Ingegneria Meccanica – Roma Tre
AA/2011-2012
APPUNTI PER IL CORSO
(Ripresi integralmente e da me assemblati dai testi di bibliografia)
Roberto Renzetti
Bibliografia: Paul J. Tipler, Gene Mosca – Corso di Fisica – Zanichelli, 2009
Jay Orear – Fundamental Physics – John Wiley & Sons Inc, 1967
F.W. Sears, M.W. Zemansky – University Physics – Addison-Wesley Publishing Company, 1964
M. Alonso, E.J. Finn – Fundamental University Physics – Addison-Wesley Publishing Company, 1969
R. Renzetti – Vari appunti miei raccolti negli anni e pubblicati nel mio sito
PARTE SESTA
TERMODINAMICA
6 – Introduzione alla termodinamica
ALCUNE DEFINIZIONI
– Sistema termodinamico: ogni insieme di oggetti che noi vediamo interagire tra loro, senza che dall’esterno intervenga qualcosa a modificare le nostre osservazioni.
Si tratta quindi di costruirsi un sistema osservato che non abbia o abbia il minimo di interazioni con l’esterno. Se qualche relazione vi fosse occorrerebbe includere nel sistema osservato quell’agente esterno che crea l’interferenza. Esempio: un appartamento è un sistema isolato per certe osservazioni che non richiedano acqua, elettricità, gas, … che vengono dalla rete esterna. Se per l’osservazione occorrono acqua, gas ed elettricità, si possono inserire nell’appartamento serbatoi d’acqua, bombole di gas e generatori di corrente con il relativo carburante. Questi oggetti saranno presi in considerazione nella descrizione iniziale del sistema. In quanto dico è escluso però l’uso della luce e del calore del Sole. Per continuare a parlare del sistema termodinamico appartamento devo chiudere le tapparelle. Così come devo chiudere gli scarichi del bagno. Non sarò ancora in un sistema isolato (i rumori, ad esempio continuano) ma mi ci avvicino via via di più. La stessa Terra è un sistema termodinamico ben isolato per certe esperienze (pensate ad esempio allo studio del moto browniano o della caduta di un sasso). Ma non lo è per altre come ad esempio le maree. In tal caso neppure basta tener conto di Luna e Sole. Per uno studio completo occorre tener conto dell’intero universo. Ecco, l’intero universo è di per sé un sistema perfettamente isolato. Peccato che è un’astrazione filosofica: non sappiamo di altri universi, non conosciamo i suoi limiti e quindi il suo eventuale isolamento solo supposto.
– Osservazioni: le osservazioni che noi possiamo fare su di un sistema sono di tipo macroscopico. Equivalgono ad una media nello spazio e nel tempo di numerose osservazioni microscopiche (per intenderci, la pressione di un gas – grandezza macroscopica – è la somma degli urti delle sue particelle su una superficie).
– Equilibrio: un sistema è in equilibrio quando i valori delle variabili termodinamiche (pressione P, volume V, temperatura T) non variano nel tempo.
– Trasformazione: un sistema che cessa di essere in equilibrio sta subendo una trasformazione.
TRASFORMAZIONI
Supponiamo di avere un piano P,V (pressione, volume) e di fissare una data temperatura T. Un punto A su questo piano rappresenta un sistema termodinamico in equilibrio (Fig. 1a) ed un sistema è in equilibrio termodinamico quando i valori delle variabili termodinamiche (P, V, T) non variano nel tempo. Supponiamo ora che questo sistema si sposti dall’equilibrio (facendo variare P e V) fino ad arrivare ad un punto B dello stesso piano.

Figura 1a Figura 1b
Ora, B rappresenta ancora un sistema termodinamico in equilibrio. La linea che unisce A e B rappresenta invece la trasformazione (Fig. 1b). Più in generale, una trasformazione è un processo in cui muta il valore di una o più variabili termodinamiche. Di tali trasformazioni ve ne sono di infiniti tipi. Ai nostri fini è utile indicarne alcune che hanno una qualche particolarità: le trasformazioni isobare, quelle isocore o isovolumiche, quelle isoterme, quelle adiabatiche, quelle cicliche. In breve, tali trasformazioni godono delle proprietà illustrate nel seguito. [osservo a margine che, cambiando il piano, cambiano anche le curve che rappresentano le trasformazioni. Avremo modo più oltre di vedere un esempio di un piano entropia temperatura: S,T]
Trasformazioni isobare
Una trasformazione è isobara, quando si realizza a pressione costante. Si passa quindi da uno stato di equilibrio A ad uno B, facendo variare volume e/o temperatura ma mantenendo costante la pressione. In un piano P,V tale trasformazione si rappresenta con una retta parallela all’asse del volume (Fig. 2), essendo la sua una semplice funzione P = P0 = costante.

Figura 2 Figura 3
Trasformazioni isocore
Una trasformazione è isocora, quando si realizza a volume costante. Si passa quindi da uno stato di equilibrio A ad uno B, facendo variare pressione e/o temperatura ma mantenendo costante il volume. In un piano P,V tale trasformazione si rappresenta con una retta parallela all’asse della pressione (Fig. 3), essendo la sua una semplice funzione V = V0 = costante.
Trasformazioni isoterme
Una trasformazione è isoterma, quando si realizza a temperatura costante. Si passa quindi da uno stato di equilibrio A ad uno B, facendo variare pressione e/o volume ma mantenendo costante la temperatura. In un piano P,V tale trasformazione si rappresenta con una iperbole equilatera riferita ai propri assi (Fig. 4), essendo la sua una semplice funzione PV = nRT = costante (poiché lungo tale linea la temperatura si mantiene costante, n è il numero costante di moli del gas ed R è la costante universale dei gas).

Figura 4 Figura 5
Trasformazioni adiabatiche
Una trasformazione è adiabatica, quando si realizza in un sistema che non scambi calore con l’ambiente esterno. Si passa quindi da uno stato di equilibrio A ad uno B, facendo variare pressione e/o volume e/o temperatura ma mantenendo l’isolamento totale con l’ambiente esterno. In un piano P,V tale trasformazione si rappresenta con una curva un poco più complessa di una iperbole equilatera (Fig. 5), avendo per equazione la funzione P.Vg = costante, dove l’esponente g è il rapporto cp/cv tra i calori specifici a pressione costante ed a volume costante del gas che subisce la trasformazione; tale quantità vale circa 2 (ricaveremo più oltre l’equazione che definisce una adiabatica). Osservando che l’entropia è definita come DS = DQ/T (si veda oltre), essendo invece l’adiabatica una trasformazione a DQ = 0, per l’entropia, in una adiabatica, risulta: DS = 0. Ciò vuol dire che non vi sono variazioni di entropia e quindi che l’entropia dello stato finale coincide con quella dello stato iniziale del sistema. Ciò fa chiamare le trasformazioni adiabatiche anche isoentropiche. Osservo a margine che proprio questa ultima proprietà di queste trasformazioni, fa capire che esse sono trasformazioni ideali, non esistenti in natura, ma utili come limite superiore alla realizzazione di una certa trasformazione.
Trasformazioni cicliche
Ogni trasformazione che, partendo da uno stato di equilibrio A, ritorni ad esso dopo un percorso qualunque nel piano P,V (o qualunque altro piano) è una trasformazione ciclica (Fig. 6). Evidentemente i grafici di tali trasformazioni sono linee sempre chiuse.

Figura 6
Trasformazioni reversibili ed irreversibili
Qui il discorso diventa delicato. Si definisce trasformazione reversibile una trasformazione che, essendo partita da uno stato A per arrivare ad uno stato B, ritorna da B ad A per lo stesso identico percorso. In realtà una tale trasformazione non esiste in natura perché è impossibile creare dei processi che ci facciano tornare sugli stessi identici passi (questo è un possibile enunciato del 2° Principio della termodinamica, come si capirà in seguito). Faccio un esempio che ritengo assolutamente chiaro. Se si considera una ordinaria siringa con un tappo in luogo dell’ago, possiamo pensare una trasformazione elementare come la seguente: solleviamo lo stantuffo per un centimetro. Sembra semplice pensare che la trasformazione può essere ripercorsa in senso contrario con il solo abbassare lo stantuffo di un centimetro. Questo corrisponde alla visione ingenua della realtà. Pensiamo bene. Lo stantuffo, per essere tale, deve aderire bene alle pareti del cilindro, deve cioè fare attrito con esse. L’attrito, è esperienza comune, produce calore. Nel sollevare lo stantuffo produciamo calore (piccola quantità ma certamente diversa da zero). Quando proviamo a pensare la trasformazione “reversibile, quella che dovrebbe riportarci alle condizioni iniziali per lo stesso identico cammino, dobbiamo riferirci a quello stantuffo che fa il percorso inverso. Ma, nel fare tale percorso, di nuovo lo stantuffo produce calore per attrito. Per intenderci: affinché la trasformazione fosse reversibile, rispetto a questo fenomeno, sarebbe necessario che quando lo stantuffo fa il percorso inverso, l’attrito, anziché produrre calore, dovrebbe togliere calore, dovrebbe cioè raffreddare invece di riscaldare. E ciò non è, non può essere in alcun modo. Ho fatto solo un esempio ma, se si pensa con attenzione, ogni fenomeno che sta dietro una trasformazione, prevede, in un modo o in un altro sviluppo di calore. Se si prova a tornare indietro si sviluppa ancora calore e non c’è modo di sottrarlo come in teoria si dovrebbe. Quindi, senza indugiare oltre ribadiamo che: in natura non esistono trasformazioni reversibili, con la conseguenza che tutte le trasformazioni sono irreversibili. Ma allora perché se ne parla ? Perché si introducono ? Come vedremo oltre è di grande utilità conoscere i limiti ai quali possiamo tendere senza illuderci di poterli raggiungere o, peggio, superare. Con quel limite lì, sappiamo che dobbiamo lavorare per migliorare le nostre trasformazioni fino ad avvicinarci il più possibile a quel livello. E come è possibile avvicinarci ad una trasformazione reversibile? Una trasformazione, in assenza di attrito, se è pensata come una successione continua di stati di equilibrio è una trasformazione reversibile (noto che, evidentemente, è impossibile in natura realizzare una successione di stati di equilibrio). Per ottenere una trasformazione che si avvicini alla reversibilità occorre: che sia assente l’attrito; che gli scambi di calore avvengano tra corpi a temperature quasi uguali; le variazioni di volume devono essere lentissime. Esempi clamorosi di trasformazioni irreversibili sono: trasformazioni con attrito; passaggio di calore da un corpo caldo ad uno freddo; espansione di un gas da un recipiente ad un recipiente vuoto (senza lavoro verso l’esterno); mescolamento di due gas; diffusione di due liquidi miscibili; esplosione di una sostanza.
7 – Il lavoro in termodinamica
E’ noto che l’espressione per il lavoro nella meccanica tradizionale (concetto affermatosi durante l’Ottocento) è il prodotto scalare tra forza esercitata e spostamento provocato: L = F x Δs (dove con F si è indicata la forza, con x il prodotto scalare e con Δs lo spostamento). Ora, riferendoci ad esempio al moto di un pistone in un cilindro non si vede subito cosa dovrebbe essere F e Δs (in questo caso il prodotto scalare può essere sostituito da un prodotto ordinario in quanto F e Δs sono certamente paralleli). Se si osserva bene, però, ci si rende conto che la spinta del vapore sulla superficie del pistone è la pressione P; lo spostamento del pistone Δs comporta una variazione del volume ΔV del vapore nel cilindro. Più immediata è quindi un’espressione che metta in relazione queste ultime due grandezze rispetto a quelle della definizione tradizionale di lavoro nella meccanica. Dal punto di vista dimensionale F.Δs (il prodotto scalare non altera le dimensioni) ha le stesse dimensioni di P.ΔV (per ottenere P si è divisa F per la superficie S del pistone; per ottenere ΔV si è moltiplicato lo spostamento Δs del pistone per la superficie S del medesimo; in definitiva si è moltiplicato e diviso per la medesima quantità).

[Si trova che ΔL = F.Δs = P.S. Δs = P. Δ(Ss) = P.ΔV. I differenziali danno dL = PdV. La convenzione che poi dovremo cambiare dice che ΔL > 0 per ΔV > 0 (lavoro fatto dal sistema) e che ΔL < 0 per ΔV < 0 (lavoro fatto sul sistema)]
E’ ora interessante vedere graficamente il significato della relazione P.DV. Lo faccio nel caso più evidente, fermo restando che il risultato può essere esteso a qualsiasi trasformazione. Se si considera, ad esempio, una trasformazione isobara AB in un piano P,V (Fig. I), si vede subito che il prodotto dell’altezza P per la base ΔV fornisce l’area della parte tratteggiata (un rettangolo): ciò vuol dire che per fare quella trasformazione si è fatto quel lavoro e la cosa è d’interesse perché rende visivamente il lavoro necessario per fare una trasformazione (o quello che otteniamo da una trasformazione). Più in generale, data una curva qualsiasi di variazione di pressione con il volume, è sempre l’area sottesa da questa curva, l’asse delle ascisse e i segmenti di perpendicolare tracciati dagli estremi della curva che fornisce il lavoro fatto (o ottenuto).

Figura I Figura II
La figura II mostra tratteggiata l’area che rappresenta il lavoro (fatto o ottenuto) per una trasformazione AB generica. Dal punto di vista del calcolo, tenuto conto che ora la pressione non è una costante ma una funzione del volume p(V), occorre passare a quello integrale, come somma di infiniti contributi infinitesimi:

Se poi vogliamo calcolarci il lavoro fatto in una trasformazione ciclica, occorre riferirci alle figure III e IV.

Figura III Figura IV
Per procedere al calcolo del lavoro fatto nel caso di figura III (e quindi della IV) e mostrare che il lavoro fatto in tali trasformazioni è l’area compresa dalla curva che descrive il ciclo, occorre dire due parole sul segno che occorre assegnare a tale lavoro. Convenzionalmente si considera il lavoro positivo (ΔL > 0), cioè un lavoro utile che la macchina ci fornisce, quando la trasformazione comporta un aumento di volume, di modo che ΔV > 0. Viceversa, quando la macchina richiede lavoro dall’esterno, quando ad esempio siamo noi a comprimere lo stantuffo, allora il lavoro è considerato negativo (ΔL < 0) ed è negativo quando ΔV < 0. A questo punto passiamo a calcolarci il lavoro fatto nel ciclo di figura III, semplificato geometricamente per poter procedere ad un calcolo elementare (con il calcolo integrale si mostra immediatamente la stessa cosa per la figura IV).
Il lavoro complessivo L fatto nel ciclo in oggetto sarà dato dalla somma dei quattro lavori necessari per le quattro singole trasformazioni che costituiscono il ciclo: L1 il lavoro fatto per andare da A a B mediante l’isocora AB; L2 il lavoro fatto per andare da B a C mediante l’isobara BC; L3 il lavoro fatto per andare da C a D mediante l’altra isocora CD; L4 il lavoro fatto per andare da D ad A (e quindi chiudere il ciclo) mediante l’isobara DA.
L = L1 + L2 + L3 + L4
procediamo ora al calcolo dei singoli lavori. Si ha:
L1 = 0 perché, essendo il lavoro dato dal prodotto della pressione per la variazione di volume, se tale variazione è zero, il lavoro è nullo;
L3 = 0 per l’identico motivo di cui sopra;
L2 = P2 (V2 – V1) [si tenga conto che questo lavoro è positivo perché Δ V > 0]
L4 = P1 (V1 – V2) [si tenga conto che questo lavoro è negativo perché Δ V < 0].
Sommiamo i lavori diversi da zero:
L = P2 (V2 – V1) + P1 (V1 – V2) = P2 (V2 – V1) – P1 (V2 – V1) = (P2 – P1).(V2 – V1)
ed è facile rendersi conto che questo prodotto rappresenta proprio l’area tratteggiata in figura III. Si deve osservare che, in pratica, quando abbiamo una trasformazione non chiusa, il lavoro è sempre l’area sottesa tra la curva che rappresenta la trasformazione, i segmenti di perpendicolare all’asse delle ascisse e lo stesso asse delle ascisse. Quando si ha una trasformazione ciclica, accade che, andando da un dato A ad un dato B (ad esempio aumentando il volume), per tornare da B ad A è necessario passare per una qualche trasformazione che riduca tale volume con la conseguenza di sottrarre l’area sottesa da questa ultima trasformazione di ritorno da quella precedente. Riferendoci allora a figura IV si ha che il lavoro L fatto nel ciclo disegnato è dato da:
L = LAB + LBA
[attenzione che LAB è la trasformazione più in alto in figura; mentre LBA è quella più in basso]. Ora L è l’area tratteggiata internamente al ciclo data per differenza tra: LAB (tutta l’area compresa tra la curva AB, i segmenti di perpendicolare dagli estremi ed il segmento VB – VA) ed LBA (tutta l’area compresa tra la curva BA, i segmenti di perpendicolare dagli estremi ed il segmento VA – VB). Se si fa geometricamente tale differenza, resta l’area L. Non entro ora in considerazioni del tipo: che accade se il lavoro totale è negativo ? Anticipo solo che la macchina da termica diventa frigorifera.
8 – Equivalenza tra lavoro e calore. L’equivalente meccanico della caloria.
Per trovare la relazione che lega lavoro e calore occorre realizzare un’esperienza in cui dall’esterno si compia del lavoro sul sistema e quindi si misuri la quantità di calore che il sistema ha acquistato. Nel caso che discuteremo occorrerà sistemare dell’acqua in un calorimetro (è il nostro sistema) e fare lavoro su quest’acqua mediante delle palette che la agiteranno e quindi misurare il calore sviluppato dal moto delle palette. Occorre naturalmente cautela perché mentre per misurare il lavoro meccanico non vi sono grandi problemi, le misure di trasferimenti di calore sono molto delicate. Intanto occorre accertarsi che tutto il calore deve essere ceduto al calorimetro durante la trasformazione (non si devono verificare, ad esempio, cambiamenti di stato). Ogni inconveniente di questo tipo si può evitare operando mediante una trasformazione ciclica: l’identità dello stato iniziale e finale del sistema ci garantisce che il sistema stesso non si è tenuta per sé una parte del calore fornito.
In una tale esperienza realizzata indipendentemente (con procedimenti diversi) da Mayer e Joule, si trova:

E ciò vuol dire che ponendo:

la costante J diventa uguale ad uno:
J = 1
Da quanto detto si può concludere che: per ogni quantità di lavoro scomparsa si acquista una ben definita quantità di calore e cioè
Il calore non è altro che una ben determinata forma di energia che storicamente è risultata misurata in chilocalorie anziché in Joule.
Misurando il calore in Joule si può scrivere:

dove, si tenga bene a mente, L e Q sono misurati in Joule.
ESPERIENZA DI JOULE-MAYER
Lo strumento utilizzato (da Joule) è quello di figura. Si tratta di un calorimetro dentro cui c’è una data massa d’acqua. Mediante dei pesi collegati, attraverso delle carrucole, ad un sistema di palette in grado di ruotare nell’acqua si trasferisce quel lavoro (da misurare) che scalda l’acqua (calore da misurare attraverso la misura della massa, includendo l’equivalente in acqua del calorimetro, e della variazione di temperatura dell’acqua). Per calcolare con precisione la quantità di calore Q sviluppato dall’attrito delle palette rotanti con l’acqua, Joule si calcolò l’equivalente in acqua del calorimetro e del sistema di palette. Misurò poi la massa d’acqua alla quale aggiunse gli equivalenti in acqua precedentemente calcolati (massa totale = m). Da qui si ricavò la capacità termica totale C = c.m. Misurò la differenza di temperaturaΔt nel calorimetro tra l’inizio dell’esperienza e dopo la caduta dei pesi. Osservo che questa era la parte più delicata perché le differenze di temperatura erano molto piccole (difficilmente si superava in mezzo grado) e l’errore era molto facile se non si consideravano tutte le possibili dispersioni. Queste misure comunque gli permettevano di calcolare la quantità di calore sviluppato dall’attrito delle palette con l’acqua (Q = C.Δt).
Restava da calcolare il lavoro meccanico fatto per produrre quel calore. Non si tratta soltanto di moltiplicare la massa per l’altezza da cui cade ma anche di sottrarre a questa quantità quella parte che va a riscaldare per attrito (non l’acqua ma) i vari meccanismi in funzione (attrito tra pulegge e cordicelle; del sistema ruotante sui cardini) e la forza viva che la massa ha ancora quando giunge al suolo (che data la bassa velocità di caduta, Joule non prende in considerazione). In definitiva Joule calcolò questo lavoro meccanico come prodotto di un’altezza per un peso (alla quale quantità aveva sottratto quella che produceva gli effetti di riscaldamento. I conti erano anche qui complessi perché per determinare con esattezza l’equivalente meccanico del calore, occorre sottrarre al lavoro calcolato come peso per altezza che la massa compie ad ogni discesa, il lavoro fatto contro le resistenze passive esterne al calorimetro. Questo lavoro può essere misurato sperimentalmente, determinando per tentativi il peso minimo necessario per produrre la rotazione delle pulegge e del cilindro sconnesso dal mulinello, con una discesa dei pesi di moto uniforme. Questa è la condizione per avere il valore del lavoro uguale a quello resistente da sottrarre al lavoro complessivo. La relazione completa, invece di quella approssimata che darò di seguito, oggi si scrive così:
JQ = n(Mgh – ½Mv2 – mgh)
dove J è l’equivalente meccanico della caloria, n è il numero di volte che si ripete la caduta delle masse, M è ciascuna delle due in caduta da un’altezza h, Mgh l’energia potenziale delle masse prima della caduta, mgh il lavoro resistente, ½Mv2è l’energia cinetica che hanno le masse al momento di toccare il suolo).

[Montaggio dell’intera esperienza]

[Montaggio dell’intera esperienza con una sezione del calorimetro]

[Sezione verticale del calorimetro di Joule che permette di vedere le palette solidali con l’albero c, c che hanno una disposizione in pianta come quella mostrata in figura seguente]

[Sezione orizzontale del calorimetro di Joule che permette di vedere la sistemazione delle palette fisse (che servono ad impedire che la massa d’acqua acquisti un moto rotatorio d’insieme), quelle indicate con b, e delle mobili, quelle indicate con a]
Semplificando molto, il lavoro fatto nel ciclo era:
Lciclo = 2Mgh – 2(½Mv2) = 2Mgh – Mv2 =Mg(2h – v2)
dove 2M è la somma delle due masse in caduta.
Il calore sviluppato nella massa m d’acqua era:
Qciclo = cmΔt
Si trova allora

tutte quantità che possono essere misurate direttamente.
Anche qui vi è una convenzione sui segni:
ΔQ > 0 quando la quantità di calore è ceduta al sistema dall’esterno
ΔQ < 0 quando la quantità di calore è ceduta dal sistema all’esterno.
9 – Calore e lavoro in una trasformazione aperta: il primo principio della termodinamica
Abbiamo visto che, se misuriamo L e Q in Joule, abbiamo l’identità:

Per ragioni storiche a questo punto, come annunciato, occorre cambiare la convenzione sul segno del lavoro ed intenderlo positivo quando è fornito dall’esterno al sistema (ΔL > 0 per ΔV < 0) e negativo quando il sistema fornisce lavoro all’esterno (ΔL < 0 per ΔV > 0). Con questo cambiamento la (2) diventa:

Supponiamo ora di considerare una trasformazione aperta che ci porti dal punto A al punto B, come l’adiabatica di figura (comprimiamo ad esempio un gas contenuto in un recipiente adiabatico).

La temperatura T, nella compressione adiabatica, si innalzerà e quindi aumenterà anche l’energia interna del gas (che da ora, invece che con Ec indichiamo con U) U = 3/2 RT. Si avrà allora:
ΔU > 0
e nella trasformazione in esame, poiché ΔQ = 0 (è una trasformazione adiabatica) ed L > 0, risulterà:
L = ΔU (in una adiabatica)
Supponiamo ora di far eseguire al gas una trasformazione isovolumica o isocora (vedi figura) riscaldandolo (quindi ΔU > 0) a volume costante (quindi ΔQ > 0 mentre L = 0 poiché L = P.ΔV e ΔV = 0 perché la trasformazione è isovolumica).

In definitiva si avrà:
Q = ΔU (in una isovolumica)
E così scopriamo che una stessa variazione dell’energia interna può essere provocata o dall’esecuzione di un lavoro esterno sul sistema (isovolumica) o dalla cessione al sistema stesso di una certa quantità di calore (adiabatica).
Ci si può rendere conto in modo semplice che quando L + Q > 0 si ha ΔU > 0 e, viceversa, quando L + Q < 0 si ha ΔU < 0. Quindi, in una trasformazione aperta in cui dall’esterno venga eseguito sul nostro sistema un lavoro L e ceduta al sistema una certa quantità di calore Q, si può scrivere ragionevolmente che,
(4) L + Q = ΔU
e dire che la variazione di energia interna ΔU del sistema è uguale alla somma del lavoro e del calore ricevuti dall’esterno,
si ha cioè il Primo principio della termodinamica come generalizzazione del principio di conservazione dell’energia.
Dal punto di vista delle unità di misura, resta inteso che Q è misurato in Joule ed ha come dimensioni quelle di una energia:
[L2.T-2.M]
10 – Applicazioni del Primo Principio. Relazione esistente tra cp e cv.
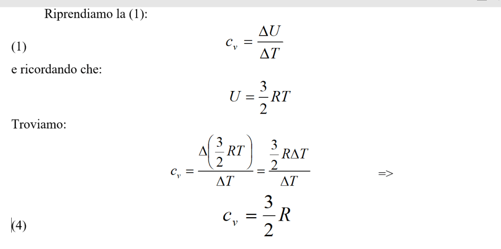
Supponiamo di avere una mole di un gas perfetto (i gas reali che più si avvicinano sono i gas nobili) nello stato iniziale A (P1,V1,T1) che si trasforma nello stato finale B (P2,V2,T2), con T2 > T1, mediante una trasformazione isovolumica, V1 = costante (vedi la 1 di figura).

Poiché ΔV = 0, in questa trasformazione, risulterà L = 0; il calore Q che il gas assorbe dall’esterno sarà:
Q = cm.ΔT;
poiché si lavora a volume costante, c = cv; poiché abbiamo a che fare con una mole m = 1; poiché abbiamo a che fare con T1 e T2, risulterà ΔT = T2 – T1; quindi
Q = cv(T2 – T1) = cv. ΔT
Il primo principio ci fornirà quindi:
0 + cv. ΔT = ΔU
e cioè:
(1) cv = ΔU/ΔT => ΔU = cv. ΔT che per n moli diventa: ΔU = ncv. ΔT
Ma poiché l’energia interna è funzione della sola temperatura questa espressione non vale solo per le trasformazioni isocore ma per qualunque trasformazione.
Facciamo ora compiere allo stesso gas una trasformazione isobara che lo porti, questa volta, dal punto A (P1,V1,T1) al punto C (P1,V2,T2), con V2 > V1.
Il lavoro L compiuto dal gas sarà:
L = – P1(V2 – V1) = – P1. ΔV
Il calore Q ceduto dall’esterno al gas sarà:
Q = cm.ΔT = cp(T2 – T1) = cp. ΔT
e, per la (1), la variazione di energia interna sarà:
ΔU = cv. ΔT
Il primo principio lo possiamo scrivere:
– P1. ΔV + cp. ΔT = cv. ΔT =>
cp. ΔT – cv. ΔT = P1. ΔV =>
(2) (cp – cv). ΔT = P1. ΔV
Riprendiamo ora l’equazione di stato dei gas perfetti ed applichiamola ai due punti A e C:
in A) P1V1 = RT1
in C) P1V2 = RT2
Sottraendo membro a membro:
P1(V2 – V1) = R(T2 – T1) => P1. ΔV = R ΔT
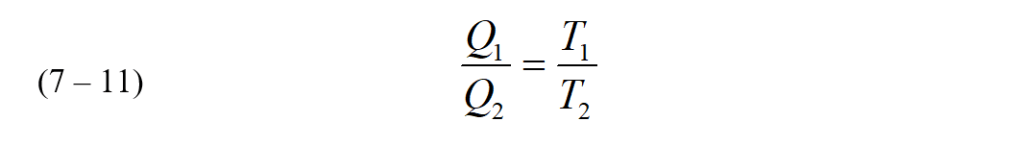
Confrontando con la (2) si trova la relazione di Mayer:
(3) (cp – cv) = R
Poiché si hanno evidenze sperimentali si ha una conferma definitiva del Primo Principio.
ENERGIA INTERNA E CALORI SPECIFICI DEI GAS

Ricordando la (3) si trova:

in accordo con i valori sperimentali per i gas nobili.
In quanto detto abbiamo sottinteso che si parlasse di gas monoatomici i cui atomi possono solo muoversi di moto traslatorio lungo le tre direzioni spaziali. Per i gas poliatomici le cose vanno in modo diverso essendo capaci di assorbire una maggiore quantità di energia dei gas monoatomici per elevare di un grado la loro temperatura. Le molecole poliatomiche hanno più gradi di libertà rispetto a quelli monoatomici perché, oltre alle tre direzioni spaziali, sono possibili movimenti diversi di rotazione, di vibrazione, di rototraslazione, di eccitazione, movimenti che richiedono energia che il gas assorbe immagazzinandola nelle molecole senza interessare i moti di traslazione che sono quelli che forniscono una data temperatura. Considerando solo una molecola biatomica si hanno, ad esempio, i moti di rotazione intorno ai tre assi cartesiani di figura che non hanno luogo in gas monoatomici. Occorre però dire che il moto di rotazione della molecola intorno alla linea della distribuzione di massa (figura c) non fornisce contributo all’assorbimento di energia, allo stesso modo che in un gas monoatomico non si prendono in considerazione le rotazioni degli atomi su se stessi (questa affermazione resta incomprensibile in fisica classica e solo legata ai dati sperimentali. Sarà spiegata solo in fisica quantistica).

Vi è un teorema importante, Teorema di equipartizione dell’energia, il quale dimostra che, per ciascuno dei gradi di libertà rotazionali, l’energia cinetica rotazionale è uguale a 1/2. R/N.T = 1/2.KT (dove K è la costante di Boltzmann). Se ci riferiamo ad una mole di gas, ad ogni grado di libertà, compete una energia pari a ½ RT. Così, oltre all’energia di traslazione abbiamo un contributo della rotazione pari a due gradi di libertà per le molecole biatomiche (come già detto la rotazione rappresentata in c non si considera in termini di assorbimento di energia) ed a tre per le molecole costituite da tre o più atomi. E qui ci siamo solo riferiti a rotazioni intorno agli assi. In altre situazioni molecolari occorrerà tener conto degli altri gradi di libertà annunciati.
Così, oltre all’energia di traslazione, abbiamo un contributo rotazionale pari a 2. ½ KT per le molecole biatomiche e 3. ½ KT per le molecole triatomiche. Per il gas nel suo insieme, dove occorre considerare N molecole, il contributo dell’energia di rotazione è pari a:

Il contributo al calore specifico, che è l’energia per unità di temperatura, sarà rispettivamente:

In definitiva, per le molecole biatomiche i calori specifici saranno:


L’EQUAZIONE DI UNA ADIABATICA
La definizione di una adiabatica, a partire dal fatto che deve risultare

si trova a partire dal Primo Principio della Termodinamica (6) sostituendo il risultato nell’espressione differenziale della legge dei gas perfetti (7). Successivamente si trova:
(6) dU = dL + dQ => (poiché dQ = 0)
dU = dL = – P.dV
Ma, come sappiamo dalla (1):
(7) dU = cvdT
Uguagliando la (6) con la (7):
(8) – PdV = cvdT
Differenziamo ora la legge dei gas perfetti (una mole) PV = RT:
PdV + VdP = RdT =>

Ricordando ora che cp – cv = R da cui cv + R = c

Dividendo per PV, chiamando γ il rapporto cp/cv ed integrando:


E questa è l’equazione di una adiabatica in un piano PV (vedi figura).

[Le adiabatiche sono le curve a tratto continuo. Risultano avere una pendenza maggiore rispetto alle isoterme disegnate tratteggiate]
Se si vuole poi dare una adiabatica mediante la temperatura T ed il volume V, si parte dalla legge dei gas perfetti nella forma:

e si sostituisce questa espressione ancora nella (10), si ottiene:

11 – Il ciclo di Carnot
Uno degli studiosi francesi che anticipa l’interesse per le macchine reali è Lazare Carnot (il fine dichiarato di Lazare era: “reinserire nella meccanica la scienza delle macchine, che ne era rimasta separata”). Egli, nella sua opera Essai sur les Machines en Général (1783), studia i rendimenti delle macchine idrauliche in modo analogo a quanto aveva fatto Smeaton in Gran Bretagna. Lazare Carnot, che avrà un ruolo di primo piano nella Rivoluzione, nel Direttorio e nei governi napoleonici, aprirà la strada con i suoi studi a quanto farà suo figlio Sadi con le macchine termiche, in particolare, nella sua Potenza motrice del fuoco del 1824 che è la prima opera organica di scienza del calore. Purtroppo tale opera non fu subito capita nella sua grandissima importanza. Il fatto è che Carnot risulta ancora invischiato nella vecchia teoria che voleva essere il calore una sostanza (il calorico) e ciò renderà difficile la sua lettura da parte di chi aveva già concettualmente superato questa teoria proprio dai lavori di Lavoisier (se il calore è una sostanza, un oggetto riscaldato deve pesare di più dello stesso oggetto a temperatura ordinaria; ma ciò non è, come Lavoisier aveva dimostrato con molte misure di precisione nel Traité élémentaire de chimie del 1789). Per altri versi invece l’ipotesi di calore inteso come sostanza, aiuta Carnot nell’analogia di calore ed acqua. Cosicché Carnot riesce a pensare le cadute d’acqua come cadute di calorico. Quindi, allo stesso modo di energia idraulica che si produce per salto d’acqua, l’energia termica deve prodursi per salto di calorico da un suo livello più alto ad uno più basso. Detto in termini moderni ciò vuol dire che affinché una macchina termica funzioni si deve disporre di due sorgenti a temperature differenti. Come vedremo questo è uno dei possibili enunciati del Secondo Principio della Termodinamica (1824), in attesa del Primo (1847). Carnot, nell’opera citata, studia anche una macchina indipendentemente dalla sua applicazione pratica. Tale macchina nasce da uno studio solo teorico, per ottenere la massima prestazione possibile di una macchina termica. Carnot ipotizzerà: materiali perfettamente isolanti, perfettamente conduttori, assenze di attrito, un gas perfetto come fluido operativo (che era sempre vapore nei casi di macchine fino allora realizzate), … Con questo armamentario teorico egli costruisce la sua macchina che risulta essere ideale, non realizzabile, ma utilissima per capire fin dove possiamo arrivare, come limite a cui tendere. Per discutere della macchina e del ciclo di Carnot, lascio la storia e tratto il tutto con linguaggio moderno.
Carnot si propose di trasformare del calore in lavoro mediante una macchina termica. Occorre un qualche meccanismo che ciclicamenteassorba calore da una sorgente e lo trasformi in lavoro. Questo ciclicamente vuol dire che ci si confronta, pur in un discorso teorico, con la realtà. Per pura speculazione si può pensare ad una macchina costituita da un cilindro infinito ed un pistone. Se si immette un gas nel cilindro e si scalda indefinitamente, il pistone si muoverà per la dilatazione continua del gas. Se si continua a scaldare non vi è chi fermi il pistone. Poiché il volume del gas racchiuso nel cilindro cresce sempre si avrà un lavoro sempre positivo. Quindi non vi è necessità di ciclico e neppure di due sorgenti (come vedremo). Il fatto è che le macchine non possono essere infinite. E se sono finite, ad un elevarsi del pistone deve poi corrispondere un abbassarsi del medesimo percorrendo la via a ritroso. Ma, così facendo, occorre fare un lavoro negativo e quindi serve una seconda sorgente ed in definitiva una trasformazione ciclica. Carnot capì che era impossibile realizzare un ciclo in cui venga assorbito calore da una sorgente per trasformarlo in lavoro senza disporre di due sorgenti: una calda (da cui si preleva del calore) ed una fredda (verso cui si scarica del calore). Iniziò quindi ad ideare il miglior ciclo possibile immaginando di disporre dei seguenti strumenti ideali:
– un cilindro ed un pistone. Il cilindro (escludendo la sua base) deve essere perfettamente adiabatico (non deve scambiare calore con l’esterno: ΔQ = 0). Anche il pistone deve godere della medesima proprietà;
– una sorgente calda a temperatura costante T2 che possa aderire al fondo conduttore del cilindro;
– una sorgente fredda a temperatura costante T1 che possa aderire al fondo conduttore del cilindro;
– un tappo perfettamente adiabatico in grado di aderire perfettamente al fondo conduttore del cilindro;
– dentro il cilindro vi è un gas perfetto che funge da fluido operativo.
Operiamo successivamente in quattro fasi o tempi guidandoci con delle figure (la rappresentazione grafica del ciclo di Carnot e le correzioni che lo resero come oggi lo studiamo furono elaborate da Clapeyron nel 1834). Si parte da figura 1, nello stato iniziale cui si trova il sistema (punto A del grafico di figura 1a).

Figura 1

Figura 1a
A => B
Qui inizia la prima trasformazione che ci porta da A a B (trasformazione isoterma). Sotto il cilindro si dispone la sorgente di calore che si trova alla temperatura T2. Tale sorgente fornisce la sistema una quantità di calore Q2 . Il gas contenuto nel cilindro si dilata alla temperatura costante della sorgente, T2 spingendo lo stantuffo verso l’alto con la conseguenza che il volume occupato dal gas passa da VA a VB (mentre la pressione diminuisce). In questo movimento il sistema fa un lavoro verso l’esterno, positivo, che chiamiamo LI .
Passiamo alla seconda fase (figure 2 e 2a). La trasformazione, questa volta, ci porta da B a C (trasformazione adiabatica).

Figura 2

Figura 2a
B => C
Sotto il cilindro si toglie la sorgente calda a temperatura T2 e si dispone il tappo isolante. Ora la trasformazione che avviene nel cilindro non scambia calore con l’esterno. Il gas continua ad espandersi per inerzia. Il volume da esso occupato continua ad aumentare, passando da VB a VC, e la pressione continua a scendere. Il sistema fa ancora un lavoro verso l’esterno, positivo, che chiamiamo LII.
Passiamo alla terza fase (figura 3 e 3a). La trasformazione ci porta ora da C a D (trasformazione di nuovo isoterma).

Figura 3

Figura 3a
C => D
Sotto il cilindro si toglie il tappo isolante e si dispone la sorgente fredda a temperatura T1 < T2 (in pratica si mette il fondo del cilindro a contatto con l’ambiente esterno). A questo punto siamo noi, dall’esterno, che facciamo un lavoro LIII negativo sul sistema; comprimiamo noi il pistone nel cilindro provocando una diminuzione di volume (che passa da V a V) ed un aumento di pressione (tale aumento di pressione tenderebbe a far aumentare la temperatura ma, il contatto con la sorgente fredda scarica verso l’esterno questa tendenza). In questa fase la macchina scarica verso l’esterno una quantità di calore Q1.
Passiamo alla quarta ed ultima fase (figura 4 e 4a), quella che ci porta a chiudere il ciclo, andando da D ad A.

Figura 4

Figura 4a
D => A
Ora togliamo la sorgente fredda e disponiamo di nuovo sotto il cilindro il tappo isolante. Continuiamo noi a premere sul pistone, facendo un lavoro sul sistema, negativo, LIV. Il nostro premere provoca ora, insieme ad un aumento di pressione, ulteriore diminuzione di volume ed anche un aumento di temperatura. Non vi sono scambi di calore con l’ambiente esterno e la trasformazione è un’adiabatica. Tornati ad A abbiamo chiuso il ciclo e possiamo ricominciare tutto di nuovo. Il ciclo, nel suo insieme è quello di figura 5. Esso è costituito da due adiabatiche e da due isoterme.

Figura 5
L’area compresa tra le quattro trasformazioni che chiudono il ciclo rappresenta il lavoro netto L ottenuto. Tale lavoro si ottiene per differenza tra i lavori positivi L2 = LI + LII ed i lavori negativi L1 = LIII + LIV cioè: L = L2 – L1. Anche il calore complessivo Q che la macchina trattiene per sé è dato dalla differenza di quello che ha assorbito Q2 meno quello che ha scaricato via Q1:
(1) Q = Q2 – Q1.
La conclusione evidente è che il lavoro L che la macchina ci fornisce è dato dal calore che ha assorbito meno quello che ha dovuto buttare via:
(2) L = Q2 – Q1.
[Noto a parte che dalle due relazioni, L2 = P2ΔV e L1 = P1ΔV, si ricava che L = L2 – L1 = (P2 – P1)ΔV. Ciò vuol dire, come già sappiamo, che il lavoro fatto è pari all’area del ciclo. Se si lavorasse con una sola temperatura, l’area del ciclo sarebbe nulla e non si farebbe lavoro].
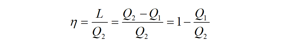
Tutto questo si può anche agevolmente discutere con il Primo Principio della termodinamica ma, ricordando solo che in un ciclo chiuso non c’è variazione di energia interna (ΔU = 0), quanto abbiamo detto è sufficiente allo scopo che ci siamo proposti. Possiamo trarre una conclusione: solo una parte del calore fornito si trasforma in lavoro; la parte restante viene necessariamente scaricata verso l’esterno del sistema. Possiamo poi fare una piccola ma importante osservazione. Poiché, come sappiamo, l’area compresa nel ciclo rappresenta il lavoro ottenuto, se provassimo a lavorare con una sola temperatura andando, ad esempio, su e giù lungo la T2, l’area sarebbe nulla e non si otterrebbe alcun lavoro. Osservo un’ultima cosa. Se il ciclo che abbiamo visto, fosse percorso in senso inverso, il bilancio tra lavoro negativo fatto e positivo ottenuto darebbe come risultato un numero negativo. Ciò significherebbe che abbiamo dato alla macchina più lavoro di quanto la macchina ne dà a noi, ma la conseguenza è che la macchina ci sottrae più calore di quanto non ne prende: avremmo costruito una macchina non più termica ma frigorifera che discuteremo nel capitolo seguente. Tornando alle macchine termiche, la frase riportata in grassetto appena qualche riga più su, permette di trarre una immediata conclusione. E’ possibile definire un rendimento per le macchine termiche nel modo seguente: il rapporto tra il lavoro che la macchina ci fornisce ed il calore che gli dobbiamo dare e cioè

dove si è sostituito il calore, difficile da maneggiare, con le temperature assolute o Kelvin, molto più facilmente trattabili. Ora è evidente che l’ideale per noi sarebbe un rendimento 1, cioè del 100%, ma la relazione precedente ci dice che ad 1 occorre sottrarre una certa quantità che si annullerebbe solo se Q1 si annullasse (o che Q2 divenisse infinito). Ma abbiamo visto che Q1 non può mai essere nullo, altrimenti non si chiuderebbe il ciclo tra due temperature, quindi su questa strada non si può far nulla. Ciò che si può fare per migliorare il rendimento è rendere sempre più piccola la quantità Q1/Q2 che va a sottrarsi ad 1. Per farlo occorre che numeratore e denominatore siano i più distanti possibile, occorre cioè che la sorgente calda lavori ad elevatissima temperatura e la sorgente fredda sia molto fredda. Sulla temperatura della sorgente calda vi sono limitazioni tecnologiche (da un certo punto i materiali che sostengono tali temperatura non ce la fanno più), su quelle delle sorgenti fredde vi è poco da fare, ci dobbiamo tenere in genere quelle dell’ambiente esterno (al massimo aiutando con circolazione di fluidi a temperature più basse).
Cerchiamo ora di vedere quanto annunciato cioè che è possibile scrivere l’uguaglianza:

Tanto per far capire chiaramente il problema degli sprechi energetici, faccio un rapido conto. Suppongo di avere una locomotiva di Carnot, il meglio che si possa ipotizzare, che abbia una caldaia che produca vapore a temperatura T2 = 500 °K (227 °C). Supponiamo ancora che tale locomotiva cammini in un luogo in cui la temperatura esterna (la sorgente fredda) è di T1 = 300 °K (27 °C). Il suo rendimento sarà:

che ci ha portato da A a B, il volume del gas è raddoppiato, durante la compressione isoterma che ci ha portato da C a D tale volume deve essersi dimezzato. Per fare ciò ricorriamo alla (11) del capitolo precedente:



(quest’ultimo valore andrebbe preso in modulo poiché il verso della trasformazione è contrario a quello dell’altra e gli estremi di integrazione dovrebbero essere invertiti con conseguente cambiamento di segno).
Dividendo membro a membro si ottiene:

Torniamo ora alla relazione (2), che era:
(2) L = Q2 – Q1.
essa vuol dire che:
solo una parte del calore fornito alla macchina di Carnot viene trasformata in lavoro; la parte restante viene restituita alla sorgente a temperatura più bassa.
Si definisce rendimento di un ciclo di Carnot la quantità:

relazione scritta risulta dimostrata]


e, in accordo con il simbolismo annunciato, avremo:
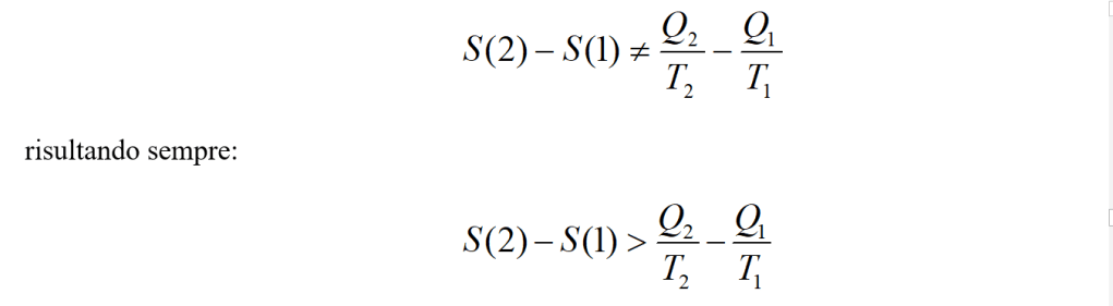
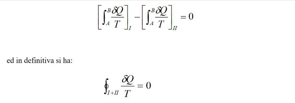
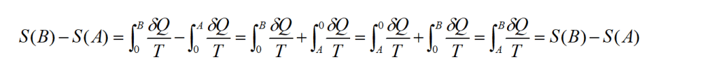
(10) S(2) – S(1) = 0


Nel caso in cui risulti ΔQ = 0 (una trasformazione adiabatica), per una trasformazione irreversibile risulta:
S(2) – S(1) > 0 à S(2) > S(1)
E, anche se per ora è solo una affermazione priva di significato, ciò vuol dire che l’entropia di uno stato termodinamico posteriore al precedente (quando cioè il sistema ha subito una trasformazione) è sempre maggiore.
Chiudo questo capitolo osservando che, in un piano T,S, il ciclo di Carnot si rappresenta nel modo seguente:

12 – Ciclo frigorifero di Carnot
Se si confronta il grafico di figura 5 (ciclo ordinario di Carnot) con quello di figura 6 si scopre che le trasformazioni avvengono in verso opposto.

Figura 6
Si dispone ora di un volume (quello interno al frigorifero) da cui occorre sottrarre del calore. Per eseguire questa operazione occorre fare del lavoro. Quindi, contrariamente alla macchina di Carnot già studiata, si tratta ora di fornire lavoro per sottrarre calore. Nel far questa operazione occorrerà sempre buttare via del calore. Lo si farà dal motore che sottrae calore dalla cella frigorifera (ed esterno ad essa) e lo scarica nell’ambiente in cui è contenuta la macchina frigorifera. In teoria un frigorifero di Carnot si realizza con quanto illustrato nella figura 7:

Figura 7
Il fluido (gas perfetto) che si trova in C (Fig. 6) viene compresso mediante una adiabatica fino ad arrivare a B e quindi ad una temperatura T2 > T1 . Per far questa operazione abbiamo fatto del lavoro LI dall’esterno. Arrivati in B, con uno scambiatore, viene ceduto all’esterno il calore Q2 mediante una isoterma e per questo si deve compiere altro lavoro LII.

Figura 6
Questa trasformazione ci porta da B ad A. La trasformazione successiva che ci porta da A a D è una adiabatica: è ora il gas che ci fornisce del lavoro LIII. Durante l’ultima trasformazione, l’isoterma che va da D a C, il gas riceve il calore Q1 compiendo il lavoro LIV. La somma L dei lavori è questa volta negativa: siamo noi che dobbiamo fornire L al sistema. La somma del calore fornito con quello ceduto è invece positiva: abbiamo scaricato verso l’esterno più calore di quanto ne abbiamo fornito. Confrontando con la figura 7, si vede che tale figura è realizzata seguendo il grafico. Si parte dal compressore che realizza la prima adiabatica che ci porta da C a B nel grafico: qui il fluido refrigerante viene compresso, innalzato di temperatura (a causa della adiabaticità) ed inviato alla serpentina condensatore (serpentina a sinistra di figura) dove si condensa in modo isotermo perdendo ancora volume; la condensazione fa perdere calore al fluido e lo scambiatore lo scarica fuori da sé (si pensi alla serpentina che si trova dietro ad ogni macchina frigorifera, che si scalda in modo da riscaldare l’ambiente circostante); per effetto della condensazione il fluido diventa liquido (in presenza del suo vapore); siamo qui arrivati al punto A del grafico. Mediante la valvola di espansione situata nel punto più alto di figurafacciamo espandere il fluido che adiabaticamente diminuisce rapidamente la sua pressione e la sua temperatura. Il gas che esce dall’evaporatore cosìespanso (siamo in D) entra nello scambiatore evaporatore (serpentina di destra in figura) dove si espande ulteriormente mediante una isoterma e dove sottrae calore alla cella frigorifera (si pensi alla serpentina che è dentro il freezer del frigorifero). Il calore assorbito determina una rapida evaporazione del fluido agevolata da una pressione che in genere è più bassa di quella atmosferica. Il vapore si è raffreddato. Siamo tornati in C, da dove eravamo partiti e da dove ricomincia il ciclo.
Mentre i frigoriferi funzionano oggi con cicli diversi da quelli di Carnot, la migliore applicazione della macchina termica reversibile e quindi frigorifero di Carnot è la pompa di calore che, oggi, dopo almeno trenta anni dalla sua commercializzazione economica, si inizia a conoscere ed utilizzare in Italia.
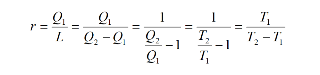
Riguardo al rendimento, esso non è definibile nelle macchine refrigeranti. Per queste macchine si definisce un effetto utile refrigerante o coefficiente di prestazione r. Esso è il rapporto tra il calore sottratto a bassa temperatura ed il lavoro che è necessario spendere per sottrarlo. Riferendoci ad un frigorifero di Carnot, si ha:

13 – Cicli su macchine reali. Ciclo Rankine
A partire dal ciclo di Carnot, molti ingegneri, scienziati e tecnologi iniziarono a comprendere in termini più moderni il funzionamento delle macchine che via via venivano elaborate. La loro descrizione semplicemente empirica lasciava ormai insoddisfatti, occorreva progettare la macchina sapendo con che trasformazioni si sarebbe lavorato, con quale fluido, con quali rendimenti. Nel frattempo, nel 1847, si stabiliva la conservazione dell’energia (Primo Principio della termodinamica) nel lavoro di Helmholtz, Sulla conservazione della forza. Come si può osservare, ancora non era entrato in uso il termine energia sostituito dal termine improprio forza (kraft), con il sottinteso di forza viva. E, nella Gran Bretagna vittoriana si arrivò anche a dare valenze morali all’energia, il suo uso la degrada ! Insomma un fervore di attività intorno alle macchine diventate adulte e bisognose di una sistemazione scientifica organica. Molti studiosi elaborarono una gran mole di studi teorici sull’argomento, studi che vertevano, alla fine, al grafico di un determinato ciclo. La realizzabilità del quale restava comunque sempre in predicato: denaro, investitori, finanziatori. Tra i molti cicli che si svilupparono ne vedremo alcuni, quelli che ebbero un maggior impatto economico, produttivo e sociale. Inizio con il ciclo di Rankine che non fu il primo in assoluto ma il primo che studiò scientificamente a fondo la macchina a vapore (con condensatore separato). Egli, tra il 1858 ed il 1859, realizzò il ciclo di funzionamento di tale macchina che ora vedremo. Nella figura 8 è riportato uno schema di funzionamento di un motore a vapore: il focolare è la sorgente calda che fornisce il calore al motore, il condensatore è la sorgente fredda in cui si scarica del calore:

Figura 8
il lavoro meccanico è realizzato dal moto alternativo del cilindro (alimentato dal cassetto di distribuzione riportato nella figura 9) che si trasmette alle ruote della macchina che monta il motore (quasi sempre una locomotiva). Nella figura 10 vi è il ciclo di Rankine che ora vedremo rapportandolo allo schema del motore (in rosso è riportato il ciclo teorico, tratteggiato il ciclo reale: qui, come sempre, si progetta un qualcosa ipotizzando il meglio per ciascuna trasformazione, ma le trasformazioni reali non sono mai perfette perché è impossibile avere perfette isobare, perfette adiabatiche, perfette isoterme, perfette isocore).

Figura 9. Il cassetto di distribuzione è un fondamentale sistema meccanico che conduce il vapore prima su una faccia e poi sull’altra del pistone nel cilindro. Riferendoci alla figura, si vede chiaramente il percorso del vapore: in (a) il vapore proveniente dalla caldaia spinge il pistone verso destra; nel far questo sposta anche quel piccolo pezzo (a forma di U rovesciata) che va a chiudere il passaggio proprio a questo vapore e ad aprire la possibilità per esso di entrare dall’altra parte, come mostrato in (b). La cosa si ripete ad ogni spostamento del pistone.

Figura 10
Prima di mettere in moto una macchina alimentata con questo motore, è necessario che la caldaia venga portata a pressione elevata (punto A del grafico). A questo punto il vapore alla pressione e temperatura della caldaia, entra nel cilindro e si espande per circa un quarto della corsa del pistone mediante una isobara (quella che porta da A a B, e durante la quale entra del calore nella macchina). Il resto dell’espansione del vapore (ultimi 3/4 del cilindro) avviene mediante una adiabatica (trasformazione BC). Si deve notare che tra B e D otteniamo lavoro dalla macchina. Arrivati a C il fluido inizia ad essere riportato nella caldaia mediante una compressione a pressione costante fino a D (è la fase della condensazione che sottrae calore alla macchina). Dal punto D ad A, il fluido viene riscaldato a volume costante (isocora) finché non ritorna alla pressione iniziale (il fluido, ritornato nella caldaia, viene riscaldato e riportato ad alta temperatura e pressione).
14 – Cicli su macchine reali. Ciclo Otto
Questo ciclo prende il nome dal tedesco Nikolaus August Otto che lo brevettò nel 1876. Su questo ciclo si basa il motore a scoppio ed è quindi utile trattarlo con qualche dettaglio. Si tratta di un primo motore in cui la combustione è prevista all’interno della macchina. Una prima realizzazione di motore a scoppio (combustione interna) fu di due scienziati italiani, Matteucci (un ingegnere fisico) e Barsanti (un prete fisico) che la brevettarono nel 1854. Si trattava di un motore bicilindrico che costituì l’avvio al primo motore a benzina (con polemiche relative al fatto che il brevetto dei due italiani fu copiato, alla fiera di Francoforte dove fu esposto, come ormai si sa per certo). Il ciclo a quattro tempi fu ideato da Beau de Rochas nel 1862 e realizzato da Otto e Langen nel 1877, come accennato . Successivamente (1889) Daimler brevettò un motore ad accensione a scintilla (chiamato poi motore Otto), alimentato da benzina.
Vediamo il disegno del motore (Fig. 11) e in basso, in corrispondenza di ogni tempo, riportiamo la relativa trasformazione che, alla fine, va a costruire il ciclo.

Figura 11
Abbiamo un cilindro dentro cui scorre un pistone che trasforma il moto alternativo in rotatorio mediante il meccanismo biella-manovella. avverto che il cilindro è uno solo e che le fasi che vi si sviluppano sono le quattro che ora illustro a partire da disegno e grafico primi a sinistra.
1° tempo: Aspirazione – Dalla valvola aperta sulla sinistra viene aspirata dell’aria, dentro cui vi è un aerosol di benzina (la miscela viene preparata nel carburatore all’ingresso del cilindro), in modo isobaro alla pressione atmosferica (A à B). L’aspirazione avviene come in una siringa: è il pistone che abbassandosi lo fa.
2° tempo: Compressione – La valvola d’ingresso si è chiusa ed il pistone risale. Nel far questo comprime adiabaticamente la miscela di aria e benzina nella sommità del cilindro (B à C).
3° tempo: Scoppio ed Espansione – Nella miscela compressa, dall’alto, scocca una scintilla (candela) che provoca prima una immediata compressione isocora dovuta all’istantaneo aumento di temperatura (scoppio) e immediatamente dopo una espansione adiabatica che porta il pistone violentemente verso il basso del cilindro (questo è l’unico tempo attivo del motore). Nel grafico queste sono le due trasformazioni C à D à E.
4° tempo: Scarico – Per inerzia il pistone risale. Ora si apre la valvola di scarico a destra da dove vengono spinti fuori tutti i gas ed i residui della combustione precedente. Vi è prima un abbassamento di pressione a volume costante (una brevissima isocora) e quindi una isobara a pressione atmosferica (E à B à A). Quando poi il pistone è ritornato su in cima, inizia di nuovo a scendere ma con la valvola di scarico chiusa e quella di aspirazione aperta. Ciò ci riporta al 1° tempo. In definitiva il ciclo risulta costituito da due isocore e da due adiabatiche (trascuriamo le isobare di immissione della miscela e di espulsione dei gas combusti), proprio come quello di Stirling.
Negli ordinari motori a scoppio vi sono quattro cilindri, sfasati nei movimenti dei pistoni di 90°, al fine di avere sempre in azione un tempo attivo (ma anche per avere due pistoni in discesa mentre due sono in salita, al fine di ridurre al minimo le vibrazioni del motore. L’avviamento del ciclo avviene con interventi esterni: nei primi tempi con una manovella, da moltissimi anni con un generatore elettrico collegato con la chiave di avviamento.
Naturalmente anche qui vi sono le due sorgenti. Quella calda è alla temperatura della benzina incendiata dentro il motore (si arriva a circa 400 °C) e quella fredda è alla temperatura dell’ambiente nel quale il motore scarica il suo calore sia mediante il radiatore (circolazione d’acqua intorno al motore per sottrarre più rapidamente il calore che non con la sola aria) che mediante i gas di scarico.
I vantaggi di tale motore sono essenzialmente legati al piccolo peso confrontato con la potenza fornita. La cosa lo rende versatile praticamente per tutto. Innanzitutto ha risolto il problema della navigazione aerea, impensabile con motori a vapore o diesel (vedi oltre). Quindi quello delle piccole macchine utensili: falciatrici, seghe, generatori elettrici, … La parte negativa è il rendimento: si parte da circa il 35% con motore nuovo e presto si arriva al 10%.
15 – Cicli su macchine reali. Ciclo Diesel
Rudolf Diesel si era messo in testa di realizzare un motore che fosse la messa in atto del ciclo di Carnot. Lavorò moltissimo con criteri di assoluta scientificità (il suo motore lo chiamava macchina razionale) e i suoi conti davano per il suo progetto un rendimento fantastico: addirittura del 73% a fronte del 7% che all’epoca (circa 1885) era la media delle macchine termiche. Ma Diesel (come tutti) dovette scontrarsi con i problemi di realizzabilità tecnologica che lo portarono a qualcosa di diverso da una macchina di Carnot. E’ da notare comunque che, per la prima volta, dopo 200 anni, l’approccio al problema delle macchine termiche parte da una impostazione scientifica e, da questo momento, la scienza prenderà le redini dei problemi connessi con la progettazione e realizzazione di tali macchine.
Diesel studiò in Germania ed ivi si laureò (1880) nella Scuola Tecnica di Monaco. Fu allievo di Carl Linde, uno dei massimi studiosi della refrigerazione e del raggiungimento delle basse temperature. Ciò lo familiarizzò con i problemi di pompe, di termodinamica e dei più avanzati concetti della scienza del calore (la Germania, unificata da pochi anni, era già assurta a ruolo di grande potenza scientifica). Fece molte esperienze di vario tipo ma si soffermò soprattutto sul fluido da utilizzare in una macchina termica e per almeno 10 anni studiò l’uso dell’ammoniaca come fluido operativo, certamente influenzato dal fatto che le macchine per basse di temperature di Linde, facevano lo stesso. Sperimentò una macchina ad ammoniaca, inseguito però dai suoi concittadini che non resistevano a quell’orrendo puzzo. Le sue ricerche le pubblicò nel suo Teoria e costruzione di una macchina termica razionale sostituibile alla macchina a vapore e a tutte le macchine a combustione attualmente note (1893): insomma titolo di un lavoro e manifesto commerciale! Il lavoro seguiva l’irrealizzabile macchina di Carnot e dava l’idea che la macchina razionale già esistesse. Esso fu inviato a scienziati (la loro approvazione sarebbe stata fondamentale per fare pressione su chi l’avrebbe dovuta produrre) e a vari industriali con la speranza che qualcuno finanziasse l’impresa. Ma Diesel era abbastanza scaltro, sapeva che se qualcuno si fosse fatto avanti egli avrebbe dovuto realizzare in tempi ragionevolmente brevi. Aveva allo scopo dei progetti di riserva che scendevano a compromessi con quello iniziale al fine della immediata realizzabilità. Solo nel 1897 Diesel riuscì a portare a termine il suo primo prototipo. Aveva dovuto fare dei compromessi terribili: la temperatura del fluido operativo dovette scendere dai 1000 °C previsti a circa la metà; la pressione di tale fluido passò dalle 90 atmosfere previste alle circa 30; il rendimento termico scese da quel 73% a solo il 26 %; l’alimentazione passò al petrolio. Questo fu il motore che opportunamente sistemato andò sul mercato ma Diesel continuò a sperimentare con il suo sogno per molti anni.
Vediamo il funzionamento di un moderno motore Diesel. La struttura è del tipo del motore a scoppio con due sostanziali differenze: non c’è la candela che provoca la scintilla in quanto il carburante viene iniettato in aria surriscaldata per sola compressione e conseguentemente esplode; a seguito di ciò, dovendo lavorare con elevate pressioni, i cilindri sono più massicci. Riporto allora solo il grafico del ciclo Diesel (Fig. 12), discutendo in breve le singole trasformazioni con riferimento al ciclo.

Figura 12
Nella prima fase il cilindro aspira dell’aria dall’ambiente esterno in modo isobaro eseguendo la trasformazione 5 à 1 (solo aria, contrariamente al motore a scoppio, dove viene aspirata una miscela di aria e benzina). E’ utile osservare che ancora oggi in molti diesel prima di accendere il motore occorre preriscaldare l’aria che è dentro i cilindri: questo è il motivo per cui occorre attendere un poco prima di avviare il motore. Quest’aria viene compressa adiabaticamente fino ad innalzare la sua temperatura per sola compressione (1 à 2) al punto che l’iniezione di un carburante provochi la combustione che è per brevissimo tempo una isobara (2 à 3). In questa fase viene fornito del calore alla macchina. Da qui tutto procede come nel motore a ciclo Otto: il fluido fa espandere il pistone adiabaticamente con violenza (fase attiva: 3 à 4), il pistone ritorna su e scarica all’esterno calore (i gas combusti) e si ricomincia (4 à 1 à 5).
Tale motore ha un rendimento maggiore (può arrivare al 40%) di quello a benzina e consuma un carburante con caratteristiche di maggiore economicità. E’ un motore molto affidabile che può mantenere per molto tempo un numero di giri costante (contrariamente al motore a scoppio che deve far variare continuamente il numero di giri, per un miglior funzionamento). E’ particolarmente indicato ed addirittura insostituibile per muovere treni, navi ed ogni grande trasporto. I generatori di corrente che devono fornire molta potenza sono sempre motori Diesel.
16 – Definiamo la temperatura assoluta
La (7) del capitolo 11 era:

Ebbene, da questa relazione è possibile ricondurre la misura della temperatura a quella delle quantità di calore scambiate dai termostati con una macchina che segua il ciclo di Carnot.
Useremo quindi il ciclo di Carnot per definire operativamente la temperatura.
Riconosciuta l’esistenza di temperature caratteristiche di pressione, ebollizione, ecc. per tutte le sostanze a composizione chimica definita, si prenda una di queste temperature caratteristiche opportunamente scelte (punto fisso) come temperatura unitaria T1 = l.
Come valore T2 di un’altra qualsiasi temperatura, noi assumeremo allora per definizione il valore del rapporto Q2/Q1, relativo a un ciclo di Carnot che lavori tra la temperatura da misurare e la temperatura unitaria:

D’altra parte, l’esperienza fa vedere che per un tale ciclo è

da cui
T1 = 273,2,
e quindi
T2 = 373,2.
La scala di temperature così costruita (scala termodinamica) coincide dunque con la scala costruita mediante un termometro a gas (scala assoluta). Per misurare un’altra temperatura T qualsiasi, basterà ora realizzare un ciclo di Carnot che lavori tra le temperature T e T1 =273,2 e misurare per esso il rapporto Q2/Q1. Sarà, secondo la (2):
Come riferimento fisso di base, T1, è stato scelto il punto triplo dell’acqua, cioè T1 = 273,2.
LO ZERO ASSOLUTO
Partiamo ancora dalla (7) del capitolo 11:

Consideriamo ora che T2 sia la temperatura corrispondente al ghiaccio fondente, lo zero centigrado:

Da questa relazione si vede che il calore trasferito isotermicamente tra due adiabatiche date, diminuisce al diminuire della temperatura. Reciprocamente, quanto minore è il valore di Q, quanto più bassa è la temperatura corrispondente. Il minore valore possibile di Q è zero e la corrispondente temperatura è lo zero assoluto. Lo zero assoluto è la temperatura alla quale ha luogo un processo isotermo reversibile senza scambio di calore. In altre parole, allo zero assoluto, una adiabatica ed una isoterma coincidono. Tale definizione è valida per tutte le sostanze e non dipende dalle proprietà particolari di qualcuna di esse.
La temperatura Kelvin è numericamente uguale alla temperatura segnata su un termometro a gas ideale, dove 273,16 è la temperatura del punto triplo dell’acqua (come del resto già detto).
17 – Pompa di calore e rendimento del secondo ordine
Abbiamo un campo da irrigare ad una quota di 400 metri. Vi è un bacino d’acqua a 2500 metri ed un fiume che scorre a 300 metri. Come irrighiamo il campo ? Invece di sperperare la preziosa energia del bacino a 2500 metri conviene investire un poco di lavoro meccanico per pompare acqua dal fiume !
E’ il principio di funzionamento della pompa di calore. Piuttosto che scaldare l’acqua a 1000°C in una caldaia che poi va ai 22°C dell’ambiente che vogliamo scaldare attraverso gli 80°C del termosifone, conviene fare del lavoro meccanico per portare i 15°C dell’ambiente da scaldare ai 22°C utilizzando la temperatura esterna di 7°C.
In questo caso, poiché si fornisce alla macchina un lavoro L per ottenere un Q2, il rendimento cambia nome e sarà un coefficiente di prestazione o effetto utile riscaldante (risultando, contrariamente a quello che conosciamo, maggiore di 1):

Questo coefficiente di prestazione è tanto maggiore quanto minore è la differenza tra T1 e T2.
RENDIMENTO DEL 2° ORDINE
Il lavoro meccanico che può essere prodotto da una macchina termica ideale è L = Q2 – Q1. Si definisce rendimento del primo ordine (e si capirà più oltre il motivo del complemento di specificazione) la quantità r data dal rapporto tra il lavoro meccanico L che una macchina termica produce e l’energia (la quantità di calore) Q2 che ad essa viene fornita:

Quindi il rendimento di una macchina termica è dato dal numero 1 al quale viene sottratta una certa quantità Q1/Q2. Capiamo meglio. Se risultasse η = 1, ciò vorrebbe dire che tanta energia abbiamo fornito (Q2), tanto lavoro meccanico abbiamo ottenuto (L). Il primo principio della termodinamica ci assicura che questo è il massimo che noi potremmo ottenere: rendimento 1 vuol dire rendimento del 100%. Se risultasse η = 0, ciò vorrebbe dire che noi forniamo energia termica senza che la macchina faccia alcun lavoro meccanico: peggio di così è impossibile. Quindi η è un numero compreso tra 0 ed 1. Ciò che però interessa è osservare che, anche per una macchina ideale, r risulta sempre minore di 1. Al numero 1 va infatti sottratta la quantità Q1/Q2 che è sempre minore di 1 (per definizione di Q1 e Q2) e, ciò che è peggio, è sempre diversa da 0 (per quanto ci ha insegnato Carnot: è infatti impossibile che Q1 sia uguale a 0 se si vuole far funzionare una macchina termica). Affinché il rendimento sia il maggiore possibile si deve cercare di rendere il più piccolo possibile il rapporto Q1/Q2. Poiché si può dimostrare che per una macchina di Carnot sussiste l’identità seguente:

dove T1 e T2 sono le temperature assolute corrispondenti rispettivamente alla sorgente fredda e calda, risulta evidente che rendere minimo Q1/Q2 equivale a rendere minimo T1/T2. Quest’ultimo rapporto si può rendere minimo lavorando con due sorgenti che abbiano il massimo possibile di differenza di temperatura (T1 molto piccola e T2 molto grande: una frazione con denominatore grande e numeratore piccolo è un numero piccolo). È importante però osservare che questo è il rendimento di una macchina ideale; nel caso avessimo a che fare con una macchina reale, il numero r sarebbe più piccolo (a volte di molto) di quello ottenuto per la macchina ideale.
Un esempio può servire ad illustrare meglio quanto detto. Vogliamo calcolare il rendimento di una locomotiva a vapore che ha una caldaia che porta l’acqua alla temperatura di 127° C (= 400 °K), sapendo che la temperatura della sorgente fredda (ambiente) è di 27 °C (= 300 °K). Si ha:

Ebbene, sì: l’esempio da noi fatto, che non si discosta molto dalla realtà, ci dice che solo il 25% del calore che noi forniamo diventa lavoro meccanico. E questo nell’ipotesi che la nostra locomotiva sia una macchina ideale di Carnot. Ciò evidentemente non è, e quindi il rendimento di una tal locomotiva sarà sempre certamente inferiore al 25%. Come si vede il concetto di rendimento (del primo ordine) è estremamente utile per capire che uso stiamo facendo di un dato combustibile. Esso ci può inoltre far capire il modo di migliorare le cose. Nell’esempio fatto, poiché è molto dispendioso abbassare la temperatura della sorgente fredda (per far ciò occorre disporre di un apparato che consuma energia e che ha un suo rendimento), dovremo accontentarci di aumentare la temperatura di lavoro del fluido presente nella macchina. Ma alte temperature significano alte pressioni e quindi contenitori a pressione più massicci, più pesanti. Occorrerà quindi aumentare la temperatura compatibilmente con gli altri parametri in gioco (se, ad esempio, l’aumento di 10 °C di temperatura dovesse comportare il raddoppio del peso della locomotiva ed un suo aumento di prezzo del 50%, state tranquilli che ci si accontenterebbe del rendimento suddetto. Vi sono poi altre compatibilità legate al tipo di materiale con cui è fatta una macchina perché, ad esempio, con l’acciaio non si possono superare i 600 °C).
Il concetto di rendimento è stato molto utile e largamente utilizzato e molto redditizio in termini «economici». Risolve tutti i problemi ? Per capirlo è stato necessario passare attraverso una delle ultime crisi energetiche, quella del 1973. E, proprio nel 1974, vi sono state delle importanti novità. La termodinamica che dormiva quieta e soddisfatta dei numerosi successi che per suo tramite erano stati conseguiti, si è bruscamente risvegliata con una impennata che riguarda proprio il concetto di rendimento.
Supponiamo di voler schiacciare una noce. Né il primo né il secondo principio della termodinamica ci impediscono di farlo con un maglio a vapore. Calcoliamoci, con le formule ora viste, il rendimento del maglio: supponiamo sia del 30%. Ed allora andiamo a schiacciare la noce. Benissimo, ma qualcuno può obiettare che abbiamo impiegato male l’energia perché non abbiamo lavorato con una macchina che ci da il massimo rendimento possibile, relativamente ad un maglio ideale (che lavori con un ciclo di Carnot) che prevede, ad esempio, un rendimento del 45%. Ed allora, poiché bisogna risparmiare energia, occorre lavorare per migliorare quel rendimento del 30% e portarlo sempre più vicino a quello ideale del 45%. Ci costruiamo un maglio più sofisticato: abbiamo eliminato al massimo gli attriti, lavoriamo con un fluido che si avvicina molto a quello ideale, facciamo fare le trasformazioni nel modo più lento possibile. Siamo ad un rendimento del 40%. Ottimo risultato: ora nessuno ci potrà più dire che sprechiamo energia per schiacciare la noce! Ma c’è qualcuno, che fino ad ora non ha detto nulla perché sentiva parlare solo grossi tecnici e perché pensava di lire cose ridicole, che timidamente dice: «Scusate, ma non era più semplice usare uno schiaccianoci?» Questa favoletta non è assurda come potrebbe sembrare. Essa rispecchia in modo abbastanza fedele la situazione nella quale noi oggi ci troviamo ad utilizzare gran parte dell’energia: schiacciamo noci con un maglio e giriamo con una Ferrari dentro Roma, (e neanche a pensare che tutto ciò sia una scelta individuale del singolo cittadino). In sostanza si tratta di questo: l’uso che noi facciamo dell’energia è il più appropriato per gli scopi che ci prefiggiamo? Per rispondere a questa domanda è stato introdotto, da alcuni fisici statunitensi della società Americana di Fisica (APS), un altro tipo di rendimento, chiamato del 2° ordine, per distinguerlo dal precedente. Il rendimento del secondo ordine ci da informazioni sulla bontà delle nostre scelte nell’uso di una determinata fonte energetica. Esso permette di passare da un fattore di quantità (rendimento del 1 ° ordine) ad un fattore di qualità. Vediamo di cosa si tratta, riferendoci ai lavori originali in cui i fisici dell’APS trattano la questione.
Dopo aver spiegato che il problema principale che intendono affrontare è un migliore uso dell’energia anche attraverso l’educazione dei consumatori, i fisici dell’APS affermano di aver concentrato il loro lavoro su tre categorie di usi finali di energia: la casa, l’automobile ed i processi industriali. Come ottenere un uso più efficiente dell’energia? «L’uso del primo principio della termodinamica è inadeguato per fornire il minimo percorso energetico adatto al conseguimento di una data prestazione mediante qualsiasi dispositivo o sistema. Sappiamo che l’energia non si perde; dal punto di vista del primo principio il compito di minimizzare i consumi di energia appare essere principalmente un compito finalizzato ad accumulare la maggiore quantità possibile di energia. Ma noi sappiamo anche che, in ogni processo che coinvolge del calore, le limitazioni del secondo principio della termodinamica, dell’inesorabile aumento dell’entropia, usualmente garantiscono che non tutta l’energia può essere trasformata in modo utile (…). Noi abbiamo trovato che una misura più utile dell’efficienza è il rendimento del secondo ordine definito, per un dispositivo o sistema che debba trasferire lavoro o calore (non ambedue), come:

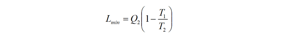
Da questa definizione discende come conseguenza che il massimo valore di ε è 1 in tutti i casi. Il numeratore poi, nel rapporto ora definito, è lo stesso che si ha nel rendimento del primo ordine. Il nuovo denominatore rappresenta un semplice ma fondamentale cambiamento perché introduce direttamente nella definizione di rendimento le leggi della termodinamica. Il massimo che compare nel denominatore vuol ora dire il massimo teorico permesso dal primo e dal secondo principio della termodinamica. Si noti che si tratta della massima prestazione, non del massimo che si può ottenere da un dato dispositivo.
Il rendimento del secondo ordine permette immediatamente di riconoscere la qualità della prestazione di qualunque dispositivo relativamente a quello che esso dovrebbe idealmente essere, mostrando come, in teoria, vi sono molte possibilità di miglioramento. Esso misura lo spreco di combustibile (parte del quale è, naturalmente, inevitabile). Per ogni prestazione specifica che richieda calore o lavoro, il massimizzare e equivale a minimizzare il consumo di combustibile. Nel caso in cui non sia in gioco il consumo di combustibile — come quando si ha a che fare con impianti idroelettrici, impianti a vento, campi geotermici o collettori solari — il massimizzare ε ha una ricaduta sull’investimento di capitale nelle unità produttrici di potenza. Inevitabilmente, quindi, la massimizzazione di ε diventa materia per considerazioni politiche.
Si tratta di un obiettivo tecnico, che si accompagna ad obiettivi economici, ambientali e di conservazione dell’energia, che deve essere conseguito». Cerchiamo di capire meglio iniziando con il dare un’altra definizione di rendimento del secondo ordine:

[ε risulta essere minore o al massimo uguale ad 1]
Supponiamo ora di voler riscaldare una stanza utilizzando una caldaia, ad esempio, a gasolio. La situazione è illustrata nella figura seguente:

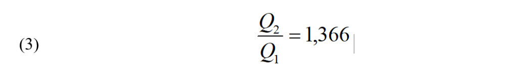
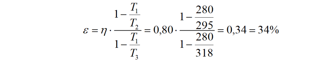
del combustibile viene bruciato ad una temperatura di circa 1000 °C (1273°C). L’acqua calda viene poi inviata ad un termosifone dove la temperatura è intorno agli 80 °C (353°K). Il risultato è il riscaldamento della stanza a circa t2 = 22 °C (295 °K), con una temperatura dell’ambiente esterno di t1 = 7 °C (280 °K). Se ci facciamo il conticino (è facilissimo ma ora non conviene interrompere il discorso) troviamo un rendimento η incredibilmente buono, intorno al 60%. Se facciamo la stessa operazione per il rendimento e del secondo ordine troviamo invece 3,6% !!! È un risultato clamoroso: utilizzare del gasolio che brucia 1000 °C per riscaldare un ambiente a 22 °C è un vero e proprio scempio energetico! Una strage termodinamica. Il calore ad elevata temperatura è energia di estremo pregio: essa è in grado di darci un’altra energia di gran pregio, il lavoro meccanico. Al contrario, il calore a bassa temperatura è energia molto poco pregiata: essa non riesce a darci lavoro meccanico. Perché allora sprecare in questo modo l’energia pregiata? Una serie di possibili risposte le possiamo solo accennare, tenendo conto di quello che anche i fisici dell’APS ammettono (discutere del rendimento del secondo ordine è discutere di politica): mancanza di volontà politica, interessi economici, consuetudini, pigrizia mentale, non conoscenza dei problemi, costi iniziali elevati.
Ma torniamo al rendimento del secondo ordine e chiediamoci cosa si può fare per riscaldare una stanza ai 22°C. Sembra si debba utilizzare energia a più bassa temperatura come quella che forniscono gli impianti di cogenerazione e teleriscaldamento (recupero dell’acqua già utilizzata come vapore per far funzionare una turbina di una centrale elettrica) o i pannelli solari piani. Se ci facciamo lo stesso conto di prima sostituendo al bruciatore a gasolio dei pannelli solari che lavorino, ad esempio, a t3 = 45°C (318°K) e con un rendimento η = 80% (la parte mancante è dovuta a perdite di calore nelle tubazioni) per il rendimento del secondo ordine troviamo ε = 34%, circa 10 volte maggiore !. Vedremo il calcolo più oltre.
Come si può vedere, quindi, con un uso appropriato della fonte energetica, il rendimento del secondo ordine sale enormemente. Ma noi abbiamo fatto solo un esempio: i fisici dell’APS ci forniscono dei dati più completi ed interessanti a confronto con i rendimenti del secondo ordine di alcuni impianti solari (riportati nella tabella seguente).
| Sistemi convenzionali | ε in % | η in % |
| Scaldabagno elettrico | 75 | 1,5 |
| Scaldabagno a gas | 50 | 3 |
| Riscaldamento centralizzato | 75 | 15 |
| Caldaia a gasolio per riscaldamento | 60 | 6 |
| Radiatore elettrico per riscaldamento | 90 | 2,5 |
| Frigorifero a compressore | 90 | 4 |
| Produzione di vapore di processo | 85 | 30 |
| Trasporto auto private | 20 | 10 |
| Produzione di energia elettrica | 38 | 33 |
| Produzione di energia meccanica | 30÷40 | 30÷40 |
(N.B.) – I valori dati sono spesso mediati poiché, come sappiamo, i rendimenti ε ed η dipendono dalle differenze di temperatura tra le sorgenti calda e fredda.
Guardando la tabella, si può notare che i rendimenti del primo e secondo ordine, praticamente, coincidono per la produzione di energia elettrica e meccanica. Cosa vuoi dire? Ambedue queste forme di energia sono estremamente pregiate; per la loro produzione occorre un’energia egualmente pregiata, quella contenuta nel calore ad alta temperatura. Come già accennato, per la produzione di calore a bassa temperatura, quello che serve per riscaldare ambienti o per avere acqua calda nello scaldabagno, è completamente errato l’uso di energia pregiata (alte temperature, energia elettrica, energia meccanica,…). L’energia (o il calore) a bassa temperatura è un qualcosa di scadente che si ottiene con gran facilità; per ottenere quindi calore a bassa temperatura occorre utilizzare fonti di calore che non superino i 120÷130°C. Quando il salto tra la temperatura che ci occorre e quella che viene utilizzata è piccolo allora, possiamo star certi, abbiamo un rendimento del secondo ordine relativamente alto.
Si può poi osservare che, a volte, l’uso della fonte energetica appropriata può permettere l’aumento di un fattore 10 del valore del rendimento del secondo ordine. L’esempio che abbiamo precedentemente visto è un esempio di quanto vado dicendo: nel caso in cui si procedeva al riscaldamento di un ambiente mediante un sistema collegato ad una caldaia a gasolio si otteneva η = 3,6%, nel caso in cui per lo stesso scopo si utilizzavano pannelli solari si otteneva ε = 34%. Che vuol dire ciò? Se pensiamo le cose in termini di energia scopriamo che la disponibilità energetica aumenta di circa 10 volte; se le pensiamo in termine di combustibile le cose diventano del tutto diverse: nel caso della caldaia c’è il consumo di una fonte energetica non rinnovabile, nel caso dei pannelli solari, per ottenere la prestazione in oggetto non dobbiamo consumare nulla che non si ricrei immediatamente. Ma, volendo anche escludere i pannelli solari, il riscaldamento domestico e dell’acqua si può certamente ottenere con il recupero del calore di scarto di svariati impianti industriali, centrali termoelettriche od altro. Questi impianti scaricano normalmente verso l’ambiente esterno notevoli quantità di energia sotto forma di acqua a bassa temperatura tra i 25 ed i 40°C. È proprio ciò che serve per l’uso che ci proponiamo. Impianti di cogenerazione e teleriscaldamento possono utilmente servire allo scopo. Risolte tutte le compatibilità tecnologiche, resta da risolvere quelle economiche e politiche. C’è ancora un’altra osservazione relativa, questa volta, al confronto tra il rendimento del primo ordine con quello del secondo ordine. Riferendoci ancora all’esempio fatto, si può vedere che i due rendimenti, nel caso in cui per riscaldare il nostro ambiente utilizzavano la caldaia alimentata a gasolio, valevano rispettivamente ε = 34%, η = 3,6%. Poiché il rendimento del primo ordine ha come referente il primo principio della termodinamica, ci da un’informazione diversa dal rendimento del secondo ordine, che ha come referente il secondo principio: η ci dice che il massimo risparmio teorico che possiamo realizzare è del 40%; ε ci dice che il massimo risparmio teorico che possiamo realizzare è del 96,4%. E, da tutto ciò che abbiamo detto, si dovrebbe essere capito che il rendimento del secondo ordine prevede un intervento in più sugli impianti consumatori di energia: è l’impianto adeguato al fine che ci proponiamo? E non basta migliorare i rendimenti η delle macchine, occorre anche provvedere a sostituirle quando altre macchine raggiungono lo stesso scopo con minor impiego di energia. Gli interventi su ε a livello dell’Unione Europea sono stati oggetto di studio approfondito nel 1976 con proiezioni all’anno 2000 (sono passati 35 anni ed oggi possiamo verificare quanto erano giuste quelle proiezioni). Si sono ipotizzati tre modelli di crescita della domanda di energia primaria: il primo basato su un «modello inerziale», le cose andranno così come sono andate fino ad ora; il secondo con una politica di interventi su η; il terzo con una politica di interventi su ε. Alla base di tre modelli c’erano ipotesi comuni: stesso incremento annuo di popolazione (0,8%), del numero di autovetture (3,6%), del prodotto nazionale lordo (4%). I risultati sono riportati sul grafico che segue che, mi pare, parli da solo: con gli interventi su ε, nell’anno 2000 sarebbe occorsa circa un terzo (!) dell’energia che sarebbe occorsa marciando con il modello inerziale. Ma non si è fatto nulla.

Per rendere quantitative alcune delle cose dette, partiamo dalla (1) riscrivendola in modo più trattabile:

Facciamo dei conti per trovare quanto vale Leff.
delle singole parti che costituiscono l’impianto. Chiamiamolo rendimento globale ed indichiamolo con ηg. La nostra macchina può essere pensata come una pompa di calore, che lavori tra le temperature T3 e T1 e con un suo coefficiente di prestazione ηc, alimentata dalla caldaia che ha un suo rendimento η. Il rendimento globale ηg sarà allora dato da Q2/Leff. Si ha:

Vediamo ora quanto vale Lmin supponendo, ad esempio, che esso sia fornito dalla pompa di calore appena vista:

Sostituendo questi valori nella (1) otteniamo:

Abbiamo così un’espressione operativa per il rendimento del 2° ordine. Facciamo un conto per vedere i risultati.
Supponiamo di avere una temperatura esterna t1 = 7°C e di voler riscaldare una stanza a t2 = 22°C mediante una caldaia che ha una fiamma t3 = 1000°C e con l’eccellente rendimento del 60% (abbiamo così: T1 = 280°K; T2 = 295°K; T3 = 1273°K).
Sostituendo nella (2) si trova:

Si può concludere con considerazioni politiche: utilizzare un combustibile che ci porta a 22°C partendo da 1000°C è una strage termodinamica. Il calore ad alta temperatura è molto pregiato e non può essere sprecato per scaldare a bassa temperatura. Cosa si può fare allora per scaldare al meglio quella stanza ? Occorre partire da energie a più bassa temperatura come quella fornita dalla cogenerazione e dai pannelli solari piani.
Ripetiamo allora il conto or fatto sostituendo alla fiamma a T3 = 1273°K, un pannello solare che lavori a 45°C (T3 = 318°K) e con un rendimento η = 0,80 = 80% (rendimento che, si badi bene, non riguarda uno spreco di combustibile e che può solo riguardare tubazioni con qualche perdita o vetri opachi):

Mi pare evidente che, con una macchina appropriata, ε sale di molto.
18 – L’entropia in modo divulgativo
Il Principio di conservazione dell’energia (o Primo Principio della Termodinamica) fu per la prima volta enunciato in forma completa e chiara dal fisico tedesco Helmholtz nel 1847.
Se solo si pensa che ci troviamo a ben 150 anni dalla formulazione della meccanica di Newton, ci si rende conto della grande difficoltà che il problema comportava. Alla meccanica newtoniana erano estranei i concetti di lavoro ed energia, concetti che invece diventeranno “tecnologicamente” molto importanti in connessione con la seconda rivoluzione industriale. L’introduzione nei processi produttivi di una grande quantità di ritrovati tecnici poneva interrogativi sempre più pressanti: si trattava di sottoporre a trattamento teorico i problemi che si ponevano, si trattava di capire per ottimizzare i rendimenti delle varie macchine. Non ci si poteva più accontentare di quanto sostenuto da Newton: ogni perdita di “movimento” che si ha nell’Universo viene reintegrata da Dio.
Sulla strada aperta dagli studi di suo padre (Lazare) sulle macchine idrauliche, Sadi Carnot, già nel 1824, aveva capito e dimostrato che una macchina termica, anche se funzionante in modo ideale, ha sempre un rendimento inferiore al 100% (per il funzionamento di una tale macchina, parte del calore deve necessariamente e letteralmente essere scaricato nell’ambiente esterno).
Alla base della non esatta comprensione del principio di conservazione dell’energia c’era proprio questo tipo di complicazione sorta in connessione agli studi sulle macchine a vapore. Questa difficoltà derivava dal fatto che vi è un qualche cosa di asimmetrico nella trasformazione dell’energia: mentre tutta l’energia meccanica può trasformarsi in calore senza alcun residuo, l’opposto non si verifica mai; così quando si fornisce del calore ad una macchina a vapore, solo una parte di questa energia può essere impiegata per far girare l’albero ed un residuo inevitabile deve essere scaricato sotto forma di calore perduto nel condensatore della macchina.
Vi era poi un altro problema: occorreva capire che il calore è movimento. La cosa era già stata intuita da Galileo ma soltanto con Rumford (1800) si cominciò a lavorare su questa ipotesi.
L’enunciazione del primo principio non aiutava comunque a capire l’asimmetria cui abbiamo accennato. A questa asimmetria, con opportuna sistemazione, si è dato il nome di Secondo Principio della Termodinamica. Il primo enunciato di questo secondo principio è dei primi anni della seconda metà dell’Ottocento ed è dovuto a Clausius:
È impossibile realizzare una trasformazione il cui unico risultato sia quello di far passare del calore da un corpo più freddo ad uno più caldo
A questo enunciato ne sono seguiti vari altri, tutti equivalenti tra loro e tutti in completo accordo con quanto già trovato da Carnot.
Il fatto che il secondo principio ci dica che il calore passa dai corpi caldi a quelli freddi o che una macchina termica non funziona se non dispone di due sorgenti a diverse temperature, non ci aiuta a capire l’origine dell’asimmetria: semplicemente si prende atto di un dato dell’esperienza.
Fu ancora Clausius (con vari contributi di Maxwell, Boltzmann, Kelvin, …) che ricorrendo alla teoria cinetico molecolare e cioè al punto di vista microscopico riuscì ad aprire la strada ad una più completa comprensione del 2° principio. Nelle trasformazioni del calore in altre forme di energia egli ebbe cura di distinguere tra la frazione di calore che può apparire sotto forma di energia meccanica e quella che deve essere scartata come calore perso. La frazione di calore che si trasforma in energia meccanica la chiamò energia libera, mentre chiamò entropia la frazione di calore che non si trasforma e che resta nel sistema a temperatura più bassa (essa era già stata intuita da Galileo ma soltanto con Rumford (1800) si cominciò a lavorare su questa ipotesi.
Capire cos’è entropia è capire il 2° principio (e non solo, come vedremo). Per far ciò occorre rifarsi al punto di vista microscopico andando a vedere cosa succede ai singoli atomi che costituiscono un dato sistema termodinamico quando si effettua una trasformazione di lavoro in calore e viceversa.
Consideriamo due esempi: l’energia meccanica di un proiettile che, andando quest’ultimo ad urtare su di una lastra d’acciaio, diventa calore e l’energia meccanica delle ruote di un treno che, quando vengono frenate, si riscaldano. Seguiamo con le figure 1 e 2 (fortemente esagerate) il comportamento degli atomi dei due sistemi prima che essi vadano ad urtare o frenare (quando hanno solo energia meccanica) e subito dopo l’urto o frenata (quando hanno solo energia termica). Risulta evidente che, fintantoché c’è energia di movimento, tutti gli atomi seguono ordinatamente quel movimento; quando il movimento cessa e si trasforma in calore, tutti gli atomi si muovono disordinatamente in tutte le direzioni (si noti che il fenomeno interessa anche la lastra d’acciaio e la rotaia e, più in generale, ogni volta che si produce un dato fenomeno naturale esso è sempre accompagnato dal riscaldamento di tutti gli oggetti interessati al fenomeno). Se ora pensassimo di scaldare e il proiettile schiacciato e la ruota frenata, cosa vi aspettereste ?


Figura1 Figura 2
A questo punto non è più possibile pensare che il proiettile si rimetta in marcia all’indietro e neanche che la ruota si rimetta a camminare. Qual è l’effetto del riscaldamento, allora, degli oggetti di figura 1 e 2 ? Riscaldare significa fornire energia cinetica (movimento) ai singoli atomi e pertanto questi ultimi si muoveranno con maggiore velocità in tutte le direzioni e, se possibile, più disordinatamente.
Facciamo un esempio macroscopico per capire meglio questo aspetto. Supponiamo di avere una tazza con dentro un mucchietto di zucchero a destra ed un mucchietto di cacao a sinistra. Prendiamo un cucchiaino e giriamo cinquanta volte in verso orario dentro la tazza (avendo cura di muovere il cucchiaino piano piano e sempre radente al bordo della tazza). Che cosa abbiamo ottenuto ? Un miscuglio omogeneo di zucchero e cacao.

Figura 3
Prendiamo ora questo miscuglio ed operiamo su di esso in modo esattamente inverso: giriamo il cucchiaino cinquanta volte in verso antiorario dentro la tazza (avendo cura di muoverlo piano piano e sempre radente al bordo della tazza). Che cosa abbiamo ottenuto ? Se qualcuno si aspettava un mucchietto di zucchero a destra ed uno di cacao a sinistra si sbaglia: quello che abbiamo è, se possibile, un miscuglio ancora più omogeneo.
Quanto stiamo dicendo può essere semplicemente spiegato ricorrendo ai concetti di reversibilità ed irreversibilità.
Le trasformazioni che abbiamo preso in considerazione sono tipiche trasformazioni irreversibili ed i tentativi che noi facevamo per ricostruire la situazione precedente partivano dal presupposto, che esse, invece, fossero reversibili. Una trasformazione è reversibile quando essa si svolge in modo tale che, alla fine del processo, sia il sistema sia tutto ciò che ha avuto relazione con esso durante la trasformazione possono essere riportati alle condizioni iniziali, senza modificare nulla in tutto il resto dell’universo (una trasformazione si avvicina alla reversibilità solo quando avviene lentissimamente e non è accompagnata da effetti dissipativi, quali attriti e cose del genere). Ci vuol poco a convincersi che in natura non esistono trasformazioni reversibili e cioè che la natura, ci offre solo trasformazioni irreversibili. Si può certamente lavorare in modo da avvicinarci sempre di più alla reversibilità, ma nella convinzione che una trasformazione reversibile non esiste.
Solo quella parte della fisica che va sotto il nome di “Meccanica” offre una quantità di situazioni reversibili, ma tutte frutto di notevoli astrazioni: ‘supponiamo che non vi sia attrito‘; ‘supponiamo di avere una massa, puntiforme‘; ‘supponiamo di avere una molla senza peso‘; ‘un filo inestensibile‘; ‘un urto perfettamente elastico‘; … Proprio per questo la meccanica offre una singolarità di grande importanza proprio in relazione alle considerazioni che stiamo facendo; le sue equazioni sono simmetriche rispetto al tempo. In esse si può sostituire, in luogo di t, il valore – t e tutto funziona regolarmente alla rovescia. Tutto è cioè reversibile. Infatti, per la determinazione dello stato di moto di un corpo rigido, la meccanica richiede solo che siano dati la sua posizione e la velocità del suo baricentro. Pertanto, da un punto di vista meccanico, avere 1’universo è avere un numero enorme di atomi con le loro posizioni e velocità. Elaborando matematicamente l’insieme di queste variabili si potrebbe, teoricamente conoscere dove evolve (e cioè qual è il futuro dell’universo e, cosa clamorosa, dal fatto che le equazioni della meccanica sono simmetriche rispetto al tempo, si potrebbe ricostruire tutto il passato dell’universo (e non solo materiale) fino alle origini. In fondo si tratterebbe solo di studiare una quantità di urti (!). E proprio queste considerazioni fece Laplace agli inizi dell’ 800 (quando la termodinamica ancora non esisteva). Egli infatti sostenne, nel suo “Saggio filosofico sulla probabilità” (1814):
“Dobbiamo dunque considerare lo stato presente dell’universo come l’effetto del suo stato anteriore e come la causa del suo stato futuro. Un’Intelligenza che, per un dato istante, conoscesse tutte le forze da cui è animata la natura e la situazione rispettiva degli esseri che la compongono … abbraccerebbe nella stessa formula i movimenti dei più grandi corpi dell’universo e dell’atomo più leggero; nulla sarebbe incerto per essa e l’avvenire, come il passato, sarebbe presente ai suoi occhi “.
Ma poiché questa Intelligenza non c’è, conclude Laplace, occorre far ricorso alla “probabilità” che ci permette di descrivere in modo più semplice il comportamento di una moltitudine di oggetti.
Tornando alla reversibilità (prima di vedere come anche noi dovremo far ricorso alla probabilità) certamente avrete visto più volte dei filmati proiettati a marcia indietro. Il film che illustra un fenomeno meccanico lo si può vedere in un verso od in senso inverso senza accorgersene o, comunque, senza che la cosa ci risulti strana o ridicola. In altri fenomeni, invece, e sono praticamente la totalità, vedere proiettato un filmato alla rovescia certamente ci lascerebbe interdetti o, quantomeno, ci farebbe ridere.
Se pensiamo all’urto di due palle da biliardo (o all’oscillazione di un pendolo) e quindi immaginiamo il fenomeno avvenire alla rovescia, tutto torna e la cosa ci funziona.
Pensiamo invece ad una bottiglia che cade da un tavolo. Essa va giù e, toccando il suolo si rompe in molti pezzi. Proviamo a vedere la scena alla rovescia. Niente da fare, non riusciamo a pensare a tanti pezzi di vetro che si rimettono insieme rifacendo una bottiglia (!); e che quindi la bottiglia ricostruita parta dal suolo, con grande slancio, per andarsi a posare delicatamente sul tavolo.
Mentre nel primo caso, ad un’osservazione superficiale o parziale, non è possibile stabilire un ordine tra gli avvenimenti, nel secondo caso c’è un ordine ben preciso: gli eventi si svolgono in un ordine determinato. E questo è valido per tutti i fenomeni naturali (se si pensa bene anche per le palle da biliardo o per un pendolo c’è un ordine di tempo: se guardiamo con attenzione tutto il film possiamo osservare che le palle prima hanno grandi velocità e poi sempre più piccole, finché tutto si ferma).
E’ interessante scoprire che le cose, in natura, vanno come il tempo: tutte in un verso.
Ma è possibile scoprire qual è questo verso ?
Supponiamo di avere due pentole d’acqua a temperature differenti. Mescoliamo l’acqua. La situazione finale è che il miscuglio d’acqua, spontaneamente, si porta ad una temperatura intermedia tra le due iniziali.
Supponiamo di avere un recipiente diviso in due settori, messi in comunicazione da un piccolo foro fornito di tappo. All’inizio del processo uno dei due settori sia pieno d’aria e nell’altro sia stato fatto il vuoto. Se togliamo il tappo l’aria spontaneamente diffonderà nel settore vuoto di modo che, alla fine del processo, essa sarà ugualmente distribuita nei due settori.
Supponiamo di avere un corpo caldo ed un corpo freddo. Mettendoli in contatto, per il sistema formato dai due corpi, troveremo una temperatura intermedia: spontaneamente del calore si è trasferito dal corpo a temperatura più alta a quello a temperatura più bassa.
A ben guardare, soprattutto quest’ultimo esempio, ci fa intendere che stiamo parlando del 2° principio della termodinamica.
C’è dunque una direzione verso cui gli avvenimenti tendono e, forse, proprio l’interpretazione microscopica del 2° principio può aiutarci a capire qual è questa direzione.
Un qualsiasi stato di un sistema è sempre caratterizzato dalla sua energia interna: i suoi atomi sono in moto a determinate velocità dipendenti solo dalla temperatura cui il sistema si trova. Abbiamo visto che i processi naturali comportano. alla fine, un riscaldamento di tutti gli oggetti appartenenti al sistema che subisce la trasformazione. Abbiamo anche detto che una situazione in cui si sviluppa calore comporta un disordine maggiore nel moto delle molecole. E poiché, in tutte le trasformazioni che avvengono in natura, in un modo o nell’altro, si sviluppa del calore, si può dire che: in tutte le trasformazioni naturali aumenta il disordine nel moto delle molecole del sistema che subisce la trasformazione.
Per capire meglio occorre dare un significato più preciso alla parola disordine. Nella figura 4 è riportato un contenitore diviso in due parti da un setto mobile. In ciascuna parte in cui è diviso il recipiente vi sono molecole di un gas diverso. Se togliamo il setto divisorio le molecole si saranno spontaneamente mescolate come in figura 5. Si può certamente dire che la configurazione di figura 4 è più ordinata di quella di figura 5.

Figura 4

Figura 5
D’altra parte, se pensiamo agli esempi fatti più su, anche il mescolare acqua calda e fredda comporta il passaggio da una situazione ordinata (acqua calda da una parte ed acqua fredda dall’altra) ad una disordinata (acqua mescolata); anche il mettere in comunicazione un contenitore pieno di gas con uno vuoto comporta il passaggio da una situazione ordinata ad una disordinata; anche la messa in contatto di un corpo caldo con uno freddo comporta la stessa cosa. A disordine si può dare il significato di stato più probabile.
Prima spieghiamo questa affermazione affidandoci al senso comune, passeremo poi a qualche definizione più precisa.
In casa vostra, nella camera dei bambini, dov’è più probabile trovare una penna, un giocattolo, una spilla ? Se rispondete “al loro posto” vuol dire che non avete bambini. Lo stato più probabile è certamente il più disordinato. Ma non serve andare nella camera dei bambini, basta pensare ad una cucina o ad una qualunque stanza. Qualunque persona lavori in casa sa che il problema non sta nel mettere in disordine (fatto spontaneo), ma nel mettere in ordine (tant’è vero che, a volte, si paga qualcuno per farlo).
Se prendete un mazzo di carte sistemato in un qualche cassetto di casa vostra (supposto che la casa sia ordinata !) qual è la probabilità di trovare tutte le ‘coppe‘ con le ‘coppe‘, le ‘denari‘ con le ‘denari‘, ecc., e di averle in fila (1,2,3,…) ? Credo si possa rispondere che ciò è quasi impossibile: le carte ‘preferiscono‘ sistemarsi nel modo più disordinato che è il più probabile. Ma – e qui arriviamo al nocciolo del problema – perché è più probabile che siano mescolate ? Perché il mescolamento lo si può ottenere in un numero enorme di modi (prima il 7 di bastoni, poi il 3 di spade, quindi il 5 di denari, …; oppure: prima il 2 di coppe, poi il 9 di spade, quindi l’asso di bastoni, …; oppure: …; oppure: …; …), mentre l’ordine lo si può ottenere in un solo modo (1,2,3,… di coppe; 1,2,3,… di denari; 1,2, 3,… di spade; 1,2,3,… di bastoni).
Per questo, lanciando una coppia di dadi, è più probabile che venga il 7; questo numero può essere ottenuto con un numero di combinazioni (l+6; 2+5; 3+4; 4+3; 5+2; 6+l) maggiore (6) di quello occorrente per qualunque altro numero (ed in particolare ottenere il 2 è tanto difficile quanto ottenere il 12; ambedue i numeri possono essere ottenuti in un solo modo). Sempre per lo stesso motivo, giocando la schedina, è più probabile fare l’otto od il nove che non lo zero (e, naturalmente, il 13).
Allo stesso modo per gli atomi che costituiscono un sistema.
Pensiamo ad un miscuglio di due gas in un recipiente; ci stupiremmo molto se, ad un dato istante, trovassimo tutte le molecole del gas 1 da una parte e quelle del gas 2 dall’altra. E se invece disponessimo di un solo gas in un recipiente diviso da un forellino in due zone A e B, ci parrebbe strano che questo gas si andasse a sistemare tutto in una zona (ad esempio la A). Si possono dare dei numeri relativi a quest’ultimo esempio.

Nella tabella è riportato: nella prima colonna, il numero di molecole costituenti il gas; nella seconda colonna, la probabilità dello stato con tutte le molecole in A, nella terza colonna, la probabilità che le molecole siano distribuite uniformemente in A e B. Come si vede, al crescere delle molecole costituenti il nostro sistema, cresce enormemente la probabilità di distribuzione uniforme (mentre quella non uniforme rimane costante). Se si pensa che le molecole costituenti un gas non sono 100, ma dell’ordine di 1023 (numero di Avogadro), ci si può, almeno lontanamente, rendere conto di quale numero, in questo caso, dovrebbe comparire nella terza colonna.
Pensiamo ora ad un altro esempio che ci fa intendere alcune delle cose dette a proposito delle figure 1 e 2.
Supponiamo che, ad un dato istante, gli atomi che costituiscono un sasso ‘decidessero‘, tutti, di dirigere le loro velocità in un verso determinato. Il fatto che tutti gli atomi dirigano le loro velocità in un solo verso comporta che la somma di queste singole velocità atomiche è un’unica velocità del sasso nello stesso verso di quello degli atomi. Se questo accadesse noi potremmo tranquillamente passare i pomeriggi, seduti su una panchina del parco a vedere saltellare i sassi. No, le cose non vanno cosi. Per orientare tutte le velocità degli atomi in un unico verso ci vuole un intervento esterno, ci vuole del lavoro fatto dall’esterno (si pensi che in un solo pezzettino di sasso vi sono 1023 atomi !!).
Su queste esemplificazioni si potrebbe proseguire all’infinito, ma ora ci fermiamo per ricapitolare un poco e, soprattutto, per cercare di rispondere a quella domanda, lasciata in sospeso, sulla ‘direzione dei processi naturali‘.
Abbiamo visto che: in natura si tende allo stato più probabile (quello che si può ottenere microscopicamente nel maggior numero di modi); lo stato più probabile è quello più disordinato. Se mettiamo insieme questi due risultati con gli altri che avevamo trovato, e secondo i quali in tutti i processi naturali parte dell’energia in gioco si trasforma in calore (2° principio della termodinamica) scopriamo che: in qualunque forma si abbia dell’energia, essa, in natura, tende a trasformarsi in calore poiché questa è una situazione cui compete maggiore disordine ed è quindi più probabile (quando dell’energia passa, da altre forme, a quella termica si usa dire che essa si è degradata). Quanto detto ci fa comprendere il perché l’irreversibilità presiede i processi naturali: una trasformazione di un sistema comporta sempre un grado maggiore di disordine degli atomi che lo costituiscono; la trasformazione inversa prevedrebbe il passaggio da uno stato disordinato ad uno più ordinato che, come sappiamo, è molto improbabile.
Il calore è quindi energia disordinata, mentre le altre forme di energia sono energie ordinate. In natura sono favoriti i passaggi più probabili quelli, cioè, da energie ordinate ad energie disordinate. Per questo tutto tende ad “andare in calore” ed è estremamente improbabile che del calore vada spontaneamente in energia meccanica.
Se cosi fosse sarebbe allora possibile che le molecole del mare si organizzassero in modo da trasformare la loro energia cinetica disordinata nell’energia meccanica ordinata che permetterebbe a tutte le navi di marciare gratis all’infinito (si osservi che l’energia che si può prelevare da1 mare è proprio quella delle situazioni più ordinate possibili: correnti, maree, differenze di temperatura tra strati superficiali e profondi, …).
Possiamo a questo punto trarre una prima conclusione: entropia è sinonimo di disordine (questo modo di vedere il problema fu introdotto da Helmholtz nel 1882). In natura hanno luogo i processi più probabili, quelli in cui si sviluppa calore, quelli in cui il disordine aumenta, quelli in cui l’entropia aumenta. In questo modo di vedere, i sistemi ordinati sono quelli a bassa entropia, mentre quelli disordinati sono quelli ad alta entropia: in natura si preferiscono le trasformazioni da bassa ad alta entropia, tutte quelle in cui l’entropia dello stato finale è maggiore di quella dello stato iniziale, tutte quelle in cui l’entropia aumenta. E proprio quest’ultimo è un altro modo di enunciare il 2° principio della termodinamica: in un sistema isolato possono aver luogo solo quei processi in cui l’entropia aumenta e poiché quelli sono i soli processi possibili, facendo un bilancio tra tutti i possibili processi che avvengono nell’universo, si può anche dire che l’entropia dell’universo aumenta.
Che implicazioni ha quest’ultima affermazione ? Dire che l’entropia dell’universo aumenta significa dire che il disordine dell’universo aumenta e, quindi, che tutti i processi che avvengono tendono a produrre calore il quale va, poco a poco, ad accumularsi in quell’immenso serbatoio che è l’universo. Quindi l’energia utilizzata e prodotta in qualunque parte di questo universo scarica in esso una parte di calore.
In questo universo l’energia non è distribuita in modo uniforme ma con dislivelli. Col passare dei secoli i dislivelli vanno appiattendosi di modo che via via diventa sempre più difficile produrre lavoro. Il principio di conservazione dell’energia (il 1° principio) ne esce salvo: poiché il calore è energia, il bilancio è tale che l’energia dell’universo si conserva. Ma, e qui sta il punto, il calore che via via va producendosi è a bassa temperatura, è energia disordinata che tende ad una stessa bassa temperatura (non si intenda con questo necessariamente temperature centigrade negative!). Quando fossimo giunti alla situazione in cui tutto l’universo fosse pieno di questa energia, ma tutta alla stessa temperatura, non potremmo più fare lavoro. Sono infatti le differenze di energia, di quota, di temperatura, di …, che ci permettono di ottenere lavoro. Quando la temperatura, anche se elevatissima, fosse tutta livellata non ci sarebbe neanche più modo di misurarla: il mercurio del termometro si rifiuterebbe di fare lavoro spostandosi dalla posizione in cui si trova in una più in alto o più in basso e quindi neanche più quel lavoro si potrebbe ottenere. Si tratta della “morte calda” dell’universo e, a meno di nuove scoperte sul comportamento di quest’ultimo, a tutt’oggi ci avviamo verso quella morte (non vi preoccupate ci vogliono ancora miliardi di anni e, nel frattempo, il Sole si sarà spento o, più semplicemente, una banale guerra atomica avrà cancellato questo insignificante punto nello spazio chiamato Terra).
E’ proprio cosi, è un dato comune della nostra esperienza quotidiana. Mentre vediamo scorrere i fiumi verso il mare, mai abbiamo notato un ruscello che sale verso la montagna (senza che si faccia un lavoro dall’esterno); mentre vediamo i sassi rotolare giù da un pendio, mai abbiamo visto quanto illustrato in figura 6; mentre vediamo auto che

Figura 6
nell’urto si sfasciano, mai abbiamo visto auto malandate che, nell’urto, si rimettono a posto; mentre vediamo una bottiglia cadere e rompersi in mille pezzi, mai abbiamo visto mille pezzi mettersi insieme, formare una bottiglia e andarsi a sistemare su una mensola; mentre sappiamo che le bombe distruggono, mai abbiamo visto quanto illustrato in figura 7.

