Ingegneria Meccanica – Roma Tre
AA/2011-2012
APPUNTI PER IL CORSO
Roberto Renzetti
LEZIONE 0. INTRODUZIONE AL CORSO DI “FONDAMENTI DI FISICA GENERALE”:
una sorta di scaletta degli argomenti (prerequisiti) da discutere con gli studenti preliminarmente al corso di fisica.
COS’È LA FISICA
Oggigiorno il campo di azione della Fisica è vastissimo ed include tra le altre le seguenti aree: Meccanica dei corpi, Meccanica dei fluidi, Termodinamica, Acustica, Ottica, Onde ed Elettromagnetismo, Relatività, Meccanica Quantistica, Fisica Atomica e Molecolare, Fisica degli Stati Condensati, Fisica del Plasma, Fisica Nucleare, Fisica delle Particelle Elementari.
A questi vanno affiancati i settori di ricerca con connotati interdisciplinari come Astrofisica e Cosmologia, Biofisica, Fisica dell’Ambiente, Fisica Sanitaria e Geofisica.
Un discorso a parte merita il settore dell’energetica, a causa della rilevanza che le questioni connesse con il risparmio e la produzione di energia hanno per la società: a tali questioni possono rispondere positivamente la ricerca in Fisica Nucleare con gli studi sulla fusione dei nuclei e quella sulla Fisica dell’idrogeno.
Infine vale la pena di citare due indirizzi di ricerca di recente sviluppo, come la Fisica Astroparticellare, che coniuga le conoscenze e gli strumenti dell’Astrofisica e quelli della Fisica delle Particelle Elementari per ricostruire la storia dell’Universo dai primi istanti di vita fino ad oggi, e la Econofisica, che applica i metodi della Meccanica Statistica allo studio del comportamento di sistemi complessi come ad esempio i mercati finanziari.
– Ordini di grandezza
– Grandezze (scalari e vettoriali), misure, dimensioni ed unità di misura
– Dimensioni [L] [T] [M] [I] [Θ]
Le dimensioni fisiche di una grandezza indicano in quale modo essa è ottenuta a partire dalle grandezze fondamentali. La scrittura […] (tra parentesi quadre) significa «dimensioni fisiche di…» e quindi la dimensione fisica della lunghezza si indica con il simbolo [L]. La dimensione fisica di una durata (o del tempo) si indica con [T], con [M] quella della massa, con [I] quella della corrente elettrica, con [Θ] quella della temperatura, con [N] quella della quantità di sostanza, con [J] quella dell’intensità luminosa.
L’unità di misura di una grandezza derivata si ottiene dalle unità di misura delle grandezze fondamentali da cui è tratta a partire dalla relazione che fornisce le dimensioni fisiche della grandezza stessa.
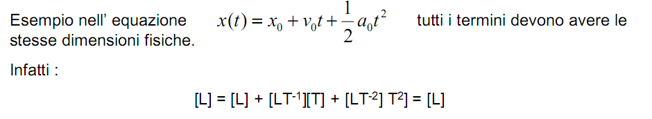
1) le dimensioni fisiche vanno trattate come grandezze algebriche. Esse si moltiplicano, si dividono, se ne fa la radice quadrata, esattamente come fossero grandezze algebriche.
2) se ho una equazione che abbia un senso fisico le dimensioni a sinistra e a destra del segno di uguale devono essere le stesse;

3) Non posso sommare o sottrarre fra loro grandezze fisiche di dimensioni diverse. Inoltre la dimensione della somma o sottrazione di due o più grandezze fisiche di stessa dimensione è la dimensione della grandezza stessa (in altri termini, se sommo [L] + [L] ho ancora [L], non 2.[L], mentre se moltiplico [L].[L] ho [L]2).

Data una qualunque espressione fisica che uguagli due equazioni è sempre molto utile fare la verifica dimensionale che è un utile strumento. Infatti, grazie ad esso si può controllare che le formule scritte siano corrette: le grandezze che compaiono dalle due parti del segno di uguaglianza devono avere le stesse dimensioni.
Esistono grandezze fisiche prive di dimensioni: le grandezze adimensionali o numeri puri. Un esempio è l’ampiezza di un angolo misurato in radianti: il rad infatti è definito come rapporto tra due lunghezze.
– Prima che ci fosse il Sistema Internazionale: qualche esempio
Uno dei prodotti più importanti che la Rivoluzione Francese ci ha regalato è stato il Sistema Metrico Decimale. Si tratta di un’impresa gigantesca che si estendeva sia sul fronte d’uso, del commercio, sia su quello politico, riuscire ad imporre un qualcosa che suonava interferire negli usi e costumi millenari non già di un popolo, come il francese, ma della miriade di contrade, paesini, regioni pur facenti parte della Francia. Provo a fare qualche esempio riferito a regioni italiane per capire fino in fondo la grande rivoluzione del sistema metrico.
In Piemonte ‘n tir da sciopp corrisponde ad una lunghezza di 600 metri; ‘n tir da spu corrisponde a 4,5 metri; na branca ad 1,5 metri. In Lombardia una gettata equivale a 5,222220 metri ed un trabucco equivale alla metà. In Veneto la canna composta di 8 palmi aveva valore di 2,109360 metri; la pertica (veronese), detta anche cavezzo valeva 2,057489 metri. In Liguria vi era sia la canna fatta di 10 palmi che equivaleva a 2,49095 metri, sia la cannella fatta di 12 palmi pari a 2,98914 metri. In Toscana il doppio braccio equivale a 1,24 metri. In Emilia Romagna il braccio agrimensorio valeva 0,5309 metri. Nel Lazio (Roma) una catena composta da 10 staioli corrispondeva a 12,84675 metri. In Campania una canna, suddivisa in 8 palmi, valeva 2,10936 metri. In Sicilia vi era la canna siciliana pari a 2,0647824 metri che aveva moltissimi multipli e sottomultipli.

– Sistema Internazionale (di unità di misura) SI
| LUNGHEZZA | metro (m) | distanza percorsa dalla luce nel vuoto nell’intervallo di tempo di 1/299.792.458 secondi | [L] |
| MASSA | kilogrammo (kg) | massa del cilindro prototipo di platino-iridio conservato presso il Bureau International des Poids et Mesures di Sèvres (Parigi). | [M] |
| TEMPO | secondo (s) | durata di 9.192.631.770 oscillazioni della radiazione emessa nella transizione tra due particolari livelli energetici iperfini dello stato fondamentale del cesio 133. | [T] |
| CORRENTE ELETTRICA | ampere (A) | la corrente elettrica costante che fluendo in due conduttori rettilinei, paralleli, indefinitamente lunghi, di sezione circolare trascurabile, posti a distanza di 1 m nel vuoto, determina fra essi una forza di 2·10-7 N per metro di conduttore. | [I] |
| TEMPERATURA | kelvin (°K) | la frazione 1/273,16 della temperatura termodinamica del punto triplo dell’acqua | [Θ] |
| QUANTITA’ DI SOSTANZA | mole (mol) | quantità di sostanza di un sistema che contiene tante entità elementari quanti sono gli atomi in 0,012 kg di carbonio 12. | [N] |
| INTENSITA’ LUMINOSA | candela (cd) | l’intensità luminosa, in una data direzione, di una sorgente che emette una radiazione monocromatica di frequenza pari a 540·1012 Hz e la cui intensità energetica in tale direzione è di 1/683 W/sr. | [J] |
UNITÀ DI MISURA FONDAMENTALI DEL SISTEMA INTERNAZIONALE
Definizioni (BPIM – Bureau International des Poids et Mesures)
• Il kilogrammo (kg) In origine (1793per il grammo, 1795 per il chilogrammo), venne definito come la massa di un centimetro cubo (10−6 m³) di acqua alla temperatura di 3,98 °C e a pressione atmosferica standard (pressione pari a 1 atm, ovvero 101 325 Pa, molto prossimo a quello attuale di 1 bar) ma, dalla prima conferenza generale di pesi e misure nel 1889, venne ridefinito come la massa del prototipo internazionale conservato a Parigi, prototipo realizzato con un cilindro retto, di altezza e diametro pari a 0,039 m, di una lega di 90% di platino e 10% di iridio.
• Il secondo (s) è la durata di 9 192 631.770 periodi della radiazione corrispondente alla transizione tra i due livelli iperfini, da (F=4, MF=0) a (F=3, MF=0), dello stato fondamentale dell’atomo di cesio 133.
• Ilmetro (m) In origine (1793), venne definito come 1/40 000 000 del meridiano terrestre, ma nel 1983 venne ridefinito come la distanza percorsa dalla luce nel vuoto in un intervallo di tempo pari a 1/299 792 458 di secondo.
• L’ampere (A) è l’intensità di corrente elettrica che, se mantenuta in due conduttori lineari paralleli, di lunghezza infinita e sezione trasversale trascurabile, posti a un metro di distanza l’uno dall’altro nel vuoto, produce tra questi una forza pari a 2×10-7 Newton per metro di lunghezza.
• Il kelvin (°K) è definito come 1/273,16 della temperatura termodinamica del punto triplo dell’acqua.
• Lacandela (cd) Fino al 1979 era l’intensità luminosa, nella direzione perpendicolare di una superficie di 1/600 000 di m2 di un corpo nero alla temperatura di fusione del platino alla pressione di 101 325 Pa. Attualmente è definita come l’intensità luminosa, in una data direzione, di una sorgente emettente una radiazione monocromatica di frequenza pari a 540 · 1012 hertz e di intensità radiante in quella direzione di 1/683 di watt per steradiante (lo steradiante sr è l’unità di misura dell’angolo solido).
• Lamole (mol) è la quantità di sostanza di un sistema che contiene tante entità elementari interagenti quanti sono gli atomi di 0,012 kg di carbonio 12.
Unità pratiche
• Lunghezza – angstrom (Ǻ), anno-luce (aℓ)
• Tempo – minuto, ora (h), giorno (g), anno (a)
• Volume – litro (ℓ)
• Velocità – chilometro/ora (Km/h)
• Pressione – atmosfera (atm), millimetro di mercurio (mm Hg)
• Energia – elettronvolt (eV), chilowattora (Kwh)
• Calore – caloria (cal); grande caloria o kilocaloria (kcal)






Le unità SI permesse sono quelle delle tabelle precedenti (si osservi che l’Unità di Massa Atomica o AMU non fa parte del sistema SI ma è tutta via ammessa dalla maggior parte delle normative internazionali, anche se, per il momento, resta il kilogrammo campione l’unità di massa SI).
– Unità di misura vietate, tollerate e regole di scrittura




– Dimensioni e verifica dimensionale
– Potenze di dieci

– Alcune dimensioni date in potenze di dieci

Cosa vediamo?
Riporto di seguito delle immagini, aggiungendo un piccolo commento a ciascuna.

L’immagine data è un classico. Anche la domanda che segue è classica: cosa rappresenta l’immagine? Beh, se date una risposta avete messo a fuoco dei tratti fornendo voi un determinato ordine. Se infatti vedete una bella signora fine Ottocento rivolta verso la sua destra, avete stabilito delle corrispondenze tra la neutra immagine ed i vostri canoni interpretativi. Se, viceversa, nella foto vedete una vecchia che ha un nasone disegnato dalla leggiadra mandibola della signora di prima e che ha per bocca il collier della dama precedente, allora avete fornito, con i vostri sensi un’altra lettura dell’immagine che continua a restare la stessa.
Si può proseguire con altre immagini che possono essere lette in modo almeno duplice. Ne fornisco altre due scrivendo sotto di esse le due possibili letture.

Antilopi rivolte verso destra o teste di uccelli con becchi aperti verso sinistra?

1°) Un viso ghignante o una persona che chiede l’elemosina?
2°) Una coppa o due persone che si guardano fissamente negli occhi?

Una signora o Clinton al sax?

Uno o due volti?

Un teschio o una signora allo specchio?
Vi sono poi altri tipi di immagini che ci forniscono una realtà deformata per disturbi che vengono creati alla nostra vista. Inizio con una di esse (illusione di Zellner):

Gli otto segmenti obliqui tracciati sono perfettamente paralleli, eppure quei trattini disegnati in quel modo “rompono” il nostro modo di interpretare e noi non vediamo parallelismi. Analogamente nelle figure seguenti, si tratta sempre di rette parallele che per differenti “disturbi” non lo sembrano.

(illusione di Hering)




Di seguito incontriamo altre immagini che interpretiamo in modo non corretto.

Due archi di circonferenza identici che non lo sembrano.

La trasversale che taglia quei “segmentoni” paralleli è una retta, anche se sembra spezzata (illusione di Poggendorf).

Le aree “occupate” dai segmenti delle due figure sono identiche ed anche la lunghezza di ogni singolo segmento è la stessa (illusione della “pipa”).

Il segmento ab ha la stessa lunghezza del segmento bc (illusione di Müller-Lier).

Anche le due aree disegnate qui sopra sono identiche.
Andiamo ora a “vedere” altri disturbi che la nostra vista può subire. Nelle figure seguenti abbiamo dei quadrati che non lo sembrano.



Nelle seguenti abbiamo dei cerchi concentrici che sembrano delle spirali.



In quest’altra delle circonferenze che sembrano ovali:

Ulteriori errori di nostra valutazione possono discendere da altri disturbi. Nella figura seguente, il cerchio appare deformato:

Nella seguente, appaiono dei pallini neri che non vi sono:

In quest’altra, le dimensioni degli omini, rigorosamente uguali, sono falsate da un effetto prospettico:

Di interesse sono anche le immagini che seguono. Nella prima, una serie di segmenti sembrano sistemati su di un piano ma, organizzati opportunamente, forniscono una immagine tridimensionale:

Nella seconda, il cubo è proteso in avanti o è rientrante?

Altri due disegni, proposti da J. D. Barrow, tentano un avvicinamento a come funziona l’elaborazione cerebrale dei dati sensoriali. Nel primo, formato da anelli di punti, concentrici ed ugualmente spaziati; con ogni anello che contiene lo stesso numero di punti ed i punti di anelli alternati sono allineati in senso radiale. Da una parte quindi esistono queste strutture precostituite, dall’altra l’occhio percepisce tre schemi dominanti: anelli concentrici in prossimità del centro; “petali” di grandezza crescente ad una certa distanza dal centro; linee rette radiali vicino al perimetro.

Nel secondo (“disegno di Marroquin”) è evidente un flusso continuo di configurazioni differenti. L’occhio tende a ritrovare configurazioni circolari sempre più ampie che alla fine si dissolvono in più centri locali. Nel disegno vi è anche un’altra configurazione più sfuggente e che molti non riescono a vedere: una sorta di croce svizzera a dodici lati inscritta in ciascuno dei cerchi più grandi,

Un ultimo esempio di come l’occhio, il senso che per primo ci avvicina a conoscere, reagisce proviene dalle due immagini seguenti (disegnate da Morgan Sendall per l’esperimento di Sheldrake attraverso la TV):

Ebbene è interessante scoprire cosa nascondono

IL NOSTRO POSTO NELLO SPAZIO E NEL TEMPO








Il primo disegno schematizza la nostra galassia vista in sezione con le sue dimensioni approssimate. Il secondo mostra la galassia vista dall’alto (o dal basso). In ambedue i disegni figura il sistema solare, una cosa minuscola, microscopica, ai bordi della spirale, nella sua parte fossile, morente. Inoltre: il Sole gira intorno al centro della galassia con un periodo di 250.000.000 di anni e con una velocità di 200 chilometri al secondo. La stella più vicina al Sole, nella galassia, è Proxima Centauri che si trova solo a 4,26 anni luce. Per arrivarci, con le astronavi più potenti mai realizzate o pensabili, ci vorrebbero circa 100.000 anni.
Il diametro della galassia è 60.000.000 di volte più grande di quello del sistema solare (se la galassia fosse lunga come l’Italia – 1.100 Km – il sistema solare sarebbe grande come un seme di zucca – 1,5 cm -). In essa vi sono circa due miliardi di stelle (ad occhio nudo se ne vedono circa 6.000). La massa della galassia è molto piccola, 10-27 kg/cm3 (prevale di gran lunga il vuoto sulla materia), essa è pari a 100 miliardi di volte quella del Sole: ciò equivale a circa 1 o 2 neutroni (o protoni) per ogni centimetro cubo o ad un atomo di idrogeno ogni centimetro cubo. Per capire di cosa si parla si tenga conto che in ogni centimetro cubo di gas idrogeno, sulla Terra, vi sono circa 6.1023 atomi (600.000.000.000.000.000.000.000 atomi!!!).
Intorno alla galassia vi sono circa 200 ammassi stellari o ammassi globulari (si può arrivare a circa 100.000 stelle per ognuno).
E fino qui siamo nella “miseria” della nostra galassia con qualche periferia. Il fatto è che anche le galassie si raggruppano in ammassi. La nostra galassia fa parte di un ammasso di circa una ventina di esse situate entro un raggio di circa 4 milioni di anni luce dalla nostra. Il nome di questo ammasso è Gruppo Locale. Tra queste galassie vi è quella di Andromeda che è la più vicina alla nostra, circa 1,5 milioni di anni luce. La prima galassia, dopo quelle del Gruppo Locale, più vicina a noi è quella della Vergine (ammasso di circa 100 galassie). Essa dista circa 30 milioni di anni luce.
A tutt’oggi si conoscono oltre 100.000.000 di galassie che distano mediamente tra loro circa 50 volte il loro diametro medio. Gli ammassi di galassie distano da noi anche svariati miliardi di anni luce. Ad esempio il quasar OH 471 è stato osservato a 12 miliardi di anni luce.
Nell’ammasso della Chioma di Berenice vi sono circa 1.000 galassie che si estendono per 100 milioni di anni luce. Quest’ammasso dista da noi 300 milioni di anni luce. Ercole, che dista da noi 500 milioni di anni luce, è l’ammasso che sembra essere il più grande fino ad ora osservato.
Nell’ammasso di Perseo e Pesci vi sono svariati ammassi più piccoli (A 426, A 347, A 262, NGC 383, NGC 507) che sono allineati in modo da formare una sorta di filamento leggermente curvo. Ci troviamo a 200 milioni di anni luce.
Nell’ammasso di Perseo e Pegaso, vari ammassi più piccoli (20) formano un filamento a forma di serpente che si estende per un miliardo di anni luce.
Su questo si potrebbe continuare per migliaia di pagine. Vi sono altri argomenti da aggiungere con caratteri differenti: le galassie si allontanano l’una dall’altra ad una velocità media di circa 1.100 chilometri al secondo.

Vale la legge di Hubble: le galassie si allontanano tra loro ad una velocità direttamente proporzionale alle distanze che le separano. Il grafico seguente illustra la situazione: più le galassie sono lontane più sono dotate di elevata velocità.

Da questa figura si può fare un conto a ritroso. Percorrendo “a marcia indietro” il cammino delle galassie, si può tentare di capire qual è stato il passato e datare l’ipotetica origine dell’universo (ultimamente l’ipotesi del big-bang ha perso forza e si sta tentando di capire cosa mettere al suo posto).

Al centro vi è la nostra galassia. Sono poi state tracciate delle circonferenze di raggi 400.000 anni luce e 1.500.000 anni luce (ridotte in scala a 2 cm e 7,5 cm). Dentro di esse vi sono gli oggetti spaziali più importanti (i punti rappresentano delle stelle o dei gruppi di stelle mentre le spirali rappresentano delle galassie).

Questa figura è disegnata con una scala 300 volte più piccola della precedente. Qui vi sono delle circonferenze di raggi 300.000.000 di anni luce e 600.000.000 di anni luce (ridotte in scala a 5 cm e 10 cm). Il punto di intersezione della crocetta che vi è al centro rappresenta la prima figura! Ora un piccolo punto rappresenta un cumulo di meno di 50 galassie mentre un punto più grande rappresenta un ammasso di più di 50 galassie.
Cosa c’è oltre un raggio di 600.000.000 di anni luce dalla nostra galassia? Ancora moltissime cose che quotidianamente vengono osservate con sistemi diversi e sempre più sofisticati (abbiamo già detto che si sono osservati oggetti a 12 miliardi di anni luce, distanza che rappresenta una circonferenza con un raggio dalla nostra galassia 20 volte superiore all’ultima circonferenza che abbiamo considerato nella seconda figura).
Adesso si faccia l’operazione mentale di ritornare all’uomo, in questo infinitesimo di universo che è la buccia atmosferica in cui vive. Ci si renderà conto della sua effimera esistenza.
Se facciamo considerazioni sul tempo, a questo punto le cose non possono essere che semplicissime. Da quel ritorno indietro di cui si parlava a proposito della legge di Hubble, si stima una vita dell’universo materiale in 15 o 20 miliardi di anni. Basta. Cosa c’era prima? Non è dato per ora saperlo. Il tempo continuerà a scorrere come fino ad ora? Non è dato per ora saperlo. Questi sono i confini della nostra conoscenza attuale nell’ambito delle teorie fisiche accettate comunemente. E, si deve tener conto, che tali teorie nascono con l’uomo al centro dell’indagine.
Ora facciamo il seguente esercizio: andiamo in una porticina laterale che immette nella basilica di San Pietro. La porta è chiusa e noi possiamo vedere solo un infinitesimo di tale meraviglia complessa. Da questo poco che vediamo pretendiamo di descrivere la basilica, con tutti i pregiudizi che ci portiamo dietro. Siamo presuntuosi ma questa sfida è quella che ci fa crescere nella conoscenza.
L’adattabilità della vita
Si sa che la selezione naturale può indirizzare lo sviluppo della vita in modo tale da renderlo strettamente adeguato al proprio ambiente e da farlo cambiare con i cambiamenti dell’ambiente, se questi non hanno luogo troppo rapidamente.
Si pone, a questo punto, una domanda importante: fino a che punto le condizioni necessarie alla vita sulla Terra sono semplicemente un riflesso delle condizioni in cui si è sviluppata la vita terrestre? E fino a che punto sono indispensabili per qualsiasi forma di vita ? Siamo in grado, insomma, di stabilire qualche limite alle possibilità della selezione naturale di adattare la vita alle diverse condizioni ?
Sappiamo con certezza che le forme di vita più altamente sviluppate tendono ad essere più sensibili ai cambiamenti delle condizioni esterne in quanto sistemi chimico-fisici più complessi. Le forme di vita più semplici invece, anche sulla Terra, possono adattarsi alle condizioni più avverse:
– l’ossigeno libero nell’atmosfera non è affatto necessario alla vita di alcuni muschi ed alcune alghe;
– ad alcuni batteri che vivono in pozzi petroliferi ad oltre 4.000 metri di profondità non sembra necessaria la luce del Sole;
– il bacillo Boracicola vive a circa 90 °C in una soluzione al 10% di acido solforico mostrando disinteresse per temperatura ed acidità;
– altri batteri vivono nel cloruro di mercurio, potente veleno per qualsiasi altra forma di vita sulla Terra;
– certe muffe e certi batteri possono vivere a 3.000 atmosfere, con completo disinteresse per una pressione che stritolerebbe una portaerei;
– addirittura il lievito può vivere fino ad 8.000 atmosfere;
– a pressioni quasi nulle, ad altissime quote nell’atmosfera (22.000 metri), vivono altri batteri;
– spore e semi vivono patentemente nel vuoto mostrando che anche questa cosa non crea problemi.
Possiamo concludere come abbiamo iniziato: più elevata è la temperatura, più elevata la probabilità che molecole complesse si scindano e ciò sembra porre un limite superiore di temperatura per organismi viventi complessi; quando la temperatura si abbassa, c’è uno scotto da pagare: più la temperatura scende, più diminuisce la velocità delle reazioni chimiche, ed una “vita” a bassa temperatura sarebbe assai più “lenta” della vita terrestre [dove è scritto che la vita media deve aggirarsi sui 70 anni?].
Noi esseri umani siamo comunque abituati a vedere le cose dal nostro punto di vista. E’ evidente, ad esempio, che l’acqua sul pianeta Terra ha giocato un ruolo fondamentale. Ma altrove? Quanto qui detto mostra che noi umani ci serviamo sempre di un principio antropico, nelle sue formulazioni debole e forte.
Principio antropico debole
In un universo che è grande o infinito nello spazio e/o nel tempo, le condizioni necessarie per lo sviluppo di vita intelligente si troveranno solo in certe regioni limitate nel tempo e nello spazio. Gli esseri intelligenti di queste regioni non devono sorprendersi se osservano che il loro posto nell’universo soddisfa le condizioni necessarie alla loro esistenza [è come un ricco tra ricchi che non si accorge dei poveri]. Un esempio di questo principio antropico debole è il Big Bang. Esso sarebbe avvenuto un miliardo (109) di anni fa perché questo è il tempo approssimativamente necessario allo sviluppo di esseri intelligenti.
Principio antropico forte
Solo in mondi con le stesse condizioni del nostro si può sviluppare vita intelligente e gli esseri intelligenti di questi mondi si chiederebbero: perché l’universo è come lo vediamo? La risposta è semplice: se fosse stato differente noi non saremmo qui.
E’ da notare che su queste cose non discutono solo dei filosofi, ma fior fiore di fisici.
__________________________________________
SCIENZA E FILOSOFIA
Ho passato una vita a tentare di convincere i miei amici scienziati dell’importanza della filosofia per capire meglio il proprio agire in meccanismi a volte non controllabili. Il guaio della filosofia (ed anche della matematica) è che è fatta da filosofi (e la matematica da matematici). Ora queste limitazioni non avevano senso fino a che il mondo non aveva conosciuto la specializzazione, la separazione dei saperi, la parcellizzazione del lavoro. Prima (e questo prima deve pensarsi fino ai postumi della Rivoluzione francese che al massimo possono estendersi, rispetto a ciò che cerco di dire, fino alla prima metà dell’Ottocento) si aveva generalmente a che fare con intellettuali complessivi. Poi la specializzazione dei saperi, la complessità di essi, la suddivisione, quasi parcellizazione, sempre più spinta al loro interno,…, insomma addirittura un addetto ad una data disciplina che non riesce più a parlare con un suo collega che, nell’ambito della stessa disciplina, è entrato in una differente specializzazione, tutto questo ha reso sempre più difficile la comprensione del complesso, dell’insieme, … Abbiamo immagini da caleidoscopio ma siamo in possesso di una sola pietruzza: l’immagine complessiva ci sfugge completamente… Non riusciamo più a capire dall’esterno cosa accade alla scienza. La cosa inizia con strappi fortissimi nella storia interna. Faccio solo l’esempio dell’enfasi che si è data per ben 400 anni ai lavori di Galileo. Cosa dicono tutti coloro che hanno in qualche modo studiato il grande pisano? E’ l’inventore della dialettica mani-cervello; è colui che ha inventato il metodo sperimentale che, in definitiva, consiste in teorie che se non sono convalidate da esperienze restano nel limbo dell’incompiuto e, spesso, dell’irrazionale. Un’analoga rivoluzione è avvenuta nella seconda metà dell’Ottocento ma nessuno se n’è accorto. Nasce la fisica teorica con Maxwell, nasce la possibilità di teorizzare all’infinito senza riscontri sperimentali di alcun tipo, si realizza una rivoluzione comparabile con quella di Galileo … e la cosa non è nota ai più!
