Roberto Renzetti
1 – Funzioni d’onda simmetriche ed antisimmetriche
Abbiamo già incontrato degli esempi e, anche se al momento non abbiamo chiamato le cose con il loro nome, vale la pena di farlo qui e quindi riferirsi ad essi. Nel caso della molecola di idrogeno H2 avevamo due nuclei (A e B) e due elettroni (1 e 2). Abbiamo, all’inizio, descritto la situazione con due strutture ugualmente probabili:
HA1 + HB2
HA2 + HB1
la prima situazione era descritta da una funzione d’onda ψI [che ora, al fine delle conclusioni che vogliamo trarre, conviene con ovvio simbolismo chiamare ψ(1,2) e la seconda da una funzione d’onda ψII [che ora conviene chiamare ψ(2,1)(1) ]. Come rappresentazione dello stato normale del sistema avevamo preso la combinazione lineare della ψ(1,2) con la ψ(2,1) ed avevamo visto che di queste combinazioni lineari ne esistevano due:
ψ+ = ψ(1,2) + ψ(2,1)
ψ– = ψ(1,2) – ψ(2,1)
la prima corrispondeva ad uno stato legante e la seconda ad uno stato antilegante. Ebbene, possiamo ora dire che la prima è una funzione d’onda simmetrica e la seconda una funzione d’onda antisimmetrica. E questo perché, per definizione, una funzione d’onda si dice simmetrica se scambiando una qualunque coppia di particelle (nel nostro caso di elettroni) la funzione d’onda rimane inalterata si dice invece che una funzione d’onda, è antisimmetrica se uno scambio di particelle comporta un cambiamento di segno della funzione d’onda.
Si vede subito, allora, che nel caso della ψ+ se si scambia l’elettrone 1 con l’elettrone 2 si ottiene:
ψ(2,1) + ψ(1,2) = ψ(1,2) + ψ(2,1) = ψ+
mentre nel caso della ψ–:
ψ(1,2) – ψ(2,1) – ψ(1,2) = – [ψ(1,2) – ψ(2,1)] = – ψ–
In conclusione, la ψ+ è una funzione d’onda simmetrica che corrisponde ad uno stato legante e la ψ– è una funzione d’onda antisimmetrica che corrisponde ad uno stato antilegante.
2 – La funzione d’onda di spin
Lo spin è rimasto per noi un qualcosa che poteva assumere il valore + 1/2 o – 1/2 (beninteso: in unità h/2π ). Le situazioni in cui era coinvolto lo spin, e che finora abbiamo incontrate, erano situazioni statiche in cui lo spin era un qualcosa di inalterabile e immediatamente individuabile una, volta assegnato un certo elettrone. Ora il problema è un poco diverso: dato un sistema a più elettroni (ad esempio a due elettroni), qual è la probabilità di avere gli spin disposti in un certo modo? Qual è cioè la probabilità di avere i due spin paralleli, qual è quella di avere i due spin antiparalleli? Non è ancora finita. Se gli spin sono paralleli, sono rivolti verso l’alto o verso il basso? E se sono antiparalleli, quale dei due è rivolto verso l’alto e quale verso il basso? Questi sono i problemi che abbiamo di fronte. Cerchiamo di risolverli.
La situazione che dobbiamo ora affrontare è analoga a quella che abbiamo preso in considerazione quando nel passaggio dalla meccanica classica alla quantistica, abbiamo sostituito la posizione dell’elettrone con la funzione d’onda ψ e con la probabilità |ψ | 2.
Anche ora dobbiamo introdurre una funzione d’onda, questa volta sarà una funzione d’onda di spin che, anziché essere funzione delle coordinate spaziali x, y e z come la ψ , sarà funzione del valore che assume lo spin e che indicheremo con la lettera greca σ (leggi : sigma).(2) Possiamo allora indicare: con σ + la funzione d’onda di spin di un singolo elettrone con lo spin diretto verso l’alto, con σ – la funzione d’onda di spin di un singolo elettrone con lo spin diretto verso il basso. In questo modo: se all’inizio abbiamo un elettrone con spin diretto verso l’alto, dovremo considerare la funzione d’onda di spin σ + e la probabilità | σ + |2 di trovare i valori + 1/2 o – 1/2 per lo spin dell’elettrone; se all’inizio abbiamo un elettrone con spin diretto verso il basso, dovremo considerare la funzione d’onda di spin σ – e la probabilità |σ –| 2 di trovare i valori + 1/2 o – 1/2 per lo spin dell’elettrone.(3)
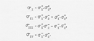
Supponiamo ora di avere due elettroni 1 e 2, per il momento, non interagenti. Le possibilità di sistemazione di questi due elettroni sono quattro, cioè:
(1) o ambedue gli elettroni hanno spin rivolto verso l’alto e questo fatto corrisponde ad una funzione d’onda di spin totale, prodotto delle singole funzioni d’onda di spin (si ricordi quanto abbiamo detto a proposito della probabilità composta) pari a:
σ1 + . σ2 +
avendo indicato con i subindici 1 e 2 gli elettroni in oggetto;
(2) o l’elettrone 1 ha lo spin rivolto verso l’alto mentre l’elettrone 2 lo ha rivolto verso il basso e questo fatto corrisponde ad una funzione d’onda di spin totale (prodotto delle singole funzioni d’onda di spin) pari a:
σ1 + . σ2 –
(3) o l’elettrone 1 ha lo spin rivolto verso il basso mentre l’elettrone 2 lo ha rivolto verso l’alto e questo fatto corrisponde ad una funzione d’onda di spin totale pari a:
σ1 – . σ2 +
(4) o ambedue gli elettroni hanno spin rivolto verso il basso e questo fatto corrisponde ad una funzione d’onda di spin totale pari a:
σ1 – . σ2 –
Riassumendo, per gli spin di due elettroni non interagenti, si hanno le seguenti quattro possibilità:

