fisico non rende ragione dell’esistenza della natura. La concezione meccanicista di materia come un qualcosa di inerte fino a che su di essa non agiscono forze, entità diverse e separate dalla materia è, secondo Schelling, l’ammissione di una discontinuità tra materia e spirito (tra natura e uomo) che non corrisponde alla unità originaria di queste due entità, per esempio, nell’organismo vivente. Schelling sostiene (tra il 1797 ed il 1799) che è lo spirito (le forze) che si organizza in materia e pone quindi le forze, agenti tra punti inestesi, con i loro “conflitti e trasformazioni” alla base dell’esistenza del mondo (dinamismo fisico). Non c’è più materia allora ma c’è una particolare modificazione di una determinata zona dello spazio dovuta appunto ai conflitti ed alle trasformazioni delle forze (spirito) eterne e preesistenti. Questo rifiuto netto del meccanicismo, e più in generale del metodo scientifico, non nasce casualmente in questo periodo. Si deve infatti tener conto che elementi non immediatamente riconducibili al meccanicismo fisico nascevano senz’altro dalla spiegazione dei processi biologici. Inoltre le scoperte di quegli anni del galvanismo (1789) e della pila di Volta (1800), che il meccanicismo non aveva ancora spiegato esaurientemente, avevano aperto campi di indagine e di polemica in cui si inserirono efficacemente le speculazioni romantiche nella loro offensiva generale contro il meccanicismo. Certamente al culmine del meccanicismo, quando l’azione istantanea a distanza lungo la congiungente gli «oggetti» era alla base di tutte le teorie fisiche, nessuno avrebbe pensato di ottenere un qualche risultato progettando esperienze che si ponevano a priori in contrasto con le premesse di principio ed in particolare con quel tipo di azione. È quindi proprio sotto l’influenza ideologica della Naturphilosophie che il fisico danese Hans Christian Öersted (1777-1851) progettò ed effettuò la memorabile esperienza appena raccontata che scosse profondamente l’edificio meccanicista.
L’azione che si esercita tra un filo percorso da corrente ed un ago magnetico disposto parallelamente al filo è perpendicolare alla congiungente filo-ago e non è più riconducibile alle forze centrali che invece agiscono lungo la congiungente i due «oggetti». Sono proprio le forze secondo un moderno modo di vedere, che riempiono tutto lo spazio e quindi che esistono sia lungo la congiungente filo-ago sia lungo la perpendicolare a questa congiungente che rendono possibile la deviazione dell’ago. Lo stesso Öersted sosteneva: «… Il conflitto elettrico non è racchiuso nel conduttore ma, come abbiamo già detto, è al medesimo tempo disperso nello spazio circostante, e ciò è ampiamente dimostrato da tutte le osservazioni fin qui fatte …». Riferendosi poi all’effetto di simmetria da lui riscontrato nel disporre l’ago magnetico al di sopra o al di sotto del filo percorso da corrente diceva: «… In maniera simile è possibile dedurre da quanto abbiamo osservato che questo conflitto agisce circolarmente perché questa sembra essere una condizione senza la quale è impossibile che la medesima parte del filo di congiunzione, che quando sta sotto il polo magnetico lo fa spostare ad est, lo fa spostare invece ad ovest quando è posta sopra di esso. Perché è nella natura dei cerchi che moti in parti opposte abbiano direzioni opposte …». La Naturphilosophie aveva la sua base sperimentale e l’esperienza di Öersted suscitò un interesse ed un fermento di ricerca che tanti risultati avrebbero dato allo sviluppo della scienza.
Ampère, un fervente sostenitore della teoria dell’azione a distanza alla Newton, dedicò molti anni della sua vita e del suo ingegno a tentare l’operazione di ricondurre l’esperienza di Oersted all’azione a distanza. Non vi riuscì. Altri scienziati cercarono altre interpretazioni sviluppando nuove teorie. Tra questi emerge l’inglese Faraday.
A cavallo fra la fine del ‘700 e gli inizi dell’800 erano penetrate in Gran Bretagna le speculazioni del movimento della Naturphilosophie importate, con particolare foga, dal poeta inglese S. T. Coleridge (1772 – 1834) reduce da un lungo viaggio in Germania. Davy (1778 – 1829), insigne chimico inglese (al quale, tra l’altro, si deve l’invenzione della lampada di sicurezza per minatori), era amico di Coleridge e rimase molto influenzato dalle idee della Naturphilosophie che quest’ultimo, in lunghe conversazioni, gli aveva fatto conoscere. In questo contesto di pensiero M. Faraday (1791 – 1867) iniziò a lavorare (1813) come sciacquaprovette nel laboratorio di Davy, in un ambiente, quello britannico, dove fu molto importante l’accoglienza che l’esperienza di Oersted ebbe. Nel 1821 Richard Phillips, direttore degli Annals of Philosophy, chiese al giovane assistente di Davy e suo amico, Michael Faraday, di fare, per la rivista, una rassegna storica di tutti gli esperimenti e teorie dell’elettromagnetismo che erano apparsi dopo Oersted. Ma Faraday, nel realizzare il suo lavoro, ebbe modo di ripetere molte delle esperienze che trovava descritte nella letteratura e la cui redazione non lo soddisfaceva; ebbe modo di valutare i pregi e le idee oscure di ogni singola teoria proposta; in particolare non lo convinceva la spiegazione teorica che Ampère dava dell’esperienza di Oersted. Egli, in nessun modo, riusciva a convincersi che le azioni tra filo conduttore e magnete potessero essere rettilinee, istantanee ed a distanza. L’aspetto che più lo colpiva nell’esperienza di Oersted erano gli effetti di simmetria che balzavano immediatamente agli occhi: se l’ago era disposto sotto il filo la rotazione dell’ago avveniva in un senso; sopra il filo la rotazione si realizzava in verso opposto. Su ciò concentrò il suo lavoro fino a realizzare una esperienza in cui, se possibile, le azioni non rettilinee ma circolari erano portate ad una evidenza ancora maggiore. Con l’apparato sperimentale di figura, riuscì a realizzare il moto circolare di un magnete intorno ad una corrente e, simultaneamente, di un filo percorso da corrente intorno ad un magnete. L’apparato è costituito da due coppe di vetro; all’interno delle coppe vi è del mercurio che permette la chiusura del circuito mediante un contatto strisciante (il conduttore rigido si muove mantenendo il contatto elettrico con il mercurio); i conduttori che escono da sotto le coppe sono collegati ad una batteria; quando passa corrente il magnete della coppa di sinistra ed il conduttore della coppa di destra cominciano a ruotare vorticosamente intorno, rispettivamente, al conduttore fisso ed al magnete fisso. Sarebbe stato a questo punto più difficile mettere in discussione le azioni circolari.
Questo successo però quasi obbligò Faraday ad una pausa di riflessione. Questa pausa durò 10 anni nei quali egli si occupò essenzialmente di questioni di chimica. Ma non smise mai di pensare ad un problema che continuava a girargli per la testa: se una corrente produce un effetto magnetico, anche un magnete deve produrre una corrente. Tentò svariati esperimenti, tutti con esito negativo. Finalmente, nel 1831, scoprì l’induzione elettromagnetica: un magnete mosso in prossimità di un circuito non alimentato provoca in esso il passaggio di corrente. Non si trattava di un fenomeno semplice da evidenziare: chissà quante volte Faraday aveva mosso un magnete vicino ad un circuito! Il fatto è che il fenomeno è evidente solo durante il moto relativo di magnete e circuito elettrico. Solo quando c’è una variazione di una qualche grandezza nella fase transitoria. E di questo Faraday si rese ben conto fino a progettare l’esperienza di figura seguente; all’apertura o chiusura del circuito A, mediante il tasto T, il galvanometro G segna passaggio di corrente (se in un dato verso all’apertura, in verso opposto alla chiusura). E’ la prima evidenza chiara di un nesso tra corrente elettrica, magnetismo e movimento (o variazione di una data situazione).