Nell’ambito della fisica ci si illude ancora, nelle Istituzioni ufficiali, di essere dei puri al servizio delle curiosità e della scienza incontaminata da misere vicende umane. Ma le cose arrivano alla loro definitiva rottura a Copenaghen nel Congresso Solvay del 1928. Si sancisce la separazione tra scienza e filosofia, si formalizza il fatto che ogni attività non strettamente attinente alla scienza, il chiedersi i perché, FA PERDERE TEMPO; si decide che l’efficienza non va d’accordo con i rompiscatole che chiedono, con quelli che vogliono sapere. Si sottintendono due cose: da una parte che la scienza, comunque e dovunque la si faccia è buona in sé (l’eredità neopositivista è sempre presente ed è una mostruosa malattia infantile della scienza); dall’altra che lo scienziato è in grado di capire e che l’organizzazione sociale non lavora mai contro l’uomo. Queste posizioni si affermarono come vincenti. I rompiscatole come Einstein e Planck persero.
Il discorso sarebbe lungo almeno come un libro che dovesse raccontare nei dettagli tutti gli eventi del Novecento. Taglio per ovvie necessità.
Proprio l’efficienza che domina tra gli scienziati, spesso impregnati inconsciamente di una ingenuità neopositivista, ha fatto si che sulle loro teste è passato tutto ed il contrario di tutto. Posizioni chiare e nette sono sempre state appannaggio dei rompiscatole. Gli altri, pur essendo dei giganti nei loro campi di attività, erano felici con il solo avere a disposizione i giocattoli con cui lavorare (importava poco chi li fornisse).
Da qui parte (o partiva) la lotta all’interno del sistema della ricerca scientifica perché la filosofia entrasse, non per far perdere tempo, ma per far comprendere e scegliere coscientemente. Ma qui urtiamo contro i filosofi o presunti tali, contro i tuttologi che fanno dei danni enormi perché fanno ritirare quei pochi che avevano aderito agli appelli dell’impegno, a causa delle castronerie quotidiane di cui si rendono artefici e ci fanno testimoni certi filosofi.
Sono almeno 150 anni che, nel mondo della scienza, e particolarmente in quello della fisica, nessuno ardirebbe sostenere che egli SA, egli è in grado di….,… Da tempo immemorabile ogni scienziato è al corrente degli enormi limiti della scienza, della provvisorietà di ogni conoscenza, dei limiti personali di conoscenza rispetto addirittura ad altri capitoli della disciplina di studio (è noto a chi lavora in un Istituto di fisica che un “particellaro” non è in grado di entrare in argomento con uno “strutturista” e viceversa).
I guai vengono da chi, dall’esterno, tenta di spiegare la scienza, costruendo recinti, paradigmi, dizionari, mondi, strutture logiche che, il più delle volte, sono parto della sola fantasia di chi, tra l’altro, non è mai stato un praticante sul campo della scienza. Insomma, arrivano alcuni filosofi che in gran parte si muovono su piani rinunciatari, lavorando su ogni scienziato che non abbia mai formalizzato. E così si sprecano gli studi su Galileo (saltando con cura i Discorsi e dimostrazioni matematiche!), su Cartesio (ma solo nella parte dell’Introduzione al Discorso sul Metodo, il resto è troppo difficile!), su Leibniz (ma senza entrare nella formalizzazione delle monadi perché lì occorrerebbe entrare nel calcolo differenziale!), su ogni scienziato che ha scritto e parlato senza perdersi in troppe formule,… Questi filosofi sono le calamità, sono personaggi che tentano giudizi sulla scienza conoscendo quasi nulla di essa ed in gran parte di seconda mano. A questo si deve poi aggiungere il disastro di Comte che seleziona, cataloga, classifica le scienze immettendovi discipline che di scientifico non hanno mai avuto nulla (compresa la Sociologia che piace tanto a Popper per essere egli stesso un sociologo e non un filosofo). Ma inizia anche un movimento di scienziati che inizia a discutere di scienza (si pensi a Mach, ad Otswald, a Boltzmann, a Wittgenstein,…) proprio in quell’epoca in cui inizia la separazione tra il lavoro teorico e sperimentale dello scienziato. Siamo nella “mittle-europa” della fine dell’Ottocento, nei circoli di Vienna, di Berlino,… Ma la cosa coinvolge anche la Francia di Poincaré e la Gran Bretagna di Russel (in Italia siamo alle disquisizioni tra Rosmini e Gioberti sulla libera Chiesa in libero Stato). Ho citato scienziati che, dalla loro formazione scientifica, discutono di scienza e di filosofia. Non si trovano filosofi che possano opinare di scienza se la scienza non la conoscono. E conoscere la scienza non vuol dire conoscere alcuni risultati più o meno ben divulgati, ma essere entrati in istituzioni a fare per un certo periodo della ricerca scientifica.
Quando si conosce, per averlo vissuto, il modo di lavorare (o uno dei modi di lavorare) del ricercatore scientifico, quando si è padroni di alcuni pezzi di qualche disciplina scientifica, è allora possibile entrare in argomento e costruire una teoria epistemologica, una ricostruzione plausibile del modo di lavorare dello scienziato (o di “quello” scienziato). In caso contrario è facile scadere in luoghi comuni, in affermazioni mai realmente comprese, in sciocchezze, nel rifugiarsi in parti estranee all’ambito scientifico toccate da tale studioso. Si può addirittura fare il gioco di chi è più bravo ad inventare, quando poi le confutazioni sono solo a livello di libero dibattito, senza possibilità di un qualunque arbitro. Si chiamano volgarmente idee in libertà. Come fa infatti uno scienziato, supposto che ne abbia voglia (e se ne ha voglia, la avrà solo in età avanzata, quando la creatività sul campo della ricerca di frontiera avrà lasciato il posto a riflessioni e all’organizzazione della scienza medesima), a spiegare a un epistemologo di provenienza filosofica che non ha capito l’essenza dei problemi? Si parla con una persona che generalmente non conosce l’argomento del contendere. E’ un poco come i pedagoghi che spiegano come insegnare senza aver mai avuto a che fare con una classe, con un corso di studi, per almeno un ciclo completo.
Inizio allora ad entrare in argomenti ed in esemplificazioni più specifiche, partendo da dei dati che meritano di essere conosciuti.
Richard Feynman
Quella di R. Feynman è l’esemplificazione più clamorosa che avevo in mente quando iniziavo ad argomentare nella premessa. Questo scienziato, tra i più grandi del Novecento, così scriveva nelle sue famosissime ed ineguagliate Lectures on Physics del 1964 (Vol. I, pag. 16-1):
“These philosophers are always with us, struggling in the periphery to try to tell us something, but they never really understand the subtleties and depths of the problem.”
[Questi filosofi sono sempre con noi, si affannano per cercare di dirci qualcosa, ma non comprendono mai realmente le sottigliezze e la profondità del problema].
L’altra è del famoso storico della scienza Stillman Drake. In un suo saggio, “Il Dialogo di Galileo: Al discreto lettore” (“Scientia“, vol. 117, 2, 1982, p. 267), egli scrive:
“In tempi recenti si è venuto manifestando un grande fastidio nei confronti del Dialogo sui Massimi Sistemi, allorché la storia della scienza è passata dalle mani degli scienziati a quella dei filosofi e dei sociologi“.
Ecco, era contro questo atteggiamento, molto diffuso, che ho fatto il Quijote. Non è questione di aver vinto o perso; di essere riuscito a salvare la mia Dulcinea. Era il tentativo di chi ha fatto il fisico in laboratorio di aprire le menti all’interpretazione della realtà che andasse al di là del mero fatto empirico o scientifico. Intravedevo un mondo complesso che non poteva essere racchiuso in qualche formula. Dal mio punto di vista di fisico volevo approfondire la conoscenza ed inserire il mio lavoro, il mio operare quotidiano in un contesto più ampio, che avesse una sorta di significato. Anticipo che, dopo tanti anni, il problema si è completamente rovesciato: di fronte alla modestia ed alla consapevolezza di una conoscenza limitata del mondo della scienza, si ha la immensa presunzione di alcuni filosofi che credono, DALL’ESTERNO, di aver capito di poter stabilire regole in una macchina che non conoscono perché l’ hanno solo vista dall’esterno, nella sua estetica fuorviante che non ha nulla a che vedere con i cicli termodinamici che regolano il suo funzionamento. Oggi dovrei cominciare in modo diverso, dovrei dire che i supposti filosofi, i cialtroni, devono stare alla larga perché sono controproducenti al fine di conciliare, in qualche modo, le due culture. Esempi di questo tipo ne abbiamo tanti, troppi. E richiedono interventi decisi, dissacratori e di denuncia del loro essere piazzisti del potere. Un certo Pera è persona di questo tipo che merita attenzione perché sulla falsificazione e l’ignoranza è assurto alla seconda carica dello Stato. Ma Pera non è che un’ombra deformata che ha tentato il successo attraverso personaggi che muovendosi nell’equivoco della conciliazione tra culture, spaventano i più, quelli che invece, se va bene, dicono con orgoglio che loro, di scienza non hanno mai capito nulla. E’ un mascherarsi dietro la scienza per costruirsi una corazza che dovrebbe difenderli. Da un parte i “letterati” non si azzardano, dall’altra gli scienziati non perdono tempo… Ed i cialtroni hanno buon gioco. Ma per comprendere meglio vediamo cosa è accaduto qualche anno fa.
Alan Sokal e Jean Bricmont
Era il maggio 1996. La rivista culturale americana (di gran moda e con numerosi lettori) Social text, pubblica un articolo di Alan Sokal, fisico dell’Università di New York. Cosa c’è di straordinario?
Il titolo del lavoro è: Violare le frontiere: verso un’ermeneutica trasformatrice della gravità quantistica. (*) Apparentemente il lavoro sembra rimettere in discussione tutte le conoscenze, le basi, su cui si fonda la fisica (e non solo) contemporanea ed ufficiale. Secondo questo articolo, la scienza occidentale non è altro che una imposizione di dogmi e tra questi vi è anche quello che vorrebbe un mondo esterno conoscibile. Gli studi di questi ultimi anni, secondo questo lavoro, soprattutto ad opera di femministe, omosessuali, movimenti alternativi, ha dimostrato che la realtà fisica oltre che quella sociale non è altro che è una costruzione sociale e linguistica. L’imbroglio delle verità scientifiche, se lo si smaschera, è alla base delle incomprensioni tra le varie culture. Esiste un mondo esteriore le cui proprietà sono indipendenti da qualunque essere umano considerato come individuo e addirittura dell’umanità nel suo insieme. Occorre sbarazzarsene. Il lavoro prende vari spunti casuali da teorie con nomi roboanti. E così, se da una parte si dice che l’unica teoria che è sostenibile, perché capace di far capire il misterioso fenomeno della non linearità, che occuperebbe una posizione centrale in tutta la matematica futura, è quella del caos, dall’altra si inizia una discussione della gravità quantistica, nuova branca della fisica in cui si trovano sintetizzate e superate ambedue le branche più importanti della fisica, la meccanica quantistica di Heisenberg e la relatività generale di Einstein. Nel suo argomentare Sokal dice cose sconvolgenti (o ridicole, dipendendo da chi legge), come le seguenti:
Il gruppo d’invarianza infinito-dimensionale erode la distinzione tra osservatore ed osservato; il p di Euclide e la G di Newton, un tempo considerate costanti universali, sono ora viste nella loro ineluttabile storicità… Le grandezze o gli oggetti che sono in linea di principio inosservabili – come i punti dello spazio-tempo, le posizioni esatte delle particelle o i quark ed i gluoni – non dovrebbero essere introdotti nella teoria….Inoltre i numeri complessi [introdotti addirittura nel Rinascimento, n.d.r.] sarebbero una branca recente ed ancora del tutto congetturale della fisica matematica, mentre la cibernetica avrebbe vinto la sua battaglia contro la meccanica quantistica.
In pratica, gran parte della fisica moderna deve essere bandita dalla scienza.
L’articolo era pieno di assurdità, mancava ogni logica, i concetti erano slegati totalmente o collegati in modo assolutamente errato. Fu accettato ed addirittura pubblicato in un numero speciale della rivista che aveva lo scopo di controbattere le tesi di alcuni scienziati contro il postmodernismo ed il costruttivismo sociale. Sokal e Bricmont (fisico dell’Università cattolica di Lovanio) osservarono in seguito che non vi era miglior modo per la rivista per tirarsi la zappa sui piedi.
Quasi in contemporanea, Sokal pubblica un altro articolo sull’altra rivista americana, Lingua Franca, articolo nel quale svela il suo aver costruito un articolo che voleva essere una parodia, era volutamente pieno di sciocchezze, di assurdi, di falsi. Aggiunge inoltre che, però, tutte le citazioni dei filosofi postmoderni e costruttivisti erano rigorosamente esatte. Il fine iniziale di Sokal era di ridicolizzare alcune branche della filosofia ed alcuni filosofi che si gettano sulle parole e sulle teorie della fisica, pontificandovi sopra senza averle realmente mai comprese. La cosa andò poi molto più in là e sollevò vespai in tutto il mondo. Sokal e Bricmont pubblicarono successivamente (1998) un libro, Le imposture scientifiche dei filosofi (post)moderni (l’appendice A di questo libro riporta tutto l’articolo dello scandalo), in cui analizzarono nei dettagli le posizioni di svariati filosofi che avevano operato o operavano nel modo suddetto (Lacan, Kristeva, Duhem, Quine, Kuhn, Feyerabend, Latour, Irigaray, Baudrillard, Deleuze, Guattari, Virilio, Jankélévitch, Merleau-Ponty,…..e,….udite, udite,…..Karl Popper).
Tralascio tutto il resto perché dovrei riscrivere questo bellissimo libro e mi soffermo invece su Popper (e siamo solo nell’ambito scientifico, ancora in quello che Pera neppure immagina esistere). Si tratta delle cose che adombravo nella introduzione: vi sono persone ansiose di mettere il cappello su cose non loro e che neppure conoscono (figuriamoci chi vuole mettere il cappello a chi già ce l’ ha, a chi si costruisce una presunta fama discutendo di quello che ha discusso un altro su cose che si conoscono solo indirettamente). E’ un poco un vezzo in Italia. Quando si chiede chi è Buttiglione, si risponde: è allievo di Del Noce. Caspita, ma chi è del Noce?….silenzio o, al massimo, “è il padre di quel forzitaliota della RAI”. E chi è Pera? E’ uno che ha studiato Popper. Caspita, non conveniva studiare le fonti ed essere originali? Di questo passo arriveremo agli studiosi di Pera ed a quelli che studieranno questi ultimi, con un incartarsi inutile sul vuoto assoluto. Anche io ho studiato Popper e mi ritrovo in quanto sostengono Sokal e Bricmont. Ma questo non è un titolo di merito. E non lo deve essere per nessuno! Come l’essere onesti che oggi è presentato come una credenziale.
– APPUNTI SULLA MISURA





– FORZE IN GENERALE






– LA MAPPA DELLA FISICA

- IL RIFERIMENTO
– Destra e sinistra
– Giorno e notte
– Grande e piccolo
– Su e giù
– Che forma ha ?
– Salita e discesa
– Verso orario ed antiorario
Il problema del moto
Tutti crediamo di essere in grado di stabilire se un oggetto si muove o sta fermo. Vediamo un’auto su di una strada e siamo facilmente in grado di stabilire se è ferma o è in moto. Siamo in grado di stabilire quando il treno si muove per entrare in stazione e quando infine si è fermato.
Proviamo però a pensare a quante volte ci siamo trovati profondamente in imbarazzo, proprio in una stazione. Ci siamo trovati su di un treno fermo che aspettava una coincidenza. La coincidenza arrivava e si fermava. Dopo un po’ avvertivamo un movimento. Quale treno si stava spostando? Quello su cui ci trovavamo noi o l’altro arrivato da poco? Occorreva sporgersi dal finestrino e fissare il marciapiede (o un traliccio, un edificio … ) per stabilire chi si muoveva.
Poiché il marciapiede era immobile rispetto al nostro treno allora era l’altro treno che si stava spostando. Oppure vale il viceversa.
Anche qui dobbiamo cercare un riferimento rispetto al quale dire mi muovo io o ti muovi tu. Ma se non possiamo affacciarci da un finestrino, se cioè ci troviamo dentro un vagone blindato (per carità è solo un esercizio teorico!) completamente chiuso verso l’esterno, abbiamo modo di capire se il treno si muove o sta fermo?
Allora io sto seduto dentro il vagone e penso a come risolvere il problema. Sto passando il tempo tirando una chiave verso l’alto e facendola ricadere sul palmo della mano.
Quello che mi viene in mente è subito che questo gioco posso farlo anche quando sto fermo sulla terra. Posso allora concludere che finché, stando in equilibrio, posso giocare tirando la chiave verso l’alto ed aspettando che perpendicolarmente mi ricada tra le mani, allora sto fermo, mi trovo cioè nella condizione in cui mi trovavo quando giocavo allo stesso modo sulla terra.
Quando all’interno del vagone non posso più continuare questo gioco in quanto non riesco più a stare in equilibrio e non riesco più a giocare con la chiave che non cade più perpendicolarmente allora dico che sono in movimento.
Pensiamo meglio a quanto ho fin qui detto. Se mi trovo su un normale treno, in un normale vagone, posso versare tranquillamente dell’acqua in un bicchiere quando il treno è fermo in stazione. Ma l’acqua nel bicchiere la posso versare tranquillamente anche quando il treno corre su di un rettilineo con una velocità costante. Nel caso, quindi, di moto rettilineo con velocità costante le cose vanno come quando si sta fermi in stazione. Solo quando il treno parte accelerando o si ferma frenando o fa una curva, allora non ho più né la mia situazione di equilibrio né degli oggetti che mi stanno intorno, fatto questo che mi permetteva di fare qualsiasi gioco od esperimento.
Insomma quando le cose vanno come quando sto fermo non sono in grado di dire se sto in moto e viceversa.
L’unico modo per accorgermi se sto in moto è che questo moto sia accelerato (accelerazione positiva o negativa, accelerazione lineare o centripeta).
In conclusione il moto rettilineo con velocità costante e la quiete in qualche modo si equivalgono.
Il problema del riferimento
Abbiamo visto poco fa che, in stazione, quando ci si trova su uno di due treni fermi e ne parte uno abbiamo difficoltà a capire quale di questi treni si sta spostando. Occorre riferirsi al marciapiede (od altro di “fermo”) per capirlo.
Ed anche se si pensa a tutte le esemplificazioni fatte in apertura del lavoro, ci si accorge che fissando un sistema di riferimento è possibile dare un significato preciso a tutte le espressioni portate ad esempio.
E’ quindi chiaro che la scelta di un riferimento diventa fondamentale per la descrizione univoca di un fenomeno.
Infatti lo stesso fenomeno se osservato da riferimenti diversi può presentarsi con descrizioni diverse e quindi, in definitiva, apparire diverso.
Ebbene il problema della ricerca di un riferimento privilegiato che per le sue caratteristiche fosse assoluto è stato un problema che ha accompagnato l’uomo per molti secoli.
Quello che ora cercherò di fare è dare delle esemplificazioni, di argomento astronomico, sulla prima questione posta cioè sul fatto che da diversi riferimenti si hanno descrizioni diverse dello stesso fenomeno.
La ricerca del riferimento assoluto sarà invece discussa più avanti avvertendo però che essa fa da sottofondo a qualunque storia della relatività.
Che traiettoria segue ?
La disputa sistema tolemaico – sistema copernicano è fin troppo nota per cui tutti oggi son convinti che “davvero” è la Terra che ruota intorno al Sole.
Ebbene niente di più “falso”: in realtà è il Sole che ruota intorno alla Terra. Non rimanete atterriti da quanto sto dicendo, semplicemente pensate che: non c’è niente da fare, guardando dalla Terra è il Sole che comincia ad alzarsi dall’orizzonte, ci passa sulla testa e di nuovo si riabbassa sull’orizzonte. E poi anche il linguaggio che usiamo dà ragione a questo modo di essere delle cose: “il Sole sorge”, “il Sole tramonta”, … E’ quindi il Sole il soggetto che si muove, mentre la Terra è passiva, non agisce in alcun modo.
Allora Copernico ha sostenuto cose non “vere”? Neanche per idea, solo che Copernico ha cambiato sistema di riferimento; mentre le nostre osservazioni dalla Terra non possono farci vedere altro che la rotazione del Sole intorno a noi, se ci spostassimo sul Sole allora vedremmo la Terra ruotarci intorno.
Indicando il Sole con S, la Terra con T, la Luna con L e l’osservatore con X, nelle figure seguenti sono riportate varie traiettorie dei corpi celesti in oggetto al variare della posizione dell’osservatore (al variare cioè del sistema di riferimento):