Supponiamo ora che i due elettroni, in qualche modo, possano interagire. In questa interazione, rispetto alla. situazione precedente, occorrerà tener conto dello scambio dell’elettrone 1 con l’elettrone 2. Più precisamente, per i quattro casi visti precedentemente, bisognerà considerare il fenomeno di risonanza perfettamente analogo a quello incontrato per la funzione d’onda orbitale ψ quando abbiamo parlato della molecola-ione idrogeno H2+ e della molecola d’idrogeno H2, Ora la struttura (1), vista prima, non può far altro che risuonare con se stessa poiché lo scambio degli elettroni 1 e 2 porta ad una situazione identica a prima dello scambio. Lo stesso discorso vale per la struttura (4). Diversa invece è la situazione per le strutture (2) e (3) che possono, analogamente a quanto visto per la ψ , risuonare tra di loro. Questo fatto si può esprimere con una combinazione lineare della (2) e (3) e di queste combinazioni lineari ne esistono due (la somma tra la (2) e la (3) e la differenza fra queste due strutture). In definitiva, per la funzione d’onda di spin totale di due elettroni interagenti si hanno le seguenti quattro possibilità:

Vediamo, come applicazione del paragrafo precedente, quali tra queste funzioni d’onda di spin sono simmetriche o antisimmetriche per lo scambio degli elettroni.

TAVOLA 1
II risultato è evidente: solo σIII è antisimmetrica, tutte le altre sono simmetriche.
3 – La funzione d’onda completa ed il principio di Pauli
Quello che abbiamo fino qui detto ci deve convincere che per descrivere un elettrone non basta dare la sua funzione d’onda spaziale ψ, ma occorre anche dare la sua. funzione d’onda di spin σ. Infatti la ψ è in grado di farci arrivare a dare la zona di spazio in cui l’elettrone ha probabilità di trovarsi ma, a questo punto, manca l’informazione sul suo spin (è diretto verso l’alto o verso il basso ?). A questa informazione si può giungere prendendo in considerazione la funzione d’onda di spin σ.
Quindi la descrizione più completa di un elettrone la si può fornire dando sia, la ψ che la σ le quali due funzioni d’onda, moltiplicate tra di loro, ci danno la funzione d’onda completa ψ’ di un dato sistema:
ψ’ = ψ . σ.
Anche a questa funzione d’onda completa si possono applicare le definizioni di simmetria ed antisimmetria, date precedentemente.
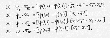
La simmetria o antisimmetria della ψ’ discende ovviamente dalla simmetria o antisimmetria del prodotto tra la ψ e la σ; vediamo allora i possibili casi che si possono presentare quando si hanno due elettroni 1 e 2 interagenti tra di loro. Abbiamo già detto che per questi due elettroni la funzione d’onda spaziale ψ può essere o simmetrica o antisimmetrica:
ψ+ = ψ(1,2) + ψ(2,1)
ψ– = ψ(1,2) – ψ(2,1)
mentre la funzione d’onda di spin può risultare simmetrica in tre casi (σI, σII,σIV) ed antisimmetrica in un caso (σIII).
Per vedere allora la simmetria o antisimmetria della funzione d’onda completa ψ‘ occorre fare tutti i possibili prodotti tra le ψ+ e ψ– e le σI, σII, σIII, σIV e studiarne la simmetria.