L’apparato è costituito da due coppe di vetro; all’interno delle coppe vi è del mercurio che permette la chiusura del circuito mediante un contatto strisciante (il conduttore rigido si muove mantenendo il contatto elettrico con il mercurio); i conduttori che escono da sotto le coppe sono collegati ad una batteria; quando passa corrente il magnete della coppa di sinistra ed il conduttore della coppa di destra cominciano a ruotare vorticosamente intorno, rispettivamente, al conduttore fisso ed al magnete fisso. Sarebbe stato a questo punto più difficile mettere in discussione le azioni circolari.
L’azione a contatto e non più rettilinea era ormai evidente per Faraday che però era cosciente della difficoltà di convincere i newtoniani. Dopo varie altre esperienze che mostravano nel campo della elettrochimica (elettrolisi) sempre più l’evidenza di azioni a contatto, nel 1838 andò a ricercare l’azione a contatto anche in elettrostatica. Se la trasmissione della forza elettrostatica dipende dalle particelle del mezzo attraverso cui passa la forza, il carattere di queste particelle deve essere tale da avere un qualche effetto sulle forze stesse (capacità, costante dielettrica, costante della legge di Coulomb, …). Come nel caso elettrochimico, l’energia coinvolta nel processo la si ritrova nel mezzo esistente tra le cariche elettrostatiche. E come nel caso elettrochimico il fenomeno ha luogo nel mezzo interposto tra le cariche elettrostatiche. I corpi inducente ed indotto sono semplicemente i terminali dell’azione e delle particelle in tensione elettrostatica. La forza elettrica risiede nelle particelle e non nei terminali. Lo spazio che prima subiva ora comincia ad agire! Ma, nonostante questi continui successi, le prove fin qui date non convincevano.
Faraday continuò a darne: nell’elettrolisi le sostanze che si decompongono rivestono uniformemente gli elettrodi, mentre secondo la teoria dell’azione a distanza dovrebbero essere ricoperti solo sulle superfici contrapposte. Ciò è possibile solo se l’azione si esercita attraverso linee curve. Nella figura EP ed EN sono i due poli di un voltametro e le linee di azione (più tardi linee di forza).
Le linee curve dimostrano che l’azione è a contatto poiché sono gli effetti di volume delle particelle interposte e sotto lo stato di tensione ad originare curvatura (solo la linea che unisce i centri degli elettrodi è retta). E Faraday mostrò che anche in elettrostatica si verifica ciò provandolo con l’esperienza di figura:
Evidentemente le linee di forza originate dalla bacchetta sono, anche qui, curve e tali da andare dietro la sfera indotta.
L’insieme di questi fatti convinsero Faraday che le linee di forza hanno una realtà fisica: esse rappresentano il continuo di forze che riempie tutto; dove c’è addensamento di linee di forza c’è materia. Il propagarsi di una azione lungo una linea di forza non è istantanea ma richiede tempo. Stesse cose Faraday sperimentò con il magnetismo mostrando l’esistenza di linee di forza anche nel caso di magneti. Il modo da lui usato per rilevarle era il muovere vicino ad un magnete un filo connesso con un galvanometro. Le linee di forza magnetiche sono curve continue e chiuse. Non ci sono quindi né poli né centri di azione ed il mezzo circostante è soggetto e non oggetto delle azioni. Così Faraday scriveva: ” dentro il magnete vi sono linee di forza esattamente uguali in forza e quantità a quelle fuori di esso, ma con direzione opposta …Ed in effetti ciascuna linea di forza è una curva chiusa, che in qualche parte del proprio percorso passa attraverso il magnete cui essa appartiene ” ed aggiungeva ” io propendo a considerare il mezzo esterno al magnete come altrettanto essenziale per il magnete: è esso infatti che collega l’una all’altra le polarità esterne per mezzo di linee di forza curve e fa sì che esse non possano essere altro che curve“. Finalmente, tra il 1844 ed il 1855, Faraday sviluppò la sua teoria di campo. La forza non può esistere senza un mezzo e la forza deve essere trovata nel mezzo, non nel corpo da cui è originata. Le linee di forza si propagano nello spazio vuoto in modo che una delle proprietà di questo spazio è la capacità di trasmetterle. Secondo la teoria di Newton, egli argomentava, due corpi che si attraggono (Sole e Terra, ad esempio) devono essere considerati separatamente come inerti, cioè a ciascun corpo non deve essere associata alcuna forza. Se ora facciamo interagire i due corpi essi si attraggono a seguito del fatto che si sarebbe creata nello spazio tra i due quella forza che li tiene uniti (si ricordi che l’azione alla Newton è istantanea e a distanza). Se invece tolgo uno dei due corpi che stanno interagendo annichilo una forza che precedentemente li teneva uniti. Questi fatti paiono assurdi e l’unico modo per spiegarli è ammettere l’ipotesi che ciascuno dei due corpi abbia una preesistente forza (oggi diremmo energia) che lo circonda e questa forza si diparte da questo corpo pervadendo l’intero spazio. Due corpi che si attraggono sono allora due corpi che fanno interagire le loro preesistenti linee di forza (i loro campi). Su questi argomenti ed in particolare sulla gravitazione, tema per lui di sommo interesse ma sul quale non era in grado di sperimentare, Faraday tornò ancora nel 1857 sostenendo che “se la forza agisce nel tempo ed attraverso lo spazio, essa deve allora agire mediante linee fisiche di forza” e che la gravità “non risiede semplicemente nelle particelle della materia … ma in tutto lo spazio… essendo solo la parte residua delle altre forze della natura“.
CAMPI MAGNETICI GENERATI DA CORRENTI
Torniamo ora ai magneti per vedere come sono fatti i campi introdotti da Faraday ed anche per vedere come sono i campi elettrici.
Il primo fatto notevole che si ricava dall’esperienza di Oersted è che il passaggio di corrente provoca effetti magnetici. Il fatto che vi siano dei materiali magnetici passa da ora in secondo piano perché assume enorme importanza il magnetismo associato alla corrente. Iniziamo con il vedere i campi magnetici (per ora indicati con B senza ulteriori specificazioni) prodotti da magneti permanenti (alle linee di forza del campo magnetico si assegna il verso convenzionale che va dal Nord al Sud del magnete) e vi è da sottolineare proprio il vedere perché le line di forza di Faraday sono visibili mediante della limatura di ferro disposta su un cartoncino poggiato sopra al magnete. Ebbene, medesimi campi si possono osservare disponendo opportunamente delle correnti elettriche, come vedremo.
- (b)
- Campo prodotto da un magnete rettilineo
- Campo prodotto da un magnete ad “U”
- Campo prodotto da due poli magnetici affacciati.
Vediamo ora la struttura dei campi elettrici (per ora indicati con E senza ulteriori specificazioni) che scopriremo simili (simili e non uguali!) a quelli magnetici. Questi campi si possono osservare sistemando il polo positivo o negativo di una pila, oppure ambedue, in una vaschetta contenente olio sul quale galleggiano dei piccoli semi che si orientano lungo le linee di campo.
Campo generato da carica positiva o negativa isolata
Campo generato da due cariche di segno opposto vicine
Campo generato da due placche cariche di segno opposto vicine
Campo generato da due cariche dello stesso segno vicine
Passiamo ora a vedere i campi (per ora indicati con B senza ulteriori specificazioni) prodotti da fili percorsi da corrente, iniziando dalla situazione più semplice, un filo rettilineo (osservo che questo è il campo che provoca la deviazione dell’ago nell’esperienza di Oersted).