Le traiettorie viste nelle figure da 8 ad 11 sono abbastanza intuitive; per vedere invece altre esemplificazioni occorrono piccole informazioni aggiuntive. Per esempio tutti sanno che la Luna ruotando intorno alla Terra mostra a quest’ultima sempre la stessa faccia il che significa che stando sulla Luna ed in particolare su quella faccia si vede la Terra costantemente, magari ruotante su se stessa, ma la si vede sempre.
Questo fatto significa che dalla Luna la Terra la si vede “ferma” (fig. 12). (E se uno si trova nell’altra faccia della Luna, invece, la Terra non la vede mai).

Se ci andiamo a sistemare poi su di una stella della galassia rispetto alla quale il Sole si allontana a velocità pressoché costante, allora troviamo che la traiettoria della Terra rispetto a noi, che siamo su questa stella, è rappresentata dalla fig. 13.

Esempi più interessanti di strane traiettorie provengono dall’osservazione dei cosiddetti “moti retrogradi” dei pianeti.
E’ noto che tutti i pianeti descrivono intorno al Sole orbite ellittiche (con piccola eccentricità, a parte Plutone), per cui guardando dal Sole per un periodo pari, ad esempio, ad un mese osserveremmo Marte descrivere l’arco di ellisse AB riportato in fig. 14.

Osservando Marte per lo stesso periodo di tempo dalla Terra ci potrebbe capitare di vedere una traiettoria ben strana, ad esempio, quella riportata in fig. 15.

Come si può vedere se il verso di rotazione di Marte intorno al Sole va da A a B per un certo tratto sembra che Marte vada in verso opposto cioè da B verso A. Questo tipo di moto, che per il motivo ora visto è chiamato retrogrado, fece impazzire molti studiosi del cielo dell’antichità. Esso non riguarda solo Marte in un certo periodo, ma Marte e tutti gli altri pianeti in più periodi diversi. Vediamo in breve com’è possibile un moto retrogrado.
Per capire il problema occorre presentare i soggetti che sono il Sole, la Terra, il pianeta che si osserva con moto retrogrado (ad es. Marte), le stelle fisse che fanno da sfondo e da riferimento fondamentale, tutti rappresentati in fig. 16a.

Poiché la Terra impiega meno tempo a fare un giro completo intorno al Sole di quanto ne impieghi Marte, essa si trova periodicamente a sorpassare questo pianeta. L’effetto del sorpasso è che il pianeta Marte, dalla Terra, è visto proiettato in posizioni più arretrate delle stelle fisse e quindi sembra che esso marci per un certo tratto in verso opposto: il tutto è riportato in fig. 16a (mentre in fig. 16b c’è la schematica spiegazione del moto retrogrado di un pianeta interno come Mercurio o Venere).
Per concludere questo paragrafo è interessante notare quanto relative siano a volte alcune nostre affermazioni.
“Sono stato tutto il giorno fermo“: questa frase la si dice spesso e chi la dice si riferisce evidentemente alle pareti della stanza rispetto a cui egli non si è mosso. Ma vediamo come in “realtà” chi è stato “immobile” si sia mosso: egli si trova sulla Terra che viaggia a 30 Km/sec intorno al Sole. Il Sole si muove con la velocità di 21 km/sec rispetto ad un insieme di un limitato gruppo di stelle (sistema locale) appartenenti alla galassia. Questo sistema corre rispetto alla Via Lattea con la velocità di oltre 300 km/sec. La stessa Via Lattea è animata di un moto di rotazione attorno alla propria zona centrale (sembra che il Sole compia un giro completo in 225.000.000 di anni). Infine il nostro universo se ne va alla deriva, probabilmente con enorme velocità, rispetto alle galassie esterne. Ebbene se solo ci disponiamo su una galassia esterna e guardiamo colui che si riteneva immobile dentro la stanza lo vedremo piroettare, saltellare, correre a velocità incredibili.
Categorie:Fisica
Rispondi