TAVOLA 2
Questi conti, riportati nella tabella precedente, sono un poco noiosi ma molto facili e comunque, consoliamoci, ci forniranno un risultato che va ben al di là di essi e che non ci obbligherà più a farli. Osservando infatti gli otto prodotti possibili ottenuti, si vede subito che:
(a) il prodotto tra due funzioni d’onda simmetriche dà per risultato una funzione d’onda completa simmetrica. [si vedano le (1), (2) e (4)];
(b) il prodotto tra due funzioni d’onda antisimmetriche dà per risultato una funzione d’onda completa simmetrica [si veda la (7)];
(c) il prodotto tra una funzione d’onda simmetrica ed una antisimmetrica dà per risultato una funzione d’onda completa antisimmetrica [ si vedano le (3), (5), (6) ed (8)].
Riassumendo:
| Funzione d’onda spaziale ψ | Funzione d’onda di spin σ | Funzione d’onda completa ψ’ |
| simmetrica | simmetrica | simmetrica |
| simmetrica | antisimmetrica | antisimmetrica |
| antisimmetrica | simmetrica | antisimmetrica |
| antisimmetrica | antisimmetrica | simmetrica |
TAVOLA 3
A questo punto siamo in grado di dare la formulazione del principio di Pauli(4) nella sua forma più completa, dedotta come conseguenza dello sviluppo della meccanica ondulatoria e quantistica:
la funzione d’onda completa di un sistema di elettroni deve essere antisimmetrica se si scambiano elettroni fra di loro.
In base allora al principio di Pauli ora enunciato, delle otto funzioni d’onda complete che sono state ottenute nella Tavola 2 per un sistema di due elettroni interagenti, solo quattro sono permesse dal principio in oggetto, la (3), la (5), la (6), la (8); cioè:

4 – Ritorniamo all’ipotetica molecola HeH
Nella situazione che avevamo:

ci eravamo fermati alla considerazione che l’unica possibilità di scambio rimasta valida era quella che porterebbe l’elettrone 3 al posto dell’elettrone 2 e viceversa.
Quindi lo scambio dovrebbe avvenire tra la struttura:

descritta dalla funzione d’onda spaziale ψ (1,2,3) e la struttura:

descritta dalla, funzione d’onda spaziale ψ (1,3,2) e come si vede le funzioni d’onda spaziali differiscono solo per lo scambio dell’elettrone 2 con l’elettrone 3.
Consideriamo allora la risonanza tra queste due strutture possibili che, ormai sappiamo, è data dalle due combinazioni lineari:
ψ+ = ψ(1,2,3) + ψ(1,3,2)
ψ– = ψ(1,2,3) – ψ(1,3,2).
Osserviamo a questo punto che gli elettroni 2 e 3 in gioco (quelli che si dovrebbero scambiare) hanno gli spin paralleli e rivolti verso l’alto, per cui, per essi, occorre prendere in considerazione la funzione d’onda di spin che ce li dà, appunto, paralleli e rivolti verso l’alto, cioè σ2 + . σ3 + .
Confrontando ora con la relazione (5) del paragrafo precedente, si ricava subito che l’unico modo per avere una funzione d’onda completa antisimmetrica (come richiesto dal principio di Pauli) è che la funzione d’onda di spin in oggetto (σ2 + . σ3 + ) sia moltiplicata per la funzione d’onda spaziale ψ– = ψ(1,2,3) – ψ(1,3,2) [e questo perché, ricordando la tavola 3 e che σ2 + . σ3 + è simmetrica, l’unico modo per ottenere una funzione d’onda completa antisimmetrica è che essa sia originata dal prodotto di una funzione d’onda simmetrica con una antisimmetrica].
In definitiva, l’unica possibilità che si ha per il legame nell’ipotetica molecola HeH è che si abbia una funzione d’onda completa:
ψ’ = [ψ(1,2,3) – ψ(1,3,2)][ σ2 + . σ3 +].
Per giungere alla nostra conclusione non resta che una osservazione: la combinazione antisimmetrica tra le funzioni d’onda, spaziali ψ(1,2,3) – ψ(1,3,2) è quella che abbiamo visto, sia per la molecola-ione idrogeno che per la molecola di idrogeno, essere antilegante, essere cioè tale da non originare mai legami.
Quindi l’eventualità possibile rimasta per la formazione di un legame molecolare HeH, cioè quella di uno scambio tra gli elettroni 2 e 3 che sono paralleli, comporta come conseguenza una funzione d’onda spaziale antilegante, per cui, in ogni caso, non è possibile che si abbia una molecola HeH.
5 – Un altro esempio: l’ipotetica molecola He2
Con argomenti analoghi a quelli visti per l’impossibile molecola HeH, Heitler e London esaminarono la possibilità di formazione di una molecola tra due atomi di elio (l’ipotetica molecola. He2).
Denotiamo con He i due atomi di elio e numeriamo i quattro elettroni con i numeri 1,2,3 e 4, si ha:


Per la formazione del legame vi è la possibilità che si scambino fra loro spin antiparalleli (1 con 4 oppure 2 con 3). Questo fatto è però impedito dalla prima formulazione del principio di Pauli infatti, in ambedue le eventualità di scambio proposte, sugli stessi orbitali 1s dei singoli atomi di elio verrebbero a trovarsi elettroni con spin paralleli:




Rimane la possibilità che si scambino tra loro spin paralleli (1 con 3 oppure 2 con 4) ed in questo caso avremmo:




Se si verificasse questa ipotesi la funzione d’onda di spin avrebbe la sola possibilità di essere simmetrica, (o σ2 + . σ4 + oppure σ1 – . σ3 – ) con la conseguenza che, per l’ultima formulazione data per il principio di Pauli, per avere una funzione d’onda completa antisimmetrica, deve aversi una funzione d’onda spaziale antisimmetrica e cioè antilegante. In definitiva, il legame He2 non si forma.
Possiamo trarre una conclusione di validità generale che è molto utile per spiegarci tante regole empiriche che già abbiamo in qualche modo sentito e tante cose che vedremo più avanti: tutti gli atomi che hanno su ogni loro orbitale due elettroni con spin accoppiati (antiparalleli, per il principio di Pauli) saranno in genere chimicamente inerti (non daranno origine a legami di qualsivoglia tipo); solo gli atomi che hanno un qualche orbitale con un solo elettrone (e quindi disaccoppiato) hanno la possibilità di formare legami (sono gli elettroni disaccoppiati che determinano le proprietà chimiche degli elementi).
6 – Altre molecole biatomiche omonucleari
Le altre molecole biatomiche omonucleari, oltre a quelle trattate, sono costituite da atomi contenenti, ciascuno, più di due elettroni. Per renderei conto di quali complicazioni nascono, cerchiamo di scriverci la funzione d’onda completa (parte spaziale più parte di spin) per la molecola di elio ionizzata He2+ . In questo caso si hanno solo tre elettroni e si dispone di due livelli energetici. Chiamiamo con:
– 1, 2, 3 gli elettroni;
– A e B i nuclei atomici dei due atomi di elio;
– ψA e ψB le funzioni d’onda spaziali;
– σ + e σ – le funzioni d’onda di spin.
I tre elettroni possono avere le seguenti sistemazioni rispetto ai nuclei A e B:


a cui corrisponderà una funzione d’onda ψI


a cui corrisponderà una funzione d’onda ψII


a cui corrisponderà una funzione d’onda ψIII


a cui corrisponderà una funzione d’onda ψIV
La sistemazione 1 corrisponde a He + He+ (analogamente alla sistemazione 3), la sistemazione 2 corrisponde a He+ + He (analogamente alla sistemazione 4). La differenza esistenti tra le sistemazioni 1 e 3 e tra le sistemazioni 2 e 4 è che l’elettrone disaccoppiato ha spin rivolto verso l’alto in 1 e 2 e spin rivolto verso il basso in 3 e 4.
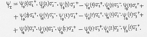
La funzione d’onda ψI, che descrive la sistemazione 1, sarà composta da una somma di prodotti contenente tanti addendi quante sono tutte le possibili permutazioni dei tre elettroni nei due orbitali.
Riferendoci alla sistemazione 1, vediamo quante sono le possibili permutazioni dei tre elettroni servendoci della Tavola 4.(6)