- (b)
(c) (d)
Quindi, un filo rettilineo percorso da corrente continua è circondato da un campo magnetico che ha delle linee di forza circolari e concentriche al filo (si tratta di successive superfici cilindriche circondanti il filo, la cui sezione sono le circonferenze di cui ho detto). Fissiamo anche qui convenzionalmente il verso di queste linee di forza circolari, anticipando che la direzione del campo è tangente alle linee di forza (figure b e c).
- (b)
Tale verso è dato dalla regola della mano destra (o della presa della mano destra) secondo la quale si sistema la mano destra in modo di abbracciare (teoricamente) il filo con il pollice orientato secondo il verso della corrente; ebbene le dita, dal palmo alle unghie, forniscono il verso delle linee di forza del campo magnetico. Si può anche utilizzare un’altra regola, quella del cavatappi: si infila il cavatappi dove entra la corrente e si fa ruotare come ordinariamente si fa; il verso di rotazione del manico del cavatappi dà il verso delle linee di forza.
Dato questa prima convenzione è facile andare oltre e passare alle linee di forza di una spira percorsa da corrente. La corrente fa il percorso AaCbB. Entra da sotto il piano Σ in a per poi rientrarvi in b. Nel tratto AaC la corrente si comporta come nel filo rettilineo e quindi le linee di forza che circondano questo tratto di filo sono dirette come indicato dalla freccia (verso antiorario). Lo stesso avviene nel tratto di filo CbB solo che in tal caso la corrente entra da sopra il piano Σ con la conseguenza che il verso è anche qui quello indicato dalla freccia, opposto al precedente (verso orario). Ciò che interessa è valutare la situazione complessiva: delle linee di forza entrano nella spira da dietro ed escono sul davanti.
Una situazione come questa ricorda quanto abbiamo visto per il campo magnetico di un magnete rettilineo. Siamo cioè nella situazione in cui tutte le line di forza escono da un polo ed entrano in un altro. Per convenzione avevamo stabilito che in un magnete le linee di forza escono dal nord per entrare al sud. Torniamo alla spira e traiamo le conseguenze: essa si comporta come un piccolo magnete rettilineo che (nel caso visto) ha il nord nella faccia della spira che si rivolge verso l’osservatore ed il sud nella faccia opposta. La spira percorsa da corrente si comporta come un magnete elementare e viene attratta o respinta da un’altra spira, così come fanno i magneti rettilinei (queste analisi e scoperte e quelle che sull’argomento seguiranno sono dovute ad Ampère).
Scoperta questa proprietà della spira cerchiamo di capire come si comporta un lungo avvolgimento a spire di un filo (solenoide).
In quest’ultimo disegno si utilizza la mano sinistra anziché la destra con la conseguenza che il pollice indica il verso opposto alla corrente
Qui l’analogia con il campo magnetico di una barra magnetica è molto più evidente e possiamo utilizzare il solenoide percorso da corrente come un ago magnetico che si orienta nel campo magnetico terrestre come fa un ago magnetico.
Fissate queste analogie che comunque richiederebbero molte spiegazioni entrando in dettagli che tralascio, torniamo ad una delle cose che aveva scritto Oersted. Se una corrente esercita una forza su un magnete (Oersted) bisogna attendersi che anche un magnete eserciti una forza su una corrente. Se si dispone una spira percorsa da corrente all’interno di un campo magnetico essa tende a ruotare disponendosi perpendicolarmente alle linee del campo. Il dipolo-spira si orienta in modo che il suo sud vada a sistemarsi di fronte al nord del magnete ed il suo nord verso il sud del magnete. Lo stesso accade con un solenoide percorso da corrente ed un magnete. E su questo lavorerà ampiamente Faraday realizzando macchine che avranno ricadute enormi su ogni aspetto della vita civile dell’uomo.
Per le equivalenze tra magneti e correnti, Ampère realizzò un apparato sperimentale noto come Banco di Ampère. Nella figura seguente è mostrato il Banco con un degli apparati in uso:
I poli di una pila si collegano in A e B. La corrente cammina lungo le due aste di ottone fino ad arrivare alle due coppette a e b contenenti mercurio. Questo è un metallo conduttore liquido che è in grado di realizzare contatti elettrici striscianti. Alle due coppette si possono collegare diversi circuiti. Nella figura riportata tra a e b è collegata una spira che termina con due punte che vanno a pescare nel mercurio. La spira, quando si collega la pila, è un magnete che si muove avvicinandogli un magnete rettilineo ordinario. Allo steso modo se tra a e b si collega un solenoide.
Fin qui abbiamo visto le azioni che si esercitano tra magneti e correnti. Ancora Ampère studiò le azioni tra correnti. Se una corrente si può comportare come un magnete, tra due correnti si deve prevedere un’azione attrattiva o repulsiva. Poiché una corrente crea un campo magnetico ed un campo magnetico esercita una forza su una corrente, anche due correnti eserciteranno una forza tra loro, forza che sarà di natura magnetica. Vediamo.
Due fili rettilinei percorsi da correnti concordi si attraggono mentre due fili rettilinei percorsi da correnti discordi si respingono. Osservando la figura è facile capire cosa accade. Riferiamoci ai due fili percorsi da correnti concordi ed in particolare sulle linee di forza del campo di ciascun filo (le circonferenze) e su di queste della parte riportata in grassetto. Ognuna di esse è analoga ad un ago magnetico.
Se si mettono due aghi magnetici affiancati con le stesse polarità, i due aghi si respingono. Analogamente le due parti di linee di forza a contatto hanno versi opposti e, in quanto tali, si attraggono. Discorso opposto si deve fare per la parte in grassetto delle linee di forza dei due fili percorsi da correnti concordi: in questo caso le due parti di linee di forza a contatto hanno stesso verso e quindi si respingono. Il caso di due correnti concordi sezionate con i loro campi connessi è riportato in figura seguente dove si vede che medesimi campi B sono affacciati.
MOTORE ELETTRICO
Consideriamo un campo magnetico uniforme come quello di figura:
Se inseriamo una spira percorsa da corrente dentro questo campo vi saranno effetti di attrazione e repulsione tra il campo stesso e le polarità magnetiche che la spira ha.
Se la spira è sistemata come in figura, al centro e perpendicolare alle linee di forza del campo magnetico e con il suo nord affacciato al sud del magnete (ed il suo sud evidentemente affacciato al nord del magnete), la spira è ferma perché le forze attrattive da una parte e dall’altra si equilibrano.
Se la spira, sempre mantenendosi al centro del campo del magnete, forma un dato angolo con le line di forza di questo campo (l’angolo α è quello formato tra le linee di forza del campo e la perpendicolare n al piano della spira), non vi sarà più equilibrio e la spira ruoterà fino a sistemarsi nella posizione di equilibrio di figura precedente (n si sovrappone a B e l’angolo α = 0).
Capito il meccanismo cerchiamo di stabilire con maggiore precisione quali sono le forze che agiscono su una spira percorsa da corrente all’interno di un campo magnetico uniforme.
FORZA MAGNETICA AGENTE SU UNA CORRENTE IN UN CAMPO MAGNETICO UNIFORME
Consideriamo la figura seguente e sia il lato BC della spira mobile. Su questo lato (come su ogni altro lato) della spira si esercita una forza F qualunque sia l’orientazione della spira nel campo.
L’intensità della forza varia al variare dell’orientazione ed esiste una direzione di BC in corrispondenza della quale la forza si annulla. Tale direzione è quella mostrata in figura seguente e noi l’assumeremo come direzione del campo magnetico (direzione di BC quando la forza F è nulla).