Figura 7
E questo perché in natura si tende a situazioni che rendono minima l’energia annullandone le differenze (altrimenti non si comprenderebbe perché un sasso cade sempre, un fiume scende sempre, un fuoco scalda sempre, del calore si produce sempre,…).
Ma, attenzione, la termodinamica è anche rispettosa degli stati d’animo: non scoraggia l’ottimismo. Infatti le leggi della termodinamica sono probabilistiche ed ognuna delle cose che prima abbiamo negato recisamente, in realtà la termodinamica non le esclude. Essa dice solo che certi fatti sono estremamente improbabili. Cosi se passando il tempo su quella panchina vedeste, un giorno, saltare un sasso, non preoccupatevi, è previsto! La termodinamica statistica ci permette anche di fare il conto della frequenza con cui può verificarsi un tale evento: uno ogni 1026 anni (!), basta un poco di pazienza ….
Il concetto di entropia, soprattutto con la sua spiegazione microscopica, è certamente importante; ma lo è di più se si vanno a cogliere alcuni suoi sottili significati.
Pensiamo al tempo: noi pensavamo che fosse l’unica grandezza che avesse un verso determinato ed ora scopriamo che questo verso è, nel tempo, di tutti i fenomeni naturali. E cosi, quando si parla di prima e dopo (fatto che ci definisce il passare del tempo) si può, allo stesso modo ed univocamente, parlare di bottiglia sana – bottiglia rotta.
Ma diciamo di più. Quando parliamo, per comunicare con qualcuno, cerchiamo di farci capire (si pensi al problema che avevo di fronte nel momento in cui iniziavo a scrivere questo articolo) e ‘farci capire‘ significa organizzare le parole, i gesti, i toni, l’espressione nel modo più ordinato possibile. Più avremo realizzato una situazione ordinata, più saremo stati in grado di farci capire. E’ facile allora comprendere come informazione ed entropia siano strettamente correlate: più informazione c’è nel mio messaggio, minore è la sua entropia (in questo senso, se avete capito quanto ho fin qui scritto, vuol dire che l’entropia di questo lavoro è bassa, vuol dire che è stato necessario fare una grande quantità di lavoro dall’esterno il quale ha comportato all’esterno, e cioè nella famiglia, nella stanza dove lavoro, nel mio lavoro, un tale aumento di entropia, e quindi di disordine, che il bilancio tra l’eventuale bassa entropia di questo lavoro e l’entropia che ho creato per farlo è, per il 2° principio, a favore dell’aumento dell’entropia dell’universo). Si potrebbe forse capire in questo modo quanto i messaggi di certi organi di informazione e di certi politici siano ad alta entropia.
Ma non era solo per raccontare queste piccole cose che ho messo in relazione entropia ed informazione. Nella realtà questa correlazione è estremamente importante per comprendere la qualità, ad esempio, delle varie forme di energia nell’ipotesi che più bassa è 1’entropia di una fonte energetica, maggiore è il contenuto di informazione che essa porta con sé (più essa è pregiata).
Possiamo certamente dire che tra le varie forme di energia quella elettrica è la più pregiata mentre quella termica è la meno pregiata. Ma nell’ambito della stessa energia termica vi sono vari gradi di pregio, di qualità. Ad esempio, l’energia termica a più alta temperatura è molto più pregiata di quella a bassa temperatura proprio perché, a parità di calore scambiato, più alta è la temperatura più bassa è l’entropia. E quest’ultima cosa la si può vedere facilmente dalla definizione macroscopica di entropia:

In questa formula c’è scritto che l’entropia (S) è una quantità di calore (Q) ad una data temperatura (T). Più è grande la quantità di calore (a parità di temperatura), più è grande l’entropia; ma (a parità di quantità di calore) l’entropia diminuisce sempre di più quanto più aumenta la temperatura. E ciò vuol dire che il trasferimento di una data quantità di calore comporta meno entropia se avviene a temperatura più alta. Possiamo allora capire perché si hanno rendimenti maggiori quando le differenze di temperatura tra le due sorgenti (Carnot) sono maggiori; all’aumentare della temperatura della sorgente calda, diminuisce l’entropia associata a quel processo.
In definitiva l’entropia ed il suo aumento rappresentano un fattore di merito delle trasformazioni termodinamiche e possono raccontarci la storia dell’energia che si sta trasformando. L’energia tende ad ‘invecchiare‘ e questo invecchiamento dipende dall’abbassamento di temperatura e dalla conseguente comparsa di calore: più la temperatura, a cui avviene lo scambio di calore, è bassa, più l’energia è invecchiata e più grande è l’entropia.
Abbiamo detto che la tendenza generale della natura è verso un aumento dell’entropia dell’universo. Abbiamo anche detto che questo enunciato ha un carattere probabilistico. Accordiamo meglio le due cose anche per capirne altre che sembrerebbero sfuggire al principio di aumento di entropia e cioè di disordine (in pratica si tratta di capire il senso di quel “in un sistema isolato” che abbiamo letto nell’enunciato dell’aumento dell’entropia).
Pensiamo a quanto avviene nella fecondazione. Degli spermatozoi molto ‘sparpagliati’ interagiscono con degli ovuli. Uno di questi spermatozoi si fa catturare da un ovulo. Comincia la moltiplicazione delle cellule. E poiché possiamo parlare di “uomo“, sappiamo che queste cellule si moltiplicano in modo ordinato tanto da riprodurre un qualcosa che riconosciamo come “uomo“. Si può anzi dire che una delle forme più alte di ordine che noi conosciamo è proprio la vita (le stesse cose si possono dire per una pianta). Ora, va osservato, che la nascita di una vita rappresenta la costruzione di un qualcosa di più ordinato rispetto al qualcosa che la precede, fatto che sembra violare il principio di aumento dell’entropia.
La situazione può essere spiegata pensando al funzionamento di un frigorifero. Questa macchina ha la proprietà di raffreddare: le molecole degli oggetti che vi sono contenuti diminuiscono le loro velocità poiché diminuisce la temperatura; si passa quindi a situazioni più ordinate. Certo, se si prendesse in considerazione solo la cella frigorifera, avremmo ben ragione di buttare via il 2° principio. Ma questo principio, come l’abbiamo noi enunciato, sottolineava che certi processi non avvengono spontaneamente, che cioè bisogna fornire del lavoro dall’esterno per ottenerli, ed inoltre, in altro luogo, esplicitamente diceva “in un sistema isolato“. Ebbene quanto avviene nel frigorifero non avviene spontaneamente proprio perché il sistema non è isolato. C’è un motore dietro, alimentato dalla rete elettrica, e questo motore crea molta più entropia nella cucina di quanta ne riduca la cella frigorifera: in modo che, alla fine, il bilancio è sempre favorevole ad un aumento di entropia (se non credete al fatto che l’entropia creata dal motore è più alta di quella che la cella frigorifera ha ridotto, vuol dire che, chiusa la porta e la finestra della cucina e lasciata aperta la porta del frigorifero, quest’ultimo vi raffredda la cucina come un condizionatore. E quanto questo non sia vero lo sanno tutti quelli che, avendo lasciata aperta la porta del frigorifero, non solo non hanno trovato la cucina più fredda, ma hanno addirittura trovato tutto il contenuto del frigorifero ‘caldo’ – alla temperatura della cucina – e quello del freezer scongelato).
Allo stesso modo per la vita. Essa rappresenta certamente un’isola di violazione del 2° principio perché è un fatto di per sé altamente improbabile, ma è riconducibile al 2° principio proprio in quanto la vita non è possibile in un sistema isolato. Nel sistema uomo – ambiente, la presenza dell’uomo crea un’entropia molto maggiore della riduzione che la sua nascita ha comportato: da uno studio dell’UNESCO risulta che mantenere in vita e in peso un essere umano sano comporta, ogni anno, la degradazione di 500 Kg di cibo e la diffusione nell’ambiente circostante di 2 miliardi di Joule di energia sotto forma termica.
Quanto ora detto apre poi ad un altro interessante capitolo: quello dell’ecologia. Da tutto ciò che abbiamo cercato di spiegare si dovrebbe esser capito che, data 1’inevitabilità dell’aumento dell’entropia, le operazioni: di ‘disinquinamento’ in un dato luogo comportano un inquinamento in un altro (in quello in cui si produce energia per disinquinare; si pensi ad esempio alla grancassa dell’idrogeno: è certamente vero che non inquinerebbe le città ma, nel luogo di sua produzione, creerebbe un gigantesco inquinamento) e, poiché quest’altro luogo si trova sempre sulla Terra, alla lunga non si saprà più dove e come disinquinare. La soluzione di questo problema è un pio desiderio: non si tratta di ‘disinquinare‘ ma di ‘non inquinare‘.
Ma questa è un’altra storia.
19 – Entropia e Secondo Principio, con cenni al Terzo
Abbiamo visto che, quando un sistema passa da uno stato iniziale A ad uno stato finale B diverso da A, allora, oltre al lavoro esterno, si ha anche una variazione dell’energia interna (ΔU) e, per il principio di conservazione dell’energia o Primo Principio della Termodinamica, si ha (scrivendo in modo leggermente differente la 4 del capitolo 9):
ΔQ = ΔL + ΔU
Per una trasformazione infinitesima qualsiasi si ha invece:
δQ = dU + δL
Si è usato il simbolo “δ” in luogo del consueto “d” per quelle grandezze (Q ed L) che non risultano descrivere lo stato del sistema in considerazione ma solo gli scambi di “informazioni” tra questo sistema e l’ambiente circostante. Mentre infatti U, energia interna, descrive lo stato del sistema, le due quantità Q ed L descrivono i rapporti del sistema con l’ambiente. Infatti L (se > 0) è il lavoro fatto o dal sistema verso l’esterno o dall’esterno sul sistema con la convenzione che dice: DL < 0 per DV > 0 (lavoro fatto dal sistema) e che DL > 0 per DV < 0 (lavoro fatto sul sistema).
In definitiva Q ed L non descrivono uno stato del sistema (non sono funzioni di stato), mentre U descrive lo stato del sistema (è una funzione di stato). In termini matematici le grandezze la cui variazione è indicata con “δ” non sono differenziali esatti e quindi non integrabili al contrario delle grandezze la cui variazione è indicata con “d”. Con ovvie considerazioni si vede subito che il “δ” che compare ad indicare la variazione di L può essere eliminata tenendo conto che:
δL = P dV.
Il primo principio può quindi venire scritto:
δQ = dU + P dV
Niente ancora possiamo dire sul δQ.
L’introduzione dell’energia interna (U) fu dovuta a Clausius il quale, qualche tempo dopo, doveva risolvere anche il problema del δQ con l’introduzione della funzione di stato entropia (S) e l’enunciazione del secondo principio della termodinamica.
Prima di passare al secondo principio vale la pena di osservare che il primo principio afferma, in sostanza l’impossibilità di costruire una macchina capace, da sola, di produrre o di distruggere energia, ma non pone nessuna limitazione alle trasformazioni di energia da una specie all’altra.
Come già abbiamo accennato nel 1847 Helmholtz enunciò per la prima volta il principio di conservazione dell’energia: in un sistema isolato possono avvenire solo quei processi in cui l’energia rimane invariata.
Per la formulazione della seconda legge della termodinamica occorre introdurre la grandezza entropia. Tale legge afferma semplicemente che possono aver luogo solamente quei processi in cui l’entropia aumenta o almeno resta costante. In altre parole la seconda legge della termodinamica esclude tutti i processi in cui l’entropia diminuisce.
Il primo enunciato di questo secondo principio, come già detto, fu dovuto a C1ausius:
Non è possibile realizzare una trasformazione il cui unico risultato sia quello di far passare del calore da un corpo più freddo ad uno più caldo.
Un altro enunciato, che si dimostra essere equivalente al primo, fu dovuto a Kelvin-Planck:
E’ impossibile realizzare una trasformazione il cui unico risultato sia quello di assorbire calore da un serbatoio caldo e di convertirlo completamente in lavoro,
Al di là della comprensione del fatto sperimentale questi due enunciati non ci aiutano minimamente a capire cos’è l’entropia. D’altra parte a questo non assolve neppure la formulazione matematica del 2° principio (pur risultando estremamente utile per altri versi). Vediamo allora questa formulazione matematica del 2° principio premettendo la definizione termodinamica (macroscopica) dell’entropia. Per far questo occorre ritornare a quel differenziale δQ che avevamo lasciato in sospeso. Come abbiamo detto, δQ non è un differenziale esatto (non è una quantità che caratterizza il sistema ma solo scambi con altri sistemi). Vi è un unico mezzo per evitare questa difficoltà: l’introduzione di una funzione di stato (che caratterizzi il sistema come lo caratterizza il volume V, la temperatura T, la pressione P, …) che sia in qualche modo proporzionale a δQ (un’operazione analoga alla sostituzione di δL con pdV). Questa funzione di stato è appunto l’entropia S.
Se T è la temperatura della sorgente che fornisce il calore δQ al sistema (che si troverà ad una data temperatura TI) e se il calore Q è assorbito alla temperatura T in via reversibile, allora può essere dimostrato che δQ/T è effettivamente un integrale, indipendente dal cammino percorso, che cresce man mano che il corpo è riscaldato, cioè man mano che il calore fluisce in esso.
Ebbene l’integrale di questa quantità, per una trasformazione reversibile, computato da un punto (ad esempio A) preso come zero è chiamato entropia; così:

rappresenta la variazione di entropia nel passaggio dallo stato A allo stato B (che, per una trasformazione reversibile, è ΔS = 0).
Se ora facciamo percorrere un ciclo completo al nostro sistema, se cioè lo portiamo da A a B e quindi di nuovo ad A:

si ha che:

da cui segue che:

L’entropia quindi, come l’energia interna, è determinata dallo stato del sistema, ma, a differenza dell’energia interna, misura soltanto l’energia termica e non l’energia meccanica.
Data quindi la definizione dell’ entropia si può esporre il secondo principio in una delle sue molte forme:
L’entropia si accresce in un processo reversibile di una quantità uguale a δQ/T (in cui δQ è il calore assorbito dalla sorgente che è a temperatura T) e si accresce di una quantità più grande di δQ/T in un processo irreversibile.
Si ha cioè che, in un processo irreversibile, la variazione di entropia, nel passaggio da uno stato A ad uno stato B, risulta:

Si osservi che, ancora inun processo irreversibile, per un sistema completamente adiabatico (δQ = 0) si ha:
S (B) – S (A) > O à S (B) > S (A)
da cui si vede che l’entropia dello stato finale è sempre maggiore a quella dello stato iniziale (a meno che non si abbia una trasformazione reversibile, nel qual caso vale il segno di uguaglianza). Posso qui cogliere l’occasione per dare un ulteriore enunciato del Secondo Principio della Termodinamica. Poiché l’intero universo è certamente un sistema isolato, poiché nell’universo avvengono ogni istante quantità enormi di trasformazioni e poiché ogni trasformazione comporta un aumento di entropia, possiamo affermare che l’entropia dell’universo aumenta.
Fino ad ora abbiamo parlato di trasformazioni finite. In generale è più conveniente parlare di trasformazioni infinitesime per le quali, nel caso di trasformazioni reversibili, la variazione di entropia vale:

o che è lo stesso:
TdS = dU + pdV
tenendo sempre conto che ci si riferisce a trasformazioni reversibili.
Nel caso di trasformazioni qualunque deve risultare:

che rappresenta la formulazione matematica usuale per il secondo principio.
Tutto ciò che abbiamo detto finora era nell’ipotesi implicita di trattazione macroscopica in cui le grandezze fondamentali che vengono prese in considerazione per la trattazione di un sistema sono la sua composizione, i suoi volume, pressione e temperatura. Queste quantità sono, in generale, suggerite dai nostri sensi e, ancora in generale, risultano misurabili.
La termodinamica poggia sulla prima e seconda legge, oltreché sulle grandezze or ora nominate, ambedue semplici e generali, applicandosi a tutti i processi di qualunque specie.
Per mezzo della termodinamica possiamo ricavare risultati fondamentali che sono indipendenti da ogni particolare supposizione circa la struttura atomica e molecolare. Questa scienza ha dei limiti a causa della sua semplicità e generalità. In primo luogo, infatti, vi sono molti problemi cui essa non può dare risposta tra cui quelli relativi, per esempio, all’equazione di stato ed al calore specifico di particolari tipi di sostanze. La termodinamica deve presumere che queste quantità siano determinate dall’esperienza e può solo predire certe relazioni fra grandezze osservate, senza però poter dire quali valori assoluti esse abbiano. Inoltre la termodinamica è limitata alla discussione di problemi di equilibrio.
Tale incompletezza è dovuta alla particolare forma della seconda legge, che può dare solo informazioni qualitative e non quantitative circa i processi fuori dell’equilibrio. Vediamo se è possibile considerare le cose da un punto di vista diverso in modo da eliminare l’incompletezza di cui si è detto.
Noi conosciamo abbastanza intuitivamente, i concetti di temperatura e pressione, ma, al di là, di una definizione meccanica, non siamo in grado di capirne l’origine. Questo perché temperatura e pressione sono “concetti di media”. Aiutati dall’interpretazione cinetico-molecolare (punto di vista microscopico) che abbiamo già discusso. Abbiamo in particolare visto come la teoria cinetico-molecolare abbia chiarito il significato fisico di pressione e temperatura che, altrimenti, sarebbero rimaste fatti macroscopici sperimentali non spiegati nella loro essenza. Abbiamo cominciato con temperatura e pressione per familiarizzarci con i concetti di media e per introdurre il fatto estremamente importante che anche il secondo principio della termodinamica ha valore di media e che per comprenderlo fino in fondo, oltre ad utilizzare il metodo cinetico-molecolare, occorre introdurre il concetto di probabilità.
Come abbiamo visto prima il secondo principio afferma che possono aver luogo solo quei processi in cui l’entropia aumenta. Ma questo concetto di aumento di entropia applicato al calore che un gas scambia non sembra contemplato dalla teoria cinetica dei gas ed anzi appare in contrasto con la reversibilità delle leggi dinamiche che certamente governano il moto molecolare nelle ipotesi da noi fatte al momento di spiegare il significato microscopico di pressione e temperatura.
E’ stato Maxwell a superare questa difficoltà dando una nuova interpretazione dell’entropia, per la quale si è servito di una esperienza fantastica: supponiamo di avere una scatola contenente un gas divisa in due da una parete nella quale vi sia un invisibile forellino con un altrettanto piccolo sportellino affidato ad un minuscolo e velocissimo diavoletto. Questo diavoletto apre lo sportellino quando vede arrivare una molecola veloce e lo richiude quando ne vede arrivare una lenta. In questo modo, dopo un certo tempo, tutte le molecole veloci si troveranno da una parte dello sportellino, mentre tutte quelle lente si troveranno dall’altra. In definitiva si constaterà che, partendo da temperature inizialmente uniformi, si avrà una temperatura maggiore da una parte (dove la velocità media delle molecole è maggiore). Dunque, il diavoletto, senza intervento di lavoro esterno ha creato una differenza di temperatura in un gas, in aperto contrasto con il principio sopra enunciato, facendo diminuire l’entropia del sistema. Un diavoletto simile in realtà non c’è, ma nessuno vieta di pensare che per caso le molecole veloci si portino spontaneamente da una parte e quelle lente dall’altra, ottenendo l’effetto voluto. Si dirà solo che un simile evento è estremamente poco probabile. Allo stesso modo è estremamente poco probabile che un sasso schizzi da solo da una parte nell’eventualità che, sempre per caso, le molecole che lo costituiscono ad un certo istante orientino le loro velocità tutte in un verso.
La parola probabilità ci dà la chiave del problema: il secondo principio della termodinamica non è un principio assoluto, è solo un principio di probabilità. In questo senso per capirlo occorre andare al microscopico come avevamo già accennato e come faremo tra breve. Prima di farlo è interessante però far vedere come soffermandosi a questa termodinamica si rischia, oltretutto, di commettere degli errori.
Uno dei postulati base della termodinamica tradizionale è la cosiddetta legge zero della termodinamica (vedi all’inizio della trattazione termodinamica): Se un oggetto A è in equilibrio termico con un oggetto B (TA = TB), e se A è in equilibrio con C, allora B e C sono sempre in equilibrio tra loro. Ebbene se scegliamo un oggetto A permeabile ai neutroni, un oggetto B che assorbe neutroni ed un oggetto C che irradia neutroni, non conoscendo nessuna di queste proprietà radiative, stabilendo l’equilibrio termico tra A e B, e fra A e C, troviamo che B si scalda al contatto con C. Un altro esempio è A = acqua, B = benzene, C = tetracloruro di carbonio. Gli equilibri termici AB ed AC si stabiliscono facilmente ma B e C producono un calore di miscelazione per contatto. Questo fatto ci fa vedere che, al di là di quanto la termodinamica ci insegna, ci sono modi di interazione non propriamente termici e ci fa capire che quando ci sono casi in cui la legge zero non è valida occorre ricercare nuovi modi di interazione.
Abbiamo fatto questa digressione sulla incompletezza del secondo principio (e più in generale della termodinamica) per far intendere quale potenza possa rappresentare il punto di vista microscopico con il fondamentale strumento di calcolo ad esso associato: la meccanica statistica.
La meccanica statistica è una scienza molto più dettagliata della termodinamica e per questa ragione è in molti casi più complicata; essa cerca di rispondere alle questioni di come si muova in media ciascun atomo o molecola della sostanza, come questi moti portino a fenomeni osservabili su scala macroscopica, ed in qual modo, per esempio, i movimenti delle molecole di un gas comportino delle collisioni con una parete, che noi interpretiamo come pressione. Fortunatamente è possibile ricavare alcuni bellissimi ed importantissimi teoremi dalla meccanica statistica. Di fatto si può provare come il primo ed il secondo principio della termodinamica sono dirette conseguenze dei principi della meccanica statistica, cosicché tutti i risultati della termodinamica possono essere considerati come conseguenza dei suoi metodi; ma essa può andare molto più in là: partendo da modelli dettagliati della costituzione della materia, può predire i risultati di esperimenti macroscopici.
Come la termodinamica, la meccanica statistica si limita a trattare problemi di equilibrio. Senza ritrattare tutta la termodinamica che abbiamo discusso nelle prime pagine, è importante arrivare, con la meccanica statistica, almeno a quella comprensione più volte annunciata del secondo principio della termodinamica partendo da un punto di vista cinetico molecolare (senza entrare in calcoli molto complessi). Prima di andare avanti cerchiamo rapidamente di dire che cos’è il calore che, comunque, è un concetto base della termodinamica.
Quando si arriva a studiare la termodinamica si conoscono già bene l’energia potenziale (atomo di uranio) e l’energia cinetica (un proiettile in moto). Queste forme di energia sono tipiche energie ordinate. Quando provochiamo la fissione nell’atomo di uranio e quando poniamo una lastra d’acciaio lungo la traiettoria del proiettile otteniamo, in ambedue i casi, un moto violento e disordinato degli atomi, degli elettroni e dei nuclei: nella materia circostante nel caso della fissione, nella lastra d’ acciaio nel caso del proiettile. Ebbene sia la materia circostante l’uranio, sia la lastra d’acciaio si riscaldano. Le energie potenziali e cinetiche sono andate in calore e cioè in energie disordinate.
Una prima risposta qualitativa alla domanda che ci eravamo posta è allora: il calore è energia disordinata. Si può quindi enunciare un principio generale: l’energia si trasforma in calore non appena diventa disordinata. E’, cioè, l’energia disordinata che si trasforma in calore, non il disordine. Ed infatti può esistere disordine senza che si abbia calore (aria in una gomma di bicicletta che ordinariamente, a temperatura ambiente, è disordinata ma fredda; quando a questo disordine si fornisce però energia (pompando con forza aria nella gomma) esso si trasforma in calore.
Per diventare quantitativi ci occorrono almeno due numeri: il primo deve misurare la quantità di energia ed il secondo la quantità di disordine. La grandezza energia la misuriamo in Joule mentre la quantità di disordine è misurata in base al concetto matematico di entropia. L’entropia (S) è definita come un numero che indica quanti stati egualmente probabili siano possibili per un sistema in una data condizione. Il disordine consiste nel fatto che non sappiamo in quale stato il sistema si trovi (disordine = ignoranza). Un sistema ad alta entropia (gas, liquido) è libero di trovarsi in molti stati differenti al contrario di un sistema a bassa entropia (cristallo). Pensiamo per un momento ad un volume di aria. Per calcolare la sua entropia (S1) dobbiamo calcolarci quanti stati di moto siano disponibili per le molecole in quel volume.
Secondo la meccanica newtoniana lo stato di moto di una molecola è definito da posizione e velocità della molecola: questi stati di moto sono, sempre secondo la meccanica newtoniana, infiniti. Per questo non fu possibile con la meccanica classica definire l’entropia in termini assoluti ma solo calcolandone le variazioni. Nella meccanica quantistica gli stati di moto di una molecola non possono essere qualsiasi; essi sono in numero, anche se grandissimo, finito. Per questo, con considerazioni di questo tipo, si riuscì a determinare il valore assoluto dell’entropia.
Se consideriamo ora un secondo volume di aria ad entropia S2, è spontaneo pensare che, messo in contatto con il primo ad entropia S1, si origini un disordine semplicemente somma dei due originali. Quello che stiamo dicendo è che una caratteristica dell’entropia è la sua additività (S = S1 + S2), L’additività delle entropie come si lega con il disordine e quindi con la probabilità citata ?
Un sistema disordinato, avente cioè una grande entropia è un sistema le cui proprietà microscopiche possono essere fissate in un gran numero di modi differenti, per ciascuno dei quali le proprietà macroscopiche rimangono le stesse. Una sola e stessa massa gassosa, determinata da un punto di vista termodinamico, può essere microscopicamente realizzata da numerosissime e varie combinazioni dei parametri molecolari; cioè: ad uno stesso stato macroscopico di un sistema può corrispondere un gran numero di stati microscopici differenti per i parametri molecolari. Allora uno stato disordinato sarà rappresentato da un insieme che è distribuito in molti stati microscopici, ed il disordine è misurato dal numero delle possibili distribuzioni. Cerchiamo di precisare questa idea.
Se, come esempio, si hanno complessivamente N molecole di un gas a cui compete una energia totale E è ovvio che ci sono svariatissimi modi in cui le N molecole possono suddividersi l’energia totale E in modo che il risultato macroscopico non cambi (ed il numero di questi modi dipende soprattutto dal valore di E). Se, per esempio, E = 0, tutte le molecole avranno energia nulla e di conseguenza c’è un solo modo microscopico che ci rappresenta lo stato macroscopico: si ha allora un sistema ordinato la cui entropia è evidentemente nulla (non c’è disordine). Se l’energia assume un valore E1 (piccolo) allora incomincia il disordine nelle coordinate e nelle velocità delle molecole originato dal fatto che questa energia E1 si può distribuire in modo diverso fra le N molecole (ad esempio: una sola molecola acquista l’energia E1 mentre tutte le altre rimangono ad energia zero; due molecole si ripartiscono l’energia E1 – con tutte le possibili variazioni in proporzione – mentre tutte le altre rimangono con energia zero; …). E’ ragionevole però ammettere che questa energia E1 si distribuirà tra le molecole in modo che più o meno tutte acquistino una certa energia e quindi una certa velocità. Questa distribuzione è stata trovata da Maxwell e dimostrata sperimentalmente da Stern. Essa, come già visto quando abbiamo trattato la teoria cinetica, ha un andamento di tipo gaussiano:


Ciò che abbiamo detto ha ovviamente valore statistico, come del resto già discusso nel capitolo precedente.
Una misura di N(v), del numero di molecole aventi una data velocità, fatta ad un certo istante può dare risultati differenti da quelli previsti teoricamente: resta il fatto che in media il sistema si comporta come previsto.
Uno stato macroscopico del gas appare avere una tanto maggiore probabilità W di esistenza quanto maggiore è il numero degli stati microscopici differenti mediante i quali si può rea1izzare; ed appare naturale ammettere che un gas, posto inizialmente in uno stato macroscopico qualsiasi, evolva verso lo stato macroscopico più probabile (teorema ergodico). Si può indicare con W la probabilità di esistenza di questo stato macroscopico più probabile (e, per definizione di Probabilità Termodinamica, W sarà anche il numero degli stati microscopici che realizzano uno stesso stato macroscopico). Quindi: maggiore è il numero di stati microscopici che realizzano uno stesso stato macroscopico, maggiore è la probabilità di esistenza dello stato macroscopico stesso; maggiore è il numero degli stati microscopici che realizzano uno stesso stato macroscopico, maggiore è il disordine; maggiore è il disordine maggiore è l’entropia; ed, in definitiva, maggiore è la probabilità di esistenza di uno stato macroscopico maggiore è l’entropia, e, poiché i sistemi evolvono verso il loro stato più probabile, è ovvio che evolvano verso stati a massima entropia. La relazione di proporzionalità tra entropia di uno stato e sua probabilità di esistenza è stata trovata da Bo1tzmann (1877) con considerazioni statistiche. Essa è:
S = k 1og W
dove k è la costante di Bo1tzmann. L’entropia S si misura con le stesse unità di k e cioè in J/°K (essendo log W un numero puro) .
Osserviamo che l’espressione data per l’entropia è in accordo (anzi è l’unica possibile) con l’additività delle entropie a cui si è accennato. Supponiamo infatti di avere due masse di gas, inizialmente separate, a cui competono rispettivamente entropie S1 ed S2 e probabilità di esistenza dello stato macroscopico W1 e W2. Quando mettiamo in comunicazione le due masse di gas si avrà una probabilità W = W1.W2 per il sistema totale.
Per comprendere quanto dico occorre richiamare semplici concetti di calcolo delle probabilità ed in particolare la probabilità composta.
Qual è la probabilità che si verifichi un evento essendosene già verificato un altro? Qual è la probabilità di estrarre, da un mazzo di carte italiane, un asso di bastoni?
La probabilità di estrarre un bastoni è: w1 =10/40
La probabilità di estrarre un asso è: w2 = 4/40
La probabilità di estrarre un asso di bastoni è: w = w1.w2 = 10/40 . 4/40 = 1/4 . 1/10 = 1/40
Il risultato era ovvio anche a priori ma il conticino è servito a mostrare che la probabilità composta è data dal prodotto delle probabilità prese separatamente.
Per l’entropia complessiva otterremo quindi:
S = k log W = k log (W1.W2) = k log W1 + k log W2 = S1 + S2
In accordo con il fatto sperimentale che conferma l’additività delle entropie. Del resto la relazione ora scritta si può ricavare direttamente dal secondo principio della termodinamica.
Tornando a quanto discutevamo prima di questa parentesi sulla probabilità, dopo aver definito che cosa intendiamo per quantità di energia e per quantità di disordine, vediamo come questi due numeri descrivono le proprietà del calore osservabili sperimentalmente. La termodinamica è basata su due semplici principi. Il primo non è altro che il principio di conservazione dell’energia: l’energia totale, incluso il calore, di ogni sistema isolato rimane costante. Il secondo sostiene invece che: l’entropia totale di ogni sistema isolato può rimanere costante oppure aumentare con il tempo, mai diminuire (e quindi la variazione di entropia sarà nulla o maggiore di zero). E’ evidente che il disordine non può, per sua definizione, rimanere rigorosamente costante. Quando un proiettile di un fucile si ferma e trasforma la propria energia da moto in calore si crea disordine e l’entropia totale aumenta. Ogni qualvolta avvenga un processo di rimescolamento o di dissipazione di energia, si crea entropia. Conclusione del secondo principio è che tali processi sono per loro natura irreversibili. Un proiettile di fucile, dopo l’impatto non potrà convertire la propria energia termica in energia di moto e tornare verso la canna da cui era partito. Neppure si può pensare (è estremamente improbabile) che, riscaldando l’estremità di una barra d’acciaio, tutte le molecole acquistino velocità (tutte) in uno stesso verso in modo tale che la sbarra sfugga come se fosse stata sparata da un fucile.
Dal secondo principio discende che se due corpi sono a contatto, il calore fluirà sempre dall’uno all’altro in direzione tale da aumentare l’entropia totale. In quale direzione fluirà? Ciò dipenderà dalla quantità di energia e di entropia che i corpi già contengono. Il secondo principio indica che il calore debba fluire verso le regioni a più bassa temperatura perché abbassare la temperatura in un corpo significa diminuire contemporaneamente energia e disordine.
Dal secondo principio si possono infatti ricavare i fatti seguenti:
TdS ≥ dU + pdV
se non c’è variazione di volume se cioè si considera il volume dei due corpi messi a contatto (con conseguente non variazione di volume nel processo di passaggio di calore di cui ci stiamo occupando), allora pdV = 0. Si ha così:
TdS ≥ dU
da cui si vede che l’energia (dU) diminuisce sempre più rapidamente del disordine (dS). Cosicché la quantità di disordine per unità di energia (dS/dU) cresce man mano che la temperatura diminuisce come si può vedere sviluppando l’ultima relazione scritta:

dove lo zero era uno stato scelto arbitrariamente. Ebbene questa definizione è incompleta in quanto l’arbitrarietà nella scelta dello stato iniziale introduce nella definizione una costante additiva indeterminata. Questa incompletezza non ha alcuna conseguenza finché si ha a che fare con differenze di entropia:

5i danno tuttavia dei casi in cui è importante conoscere questa costante. Il principio che ci permetterà di determinare la costante additiva che compare nella definizione di entropia fu scoperto da Nerst (1906) ed ha il nome di terzo principio della termodinamica:
L’entropia di ogni sistema allo zero assoluto può sempre essere posta uguale a zero.
Siccome abbiamo definito solamente differenze di entropia fra due stati di un sistema, dobbiamo interpretare fisicamente questo enunciato del terzo principio come equivalente a dire che tutti i possibili stati di un sistema alla temperatura T = 0 °K hanno la stessa entropia. E’ quindi ovvio che conviene scegliere uno di questi stati del sistema a T = 0°K come stato di riferimento zero; con ciò sarà possibile porre uguale a zero l’entropia dello stato di riferimento. L’entropia di un qualunque altro stato A del sistema sarà ora definita, includendo la costante additiva, dall’integrale:

da calcolarsi lungo una trasformazione reversibile da un qualunque stato a T = 0°K (limite inferiore) allo stato A. Senza entrare nei dettagli dimostrativi del terzo principio (non essendo ciò possibile senza una approfondita conoscenza di meccanica quantistica) possiamo dimostrarne la plausibilità spendendo qualche parola riguardo alla sua giustificazione teorica (oltreché la vera e propria dimostrazione) la possiamo dare solo tramite i concetti della meccanica statistica aiutati da un poco di meccanica quantistica.
Plausibilità di quanto detto
Abbiamo visto che uno stato termodinamico non è uno stato definito esattamente perché esso corrisponde ad un gran numero di stati dinamici microscopici. Questa considerazione ha appunto condotto Boltzmann a scrivere la relazione:
S = k log W
dove W è la probabilità dello stato termodinamico (o meglio W è il numero di stati dinamici microscopici che corrispondono allo stato termodinamico che si considera). A prima vista sembra che questo fatto possa dare luogo a serie difficoltà, in quanto vi sono infiniti stati microscopici che corrispondono ad un dato stato termodinamico. In meccanica statistica classica si supera questa difficoltà mediante l’introduzione dello spazio delle fasi del sistema. Per determinare completamente lo stato di un gas bisogna conoscere non solo la posizione delle singole molecole, la quale è definita dalle tre coordinate di posizione x,y e z, ma bisogna anche dare le tre componenti della quantità di moto px = mvx, py = mvy e pz = mvz. Allora lo spazio nel quale si fa la rappresentazione di questi 6 elementi per avere con un punto la rappresentazione completa dello stato di una molecole è uno spazio a 6 dimensioni (spazio delle fasi per una molecola; nel caso le molecole siano N si avrà uno spazio delle fasi a 6 N dimensioni). Si immagini tale spazio diviso in cellette uguali; quando si sapesse la distribuzione delle molecole nelle cellette si conoscerebbe completamente lo stato della massa gassosa. (La suddivisione in cellette è, evidentemente, una approssimazione che darebbe una esatta rappresentazione solo quando il volume di queste cellette diventasse infinitesimo , cioè un punto, cioè la posizione del punto nello spazio delle fasi che gli corrisponde). La rappresentazione a celle degli stati dinamici di un sistema introduce una discontinuità nel concetto di stato di un sistema, che ci permette di calcolare W mediante il calcolo combinatorio, e quindi, grazie alla relazione di Boltzmann (S = k log W), di dare una definizione statistica dell’ entropia. Si deve tuttavia osservare che il valore di W, e quindi anche il valore dell’entropia, dipende dalla dimensione delle cellette che si è scelta arbitrariamente; se si prendono delle celle di dimensioni infinitesime, si trova poi che sia W sia S divengono infiniti. Si può però dimostrare che se si cambia il volume delle cellette, W viene ad essere variato dalla presenza di un fattore. Ma dalla relazione di Boltzmann, S = k log W, segue che un fattore indeterminato in W origina una costante additiva indeterminata in S. Queste considerazioni ci fanno vedere che la meccanica statistica classica non può portare ad una determinazione della costante dell’entropia. L’arbitrarietà associata a W, e quindi anche all’entropia, nella descrizione classica può essere eliminata ricorrendo ai principi della teoria quantistica; e ciò in quanto detta teoria introduce in maniera del tutto naturale una discontinuità nella definizione di stato dinamico di un sistema (gli stati quantici discreti), senza ricorrere all’arbitraria suddivisione dello spazio delle fasi in cellette. Ebbene con la teoria quantistica, in accordo con il principio di indeterminazione, il volume dello spazio a disposizione di una molecola è dell’ordine di h3, dove h è la costante di Planck (h = = 6,55.10-27 cm2.g/sec). E’ proprio l’abbandono dell’arbitrarietà sul volume delle cellette nello spazio delle fasi che toglie, l’indeterminazione della costante additiva all’entropia. Secondo la relazione di Boltzmann il valore di W che corrisponde ad S = 0 è W = 1. Quindi, interpretato statisticamente, il terzo principio della termodinamica asserisce che:
allo stato termodinamico di un sistema allo zero assoluto corrisponde un solo stato microscopico, precisamente lo stato microscopico di minima energia compatibile con l a data struttura cristallina o con lo stato di aggregazione del sistema,
Prima di concludere questo capitolo presento un modo per ricavare la connessione tra entropia e probabilità che utilizza calcoli oggi in uso che semplificano quelli di Boltzmann.
Per trovare quel legame cercato (o quantomeno verificarne la plausibilità) da Boltzmann tra la meccanica statistica e la termodinamica occorre osservare che mentre dal punto di vista della prima lo stato stabile di un sistema di data energia è quello cui compete il valore massimo della probabilità di realizzazione W, dal punto di vista della seconda, tale stato è quello a cui compete il valore massimo dell’entropia S. Il fatto che si verifichi ciò induce a pensare che debba esistere una qualche relazione che leghi entropia e probabilità, un qualcosa del tipo:
(1) S = f
Per determinare f(W) consideriamo un sistema composto da due sottosistemi tra loro indipendenti e siano S1 ed S2 le entropie e P1 e P2 le probabilità degli stati stabili di questi sottosistemi. Si può allora scrivere:
S1 = f (W1) S2 = f (W2)
Ricordo ora che l’entropia del sistema totale è la somma tra le entropie dei sottosistemi mentre la probabilità di tale sistema è il prodotto tra le probabilità dei sottosistemi:
S = S1 + S2
Mettendo insieme questa relazione e la (1) si ottiene:
f (W1.W2) = f (W1) + f (W2)
che è un’equazione funzionale del tipo:
(2) f (x.y) = f (x) + f (y)
e poiché esiste questa proprietà è possibile determinare la forma di tale funzione.
Una funzione che soddisfa alla relazione funzionale f (x.y) = f (x) + f (y) è la funzione logaritmo o costante moltiplicata per logaritmo, infatti k.ln (x.y) = k.ln (x) + k.ln (y). Quindi la relazione di Boltzmann è plausibile.
Categorie:Fisica
Rispondi