TAVOLA 4
Si dovrà quindi avere una funzione d’onda ψI composta da 6 termini e precisamente dai 6 termini che abbiamo indicato sulla destra della Tavola 4 (la sistemazione 1, per l’indistinguibilità degli elettroni, risuona tra queste 6 permutazioni e quindi la funzione d’onda ψI dovrà essere una combinazione lineare delle 6 funzioni d’onda complete che rappresentano le 6 possibili permutazioni). Il segno da assegnare ad ogni singolo termine si può ricavare da una regola che trae origine dall’ultima formulazione del principio di Pauli che abbiamo dato: si fissa il segno del 1° termine e quindi il segno di ogni termine successivo sarà dato contando il numero degli scambi elettronici che si sono fatti in quella permutazione; se il numero degli scambi è pari si avrà lo stesso segno che abbiamo fissato per il 1° termine, se è dispari si avrà segno opposto. Nel nostro caso, fissato come positivo il segno del 1° termine, si avranno segni alternati, osservando che ogni termine successivo delle funzioni d’onda complete della Tavola 4 si ottiene per lo scambio di un solo elettrone. In definitiva si ha:

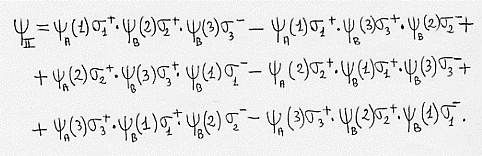
Con uno stesso ragionamento si calcola ψII

La molecola He2+ sarà formata da. una combinazione lineare delle ψI e ψII (7) (di queste combinazioni lineari ne esistono due; allo scopo si rivedano le note relative al capitolo che trattava la molecola ione idrogeno):
ψ+ = ψI + ψ II
ψ– = ψI – ψII
poiché essa. sarà dovuta alla risonanza tra le due sistemazioni 1 e 2 (le uniche due sistemazioni che presentano due elettroni con lo spin rivolto verso l’alto ed uno con lo spin rivolto verso il basso).
Si tratterebbe a questo punto di farsi i conti che, come si vede, sono molto lunghi e complicati.
Ebbene questi conti erano relativi solo a tre elettroni e a due livelli energetici: le funzioni d’onda ψI e ψ II risultavano formate da 6 termini. Con 4 elettroni i termini sarebbero diventati 24, con 5 elettroni (su tre orbitali) si avrebbe avuto a che fare con 120 termini, con 6 elettroni (su tre orbitali) si sarebbero avuti 720 termini. Si tratterebbe poi di farne le combinazioni lineari. Si può ben capire che i conti si fanno sempre più difficili e si pensi poi che, nonostante queste complicazioni di calcolo, essi restano ancora approssimati poiché per fare un conto che sia sufficientemente completo occorrerebbe considerare tutti i successivi miglioramenti che abbiamo utilizzato per la molecola di idrogeno (effetto di schermo di un atomo sull’altro; polarizzazione indotta da un atomo sull’altro e viceversa; introduzione di altre strutture possibili con le quali le già introdotte possano risuonare; … ). Quei conti che erano lunghi e difficili diventano da un certo punto impossibili, a meno che non si disponga di un calcolatore che lavori in tempo reale.
Sono quindi necessarie delle semplificazioni che comportano delle approssimazioni. Conseguentemente la descrizione di molecole biatomiche omonucleari con il metodo L.V. non può che essere qualitativa:
1) un legame può formarsi solo se sugli orbitali atomici degli atomi che debbono formare la molecola vi sono elettroni disaccoppiati;
2) questi elettroni debbono avere spin antiparalleli di modo che la funzione d’onda completa del sistema di elettroni risulti antisimmetrica se si scambiano elettroni tra loro;
3) se non si sa bene quali elettroni accoppiare tra due atomi vale il criterio della massima sovrapposizione tra le rispettive nuvole di carica: si accoppieranno quegli elettroni le cui nuvole di carica si sovrappongono di più.
Ma anche qui bisogna fare attenzione poiché quest’ultima approssimazione può portare a dei risultati non in accordo con l’esperienza come ad esempio accade per l’atomo di ossigeno. Quest’ultimo ha la seguente configurazione elettronica:
O [(1s2)(2s2)(2px2)(2py)(2pz]
sembrerebbe quindi che, nella formazione della molecola d’ossigeno, tutti gli orbitali atomici vadano a saturarsi con coppie di elettroni aventi spin antiparalleli. I fatti sperimentali smentiscono questa conclusione mostrando che la molecola di ossigeno (O2 ) deve avere due elettroni disaccoppiati. Vedremo più oltre che la teoria dell’orbitale molecolare rende conto di questo fatto.
In conclusione, non tratteremo qui particolari molecole biatomiche omonucleari, riservandoci di farlo mediante la teoria dell’orbitale molecolare che fornisce, almeno in questi casi, risultati più facilmente comprensibili.
7 – Molecole biatomiche eteronucleari
Lo studio di queste molecole si fa con lo stesso metodo utilizzato per quelle omonucleari solo che ora occorre tener conto del fatto che le molecole che si ottengono hanno in più la caratteristica di essere polari. Se i due atomi che vanno a formare la moleoola sono A e B, si dovranno considerare le due strutture ioniche possibili A+B– e A– B+ . Tra queste due una avrà un peso maggiore dell’altra e maggiore anche della possibile struttura covalente AB. Di conseguenza occorrerà costruire una combinazione lineare delle tre strutture (delle tre funzioni d’onda che descrivono le tre strutture) che tenga conto dei differenti pesi di ciascuna. Per fissare le idee, supponiamo che l’atomo A sia più elettronegativo (8) dell’atomo B e limitiamoci al caso di sole funzioni d’onda spaziali (non occupandoci di quelle di spin). Le tre funzioni d’onda possibili saranno;
ψ(1,2) + ψ(2,1) -> struttura, covalente AB
ψ(1,2) -> struttura ionica A–B +
ψ(2,1) -> struttura ionica A+B–
Tra queste il peso maggiore lo ha ψ(1,2) , quindi ψ(1,2) + ψ(2,1) ed infine ψ(2,1). La combinazione lineare di queste tre funzioni d’onda sarà allora del tipo:
ψ = k1 [ψ(1,2) + ψ(2,1] + k2 ψ(1,2) + k3 ψ(2,1)
Come prime approssimazioni, presenti nella relazione scritta: non si è considerato l’effetto di schermo (valutato compreso nelle tre strutture prese in considerazione); si trascura l’effetto di polarizzazione (è piccola ed inoltre presenta grosse difficoltà di calcolo); si suppone che gli orbitali dei termini ionici siano gli stessi del termine covalente (gli errori cosi introdotti sono trascurabili).
Nelle relazioni scritte i pesi delle varie funzioni d’onda sono dati da k1, k2, k3 e queste costanti debbono essere trovate imponendo la condizione che l’energia che compete alla ψ sia minima (lo stato descritto dalla ψ sia, cioè stabile in modo che la molecola possa formarsi). A questo punto si fa un’altra approssimazione: si trascura k3 poiché, essendo A più elettronegativo di B, è molto improbabile che i due elettroni si trovino vicini a B. In questo modo si trova:
ψ = k1 [ψ(1,2) + ψ(2,1)] + k2 ψ(1,2)
da cui, a meno di un fattore costante:
ψ = [ψ(1,2) + ψ(2,1)] + k2/k1 ψ(1,2)
da cui:
ψ = [ψ(1,2) + ψ(2,1)] + kψ(1,2)
ed in definitiva:
ψ = ψcovalente + ψionica
Si tratta quindi di determinare k, poiché dal suo valore dipende il carattere polare o ionico della molecola. Ma purtroppo è quasi sempre impossibile farlo direttamente, dovendo trovare metodi diversi tra i quali, uno dei più usati (anche se, alla pari degli altri, poco soddisfacente) consiste nella misura sperimentale del momento di dipolo della molecola, dal quale si risale al valore di k.
Prima di concludere avvertiamo, anche qui, che alcune molecole biatomiche eteronucleari saranno trattate utilizzando il metodo dell’orbitale molecolare che inizieremo a discutere nel prossimo paragrafo.
NOTE
(1) I numeri che compaiono tra parentesi in ψ(1,2) ed in ψ(2,1) indicano gli elettroni 1,2 in oggetto. La ψ(1,2) sta per: elettrone 1 vicino al nucleo A ed elettrone 2 vicino al nucleo B; la ψ(2,1) sta per: elettrone 2 vicino al nucleo A ed elettrone 1 vicino al nucleo B. Valgono allora le seguenti identità:
ψ+ = ψI + ψ II = ψ(1,2) + ψ(2,1) = ψA(1)ψB(2) + ψA(2)ψB(1)
ψ– = ψI – ψII = ψ(1,2) – ψ(2,1) = ψA(1)ψB(2) – ψA(2)ψB(1)
(2) