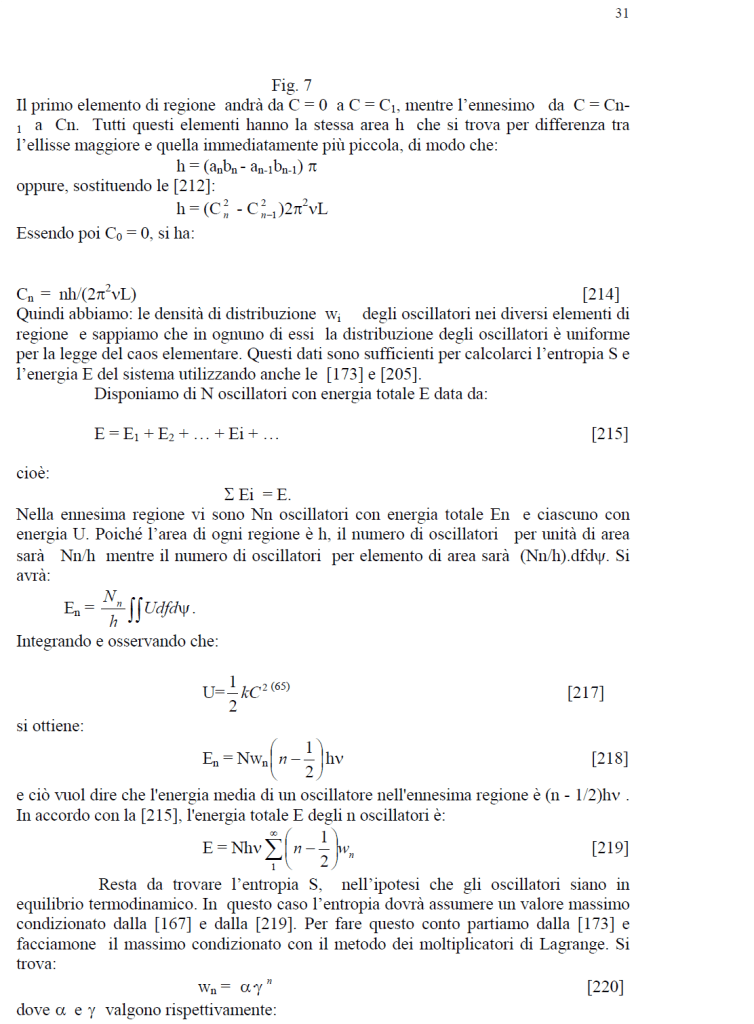
LA FISICA ALL’INIZIO DEL NOVECENTO: LA NASCITA DELLA TEORIA DEI QUANTI By robertorenzetti44 on 23 gennaio 2024 • ( 0 ) Condividi: Condividi su X (Si apre in una nuova finestra) X Condividi su Facebook (Si apre in una nuova finestra) Facebook Mi piace Caricamento...‹ LA FISICA NELL’OTTOCENTO. PARTE X: RAYLEIGH, PLANCKLA FISICA ALLA FINE DELL’OTTOCENTO. PARTE I: I RAGGI CATODICI ›Categorie:Fisica e Storia della Fisica
Rispondi