Si verifica sperimentalmente che la forza è massima quando il lato della spira ℓ = BC risulta perpendicolare alle linee del campo B ed in tal caso vale:
La direzione di F è sempre perpendicolare al piano formato da B ed ℓ ed il verso è dato dalla regola della mano sinistra:
COPPIA DI FORZE AGENTE SU UNA SPIRA IMMERSA IN UN CAMPO MAGNETICO. MOTORE ELETTRICO
Riprendiamo ora in considerazione una spira percorsa da corrente posta all’interno di un campo magnetico B. Nella figura seguente è mostrata la spira prospetticamente nel campo e vista dall’alto.
D quanto visto nel paragrafo precedente ogni lato della spira è soggetto ad ua forza dato dalla regola della mano sinistra ora vista. Ciò fornisce le forze agenti sui lati della spira disegnate nella figura precedente.
F1 = – F3 giacciono sulla stessa retta d’azione
F2 = – F4 giacciono su piani differenti in modo da costituire una coppia di forze che fa ruotare la spira.
Guardando la situazione dall’alto si ha la seconda figura ora riportata. C’è da osservare che la rotazione della spira avrà la massima intensità quando α = 90° (B giace nel piano della spira) e nullo per α = 0° (B perpendicolare al piano della spira).
Se si inverte il verso della corrente si invertono i versi delle forze e la spira ruota in senso inverso fino a tornare nella posizione di equilibrio.
Su questa proprietà si basa il motore più semplice, quello a corrente continua.
Riferendoci alla figura seguente, in (a) la spira tende a ruotare per portarsi alla sua posizione di equilibrio; in (b) ha raggiunto tale posizione che, per inerzia, supera almeno di un poco (se non si interviene in alcun modo dall’esterno, dopo alcune oscillazioni, la spira si ferma nella posizione di equilibrio); in (c) si è invertito il verso della corrente e ciò fa continuare la rotazione della spira fino ad arrivare di nuovo ad una posizione simile a quella che aveva in (a): in (d) si riprende come se ripartissimo da (a).
La figura seguente mostra il meccanismo (collettore) che permette il cambiamento di verso della corrente nella spira attraverso dei contatti striscianti su dei semicilindri metallici connessi agli estremi della spira:
Quest’ultima figura mostra come opera il collettore: in (a) la corrente che entra attraverso la spazzola C, va sul semicilindro 1, passa alla spira stabilendo un verso della corrente in essa, quindi esce attraverso il semicilindro 2 e la spazzola C’; in (b) la corrente che entra attraverso la spazzola C, va sul semicilindro 2, passa alla spira stabilendo il verso della corrente in essa opposta al precedente, quindi esce attraverso il semicilindro 1 e la spazzola C’.
In definitiva, cambiando continuamente il verso della corrente, si ottiene una rotazione continua della spira nel campo magnetico del magnete.
Quanto ora descritto è il principio del motore elettrico a corrente continua. Dato il principio sono seguiti i perfezionamenti che hanno, in definitiva sostituito la spira con una matassina di spire (il rotore che si muove dentro lo statore):
Un rotore
E’ appena il caso di dire che la parte più vicina all’osservatore è quella collegata alle spazzole e quella che in definitiva genera la rotazione del rotore. Occorre però dire che dall’asse più distante a chi osserva le figure si prende l’energia da utilizzare per qualunque macchina si voglia far funzionare (frullatore, spremiagrumi, dinamo di un’automobile, …).
Resta da vedere come sia stata inventata e prodotta la corrente alternata a partire dai fondamentali lavori di Faraday. Lo faremo nella Terza Parte di questo lavoro.
NOTE
- Faccio qui il conto tralasciato nel testo.
CAMPI CONSERVATIVI
Si definisce conservativo un campo di forze quando il lavoro fatto per spostarsi tra due punti A e B di esso è indipendente dal cammino percorso. Dietro la definizione data vi è un fatto semplice. Supponiamo che da un paesino A a fondovalle si voglia raggiungere una cima B. Tale cima, come si sa, è raggiungibile per varie vie, da quella per principianti a quella per esperti scalatori. L’una sarà una passeggiata che si servirà di molti tornanti, l’altra punterà a perpendicolo verso la cima. Ambedue, il principiante e lo scalatore, faranno un lavoro per andare da A a B. Nel caso del principiante si avrà l’applicazione media di una forza minore ma il tragitto è più lungo; nel caso dello scalatore vi sarà l’applicazione di una forza maggiore per un tragitto però più breve. Si tratta di capire quale lavoro è maggiore se ve ne è uno maggiore. La cosa non è priva di senso, semplicemente perché, ad esempio, dovendo costruire una strada si tenterà sempre di farlo lungo il preteso tragitto in cui il lavoro sia minimo. Fin qui mi sono riferito al campo gravitazionale. Stesse cose si possono dire per campi elettrici, magnetici, elettromagnetici, … evidentemente con esemplificazioni diverse. Rappresentiamo con un disegno i due punti A e B uniti da due tragitti, l’1 ed il 2 che ci permettono di andare da un punto all’altro secondo il verso delle frecce (Fig. 1).
a b
Figura 1
Tornando al campo conservativo e riferendoci alla figura 1, la definizione data vuol dire che se un campo è conservativo il lavoro fatto per andare da A a B lungo la linea 1 deve essere lo stesso di quello che si fa lungo la linea 2:
(LAB)1 = (LAB)2
Dire questo equivale a dire che in un campo conservativo il lavoro che si fa per andare da A a B lungo una linea (1) è uguale e di segno opposto a quello che si fa per andare da B ad A lungo un’altra linea (2):
(LAB)1 = (-LBA)2
Ed in definitiva se si calcola il lavoro fatto per andare da A a B e quindi da B ad A, dopo aver percorso un giro completo (Fig. 1b), questo deve essere nullo:
(LAB)1 – (-LBA)2 = 0 ⇒ (LAB)1 + (LBA)2 = 0
Dimostriamo in un caso elementare che il lavoro fatto per spostarsi lungo una linea chiusa in un campo gravitazionale è nullo, dimostriamo cioè che il campo gravitazionale è conservativo. Consideriamo una massa m sferica da dover caricare sul cassone di un camion. Le possibilità evidenti sono due: o facciamo rotolare la massa fin sotto il cassone e poi la solleviamo (cammino 1), o sistemiamo una tavola che ci serva da piano inclinato su cui far rotolare la massa sul cassone del camion (cammino 2). Anche qui facciamo un disegnino per capire meglio (Fig. 2).
Figura 2
Occorre calcolarsi il lavoro fatto per andare da B ad A, quindi quello fatto per andare da A a C ed infine quello fatto per andare da C a B. La somma di questi valori fornisce il lavoro fatto per spostarsi lungo una linea chiusa all’interno di un campo gravitazionale (si noti che, la linea rossa corrisponde al lavoro che si fa lungo un cammino e la linea verde quello che si fa lungo l’altro cammino: per considerare l’insieme dei due cammini come linea chiusa ho considerato uno dei due cammini percorso in senso inverso, come annunciato nella seconda relazione scritta). Ricordando che il lavoro è il prodotto scalare di forza per spostamento:
L = F × s = F ⋅s⋅ cosα
si trova subito che:
LBA = p . s . cosα = p . h
(poiché la forza deve essere moltiplicata per la proiezione dello spostamento su di essa)
LAC = 0
(poiché la forza è perpendicolare allo spostamento e quindi cos α = 0)
LCB = – p . h
(poiché forza e spostamento hanno versi opposti).
In definitiva:
L = LBA + LAC + LCB = p . h + 0 – p . h = 0.
Con questo conticino elementare si dimostra (solo in questo caso semplice) che il campo gravitazionale è conservativo. Il caso è semplice perché abbiamo supposto implicitamente che le linee lungo cui agisce la forza gravitazionale sono parallele tra loro. Tale approssimazione è pure legittima ma non fornisce una dimostrazione rigorosa. Per dimostrarlo in generale ci si può servire di identica dimostrazione che darò per il campo elettrico, nel caso in cui le linee lungo cui agisce la forza di tale campo sono radiali, si dipartono cioè da una carica come prolungamento dei suoi raggi.
CONSERVATIVITA’ DEL CAMPO ELETTRICO: CASO RADIALE
Si abbia una sfera carica + Q di raggio R. Il campo radiale creato da tale sfera è dato da:
(1)
Supponiamo ora di avere una piccola carica + q che si sposti, seguendo una linea di campo, dal punto A (sulla superficie della sfera carica) ad un punto qualunque B.
Figura 3
Ora calcoleremo il lavoro che le forze del campo fanno a spostare tale carichetta da A a B (cammino 1), quindi calcoleremo il lavoro che dovremo fare contro le forze del campo per riportare la carichetta in A lungo il cammino 2. Ma torniamo al calcolo del lavoro fatto per portare + q da A a B. Per farlo occorre partire con una osservazione di fondamentale importanza, pena un calcolo errato in tutto. Lo spostamento è AB e qui non vi è nulla da osservare. Ma la forza (che si ottiene moltiplicando la carica + q per il campo E) è davvero un grave problema perché, osservando la (1), ci si rende immediatamente conto che essa varia con l’inverso del quadrato della distanza (l’analogo della forza gravitazionale). Le altre cose che compaiono nella formula sono delle costanti, anche Q, una volta fissata è quella e basta. Il fatto che la forza vari con il quadrato della distanza, vuol dire che man mano che ci si allontana dalla carica Q tale forza diminuisce. Fin qui è chiaro. Il fatto è che la variazione di tale forza avviene punto per punto. Ciò vuol dire che per calcolare il lavoro fatto per andare da A a B occorre sommare infiniti lavori, quelli fatti punto per punto (della linea AB) che sono diversi tra loro. Se ci mettiamo con la matematica classica a fare questo calcolo troviamo come risultato zero. Una forza moltiplicata per uno spostamento nullo dà zero e sommando infinite volte zero, abbiamo sempre zero. Come fare? Seguiamo il metodo di calcolo seguente. Suddividiamo la distanza AB = r – R in tanti piccoli segmenti tali che, in ognuno di essi la forza F = q.E sia approssimativamente costante, pari cioè al valor medio (attenzione: non ho detto media aritmetica!) nell’intervallo. All’inizio del primo intervallo (punto A) la forza che agisce sulla carica +q sarà data da:
alla fine dello stesso intervallo sarà:
Il problema è avere una media nell’intervallo di questi due valori. La media aritmetica (sommare i due valori di forza per poi dividere per 2) dovrebbe prevedere una diminuzione costante della forza nell’intervallo. Ma qui la forza diminuisce con il quadrato, se cioè ci si allontana di 2 la forza diventa un quarto, se ci si allontana di 3 la forza diventa un nono, … Una media che risponde allo scopo è la media geometrica, media in grado di determinare il tasso medio di decremento (o accrescimento) di un fenomeno (nel nostro caso: decremento della forza). Si definisce come media geometrica tra N valori (nessuno dei quali negativo o nullo), la radice N-esima del loro prodotto. Nel nostro caso abbiamo 2 valori e quindi dovremo calcolare la radice quadrata del loro prodotto. Chiamando con F1 la nostra media, si trova:
Nel secondo intervallo (quello che va da r1 ad r2) si troverà:
e così via:
……………………..
Il lavoro che la forza F1 compie nel primo intervallo, sarà:
.
Analogamente, per ∆L2, ∆L3, …, si trova:
………………………..
Poiché il lavoro complessivo L3 fatto dalla forza elettrica in questi primi tre intervalli sarà:
L3 = ∆L1 + ∆L2 + ∆L3
si ha:
cioè:
Estendendo il ragionamento a tutti gli intervalli, osservando che il secondo termine dentro una parentesi tonda si annulla con il primo della parentesi tonda successiva, si trova che il lavoro totale LAB , per spostare la carica +q da A a B è dato da:
Prima di andare oltre si deve notare che questo lavoro è fatto dalle forze del campo (è il campo elettrico della carica +Q che allontana la carica +q) e non contro di esse come nel caso in cui, invece di una carica +q, avessimo avuto una carica –q (in tal caso, per andare da A a B dovevamo essere noi ad esercitare una forza sulla carica –q che altrimenti sarebbe stata spontaneamente attratta da +Q). In quest’ultimo caso l’espressione doveva essere cambiata di segno. Ma torniamo alla discussione che stavamo facendo.
Volendo chiudere il discorso sul campo elettrico, campo conservativo nel caso radiale, occorre fare il conto del lavoro che si fa per tornare da B ad A, attraverso la linea 2 della figura 3. Se facendo questo conto, troviamo lo stesso valore (cambiato di segno) che abbiamo ora trovato per il lavoro, allora potremo concludere che il lavoro fatto per andare da A a B è indipendente dal cammino percorso in accordo con quanto detto all’inizio: il lavoro fatto lungo una linea chiusa è nullo.
Figura 4
Riferendoci alla figura 4, soffermiamoci sulla linea curva che unisce B ad A. Anche qui mi servirò di ragionamenti analitici. Tale linea la posso pensare costituita da tanti tratti radiali (paralleli alle linee di forza) e da tanti archi di cerchi concentrici alla sfera. Lungo tali archi la forza che sposta la carica non compie lavoro perché la forza è perpendicolare allo spostamento (la forza agisce lungo la linea di forza e tale linea è un raggio della sfera e quindi perpendicolare alla sua superficie ed a tutte le superfici concentriche ad essa). Nel tragitto curvo restano allora solo da considerare i contributi radiali e la somma di tali contributi non è altro che il tratto BA: Pertanto il lavoro complessivo (lavoro fatto contro le forze del campo) che facciamo per portare la carica +q da B ad A lungo la linea curva non è altro che quello che abbiamo già trovato cambiato di segno. Pertanto:
LBA = – LAB ⇒ L = LAB + LBA = 0.
Con questo abbiamo dimostrato la conservatività del campo elettrico nel caso radiale. Merita appena una citazione la generalizzazione del caso. Nel caso in cui la carica +q si sposti come mostrato in figura 5a le cose vanno in modo identico a quanto visto e la relazione che ci fornisce il lavoro per andare da A a B è la stessa.
- (b)
Figura 5
Nel caso in cui da A a B si sposta una carica – q (figura 5b), come già accennato, occorre cambiare di segno all’espressione che ci fornisce quel lavoro che diventa:
Aggiungo solo che, con dei conti identici, si dimostra anche la conservatività del campo gravitazionale.
(2) UN POSSIBILE APPROCCIO ALLA TEORIADELL’ELETTRONE LIBERO ED ALLA TEORIA DELLE BANDE DI ENERGIA
IL CAMPO DI ENERGIA POTENZIALE IN UN METALLO
Un modello semplificato per la struttura cristallina di un metallo vede un reticolo tridimensionale di atomi disposti ai vertici di figure solide regolari. In un metallo puro, allo stato solido, gli atomi si dispongono secondo una geometria ordinata e regolare, chiamata reticolo cristallino, che si ripete uguale in tutte le direzioni (ciò non accade nelle sostanze amorfe). Ai vertici del reticolo vi sono gli atomi. Per quel che ci riguarda è meglio dire che vi sono gli ioni positivi circondati da elettroni liberi di muoversi.
La struttura di un metallo: una cella elementare che si ripete uguale in tutte le direzioni.
Volendo considerare l’energia potenziale in un punto all’interno del metallo occorre tener conto che essa è la risultante di tutte le energie potenziali che sono prodotte in quel punto dagli ioni che occupano i vertici del reticolo.
L’atomo che occupa un vertice del reticolo ha poi, esso stesso, una struttura che, in prima approssimazione, può essere pensata costituita da un nucleo di carica positiva Ze (con Z numero dei protoni, ciascuno di carica + e) circondato da Z elettroni (in orbite che approssimativamente si svolgono lungo una sfera).
Se prendiamo in considerazione un elettrone sull’ultimo livello energetico atomico (un elettrone di valenza, elettrone che partecipa alla conduzione) di uno di questi atomi del reticolo è facile capire cosa accade. Questo elettrone avrà carica q1 = – e; vedrà quindi la parte rimanente del «suo» atomo come uno ione di carica q2 = + e.
Facciamo ora l’ipotesi di scegliere come riferimento l’infinito in cui il potenziale vale V = 0 e ricordiamo che, per un atomo isolato, l’espressione che ci fornisce il potenziale V in un punto a distanza r dal nucleo è:
V = q1 /r
dove q1 è la carica totale racchiusa in una sfera di raggio r.
E’ allora evidente che l’energia potenziale U è data da:
Poiché nel nostro caso la carica totale fornita dallo ione è q1 = + e, si trova subito che il valore per l’energia potenziale di un elettrone nel campo dello ione è:
=> =>
Rappresentando graficamente questa espressione (si tratta evidentemente di una iperbole equilatera riferita ai propri assi: U·r = – e2 )si trova (figura 1):
E’ bene, a questo punto, ricordare che r è una distanza radiale dallo ione (in figura indicato con α) e quindi deve essere considerata in tutto lo spazio circostante lo ione. Scelta quindi una direzione arbitraria a partire dallo ione, la curva S di figura rappresenta la funzione U = U(r) a destra dello ione mentre la curva tratteggiata rappresenta U(r) a sinistra dello stesso ione.
Il metodo induttivo ci permette facilmente di arrivare alla situazione del cristallo da cui eravamo partiti.
Consideriamo allora due ioni (α e β) adiacenti e trascuriamo tutti gli altri. Nella figura 2 si vede come vanno le cose, tenuto conto che:
S rappresenta la funzione U(r) per lo ione α;
S’ » » » » » » β;
S” rappresenta la funzione U(r) risultante dall’interazione (somma) dei due ioni (si osservi infatti che: ab + ac = ad).
Una importante caratteristica della curva S” risultante è il suo essere praticamente coincidente con le curve S ed S’ nelle vicinanze degli ioni e più schiacciata delle altre due nella zona tra essi compresa.
Consideriamo ora una intera fila di ioni (α, β, γ, δ, …) all’interno del reticolo metallico e cerchiamo di trovarci l’andamento dell’energia potenziale da ione a ione fino ad arrivare alla superficie del metallo.
Il procedimento, analogo a quanto visto per due ioni adiacenti (si tiene conto solo della piccola influenza che sulle curve risultanti danno ioni vicini), fornisce la curva di figura 3.
Quello che si nota subito è che all’interno del metallo c’è una ampia regione che è, con buona approssimazione, equipotenziale a campo medio nullo (basta osservare che, a parte la rapida variazione di U nelle immediate vicinanze degli ioni, dove tende a – ∞, le curve risultanti sono molto schiacciate nelle zone tra ione e ione, fatto questo che sta appunto ad indicare la lenta variazione di U (r) in queste zone).
Soffermiamoci ancora sulla figura 3; si vede che lo ione δ è l’ultimo sulla destra della fila di ioni presa in considerazione. Il che, è ovvio, vuol dire che alla sua destra non vi sono più ioni. Ebbene questo ultimo ione non può essere considerato esso stesso la «superficie» del metallo; alla sua destra c’è infatti una piccola zona a cui compete un certo valore di energia potenziale di cui bisogna tener conto. Questa piccola zona alla destra di δ sposta la «superficie» del metallo di poco ed in un modo non perfettamente definito. Dalla figura si vede che la curva che ci dà U alla destra di δ è molto più «alta» di tutte le altre. Se si tiene conto dell’ovvia osservazione che interno del metallo è circa a sinistra di δ ed esterno del metallo è circa a destra di δ, la maggiore «altezza» della U (r) alla destra di δ implica che nel passaggio dall’interno all’esterno del metallo (e viceversa) c’è una barriera di energia potenziale.
ELETTRONI LIBERI ED ELETTRONI LEGATI
Rimane da vedere cosa fanno gli elettroni in questo campo di energia potenziale. Sempre riferendoci alla figura 3, consideriamo un elettrone a cui compete una energia corrispondente al livello A di figura. Esso sarà uno degli elettroni dei livelli energetici più interni dell’atomo e perciò risulterà fortemente attratto dal nucleo (elettrone legato), avendo a disposizione solo il piccolo tratto ab per i suoi movimenti. Questo elettrone infatti “colliderà” alternativamente nei punti a e b delle barriere di energia potenziale non avendo possibilità di liberarsi e di entrare in qualunque processo di conduzione quando si applichi un campo elettrico esterno.
Gli elettroni liberi sono invece quelli a cui compete, ad esempio, un’energia corrispondente al livello B di figura 3.
Questo elettrone non possiederà solo energia potenziale ma sarà dotato anche di energia cinetica; esso si muoverà liberamente all’interno del metallo risentendo solo della piccola azione che gli altri elettroni liberi hanno su di lui. Quando questo elettrone raggiunge la superficie del metallo colliderà con la barriera di energia potenziale nel punto C e, rimbalzando, tornerà verso l’interno del metallo.
Un elettrone «più libero» ancora è quello a cui compete, ad esempio, un’energia corrispondente al livello D di figura 3. Questo elettrone ha complessivamente un’energia superiore a quella della barriera; esso è pertanto in grado di lasciare, in qualsiasi momento, il metallo (ad esempio: per effetto fotoelettrico o termoionico).
MODELLO SEMPLIFICATO DELL’ENERGIA POTENZIALE ALL’INTERNO DI UN METALLO (IL MODELLO DELL’ELETTRONE LIBERO)
Consideriamo ancora la figura 3 ed in essa la zona di energia in cui gli elettroni sono liberi. Questa zona può essere schematizzata come in figura 4 e quindi come in figura 5.
La schematizzazione che abbiamo fatto corrisponde ad aver ammesso che il campo agente su di un elettrone, all’interno del metallo, sia effettivamente uguale a zero, e non solo in media. Ci interesseremo quindi degli elettroni liberi (quelli responsabili dei fenomeni di conduzione) che si trovano, in base alla nostra ipotesi, in una regione equipotenziale (non soggetti ad alcuna forza) dove si comportano allo stesso modo di un gas perfetto; nel far questo trascureremo completamente gli elettroni legati. Questo punto di vista è, come si può riconoscere, in accordo con l’elettrostatica classica anche perché non tiene conto della struttura atomica.
Poiché è un fatto sperimentale che a temperatura ambiente non si osserva emissione di elettroni da un metallo, viene spontaneo ammettere che, a temperature di questo ordine (~300° K), un elettrone in riposo all’interno del metallo si trovi ad una energia potenziale minore di quella che competerebbe ad un elettrone in riposo al di fuori del metallo. Ciò significa che tutti gli elettroni debbono trovarsi, a temperature ordinarie, al disotto del «livello di vuoto» (energia di un elettrone in riposo al di fuori del metallo) di figura 5, dentro la buca di energia potenziale di profondità ES. Ad una temperatura T = 0°K tutti i livelli energetici fino ad EF sono pieni (rispettando però il principio di Pauli: al massimo due elettroni per ogni livello energetico), tutti quelli più che si trovano più su sono vuoti. Alla quantità:
F = ES – EF
si dà il nome di potenziale di estrazione di un elettrone da un metallo (o funzione lavoro).
INSUFFICIENZA DEL MODELLO
II modello dell’elettrone libero mentre spiega bene la conducibilità elettrica e termica dei metalli, non spiega altri fenomeni, tra cui la differenza tra conduttori ed isolanti (perché alcune sostanze hanno degli elettroni liberi ed altre no?) e come mai la forte corrente che può condurre un metallo diminuisce al crescere della temperatura mentre la debole corrente condotta da un isolante aumenta con la temperatura.
LA TEORIA DELLE BANDE NEI SOLIDI
I fenomeni a cui abbiamo accennato alla fine del precedente paragrafo trovano una brillante spiegazione con l’introduzione della teoria delle bande (di energia).
Per spiegare, almeno qualitativamente, il contenuto della teoria, occorre rifarsi per un momento ad un fenomeno ben noto in fisica: la corda vibrante. Una corda elastica lunga L, unidimensionale e continua, fissata con un estremo ad una parete e tenuta in mano all’altra estremità, potrà vibrare solo a quelle frequenze che soddisfano la seguente condizione: la lunghezza d’onda λ deve essere un sottomultiplo intero del doppio della lunghezza L della corda (2L = nλ, con n ≥ 1ed intero). Le frequenze possibili sono quindi discrete (ricordiamo che n è proporzionale ad 1/λ), ad ogni valore intero di n appartiene una frequenza.
La stessa cosa si verifica per un oscillatore del tipo riportato in figura 6 (a) (massa m collegata ad una molla che è fissata ad una parete); si hanno cioè frequenze discrete del tipo riportato in figura 6 (b).
Se ora accoppiamo (accoppiamento debole) due oscillatori con frequenze uguali come in figura 7, si può dimostrare che se le frequenze possibili per i due oscillatori disaccoppiati (figura 6 a) sono quelle riportate in figura 8 (a) e (b), le frequenze possibili per i due oscillatori accoppiati (fig. 7) sono date dalla figura 8 (c). [Per tutti i conti relativi a questa parte vedi: Carlo e Silvia Bernardini, Fisica degli atomi e dei nuclei, Zanichelli, 1965]. Quello che succede è che ogni frequenza degli oscillatori isolati si scinde in due frequenze distinte.
Se abbiamo tre oscillatori disaccoppiati che oscillano con frequenze uguali e li accoppiamo otteniamo che ogni singola frequenza di oscillazione dell’oscillatore isolato si scinde in tre diverse frequenze (fig. 9).
Ritornando nel campo atomico ed osservando che l’atomo è un oscillatore, l’estensione è immediata.
Consideriamo due atomi identici a grande distanza l’uno dall’altro. Supponiamo, per fissare le idee, che questi due atomi abbiano i loro elettroni disposti sugli orbitali S. I livelli energetici elettronici per questi atomi saranno come quelli riportati in fig. 10.
Ora avviciniamoli. Essi quanto più saranno vicini tanto più interagiranno. In definitiva non si dovranno più considerare i due atomi (oscillatori) separati ma accoppiati. Quello che accade è analogo a quanto abbiamo visto nel caso degli oscillatori ed è riportato in figura 11 in cui è disegnata l’energia E dei successivi livelli energetici in funzione della distanza d tra i due atomi.
.
Quando i due atomi sono a grande distanza vi è un livello energetico 1S singolo e comune (degenere) per i due atomi. Quando i due atomi interagiscono il livello 1S, comune ai due atomi, origina due livelli 1S per l’accoppiamento tra i due atomi, ed il livello 2S per i due atomi separati origina due livelli 2S per l’accoppiamento tra gli stessi due atomi.
Se portiamo ad interagire tre atomi con livelli energetici del tipo riportato in fig. 10 otteniamo un grafico E = f(d) [energia dei livelli energetici degli atomi in funzione della distanza tra di essi] del tipo riportato in figura 12.
Se il numero degli atomi che interagiscono diventa N (circa 1023 per cm3) avremo N livelli energetici in corrispondenza di ogni singolo livello energetico che avevamo per ciascun atomo isolato. Poiché il numero N è enorme, in luogo di considerare 1023 livelli energetici in corrispondenza di ogni livello energetico atomico, si può considerare una banda (continua) di energie permesse agli elettroni in corrispondenza di ogni singolo livello energetico atomico
Quindi se dobbiamo considerare l’interazione di N atomi per cm3 (e questo è il caso di un solido) il grafico E = f(d), che otteniamo, è del tipo riportato in figura 13.
Così per ogni livello energetico atomico avremo N livelli energetici (che formano una banda) per il solido; e poiché per ogni livello energetico si possono avere al massimo 2 elettroni, in ogni banda vi possono essere al massimo 2N elettroni. Si ha allora banda piena (semipiena) per un solido i cui atomi hanno un numero pari (dispari) di elettroni liberi.
Poiché stiamo trattando con atomi è importante notare che non si debbono più considerare livelli energetici elettronici relativi al singolo atomo ma, per così dire, il singolo atomo sparisce e si ha a che fare con livelli elettronici che sono di tutto il cristallo. In ognuno di questi livelli poi, come abbiamo già visto, vi possono essere al massimo due elettroni e ve ne sono due solo se hanno spin antiparalleli. Ebbene, conseguentemente con quanto detto ora, questi elettroni si muoveranno con traiettorie quantizzate attraverso l’intero cristallo.
E’ proprio dal riempimento delle bande, costituite dai livelli elettronici del cristallo, che è possibile trovare una distinzione tra conduttori ed isolanti.
Prima di far questo, però, forniamo un modo più semplice per rappresentare le bande. Allo scopo serviamoci della figura 14.
Nella figura 14 (a) sono schematizzate le bande energetiche che si formano all’interno di un solido: la banda ad energia più bassa è completamente piena di elettroni, quella intermedia altrettanto, mentre l’ultima è completamente vuota.
I casi che si possono presentare in termini di riempimento di bande e distanza tra queste ultime sono riportati in fig.15:
La figura 15 (a) è relativa al caso di un materiale isolante. Le prime due bande sono completamente piene di elettroni, mentre l’ultima banda è completamente vuota. Nelle bande completamente piene gli elettroni non hanno possibilità di contribuire alla conduzione, a causa del principio di Pauli. Infatti l’acquisto di energia da parte di un elettrone implica un suo salto ad un livello energetico a cui compete una energia superiore, ma, essendo tutti i livelli occupati da due elettroni con spin antiparalleli, non c’è possibilità, all’interno della banda, che un elettrone acquisti energia, poiché non ha livello energetico dove sistemarsi. D’altra parte i primi livelli non occupati da elettroni (quelli attraverso i quali gli elettroni stessi potrebbero condurre) si trovano sulla terza banda, quella completamente vuota, ma il salto energetico E1 tra la banda piena e quella vuota è tanto grande che la forza elettrica, comunemente impiegata, non è in grado, da sola, di fornire energia sufficiente ad un elettrone, che si trova nella banda piena, per questo salto.
La figura 15 (b) è relativa al caso di un materiale conduttore. La prima banda (quella ad energia più bassa) è completamente piena di elettroni, la seconda è piena per metà, mentre la terza è completamente vuota. In questo caso basta fornire agli elettroni una piccolissima quantità di energia E2 per mandarli in conduzione sui livelli energetici che sono liberi all’interno della stessa banda (quella ad energia intermedia). [Ricordiamo che fornendo energia ad un «set» di elettroni, situati in una banda, i primi ad essere eccitati sono quelli che si trovano sui livelli energetici superiori della banda].
La figura 15(c) è infine relativa al caso di un materiale semiconduttore. La prima banda è completamente piena di elettroni, come pure la seconda, mentre la terza banda è completamente vuota. Come si può osservare la situazione è strutturalmente simile a quella di un materiale isolante; la differenza è che il salto energetico E3 fra le ultime bande, nel caso del semiconduttore, è molto minore del salto energetico E1 del caso dell’isolante. Quando l’intervallo E3 di energia è sufficientemente piccolo l’energia termica (dovuta a volte anche alla sola temperatura ambiente) è in grado di eccitare alcuni elettroni della parte superiore della banda piena, attraverso l’intervallo di energie proibite agli elettroni, fino alla parte inferiore della banda vuota. Allora la banda «piena» non lo è del tutto, e quella «vuota» neppure, e gli elettroni possono condurre in entrambe le bande (vedi figura 16). Poiché, pero, vi sono relativamente pochi elettroni liberi di farlo, i materiali che presentano queste proprietà (silicio, germanio, …), non conducono una corrente paragonabile a quella dei metalli e si meritano il nome di semiconduttori
SPIEGAZIONE CON LA TEORIA DELLE BANDE DI ALCUNI FENOMENI CHE NON TROVANO SPIEGAZIONE CON LA TEORIA DELL’ELETTRONE LIBERO
Abbiamo già visto qual è la differenza tra materiali conduttori e materiali isolanti; abbiamo così spiegato un primo fenomeno che la teoria dell’elettrone libero non spiegava. Cerchiamo ora, con la teoria delle bande, di rispondere a quell’altro problema che era rimasto insoluto: perché la forte corrente che può condurre un metallo diminuisce al crescere della temperatura, mentre la debole corrente condotta da un isolante aumenta con la temperatura? Per rispondere a questa domanda occorre risalire alla natura ondulatoria degli elettroni.
Consideriamo quindi un gas di elettroni all’interno di una scatola in cui una dimensione prevalga nettamente sulle altre due (come riportato in figura 17).
Questa situazione rappresenta in prima approssimazione gli elettroni liberi all’interno di un metallo. Ad ogni elettrone è associata un’onda che ha la caratteristica di darci la probabilità, ad ogni istante, di trovare l’elettrone in un certo punto dello spazio (l’altezza dell’onda in un punto misura la probabilità che l’elettrone si trovi in quel punto). Affinché un’onda possa esistere lungo il «segmento» L occorre che essa valga zero alle due estremità di L (vedi figura 18).
Questo fatto è direttamente legato al moto di un elettrone lungo la direzione L all’interno della scatola. Se l’elettrone è un’onda (e se c’è l’onda c’è l’elettrone), esso urtando ad una estremità della scatola deve riflettersi su se stesso (ricostruendo la stessa onda) per andare di nuovo ad urtare all’altra estremità che lo farà di nuovo riflettere su se stesso (ricostruendo la stessa onda).
In definitiva la condizione per l’esistenza di un’onda (un elettrone) all’interno di una scatola è che lungo L possa starci un numero esatto di mezze lunghezze d’onda o, che è lo stesso, 2L = nλ (si ricordi quanto visto sulla condizione di esistenza di un’onda su una corda).
All’interno della scatola gli elettroni si muoveranno o verso destra o verso sinistra ed il grafico che ci fornisce le energie degli elettroni in funzione delle velocità è dato dalla figura 19 (si ricordi che E = l/2. mv2 rappresenta una parabola nel piano E, v).
Le lunghezze delle onde permesse (vedi fig. 18) determineranno le velocità permesse che risulteranno equidistanziate sull’asse delle ascisse di figura 19 (si ricordi che v è proporzionale a λ). Sull’asse delle ordinate vi sarà invece l’energia che è permessa ai singoli elettroni che nel caso in esame (gas di elettroni in assenza di nuclei atomici) sarà tutta cinetica.
Nella scatola gli elettroni (in assenza di forze esterne) si muoveranno indifferentemente verso destra e verso sinistra cosicché si può pensare che una metà circa si muove verso destra mentre l’altra metà si muove verso sinistra. Il risultato è che non si ha nessuna «corrente» elettrica risultante.
Prendiamo ora la scatola ed alle due sue estremità applichiamole una forza elettrica in modo che questa provochi uno spostamento degli elettroni da sinistra verso destra (in realtà ci sarà una componente di velocità che si sottrarrà agli elettroni che si muovono verso sinistra ed una componente di velocità che si sommerà agli elettroni che si muovono verso destra). Il risultato può essere schematizzato come in figura 20.
Completiamo ora il modello inserendo nella scatola a distanze regolari i nuclei atomici (ricordando che la dimensione L è molto maggiore delle altre due si dovrà considerare una sola fila equidistanziata di nuclei).
Con i nuclei aggiunti al gas di elettroni la scatola ci rappresenta in prima approssimazione la situazione di un metallo e in accordo con quanto visto nel paragrafo precedente bisognerà tener conto dell’esistenza di bande di energia permesse e proibite.
La figura 21 ci rappresenta la nuova situazione.
Ora, evidentemente, non è più possibile pensare che indefinitamente gli elettroni « passino » da sinistra a destra come avveniva nel caso illustrato in figura 20 (gas di elettroni senza nuclei). Poiché ad ogni passaggio da sinistra a destra corrisponde un acquisto di energia (al passaggio ad un livello energetico più elevato) è chiaro che, data la struttura a bande, questo processo debba ad un certo punto interrompersi (quando gli elettroni sono arrivati ad occupare il livello energetico più elevato che compete ad una banda di energia permessa).
E quando un elettrone raggiunge il livello energetico più elevato di una banda sarà riflesso all’indietro andando ad occupare livelli lasciati vuoti alla sinistra (vedi figure 22 e 23).
A questo punto si può introdurre l’effetto originato dalla temperatura.
La temperatura fa aumentare il moto di vibrazione degli atomi originando quindi una più marcata variazione delle distanze interatomiche del reticolo cristallino (la situazione atomica appare agli elettroni più disordinata). Questo fatto origina la riflessione di elettroni che hanno anche lunghezza d’onda diverse da quelle del limite della banda ed in definitiva si avranno riflessioni di elettroni anche molto prima che essi vadano a trovarsi al limite della banda.
La nuova situazione è illustrata in figura 24.
Quando gli elettroni sono diffusi a sinistra trovano stati ad energia più bassa avendo ceduto sotto forma di calore la differenza di energia agli atomi che li hanno diffusi. Più sale la temperatura e più il disordine atomico aumenta e più onde elettroniche (anche di diverse lunghezze d’onda) saranno riflesse dagli atomi del reticolo.
E’ allora evidente che nel caso di un conduttore, all’aumentare della temperatura debba aumentare la resistenza elettrica.
Rimane ora da prendere in considerazione ciò che avviene per un isolante all’aumentare della temperatura.
Se si scalda molto un materiale isolante aumenta notevolmente l’energia di oscillazione degli atomi che si trovano ai nodi del reticolo. Questa energia si trasmette agli elettroni i quali non potendo «muoversi» all’interno della banda in cui si trovano cercano altri stati in cui sistemarsi. Gli impulsi che gli elettroni ricevono dagli atomi del reticolo sono sufficienti a permettere che una parte di essi possa saltare nella banda vuota dove può cominciare ad entrare in conduzione.
BIBLIOGRAFIA
Millman-Halkias – Electronic Devices and Circuits, Me Graw Hill, 1967.
A. J. Dekker – Fisica dello stato solido, Ambrosiana., 1965.
C. e S. Bernardini – Fisica degli atomi e dei nuclei, Zanichelli, 1965.
A. Holden – La fisica dei solidi, EST Mondadori., 1967.
V. Rydnik – Qu’est-ce que la mécanique quantique?, EM (Éditions de Moscov), 1969.
J. C. Slater – Introduzione alla chimica fisica, Sansoni Edizioni Scientifiche., 1949.
C. A. Coulson – La valenza, Zanichelli, 1968.
Rice e Teller – La struttura della materia, Boringhieri, 1963.
ice e Teller – La struttura della materia, Boringhieri, 1963.
Categorie:Meccanica
Rispondi