Roberto Renzetti
CAPITOLO III
1 – UNO SGUARDO SULL’ 800: RAPPORTI FRA SCIENZA, TECNICA, VITA CULTURALE E CIVILE NELLA PRIMA META’ DEL SECOLO
La complessità degli avvenimenti, sia politico-economici sia tecnico-scientifici, che si susseguono nel corso dell’800 è tale da sconsigliare, nell’ambito degli scopi di questo lavoro, un’indagine che abbia una qualchE pretesa di completezza. Cercherò, per quanto possibile, di cogliere gli elementi che ritengo più significativi, rimandando alla vasta bibliografia esistente per tutti gli aspetti e gli sviluppi particolari. Su alcuni punti comunque ritengo sia necessario soffermarsi, soprattutto per cercare di capire più a fondo le problematiche che alla fine del secolo porteranno all’affermazione della Relatività einsteniana. In questo senso mi occuperò con qualche dettaglio della nascita e degli sviluppi dell’elettromagnetismo e di alcune questioni di ottica e di termodinamica.
Anche se non l’ ho teorizzato, credo si sia capito, da quanto precedentemente scritto, che non ritengo si possa cogliere nella sua interezza il processo di crescita delle conoscenze e di articolazione dei dibattiti, dispute o controversie, senza avere come riferimento costante l’evolversi ed il dialettico intrecciarsi tra progresso delle scienze e delle tecniche con storia sociale e civile dei popoli. Nessuna pretesa di originalità quindi nel ricercare anche ora alcuni aspetti dell’interazione suddetta; solo convinzione di fornire elementi utili ad un proficuo approfondimento.
I primi anni del secolo XIX sono segnati, dal punto di vista politico-militare, dalle armate napoleoniche che dilagano in tutta Europa con continue guerre, mai nella storia precedente così sanguinose. Se da una parte la breve vicenda napoleonica scosse la vecchia Europa, retrograda e quasi sempre governata dall’assolutismo (illuminato o meno), diffondendo ideali di libertà, insieme ad una concezione di stato moderno con leggi ispirate ai diritti ed ai doveri del cittadino, d’altro canto essa urtò contro gli spiriti nazionali e, anziché contribuire al diffondersi degli ideali universali dell’illuminismo, generò una massiccia rivolta contro di essi sia da un punto di vista ideale che politico. In ogni caso la politica di Napoleone, fino al suo crollo definitivo (Waterloo, 1815), riuscì ad esportare alcune radicali trasformazioni negli apparati amministrativi degli stati che, già realizzate in Francia, ben presto divennero patrimonio di gran parte dell’ Europa.
In questa epoca la scienza francese, sorretta da massicci finanziamenti al fine di servire le armate napoleonicbe, fece notevoli balzi in avanti. Le scuole tecniche nate durante la Rivoluzione ebbero un notevole impulso. Una generazione di scienziati si formò in esse ( Malus, Arago, Poncelet, Cauchy, Sadi Carnot, Gay-Lussac, Thenard, Dulong e Petit). Inoltre nacquero altre scuole e questo fiorire di iniziative, cui partecipavano come insegnanti i massimi scienziati dell’epoca (Monge, Laplace, Lagrange, Berthollet, …), portò sempre di più ad affermare l’attività scientifica come professione. Fare lo scienziato assunse il significato di lavorare per lo sviluppo tecnico-economico-militare del Paese. Per questo si era pagati. Come conseguenza di ciò e proprio perché dallo studioso, a questo punto, si richiedevano prodotti di sempre più immediata utilizzazione, nacque la specializzazione scientifica. Il filosofo naturale, che si occupava con maggiore o minore successo di troppe questioni abbracciando con le sue ricerche e speculazioni campi molto distanti tra loro, andava via via scomparendo. Certamente rimanevano i Laplace ed i Gauss, ma erano gli ultimi residui della formazione in epoca precedente. Da questo momento e fino a quando le difficoltà che nasceranno all’interno delle singole discipline non imporranno una revisione generale trascendente la disciplina medesima, ognuno coltiverà le sue ricerche particolari sempre più specializzate e sempre più chiuse alla comunicazione reciproca. (128) La separazione tra scienza e filosofia, fatto del quale ancora oggi discutiamo, si realizzò in questo periodo. Gli ideali illuministici che postulavano l’unità del sapere cozzavano ora contro le esigenze militari e produttive. La scienza va sempre più legandosi con il mondo della produzione ed in questo secolo assistiamo al ribaltamento di quanto avvenuto nel secolo precedente; è ora la scienza che razionalmente studia a tavolino i prodotti tecnologici necessari all’aumento della produzione, all’accrescimento dei potenziali aggressivi e qualche volta difensivi degli stati.
” La scienza deve ora attestarsi su canoni metodologici che ne legittimino la ricerca di nuovi standards di esattezza e di rigore, sia manuali che teorici, giustificando lo studio delle leggi naturali e delle loro applicazioni non più in base all’illusione illuministica di essere direttamente uno stimolo per la produzione, ma piuttosto asserendo l’autonomia e la necessità di tale ricerca in quanto valida in sé e destinata prima o poi ad avere applicazioni utili.” (129)
La filosofia che comprenderà e teorizzerà questi Ideali sarà quella del Positivismo che, prima dell’ enunciazione di Comte (1798-1857), (130) “si instaura di fatto come atteggiamento generale e come metodo di lavoro nell’ambito dell’Ecole.” Il Positivismo postula la separazione completa della scienza dalla teologia (laicità dell’uomo e del mondo) ed il netto primato della scienza su altre forme di conoscenza umana. (131) La scienza offre una vasta gamma di risultati ‘positivi’ ma sono soprattutto i suoi metodi che permetteranno il superamento delle argomentazioni ipotetiche, infondate, inverificabili e perciò irrealizzabili. L’adozione di un metodo rigoroso, controllato e comune, il raggiungimento di un’ideale scienza unificata che, nel rispetto delle singole discipline, superi tutti i difetti dell’eccessiva specializzazione e della mancanza di interdisciplinarietà. La scienza è lo strumento indispensabile al progresso dell’umanità. La sua evoluzione permetterà all’uomo di risolvere tutti i suoi problemi di lotta per l’esistenza in una natura sempre meno ostile proprio perché la scienza sempre più è riuscita a sottometterla ai suoi voleri. In questo contesto la filosofia assolve, per Comte, un ruolo importante di ordinatrice e correttrice degli eccessi di specializzazione fino ad arrivare ad un ruolo di promotrice dell’integrazione dei vari risultati che scaturiscono dai vari campi di ricerca.
E tutto ciò proprio nel momento in cui molti scienziati, come dicevamo, sempre più si disinteressavano di filosofia, ritenendo le discussioni sull’argomento troppo generali, quindi generiche e perciò sterili. Questo atteggiamento, spesso definito come ‘ positivistico’, fu osteggiato dagli stessi positivisti ed al suo diffondersi contribuirono molto di più le correnti di pensiero che più decisamente si professavano antipositivistiche. (132) Il disinteresse sempre maggiore da parte dello scienziato per i problemi dell’uomo, con l’ autogiustificazione di far scienza e di stare comunque lavorando per il bene dell’umanità al di sopra di ogni bega contingente, al di sopra delle parti, fu uno degli aspetti più rilevanti ed una delle ‘tentazioni’ più forti dell’800. Basti pensare che ancora oggi ci troviamo a discutere, soprattutto dopo il 1968, della questione della “neutralità” della scienza e della “responsabilità sociale dello scienziato”. (133)
Ma ritorniamo a quanto tralasciato qualche riga più su. Abbiamo parlato del grande impulso che napoleone dette alla ricerca scientifica. In concomitanza con ciò, proprio agli inizi del secolo, in Francia si ebbe una grande ripresa dell’attività pratica (tralasciata, come abbiamo visto, per tutto il ‘700), gli scienziati francesi volsero i loro interessi alla scienza sperimentale ed empirica proprio per soddisfare le impellenti richieste degli eserciti di Napoleone. La caduta di quest’ultimo, il Congresso di Vienna (1815), la Santa Alleanza iniziarono quel periodo che va sotto il nome di Restaurazione. Le forze più conservatrici, legate soprattutto alla nobiltà terriera dell’ “ancien régime”, tentarono di ‘restaurare’ l’ordine sociale ed il potere politico precedente l’esplosione rivoluzionaria. Almeno fino al 1848 il tentativo riuscì e si ripercosse molto gravemente sulla vita scientifica e culturale che venne sottoposta a rigidi controlli. Ma un puro e semplice ritorno al passato era anacronistico. Le coscienze erano maturate e cresciute, era possibile reprimere ma non convincere. In questa fase la borghesia riprese coscienza del suo ruolo motore per lo sviluppo della società. I primi moti contro i nuovi oppressori si ebbero nel 1820-21 (forze liberali); e quindi nel ’48 (liberali + democratici), dopo un’importante parentesi rivoluzionaria (la Comune di Parigi), proprio la borghesia riprenderà quasi ovunque il potere. (134) Durante questa prima metà del secolo le vicende legate allo sviluppo della scienza, della tecnica, della cultura in generale e delle forze produttive si differenzia abbastanza da paese a paese.
In Francia, abbiamo già visto che, a partire dalla Rivoluzione c’è una grande ripresa dell’ attività pratica che comporta una trasformazione notevole della scienza. Uno dei primi compiti, di enorme impegno, che gli scienziati francesi (Monge, Borda, Lagrange, Laplace, Delambre, Coulomb, Berthollet, Lavoisier) si trovarono ad affrontare fu l’unificazione dei pesi e delle misure con l’introduzione del sistema metrico decimale. I lavori iniziarono nel 1793 e si conclusero nel 1799. Questo nuovo sistema fu rapidamente accettato da molti Stati e comportò notevolissime facilitazioni ai commerci. Altri compiti immediati che gli scienziati dovettero affrontare, e che non avevano nulla a che fare con la fisica-matematica settecentesca, erano immediatamente suggeriti dalle esigenze belliche. Monge studiò le questioni riguardanti la fusione e la perforazione dei cannoni. Fourcroy si occupò, come già aveva fatto Lavoisier (nel frattempo caduto sotto la ghigliottina), di sviluppare tecniche atte ad estrarre il salnitro per gli esplosivi dal letame. Allo stesso fine lavorava Berthollet ma con il clorato di sodio e Morveau mediante ossidazione dell’ammoniaca.
Certamente i problemi che si ponevano erano diversi da quelli teorici affrontati durante il ‘700. Questa tendenza ebbe un maggior impulso durante il periodo napoleonico ed in concomitanza con ciò anche l’evoluzione tecnica delle industrie francesi fece notevoli balzi in avanti.
Il periodo della Restaurazione vide in Francia un certo successo delle filosofie idealistiche e romantiche che si diffondevano dalla Germania. Personaggi come Chateaubriand, Lamartine, Madame de Staël potranno dar sfogo ad anacronistiche posizioni metafisiche con decisi caratteri antiscientifici. Per la verità la scienza fu poco toccata da tutto ciò la tradizione dell’ École era troppo forte ed ancora per anni riuscirà a produrre importantissimi risultati. (135) Ora però viene a mancare lo stimolo diretto alla produzione che gli imprenditori borghesi avevano fornito negli anni precedenti. Dopo un poco il filone si inaridì e per vari anni non produsse altro che la solita sistemazione dei risultati precedentemente raggiunti (e questo fatto trovava inoltre una teorizzazione nella filosofia del Positivismo che non accettava nessuna elaborazione ipotetica che andasse al di là dei fatti noti).
In Gran Bretagna, parallelamente a quanto avveniva in Francia nel periodo rivoluzionario e napoleonico, l’attività empirica degli scienziati passava un periodo di crisi. Lo scienziato del Regno Unito, al contrario di quello Francese, spesso langue in miseria non godendo della protezione dello Stato. Non si dispone di finanziamenti per formare scienziati professionisti in scuole pubbliche. L’attività scientifica, anche qui, cambia segno e gradualmente inizia ad interessarsi di questioni di carattere teorico. L’avvertita necessità di cambiamento trovò in Rumford un fecondo interprete, ma i suoi tentativi di rinnovamento, nell’ambito dell’organizzazione e dei metodi delle società scientifiche, non riuscirono a farsi strada in un ambiente restio a mettere in comune le innovazioni tecniche e scientifiche per la paura di concorrenze o plagi sul piano dei brevetti industriali. Riuscirà in parte Davy nel compito che si era prefisso Rumford. Egli otterrà finanziamenti ma presentando la scienza come un qualcosa che oltre ad utile può essere anche divertente.
In questo paese la Restaurazione non avrà che effetti marginali. Si tratta di contrasti tra la borghesia latifondista ed industriale sulla rappresentanza parlamentare spettante a ciascuna. Fino al 1831, anno in cui gli industriali ottengono una riforma elettorale che dà loro maggiore potere, è la borghesia latifondista che guida il paese, su livelli arretrati rispetto alle spinte innovatrici, “agitando lo spauracchio della Rivoluzione Francese”.
Abbiamo già detto della antiquata organizzazione della scienza nelle istituzioni di questo periodo (alla quale aveva in parte contribuito l’isolamento in cui si era chiusa la Gran Bretagna nel secolo precedente). Anche le scuole pativano gli stessi mali. Se si eccettuano le relativamente più giovani università scozzesi, le più prestigiose università inglesi (Oxford e Cambridge) impartivano insegnamenti vecchi e tradizionalisti sotto il controllo culturale di autorità clericali. Ed il dominio dello Stato e delle autorità religiose si cominciò a far sentire in tutti i campi. La scienza veniva sempre più considerata come un qualcosa di eminentemente teorico, visto che tutti i più prestigiosi strumenti della Rivoluzione Industriale provenivano da modesti tecnici senza una preparazione elevata. Si iniziarono comunque a fondare nuove scuole (gli Istituti di Meccanica) per fornire preparazioni diverse; si iniziò ad insegnare la matematica col più semplice simbolismo leibniziano; ma soprattutto si colse la necessità dello scienziato professionista (le ricerche che si dovevano sviluppare erano così complesse che soltanto lavorandovi a tempo pieno c’era la speranza di ricavarne qualcosa e per far ciò occorreva un finanziamento dello Stato o di una grande industria); si fondarono società scientifiche (ad es. l’Associazione Britannica per il Progresso della Scienza – 1831) diverse da quelle tradizionali e pure un tempo prestigiose; fatto però molto importante è che tutto ciò iniziò e si realizzò dall’iniziativa e dai finanziamenti di privati. Solo intorno alla metà del secolo l’intera situazione cominciò decisamente a migliorare portando la situazione strutturale ed organizzativa britannica ai livelli di Francia e Germania che, come vedremo tra poco, era nel frattempo emersa prepotentemente) e facendo di nuovo assumere alla Gran Bretagna una posizione di primato. (136)
Dal punto di vista tecnologico ed in concomitanza con la relativa stasi dell’industria non si conseguirono i risultati clamorosi della seconda metà del ‘700 ma si lavorò al perfezionamento ed alla migliore ed articolata utilizzazione di quanto già noto. Nell’ industria tessile alcuni miglioramenti tecnologici portarono, tra il 1800 ed il 1830, ad una espansione enorme della domanda a seguito di ribassi clamorosi nei costi di produzione. La generale sostituzione della forza motrice idraulica con quella a vapore comportò la realizzazione di centinaia di opifici non più in zone servite da corsi d’acqua ma in città che, conseguentemente, vissero imponenti fenomeni di inurbamento. (137) L’impiego poi del vapore nei trasporti ed in particolare nelle ferrovie, (138) oltre agli ovvi ed incredibili benefici pratici, produsse anche notevoli effetti psicologici sulle nozioni di tempo e distanza.
In Germania, infine, tra la fine del ‘700 e la prima metà dell’ ‘800, si ha m notevolissimo risveglio della vita culturale in netto contrasto con l’arretratezza di fondo delle strutture economiche, politiche e sociali. Abbiamo già detto di Kant, dello Sturm und Drang e della nascita del Romanticismo. Non è certo questa la sede per indagare la complessità, e l’eterogeneità del pensiero tedesco, (139) delle posizioni assunte, dei temi affrontati e degli sviluppi che, in sede speculativa, ne conseguirono. Basti solo dire che i principali indirizzi di pensiero assunsero caratteristiche sempre più antilluministiche e nazionalistiche. E se da una parte Fichte, facendo confluire il suo idealismo nei temi più. spiccatamente romantici, si rivolgerà. alla nazione tedesca perché insorgesse contro le truppe napoleoniche che invadevano la Germania, dall’ altra Hegel (l770-l83l) pretenderà, di determinare le leggi della natura a priori, ricavandole semplicemente su basi metafisiche. (140) A lato di ciò, negli ‘spiriti migliori’ i temi romantici si legavano alle legittime aspirazioni di libertà, ed indipendenza dei popoli. La Germania è un paese diviso in una miriade di piccoli Stati. Ma già nei primi decenni del secolo si fa avanti la Prussia, il più industrializzato tra gli Stati tedeschi, come polo di aggregazione. Della complicata storia della nascita dello stato tedesco, (141) elemento importante fu la fondazione (da parte dell’ imperatore Federico Guglielmo III) dell’ Università di Berlino (l8l0). Questa Università, insieme all’ attività dei ‘filosofi della natura’ che si ispiravano direttamente alla Naturphilosophie di Schelling, fu alla base della rinascita culturale della Germania e della successiva acquisizione da parte di questo Paese del primato scientifico su tutto il mondo. Fu proprio Oken, uno dei filosofi della natura, che fondò nel 1822 la prima società scientifica che rappresentò la rinascita della ricerca scientifica tedesca, su basi più empiriche e sperimentali di quanto fino allora aveva comportato l’eredità di Leibniz. Sulla strada da lui aperta altri si mossero e ben presto, ad imitazione della Francia, sorsero una miriade di scuole politecniche. Cattedre di scienze cominciarono a venir istituite in tutte le università tedesche e, a partire dalla metà del secolo, le scuole sia industriali che commerciali iniziarono a sfornare una gran quantità di tecnici altamente specializzati. E tutto ciò era proprio finalizzato allo sviluppo dell’ industrializzazione del Paese che, al contrario di quanto avvenuto in Gran Bretagna, non fu promossa da privati ma per diretta iniziativa dello Stato che contemporaneamente, mediante lo sviluppo massiccio dell’ istruzione pubblica, cercava da un lato “di elevare il livello culturale del popolo per incrementarne i bisogni materiali e spirituali e per portare il semplice operaio a comprendere i nuovi sistemi di produzione meccanizzati; d’altro lato di formare una categoria di tecnici in grado di soddisfare le maggiori esigenze tecniche e scientifiche poste dall’ industria.” (142) In questa dialettica tra Stato, imprenditori privati, popolo, sviluppo industriale ed istruzione, via via si realizzò una maggiore partecipazione della borghesia industriale alle scelte politiche del paese e conseguentemente si conquistarono importanti riforme costituzionali. In definitiva, intorno alla metà dell’ ‘800, è la borghesia industriale che detiene ovunque il potere economico. La pressione di questa borghesia per avere in mano anche il potere politico porterà alle vicende del ’48 che sancirono, praticamente ovunque, il suo trionfo. Con il terreno preparato per il decollo della seconda Rivoluzione Industriale si erano creati profondi cambiamenti economici e sociali che se da una parte avevano definitivamente affrancato l’Europa dall’ Ancien Regime, dall’altro avevano creato i presupposti per l’emergere di una nuova classe sociale: il proletariato, l’esercito degli operai dell’industria che dispongono solo della propria forza lavoro. L’affermazione della borghesia aveva creato la sua classe antagonista che, proprio a partire dal ’48, dette vita a tutti quei moti di ribellione sociale per migliori condizioni di vita che schematicamente si possono riportare alla nascita del socialismo scientifico di Marx (1818-1883) ed Engels (1820-1895) e che portarono (l917) alla prima Rivoluzione proletaria della storia: la ormai definitivamente tramontata Rivoluzione Russa.
Dal punto di vista infine del progresso tecnologico legato a quello scientifico ci sono alcune osservazioni che meritano di essere riportate. Innanzitutto c’è da osservare che gli imponenti sviluppi della tecnica del ‘700 e dei primi anni dell’ ‘800 riuscirono a mettere a disposizione degli scienziati strumenti sempre più perfezionati e precisi che tra l’altro permisero di percorrere strade assolutamente imprevedibili fino a qualche anno prima. C’è poi da notare che, soprattutto nella prima metà del secolo, c’è un generale riconoscimento dell’utilità del progresso tecnico che, si ammette, non può più essere affidato ad artigiani, che lavorano su basi esclusivamente empiriche, ma ha bisogno di essere sottoposto a trattamento teorico per ricavare da esso il massimo possibile in un contesto più ampio ed organico.
2 – LA NASCITA DELL’ELETTROMAGNETISMO (SCHELLING ED OËRSTED) E TENTATIVI DI RICONDURRE I NUOVI FENOMENI ALL’AZIONE A DISTANZA
[Da questo capitolo ho tratto il materiale per l’articolo n° 11 dell’indice: “Concezioni particellari nel XVII e XVIII secolo …”. Rimando pertanto ad esso. Salteranno anche le note che vanno dalla 143 alla 161].
3 – LE TEORIE ELETTROTONICHE NELLA GERMANIA DELLA PRIMA METÀ DELL’OTTOCENTO: WILHELM WEBER (1804 – 1890)
Le teorie elettrodinamiche, matematizzate da Laplace, Poisson ed Ampère, suscitarono un grande interesse negli scienziati tedeschi. A partire dal 1840 si iniziarono a proporre, in Germania, varie teorie elettriche che sostituivano ai fluidi cariche di elettricità di segno opposto, fluenti in versi opposti con uguale densità e velocità. Tra queste particelle cariche si dovevano prendere in considerazione delle forze agenti in ragione della carica trasportata dalle particelle stesse e della loro velocità. (162) Per mezzo di questa teoria, come fa osservare Rosenfeld, (163) Weber riuscì a ricondurre sia le leggi dell’ elettrodinamica che quelle dell’induzione elettromagnetica (si veda più oltre) ad una sola formula che fornisce la forza che si esercita tra due elementi di carica q1 e q2 la cui distanza r vari con il tempo in conseguenza del moto delle cariche. La formula di Weber, nel caso di cariche ferme, fornisce la legge di Coulomb mentre, applicata al calcolo delle azioni elettrodinamiche tra correnti, fornisce la legge di Ampère appena vista (il moto, dunque,origina delle modificazioni nelle forze !). In questa formula compare un parametro c che rappresenta il rapporto fra l’unità elettrostatica e l’ unità elettrodinamica di carica e l’introduzione di due distinte unità di carica elettrica è una diretta conseguenza dell’aver assunto la corrente come flusso di cariche elettriche.Questo parametro c è di fondamentale importanza; esso fu misurato per la prima volta proprio da Weber, insieme a Kohlrausch, nel 1855 nel corso di una complessa ed accurata serie di misure fatte per la determinazione assoluta delle varie grandezze che comparivano nei fenomeni elettrici e magnetici. Weber e Kohlrausch trovarono per c il valore di 3,11×1010 cm/sec, coincidente con quello che, negli stessi anni, era stato trovato da Fizeau e da Foucault per la velocità della luce nel vuoto in esperienze di natura completamente diversa (si veda più oltre). Questa coincidenza di valori fu notata da Weber (166) ma egli, nel contesto della sua fisica, non dette molta importanza alla cosa. (167) Oltre a ciò, come osserva D’Agostino, “come conseguenza della forma delle leggi di forza statiche e dinamiche, espressa dalla legge elementare di Weber, il rapporto elettromagnetico o viene a configurarsi anche come quella velocità limite a cui debbono muoversi le cariche affinché le loro azioni statiche vengano equilibrate da quelle dinamiche (168) – questo secondo significato di c, a differenza del primo, non è più citato oggi nei testi perché non rientra nel quadro che ora si dà dell’elettromagnetismo. Ma allora, a metà Ottocento, fu così che si presentò , per la prima volta, il concetto di una velocità limite in elettrodinamica … Fu questo doppio aspetto di c, come velocità della luce e come velocità limite, che a metà Ottocento indusse i maggiori studiosi di elettromagnetismo – Maxwell compreso – ad escogitare metodi per la sua misura.”
Molte obiezioni e di varia natura furono mosse alla teoria di Weber, soprattutto da Helmholtz e Clausius. Queste obiezioni riguardavano principalmente questioni di carattere energetico legate alla compatibilità della formula di Weber con il principio di conservazione dell’energia che in quegli anni si andava affermando (si veda più oltre). (170) La teoria di Weber resse comunque per molto tempo poiché descriveva abbastanza bene i risultati sperimentali che all’epoca si andavano accumulando e perché aveva dimostrato la sua utilità, ad esempio, nei calcoli fatti da Kirchhoff per valutare il ‘movimento dell’ elettricità nei fili’. (171) Affinché la teoria di Weber potesse reggere, potremmo oggi osservare, abbisognava della nozione di potenziale ritardato che tenesse conto del ritardo nella propagazione dell’interazione elettrica. Riemann fu il primo a rendersi conto di ciò (1859) quando affermò che “l’azione non è istantanea, ma si propaga con una velocità costante c“. Sulla sua strada si mosse poi Ludwig Lorenz (172) che ottenne risultati analoghi a quelli che, per altra via, conseguì Maxwell. Egli aprì la sua memoria del 1867 con l’ammissione, derivante – secondo Lorenz – da tutti i fatti sperimentali che si erano accumulati, che le varie forze agenti tra elettricità e magnetismo, tra calore, luce, azioni chimiche e molecolari dovevano essere riguardate come manifestazioni di una e medesima forza che, a seconda delle circostanze, si mostra sotto forme differenti. (173) Questa unità della forza però ci sfugge perché, sempre secondo Lorenz, a seconda dei fenomeni che studiamo ci serviamo, di volta in volta, di ipotesi modellistiche differenti: una volta i fluidi, una volta l’etere, una volta le molecole. Egli propose allora di sbarazzarsi dei modelli (174), che sono più di ostacolo che di aiuto, e di passare a costruire una fisica indipendente da essi. 33 senza far uso di modelli egli si propose di individuare l’ identità tra luce ed elettricità arrivando ad affermare che le vibrazioni della luce sono esse stesse correnti elettriche. Senza dilungarci troppo sull’opera di questo fisico, basti osservare che il risultato cui egli giunse “è che le vibrazioni di una corrente elettrica inducono vibrazioni nelle immediate vicinanze, in completa analogia con quanto accade nel fenomeno di propagazione delle onde luminose.” (175) Per arrivare a questo risultato Lorenz introdusse, come avevamo accennato, i potenziali ritardati. (176) In questo modo egli trovò, in modo più diretto, le stesse equazioni che troverà Maxwell, giungendo alla conclusione “che le forze elettriche richiedono del tempo per viaggiare e che queste forze solo apparentemente agiscono a distanza.” (177) Come mai dunque il programma weberiano, che pure con l’introduzione dei potenziali ritardati portava agli stessi risultati di Maxwell, fu abbandonato? Certamente contribuirono cause diverse, tra le quali, con D’Agostino:
” 1. Un graduale abbandono del quadro esplicativo di Newton ed Ampère non soltanto in elettrodinamica.
2. Una certa qual macchinosità delle formule di Weber nel loro adattamento alla spiegazione di quel tipo di fenomeni elettromagnetici che, alla fine del secolo, saranno al centro dell’ interesse – cioè l’irraggiamento da antenne -, in contrasto con la maggiore semplicità offerta, per gli stessi fenomeni, dalla teoria di Maxwell.
3. La fecondità dimostrata allora dalla teoria di Faraday -Maxwell nel suggerire nuovi esperimenti” (178) proprio perché sostenuta da un’impalcatura modellistica con apparati di maggiore intuibilità.
Resta il fatto che la teoria di Weber, pur muovendosi come sviluppo del programma amperiano, introdusse degli elementi non solo non riconducibili ma addirittura in contrasto con la fisica newtoniana. Mai Newton aveva, neppure ipotizzato, forze che potessero dipendere dalla velocità. Ma d’altra parte lo stesso Ampère aveva introdotto angoli tra elementi infinitesimi di circuito! Anche se si continuava a richiamarsi a Newton, questi sempre meno era rappresentato dalla fisica che si sviluppava intorno alla metà dell’Ottocento.
In chiusura del paragrafo resta solo da ricordare, per quanto vedremo più avanti a proposito di H.A. Lorentz, che la teoria di Weber fu perfezionata nel 1877 da Clausius che fornì una nuova espressione per la legge di forza fra elettroni. In questa nuova relazione non si ipotizzava più che le cariche elettriche fluenti in verso opposto dovessero necessariamente avere la stessa velocità ed inoltre le stesse velocità delle cariche erano considerate rispetto ad un etere immobile risultando quindi velocità assolute, al contrario di quanto accadeva nella formula di Weber dove le velocità erano relative.(178bis)
4 – CRITICA DELL’AZIONE A DISTANZA E FORMULAZIONE DELL’AZIONE A CONTATTO: L’OPERA DI FARADAY
5 – L’AFFERMAZIONE DELL’AZIONE A CONTATTO: MAXWELL, LA FORMALIZZAZIONE DELL’ELETTROMAGNETISMO E LA NASCITA DELLA TEORIA ELETTROMAGNETICA DELLA LUCE
[Da questi due capitoli ho tratto il materiale per l’articolo n° 16 dell’indice: “La nascita della teoria di campo i lavori di Faraday e Maxwell”. Rimando pertanto ad esso. Salteranno anche le note che vanno dalla 179 alla 268].
NOTE
(128) Nascono in questo periodo: la matematica pura, la geometria pura, l’analisi pura, la fisica-matematica come disciplina separata dalla matematica, la chimica separata dalla fisica, l’elettrologia come scienza a sé, la termodinamica.
(129) Baracca e Livi in Bibl. 24, pag. 15.
(130) I lavori di Comte saranno pubblicati in sei volumi tra il 1830 ed il 1842. Si osservi che Comte proveniva dall’École.
(131) 1 fatti vanno spiegati con i fatti e dal rapporto continuo e costante con i fenomeni nasce la legge fisica. Bisogna rifiutare ogni postulato metafisico e quindi le cosiddette «ipotesi ad hoc». Naturalmente si nega l’esistenza degli atomi che non sono un fatto ma una mera ipotesi. Si noti che Comte inizia una critica alla pretesa di voler ridurre tutte le scienze alla matematica; secondo il nostro è necessario che ciascuna scienza si sviluppi autonomamente e quindi, solo dopo che ciascuna sarà stata sviluppata a fondo, si tratterà di mettere insieme i risultati in un grande lavoro di sintesi.
(132) Vedi Bibl. 17, Vol. 4, pagg. 12-13. Visto l’atteggiamento assunto da molti scienziati, capeggiati da Bohr, agli inizi del nostro secolo ed in particolare le vicende della Scuola di Copenaghen, in relazione alla nascita ed all’affermazione della meccanica quantistica, sarebbe più corretto, oggi, definire l’atteggiamento dello scienziato che si disinteressa ai problemi filosofici come ‘neopositivista’. Per approfondire in parte questi problemi si può vedere bibl. 57, pagg. 189-233. Sull’argomento vi sono poi degli interessantissimi lavori di F. Selleri (Università di Bari) ma sono di difficile reperimento.
(133) Allo scopo si può vedere bibl. 53, pagg. 65-89 (contributo di Petruccioli e Tarsitani) e Bibl. 58. Ho fatto cenno a ciò proprio perché Einstein sarà scienziato di grande impegno morale e civile.
(134) Da questo punto in poi per chi volesse seguire con maggiori dettagli e con una impostazione da me completamente condivisa, le complesse vicende dei rapporti tra scienza, tecnica, industria e vicende politiche può senz’altro rivolgersi all’interessantissimo saggio di Baracca, Russo e Ruffo di Bibl. 54. Un’analisi più concisa, sugli stessi argomenti e con lo stesso taglio, si può trovare nel saggio di Baracca e Livi di Bibl. 24.
Un’impostazione diversa dei problemi in discussione, in cui però si ricostruisce la sola storia interna, con un taglio che io non condivido, ma che credo vada conosciuto, si può ritrovare nel lavoro di Bellone riportato in Bibl. 59.
Per capire poi meglio il senso della diversità delle impostazioni si può , ad esempio, vedere a confronto i tre articoli seguenti:
E. Bellone – La scienza ed i suoi nemici – Sapere n° 802 (luglio ’77)
E. Donini, T. Tonietti – Conoscenza e pratica – Sapere n° 808 (febbraio ’78).
A. Baracca. R. Livi, S. Ruffo ed altri – Nemici per la pelle – Sapere n° 808 (febbraio ’78)
Si osservi che rispetto al suo contributo (1972) a Bibl. 53 (La Rivoluzione scientifica dell’ ‘800), Bellone sembra aver cambiato opinione.
(135) Si pensi ai risultati – dei quali discuteremo più avanti – raggiunti da S. Carnot nello studio delle macchine termiche, da Ampère nella fondazione dell’elettrodinamica e da Fresnel nell’affermazione della moderna teoria ondulatoria della luce.
(136) A partire dal 1846 fu Kelvin che dette il contributo decisivo alla modernizzazione dell’insegnamento scientifico con l’introduzione della parte sperimentale nel lavoro di formazione di uno scienziato.
(137) Un’altra innovazione fondamentale fu l’introduzione dell’illuminazione a gas nelle grandi fabbriche; essa ‘permise’ di prolungare il lavoro fino a notte inoltrata.
(138) Solo verso la fine del secolo l’uso del vapore sulle navi permise il raggiungimento di tonnellaggi paragonabili con quelli delle navi a vela. La prima ferrovia è britannica (1825). Nel 1830 si costruì l’importantissima Liverpool – Manchester.
(139) Tra Romanticismo, Idealismo e Razionalismo. In ogni caso, qui in nota, vale la pena dare un brevissimo cenno della concezione romantica della conoscenza della natura.
” L’ideale romantico [postula] una completa fusione ed unità della ragione umana con il mondo anche al di là delle delle possibilità, e dei dati offerti da quell’analisi e da quell’indagine empirica e razionale care invece al precedente illuminismo, posto sotto accusa dai romantici proprio perché ritenuto troppo innamorato delle distinzioni, della chiarezza, e di classificazioni precise che compromettevano la possibilità di quella intima e dinamica fusione. Esso svolse anche, comunque, nonostante la sua componente irrazionalistica, una funzione di stimolo e rinnovamento scientifico, come nell’opera di Oërsted.” (Baracca e Rossi in Bibl. 56, pag. 197).
Un altro aspetto che emerge in alcuni filosofi romantici è che la mante umana ha dei limiti, oltre i quali non può andare, nella conoscenza della natura. Schopenauer, che è tra questi, sostiene che tutti coloro i qualki non si rendono conto di questi limiti diventano facilmente dei materialisti con una propensione particolare a deridere la religione. Solo la filosofia può permettere di superare i limiti che necessariamente sorgono nell’ambito delle scienze naturali. Il lavoro in cui Schopenauer sostiene queste cose è riportato in Bibl. 61.
(140) È interessante notare che questo ritorno alla metafisica da parte di Hegel, che si accompagna ad uno spirito accanitamente antiscientifico fornirà la base, in Italia, all’Idealismo di Croce e Gentile che tanti danni ha prodotto, tra l’altro alla struttura della nostra scuola (si veda allo scopo Bibl. 39). Occorre comunque osservare che questi danni, a 8o anni di distanza, non solo non sono stati riparati, ma addirittura si vanno rapidamente aggravando.
All’idealismo hegeliano occorre poi risalire per trovare la teorizzazione di tutti gli Stati totalitari: “il benessere e la felicità individuale sono fatti empirici, irrilevanti, che non hanno alcuna importanza se posti al confronto con l’autorità dello Stato. La vera e profonda libertà si realizza esattamente nel suo opposto: in una salutare costrizione capace di realizzare il superiore Spirito etico, la vera volontà sostanziale che manifesta l’idea dello Spirito”. E nell’ammirazione dello stato prussiano (” fra esercito, censura, polizia, galere ed un clero … intrinsecamente amorale”) Hegel esalterà la guerra che ” ha l’alto significato che attraverso di essa si preserva la salute morale dei popoli creando in loro l’indifferenza per lo stabilizzarsi di forme determinate” . Per ulteriori, illuminanti dettagli si veda Forti in bibl. 7, Vol. 5, pagg. 13-16 (da cui provengono le citazioni qui riportate).
(141) Basti qui ricordare che nel 1834 si riuscì a realizzare una Unione Doganale che liberalizzò il mercato interno.
(142) Klemm in Bibl. 22, pag. 271.
*******************************************
(162) L’ipotesi, elaborata nel 1845, è di G. T. Fechner.
(163) Bibl. 65, pag. 1633.
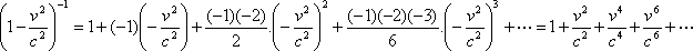
(164) La formula di Weber si scrive:
F = q1q2 /r2 . [1 – (1/2c 2)(dr/dt) 2 + (1/c2 ).r.(d2 r/dt2 )].
Poiché (dr/dt)2 rappresenta la velocità, elevata al quadrato, delle cariche, mentre d2 r/dt2 la loro accelerazione, si vede subito che, per cariche ferme, si ha la legge di Coulomb (a meno di un fattore moltiplicativo che dipende dalla scelta delle unità di misura). Per cariche non accelerate, quando cioè d2 r/dt2 = 0, se nella formula risulta c = dr/dt, si vede subito che F = 0, cioè che la forza si annulla. Ciò vuol dire che la forza elettrostatica fa equilibrio alla forza elettrodinamica.
Si osservi che una formula analoga era stata trovata da C.F. Gauss (1777-1855), maestro ed amico di Weber (tra l’altro Weber utilizza proprio il sistema di unità di misura detto di Gauss nel quale la legge di Coulomb – vedi più su – risulta essere F = q1 q2 /r2 ). Egli, come confida in una lettera allo stesso Weber (1845), non la pubblicò poiché non era riuscito a trovare, nella legge di forza tra cariche, “un meccanismo pe il quale la forza stessa non si esercitasse istantaneamente tra di esse, ma si propagasse con velocità finita al medesimo modo della luce”. (Moneti in Bibl. 63, parte II, pag. 145). Gauss riteneva ciò di fondamentale importanza ed annetteva a questa eventuale scoperta la possibilità di essere chiarificatrice per l’intera elettrodinamica.
(165) Per maggiori dettagli sull’ opera di Weber e sui suoi collegamenti con quella di Ampère, si veda Bibl. 60, pagg. 10-13 e Bibl. 65, pagg. 1633-1635. Si noti intanto che, come vedremo meglio più avanti, il parametro c che compare nella formula di Weber discende dall’adozione di un particolare sistema di unità di misura, quello appunto di Gauss (o Gauss-Weber o Gauss-Hertz). In questo sistema si misurano tutte le grandezze elettriche in unità elettrostatiche (u.e.s.) e tutte le grandezze magnetiche in unità elettomagnetiche (u.e.m.), fermo restando il fatto che le tre unità fondamentali sono il centimetro, il grammo-massa ed il secondo.
(166) Fu Kirchhoff che per primo la notò nel 1857. Per la verità c risultava radice di 2 volte la velocità della luce.
(l67) In un suo scritto Weber commenta ciò dicendo: “questo fatto non è tale da accendere grandi aspettative”. Vale appena la pena osservare che, come vedremo, da questo stesso fatto, Maxwell trasse ben altre conseguenze. È anche interessante notare che questo è uno di quei casi in cui da uno stesso fatto, in connessione con termini teorici differenti, si possono ricavare conseguenze diverse.
(168) Si veda .la prima parte della nota 164, quando si discute l’eventualità che c assuma il valore dr/dt.
(169) Bibl. 60, pagg. 11-12. La sottolineatura è mia.
(170) È interessante notare che in una risposta di Weber (1871) ad una obiezione di Helmholtz egli sostiene che l’obiezione non ha senso perché, se essa fosse vera, si dovrebbero avere particelle dotate di velocità superiori a quella della luce (la velocità della luce sembra già affacciarsi come velocità limite). Helmholtz fece anche un’altra obiezione (alla quale Weber non rispose), per rispondere alla quale, però, bisognava ammettere la propagazione con velocità finita delle onde elettromagnetiche (Bibl. 63, parte II, pag. 149).
(171) All’epoca si facevano i primi esperimenti e le prime messe in opera dei telegrafi aerei e sottomarini, i quali ultimi richiedevano la posa di cavi molto complessi da calcolare. Il telegrafo era stato inventato da Ampère e realizzato da Morse nel 1839.
(172) Fisico danese (1829-1891) che non va confuso con Hendrich Anton Lorentz (1853-1928) del quale ci occuperemo nel paragrafo 5 del capitolo 17°.
(l73) Si osservi che, oltre a quanto già visto a proposito di connessioni tra fenomeni di vario tipo, verso la metà del secolo, il fisico italiano Macedonio Melloni (1798-1854) colse l’identità della luce con i fenomeni di radiazione calorifica. Per maggiori dettagli si veda Bibl. 66.
Mi piace soffermarmi un istante su Melloni per ricordarlo, oltre che come grande fisico, il “Newton del calore” come venne definito, (del quale purtroppo si studia poco), come uomo di grandi ideali che partecipò attivamente e sempre dalla parte giusta al Risorgimento italiano (si veda Bibl. citata).
(l74) L’uso dei modelli era stato un punto di forza della fisica meccanicista a partire da Galileo.
(175) Bibl. 63, parte II, pag. 177.
(176) I potenziali ritardati, secondo la definizione di M.B.Hesse (Bibl. 9, pag. 253) sono “potenziali scalari e vettoriali propagantisi in un vuoto con velocità c, in modo che il loro arrivo ad. una distanza r dalla loro sorgente abbia luogo ad un tempo r/c dopo la loro emissione.” Per i dettagli analitici si può vedere bibl. 63, pagg. 178-179.
(177) Ibidem. Si noti che negli sviluppi della teoria di Lorenz non occorre alcun etere.
(178) Bibl. 60, pag. 13. La sottolineatura è mia.
(178 bis) Per approfondire questa parte si veda bibl.112, Vol. 1, pagg. 234-235.
*****************************************
6 – DALLE TEORIE SELLA LUCE ALL’OTTICA DEI CORPI IN MOVIMENTO : ULTERIORI FENOMENI NON RICONDUCIBILI ALLA FISICA DI NEWTON
E’ indispensabile richiamare alcuni fatti lontani per intendere quanto diremo in questo paragrafo. Lo faremo molto in breve e, senza scomodare né Platone né Aristotele, inizieremo a discutere la questione della natura della luce a partire da Descartes. (269) Abbiamo già visto all’inizio di questo lavoro (270) che, per Descartes la materia è estensione. Quindi ogni cosa o fatto che sia esteso ha un comportamento analogo a quello della materia. La luce si estende dappertutto: conseguenza di ciò è che essa deve essere intesa come un qualcosa di materiale che si propaga “istantaneamente come una pressione esercitata dalle particelle di una materia sottile“. Questa materia sottile, che permette la trasmissione delle pressioni, anche là dove non appare materia sensibile, è l’etere, di aristotelica memoria (la quintessenza), inteso come un corpo rigido ideale. Va ben chiarito che la luce non è, per Descartes, costituita dal moto delle particelle sottili, ma dalla loro pressione le une sulle altre in un ‘universo’ tutto pieno (oggi si direbbe; onde longitudinali). L’etere, che riceve una pressione, vibra, come diremmo oggi, intorno alla sua posizione di equilibrio, trasmettendo istantaneamente la pressione che ha ricevuto. (271)
La concezione di Newton è più articolata ed egli, anche se è universalmente noto come padre della teoria corpuscolare della luce, in realtà non prende una posizione precisa ma pone la questione in forma problematica. (272). In certi passaggi sembra evidente una sua adesione alla teoria corpuscolare che fa a meno dell’etere (questo almeno fino al 1671 quando una polemica con Hooke lo orientò verso nuove strade); in altre parti della sua opera (Una nuova teoria sulla luce e sui colori -1672) pare orientato verso la teoria ondulatoria sostenuta dall’etere («Le vibrazioni più ampie dell’etere danno una sensazione di colore rosso mentre quelle minime e più corte danno il violetto cupo; le intermedie colori intermedi»); in altri passaggi poi, come nella Ottica (Libro II, parte III, proposizione XII) del 1704, sembra invece propendere per un’ipotesi che “si direbbe un compromesso tra una teoria ondulatoria ed una teoria corpuscolare, particelle precedute da onde, le quali in certo qual modo, predeterminano il comportamento futuro delle particelle”.
Così scriveva Newton:
“I raggi di luce incidendo su una superficie riflettente o rifrangente, eccitano vibrazioni nel mezzo riflettente o rifrangente … le vibrazioni così eccitate si propagano nel mezzo riflettente o rifrangente, in modo analogo alle vibrazioni del suono nell’aria … ; quando ciascun raggio è in quella parte della vibrazione che è favorevole al suo moto, si fa strada attraverso una superficie rifrangente, ma quando si trova nella parte contraria della vibrazione che impedisce il moto, è facilmente riflesso … .” (273)
E’ solo nella parte finale dell’ Ottica, nelle Questioni 28, 29 e 30, che Newton avanza, come ipotesi da investigare, la sua nota teoria corpuscolare della luce. E’ superfluo notare che ogni ipotesi di Newton è legata ad una possibile, ma non definitiva e neanche tanto importante, spiegazione dei fatti sperimentali noti e via via osservati. Così, mentre l’ipotesi onda-particella, vista qualche riga più su, serviva a Newton per rendere conto e della colorazione delle lamine sottili e del fenomeno degli anelli (che portano il suo nome), la teoria corpuscolare discendeva da una spiegazione che Newton tentava di dare della diffrazione. (274) L’inflessione che un raggio di luce subisce Quando passa, ad esempio, al di là di un forellino è interpretata come il risultato di forze attrattive o repulsive tra la materia costituente il corpo diffrangente ed il raggio luminoso (che per questo è pensato costituito da corpuscoli che, in quanto dotati di massa, subiscono l’azione delle forze attrattive o repulsive).
” Si comprende come l’incentivo verso una concezione corpuscolare della luce, fosse veramente molto forte. Tanto più che l’ipotesi ondulatoria, [come vedremo] già avanzata da Huygens, in mancanza [della conoscenza del fenomeno e] del concetto di interferenza, prestava il fianco ad obiezioni veramente serie, riguardo alla difficoltà di interpretare la propagazione rettilinea.” (274 bis)
Quindi, il tentativo di spiegazione dei fenomeni di diffrazione unito al fatto che, secondo Newton, è impensabile una teoria che voglia la luce fatta di onde (“di pressioni“) perché le onde (“le pressioni“) ” non possono propagarsi in un fluido in linea retta” (275) poiché hanno la tendenza a sparpagliarsi dappertutto, (276) porta il nostro alla formulazione (dubitativa) della teoria corpuscolare che si trova nella Questione 29 dell’Ottica, introdotta con queste parole;
“Non sono i raggi di luce corpuscoli molto piccoli emessi dagli oggetti luminosi ? Infatti questi corpuscoli passeranno attraverso i mezzi omogenei in linea retta senza essere piegati nelle zone d’ombra, com’è nella natura dei raggi di luce.” (276 bis)
Newton passava quindi ad illustrare alcune proprietà degli ipotetici corpuscoli materiali affermando che essi agirebbero a distanza allo stesso modo dell’attrazione reciproca tra i corpi. I colori della luce ed i diversi gradi di rifrangibilità sono poi spiegati con l’ammissione che la luce bianca sia formata da corpuscoli di diversa grandezza (“i più piccoli producono il viola … e gli altri facendosi sempre più grandi, producono” via via gli altri colori fino al rosso). Infine, con questa teoria, è possibile spiegare il fenomeno della doppia rifrazione che, come vedremo, Huygens non era riuscito a spiegare con la teoria ondulatoria). In definitiva, in questo modo, la teoria della luce veniva ricondotta alla più vasta spiegazione che la gravitazione universale doveva fornire.
Riguardo ad Huygens va detto che il suo Trattato sulla luce fu pubblicato nel 1691 ma fu scritto intorno al 1676. (277) In questo lavoro, a chiusura del primo capitolo, fa la sua comparsa la teoria ondulatoria. Allo stesso modo del suono, dice Huygens, la luce deve essere un fenomeno vibratorio e cosi come l’ aria sostiene il suono, altrettanto fa l’etere con la luce (278) (l’etere è qui inteso come una materia estremamente sottile e perfettamente elastica).
Così scriveva Huygens:
“Ogni punto di un corpo luminoso, come il Sole, una candela o un carbone ardente, emette onde il cui centro è proprio quel punto … ; i cerchi concentrici descritti intorno ad ognuno di questi punti rappresentano le onde che si generano da essi … Quello che a prima vista può sembrare molto strano e addirittura incredibile è che le onde prodotte mediante movimenti e corpuscoli cosi piccoli possano estendersi a distanze tanto grandi, come, per esempio, dal Sole o dalle stelle fino a noi … Cessiamo però di meravigliarci se teniamo conto che ad una grande distanza dal corpo luminoso una infinità di onde, comunque originate da differenti punti di questo corpo, si uniscono in modo da formare macroscopicamente una sola onda che, conseguentemente, deve avere abbastanza forza, per farsi sentire.” (279)
Possiamo riconoscere in queste poche righe la formulazione moderna della teoria ondulatoria fino al principio di Huygens o dell’inviluppo delle onde elementari. Lo stesso Huygens illustra questo principio con la figura 15 che ha il seguente significato: “se DCEF è una onda emessa dal punto luminoso A, che è il suo centro, la particella B, una di quelle che si

Figura 15
trovano all’interno della sfera delimitata da. DCEF, avrà fatto la sua onda elementare KCL che toccherà l’onda DCEF in C, allo stesso momento in cui l’onda principale, emessa da A, raggiunge DCEF; è chiaro che l’unico punto dell’onda KCL che toccherà l’onda DCEF è C che si trova sulla retta passante per AB. Allo stesso modo le altre particelle che si trovano all’interno della sfera delimitata da DCEF, come quelle indicate con b e con d, avranno fatto ciascuna una propria onda. Ognuna di queste onde potrà però essere solo infinitamente debole rispetto all’onda DCEF, alla cui composizione contribuiscono tutte le altre con la parte della loro superficie che è più distante dal centro A.” (280)
Quanto abbiamo ora detto può essere riassunto da quanto già sappiamo e cioè che ogni punto in cui arriva una vibrazione diventa esso stesso centro di nuove vibrazioni (onde sferiche); l’inviluppo di un gran numero di onde elementari, originate in questo modo, origina un nuovo fronte d’onda, con centro la sorgente, molto più intensa, delle onde elementari che la compongono. Huygens proseguiva affermando che con questo modo di intendere le cose, si spiegherebbero tutti i fenomeni ottici conosciuti passando poi a dare le dimostrazioni delle leggi della riflessione, della rifrazione, della doppia rifrazione e della propagazione rettilinea della luce. (281) Quando passava però a dare una spiegazione dei fenomeni che oggi si spiegano con la polarizzazione egli molto semplicemente affermava che non gli era stato possibile trovare nulla che lo soddisfacesse. (282) Riguardo poi alla natura di queste onde ed al loro modo di propagazione, Huygens diceva:
“Nella propagazione di queste onde bisogna considerare ancora che ogni particella di materia da cui un’onda si diparte, deve comunicare il suo movimento non solo alla particella vicina …, ma lo trasmette anche a tutte quelle altre che la toccano e si oppongono al suo moto.” (282 bis)
E questa è una chiara enunciazione di quella che sarà la più grande difficoltà dell’ottica ondulatoria fino a Maxwell: il fatto che le onde luminose risultavano onde di pressione e quindi longitudinali. L’ammissione, inevitabile, di onde longitudinali e non trasversali impediva di pensare a qualsiasi fenomeno di polarizzazione (e quindi questa difficoltà era alla base di quanto Huygens confessava di non saper spiegare). Questo punto era ben presente a Newton che nell’Ottica lo cita e ne tenta una spiegazione ammettendo che i raggi di luce abbiano dei «lati» ciascuno dei quali dotato di particolari proprietà. Se infatti si va ad interpretare un fenomeno di polarizzazione mediante onde longitudinali, non se ne cava nulla poiché “queste onde sono uguali da tutte le parti“. E’ necessario dunque ammettere che ci sia una “differenza … nella posizione dei lati della luce rispetto ai piani di rifrazione perpendicolare.” Come già accennato solo la natura trasversale delle onde elettromagnetiche avrebbe potuto rendere conto, fino in fondo, dei fenomeni di polarizzazione.
C’è un altro aspetto che differenzia radicalmente la teoria ondulatoria da quella corpuscolare e riguarda la spiegazione del fenomeno di rifrazione (nel passaggio, ad esempio, da un mezzo meno ad uno più denso).
Secondo la teoria corpuscolare l’avvicinamento alla normale del raggio rifratto è spiegato “supponendo che i corpuscoli di luce subiscano un’attrazione da parte del mezzo più denso nel momento in cui vi penetrano. In tal modo essi vengono accelerati sotto l’azione di un impulso perpendicolare alla superficie di separazione e quindi deviati verso la normale. Me consegue che la loro velocità è maggiore in un mezzo più denso che in uno meno denso. La costruzione di Huygens basata sulla teoria ondulatoria, parte da presupposti esattamente contrari (fig. 16). Quando un’onda luminosa colpisce una superficie di separazione, genera in ogni punto della superficie un’onda elementare;

Figura 16
se queste si propagano più lentamente nel secondo mezzo che è il più denso, l’inviluppo di tutte le onde sferiche, che rappresenta l’onda rifratta … è deviato verso destra.” (283) Anche questo quindi diventava un elemento cruciale per decidere sulla maggiore o minore falsicabilità di una. teoria. Se si fosse riusciti a determinare la velocità della luce in mezzi di diversa densità si sarebbe stati in grado di decidere quale teoria fosse più vera.
Fin qui le elaborazioni a monte. Abbiamo già visto che, durante il ‘700, l’ottica non fa importanti progressi, se si escludono alcune questioni di rilievo che provenivano da osservazioni astronomiche (aberrazione della luce) ed il perfezionamento di tutta una serie di strumenti ottici (introduzione lenti acromatiche, telescopi più grandi, fotometri, …). In ogni caso, in linea con tutti gli altri campi della ricerca fisica, i newtoniani decidono che Newton era un corpuscolarista e pertanto è la teoria corpuscolare della luce che trionfa (anche se coloro che portarono avanti queste idee abbandonarono l’altro punto che qualificava la teoria corpuscolare di Newton: il fatto cioè che il moto dei corpuscoli costituenti la luce originasse vibrazioni di un ipotetico etere). Questa scelta ha anche una giustificazione pratica di primo piano ed è che la teoria corpuscolare spiegava, più cose di quella ondulatoria; in particolare era molto più immediato con la prima teoria intendere la propagazione rettilinea della luce che, con la seconda, risultava piuttosto confusa (e, come abbiamo visto, non soddisfaceva neppure Huygens).
Proprio agli inizi dell’Ottocento un giovane medico britannico scoprì un fenomeno *incredibile*; luce sommata a luce, in alcune circostanze, origina buio! E’ il fenomeno dell’interferenza (284) che fu scoperto nel 1802 da Thomas Young (1773-1829). (285) Il modo più semplice di provocare interferenza è
” quando un raggio di luce omogenea (286), scriveva Young, cade sopra uno schermo su cui sono stati praticati due piccoli fori o fenditure, che si possono considerare come centri di divergenza, dai quali la luce è diffratta in tutte le direzioni. In questo caso, quando i due raggi, nuovamente formatisi, vanno ad essere intercettati su una superficie interposta lungo il loro cammino, la loro luce risulterà suddivisa da bande scure in porzioni approssimatamente uguali.” (287)
Anche Young si serviva di modelli meccanici e quello a cui egli si rifaceva per dar ragione di quanto avviene nell’ipotesi ondulatoria, è quello delle onde di acqua in uno stagno. Se due serie uguali di onde, provocate sulla superficie dell’acqua in punti a distanza opportuna, si incontrano, accadrà, egli osservava, che andranno a combinarsi in qualche modo. In ogni punto della superficie dell’acqua lo stato vibratorio risultante dipenderà dal modo in cui vanno a sommarsi o a sottrarsi gli effetti delle onde sovrapposte. E così, se le onde andranno a sommarsi, sovrapponendosi in concordanza di fase esse origineranno un’onda più grande delle due componenti prese separatamente; al contrario, se esse andranno ad incontrarsi in opposizione di fase, si distruggeranno l’un l’altra in modo da originare un’onda nulla (acqua immobile).
Conseguentemente, il principio d’interferenza per la luce era così enunciato:
“Quando due parti di una stessa luce raggiungono l»occhio seguendo due diversi percorsi di direzioni molto vicine, l’intensità è massima quando la differenza dei cammini percorsi è un multiplo di una certa lunghezza; essa è minima per lo stato intermedio.” (287 bis)
A questo punto Young passava, a calcolarsi la lunghezza d’onda dei vari colori costituenti la luce (288) a spiegare con la teoria ondulatoria i diversi fenomeni ottici conosciuti
Anche qui egli incontrò grande difficoltà a rendere conto della propagazione rettilinea della luce: ma la difficoltà insormontabile restava sempre quella della spiegazione tramite la teoria ondulatoria ed usando di onde longitudinali (che Young, in analogia con il suono, riteneva essere caratteristiche della luce) dei fenomeni che oggi chiamiamo di polarizzazione.
Proprio in quegli stessi anni, nel 1808, il fisico francese E.M. Malus (l775-l8l2) riuscì a mettere in evidenza l’esistenza della polarizzazione attraverso fenomeni di riflessione: un raggio di luce riflesso si comporta come uno dei raggi birifratti dallo spato d’Islanda e cioè non subisce più la doppia rifrazione se fatto passare di nuovo attraverso un cristallo dello stesso tipo. La spiegazione che Malus dava del fenomeno è riconducibile a quella newtoniana dei lati delle particelle, infatti egli pensava che i corpuscoli luminosi fossero asimmetrici e si orientassero sia durante la riflessione, sia durante una birifrazione, in modo da non potersi più orientare per successive riflessioni o birifrazioni.
Naturalmente la teoria corpuscolare era sostenuta da gran parte della scuola dei fisici-matematici francesi (288 bis) tra cui Biot e Poisson (che tenteranno in tutti i modi, senza però riuscirvi, di ricondurre i fenomeni di interferenza alla teoria corpuscolare), Laplace e, per un certo tempo, Arago. (289) E fu proprio quest’ultimo che, in un ambiente generalmente ostile, dette un importante sostegno al fisico che doveva dare nuovo impulso alla teoria ondulatoria fino a portarla al suo trionfo: Augustin Fresnel (1788-1827).
Venuto a conoscenza dell’esperimento di Young proprio da Arago, questo fisico profondamente meccanicista, si propose di indagarlo meglio. Poteva sorgere il dubbio, infatti, che le frange d’interferenza osservate non fossero altro che fenomeni di diffrazione provocati dal passaggio della luce nei piccoli forellini. Egli trovò così un altro modo di produrre interferenza che non poteva far sorgere dubbi. Anziché usare i forellini di Young fece riflettere (l8l6) un raggio di luce, proveniente da una sorgente puntiforme, su due specchi consecutivi formanti tra loro un angolo prossimo a 180° nel modo indicato in figura 17(a) e (b).

Figura 17
Riferendoci alla figura 17 (a), un raggio (onda) luminoso a emesso dalla sorgente puntiforme S, si riflette sullo specchio M1 e si dirige verso il punto P dello schermo C. Analogamente esisterà un altro raggio (onda) b, proveniente da S che si dirigerà verso P, Poiché i cammini dei due raggi sono differenti, i due raggi, in generale, risulteranno sfasati tra loro. Nel caso in cui vi sia concordanza di fase tra le due onde, P sarà un punto in cui si avrà un massimo di illuminazione; nel caso in cui le due onde siano in opposizione di fase, in P vi sarà buio; nel caso di sfasature diverse vi sarà una variazione dell’ intensità dell’illuminazione dal buio al massimo di cui dicevamo. L’effetto complessivo sarà un fenomeno d’interferenza, analogo a quello che sarebbe generato da due sorgenti puntiformi S1 ed S2 , (289 bis) che si osserverà sullo schermo C.
La figura 17(b) mostra invece più onde che vanno ad interferire in diverso nodo sullo schermo C. A seconda del tipo di interferenza, e quindi di sfasatura, tra le onde interessate, i punti P, Q, R saranno bui o illuminati a varie intensità.
Con questa esperienza Fresnel sgombrò contemporaneamente il campo sia dall’interpretazione erronea del fenomeno dovuta ai corpuscolaristi (le frange non hanno nulla a che vedere con l’interazione di tipo gravitazionale tra le pretese particelle di luce ed i bordi delle fenditure) sia da quella altrettanto erronea di Young (le frange non sono generate dall’interferenza delle onde dirette con quelle riflesse dai bordi delle fenditure). La chiave della corretta interpretazione di Fresnel fu proprio la ripresa del principio di Huygens: ogni punto di una superficie di un’onda può diventare fonte di onde secondarie. Ebbene, nel fenomeno d’interferenza creata con due forellini, ciascun forellino diventa sorgente di onde; sono le onde che provengono da un forellino che interferiscono con quelle che si dipartono dall’altro.
Ma fin qui le onde luminose pensate da Fresnel erano longitudinali. Egli, nella sua memoria del l8l6, diceva: “in ogni punto dello spazio dove sta condensato, l’etere è compresso e tende ad espandersi in tutte le direzioni“, e queste non sono altro che onde longitudinali.
Proprio nel l8l6, però, lo stesso Fresnel, insieme ad Arago, scopre che due raggi polarizzati sullo stesso piano interferiscono, mentre se sono polarizzati su piani tra loro perpendicolari non interferiscono più. Il risultato di questa esperienza fu conosciuto da Young il quale, in una lettera ad Arago (l8l7), avanzò l’ipotesi che le onde luminose fossero onde di tipo trasversale. Arago ne informò Fresnel il quale fece sua l’ipotesi e cominciò a lavorarvi con gran lena. Tra il 1821 ed il 1823 egli riuscì a dimostrare che, con questa ipotesi, era possibile spiegare tutti i fenomeni ottici conosciuti. (290) La stessa propagazione rettilinea poi, che era stata sempre un grosso problema per la teoria ondulatoria, interpretata correttamente mediante i fenomeni d’interferenza (il movimento che un’onda sferica trasmette si distrugge in parte per interferenza), non rappresentava più un problema per questa teoria.
Di problema, semmai, ne nasceva un altro e fu lo stesso Fresnel a prospettarlo nel l821. Ammesse le onde trasversali che così bene spiegavano tutti i fenomeni ottici, che caratteristiche avrebbe dovuto avere l’etere per permettere il loro passaggio ? Le onde longitudinali marciano bene in un fluido, ma per le onde trasversali occorre un solido e neppure un. solido qualunque. Questo solido dovrebbe avere una rigidità teoricamente infinita (vista l’enorme velocità di propagazione della luce), quindi più elevata di quella dell’acciaio, e nel contempo deve essere più, evanescente di ogni gas conosciuto per non offrire resistenza ai corpi celesti che da secoli vediamo muoversi nel cielo senza apprezzabili rallentamenti. (291) Fresnel comunque non ebbe modo di seguire il corso degli eventi: nel 1827, a soli 39 anni, morì. Ma la strada ad una gran mole di ricerche sia teoriche che sperimentali era aperta. In particolare l’analogia tra onde luminose ed onde elastiche, che scaturiva dalla teoria di Fresnel, apriva un vasto campo di ricerche sui fenomeni dell’elasticità. (292).
All’obiezione, prima vista, di quella strana doppia natura dell’etere, cercò di rispondere G. Stokes nel 1845, Secondo Stokes la rigidità à relativa e vi sono solidi, come il gesso e la ceralacca, che se da una parte sono rigidi tanto da trasmettere vibrazioni trasversali, dall’altra sono compressibili ed estensibili (risultando molto fragili all’urto meccanico). Si tratta solo di combinare opportunamente le caratteristiche che l’etere solido deve avere per far si che abbia la rigidità richiesta unitamente all’estrema sottigliezza. (293)
Di questi tentativi ne furono fatti tanti (294) e dal corpo della loro elaborazione analitica, con la matematica sviluppata dalla scuola francese nel ‘700, con quella sviluppata dai Green e dagli StoKes in Gran Bretagna e con altra che via via veniva ideata allo scopo, scaturirono moltissimi teoremi che furono poi di grande utilità per gli sviluppi ulteriori della fisica (un esempio di ciò l’abbiamo già visto con Maxwell).
Altro campo di ricerche aperto dalla polemica onde o corpuscoli era quello relativo alla velocità della luce. Non dimentichiamo quanto abbiamo scritto qualche pagina indietro: la spiegazione della rifrazione mediante la teoria corpuscolare prevede che la velocità della luce sia più grande nei mezzi più densi, esattamente il contrario di quanto previsto dalla teoria ondulatoria. C’è l’opportunità di un esperimento cruciale che possa decidere quale teoria descrive meglio i fatti sperimentali osservati. (295) Fino a circa la metà dell”800 però le uniche misure della velocità della luce (che da ora indicherò direttamente con c) erano state eseguite su fenomeni astronomici.
Nel 1676 Roëmer, confrontando le immersioni ed emersioni dall’ombra di Giove del suo satellite Io, notò che l’intervallo tra due eclissi successive era con regolarità minore quando la Terra si avvicinava a Giove e maggiore quando la Terra si allontanava da questo pianeta. Roëmer spiegò questo fatto ammettendo che la luce avesse una velocità finita di propagazione e dopo una serie di accurate osservazioni riuscì a darne il valore.
Nel 1728. Bradley, osservando un gran numero di stelle, si accorse che esse erano dotate di un moto apparente sulla volta celeste: nel corso di un anno esse descrivevano sulla volta celeste una piccola ellissi (a questo fenomeno si dà il nome di aberrazione). Partendo da questo fenomeno e dopo accurati calcoli, Bradley riuscì a fornire una nuova determinazione di c.
Ma nonostante queste importantissime misure effettuate sfruttando fenomeni astronomici, non si era ancora trovato il modo di misurare c sulla Terra: il suo elevato valore fa si che la luce percorre tragitti lunghissimi in tempi brevissimi e tragitti di tale lunghezza non esistono in natura sulla Terra (296) a meno di realizzarli con particolari artifici.
Il primo strumento in grado ai permettere misure di c sulla Terra, che appunto si serviva degli artifici suddetti, fu ideato dal fisico francese H. Fizeau (1819-1896) nel 1849. L’esperienza di Fizeau permise la misura di c nell’aria ma fu impossibile realizzarla in un altro mezzo perché la distanza su cui Fizeau aveva operato in questa sua prima esperienza, era di circa 9.000 metri. (297)
Chi riuscì ad effettuare la misura di c, non solo sulla Terra, ma nei limiti ristretti di una stanza di laboratorio, fu l’altro fisico francese, L. Foucault (1819-1868), nel 1850.(298) L’essere riusciti a portare questa misura in laboratorio apriva la strada, immediatamente percorsa, alla misura di c in diversi mezzi ed. in particolare nell’acqua.
L’esperienza fu eseguita prima in aria, poi in acqua, sia da Foucault che da Fizeau, ed il risultato comparativo della velocità c dava ragione alla teoria ondulatoria: la luce viaggiava, con una velocità minore nei mezzi più densi ed in particolare nel!’acqua risultava essere circa i 3/4 di quanto non fosse nell’aria.
Questo argomento sembrò decisivo: la teoria corpuscolare (od emissiva) non sembrava più conciliabile con la realtà dei fatti sperimentali.
L’ammissione della nuova teoria comportava però nuove difficoltà. Già abbiamo visto le strane proprietà di cui doveva essere dotato questo etere, contemporaneamente estremamente rigido e sottile, e già abbiamo detto che sulla strada del tentar di risolvere questi problemi si erano mossi una gran quantità di fisici-matematici, elaborando la cosiddetta teoria, elastica dell’ottica. L’altro problema che si apriva fu individuato dallo stesso Fresnel in collaborazione con Arago, in una corrispondenza che si scambiarono nel l8l8. Avverto, subito che è una questione di estrema importanza per gli sviluppi futuri di questo lavoro e quindi merita di essere seguita con particolare attenzione anche perché l’argomento è delicato.
NOTE
(269) Per ampliare quanto diremo e per uno studio più approfondito dei problemi si può vedere l’importante lavoro di V. Ronchi (bibl. 86). Per studiare da un punto di vista analitico completo i vari fenomeni discussi ci si può rifare a bibl. 88.
(270) Si veda la nota (°) al cap. 1° e bibl. 3, pagg. 99-102. Alcune delle cose che aggiungerò qui, a proposito di Descartes, Newton ed Huygens, ed in particolare quanto riportato tra virgolette senza indicazione bibliografica, sono ispirate o tratte da bibl. 15, cap, 4.
(271) Le teorie ottiche di Descartes sono esposte nella Diottrica del 1637.
(272) Anche qui, come per le altre vicende riguardanti Newton (e non solo), bisogna distinguere tra Newton ed i newtoniani. Molto spesso si tende a confondere la posizione di Newton con quella che i suoi pretesi sostenitori volevano accreditare. Si capisce certamente la maggiore facilità che ha un preteso storico ad andare avanti per etichette: io non intendo sottoscrivere questo modo di procedere che, per amore di aneddotica, racconta cose non vere o quantomeno discutibili (si veda, ad esempio, E. Persico che in bibl. 88, a pagina 79, fa apparire Descartes come padre putativo della teoria corpuscolare). Questo modo di procedere è tipico di coloro che intendono il progresso scientifico procedente per accumulazione successiva di conoscenze e, naturalmente, con una sua precisa linearità di sviluppo.
(273) Bibl. 87, pag. 493.
(274) Questo fenomeno, noto già da tempo, era stato scoperto ed ampiamente studiato da padre Grimaldi (l6l8-l663) e proprio a costui Newton fa riferimento nell’ Ottica. Si osservi che la parola diffrazione fu introdotta dallo stesso padre Grimaldi, mentre Newton non la usò mai preferendo in sua vece il termine inflessione.
(274 bis) Bibl. 90, pag. 195.
(275) Bibl.87, Quest.28, pagg.525-529. Si osservi che Newton respinge qui la teoria ondulatoria affermando che se essa fosse ammessa un raggio di luce che attraversasse un ostacolo, ad esempio un forellino, dovrebbe sparpagliarsi al di là di esso. Non ammette quindi la teoria che gli avrebbe permesso di spiegare le inflessioni della diffrazione senza ricorrere all’interazione luce-materia.
(276) “E, dice Newton, non si è mai vista la luce seguire vie tortuose o penetrare nell’ombra.“
(276 bis) Ibidem, Quest. 29, pag. 529.
(277) Si osservi che già Hooke, a partire dal 1672, era diventato un sostenitore di una concezione ondulatoria della luce (pare che per far ciò si sia ispirato ad alcuni passi di padre Grimaldi nei quali quest’ultimo parlava di ” vibrazione della direzione dei raggi “).
(278) E’ importante dare qui alcuni riferimenti. Il primo che dimostrò che il suono non si propaga nel vuoto fu un discepolo ed amico di Galileo, Gianfrancesco Sagredo (l571-1620). Egli si serviva di una specie di campanello che era situato all’interno di una campana di vetro dalla quale l’aria veniva quasi completamente tirata via per mezzo di un forte riscaldamento. Si osservi che le prime macchine pneumatiche sono del 1650 (Otto von Guericke). Torricelli fece invece notare che un raggio di luce passa attraverso il vuoto. Altro fatto che merita di essere annotato è la scoperta della doppia rifrazione, fatta nel 1669, dal medico danese E. Bartholin (1625-1698) mediante un cristallo detto «spato di Islanda». Da ultimo osserviamo che un allievo di Bartholin, Olaf Roëmer (1664-1710), nel 1676 riuscì a misurare, per la prima volta, la velocità della luce (calcolando i tempi di immersione ed emersione di uno dei satelliti di Giove, Io, nella zona d’ombra del pianeta. Tutto questo per dire che sia Huygens che Newton lavoravano su questioni sulle quali già si avevano dati sperimentali da sottoporre a trattamento teorico e che interessavano diffusamente gli scienziati dell’epoca. E’ da notare infine che un accostamento,come quello fatto da Huygens, della luce con il suono, se da una parte rende ragione di un mezzo che deve sostenere la luce, così cose l’aria sostiene il suono, dall’altra differenzia completamente i due fenomeni. Insomma, visti i lavori di Sagredo, la luce ed il suono si possono supporre della stessa natura solo se si ammette un etere con particolari proprietà.
(279) Bibl. 87, pagg. 560-561.
(280) Ibidem, pag. 562.
(281) La propagazione rettilinea la si può ancora ricavare dalla figura 15 quando si osserva che il raggio luminoso proveniente da A segue una delle traiettorie rettilinee che si irradiano da A (come quella ABC, segnata) e che risultano perpendicolari al fronte d’onda sferico (ed anche Hooke si era mosso su questa strada). Si osservi che proprio sulla propagazione rettilinea Huygens attaccava i corpuscolaristi, anche se non era soddisfatto neppure della sua teoria; secondo il suo modo di vedere la luce, costituita da corpuscoli, che colpisse un oggetto si sparpaglierebbe dappertutto. Si noti poi che, stranamente, Huygens non si sofferma a spiegare la diffrazione: la spiegazione di questo fenomeno poteva diventare di valido sostegno alla sua teoria.
(282) Oggi sappiamo che quando uno dei due raggi (o tutti e due), prodotto dalla doppia rifrazione, viene fatto passare attraverso un altro cristallo di spato d’Islanda, per particolari orientazioni del cristallo, questo raggio non si sdoppia ulteriormente perché è polarizzato. Questa spiegazione non può prescindere dall’ammissione di luce propagantesi per onde trasversali e quindi dalla teoria di Maxwell (un’onda longitudinale non può infatti essere polarizzata !
(282 bis) Ibidem, pag. 561.
(283) Born in bibl.91, pagg.117-118. Le sottolineature sono mie.
(284) Ora, come nel seguito, non mi soffermerò a spiegare fenomeni che compaiono in tutti i testi di fisica per i licei.
(285) Mi piace notare che Young, come Faraday e, come vedremo, Einstein era un outsider. Sarà violentemente attaccato da tutti i fisici ufficiali e ci vorranno degli anni prima che la sua scoperta venga presa in considerazione. La sua posizione di antinewtoniano era una sorta di reazione allo stato di abbandono (del quale abbiamo già detto) in cui, all’epoca, si trovava la scienza britannica. Egli riteneva che non ci si dovesse cullare con Newton, ma avere fantasia ed imboccare strade nuove. Si noti che anche Young non conosceva la matematica ai livelli richiesti dalla fisica ufficiale
(286) Oggi diremmo: monocromatica.
(28?) Bibl. 89, pag. 374. Altri brani originali di Young, che illustrano tra l’altro la sua adesione al dinamismo fisico, si possono trovare in bibl. 56, pagg. 184-195.
(287 bis) Citato in bibl. 19, Vol. 3, pag. 164.
(288) Young fu il primo a tentare questa impresa trovando valori dell’ordine del milionesimo di metro. Questi valori così piccoli per le lunghezze d’onda dei vari colori – rispetto, naturalmente, alle dimensioni degli oggetti macroscopici – lo convinsero del fatto che la luce dovesse propagarsi in linea retta originando ombre nette. Altro fatto notevole, osservato da Young, fu che la velocità della luce emessa da una sorgente intensa è la stessa di quella emessa da una sorgente debole e questo fatto risultava più facilmente spiegabile con la teoria ondulatoria.
(288 bis) Si ricordi che Euler, nonostante fosse sostenitore delle idee di Newton in vari campi, in ottica fu sostenitore della teoria ondulatoria (sono le vibrazioni dell’etere che trasmettono la luce). Per leggere un brano originale di Euler sull’argomento, si veda. bibl. 12, pagg, 63-64.
(289) Arago si convertirà ben presto alla teoria ondulatoria, anche se ad un certo punto non avrà il coraggio di condividerne tutte le conseguenze. Allo stesso modo Laplace, pur non aderendo mai alla teoria ondulatoria, mostrerà grande ammirazione per i lavori di Fresnel. Si noti infine che il britannico David Brewster (l78l-l868) fu un convinto corpuscolarista.
(289 bis) S1 ed S2 sono due immagini virtuali e simmetriche di S. Lo strumento descritto è un particolare tipo di interferometro: più avanti ne incontreremo altri tipi.
(290) A questo punto però Arago si dissocerà da Fresnel perché, per sua stessa ammissione, non ebbe il coraggio di sostenere l’idea di onde trasversali.
(291) Poisson nel 1828 dimostrò che se l’etere fosse stato un quasi-solido, a lato delle vibrazioni trasversali se ne sarebbero originate altre longitudinali e, alla lunga, queste ultime avrebbero sottratto tanta energia da non rendere più visibile la sorgente.
(292) Per approfondire questi aspetti si può vedere bibl.15, fasc.VII (a) e bibl. 91, pagg. 139-150.
(293) Per leggere un brano originale di Stokes sulla natura della luce, si può vedere bibl. 56, pagg. 243-253.
(294) Agli sviluppi della teoria dell’elasticità, ed in particolare alla teoria elastica dell’ottica, contribuirono, oltre al citato Stokes, eminenti personalità del livello di Poisson, Cauchy (1789-1857), Green, Mac Cullagh (1809-1847), fino al già più volte incontrato W. Thomson.
(295) La crucialità di questa eventuale esperienza era stata sostenuta da Arago nel 1838. Si tenga conto che, come vedremo più avanti, anche Arago nel l8l0 aveva tentato un’esperienza che dirimesse la polemica tra teoria corpuscolare ed ondulatoria.
(296) Nel 1607 ci aveva provato Galileo utilizzando un paio di lanterne e la distanza esistente tra due colline vicine. Naturalmente non riuscì.
(297) Tra le località parigine di Montmatre e Suresne (8.633 metri).
(298) Mentre Fizeau si servì della rotazione di una ruota dentata, Foucault si servì di uno specchio ruotante (mosso da vapore!). Come già accennato nelle pagine precedenti, lo stesso metodo di specchio ruotante era stato per la prima volta utilizzato da Wheatstone nel 1834 per la determinazione della durata di una scintilla elettrica. Fu quest’ultimo che suggerì che lo stesso metodo poteva usarsi per la misura di c e fu Arago che ne trasse spunto ma, data l’età avanzata, lasciò il compito ad altri. Si noti che Foucault ripeté l’esperienza nel 1862 per dare il valore assoluto di c e trovando un valore molto vicino a quelli oggi accettati (298.000 km/sec). Gli anni che vanno dal 1850 al 1862 furono per Foucault densi di altri lavori: in particolare, nel 1851 ideò il famoso pendolo (che porta il suo nome) con il quale dimostrò la rotazione della Terra sul proprio asse (dai tempi di Copernico, la prima prova terrestre di ciò). Altro merito importante che va ascritto a Foucault è la scoperta delle correnti parassite.
(299) Allo scopo mi servirò diffusamente di bibl. 81, pagg. 183-192 e di bibl. 91, pagg. 150-180.
(300) E’ il fatto che la luce passa anche attraverso i corpi (si pensi a quelli trasparenti) che fa ipotizzare l’etere anche dentro i corpi. Si noti che per Huygens risultò una grossa difficoltà lo spiegare la differenza tra corpi trasparenti e corpi opachi (allo scopo si veda bibl.l5, Cap.4, pag.l5 e bibl.86, pagg. 199-200).
(301) Ricordo una delle possibili formulazioni di tale principio: “Le leggi della meccanica hanno la stessa forma in tutti i sistemi inerziali “. Per capire meglio quanto qui sostenuto si può leggere l’altro mio lavoro sull’ argomento (La relatività da Aristotele a Newton – Bibl.3, pagg. 129-144).
(302) Bibl. 91, pagg. 150-151.
(303) Lo stabilire poi se l’etere è un riferimento assoluto sarà un’altra questione che interessa più la speculazione filosofica che non l’indagine sperimentale.
(304) Le accelerazioni rimangono, comunque, assolute (si veda bibl. 3, pagg, 140-142).
(305) I risultati sono pubblicati in F. Arago: Mémoire sur la vitesse de la lumière, Comptes Rendus; 36; pagg. 38-49, 1810. Si noti che una esperienza di questo tipo era stata proposta da Boscovich nel 1766. Boscovich proponeva di utilizzare il metodo di Bradley per la determinazione della velocità della luce semplicemente con il cannocchiale pieno d’acqua al fine di fare un qualcosa di analogo a quanto fatto poi da Fizeau (vedi più oltre): determinare come il mezzo influisce su c. Ma proprio a seguito di questa, esperienza di Arago (come vedremo) si arrivò a stabilire che il moto della Terra non ha alcuna influenza sul fenomeno della rifrazione della luce proveniente dalle stelle. A seguito di ciò Fresnel ne concluse l’impossibilità dell’esperienza proposta da Boscovich. L’esperienza fu poi tentata da Airy tra il 1871 ed il 1872 confermando le previsioni di Fresnel (si veda più avanti).
(306) Gli spostamenti dell’immagine dall’asse dovevano essere proporzionali a 2v/c, dove 2v è la differenza tra la velocità della luce nelle due situazioni A e B, e c è la velocità della luce considerata rispetto all’etere supposto in quiete. Una dipendenza di questo tipo (proporzionale a v/c) è detta del primo ordine. Dall ‘esperienza di Arago doveva scaturire un effetto del primo ordine nel rapporto v/c (gli unici effetti che, all’epoca, potevano essere osservati come del resto notò anche Maxwell in una sua lettera pubblicata postuma nel 1880 – allo scopo si veda l’inizio del paragrafo 4 del Cap. IV).
(307) Tengo a sottolineare un fatto forse inutile, ma un risultato negativo di una esperienza è altrettanto importante di un risultato positivo. Vorrei poi ribadire quel che dicevo qualche pagina indietro: l’esperienza di Arago non era progettata per individuare un moto assoluto della Terra rispetto all’etere; solo una lettura a posteriori, non in accordo con la storia, può permettere una tale interpretazione. D’altra parte e’ certamente vero che negli anni immediatamente successivi, fin verso la fine del secolo, questa esperienza fu portata a sostegno della tesi dell’impossibilità di individuare un moto assoluto della Terra rispetto all’etere, al primo ordine di v/c.
(308) Ed inoltre la teoria ondulatoria si stava mirabilmente formalizzando.
(309) Fresnel si sta qui riferendo all’ipotesi di trascinamento totale dell’etere da parte della Terra, ipotesi con la quale, come dice subito dopo, risulta inspiegabile il fenomeno dell’aberrazione.
(310) A. J. Fresnel, Sur l’influence du mouvement terrestre dans quelques phénomènes d’optique, Annales de chimie et de physique; 9; pag. 57; 1818. Si veda bibl. 123, pagg. 51-52. La sottolineatura è mia.
(311) L’ipotesi in oggetto prevede che l’etere sia in riposo assoluto nel vuoto; in riposo quasi assoluto nell’aria, qualunque sia la velocità di cui quest’aria è dotata; parzialmente trascinato dai corpi rifrangenti.
(312) L’immagine è sia di Born che di Einstein.
(313) E precisamente quello che si condensa intorno alle sue molecole e che costituisce la quantità in più di etere contenuto nella Terra rispetto a quella che si avrebbe in una uguale pozione di spazio vuoto. Cioè, secondo Fresnel, si ha una maggiore densità di etere nella materia di quanta se ne abbia nello spazio vuoto; nel moto di un corpo nell’etere esso tende a perdere la massa di etere che ha in più (rispetto a quella che si avrebbe in un uguale spazio vuoto) rimpiazzandola via via con dell’altra presa dallo spazio circostante. In questo modo si origina un parziale vento d’etere, all’interno del corpo, che ha verso contrario al moto del corpo stesso. Fu G. G. Stokes che nella sua memoria On the Aberration of Light (Phil. Mag. , 27; 1845) sviluppò una teoria basata su due assunzioni fondamentali: a) il moto dell’etere è dotato di una velocità potenziale (l’etere è incompressibile ed in esso non si originano vortici); b) L’etere che sta all’interno dei corpi materiali partecipa totalmente al loro moto; così la Terra si trascina tutto l’etere che ha al suo interno e quello che ha nelle immediate vicinanze; questo moto dell’etere va via via decrescendo finché, nelle zone più lontane dello spazio, esso è totalmente in quiete (teoria del trascinamento totale dell’etere). Poste le cose cosi, in modo abbastanza semplice, si riesce a spiegare, ad esempio, il risultato negativo dell’esperienza di Arago (e di tutte le altre dello stesso tipo), infatti le cose vanno sulla Terra come se essa fosse immobile nello spazio. Una difficoltà molto grossa di questa teoria stava nella sua incapacità di “spiegare come mai la luce proveniente dalla stella non subisca variazioni di direzione e di velocità nell’attraversare lo strato che separa l’etere dello spazio dall’etere trascinato dalla Terra. Stokes fece un’ipotesi che tenesse conto di tutte le condizioni imposte dalle leggi dell’ottica; ma, come si vide in seguito, essa si dimostrò in contrasto con le leggi della meccanica” (bibl.91, pag.l67). In definitiva l’ipotesi del trascinamento totale incontrava gravi difficoltà nella spiegazione del fenomeno dell’aberrazione; ovviamente non riuscì a rendere conto dell’esperienza di Fizeau che invece ben si raccordava con l’ipotesi del trascinamento parziale di Fresnel; infine, per l’aver introdotto ipotesi in contrasto con le leggi della meccanica (come dimostrerà H.A. Lorentz nel 1886), fu presto abbandonata.
(314) Bibl. 92, pag. 179.
(315) Si ricordi che l’indice di rifrazione n è definito come il rapporto della velocità c della luce nel vuoto (nell’etere) con quella c1 della luce nel mezzo materiale: c/c1 = n => c1 = c/n. E’ importante notare che, da considerazioni relative all’aberrazione stellare, Fresnel fece l’ipotesi che il risultato negativo dell’esperienza di Arago non dipendesse dal prisma in sé, che esso fosse cioè indipendente dalla natura del .mezzo rifrangente.
(316) Per approfondire questa parte si può vedere bibl. 91, pagg. 167-173.
(317) Questo almeno al 1° ordine del rapporto v/c. In ogni caso la strumentazione dell’epoca non avrebbe mai permesso di apprezzare effetti al 2° ordine ( v2 / c2 ) ed in questo senso si era espresso anche Maxwell, come vedremo nel paragrafo 4 del capitolo IV. Occorre notare che il fenomeno dell’aberrazione, come già detto, trovava una soddisfacente spiegazione anche nell’ipotesi di etere immobile, mentre era spiegato con difficoltà dall’ipotesi di trascinamento totale. L’esperienza di Arago invece era spiegata solo dall’ipotesi di trascinamento parziale dell’etere.
(318) La memoria di Doppler in cui si descrive l’effetto è Sulla luce colorata delle stelle doppie e di qualche altro astro celeste (Memorie dell’ Accademia delle Scienze di Praga, 1842). Anche qui occorre notare che Doppler, per il suo lavoro, prendeva le mosse da una critica alla teoria ondulatoria di Fresnel ed in particolare alle supposte vibrazioni trasversali. La critica fu poi portata avanti in modo più compiuto in un altro lavoro del 1843.
(319) E già la cosa risultava molto difficile tanto che Maxwell nel 1867 dovette rinunciare ad una tale osservazione. Soltanto nel 1869, dopo l’introduzione in queste ricerche di uno strumento a doppio prisma ed a visione diretta, costruito nel 1860 dal fisico italiano G.B. Amici (1785-1863), fu possibile l’osservazione dell’effetto Doppler sulla luce proveniente dalle stelle.
(320) Sia Wollaston che Fraunhofer osservarono le righe scure che attraversavano lo spettro solare (di ciò parleremo più diffusamente nel paragrafo 2 del cap. IV). Si osservi che la prima verifica sperimentale dell’effetto Doppler acustico fu realizzata dal meteorologo olandese C.H. Buys-Ballot (1817-1890) nel 1845. La prima verifica sperimentale dell’effetto Doppler realizzata in laboratorio si deve invece al fisico russo A.A. Bielopolskij (1854-1934) che la effettuò nel 1900.
(321) Fizeau indicava anche la possibilità di misurare la velocità relativa degli astri mediante gli spostamenti delle loro righe spettrali. Si noti che Doppler applicò, a torto, la teoria del fenomeno alla spiegazione della luce colorata delle stelle.
(322) Per separare l’effetto del moto proprio delle stelle da quello della Terra che si avvicina o si allontana si può procedere per confronto mediante l’analisi degli spettri degli elementi costituenti la stella, fatta sulla Terra e lo spettro della stella (confronto ripetuto a sei mesi di distanza). Gli spostamenti di colore che si osservano alternativamente in un senso e nell’altro sono dovuti al moto della. Terra, gli spostamenti costanti sono dovuti al moto proprio della stella (bibl.91, pag.l54). Si deve notare che la prima prova sperimentale degli spostamenti delle righe spettrali degli astri in avvicinamento od allontanamento fu data da E. Mach nel 1860.
(323) Chi fosse interessato all’argomento può vedere bibl. 91, pagg. 155-161.
(324) Ricordo che il rapporto v/c si dice quantità del primo ordine, mentre il rapporto v2/c2 si dice quantità del secondo ordine. Detto questo vediamo il senso della frase cui si riferisce la nota. Supposto che v sia la velocità della Terra e c quella delle luce, poiché v = 30 km/sec e c = 300.000 km/sec, il rapporto v/c vale 1/10.000 mentre il rapporto v2/c2 varrà 1/100.000.000. Ciò rende conto della estrema piccolezza di questa quantità e dell’enorme difficoltà a rilevarla sperimentalmente. Arrivare comunque a queste misure di altissima precisione sarà un problema che si porrà molto presto (alla fine dell’Ottocento).
(325) Bibl. 91, pag. 160.
(326) L’esperienza, nei suoi dettagli costruttivi completi, è descritta in bibl. 93, Vol.4, pagg. 40 7-409. I risultati di Fizeau sono pubblicati su: A.H.L. Fizeau, Sur les hypothèses relatives à l’éther lumineux, et sur une expérience qui paraît dé montrer que le mouvement des corps change la vitesse avec laquelle la lumière se propage dans leur intérieur, Comptes Rendus, 33, pagg. 349-355, 1851.
(327) Si osservi che se il trascinamento fosse stato completo, il coefficiente di trascinamento a = 1 – 1/n2 sarebbe stato semplicemente uguale ad 1, di modo che sarebbe risultato: W = c/n ± v. Questo fatto certamente si accordava con il principio classico di composizione delle velocità, ma altrettanto certamente non tornava, ad esempio, per la spiegazione del fenomeno dell’aberrazione (come si può vedere in bibl.91, pagg. l74-177). Se invece non vi fosse stato trascinamento di alcun genere sarebbe stato W = c/n in ogni caso poiché, rispetto al mezzo (l’etere) in cui si muove, la luce manteneva la sua velocità non dovendo comporsi con nessun’altra.
(327 bis) Bibl. 124, pagg. 15-16.
(327 ter) Si veda la nota 305.
(327 quater) Bibl. 19, Vol. 3, pag. 177. La sottolineatura è mia.
(327 quinquies) Bibl. 124, pag. 22.
CAPITOLO IV
1 – LA RIPRESA DELLO SVILUPPO CAPITALISTICO A PARTIRE DAL 1848: VICENDE POLITICO-ECONOMICO-SOCIALI IN CONNESSIONE CON LO SVILUPPO TECNICO-SCIENTIFICO (438)
Abbiamo già accennato nel paragrafo 1 del precedente capitolo che la borghesia industriale è la detentrice del potere economico intorno alla metà del secolo XIX. Le vicende del ’48 non fanno altro che sancire questa egemonia a livello politico. La. Restaurazione delle classi aristocratiche e latifondiste è dovunque battuta e, nonostante una profonda crisi economica che si abbatte sull ‘Europa, il terreno è preparato per l’ imponente balzo in avanti indicato comunemente come seconda rivoluzione industriale.
Dopo il ’48 si sente il bisogno di un generale riassestamento dei sistemi politici ed economici dei vari Stati che passa attraverso un più decisivo ridimensionamento degli strati sociali più conservatori.
” Lo sviluppo capitalistico ha ormai bisogno di una struttura politica liberal-democratica, dell’unificazione dei mercati nazionali, di un. sistema economico liberistico, di un aumento delle disponibilità finanziarie e monetarie. Nel ventennio che segue il 1848, infatti, prendono consistenza o si compiono i processi di unificazione nazionale (in particolare della Germania intorno alla Prussia e dell’Italia intorno al Piemonte); le borghesie nazionali incrementano gli investimenti all’estero, aboliscono le misure protezionistiche allargando e consolidando un’area internazionale di libero scambio, che incoraggia l’attività imprenditoriale, cui il temporaneo rialzo dei prezzi ed anche l’attività bellica forniscono un consistente sostegno; si sperimentano nuove forme di credito e si sviluppa un sistema bancario solido e compatto. Il trattato commerciale franco-britannico del 1860 ispirato alla libertà di commercio è seguito da tutta una serie di trattati aventi analoga ispirazione.” (439) Matura anche l’esigenza di superare la crisi economica mediante una ripresa della produzione per portarla a livelli superiori a quelli, pure importantissimi, del passato. D’altra parte le aperture doganali impongono una ristrutturazione industriale finalizzata alla penetrazione, in regime di concorrenza, sui mercati esteri e, contemporaneamente, alla. difesa dei prodottti nazionali da quelli di importazione. Si impone quindi un nuovo balzo tecnologico che trasformi l’industria, facendole superare i ristretti limiti che le erano imposti dal ferro e dal vapore su cui essa essenzialmente si fondava. Occorre inventiva, non più osservare, descrivere e sottoporre a trattamento teorico dei fenomeni, ma prefigurarli ed inventarli; la metodologia di ricerca deve mutare: l’uso delle ipotesi, dei modelli e delle analogie si fa sempre più spinto, l’elaborazione teorica sempre più astratta. In questo contesto le risposte dei tecnici diventano sempre più insoddisfacenti; nell’ultima metà del secolo è la scienza che si porrà come strumento formidabile per lo sviluppo della tecnica, finalizzata alla produzione industriale. La scienza, sempre più, acquisterà i connotati di scienza applicata e avrà i più importanti successi proprio in quei paesi che come la Germania, e gli Stati Uniti cureranno di più questo suo aspetto (attraverso la particolare struttura educativa, attraverso l’istituzione di laboratori di ricerca direttamente inseriti nell’industria, attraverso la promozione da parte dello Stato, attraverso lo stretto legame che si va instaurando tra laboratori universitari ed industria). Si inverte cosi il rapporto scienza-tecnica che fino alla prima metà del secolo aveva visto quest’ultima. come trainante per tutti i problemi che nascevano nella produzione industriale ed anche come suggeritrice di tematiche all’elaborazione scientifica. Il nuovo ruolo che la scienza acquista, come fattore determinante di un nuovo modo di produzione, comporta una specializzazione sempre più spinta nei vari settori di ricerca, come del resto era richiesto dal tipo di evoluzione che l’industria subiva.
La produzione di macchine per l’industria era stata, fino alla prima metà dell’Ottocento, la costruzione, ancora essenzialmente di tipo artigianale, di grosse macchine per la grossa industria, con costi molto elevati. Pian piano si affermò una duplice esigenza, da una parte di produrre macchine più piccole che potessero servire alle esigenze dell’industria che oggi chiameremmo piccola e media, (440) e dall ‘altra di alimentare gli standards di precisione costruttiva, in modo sii rendere intercambiabili alcuni pezzi ed, in definitiva, in modo da passare alla produzione in serie. Quindi anche nella costruzione di macchine si richiede una specializzazione sempre più spinta da raggiungersi con il perfezionamento delle macchine utensili, con l’uso di materiali più adeguati e con un’ingegneria più accurata.
Vale la pena soffermarsi un istante sulle piccole macchine e sulla produzione in serie.
Abbiamo già detto che si sentiva l’esigenza di macchine più piccole e meno costose per lo sviluppo della piccola e media industria che per molti versi sarebbe diventata un supporto formidabile alla grande industria. In genere quest’ultima delega la costruzione di piccole parti, di accessori, di particolari pezzi, ad una industria più piccola che per ciò stesso diventa satellite della prima. Ma se il ritmo di produzione delle due è sfasato, se cioè la grande industria produce più in fretta perché ha a disposizione macchine automatiche più veloci, mentre la piccola industria, essendo ancora legata a processi artigianali, produce più lentamente, non c’è raccordo possibile. E’ quindi necessario introdurre il nuovo modo di produzione anche in industrie più piccole , da necessario supporto a quelle grandi.
Una macchina ad aria calda (vapore surriscaldato), dovuta allo svedese J. Ericsonn (l803-l889) e basata sul ciclo di Carnot, fece la sua comparsa nel 1833 ed ebbe una certa diffusione intorno al 1850. Essa fu però abbandonata per la sua scarsa efficienza. Nel 1860 il belga E. Lenoir (1822-1900) costruì un motore ad accensione elettrica, alimentato da una miscela esplosiva di gas ed aria, che funzionava come una particolare macchina a vapore. Ebbe subito successo e se ne costruirono molti esemplari. Nel 1862 il francese A. B. de Rochas (1815-1887) inventa il ciclo a 4 tempi per il motore a scoppio. Fondamentali per questa scoperta furono i brevetti degli italiani E. Barsanti (1821-1864) e F. Matteucci (l808-l887), per il motore atmosferico (1854), per il motore bicilindrico a gas (1856), per il motore a pistoni concorrenti in un’unica camera di scoppio (1858), per il motore a pistone libero (l859). E’ doveroso notare che i motori Barsanti-Matteucoi furono i primi ad essere accoppiati a delle macchine utensili (cesoia e trapano nelle Officine della Ferrovia a Firenze, 1856) e che solo una non adeguata protezione dei brevetti permise di assegnare ad altri la paternità del motore a scoppio. In ogni caso, sulla base del ciclo di de Rochas, i tedeschi H.A. Otto (l832-l88l) ed E. Langen (1833-1895) ottengono un brevetto per un motore atmosferico identico (ed addirittura più arretrato relativamente alla trasmissione del moto) a quello di Barsanti-Matteucci. Questo motore ha il pregio di consumare 2/3 meno del motore Lenoir. ” In dieci anni furono vendute quasi 5.000 macchine atmosferiche da un quarto di cavallo fino a tre cavalli.” (441) Il successo fu grandissimo ed aumentò notevolmente quando, nel 1876, lo stesso Otto costruì il famoso motore silenzioso a quattro tempi, alimentato dalla solita miscela esplosiva di gas ed aria, che risultava, molto meno pesante ed ingombrante della macchina atmosferica.
Una caratteristica che mancava ancora alle piccole macchine motrici era la trasportabilità; infatti esse erano legate, come ad un cordone ombelicale, alla conduttura del gas.
Fu l’altro tedesco G. Daimler (l834-1900) che, nel 1883, costruì un leggero e veloce motore a benzina. Ma il motore che doveva avere i più clamorosi sviluppi (che poi portarono all’automobile) fu brevettato nel 1885, indipendentemente da O. Daimler e C. Benz (1844-1929). Da ultimo, alla fine del secolo (l892), vide la luce il motore con accensione per compressione di R. Diesel (1858-1913) estremamente versatile sia all’uso in impianti fissi che mobili, sia in impianti della più disparata potenza.
Connesso con lo sviluppo dei motori a benzina ebbe un grande incremento la richiesta di materia prima, il petrolio, da cui la benzina ed il gasolio venivano ricavati. A partire dal 1857, quando in Romania venne perforato il primo pozzo di petrolio e dal 1859 quando iniziarono le prime perforazioni negli Stati Uniti, la produzione di questa materia prima crebbe sempre di più anche se la sua importanza diventerà fondamentale solo dopo la fine della prima guerra mondiale.
La richiesta di piccole macchine , a prezzi accessibili, sarà comunque soddisfatta, come vedremo, dalle applicazioni pratiche della scienza elettrica.
Passiamo ora a discutere brevemente dell’altra esigenza di cui si diceva: l’accuratezza ingegneristica nella costruzione di macchine per permettere 1’utilizzazione di pezzi intercambiabili.
Le prime macchine a vapore erano state costruite con utensili molto rozzi e con una mano d’opera scarsamente qualificata. Già Smeaton, nel 1760, doveva lamentarsi molto di questo stato di cose; nelle sue macchine, tra cilindro e pistone, c’era uno spazio di circa mezzo pollice (su un diametro del cilindro di circa 28 pollici). (442) Questa approssimazione nella costruzione era responsabile di alte perdite di potenza. Si cercò di porvi rimedio coprendo la parte superiore del cilindro con uno strato d’acqua ma, nel progetto di Watt, dovendo la macchina funzionare con cilindro sempre caldo, questo sistema, non poteva essere adottato. Ci furono quindi serie difficoltà per la realizzazione del progetto di Watt che furono superate solo quando J. Wilkinson (1728-1808) riuscì a brevettare (1774) un trapano perfezionato che rese possibile la fabbricazione di cilindri di precisione. Il problema era quindi quello di una sempre maggiore precisione nella progettazione e, soprattutto, nelle macchine per la costruzione di macchine.
Che sulla strada di ricerca di precisione si marciasse dovunque, lo dimostra il fatto che nel 1765 il costruttore francese di armi, Le Blanc, introduce, nel processo di fabbricazione dei moschetti, l’intercambiabilità dei pezzi. Ciò vuol dire che ogni pezzo deve essere esattamente uguale ad un altro di modo che, in caso di rottura del primo, sia possibile montarne un secondo al suo posto.
Quindi, via. via, vengono realizzate macchine (443) sempre più in grado di costruire pezzi uguali tra loro. Questo aspetto non è indipendente però dalla ricerca di materiali sempre più affidabili. Si realizzeranno così acciai sempre più adatti ai fini che si volevano conseguire. E per far questo si dovette anche lavorare sui particolari convertitori per produrli (Bessemer, Siemens, Thomas, Martin,…). (444) Per alimentare questi giganteschi “forni” si ricercano sempre nuove e più affidabili fonti di energia. In tal senso lo sviluppo dell’elettricità è perfettamente funzionale ad ogni esigenza produttiva. L’elettricità gode della proprietà di essere “localmente” controllabile. Non serve cioè avere un generatore nel luogo d’uso, ma basta un cavo per trasportare la fonte di energia dove si vuole (445). Tutte le realizzazioni, le innovazioni, le scoperte subivano imponenti accelerazioni (ad opera essenzialmente di tedeschi e statunitensi, in connessione con la ripresa dello sviluppo capitalistico dopo le vicende del ’48) nell’ultimo quarto di secolo. L’elettricità in soli 70 anni divenne completamente matura. Ma questo processo riguardò moltissimi altri settori, tra cui quello chimico, a partire dall’industria dei coloranti (446); quello dell’automazione e dei miglioramenti dei rendimenti termodinamici (447); insomma, veramente dovunque, si avanzò in modo da cambiare radicalmente la struttura del mondo produttivo, dei modi di produzione, delle condizioni di vita della gente (448).
Inizia ad emergere con chiarezza lo stretto legame che l’industria instaura con la ricerca da cui attinge a piene mani. D’altra parte lo stesso mondo scientifico, almeno quello più intraprendente, lavorava direttamente per l’industria (Weber, Kohlraush, Kirchhoff, Kelvin,…)
Per dare solo un indice di come tutto ciò rivoluzionò l’intero modo di produzione industriale, si pensi che alla fine del Settecento (1787) il lavoro nei campi di 19 contadini riusciva a produrre un surplus sufficiente ad alimentare una persona che viveva in città, mentre agli inizi del Novecento (1935) gli stessi 19 contadini riuscivano a produrre un surplus sufficiente ad. alimentare 66 persone che vivevano in città (i dati sono riferiti agli Stati Uniti). Si può quindi ben capire come industrializzazione e meccanizzazione dell’agricoltura dovessero andare di pari passo: sarebbe stato altrimenti impossibile distogliere mano d’opera dai campi per servire alla produzione nell’industria.
Ma per lo sviluppo di tutti i ritrovati tecnici che si andavano accumulando era indispensabile una enorme disponibilità di capitali.
” Sul piano finanziario l’immissione di nuovo oro sul mercato e l’introduzione della carta moneta aumentano notevolmente le disponibilità monetarie e, con la caduta del saggio d’interesse, si espande contemporaneamente il volume del credito … Le banche commerciali per azioni, nate in Gran Bretagna, si diffondono rapidamente sul continente, favorendo una grande mobilitò di capitali e una notevole efficienza nell’utilizzazione delle risorse finanziarie.” (449)
Con la crisi poi che graverà su tutta l’Europa a partire dal 1873 fino al 1896 (grande depressione economica dalla quale solo la Germania riuscì ad uscire quasi indenne) “il sistema bancario e finanziario subisce trasformazioni profonde per rispondere alle nuove esigenze: da un lato la domanda di capitali per il dilatarsi delle imprese industriali con ritmi crescenti di innovazione tecnologica, dall’altro la quota, sempre più elevata di investimenti all’estero. Il capitale si da’ così forme nuove: nascono società finanziarie per azioni i cui rappresentanti siedono nei consigli di amministrazione delle aziende ed il cui potere di controllo si esercita a tutti i livelli della vita economica, politica e sociale.” (450)
Ma all’interno delle fabbriche non si produceva soltanto con le macchine e con il capitale: occorreva anche la forza lavoro degli operai. Leggiamo in proposito un brano scritto nel 1844 da un industriale tedesco, F. Harkorts:
” I grandi capitali sono sorti soprattutto attraverso le colpe delle amministrazioni, dei monopoli, dei debiti pubblici e del deprecato traffico della carta moneta. Essi sono alla base dei giganteschi impianti, conducono alla truffa che va oltre il bisogno, ed. opprimono le piccole officine, mediante le quali, prima, anche chi non era dotato di mezzi poteva farsi una strada con la propria diligenza, con una giudiziosa tendenza all’agiatezza. Con l’introduzione delle macchine, con la suddivisione del lavoro che viene spinta fino all’inverosimile (ad esempio nell’industria degli orologi esistono 102 rami diversi a cui vengono indirizzati i vari apprendisti), (451) sono necessarie soltanto una forza limitata ed assai poca intelligenze, e con la concorrenza il salario deve essere limitato al minimo indispensabile per restare in vita. Se appena si verificano quelle crisi di sovraproduzione, che sempre si ripetono a breve distanza, le paghe scendono subito al disotto dei limiti minimi; spesso il lavoro cessa completamente per qualche tempo …. Così come stanno ora le cose i fanciulli vengono impiegati soltanto per deprimere le paghe degli adulti; se i minorenni verranno eliminati dalla cerchia di coloro che possono lavorare, i più anziani troveranno migliori compensi per il lavoro delle loro mani. Anch’io appartengo alla categoria dei padroni dell’industria, ma disprezzo di tutto cuore la creazione di qualsiasi valore e ricchezza che si faccia a spese della dignità umana, ed abbassi la. classe dei lavoratori. Il compito della macchina è di sollevare l’uomo dalla servitù animalesca, non quello di creare ulteriore schiavitù.” (452)
Harkort concludeva questo brano affermando che, migliorando le condizioni di vita dei lavoratori (case e cibi sani, riduzione dell’orario di lavoro, educazione scolastica, compartecipazione agli utili, …), si sarebbe raggiunta una produzione di gran lunga maggiore. E quanto scriveva Harkort non era che lo specchio di una condizione di vita operaia veramente insopportabile: bassi salari, completa precarietà del lavoro, giornate lavorative fino a 16 ore, abitazioni e cibi malsani, mortalità infantile che arrivava fino a 300 per ogni mille nati vivi (” il punto più basso nello sviluppo sociale che l’Europa abbia conosciuto dall’alto Medio Evo”, così lo ha definito lo storico liberale Lewis Mumford), ritmi frenetici con conseguenti molteplici incidenti, abbondanza di malattie professionali per le condizioni di lavoro in fabbrica (la fabbrica era definita dallo stesso Mumford come ” La casa del Terrore”). Anche i fanciulli, perfino di 6 e 7 anni, venivano impiegati e perfino nelle miniere (si pensi che ci volle la legge mineraria inglese del 1842 per vietare il lavoro in miniera alle donne ed ai bambini di età inferiore a … 10 anni ! Si pensi poi che l’uso dei bambini nelle fabbriche di cotone durò, negli Stati Uniti, fino al 1933).
Vi furono vari tentativi di accordo tra operai e padroni dell’industria ma, l’accordo stipulato in un certo periodo, veniva regolarmente non rispettato dai padroni in un periodo successivo.
Verso la metà del secolo fu il tedesco Karl Marx (l8l8-l663) che, con estrema lucidità, denunciò le condizioni di lavoro degli operai, analizzando i rapporti esistenti tra capitale, lavoro salariato e profitto, arrivando a prospettare l’organizzazione rivoluzionaria degli sfruttati per l’abbattimento della società capitalistica e per l’emancipazione del proletariato, (454) ed operando attivamente a questo fine “combattendo con una passione, con una tenacia e con un successo come pochi hanno combattuto … Marx era perciò l’uomo più odiato e calunniato del suo tempo. I governi, assoluti e repubblicani, lo espulsero, i borghesi, conservatori e democratici radicali, lo coprirono a gara di calunnie.” (455) Ma l’eredità che questo uomo ha lasciato al movimento operaio di tutto il mondo è il bene più prezioso di cui esso dispone. “Marx ed il movimento dei lavoratori che a lui si collegava contribuirono a far si che lo Stato, a partire dall’ultimo quarto del XIX secolo, si sforzasse di migliorare le condizioni di lavoro e di vita dei lavoratori dell’industria, con una legislazione di politica sociale progressista.” (455 bis)
A parte queste considerazioni pur fondamentali, e per le quali rimando ai vari testi specializzati, rimane il fatto che, a partire dalla metà dell’Ottocento, iniziarono conflitti sempre più estesi tra i padroni dell’industria e gli operai in essa. occupati, soprattutto a partire dall’inizio degli anni ’70 quando, come abbiamo già accennato, una profonda crisi economica, che avrà il suo culmine nel crack del 1873 e sarà superata solo nel 1896, si abbatté su tutta l’Europa.
“Qui, come in occasione delle altre crisi cicliche, il meccanismo di accumulazione capitalistica si inceppa, si restringono i margini di realizzazione del profitto ed emerge drammaticamente la contraddizione tra il livello di produttività raggiunto e la struttura rigida del mercato nell’ambito dei rapporti di produzione esistenti. La caduta del saggio medio di profitto diventa una concreta realtà che impone una trasformazione di tutto il complesso della struttura produttiva al fine di rimettere in moto e dare nuovo slancio al meccanismo di sviluppo capitalistico. [A questa crisi il mondo industriale risponde con] la chiusura della fase di libero scambio che aveva caratterizzato il ventennio precedente e tutti i governi innalzano nuovamente rigide barriere doganali: si sviluppa così l’esigenza sempre più pressante del controllo dei mercati d’oltremare e delle fonti di materie prime e le nazioni europee fanno a gara nella conquista di nuovi territori in Asia e in Africa. Contemporaneamente l’urgenza di uscire dalla crisi e di superare la fase di depressione impone un radicale processo di riconversione produttiva, alla ricerca di più elevati standard di organizzazione e livelli tecnologici.”(456)
Da una parte quindi si inaugura l’età del colonialismo e dell’imperialismo e dall’altra la necessità di riconversione porta alla fine di tutte le imprese più deboli e ad una grossa espulsione di operai dalle fabbriche. La strada che si imboccò fu quella dell’ulteriore automazione che porterà alle teorizzazioni e realizzazioni dello statunitense F.W. Taylor (1856-1915), fondatore del metodo dell’organizzazione scientifica del lavoro (parcellizzazione), all’introduzione delle catene di montaggio e ad un grosso aumento di produzione.
Oltre a ciò si costruirono grosse concentrazioni industriali sotto forma di società per azioni, cartelli e trusts che ben presto assunsero il ruolo di multinazionali,
: Nel processo di ristrutturazione, a partire dalla crisi de ’73, la Gran Bretagna e la Francia persero il loro primato produttivo, economico, industriale, commerciale e scientifico-tecnologico. Questo primato passò alla Germania ed agli Stati Uniti.
Indagare con una qualche pretesa di completezza questo passaggio di primato ci porterebbe troppo lontano, ma alcuni elementi per comprenderlo possono essere delineati.
Certamente la struttura produttiva della Gran Bretagna era, ancora alla metà del secolo, di gran lunga la più possente tra tutte le altre; e qui già si può cogliere un primo elemento del declino di questa potenza (che per molti versi è simile a quello della Francia): una struttura. solida, che ha dei processi produttivi consolidati già da anni, presenta molto maggiori difficoltà alla riconversione industriale e tecnologica (a meno che si rinunci a gran parte del profitto per le cicliche indispensabili innovazioni). Altro elemento fondamentale, alla base della perdita del primato britannico, fu la struttura scolastica ed educativa. Questa difficoltà non si presentò invece alla Germania (ed agli Stati Uniti) che paradossalmente risultò avvantaggiata dalla sua preesistente arretratezza. (456 bis)
Mentre la Gran Bretagna, manteneva ancora una scuola profondamente classista in cui solo chi aveva soldi poteva andare avanti e non c’era alcun incentivo statale alla pubblica istruzione, mentre in questo paese l’istruzione non aveva alcun legame con il mondo della produzione e forniva una preparazione rigida e poco flessibile, al contrario, in Germania, c’era una grossa promozione statale alla pubblica istruzione, che era obbligatoria a livello primario, non c’era selezione sul censo, c’era una grossa selezione ma solo sulle capacità e la preparazione, c’era una scuola strettamente legata alle esigenze produttive, una scuola molto elastica e flessibile che preparava personale disciplinato ed altamente qualificato, in grado di poter cambiare mansione in caso di necessità; oltre a ciò vi erano anche moltissime scuole per adulti ed in particolare per operai che erano facilitati a frequentarle per il fatto che la legislazione dello Stato faceva obbligo agli industriali di lasciar loro del tempo libero per poter accedere ad esse.
Per quanto riguarda poi l’istruzione tecnico-scientifica a livello superiore, essa lasciava molto a desiderare in Gran Bretagna, pochi erano gli istituti che vi si dedicavano, pochi coloro che li frequentavano. La stessa struttura rigida della produzione che aveva creato il miracolo britannico ora diventava un ostacolo alla successiva espansione, non richiedendo il contributo di nuovi tecnici e scienziati.
In Germania, invece, le scuole tecniche prolificavano. Vi erano una quantità di istituti di ricerca altamente specializzati, gli studenti potevano preparare liberamente piani di studio, i laboratori erano attrezzatissimi, vi si faceva molta ricerca alla quale erano avviati anche gli studenti, vi erano borse di studio vere per studenti meno abbienti, vi si sviluppava, una grande sensibilità ai problemi della produzione. Oltre a ciò, come già accennato, era la stessa industria che da una parte si legava strettamente a questi centri di ricerca (soprattutto per la chimica) e dall’altra manteneva propri laboratori con molti ricercatori al lavoro.
Ed a proposito del declino della Gran Bretagna, Cardwell osserva che “il fallimento non fu affatto, in quel periodo, un fallimento economico; fu, invece, sostanzialmente un fallimento scientifico e tecnologico.” (458)
E’ quindi interessante notare che questo fallimento sul piano scientifico e tecnologico è riferito essenzialmente a quanto sia la scienza che la tecnica potevano fare per lo sviluppo dei processi produttivi, infatti non è per nulla vero che in Gran Bretagna non si facesse più scienza, anzi se ne faceva e molto sofisticata (Maxwell, Rayleigh, J.J. Thomson, Rutherford,…), ma non era la scienza che serviva per i settori trainanti dal punto di vista produttivo, non era scienza applicata e non fu in grado di inserirsi nei rivolgimenti scientifici di fine secolo e degli inizi del novecento. Come osservano Baracca e Livi tutto ciò mostra “ancora una volta che l’evoluzione della scienza non dipende solo dalla pura rilevanza fisica dei risultati, ma dal modo in cui essi si inseriscono in un processo più complesso, caratterizzato dai livelli di integrazione della scienza nel sistema produttivo e dalla capacità di quest’ultimo di valorizzarne nel modo più completo la ricaduta tecnologica.” (459)
La situazione degli Stati Uniti era in parte simile ed in parte radicalmente diversa da quella della Germania. Questo paese era di relativamente recente costituzione. Negli anni che vanno dal 1861 al 1865 esso aveva dovuto affrontare la sanguinosissima guerra di secessione degli Stati del Sud che, per altri versi, segnò un grosso sforzo produttivo a sostegno delle esigenze belliche, che comportò anche un grosso sforzo tecnologico sia per le stesse esigenze belliche in senso stretto sia per sopperire alla mancanza di mano d’opera, principalmente nei campi, proprio per effetto della guerra. E’ dalla fine di questa guerra che gli Stati Uniti iniziarono la lunga marcia verso il primato produttivo, scientifico e tecnologico a livello mondiale.
Le enormi distanze nel territorio, la scarsità di mano d’opera, le enormi ricchezze della terra sia per usi agricoli che estrattivi, furono da stimolo ad uno sviluppo che si differenziava da quello europeo. In questo Paese la necessità imponeva soprattutto di occuparsi di trasporti, comunicazioni (la conquista del West) ed automazione (per sopperire alla scarsità di mano d’opera) (460) sulla base, soprattutto, di una notevole mole di tecnologia empirica. (461) D’altra parte anche le prestazioni operaie erano scarsamente qualificate a causa della inesistente tradizione culturale e quindi educativa di quel Paese. Pertanto gli Stati Uniti puntarono essenzialmente sulla quantità di prodotto e sulle industrie di assemblaggio, al contrario di quel che faceva la Germania che puntava sulla qualità del prodotto e sulle industrie di trasformazione ad alta tecnologia. Tutto ciò comunque portò gli Stati Uniti al primato che condivise con la Germania alla fine del secolo. La Gran Bretagna invece, alla fine del secolo, pur mantenendo ancora un certo primato in alcuni settori produttivi, che erano stati quelli che avevano fatto la sua fortuna all’epoca della prima rivoluzione industriale (industrie tessili e minerarie), si trovava nella situazione in cui il resto delle sue industrie “erano per lo più filiali di ditte americane e tedesche o erano state impiantate da stranieri naturalizzati.” (462)
Quelli che ho dato sono certamente brevi cenni ma possono servire da spunto di riflessione per eventuali integrazioni e necessari ampliamenti.
Prima di concludere questo paragrafo ci rimane da fare alcune considerazioni sulle correnti di pensiero dominanti nella seconda metà dell’Ottocento.
Il primo dato che emerge e’ il tramonto del Romanticismo in connessione con una diffusa fiducia nelle capacità della scienza di risolvere i problemi dell’uomo e di essere il motore del progresso (non meglio identificato). Questo atteggiamento di fiducia nella scienza, che ai può senz’altro definire positivistico, non è tanto rintracciabile nell’opera di un qualche autore dell’epoca (occorre rifarsi a Comte) quanto appunto in un diffuso stato d’animo che nasceva, nelle classi che facevano cultura, in connessione con i successi della scienza e della tecnica. Si trattava di una sorta di ammirazione attonita che non si preoccupava di andare a comprendere l’infinità delle implicazioni sociali che il balzo tecnologico comportava, ma si accontentava soltanto di considerare i dati più appariscenti della questione. Questo atteggiamento culturale può essere riassunto in un semplice slogan: e’ solo la scienza che fornisce verità; la religione e la metafisica (e quindi la filosofia) non ci aiutano ad andare avanti.
Questo atteggiamento si accompagnava ad un declino della filosofia tradizionale in tutta Europa. Da una parte la scienza con le sue problematiche in terne, esterne e sui fondamenti, dall’altra l’incapacità, da parte di quella filosofia, di cogliere il dibattito per mancanza degli strumenti di comprensione della materia del contendere. La scienza era sempre più strutturata nel suo formalismo che tendeva via via ad anticipare fatti piuttosto che a spiegarne di noti, ed al suo interne nacquero e si svilupparono tutte quelle tematiche che, in connessione con la crisi del meccanicismo e le formulazioni evoluzionistiche, aprirono un dibattito e talvolta uno scontro tra visioni diverse del mondo e dello stesso modo di fare scienza.
La filosofia che non coglieva questa dinamica e non diventava filosofia della scienza rimaneva esclusa dal dibattito dovendo ripiegare su se stessa.
Ci furono certamente dei tentativi di salvaguardare la ‘purezza’ della filosofia insieme al suo primato sulla scienza (considerata, appunto, una forma di conoscenza inferiore) e tra di essi vanno ricordati quelli tardopositivisti (dei quali ci occuperemo ancora) e quelli irrazionalisti (per i quali rimando ad un testo di filosofia).
Una menzione a parte la merita invece la corrente di pensiero pragmatista, che vide la luce nell’ultimo quarto di secolo negli Stati Uniti, secondo la quale, ed in accordo con la visione della scienza cose forma inferiore di conoscenza, sono solo le applicazioni che danno una misura della validità del sapere scientifico (anche ‘la filosofia’ ha ben capito chi è che paga).
In ogni caso, al di là delle singole correnti di pensiero, emergeva con forza il problema dei rapporti scienza-filosofia.
Questa scienza che cambia i suoi metodi ed i suoi contenuti; mette in discussione i fondamenti; si impone all’attenzione per le sue potenzialità produttive; ebbene, questa scienza rappresenta l’elemento più importante da discutere alla fine del secolo. Se solo si pensa che anche Marx ed Engels (463) (e più tardi Lenin) sentirono il bisogno di occuparsi di scienza, entrando in argomento, in modo discutibile se si vuole ma certamente con cognizione di causa e puntuale conoscenza dello specifico, ci si rende conto di quanto attuale fosse il problema da qualunque parte fosse guardato. Ma la separazione scienza-filosofia si andava via via consumando con effetti incalcolabili che ancora oggi stiamo pagando.
Nei settori più consapevoli, comunque, per capire le connessioni ed i rapporti esistenti tra scienza e scienza e tra scienza e società, nacque l’esigenza di una storia delle scienze che non fosse una semplice cronaca dei fatti ma che andasse a ricercare l’origine profonda dei concetti, dei fatti, delle leggi, delle varie formulazioni e teorie, che non si succedono staticamente in un processo di accumulazione successiva ma si articolano dinamicamente in una dialettica molto complessa che non ha solo referenti interni ma anche e, per quanto abbiano visto, soprattutto esterni.
La fine dell’Ottocento vide anche un’altra novità che a buon diritto può essere considerata rivoluzionaria. Molta enfasi viene spesso data all’inaugurazione galileiana del metodo sperimentale, ma quasi mai si pone attenzione alla svolta che si operò alla fine dell’Ottocento, a partire dai lavori di Maxwell. Per la prima volta si rompeva lo schema galileiano e, con il demandare agli altri la verifica sperimentale delle ipotesi e delle teorie, si inaugurò quel processo che, come portato della divisione del lavoro e della sua sempre più spinta specializzazione, approdò alla separazione tra teoria ed esperimento, con la nascita prima del fisico teorico e poi della fisica teorica.
E, sempre in questo contesto, in cui la scienza si rivestiva di un alone di superiorità, gli addetti ai lavori iniziarono a trovare un alibi al di-sinteresse dell’uso che veniva fatto delle loro scoperte scientifiche. E quest’ultimo aspetto non ha più un carattere di storia ma di cronaca contemporanea soprattutto se si pensa che ancora oggi c’è chi dice che è la curiosità che muove la scienza, e che quest’ultima è perfettamente neutrale. (464)
NOTE
(438) Per quel che riguarda la bibliografia generale che serva ad approfondire quanto qui solo accennato rimando alla nota 134.
(439) Bibl. 24, pag. 29. La frase fra parentesi è mia.
(440) Questa esigenza è ben espressa in uno scritto dell’ingegnere P. Reuleaux (1829-1905) che, nel 1875, così si esprimeva: Solo il grande capitale può permettersi di acquistare ed. usare le potenti macchine a vapore … Bisogna rendere l’energia indipendente dal capitale. Il modesto tessitore sarebbe liberato dal prepotere del capitale se potessimo mettere a disposizione del suo telaio, nella misura giusta, la forza motrice che gli serve. Lo stesso potrebbe farsi con successo nel campo della filatura … Altri campi sono quelli della costruzione di mobili, di chiavi, di cinghie, quelli dello stagnino, del fabbricante di spazzole, di pompe, ecc… Quindi ciò che la meccanica deve fare per ovviare ad una gran parte del capitale, è fornire piccoli quantitativi di energia a buon prezzo o, in altre parole, realizzare piccole macchine motrici, il cui esercizio esiga spese assai modeste.” (Da Klemm, bibl. 22, pagg. 347-348).
(441) Bibl. 22, pag.347. Si ricordi che un cavallo potenza (HP) vale circa 76 Kgm/sec, mentre un cavallo vapore (CV) vale 75Kgm/sec. Riguardo alla nascita del cavallo come unità di misura di potenza si può vedere bibl. 45, pagg. 44-45.
(442) II pollice, unità di misura di lunghezza, corrisponde a 2,54 cm.
(443) – Nel 1794 il britannico J. Bramah (1746-1614) inventa il porta-utensili scorrevole per torni paralleli e nel 1795 la pressa idraulica;
– nel 1797 il britannico H. Maudsley (l771-l83l) migliora il porta-utensili per filettare munendolo di un banco a slitte e di un accoppiamento a madrevite;
– nel 1801 il francese M. Brunel (1769-1849) costruisce i primi trapani;
– nel 1832 lo statunitense E. Mhitney (1765-1825) costruisce la prima fresatrice per la realizzazione di superfici piane e costruisce le prime armi statunitensi a pezzi intercambiabili;
– nel 1802 ancora J. Bramah realizza la prima piallatrice meccanica;
– nel 1807 il britannico W. Newberry inventa la sega a nastro;
– nel l8l0 ancora Maudsley completa la realizzazione del primo tornio di precisione, interamente costruito in ferro, con il quale si possono fabbricare viti con filettature precise e cilindri molto ben centrati e rettificati (con questo tornio inizia la produzione standardizzata di viti e cilindri);
– nel 1825 il britannico J. Glement (1779 -1844) realizza una macchina in grado di spianare perfettamente le superfici metalliche; “con l’aiuto di questi cilindri e superfici piane perfetti l’inglese J. Whitworth (l803-l887) sviluppò, negli anni 1830-50, il suo misuratore di precisione a vite, che permetteva di misurare con una sensibilità fino ad un milionesimo di pollice, e i suoi torni di precisione, le sue macchine spianatrici, perforatrici, tagliatrici e modellatrici che gli diedero fama mondiale” (bibl. 16, Vol. II, pag. 530).
– nel 1840 lo stesso Whitworth propose che si adottassero, nella costruzione di macchine, sia pezzi intercambiabili lavorati entro strette tolleranze, sia filettature unificate.
(444) L’acciaio, per le sue caratteristiche, era di gran lunga preferibile per la costruzione di macchine che, proprio perché soggette a rapidi movimenti, erano enormemente sollecitate. I prima acciai si cominciarono a produrre a partire dal 1783 quando il britannico H. Cort (l740-l800) inventò il sistema di puddellaggio, atto alla loro fabbricazione. Nel 1811 il tedesco F. Krupp (1787-1826) inaugurò ad Essen la prima fonderia d’acciaio (nella Germania e già nel 1812 iniziò la produzione dei primi acciai inossidabili.
Leghe di acciaio furono anche studiate e create da M. Faraday (!) nel 1822 ma gli acciai speciali ad alta robustezza e resistenza si cominciarono a realizzare a partire dal 1856 quando, il britannico H. Bessemer (l8l3-l898) inventò il convertitore,che porta il suo nome, per la produzione, appunto, dell’acciaio ed il tedesco P. Siemens (1826-1904), uno dei quattro fratelli Siemens, inventò il forno a rigenerazione,sempre per la produzione dell’acciaio.
Nel 1862 la Krupp aveva già installato il primo convertitore Bessemer del continente.
Appena tre anni dopo (l865) i fratelli Martin, francesi, misero a punto un processo che, integrato con quello Siemens, permetteva, un notevole risparmio di combustibile (processo Siemens-Martin).
Sia il convertitore Bessemer che il processo Siemens-Martin erano però adatti alla lavorazione di minerali senza tracce di fosforo e si adattavano quindi bene ai giacimenti britannici e continentali esclusa la Germania i cui giacimenti erano ricchi di minerale fosforico. La soluzione a questo problema fu trovata dal britannico S.G. Thomas (1850-1685) che con il processo che porta il suo nome permise lo sfruttamento dei giacimenti del Belgio, della Lorena e della Germania.
Intanto nel 1668 era stato installato negli Stati Uniti il primo convertitore Bessemer.
A questo punto il grosso era fatto ma le richieste dell’industria si facevano sempre più pressanti;
-nel 1881 Siemens costruisce il forno elettrico per la fusione dell’acciaio;
– nel 1884 il processo Thomas viene esteso ai forni Martin;
– nel 1888 viene prodotto il primo acciaio speciale con forti percentuali di manganese;
– nel 1889 viene prodotto un altro acciaio speciale, quello al nichel;
– nel 1900 F.H. Taylor produce i primi acciai rapidi per utensili che consentono elevate velocità di taglio.
(445) Certo, perché l’elettricità arrivasse a questo grado di funzionalità, sono stati necessari molti successivi passi, ciascuno dei quali, anche se in tempi relativamente brevi, ha rappresentato una tappa complessa e piena di implicazioni soientifico-tecnologiche. Cerchiamo di ripercorrere questi passi a partire dalle due fondamentali scoperte alla base della tecnologia elettrica: quella di Volta e quella di Faraday.
– Nel 1800 A. Volta costruisce la pila elettrica, prima tappa fondamentale nello sviluppo dell’elettrotecnica;
– nel 1803 il tedesco J. Ritter (l776-l8l0) progetta l’accumulatore elettrico;
– nel 1809 H. Davy costruisce l’arco elettrico;
– nel 1820 il tedesco T.J. Seebeck (l770~l83l) riesce a magnetizzare l’acciaio;
– nel 1822 lo stesso Seebeck dimostra, che la corrente fa variare la temperatura di un circuito dando inizio alla termoelettricità;
– nel 1822 il britannico P. Barlow (1766-1862) dimostra la trasformabilità dell’energia elettrica in energia .meccanica (ruota di Barlow);
– nel 1822 il tedesco G. S.. Ohm (1787-1854) ricava la legge che porta il suo nome e che lega tensione, corrente e resistenza;
– nel 1624 il francese J.C. Peltier (l785-l845) scopre l’effetto termoelettrico;
– nel 1825 lo statunitense M. Sturgeon (1783-1850) costruisce il primo elettromagnete d’uso pratico;
– nel 1831 M. Faraday scopre il fenomeno dell’induzione elettromagnetica e costruisce il primo semplice generatore di corrente alternata;
– nel 1831 lo statunitense J. Henry (1797-1878) costruisce il primo semplice motore elettrico;
– nel 1832 il francese H. Pixii (1776-1861) costruisce una macchina per produrre corrente alternata con il primo dispositivo commutatore per ‘raddrizzarla’;
– nel 1832 ancora Henry scopre il fenomeno dell’autoinduzione;
– nel 1833 Gauss e Weber realizzano il primo telegrafo elettrico;
– nel 1836 il francese A.P. Masson (l806-l880) realizza correnti elettriche indotte ad alta tensione;
– nel 1837 lo statunitense J. P. Morse (1791-1872) costruisce la prima linea telegrafica di uso pratico;
– nel 1838 il tedesco H. von Jacobi (l801-l874) costruisce un motore elettrico ad elettromagneti, alimentati da una batteria di pile, con il quale fa muovere un battello sulla Neva;
– nel 1840 ancora Masson insieme a L.F. Breguet (l804-l883) costruiscono un trasformatore;
– tra il 1840 ed il 1844 ad opera, indipendentemente, del britannico W. Grove (1811-l896), del ‘britannico de Moleyns, dello statunitense J.W. Starr, del francese L. Foucault, vengono realizzati i primi tentativi per lampade ad incandescenza;
– nel 1845 G. Wheatstone modifica i generatori elettrici sostituendo i magneti permanenti con elettromagneti;
– nel 1848 G. Kirchhoff estende la legge di Ohm a circuiti complessi a più rami ;
– nel 1850 viene posato, attraverso la Manica, il primo cavo telegrafico sottomarino;
– nel 1851 il tedesco W. J. Sinsteden (l803-l878) costruisce il primo alternatore elettrico monofase;
– nel 1855 l’italiano De Vincenzi brevetta la prima macchina da scrivere elettrica;
– nel 1859 l’italiano A. Pacinotti (l841-1912) costruisce un indotto per macchine elettriche (anello di Pacinotti) , ad alto rendimento, per la trasformazione dell’energia meccanica in elettrica e viceversa;
– nel 1865 termina la posa in opera del primo cavo transatlantico sottomarino (a cui lavora la ditta Siemens);
– nel 1866 W. Siemens (l8l6~l892) scopre il principio elettrodinamico e costruisce la prima dinamo elettrica;
– nel 1867 il belga Z.T. Gramme (l826-190l) inventa la dinamo ad autoeccitazione per ottenere una corrente continua costante;
– nel 1869 lo stesso Gramme costruisce una dinamo elettrica a corrente continua in grado di trasformare energia meccanica in elettrica e viceversa;
– nel 1870 ancora Gramme, utilizzando i lavori di Pacinotti, costruisce la prima dinamo industriale;
– nel 1871 l’italiano A. Meucci (1804-1889) costruisce il primo rudimentale telefono;
– nel 1874 il tedesco S. Schuckert (1846-1895), collaboratore di Edison, inventa la commutatrice, una macchina rotante capace di convertire la corrente alternata in continua e viceversa;
– nel 1875 ancora Gramme costruisce il primo alternatore ad induttore rotante;
-nel 1875 lo statunitense G. Green prospetta l’idea di alimentare le locomotrici ferroviarie mediante un filo aereo;
– nel 1876 lo statunitense G.A. Bell (1847-1922) chiede il brevetto per il telefono ;
– nel 1878 il britannico J. Swann (1828-1914) costruisce una lampada ad incandescenza a filamento di carbone;
– nel 1879 lo statunitense T.A. Edison (1847-1931) costruisce la prima lampada ad incandescenza;
– nel 1879 ancora W. Siemens costruisce il primo locomotore elettrico;
– nel 1880 di nuovo W. Siemens costruisce il primo ascensore elettrico;
– nel 1881 gli Stati Uniti presentano una centrale telefonica automatica;
– nel 1881 W. Siemens inventa un sistema scorrevole di collegamento alla linea elettrica (trolley);
– nel 1881 W. Siemens accoppia una macchina a vapore ad un generatore di corrente per la produzione di energia elettrica;
– nel 188l negli Stati Uniti viene inaugurato il primo impianto di illuminazione elettrica pubblica;
– nel 1881 W. Siemens costruisce forni elettrici per la fusione dell’acciaio;
– nel 1881 viene inaugurata a Berlino la prima tramvia elettrica (Siemens);
– nel 1882 viene inaugurata negli Stati Uniti, a New York, la prima centrale elettrica per la fornitura di energia elettrica per uso domestico (Edison);
– nel 1884 il francese L. Gaulard (1850-1889) costruisce il trasformatore statico, dimostrando contemporaneamente la possibilità del trasporto a distanza dell’energia elettrica;
– nel 1885 viene inaugurata la prima centrale elettrica tedesca;
– nel 1885 Edison sviluppa la dinamo multipolare;
– nel 1885 l’italiano G. Ferraris (1847-1897) scopre il campo magnetico rotante e, in base ad esso, costruisce il primo motore elettrico a corrente alternata polifase;
– nel 1886 negli Stati Uniti entra in funzione il primo impianto di distribuzione di corrente alternata;
– nel 1886 lo statunitense E. Thomson brevetta il motore elettrico a repulsione;
– nel 1888 il tedesco H. Hertz dimostra l’esistenza delle onde elettromagnetiche;
– nel 1889 la statunitense Westinghouse costruisce i primi alternatori polifasi;
– nel 1889 la statunitense Otis Broters & Co. inizia la produzione industriale di ascensori (con il parallelo sviluppo degli acciai e del cemento armato – Francia 1867 – si renderà possibile la costruzione di grattacieli);
– nel 1891 il russo M. Dolivo-Dobrowolski (1862-1919) inventa l’indotto a gabbia di scoiattolo per i generatori elettrici;
– nel 1891 in Germania si sperimenta la trasmissione di energia elettrica ad alta tensione (25.000 V), su una linea di 178 Km;
– nel 1891 negli Stati Uniti viene installata la prima linea ad alta tensione;
– nel 1892 Siemens sperimenta la prima locomotrice elettrica a corrente alternata. polifase;
– nel 1892 la Westinghouse costruisce i primi trasformatori raffreddati ad acqua;
– nel 1895 il russo A. Popof (1858-1905) costruisce un’antenna per la ricezione delle onde elettromagnetiche;
– nel 1895 l’italiano G. Marconi (l874-1937) compie i primi esperimenti di radiocomunicazione ;
– nel 1897 Marconi stabilisce il primo contatto radiotelegrafico a distanza;
– nel 1900 lo statunitense Hewitt (186l-1921) inventa il raddrizzatore a vapori di mercurio;
– nel 1900 la Westinghouse installa la prima turbina a vapore per la generazione dell’energia elettrica;
– nel 1902 la Westinghouse introduce l’elettrificazione a corrente monofase ad alta tensione per uso ferroviario;
– nel 1904 il britannico J.A. Fleming (1849-1945) costruisce il diodo;
– nel 1506 lo statunitense L. De Forest (l873~196l) costruisce il triodo.
(446) Le tappe più importanti dello sviluppo della chimica, dopo la scoperta delle leggi dei gas e di svariati elementi, soprattutto per quel che riguarda il suo massiccio sfruttamento nell’industria sono:
– nel 1825 M. Faraday scopre il benzene che è un ottimo solvente organico e materia prima per molti derivati;
– nel 1826 M. Faraday scopre che la gomma naturale e’ un idrocarburo aprendo la strada alla fabbricazione della gomma sintetica;
– nel 1826 il tedesco 0. Unverdorben (l806-l873) scopre l’anilina, che e’ una sostanza importantissima per la fabbricazione di coloranti e prodotti farmaceutici;
– nel 1827 i francesi P.J. Bobiquet (1760-1840) e J.J. Colin (1784-1865) isolano l’alizarina (composto organico che si estrae dalle radici della robbia, pianta abbondante nella Francia meridionale, utilizzato come colorante);
– nel 1828 il tedesco P. Wöhler (l800-l882) realizza la prima sintesi organica, quella dell’urea (composto organico dal quale si possono ottenere resine sintetiche e che può essere usato come concime azotato);
– nel 1830 lo svedese J.J. Berzelius (1779-1848) introduce il concetto di isomeria;
– nel 1830 iniziano ricerche approfondite sul catrame che porteranno alla scoperta di molti composti organici che saranno alla base dei grandi progressi della chimica organica e dell’industria che li sfrutterà;
– nel 1834 il tedesco F.F. Runge (1794-1867) colora delle fibre tessili con l’anilina ossidata (nero d’anilina);
– nel 1835 J.J. Berzelius scopre le proprietà dei catalizzatori che diventeranno della massima importanza nell’industria chimica;
– nel 1846 lo svizzero C.P. Schönbein (1799-1868) scopre la nitrocellulosa (importante composto per la produzione di coloranti, di esplosivo, della seta artificiale);
– nel 1846 l’italiano A. Sobrero (l8l2-l888) scopre la nitroglicerina, (esplosivo estremamente pericoloso da maneggiare);
– nel 1848 il francese A. Payen (1795-1871 ) inventa un processo per la fabbricazione della cellulosa;
– nel 1856 il britannico W.H. Perkin (l838-1907) sintetizza il primo colorante artificiale, la malveina (violetto d’anilina);
– nel 1863 il belga E. Solvay (1838-1922) scopre un processo più redditizio per la fabbricazione della soda;
– nel 1865 il tedesco A. Kekulé (1829-1896) propone la formula di struttura esagonale del benzene, a partire dalla quale sarà possibile realizzare una enorme quantità di nuovi composti organici;
– nel 1869 i tedeschi K. Graebe (1841-1927) e K. Liebermann sintetizzano l’alizarina;
– nel 1883 il britannico J. Swann (1828-1914) brevetta delle fibre filate di nitrocellulosa;
– nel 1866 lo svedese A.B. Nobel (l833-l896) elabora la nitroglicerina ottenendo la dinamite;
– nel 1901 il francese H. le Chatelier brevetta m processo di fabbricazione dell’ammoniaca sintetica.
In parallelo a quanto abbiamo brevemente elencato anche la chimica teorica si sviluppava rapidamente in un processo di stretta interconnessione con le esigenze produttive. Si potrà notare che la Germania è alla testa della ricerca. Il settore dei coloranti sintetici diventa ben presto trainante e la Germania sa sfruttare ciò che, ad esempio, la Gran Bretagna non utilizza (il brevetto Perkin) e ciò che, ad esempio, la Francia esita ad accettare (la formula di struttura esagonale del benzene di Kekulé). La grande industria chimica tedesca avvia inoltre giganteschi programmi di ricerca in propri laboratori ed in stretto legame con le università (si pensi che la Basf nel 1880 investe la gigantesca cifra di un milione di sterline per la sintesi dell’indaco, programma che solo dopo 17 anni sarà coronato da successo, con una imponente ricaduta tecnologica). Per dare un’idea dell’enorme mole di lavoro svolto dalle sei maggiori industrie chimiche tedesche si pensi che esse, negli anni che vanno dal 1886 al 1900, brevettarono ben 948 sostanze coloranti, mentre, al confronto e nello stesso periodo, le sei maggiori industrie chimiche inglesi ne brevettarono 66.
(447) Le principali tappe di sviluppo della meccanizzazione dell’industria tessile e dell’agricoltura si possono riassumere come segue.
Le grandi innovazioni nei telai portano i processi di filatura e tessitura via via a livelli di automazione sempre più spinta. Già agli inizi dell’Ottocento vari telai erano mossi a vapore. Piano piano vengono introdotti: il movimento differenziale alle macchine per filatura (Gran Bretagna, 1810); le pettinatrici di fibre lunghe (Francia, 1825); il filatoio automatico intermittente (Gran Bretagna, 1825); il filatoio ad anello (Stati Uniti, 1828); il filatoio continuo (Gran Bretagna, 1833); il telaio circolare per maglie (Gran Bretagna, 1849); la macchina per cucire mossa a pedale e dotata di pezzi intercambiabili che ha il grande pregio di lasciare le mani libere (Singer, Stati Uniti, 1851); il telaio rettilineo (Gran Bretagna, 1857); il telaio rettilineo multiplo che permette la produzione contemporanea di molti esemplari dello stesso indumento (Gran Bretagna, 1864); il telaio automatico (Stati Uniti, 1889); il telaio con sostituzione automatica delle spole vuote (Stati Uniti, 1892); la chiusura lampo (Stati Uniti, 1893); l’annodatrice automatica per tessitura (Stati Uniti, 1805).
Con queste innovazioni l’industria tessile aumenta in modo impressionante la produzione senza incrementare i posti di lavoro (se non indirettamente, nell’industria chimica dei coloranti). E per concludere con l’industria tessile c’è solo da aggiungere che l’invenzione della macchina per cucire dà il via all’industria delle confezioni: i prodotti vengono da ora commerciati completamente finiti.
Per quel che riguarda l’agricoltura c’erano da affrontare almeno tre grossi problemi: l’inurbamento massiccio, al seguito della grande industria, richiedeva enormi quantità di cibo ponendo inoltre il problema della sua conservazione; molta forza lavoro aveva abbandonato le campagne per cercare una sistemazione nella fabbrica; la popolazione era grandemente aumentata in valore assoluto negli ultimi anni. Anche qui pertanto bisognava produrre di più, con metodi diversi e sfruttando al massimo i prodotti tecnologici. Da una parte, intorno alla metà del secolo, l’industria chimica iniziò a fornire fertilizzanti e, dall’altra, furono successivamente introdotti i seguenti ritrovati tecnologici: la trebbiatrice (Gran Bretagna, 1802); la falciatrice meccanica (Gran Bretagna, 1814); la mietitrice (Gran Bretagna, 1826; Stati Uniti, 1834); la raccolta automatica del grano in covoni mediante un nastro rotante senza fine (Stati Uniti, 1849); la seminatrice automatica (l850); l’aratura meccanizzata a vapore (Gran Bretagna, 1850); la falciatrice automatica (1850); la legatrice automatica dei covoni (Stati Uniti, 1871); la diffusione del refrigeratore a compressione di ammoniaca (Linde, Germania) per la conservazione dei cibi (l873); la mietitrebbia combinata che miete il grano, lo trebbia, lo pulisce e lo insacca (Stati Uniti, 1886); la mietifalciatrice a vapore (Stati Uniti, 1889); la mietitrebbia combinata su trattore a cingoli, mossa da una macchina a vapore (Stati Uniti, 1904) e da un motore a benzina (Stati Uniti, 1906).
Per altri versi gli sviluppi della tecnologia idraulica dettero un notevole impulso all’elettricità:
– l’invenzione del britannico J.Francis (1815-1892) della turbina idraulica a reazione (1845);
– l’invenzione dello statunitense A. Pelton (1829-1916) della turbina idraulica ad azione (1884).
Le richieste di energia poi erano sempre maggiori e ad esse si faceva fronte da un lato con il carbone, che aveva quasi completamente sostituito la legna da ardere, e solo parzialmente (nel periodo di cui ci stiamo occupando) con il petrolio, dall’altro con l’energia idraulica e d&oall’altro ancora con il miglioramento delle macchine termodinamiche e dei loro rendimenti. A quest’ultimo fine furono via via realizzate:
– la caldaia tubolare (Stati Uniti, 1824; Francia, 1828);
– la macchina a vapore surriscaldato (Svezia, 1833);
– la caldaia a serpentini (Francia, 1850);
– la caldaia a tubi inclinati (Wilcox-Stati Uniti, 1856);
– la macchina a vapore a pezzi intercambiabili (Stati Uniti, 1876);
– la turbina a vapore a reazione che faceva 18.000 giri/minuto (Gran Bretagna, 1884);
– la turbina a vapore ad azione che faceva 30.000 giri/minuto (Francia, l890);
– la turbina a vapore ad azione e ad asse verticale (Stati Uniti, 1896).
Il particolare sviluppo che ebbero le turbine fu dovuto al fatto che esse avevano un rendimento, in termini di denaro, molto più elevato delle macchine a vapore alternative (per migliorare il rendimento di queste ultime fu introdotta la macchina a vapore a cilindro orizzontale per la sua migliore capacità di sfruttare il moto rotatorio). La termodinamica delle macchine a vapore fu sviluppata principalmente dal britannico W. Rankine (l820-1872) in un suo lavoro del 1859. Sempre più ogni settore della produzione si andava sistemando in un tutt’uno integrato con svariati altri settori e sempre più ogni industria cercava di raccogliere in sé tutte le attività produttive in modo da costruire un insieme unico integrato (trust).
(448) Prima di ooncludere questo paragrafo riporto altre innovazioni tecniche realizzate nel corso del secolo; quelle che hanno avuto una grande importanza dal punto di vista economico-politico-sociale, a partire dalle rivoluzionarie conquiste nel settore dei trasporti e delle vie di comunicazione (altri elementi indispensabili per lo sviluppo dei commerci).
– Nel 1807 R. Fulton (1765-1815) inizia un servizio regolare di battelli a vapore (Stati Uniti);
– nel 1814 G. Stephenson (1781-1848) inizia le prove della sua locomotiva a vapore (Gran Bretagna);
– nel 1827 ai compie la prima traversata dell’Atlantico a vapore (il primo servizio regolare inizia nel 1838);
– nel 1822 G. Stephenson con il figlio Robert costruisce la locomotiva Rocket (prima locomotiva moderna) iniziandone la produzione in serie;
– nel 1830 viene inaugurata la prima ferrovia britannica e da allora molti paesi europei inaugureranno la loro prima ferrovia;
– nel 1859 entra in esercizio la prima carrozza letto (Stati Uniti);
– nel 1868 entra in esercizio il primo vagone frigorifero (Stati Uniti);
– nel 1869 viene aperto il Canale di Suez (realizzazione francese su progetto italiano);
– nel 1871 è inaugurato il tunnel del Frejus;
– nel 1881 è inaugurato il tunnel del San Gottardo ;
– nel 1885 G. Daimler costruisce la prima motocicletta;
– nel 1886 C. Benz costruisce la prima automobile a tre ruote;
– nel 1888 il britannico J.B. Dunlop (1840-1921) brevetta il prime pneumatico di uso pratico;
– nel 1893 viene aperto il canale di Corinto;
– nel 1896 lo statunitense H. Ford (1863-1947) costruisce la sua prima auto;
– nel 1898 inizia il traforo del Sempione;
– nel 1900 il tedesco F. von Zeppelin (1838-1917) costruisce il primo dirigibile a struttura metallica;
– nel 1903 gli statunitensi fratelli Wrigat effettuano il primo volo a motore.
Altre tappe da ricordare, nei settori più diversi, sono:
– l’introduzione del cuscinetto a sfora (Francia, l802)f;
– l’invenzione delle lenti per fari, costruite con vetri di un solo pezzo incisi a fasce concentriche (Fresnel, Francia, 1822)(;
– l’invenzione del maglio a vapore (Gran Bretagna, 1838);
– la scoperta del linoleum (Gran Bretagna, 1844);
– la prima rotativa di stampa (Gran Bretagna, 1848);
– la distillazione del cherosene (Canada, 1854);
– la serratura di sicurezza (Yale, Stati Uniti, 1855)5;
– il brevetto del filo spinato (Stati Uniti, 1874);
– la costruzione del fonografo (Stati Uniti, 1872);
– il brevetto della prima penna stilografica (Watermann, Stati Uniti, 1884);
– la prima macchina per fabbricare bottiglie (Gran Bretagna, 1887);
– il primo processo (piroscissione) di distillazione del petrolio (Gran Bretagna, 1889);
– i fratelli Lumiere realizzano il cinematografo elaborando una precedente realizzazione di Edison (Francia, 1895).
(449) Da Baracca, Russo e Ruffo, bibl. 54, pag. 7.
(450) Ibidem, pag. 93.
(451) II matematico britannico C. Babbage (l792-l87l) fu uno dei primi teorici della parcellizzazione del lavoro. Nel 1832, in un suo lavoro (On the economy of machinary and manifactures), dopo aver sostenuto che la suddivisione del lavoro riduce i tempi dell’apprendistato e fa risparmiare materia prima, affermava: “un altro vantaggio che deriva dalla suddivisione del lavoro è il risparmio di tempo poiché in ogni passaggio da una lavorazione ad un’altra un certo tempo va perduto. Quando la mano e la testa si sono abituate per un certo tempo ad una determinata specie di lavoro, se questo cambia, mano e testa non possono assumere subito la stessa destrezza che avevano raggiunto prima.” Il brano è tratto da Klemn, bibl. 22, pag. 291 (nel testo citato vi sono altri brani di grande interesse).
(452) Citato da Klemm, bibl. 22, pag. 309. Sulle macchine è importante leggere quanto dice Marx. Si veda la rivista Marxiana dell’ottobre 1976.
(453) Il Capitale (vol. 1°) è del 1867. Con quest’opera Marx dette all’econo all’economia un assetto scientifico.
(454) Nel 1864 fu fondata la Prima Internazionale socialista che si sciolse nel 1873, dopo il fallimento della Comune di Parigi (l87l). Nel 1889 fu fondata su basi diverse la Seconda Internazionale.
Al fianco di Marx lavorò F. Engels (1820-1895).
(455) Dall’orazione funebre di Marx, scritta e letta da Engels.
(455 bis) Klemm in bibl. 22, pag. 321.
(456) Baracca, Russo e Ruffo in bibl. 54, pag. 93.
(456 bis) La Germania si costituisce in stato solo dopo la sconfitta di Napoleone III (1871) ad opera dell’esercito di Bismarck che strappò alla Francia l’Alsazia e la Lorena e fondò l’impero tedesco con alla testa Guglielrno 1° (nel frattempo l’impero austro-ungarico giungeva via via al suo disfacimento).
Si noti che il grande statista Bismarck inaugurò una politica di alleanze che garantì all’Europa 50 anni di pace (50 ami nei quali tutti cercarono di costruirsi imperi coloniali.
(457) Soltanto nel 1880 l’istruzione primaria venne resa obbligatoria ma con scuole che davano ” un’istruzione inferiore alle classi inferiori”.
(458) Bibl. 23, pag. 277. Si veda tutto il paragrafo del testo da cui è tratto questo brano; dà ulteriori particolari sull’emergere della Germania con il contemporaneo declino della Gran Bretagna. L’autore del testo, Cardwell, è uno storico britannico ed il brano è perciò ancora più interessante.
(459) Bibl.24, pag. 54.
(460) Che era invece abbondante in Gran Bretagna e Germania. Tra l’altro la forza lavoro negli Stati Uniti costava di più di quanto non costasse nei paesi citati, proprio per la sua scarsità. Questo fu un ulteriore incentivo allo sviluppo, negli Stati Uniti, di macchine sostitutive del lavoro umano.
(461) Un altro elemento a favore del grande sviluppo tecnologico degli Stati Uniti fu una legislazione tra le più avanzate del mondo per i brevetti (essa risaliva al 1691 e fu poi perfezionata nel 1790).
(462) Bibl.23, pag.280. Comincia l’era delle multinazionali.
(463) Engels scrisse un volume che si occupava dei rapporti soienza-filosofia, Dialettica della natura, che fu pubblicato postumo soltanto nel secolo XX. Si veda bibl. 103.
(464) Allo scopo si vedano alcuni interventi ad un convegno che si tenne a Firenze nel 1970 riportati in bibl. 58.
2 – UN PANORAMA SU ALTRE SCOPERTE SCIENTIFICHE DEL SECOLO XIX. LA NASCITA DEI QUANTI.
Nel capitolo precedente mi sono occupato ampiamente di alcuni aspetti dello sviluppo della ricerca fisica nell’Ottocento ed in particolare ho riguardato con qualche dettaglio lo sviluppo dell’elettrodinamica e dell’elettromagnetismo, dell’ottica e della termodinamica. Nei paragrafi che seguiranno svilupperò ancora alcuni aspetti delle problematiche già affrontate con particolare riguardo all’ottica ed all’elettrodinamica – elettromagnetismo.
In questo paragrafo intendo dare un quadro più completo delle ricerche che in alcuni campi della scienza (soprattutto chimica e fisica) si portavano avanti nel corso del secolo. Lo scopo di ciò è di dare un riferimento più significativo per la comprensione degli argomenti che, invece, ho trattato e tratterò con maggiori dettagli.
Alcune delle cose che era dirò saranno soltanto una cronologia di alcune tappe significative, e questo principalmente per la matematica e la chimica. Su alcuni aspetti dello sviluppo della fisica non esplicitamente fin qui rilevati o discussi (o da discutere nei prossimi paragrafi) ai soffermerò un poco di più.
E’ solo il caso di ricordare che gran parte delle ricerche di questo secolo saranno improntate al filone di pensiero, già più volte richiamato, che va sotto il nome di meccanicismo fisico, eredità del pensiero newtoniano. (465) Ho già detto più volte che questo meccanicismo assumerà articolazioni diverse e che, in nome di Newton, saranno affermate le cose più diverse e, a volte, addirittura antitetiche. Ma, al di là di queste considerazioni, rimane il fatto che la tradizione culturale dominante fa del richiamo a Newton una questione imprescindibile ed in questo senso è estremamente significativo che l’atteggiamento che via via emergerà sarà il ricondurre alla meccanica, non solo tutti i più disparati fenomeni che venivano scoperti nel campo della fisica e della chimica, ma anche quelli che provenivano da scienze più distanti come, ad esempio, la biologia e la fisiologia. Dovunque si cercheranno modelli meccanici a cui affidare, insieme alla loro elaborazione matematica, la spiegazione della realtà. E questa tendenza alla ricerca del modello (e dell’analogia) si accentuerà molto verso la fine del secolo, quando il grado di astrazione delle elaborazioni matematiche raggiungerà livelli non più immediatamente rappresentabili mentalmente. Ed, anche qui, in nome di Newton, si elaboreranno (e costruiranno materialmente) modelli così incredibilmente complessi da essere, quanto meno, molto lontani, essi stessi, da una semplice rappresentazione meccanica e quindi dalla semplicità degli schemi interpretativi introdotti da Newton. Valga come esempio il modello che Kelvin propose per l’etere nel 1889. Egli costruì un modello meccanico di un elemento di un modello di etere proposto nel 1839 da J. Mac Cullagh (l809-l847). ” Dispose quattro bastoncini a forma di tetraedro, e preso come asse ciascun bastoncino vi sistemò una coppia di volani giroscopici (466) ruotanti l’uno in senso contrario all’altro. Questo modello opponeva resistenza ad ogni disturbo in senso rotatorio, ma non opponeva alcuna resistenza a moti traslatori.” (467) In questo modo si cercava di rendere conto delle strane proprietà che il supposto etere avrebbe dovuto avere (estremamente sottile, estremamente elastico, in grado di trasmettere vibrazioni trasversali).
Su questa strada si mosse anche Helmholtz e via via molti altri.
La ricerca di modelli meccanici o meno era anche teorizzata dallo stesso Kelvin con queste significative parole: “Io non sono soddisfatto finché non ho potuto costruire un modello meccanico dell’oggetto che studio. Se posso costruire un tale modello meccanico comprendo; sino a che non posso costruirlo, non comprendo affatto.” (468)
La ricerca di una spiegazione meccanicistica era poi così enunciata da Helmholtz: ” II problema della scienza fisica naturale è ricondurre i fenomeni naturali a immutabili forze attrattive e repulsive la cui intensità dipende solamente dalla distanza. La soluzione di questo problema è la condizione per una completa comprensibilità della natura.” (469)
E’ in ogni caso altrettanto vero che, proprio verso la fine del secolo, la crisi del sistema meccanicistico portava ad altre formulazioni o quanto meno alla messa in discussione della pretesa di voler spiegare tutto con la meccanica. Ma di questo ci occuperemo più oltre, nei paragrafi seguenti.
Passiamo ora, per singole discipline, a dare quel panorama di riferimento annunciato, ricordando solo che le cose qui elencate non hanno trovato posto in altre parti del lavoro.
Astronomia
Ormai l’astronomia si avvia pian piano a diventare astrofisica. (470) Nel corso del secolo verranno perfezionate le osservazioni del sistema solare e si estenderanno le osservazioni al di fuori di esso, si scopriranno vari astri e si costruiranno vari cataloghi di stelle che verranno suddivise, a seconda delle loro caratteristiche, in vari gruppi. Più in particolare, i fatti più significativi sono:
– la dimostrazione che i moti propri stellari riguardano tutte le stelle, fatta dall’italiane G. Piazzi (1746-1826) nel 1814;
– la scoperta del moto delle stelle doppie in orbite ellittiche intorno al baricentro comune, fatta dal tedesco (che lavorò in Gran Bretagna) W. Herschel (1738-1622) nel 1820;
– la determinazione delle posizioni, delle distanze, del colore e della grandezza di un gran numero di stelle doppie, fatta dal russo W. Struve (1793-1864) nel 1837;
– la prima determinazione della parallasse annua di una stella, fatta dal tedesco P.W. Bessel (1784-1846) nel 1838;
– la prima osservazione di una nebulosa a spirale, fatta dal britannico W.P. Rosse (1800-1867) nel 1845;
– la predizione dell’esistenza di Nettuno fatta studiando le perturbazioni di Urano, dal francese U.J.J. Le Verrier (l811-l877) e quindi la sua scoperta ad opera del tedesco F.J. Galle (1812-1910) nello stesso anno 1846;
– la dimostrazione della rotazione della Terra sul suo asse, fatta da L. Foucault nel 1851 con il sue famoso esperimento del pendolo;
– la fondazione della spettroscopia stellare fatta nel 1863 dall’italiano A. Secchi (1816-1878);
– la dimostrazione della struttura discontinua degli anelli di Saturno (già teorizzata da Maxwell nel 1859), fatta dallo statunitense J.C. Keeler (1857-1900) nel 1895.
Matematica
Questa scienza nel secolo in esame ebbe uno sviluppo possente. Si approfondirono e svilupparono campi già noti; inoltre si aprirono nuovi capitoli, alcuni dei quali di grande interesse ai fini degli sviluppi futuri della fisica. L’analisi acquistò la sua sistemazione quasi definitiva, passando dalla formulazione classica a quella moderna con la creazione della teoria degli insiemi, il riconoscimento dell’importanza della logica e, soprattutto, la trattazione rigorosa.
Notevolissimo impulso ebbe la teoria delle funzioni e delle equazioni differenziali; furono introdotte le equazioni integrali ed il calcolo funzionale; anche nei campi dell’algebra e della geometria si progredì molto ed in particolare nacquero la teoria dei gruppi, le geometrie non euclidee, la geometria algebrica, la geometria differenziale, il calcolo differenziale assoluto e la topologia. Fu inoltre dimostrata resistenza dei numeri trascendenti con notevoli conseguenze sul secolare problema della quadratura del cerchio. Infine anche il calcolo delle probabilità fece notevoli progressi.
Esula completamente dai miei scopi l’andare a discutere di questi problemi. Voglio solo ricordare alcuni dei nomi che maggiormente contribuirono agli eccezionali sviluppi della matematica cui abbiamo fatto cenno:
i tedeschi: Kummer, Kronecker, Schwartz, Jaoobi, Gauss, Hilbert, Bessel, Dirichlet, Riemann, Weierstrass, Cantor, Klein, Dedekind, Listing, Hankel, Frege;
i francesi: Laplace, Poisson, Legendre, Fourier, Liouville, Hermite, Cauchy, Sturm, Galois, Picard, Poincaré,Briquebon, Poncelet, Lamé, Lebesgue;
i britannici: De Morgan, Clifford, Bode;
gli italiani: Ruffini, Betti, Cremona, Volterra, Peano, Beltrami, Enriques, Dini, Castelnuovo, Ricci-Curbastro, Levi-Civita;
i norvegesi: Abel, Lee;
i russi: Lobacevskij, Tcebycheff, Minkowski (che studiò e lavorò in Germania);
l’irlandese: Hamilton;
il cecoslovacco: Bolzano;
lo svizzero Argand;
il rumeno: Bolyai.
Chimica
Dei pregressi della chimica, soprattutto di quella organica, abbiamo già parlato abbastanza nelle note del paragrafo precedente. Resta solo da aggiungere che quei progressi furono permessi dalla graduale sistemazione della chimica inorganica a partire dallo studio dei gas fino ad arrivare alla teoria della valenza ed alla tavola periodica degli elementi. Le tappe più importanti da ricordare sono:
1802 – il francese Gay-Lussac (1778-1850) estende la legge di Volta, relativa alla dilatazione termica dei gas, a tutti i gas;
1803 – il francese J.L. Proust (1761-1826) formula la legge delle proporzioni definite (mentre si trova a lavorare in Spagna!);
1808 – il britannico J. Dalton (1766-1844) avanza l’ipotesi atomica e stabilisce la legge delle proporzioni multiple;
1808 – Gay-Lussac formula la legge dei volumi dei gas;
1811 – l’italiano A. Avogadro (1766-1856) formula la legge che porta il suo nome (volumi uguali di gas, nelle stesse condizioni di temperatura e pressione, contengono lo stesso numero di grammomolecole);
1811 – Avogadro formula l’ipotesi che porta il suo nome e che permette di distinguere atomi da molecole (le molecole dei corpi semplici gassosi sono formate da atomi identici mentre le molecole dei corpi composti gassosi sono formate da atomi differenti); si osservi che si dovranno attendere circa 50 anni prima che questa ipotesi venga presa in considerazione, fatto quest’ultimo che permetterà enormi sviluppi nella chimica;
1815 – il britannico W. Prout (1785-1850) sostiene che i pesi atomici sono multipli interi di quello dell’idrogeno;
1826 – il britannico W.H. Fox Talbot (1800-1877) scopre che con l’analisi spettroscopica di sostanze incandescenti si può conoscere la loro composizione chimica;
1836 – lo svedese J.J. Berzelius (1779-1849) formula l’ipotesi che l’affinità chimica è dovuta alle cariche elettriche di segno contrario presenti nelle sostanze che reagiscono (altri importanti lavori di Berzelius avevano preceduto questo; le stesse leggi per la composizione chimica delle sostanze inorganiche valgono per le organiche; prima tabella dei pesi atomici; indicazione simbolica degli elementi con le loro iniziali latine);
1858 – l’italiano S. Cannizzaro (1826-1910) riprende l’ipotesi di Avogadro e suggerisce un metodo per la determinazione dei pesi atomici;
1869 – il russo S. Mendelejev (1834-1907) costruisce il sistema periodico degli elementi;
1874 – il francese A. Le Bel (1847-1937) e, indipendentemente, l’olandese J.H. Van’t Hoff (1852-1911 ) introducono le formule stereochimiche;
1876 – lo statunitense J.W. Gibbs (l839-1903) enuncia la regola delle fasi che permette di studiare l’equilibrio delle sostanze eterogenee su base matematica con stretti legami con la termodinamica;
1887 – lo svedese S. Arrhenius (1859-1927) fornisce una spiegazione della dissociazione elettrolitica in base all’ipotesi, già avanzata da Clausius nel 1857, dell’esistenza di ioni di segno contrario all’interno dell’elettrolito.
Meccanica
In questo campo si continua ancora a sistemare quanto trovato nei secoli precedenti puntando soprattutto a chiarire alcuni concetti (come quello di forza) ancora ritenuti oscuri. Un ruolo importante l’assume invece lo studio dei sistemi rotanti, con riguardo alle forze centrifughe ed ai moti relativi.
1829 – il francese D. Poisson (1781-1840) determina le equazioni generali del moto dei corpi;
1830 – il tedesco K.F. Gauss (1777-1855) enuncia il principio fondamentale della meccanica, detto principio del minimo sforzo;
1835 – il francese G.G. Coriolis (1792-1843) determina le condizioni per formulare l’equazione del moto relativo di un sistema di corpi stabilendo (l836), nel teorema che porta il sue nome, il ruolo della forza centrifuga;
1836 – l’irlandese W.R. Hamilton (l805-l865) ricava dalle equazioni di Lagrange le equazioni canoniche della dinamica o hamiltoniane;
1850 – il francese L. Foucault studia l’effetto della forza d’inerzia in un sistema in rapida rotazione».
Spettroscopia (nascita della fisica dei quanti).
E’ questo un campo nuovo che si apre in queste secolo, sulla scia della decomposizione dello spettro solare ottenuta da Newton con il prisma, e che avrà sviluppi formidabili fino alla prima formulazione dell’ipotesi dei quanti ad opera di Planck nel 1900. E tutto ciò discenderà da una felice intersezione con i metodi ed i risultati della termodinamica. Seguiamone le tappe principali:
1802 – il britannico W.H. Wollaston (1766-1828), osservando lo spettro solare prodotto da un prisma, scopre l’esistenza di sette righe scure distribuite in modo irregolare;
1814 – il tedesco J. Fraunbofer (1787-1826) osserva il fenomeno in modo più approfondito: conta 560 righe scure, scopre che una di queste righe (la D) coincide con la doppia riga gialla del sodio (Fraunhofer non sapeva ancora che quella doppia riga gialla era caratteristica del sodio: egli la otteneva osservando lo spettro prodotto da una candela, da una lampada ad elio e da una lampada ad alcool); (471) costruisce la prima carta dello spettro solare, scopre nello spettro di Venere alcune righe presenti nello spettro del Sole, introduce i reticoli di diffrazione con i quali realizza le prime determinazioni della lunghezza d’onda dei vari colori dello spettro;
1827-1855 – in questi anni si sommano diversi contributi ed in particolare: la scoperta della fotografia ad opera del francese J.P. Niepce (1765-1833); la scoperta dell’emissione di spettri da parte di solidi portati all’incandescenza, ad opera del britannico J.W. Draper (1811-1882);
1857 – il tedesco R.W. Bunsen (1811-1899) scopre che utilizzando il gas illuminante, installato nel suo laboratorio nel 1855, si ottiene una fiamma non molto luminosa ma ad alta temperatura e costruisce il becco Bunsen, con il quale si possono ottenere gli spettri dei soli corpi portati all’incandescenza senza interferenze da parte della fiamma che non ha un proprio colore specifico;
1859 – Kirchhoff e Bunsen gettano le basi della moderna spettroscopia, distinguendo con chiarezza la differenza esistente tra spettri di emissione e spettri di assorbimento: se sul becco si fa bruciare del sodio, lo spettro presenta due righe gialle che coincidono esattamente con le più brillanti delle linee oscure dello spettro del Sole (riga D); osservando poi lo spettro della luce solare lungo la cui traiettoria è interposto il becco con del sodio che brucia, non appare più la riga D nello spettro solare ed al suo posto vi sono le righe gialle del sodio; questo ultimo fenomeno si verifica solo quando la luce solare è molto attenuata, in caso contrario si continua a vedere la linea D; lo stesso fenomeno si può ottenere mantenendo costante l’intensità della luce solare e aumentando o diminuendo la temperatura della fiamma del becco. Da ciò Kirchhoff capì il significato dello spettro solare ed in particolare delle sue linee scure: la superficie del Sole emette radiazioni (fotosfera) di tutti i colori e l’atmosfera di gas incandescenti del Sole (cromosfera e corona), molto meno calda della fotosfera, assorbe una parte delle radiazioni emesse dal Sole, ed assorbe quelle che sono emesse dagli elementi componenti l’atmosfera solare. Come dice Kirchhoff: “le fiamme colorate nei cui spettri si presentano linee brillanti e marcate [spettro di emissione], indebolisce talmente i raggi del colore di queste linee quando passano attraverso di esse, che in luogo delle linee brillanti compaiono linee scure [spettro di assorbimento] quando si colloca dietro la fiamma una fonte di luce di sufficiente intensità e nel cui spettro mancano queste linee. Concludo quindi che le linee scure dello spettro solare, he non sono prodotte dall’ atmosfera terrestre, nascono dalla presenza nella infuocata atmosfera del Sole, di quelle sostanze che nello spettro di una fiamma presentano le linee brillanti nella stessa posizione.” (473) Ed in questo modo Kirchhoff e Bunsen riuscirono a stabilire la presenza sul Sole di alcuni elementi: confrontando le righe che compongono lo spettro solare con quelle, ottenute in laboratorio, per elementi noti (all’esistenza di un dato insieme di righe nello spettro corrisponde sempre la presenza di un dato elemento).
Altro fondamentale risultato ottenuto da Kirchhoff nello stesso anno è il cosiddetto principio di inversione secondo il quale una sostanza assorbe le stesse radiazioni che è in grado di emettere. (474)
Per portare avanti le loro ricerche i due ricercatori si servirono di uno spettroscopio, strumento da loro realizzato e costruito da K. A. von Steinheil (famoso costruttore di strumenti ottici) nel 1853. I risultati qui esposti possono essere considerati il fondamento dell’astrofisica e della fisica teorica. Da questo momento si iniziò lo studio sistematico degli spettri di varie stelle ed il risultato di queste osservazioni portò a riconoscere che tutti gli elementi in esse presenti sono gli stessi che conosciamo sulla Terra. /
Nello stesso anno Kirchhoff scoprì le proprietà del corpo nero. Dallo studio dei fenomeni ad esso connessi ne scaturì la scoperta della fisica dei quanti ad opera di Max Planck [nel sito vi è una ricostruzione dettagliata delle vicende che portarono ai lavori di Planck; ad esso rimando per approfondire la questione ed avverto che saltano qui le note 475 e 476].
1900 — Kelvin apre il nuovo secolo con un articolo che riassume bene tutte le difficoltà della fisica a quell’epoca, dal titolo significativo: Nubi del diciannovesimo secolo sulla teoria dinamica del calore e della luce. La prima nube è, secondo Kelvin, quella del moto relativo dell’etere e dei corpi ponderabili che, come abbiamo visto nel paragrafo 6 del capitolo 3, poneva difficoltà che sembravano insormontabili. Del diradarsi di questa nube ci occuperemo in seguito, basti per ora dire che il cielo si schiarì con la teoria della relatività di Einstein. La seconda nube e’ proprio relativa all’argomento irraggiamento di un corpo nero. Tutta la fisica classica era stata messa alla prova ed i risultati erano clamorosamente in disaccordo con l’esperienza. Dice Kelvin riportando parole di Rayleigh: “Siamo di fronte ad una difficoltà fondamentale, che non è semplicemente connessa alla teoria dei gas, quanto piuttosto alla dinamica generale. Ciò che sembrerebbe necessario è un qualche modo di sfuggire alla distruttiva semplicità della conclusione generale.” (476)
E tutti i fisici dell’epoca erano d’accordo con questa conclusione;
1900 – alla fine dell’anno Planck risolve la questione del corpo nero facendo l’ipotesi dei quanti
1905 – A. Einstein riprende l’ipotesi dei quanti calcolandosi la variazione di entropia di una trasformazione termodinamica che tratta la radiazione come un gas di oscillatori e che fa passare il volume della cavità del corpo nero da un valore V1 ad un valore V2, quando la pressione e’ mantenuta costante. Egli trova:
Δ S = f(ν/T). 1/ε . k . log (V2/V1)
dove f (ν/T) è la solita funzione di ν/T ed ε = hν. Questa espressione risulta formalmente identica a quella che fornisce ΔS per un gas perfetto, formato da N particelle, che subisce la stessa trasformazione:
Δ S = N. K . log (V2/V1)
da cui:
S2 – S1 = N. K . log V2 – N. K . log V1
che è ancora formalmente identica a quella trovata da Boltzmann:
S = K . log P.
L’analogia porta Einstein a concludere che la radiazione è costituita da corpuscoli (i quanti) di energia ε = hν (è una euristica esigenza di simmetria che, per sua stessa ammissione, aveva mosso Einstein). A questo punto mediante la stessa ipotesi dei quanti, Einstein passa a dare una spiegazione di quello strano fenomeno, l’effetto fotoelettrico (477), scoperto dal tedesco H. Hertz nel 1877, e studiato dall’italiano A. Righi (1850-1920) nel 1888 e dal tedesco W. Hallwachs (1859-1922); nel far ciò Einstein implicitamente ammette che anche la propagazione dell’energia avvenga per quanti (fatto che radicalizza il contrasto con la teoria elettromagnetica della luce).
Ha inizio la fisica quantistica che negli anni seguenti avrà enormi sviluppi. Alcune sue formulazioni però, ed in particolare l’introduzione in essa della probabilità fatta da Born nel 1926, vedranno lo stesso Einstein molto critico verso questa branca della fisica che nel frattempo diventava sempre più autoritaria ed efficientista. (478)
Scarica nei gas
Anche questo è un nuovo campo di ricerca che si inaugura agli inizi dell’ultimo quarto di secolo. L’innesto dei risultati delle ricerche in questo settore con alcune conclusioni che si traevano dai fenomeni elettrolitici portò all’affermazione dell’esistenza di una struttura discontinua dell’elettricità, a prevedere e quindi a provare l’esistenza dell’elettrone, a misurarne carica e massa dando il via a quell’altro vasto campo di ricerca della fisica che riguarda la struttura atomica, molecolare e, quindi, della materia. Ripercorriamo, anche qui, alcune tappe di rilievo:
1833 – Faraday stabilisce le leggi dell’elettrolisi ricavando che, in questo fenomeno, “gli atomi dei corpi che sono equivalenti fra loro posseggono delle quantità uguali di elettricità, che sono loro associate per natura” (479) Pur non essendo un corpuscolarista, Faraday riesce a formulare una legge nella quale è implicito il concetto di quantità elementare di elettricità o elettrone. Ma Faraday non approfondirà la cosa;
1874 – l’irlandese G.J. Stoney (1861-1911), partendo dall’analisi delle leggi di Faraday per l’elettrolisi, postula l’esistenza di una quantità elementare di elettricità “indipendente dai corpi sui quali agisce” (480) ed in seguito (1891) darà a questa quantità elementare il nome di elettrone;
1879 – il britannico W. Crookes (1832-1921) produce una scarica elettrica in un tubo di vetro in cui aveva praticato un vuoto molto spinto (dell’ordine di un milionesimo di atmosfera). Da questa esperienza ricava l’esistenza di raggi emessi dal catodo costituiti, secondo la sua teoria, da molecole elettrizzate espulse dal catodo stesso (raggi catodici); (481)
1861 – anche il tedesco E. Riecke (1845-1915) sostiene la natura corpuscolare dei raggi catodici;
1881 – Helmholtz, studiando i fenomeni del l’elettrolisi, stabilisce la costanza e l’indivisibilità della carica elettrica degli ioni monovalenti, si convinse dell’esistenza di una carica elementare e la difende con molto impegno: “Se ammettiamo l’ipotesi che le sostanze elementari sono composte da atomi, non possiamo evitare di concludere che l’elettricità, sia positiva che negativa, è suddivisa in particelle elementari definite che si comportano come atomi di elettricità”; (482)
1883 – il tedesco H. Hertz (1857-1894), insieme al suo assistente P. Lenard, fece una serie di esperienze con le scariche nei gas rarefatti. In particolare osservò (1892) che i raggi catodici erano in grado di attraversare lamine metalliche sottili. Da ciò egli concluse che non poteva trattarsi di fenomeni corpuscolari e che, al contrario, i raggi catodici non sono altro che vibrazioni dell’etere, allo stesso modo della luce. Hertz convince con queste argomentazioni i ricercatori tedeschi: le ricerche in questo campo proseguiranno essenzialmente in Gran Bretagna;
1886 – il tedesco E. Goldstein (1850-1930), servendosi di un catodo perforato, scopre l’esistenza di raggi anodici, o positivi o canale o di Goldstein;
1890 – il tedesco A. Schuster (1851-1934) riesce a misurare il rapporto tra la carica e la massa delle ipotetiche particelle emesse dal catodo, osservandone la deviazione in un campo magnetico (il valore da lui trovato era molto lontano da quello oggi accettato, ma il metodo da lui introdotto si rivelò molto importante nel seguito); (483)
1892 – l’olandese H.A. Lorentz (l853-1928) elabora la sua teoria degli elettroni nella quale considera l’elettricità costituita da particelle dotate di carica e massa (del lavoro in cui Lorentz avanza questa teoria mi occuperò abbondantemente nei paragrafi seguenti, per la sua rilevanza ai fini della storia della relatività);
1894 – il britannico J.J. Thomson (1856-1940), usando di uno specchio ruotante, riesce a calcolare la velocità dei raggi catodici trovando un valore di circa 10.000 Km/sec, velocità molto più piccola di quella della luce ed enormemente più grande di quella delle molecole di un gas. Quindi, conclude Thomson, né Hertz né Crookes hanno ragione: non si tratta né di vibrazioni dell’etere né di molecole, ma di particelle d’altra natura e cariche negativamente;
1894 – P. Lenard dimostra che i raggi catodici possono uscire dal tubo di scarica, attraversando foglie sottili di alluminio come finestre e quindi diffondendosi nell’aria;
1895 – il tedesco W.C. Rontgen (1845-1923) scopre che, nelle vicinanze di un tubo di Crookes, le lastre fotografiche rimangono impressionate ed interpreta il fenomeno come originato da nuovi e misteriosi raggi provenienti dal tubo, che egli chiama raggi X;
1895 – il francese J. Perrin (1670-1941) dimostra che i raggi catodici sono costituiti da particelle cariche negativamente, gli elettroni;
1896 – Rontgen approfondisce lo studio dei raggi X scoprendo che essi sono generati da tutti i punti colpiti dai raggi catodici e che hanno la proprietà di scaricare i corpi elettrizzati;
1896 – il francese G. Gouy (1654-1926) scopre la rifrazione e la diffrazione dei raggi X;
1697 – J. J. Thomson dimostra che quando i raggi X passano attraverso un gas lo rendono conduttore di elettricità;
1697 – il tedesco K.F. Braun (1850-1918) dimostra che i raggi catodici sono deviati da un campo magnetico, ma anche da un campo elettrico e su questo principio costruisce un tubo (tubo di Braun), del tipo del video di un televisore. Sul fondo del tubo è cosparsa sostanza fluorescente sulla quale si produce una piccola scintillina quando è colpita da un raggio catodico;
1897 – il tedesco W. Wiechert (l86l-1928) fornisce un’altra determinazione del rapporto tra massa e carica dell’elettrone, dalla deviazione dei raggi catodici sotto l’influenza di un campo magnetico e dal confronto dei dati così ottenuti con quelli che erano stati ottenuti mediante elettrolisi; (484)
1897 – J.J. Thomson misura il rapporto e/m, tra carica e massa di un elettrone, trovando che esso vale 770 volte l’analogo rapporto per lo ione idrogeno;
1897 – il tedesco W. Kaufmann (1871-1947), usando il tubo di Braun, corregge in 1770 il valore trovato da Thomson. Per le sue misure Kaufman si basa sempre sulla deviazione dei raggi catodici mediante campo magnetico ma anche sulla differenza di potenziale tra gli elettrodi.
A questo punto comincia a porsi il problema: se e/m calcolato per l’elettrone è tanto più grande del Q/M dello ione, ciò dipende dal fatto che è molto più grande di Q o dal fatto che è molto più piccolo di M ? Proprio allora il britannico C.T.R. Wilson (1869-1959) costruì uno strumento che permetteva di visualizzare le tracce delle particelle cariche (camera di Wilson o camera a nebbia).
1899 – J.J. Thomson, utilizzando una camera di Wilson, scopre che la carica di uno ione gassoso è la stessa dello ione idrogeno da fenomeni elettrolitici ed è anche la stessa di quelle particelle che vengono emesse da una superficie metallica per effetto fotoelettrico. Thomson trasse la conclusione che la carica dell’elettrone doveva essere uguale a quella dello ione idrogeno (che oggi sappiamo essere un protone), e di conseguenza era la massa m dell’elettrone che doveva essere molto piccola rispetto a quella di questo ione. Il valore che Thomson trovò per m era più piccolo di circa 1700 volte del valore della massa dello ione idrogeno. Questo valore fu in seguito perfezionato da ulteriori misure e mediante strumenti sempre più perfezionati.
Scoperta l’esistenza di una carica negativa costituente la materia e dato per scontato che la materia è neutra, si cominciò a porre il problema delle cariche positive che, all’interno della stessa materia, avrebbero dovuto neutralizzare le negative.
Come era organizzato il tutto ?
Via via iniziarono le prime ipotesi sulla costituzione dell’atomo che da una parte usarono degli spettri atomici e dall’altro trovarono compimento con l’applicazione della fisica quantistica (e di quella relativistica) all’intero edificio atomico.
Ricerche diverse
Altra grande mole di ricerche e scoperte viene realizzata nel secolo. Si tratta essenzialmente di varie derivazioni dalle cose che abbiamo precedentemente visto ma anche di cose nuove che avranno notevoli sviluppi (come la scoperta della radioattività) o che creeranno enormi polemiche (come la formulazione della teoria evoluzionista). Elenco di seguito alcune tappe degne di interesse:
1836 – Faraday scopre che all’interno di una gabbia metallica non si risentono le azioni elettriche esterne (gabbia di Faraday);
1837 – il tedesco G. Oberhäuser (1798-1868) costruisce un microscopio che ingrandisce 500 volte;
1844 – il russo E. C. Lenz (1804-1865) scopre che la conducibilità elettrica dei fili metallici à inversamente proporzionale alla temperatura (questo fatto troverà una spiegazione compiuta solo nel nostro secolo con la formulazione della teoria quantistica delle bande di energia, teoria che si può trovare nel sito);
1844 – il britannico C Wheatstone (1802-1875) costruisce un dispositivo (ponte di Wheatstone) per la misura di resistenze);
1848 — il francese J. Palmer costruisce un calibro a vite micrometrica per misure di precisione (piccoli spessori e curvatura di lenti);
1851 – l’italiano M. Melloni (1798-1854) costruisce la pila termoelettrica, che funziona da termometro ad elevatissima sensibilità ed è in grado di rilevare anche a notevole distanza la presenza di una qualsiasi fonte di calore radiante;
1859 – il britannico C. Darwin (1809-1882) pubblica L’origine della specie affermando definitivamente la teoria evoluzionistica;
1865 – il britannico J.N. Lockyer (1836-1920) scopre nello spettro solare una riga non attribuibile a nessun elemento terrestre conosciuto. Egli denomina quell’elemento elio;
1880 – lo statunitense E.H. Hall (1855-1936) scopre una differenza di potenziale che si stabilisce nei punti opposti rispetto all’asse di un conduttore percorso da corrente quando è sottoposto all’azione di un campo magnetico costante (effetto Hall);
1884 – il britannico J.A. Fleming (1849-1945) formula la regola detta delle tre dita (della mano sinistra), che fornisce direzione e verso della forza elettromagnetica originata dall’azione di un campo magnetico su una corrente elettrica;
1889 – il britannico E. Rutherford (1871-1937) scopre della radiazione proveniente dall’uranio ed in essa individua due diverse specie di raggi (raggi a e raggi b) con differenti proprietà elettriche e di penetrazione ;
1896 – il francese H. Becquerel (l852-1908) ottiene la deviazione dei raggi b mediante un campo elettrico e conclude che si tratta di particelle cariche. Scopre inoltre che alcuni sali di uranio riescono ad impressionare lastre fotografiche attraverso sostanze opache interposte e quindi ne ricava l’esistenza di un’altra specie di raggi (raggi g);
1896 – l’olandese P. Zeeman (1865-1943) scopre lo sdoppiamento delle righe spettrali emesse da un gas quando quest’ultimo è sottoposto all’azione di un intenso campo magnetico;
1898 – il francese P. Curie (1859-1906) dimostra che tutti i corpi ferromagnetici diventano paramagnetici al di sopra di una data temperatura (temperatura di Curie);
1900 – l’irlandese J. Larmor (1857-1942) enuncia il teorema sulla precessione delle orbite elettroniche nei campi magnetici.
Più in generale, altri aspetti che vanno sottolineati sono:
– un grande sviluppo delle tecniche da vuoto che permetteranno via via ricerche fisiche sempre più sofisticate;
– un grande sviluppo della fisica delle basse temperature (in connessione con le esigenze di refrigeramento delle derrate alimentari per e dalle colonie) che permetterà di raggiungere una conoscenza sempre più profonda della costituzione della materia e di sviluppare ampiamente la termodinamica;
– la costruzione di strumenti di misura sempre più sofisticati e precisi che saranno alla base di ogni ricerca e misura e che deriveranno dal sempre maggiore affinamento della tecnica.
NOTE
(465) Si veda quanto già detto nei paragrafi 3 e 5 del capitolo 2°.
(466) II giroscopio era stato inventato da L. Foucault nel 1852.
(467) Bibl. 16, Vol. II, pagg. 494-495.
(468) Bibl. 17, Vol. V, pag. 69.
(469) Bibl. 24, pag. 126.
(470) E nel frattempo (1882) la Chiesa, con Papa Pio VII, dopo quasi 300 anni, sanziona ufficialmente l’accettabilità del sistema copernicano. A questo proposito viene da pensare alla cosiddetta riabilitazione di Galileo da parte di Papa Giovanni Paolo II (1980). E Giordano Bruno ? E gli altri ? E poi: hi ha bisogno di essere riabilitato ? (a questo proposito vi sono vari articoli sul sito).
(471) Fraunhofer osservò poi che per diversi spettri la doppia riga gialla si trovava sempre “esattamente nello stesso posto” risultando “conseguentemente utilissima” come sistema di riferimento.
(472) Draper usava una fiamma brillante per portare all’incandescenza i corpi e per questo sosteneva che gli spettri delle sostanze solide fossero continui (era la fiamma brillante che originava lo spettro continuo). Occorrerà la fiamma di Bunsen, molto calda e poco luminosa, per avere spettri discontinui.
(473) Kirohhoff, Sulle righe di Fraunhofer, Monats. Akad. Wissens.; ott.1859, pag. 662. Riportato anche in bibl.89, pagg. 382-384.
(474) In una memoria di Kirchhoff e Bunsen del 1880 (Analisi chimica mediante osservazioni spettroscopiche, Poggendorf’s Annalen, vol. 110, pag. 161) si legge: “uno di noi ha mostrato, per mezzo di considerazioni teoriche, che lo spettro di un gas incandescente è invertito, cioè che le righe brillanti sono trasformate in righe nere quando una sorgente di luce, di intensità sufficiente, che dia uno spettro continuo, è posta dietro lo stesso. Da ciò possiamo concludere che lo spettro solare, con le sue righe nere, non è altro che l’inverso dello spettro che l’atmosfera del Sole stessa mostrerebbe. Quindi l’analisi chimica dell’atmosfera solare richiede solo l’esame di quelle sostanze le quali, quando siano poste in una fiamma, producono righe brillanti che coincidono con le righe nere dello spettro solare.” Citato in bibl. 54. pag. 78.
(476) Bibl. 100, pag. 838.
(477) Sull’ Effetto fotoelettrico si veda il mio articolo presente nel sito.
(478) Allo scopo si veda la seconda parte del testo di bibl. 57. Si veda anche la corrispondenza tra Einstein e Born riportata in bibl. 104.
(479) Bibl. 19, Voi. III, pag. 205.
(480) II calcolo che Stoney fa per la carica dell’elettrone gli fornisce un valore 20 volte più piccolo di quello oggi accettato.
(481) Le scariche nei gas rarefatti erano iniziate molto tempo prima. I britannici Watson (l75l) e Morgan (1785) avevano scaricato bottiglie di Leida in modesti vuoti. Davy (1822) aveva osservato, con esperienze analoghe, una luminosità verdognola. Faraday (l838), lavorando con vuoti più spinti, vede scariche più colorate e, in particolare, osserva uno spazio scuro che circonda il catodo. A pressione ancora più bassa il francese J.J.B. Abria (l811-l892) nel 1843 osserva la scarica dividersi in strati alternativamente chiari e scuri, Geissler (l857) costruisce una pompa per vuoti più spinti (a vapori di mercurio) e realizza un tubo di vetro chiuso, dentro cui sono fissati i due elettrodi. Plücker (1858), utilizzando tubi di Geissler, osservò la fluorescenza del vetro nella parte antistante al catodo e scoprì che un magnete è in grado di spostarla. Hittorf (1869) pone nel tubo di Geissler un oggetto tra anodo e catodo e dimostra, dall’ombra che la luce emessa dal catodo provoca nella zona antistante, che questa luce si propaga rettilineamente; egli scopre anche che i raggi emessi dal catodo sono calorifici e che, sottoposti ad un campo magnetico perpendicolare, essi acquistano una traiettoria elicoidale. Il britannico Karley (l87l) ipotizza, dalla deviazione che i raggi subiscono sotto l’azione di un campo magnetico, che essi sono costituiti da particelle cariche negativamente.
(482) Bibl. 19, Vol. IlI, pag. 231.
(483) II valore da lui trovato per q/a era 550 volte più grande del rapporto Q/M calcolato per lo ione idrogeno nei fenomeni elettrolitici, cioè q/m = 550 Q/M. Da quello che sappiamo oggi, anziché 550 occorre trovare circa 1840; infatti, poiché la carica dell’elettrone è uguale a quella del protone e poiché m è la massa dell’elettrone ed M è quella del nucleo d’idrogeno, cioè del protone, si ha: 1/m = 1840 .1/M => M = 1840 m, si trova cioè quel che sappiamo e che cioè la massa del protone è circa 1840 volte quella dell’elettrone.
(484) Se non si dispone di due misure indipendenti è impossibile misurare separatamente la carica e la massa dell’elettrone; quello che si può ottenere è solo il valore del rapporto della carica sulla massa e/m. Indicando, una volta per tutte, con e la carica dell’elettrone e con m la sua massa, il valore per e/m trovato da Wiechert (confronta con la nota 483) doveva essere tra le 2 000 e le 4 000 volte il rapporto Q/M per lo ione idrogeno trovato nei fenomeni elettrolitici.
(485) Quando uno ione attraversa un vapore soprasaturo, agisce da nucleo di condensazione per il vapore ed intorno ad esso si forma una minuscola gocciolina. Con questo strumento è quindi possibile seguire il cammino di una particella carica in un dato recipiente riempito di vapore soprasaturo (camera a nebbia).
3 – ALCUNE CONSEGUENZE SPERIMENTALI DELL’OPERA DI MAXWELL: I LAVORI DI HERTZ.
[Da queste pagine ho tratto il materiale per l’articolo La verifica sperimentale delle teorie di Maxwell: i lavori di Hertz. Rimando quindi ad esso. Salteranno anche le note dalla (486) alla (540]
4 – L’OTTICA DEI CORPI IN MOVIMENTO. IL PROBLEMA DELL’ETERE E L’ESPERIENZA DI MICHELSON – MORLEY.
Verso la metà degli anni ’70, come abbiamo già visto nel paragrafo 6 del capitolo III, la situazione nell’ambito dell’ottica ed in particolare relativamente all’ottica dei corpi in movimento era la seguente:
– la teoria ondulatoria della luce aveva avuto il suo riconoscimento ufficiale;
– la teoria dell’etere immobile spiegava bene il fenomeno dell’aberrazione ma non riusciva a spiegare tutta una serie di fenomeni diversi come, ad esempio, l’esperienza di Arago e quella di Airy;
– la teoria del trascinamento totale dell’etere (Stokes, 1845) incontrava delle difficoltà nella spiegazione del fenomeno dell’aberrazione (si veda la nota 313);
– la teoria del trascinamento parziale dell’etere riusciva a spiegare, almeno al prime ordine di v/c, tutti i fatti sperimentali noti ed in più aveva un grosso sostegno nell’esperienza di Fizeau (misura della velocità della luce in un mezzo trasparente in movimento);
– il problema della determinazione delle proprietà di questo etere e dei suoi rapporti con la materia in moto si faceva sempre più pressante ed un invito ad indagare in questo senso fu anche rivolto ai ricercatori dall’Accademia delle Scienze di Parigi.
Per altri versi gli sviluppi dell’elettromagnetismo avevano definitivamente stabilito che la luce ha una natura elettromagnetica, rendendo l’ottica un paragrafo dell’elettromagnetismo. Anche in questo campo di ricerca si cercava di capire quali fossero le proprietà dell’etere che, anche qui, serviva da sostegno alle ‘vibrazioni’. Risultato, allora, della scoperta identità tra luce ed onde elettromagnetiche fu la fusione dell’etere ottico con quello elettromagnetico. Da questo momento si avrà a che fare semplicemente con l’etere ed il problema della ricerca delle sue proprietà riguarderà da ora tutta la fisica. (541)
Nel 1879 moriva Maxwell e nel 1880 veniva pubblicata postuma su Nature una sua lettera a D.P. Todd. In questa lettera, tra l’altro, Maxwell affermava: (542)
“Se fosse possibile misurare la velocità della luce in un solo senso fra due stazioni terrestri in ciascuno dei due casi [nel primo caso la Terra si muove nello stesso senso della luce, nel secondo caso in senso contrario], la differenza tra i due tempi di transito dovrebbe dipendere in modo lineare dal rapporto tra la velocità v della Terra e la velocità c della luce rispetto all’etere. Si tratterebbe quindi di un effetto del primo ordine … Ma nei metodi terrestri per la determinazione della velocità della luce, la luce stessa torna indietro sempre lungo la stessa traiettoria, così che la velocità della Terra rispetto all’etere dovrebbe alterare il tempo necessario per il doppio passaggio di una quantità che dipende dal quadrato del rapporto tra la velocità della Terra e quella della luce [effetto del secondo ordine]: il quale è un valore troppo piccolo per poter essere osservato.”
Per capire meglio quanto qui sostenuto facciamo un esempio semplice. Supponiamo di voler calcolare il tempo necessario affinché un battello, che parte da un certo punto A, risalendo la corrente di un fiume, raggiunga un altro punto B e, quindi, col favore della corrente, da B torni ad A, avendo percorso una distanza 2d (figura 29). Supponiamo che il battello sia dotato di una velocità u rispetto all’acqua del fiume e che la corrente dello stesso fiume abbia una

velocità v.
Il tempo t AB necessario per andare da A a B (per percorrere la distanza d controcorrente) sarà dato da:
tAB = d/(u-v)
in accordo con il principio classico di relatività (essendo v-u la velocità del battello rispetto alla riva del fiume).
Il tempo tBA per tornare da B ad A (per percorrere la distanza d a favore di corrente) sarà allora:
tBA = d/(u+v)
sempre in accordo con il principio classico di relatività (essendo v+u la velocità del battello rispetto alla riva del fiume).
Il tempo totale t1 necessario a completare il tragitto di andata e ritorno sarà dato da:

Come si vede questo tempo dipende dal secondo ordine in v/u, cioè da v2/u2. Ora, nel caso del battello e del fiume, le velocità sono dello stesso ordine di grandezza e pertanto la quantità v2/u2 è grande tanto da dare un contributo significativo al calcolo di t1 (se il battello ha una velocità di 50 km/h e la corrente di 10 km/h, segue che v/u = 1/5 da cui v2/u2 = 1/25).
Supponiamo ora di voler fare lo stesso conto per il tempo impiegato dalla luce a fare un percorso di andata e ritorno sulla Terra (mediante, ad esempio, uno specchio). Se disponiamo i nostri strumenti in modo che il percorso della luce abbia la stessa direzione del moto orbitale della Terra, quando la luce marcerà in un verso sentirà un vento d’etere che si opporrà al suo movimento, quando marcerà in verso opposto il vento d’etere l’aiuterà nel suo movimento. E’ chiaro che il vento d’etere è quello prodotto dal moto della Terra in mezzo ad esso (l’analogo del vento d’aria che si sente andando in moto, che ha la stessa velocità della moto ma verso opposto). Ora, la velocità della Terra, rispetto all’etere, nel suo moto orbitale, è di circa 30 km/sec, mentre la velocità della luce, sempre rispetto all’etere, è di circa 300.000 km/sec. Il tempo t1 di andata e ritorno per un raggio di luce che debba percorrere un certo tratto d sulla Terra (nella direzione del moto orbitale di quest’ultima), analogamente al caso del battello, sarà:

dove 2d è la lunghezza del tragitto totale percorso dalla luce, v la velocità del vento d’etere, c la velocità della luce. Quanto vale v2/c2 ?

Questo era dunque il ragionamento di Maxwell: effetti cosi piccoli non si sarebbero potuti rilevare con nessuno strumento conosciuto. Egli allora proponeva di cercare il vento d’etere su altre esperienze, ma questa volta di carattere astronomico (in particolare suggeriva una versione modificata della misura fatta da Römer).
Il problema era dunque quello di rilevare un moto assoluto della Terra rispetto all’etere ed, in ogni caso, di individuare la presenza e le proprietà di questa sostanza.
Proprio nell’anno della pubblicazione della lettera di Maxwell su Nature, il guardiamarina A.A. Michelson (1852-1931), docente di fisica al Nautical Almanac Office di Washington, si trasferiva dagli Stati Uniti in Europa per perfezionare i suoi studi, principalmente nel campo dell’ottica.
Michelson già aveva lavorato in ottica riuscendo tra l’altro a realizzare (l873) un importante perfezionamento al metodo di Foucault per la misura della velocità della luce (sostituzione dello specchio concavo con uno specchio piano; la qual cosa permetteva di misurare c su qualsiasi distanza ed inoltre rendeva il costo dello strumento estremamente basso). Ma fatto interessante è che egli venne a conoscenza, in anteprima, della lettera di Maxwell a Todd, poiché quest’ultimo era suo collega al Nautical Almanac Office. Inoltre egli aveva già lavorato su esperienze utilizzanti metodi interferometrioi ed andò a proseguire i suoi studi dapprima a Berlino, nel laboratorio di Helmholtz, quindi ad Heidelberg, nei laboratori di Quincke e Bunsen, infine a Parigi, nei laboratori di Mascart, Cornu e Lippmann. (543)
Già alla fine del 1880 egli aveva comunicato al direttore del Nautical la sua intenzione di riuscire ad individuare il moto della Terra attraverso l’etere; della cosa aveva già informato Helmholtz il quale non aveva avuto nulla da obiettare. (544)
Michelson cominciò ad ideare lo strumento che riteneva necessario per eseguire l’esperienza che aveva in mente; da una ditta tedesca comprò un polarimetro ottico e ne sostituì la parte ottica piana con quella utilizzata nell’interferometro di Jamin (le due lastre uguali di vetro mostrate in figura 20) acquistata da una ditta di Parigi. Lo schema di funzionamento di questo primo interferometro di Michelson è mostrato in figura 30.

Figura 30
S è una sorgente di luce (dapprima monocromatica per la taratura dello strumento e quindi bianca); A e B sono le due lastre di vetro dell’interferometro di Jamin; M1 ed M2 sono due specchi piani; O è un oculare su cui è riportata una scala graduata. Il raggio di luce prodotto da S, interagendo con la lastra A, viene separato in due fasci che marciano tra loro ad angolo retto: il fascio 2, dopo aver attraversato A, essersi riflesso su M2 ed aver riattraversato A, va all’oculare O; il fascio 1, dopo aver attraversato B, essersi riflesso su M1 , aver riattraversato B ed essersi riflesso su A, va anche esso all’oculare O (si noti che: i due fasci si originano nel punto P; che la lastra B – lastra compensatrice – è utilizzata per rendere perfettamente uguali i due percorsi ottici; che i tratti PM1 e PM2 sono chiamati bracci dell’interferometro).
L’idea guida dell’esperienza è ben espressa dallo stesso Michelson in apertura dell’articolo del l861 che ne fa un resoconto: (545)
“La teoria ondulatoria della luce ipotizza resistenza di un mezzo chiamato etere, le cui vibrazioni producono i fenomeni del calore e della luce e che si suppone riempia tutto lo spazio. Secondo Fresnel, l’etere che è racchiuso nei mezzi ottici condivide il moto di questi ultimi in una misura che dipende dai loro indici di rifrazione … Supponendo quindi che l’etere sia in quiete e che la Terra si muova in esso, il tempo necessario alla luce per passare da un punto all’altro della superficie terrestre dovrebbe dipendere dalla direzione lungo la quale essa si muove.”
Dunque si tratta di questo: quando la Terra si muove nello spazio con una velocità v, essa provocherà un vento d’etere con la stessa velocità v ma in verso contrario (si veda la figura 3l). Se si considera un raggio di luce che faccia un

percorso PM1P nella direzione del moto della Terra, esso impiegherà un dato tempo t1 diverso dal tempo t2 necessario ad un raggio di luce per percorrere una ugual distanza PM2P in direzione perpendicolare al moto della Terra. Ritornando all’esempio del fiume, incontrato un poco indietro, vediamone il perché riferendoci alla figura 32.

Abbiamo già visto che il tempo t1 necessario ad un battello, che marci a velocità u, a percorrere il tragitto ABA in direzione della corrente è dato da:

Calcoliamoci ora il tempo t2 necessario allo stesso battello a percorrere una stessa distanza 2d ma, questa volta, in direzione perpendicolare alla corrente (tragitto ACA).
Innanzitutto il pilota del battello, se vuole arrivare da A a C, dovrà puntare la prua verso C”, in accordo con la composizione vettoriale delle velocità: la velocità risultante vR del battello sarà la somma vettoriale della velocità u , del battello rispetto all’acqua, e v della corrente rispetto alla riva (si veda la figura 33a). Analogamente al ritorno; se il pilota vuole arrivare da C ad A, dovrà puntare la prua verso C” e la sua velocità risultante sarà la medesima vR (si veda la figura 33b).

E’ ora abbastanza facile calcolarci vR (velocità del battello rispetto alla riva); basta applicare il teorema di Pitagora per avere:

Il tempo necessario a percorrere il tragitto ACA sarà allora:

Come si può vedere i tempi t1 e t2 , forniti rispettivamente dalle (1) e (2), sono differenti.
Ora, nel caso della luce illustrato in fig. 31, le cose vanno esattamente allo stesso modo a patto di sostituire alla velocità della corrente v la velocità del vento d’etere v, alla velocità del battello u la velocità della luce c, ai percorsi ABA e ACA i percorsi PM1P e PM2P.
E questa era l’idea base di Michelson, il quale voleva evidenziare la differenza tra i due tempi t1 e t2, fatto che gli avrebbe permesso di mostrare l’esistenza dell’etere dal suo vento e conseguentemente il moto assoluto della Terra rispetto a quella misteriosa sostanza.
In definitiva i tempi t1 e t2 necessari alla luce per percorrere rispettivamente i tratti PM1P e PM2P erano teoricamente dati da: (546)


avendo assunto che d è la lunghezza di ciascun braccio dell’interferometro. Calcoliamo ora quanto vale la differenza Δt fra questi due tempi:

Per poter procedere al calcolo conviene fare una approssimazione lecita solo se v<<c, cosa senz’altro verificata. Allo scopo ricordiamo la formula binomiale che permette lo sviluppo del binomio di Newton:

Applichiamo questo sviluppo ai due termini dell’ultimo membro della (3):


Facciamo ora l’approssimazione annunciata. Poiché v<<c e, conseguentemente, v/c<<1, la quantità v2/c2 è certamente molto piccola e, a molto maggior ragione, v4/c4 è completamente trascurabile. Con tale assunzione si ha:


avendo trascurato i termini in v/c di ordine superiore al secondo.
In questo modo la (3) che ci forniva Δt diventa:

avendo indicato con Δs il tragitto percorso dalla luce nel tempo Δt.
Tutto ciò che abbiamo detto era nell’ipotesi implicita che i bracci dell’interferometro fossero perfettamente uguali e lunghi d. Ora, mentre nel caso del battello metro più o metro meno, su percorsi di centinaia di metri, non crea alcun problema, in questo caso, dato il piccolissimo effetto da rilevare, anche una piccolissima ed inevitabile differenza tra i due bracci può essere fatale alla validità dell’esperienza (essendo tal piccola differenza quantomeno dell’ordine di grandezza dell’effetto da misurare). Per rimediare a questo inconveniente Michelson pensò di effettuare la misura, una prima volta con i bracci dell’interferometro sistemati come in fig. 30 e quindi, una seconda volta con i bracci ruotati di 90° sul piano orizzontale, di modo che il braccio prima disposto nella direzione del vento d’etere fosse ora perpendicolare ad esso (e viceversa per l’altro braccio). Operando in questo modo l’inconveniente veniva eliminato: i due bracci invertivano il loro ruolo e la seconda lettura, fatta per differenza con la prima, compensava gli effetti (anche analiticamente). (547) Nella seconda lettura si otteneva una differenza di tragitto analoga alla prima ma di segno contrario cioè, in totale, una differenza doppia della precedente.
Rifacciamoci allora i conti, nell’ipotesi di bracci con lunghezza diversa: PM1 = d1 e PM2 = d2. Ripartendo dalla (3) si ha:

Invertendo ora i bracci dell’interferometro, la relazione precedente diventa:

La differenza tra questi due tempi sarà:

avendo, come prima, indicato con Δs il cammino percorso dalla luce nel tempo Δt. Ora si tratta di andare a sostituire i valori numerici ricavati dalla struttura dell’apparato sperimentale; ed ora, e solo ora, possiamo supporre, nei limiti degli errori di misura, che d1 ~ d2 = d e scrivere:

E questo risultato è in accordo con quanto anticipato: abbiamo ottenuto una differenza doppia e ciò vuol dire che gli effetti si sono compensati.
In ultima analisi, l’esperienza di Michelson, per la prima volta, ci pone di fronte ad una dipendenza del secondo ordine in v/c. la differenza Ds di cammino ottico è quella che nell’oculare O dovrebbe originare frange di interferenza. (548) Considerando gli ordini di grandezza in gioco, cerchiamo di vedere se ciò è sperimentalmente realizzabile. Nell’esperienza di Michelson del 1881 si aveva d1 ~ d2 = 120 cm ed allora Δs ~ 2,4.102.10-8 cm = 2,4.10-6 cm. Se si confronta questa differenza di cammino ottico dei due raggi con la lunghezza d’onda della luce (λ = 57.10-6 cm), si trova:

E ciò significa che, dopo aver fatto la prima misura con l’interferometro sistemato in una data posizione, quando si va a fare la seconda misura con l’interferometro ruotato di 90°, si dovrebbe osservare, nella figura d’interferenza, uno spostamento di 4/100 di frangia. E lo strumento a disposizione di Michelson era in grado di apprezzare spostamenti di frange di questo ordine di grandezza.
Nonostante ciò, Michelson concluse la sua memoria del 1881 affermando: (549)
” L’interpretazione dei risultati ottenuti è che non esiste alcuno spostamento delle frange d’interferenza. Si mostra in tal modo che è errato il risultato dell’ipotesi dell’etere stazionario, e ne consegue la necessaria conclusione secondo cui l’ipotesi stessa è sbagliata.
Questa conclusione contraddice direttamente la spiegazione fino ad ora generalmente accettata per i fenomeni di aberrazione: spiegazione che presuppone che la Terra si muova attraverso l’etere e che quest’ultimo rimanga in quiete.”
E ciò vuol dire che la teoria di Fresnel, che prevede un etere immobile nello spazio, etere nel quale la Terra si infila senza creare alterazioni, a parte un piccolo trascinamento nei corpi trasparenti, va rivista. Le cose sembrano andare d’accordo con la teoria di Stokes; infatti, poiché la teoria prevede un trascinamento totale dell’etere sulla superficie della Terra, quest’ultima non e’ animata di moto relativo rispetto all’etere.
Le condizioni in cui Michelson aveva lavorato in questa sua prima esperienza non erano delle migliori. Molti problemi si erano posti, legati soprattutto alle condizioni fisiche del luogo dove lo strumento era posto. Ad esempio egli dovette trasferirsi da Berlino ai sotterranei dell’Osservatorio di Potsdam, poiché troppe erano le vibrazioni dovute al traffico cittadino che, di fatto, gli impedivano di far misure. Un altro grave inconveniente, ricordato dallo stesso Michelson nel suo lavoro con Morley del 1887, era legato alle difficoltà incontrate per ruotare manualmente lo strumento. Insomma, questo primo lavoro lasciò molti dubbi e sollevò molte critiche; lo stesso Michelson lo considerò un insuccesso.
Dopo la realizzazione dell’esperienza, Michelson rimase ancora un anno in Europa. Passò prima ad Heidelberg dove, tra l’altro, ebbe modo di stare a contatto con Quincke il quale nel 1867 aveva introdotto la tecnica dell’argentatura di una delle superfici delle lastre di vetro di Jamin. In questo modo, dosando la quantità di argento che si faceva depositare sulla superficie, si potevano ottenere specchi semitrasparenti, con il risultato che le frange risultavano molto più nitide. (550)
Una lettera scritta a Nature in questo periodo, per criticare una misura di velocità della luce eseguita di recente da Young e Forbes, gli valse l’amicizia di Lord Hayleigfa (1842-1919) che condivideva le sue opinioni su quella misura.
Prima di tornare negli Stati Uniti, Michelson soggiornò qualche tempo a Parigi. Qui, come già detto (si veda la nota 546), scrisse una memoria nella quale riconosceva e correggeva il suo errore nella non valutazione del vento d’etere sul cammino ottico perpendicolare ad esso.
Ripresa la sua attività negli Stati Uniti, per lungo tempo, Michelson non fece più riferimento all’esperienza di Potsdam. Egli si dedicò a svariati lavori di ottica e, in particolare, alla misura della velocità della luce ed alla ripetizione (l886) dell’esperimento di Fizeau, (551) fatto quest’ultimo ritenuto importante da molti, ora che si disponeva di apparati in grado di rilevare effetti al secondo ordine in v/c. Quest’ultima esperienza la condusse insieme al chimico E.W. Morley (1838-1923). (552) Dopo 65 serie di misure (!) con uno strumento che era una variante dell’interferometro di Michelson, i due ricercatori trovarono per il coefficiente di trascinamento di Fresnel in acqua il valore di 0,434 ± 0,03, che era in ottimo accordo con quello previsto teoricamente da Fresnel (0,438). Questo valore migliorava quello trovato da Fizeau (0,5 ± 0,1) che, mentre era in buon accordo con quello previsto dal lavoro teorico di J.J. Thomson (cui abbiano fatto cenno alla nota 541), che aveva tentato di ricavare il coefficiente di trascinamento dalla teoria elettromagnetica, non lo era molto con quello previsto da Fresnel. In ogni caso il risultato era in accordo e con la teoria di Fresnel e con l’esperimento di Fizeau, di modo che i due ricercatori statunitensi conclusero il loro lavoro affermando che “l’etere luminifero è completamente insensibile al moto della materia che esso permea.” Ed in definitiva le cose sembravano svolgersi in accordo con la teoria di Fresnel: etere stazionario e trascinamento parziale.
E’ a questo punto (l886) che viene pubblicata una memoria del fisico olandese H.A. Lorentz (1653-1928) nella quale si discuteva l’influenza del moto della Terra sui fenomeni luminosi. (553) L’articolo in oggetto si apriva con una frase che aveva il sapore di un programma: (554)
“ l’esame di questa questione non interessa soltanto la teoria della luce, esso ha acquistato una importanza molto più generale da quando è diventato probabile che l’etere giochi un ruolo nei fenomeni elettrici e magnetici.”
Fatta questa premessa Lorentz passò ad esporre la sua teoria che prendeva le mosse da quella sviluppata da Stokes nel 1845 (555) e si integrava con quella di Fresnel. Egli però, dopo aver dimostrato l’inconciliabilità delle due ipotesi di Stokes (l’etere dotato di velocità potenziale e l’etere totalmente trascinato dai corpi materiali: è impossibile che l’etere sia un fluido incompressibile e che si muova alla stessa velocità della superficie della Terra senza che in esso si producano vortici – questa era l’ipotesi di Stokes che Lorentz dimostra non in accordo con i principi della meccanica -), optò solo per la prima, accettando quindi che l’etere sia dotato di una velocità potenziale (in questo modo si rendeva possibile la conciliazione di Stokes con Fresnel). Più in dettaglio, (556) secondo Lorentz: l’etere è dovunque immobile nello spazio vuoto; la materia è completamente trasparente all’etere il quale rimane immobile anche quando è attraversato da un corpo materiale in movimento; poiché l’etere è immobile e la Terra è dotata di una certa velocità, l’etere che è a contatto con la Terra risulta in moto rispetto alla sua superficie ed è inoltre dotato di una velocità potenziale; sulla superficie della Terra i moti relativi dell’etere e della Terra stessa possono essere differenti a seconda delle situazioni particolari; nei corpi trasparenti c’è trascinamento parziale dell’etere secondo il coefficiente di Fresnel che dipende dall’indice di rifrazione del mezzo.
Con questa elaboratissima ipotesi Lorentz ridusse la teoria di Fresnel ad un caso particolare della sua (si ha trascinamento di Fresnel quando la velocità potenziale dell’etere è uguale a zero) e dimostrò che, ad eccezione dell’effetto Doppler prodotto dalla luce delle stelle, non si poteva in alcun modo rilevare il moto della Terra da fenomeni ottici. C’è solo da notare che queste conclusioni Lorentz le ricavò facendo delle approssimazioni, a mio giudizio, non più lecite a questo livello di elaborazione teorica e sperimentale: egli trascurò termini in v/c d’ordine superiore al primo. In ogni caso questa teoria era in ottimo accordo con le conclusioni di Fresnel e spiegava allo stesso modo tutti i fatti sperimentali fino ad allora conosciuti. Inoltre, proprio in quello stesso anno, l’esperienza di Michelson e Morley, ripetizione di quella di Fizeau, aveva mostrato un completo accordo della teoria di Fresnel con l’esperimento.
Il lavoro di Lorentz, a questo punto, proseguiva andando a discutere i supposti rapporti tra etere e materia ponderabile anche perché, nella seconda delle sue ipotesi iniziali, egli aveva ammesso che “alla superficie della Terra i moti di questa e dell’etere possono essere differenti” ed una questione di tal portata non si poteva lasciare in sospeso. Cosi scriveva Lorentz: (557)
“Comunque stiano le cose, sarà bene, a mio avviso, non lasciarsi guidare, in una questione cosi importante, da considerazioni sul grado di probabilità o di semplicità dell’una o dell’altra ipotesi, ma indirizzarsi verso l’esperimento per arrivare a conoscere lo stato, di riposo o di movimento, nel quale si trova l’etere sulla superficie terrestre.”
E, secondo Lorentz, l’esperienza di Michelson del 1881 sembrava indicare che l’etere fosse immobile rispetto alla superficie della Terra, anche se questo esperimento non era sufficientemente preciso (e qui Lorentz faceva riferimento all’errore di sopravvalutazione degli effetti fatto da Michelson accennato nella nota 546) ed in ogni caso non in grado di fornire dati sulle velocità relative della Terra e dell’etere. Insomma il problema dell’etere si poneva come problema di rapporto tra etere e materia (preludio questo alla teoria degli elettroni di Lorentz della quale parleremo nel prossimo paragrafo).
Rayleigh, anch’egli convinto che il problema centrale fosse di stabilire il rapporto esistente tra etere e materia, scrisse a Michelson mettendolo al corrente dell’articolo di Lorentz e facendogli presente che era diventato urgente ripetere l’esperienza di Potsdam.
Nel marzo del 1887 Michelson rispose a Rayleigh (558) confidandogli anche la propria insoddisfazione per l’esperienza del l88l e che, per la verità, si era sentito molto scoraggiato quando i suoi stessi amici scienziati non gli avevano prestato attenzione sull’argomento. In ogni caso ringraziava Rayleigh per averlo incoraggiato e, dopo essersi impegnato a ripetere l’esperimento, gli chiedeva dei consigli che potrebbero oggi far sorridere ma che ben rendono conto delle problematiche complesse che c’erano dietro la vicenda dell’etere. Michelson si preoccupava di sapere se la sua esperienza poteva essere inficiata dalla particolare geometria del laboratorio se, ad esempio, una parete potesse ostacolare il vento d’etere. Così scriveva Michelson: (559)
” Supponiamo, per esempio, che le irregolarità della superficie della Terra siano schematicamente rappresentate da una figura come questa:

Se la superficie della Terra fosse in movimento nel verso della freccia, l’etere che si trova in 00 sarebbe trascinato con essa ? [e, cosa accadrebbe] in una stanza di questa forma?

Immediatamente, ancora insieme, Miohelson e Morley si misero al lavoro realizzando uno strumento di misura che aveva superato tutti i difetti di quello di Potsdam. (560) Innanzitutto l’intero stramento era montato solidalmente con una grossa base di arenaria (figura 34a) la quale a sua volta era montata su di un galleggiante di legno sistemato in una vasca di ferro contenente mercurio (una sezione dell’intero apparato e’ mostrata in figura 34b). II tutto aveva una grossa

stabilità e contemporaneamente poteva venir ruotato sul piano orizzontale intorno al suo asse (x), con facilità e senza provocare distorsioni (anzi l’apparato veniva manualmente messo in rotazione e continuava a ruotare per inerzia in modo cosi lento che le letture potevano essere fatte quando esso era in moto).
L’altra questione riguardava la sensibilità dello strumento che era al limite della misura da effettuare: a Potsdam lo strumento era in grado di porre in evidenza uno spostamento delle frange pari ad un centesimo di frangia; ora, con un sistema di riflessioni multiple (figura 34c), si aumentava, moltiplicandolo per circa 10, il tragitto della luce ed in questo modo si aumentava di circa un fattore 10 l’effetto previsto; ora lo strumento, se l’effetto previsto si fosse verificato, avrebbe dato una risposta più grande (lo strumento era reso 10 volte più sensibile). Ci possiamo rendere conto di quest’ultima cosa se riprendiamo per un momento in esame la relazione (4) incontrata più indietro e sostituiamo i valori ora a disposizione , che differiscono dai precedenti solo perché ora d ~ 11 m = 1,1.103 cm, si ha:

e, come si vede, si è amplificato di un fattore 10 l’effetto previsto: ora, mentre si è in grado sempre di apprezzare lo spostamento di un centesimo di frangia, l’effetto previsto è di ben circa mezza frangia.
Con questo apparato, con estrema cura, venne eseguita l’esperienza nel mese di luglio del 1887: non si osservò nessun effetto. Nell’articolo che descrive l’esperienza, (561) tutto impostate per rispondere alle critiche di Lorentz sulla non attendibilità del lavoro del 1881, Michelson e Morley dicevano: (562)
“si è deciso di ripetere l’esperimento con modifiche tali da assicurare un risultato teorico il cui valore numerico sia talmente elevato da non poter essere mascherato da errori sperimentali … Da tutto quanto precede [discussione dei risultati sperimentali] sembra ragionevolmente certo che, se esiste un qualche moto relativo tra la Terra e l’etere luminifero, allora esso deve essere molto piccolo; talmente piccolo da farci rifiutare la spiegazione dell’aberrazione data da Fresnel. Stokes ha elaborato una teoria dell’aberrazione nella quale si ipotizza che l’etere alla superficie della Terra sia in quiete rispetto a quest’ultima: in tale teoria si richiede solamente, inoltre, che la velocità relativa abbia un potenziale; ma Lorentz ha dimostrato che queste condizioni sono tra loro incompatibili. Lorentz ha quindi proposto una variante nella quale si combinano alcune idee di Stokes e di Fresnel, e si assume l’esistenza di un potenziale insieme al coefficiente di Fresnel. Se, sulla base del presente lavoro, fosse lecito concludere che l’etere è in quiete per quanto riguarda la superficie della Terra, allora, secondo Lorentz, non potrebbe esistere un potenziale della velocità; ed in tal caso la teoria dello stesso Lorentz fallisce.”
L’esperienza aveva così fornito un risultato del tutto negativo e la spiegazione immediata e più spontanea , nel contesto della fisica di fine Ottocento, era che l’etere che circonda la Terra fosse trascinato da essa cosicché esso risultasse in quiete rispetto alla superficie della Terra stessa. Di nuovo sorgeva la difficoltà rispetto al fenomeno dell’aberrazione; l’ipotesi di un etere trascinato dalla superficie della Terra e quindi in riposo rispetto ad essa non si conciliava con la spiegazione di questo fenomeno. Di nuovo la teoria di Fresnel non era in accordo con questo fatto sperimentale, non lo era quella di Lorentz e tantomeno quella di Stokes, che Lorentz aveva dimostrato essere inconsistente.
In definitiva, a questo punto ci troviamo di fronte all’aberrazione che si spiega con l’etere immobile; alla costanza dell’aberrazione per differenti mezzi che si spiega con il trascinamento parziale; all’esperienza di Michelson-Morley che si spiega con un trascinamento totale. Sono conseguenze di differenti fatti sperimentali, tutte in disaccordo tra di loro.
Per altri versi l’idea che sempre più andava facendosi strada era che questo etere non sembrava in grado di fornirci un sistema di riferimento privilegiato né per i fenomeni ottici né per quelli elettromagnetici. In particolare, non si era in grado di evidenziare il moto della Terra rispetto all’etere e, d’altra parte, lo stesso etere sfuggiva ad ogni rilevamento sperimentale. (564)
Cosa concludere da tutto ciò?
Certamente occorreva mettersi al lavoro per raccordare con una sola teoria i vari fatti sperimentali. Bisognava inventare cose nuove poiché non era possibile rimettere in discussione né l’ottica in quanto tale, né l’elettromagnetismo, né, tantomeno, la meccanica che ci fornisce la composizione delle velocità, e questo per il semplice motivo che questi capitoli della fisica erano molto ben strutturati, mirabilmente formalizzati, spiegavano una mole notevolissima di fatti sperimentali e fornivano una tal base di certezze che sembrava, impossibile rimettervi le mani.
Da dove cominciare ?
Intanto da ciò che sembrava più semplice: cercare di ricondurre alla ragione quel pazzo interferometro. Quindi cercando di modificare l’elettromagnetismo (di cui l’ottica è ormai un capitolo) in qualche sua parte. Ma la meccanica no: essa era davvero intoccabile.
Non c’è dubbio che questo era un periodo di grande travaglio all’interno di quella parte del mondo scientifico che lavorava su questi problemi in modo diretto. Il resto della comunità scientifica non era toccata dalla cosa; la specializzazione crescente, la divisione del lavoro, la richiesta di efficienza (tutti e tre come portato del mondo esterno che imponeva i suoi ritmi ad una scienza che era buona in quanto presto o tardi sarebbe servita al mondo della produzione – e molto presto della guerra -), tutto ciò faceva sì che problemi complessivi non si ponessero e che un ripensamento sui fondamenti non venisse preso molto sul serio. Ma di questo torneremo a parlare nel paragrafo 6 di questo capitolo. E’ ora molto importante andare a vedere quali furono le immediate elaborazioni teoriche che seguirono il lavoro di Michelson-Morley.
NOTE
(541) Nel 1881 J.J. Thomson fece il tentativo di dedurre il coefficiente di trascinamento di Fresnel dalla teoria elettromagnetica estendendo le equazioni di Maxwell al caso di un dielettrico in movimento, ottenendo un risultato che, secondo Thomson, era in accordo con l’esperienza di Fizeau. Nel 1882 G.F. Fitzgerald si occupò per primo degli effetti che il moto della Terra dovevano produrre sui fenomeni elettromagnetici, trovando che questi effetti si devono cancellare l’un l’altro simultaneamente (bibl.124, pagg. 23-24).
(542) Bibl. 123, pagg. 132-133. Gli stessi concetti sono espressi da Maxwell nella voce Etere che egli scrisse per l’Enciclopedia Britannica.
(543) G.H. Quincke (1834-1924) aveva lavorato con metodi interferenziali sia in ottica che in acustica (tubo di Quincke). R.W. Bunsen (l8ll-l899) aveva lavorato, come già accennato, in spettroscopia con Kirchhoff, in fotometria ed in vari altri campi. A. Cornu (1841-1902) aveva lavorato in spettroscopia e a misure di c (migliorando il metodo di Fizeau). G. Lippmann (1845-1921) stava lavorando in tecniche avanzatissime di fotografia ed una sua realizzazione del 1893 gli valse il premio Nobel del 1908.
(544) Per questa ed altre interessanti notizie sulla storia delle esperienze di Michelson (e Morley) si vedano bibll.120 e 121. Questa prima esperienza di Michelson era stata finanziata da A.G. Bell (colui che nel 1876 aveva brevettato il telefono) ed iniziata a Berlino e quindi realizzata a Potsdam.
(545) A.A. Michelson, The Relative Motion of the Earth and the Luminiferous Ether, in American Journal of Science, S. 3, 22, l88l; pagg. 120-129. La traduzione qui riportata è tratta da bibl. 123, pagg. 134-139.
(546) Nella memoria di Michelson del 1881, il calcolo di questo tempo era errato, poiché Michelson non aveva tenuto conto del fatto che il vento d’etere si faceva sentire anche in questo caso. Egli dava quindi per t2 il valore 2d/c. L’errore, come lo stesso Michelson afferma nella sua memoria con Morley del 1887, gli fu fatto notare dal fisico francese M. A. Potier nell’inverno del 1881. Esso fu subito corretto ed i risultati furono pubblicati su Comptes Rendus, 94, 520; 1882. Ma le cose ancora non andavano bene e fu Lorentz nel 1886 a far notare che con i conti fatti da Michelson l’effetto da attendersi era sopravvalutato di un fattore 2.
(547) Con questa rotazione di 90° dello strumento viene eliminato anche un altro effetto: il fatto che non siamo ben sicuri della direzione del vento d’etere anche se possiamo sospettare che sia tangente alla traiettoria della Terra intorno al Sole.
(548) Si noti che in assenza di vento d’etere e nell’ipotesi di bracci perfettamente uguali, in O non si dovrebbe avere nessuna frangia d’interferenza, ma solo una interferenza costruttiva che darebbe il massimo di illuminazione. Ancora in assenza di vento d’etere l’inevitabile disuguaglianza della lunghezza dei due bracci provoca inrterferenza. Qualora ci fosse il vento d’etere queste frange d’interferenza dovrebbero spostarsi quando l’apparato viene ruotato di 90°. Questo era il risultato che si aspettava.
(549) Bibl. 123, pag. 139. Si tenga conto che le difficoltà nell’interpretazione dell’esperimento di Michelson sono di gran lunga maggiori di quanto qui si è discusso. Allo scopo si può consultare il saggio di Holton, Einstein, Michelson y el experimento crucial, riportato in bibl. 127. In particolare si veda la pag. 209.
(550) Per questa ed. altre notizie qui riportate rimando a bibl. 120.
(551) La richiesta di ciò era venuta da Rayleigh e Kelvin direttamente a Michelson mentre i due fisici britannici si trovavano negli Stati Uniti per un giro di conferenze (1884).
(552) A.A. Michelson, E.W. Morley, Influence of Motion of the Medium on the Velocity of Light, Amer. Journ. Sci., 31; 1886; pagg. 377-386.
(553) H.A. Lorentz, De l’influence du mouvement de la terre sur les phénomènes lumineux, Arch. néerl., 21; 1887; pagg. 103-176 (già pubblicata in tedesco nel 1886).
(554) Ibidem, pag. 103.
(555) Si riveda la nota 313. Si noti che verso la fine del secolo la teoria di Stokes fu ripresa e perfezionata da Planck con l’ammissione di un etere compressibile, irrotazionale e con un piccolo scorrimento rispetto ai corpi gravitanti massicci, intorno ai quali è altamente condensato. Per una riproposizione, oggi, della teoria di Stokes-Planck si può vedere: AA.VV., Esperimenti di ottica classica ed etere, Scientia, Vol. III, fasc. 3°, 1976
(556) Per quanto qui dirò, mi sono servito di bibl. 124 e 128.
(557) H.A. Lorentz, De l’influence …, citata, pag. 162.
(558) Si veda bibl. 120, pag. 29.
(559) Ibidem.
(560) Tra l’altro la lastra di vetro P di figura 30 era ora sostituita da una lastra con la faccia posteriore leggermente argentata (cosa imparata da Michelson ad Heidelberg) in modo da ottenere uno specchio semitrasparente che forniva una figura d’interferenza molto più chiara. Per questo strumento e per le misure che esso permetteva, Michelson ebbe il premio Nobel nel 1907.
(561) A.A. Michelson, E.H. Morley, On the Relative Motion of the Earth and the Luminiferous Ether, Amer. Journ.Sci., S.3, 34; 1887; pagg. 331-345. Ed anche su Phil. Mag., S. 5, 24; 1887; pagg. 449-463.
(562) Phil. Mag. pag. 451 e pagg. 458-459. La traduzione qui riportata è tratta da bibl. 123, pag. 140 e pagg. 144-145.
(563) Si osservi che la conclusione dei due ricercatori statunitensi, per essere completamente corretta, doveva prevedere almeno un’altra misura in un periodo diverso dell’anno (meglio a 6 mesi di distanza). Supponendo infatti che, nel dato periodo dell’anno in cui l’esperienza fu fatta, l’etere e la Terra fossero l’uno relativamente all’altra immobili perché, ad esempio, l’etere riempiente tutto lo spazio si muoveva con la stessa velocità orbitale della l’erra con il verso della tangente alla traiettoria in quel momento, ebbene una misura a sei mesi di distanza, con la Terra dotata di velocità in verso opposto, avrebbe evidenziato un effetto doppio. Ebbene, anche se questa esperienza era preventivata, non fu mai eseguita da Michelson-Morley, contrariamente a quanto si legge su molti libri.
(564) L’esperienza di Michelson-Morley, sempre con gli stessi risultati, fu ripetuta dallo stesso Michelson ad una differente altezza dal livello del mare (Michelson continuava con i dubbi che aveva espresso a Rayleigh)^ nel 1897, quindi da Morley e Miller tra il 1902 ed il 1904 e poi da svariati altri ricercatori, almeno fino al 1958 con tecniche sempre più sofisticate. Si noti che furono anche ideate diverse varianti dell’esperienza: quella di Trouton e Noble (1903), di Trouton e Rankine (l908), e così via; anche qui il risultato fu sempre negativo.
SEGUE …….
Categorie:Fisica e Storia della Fisica
Rispondi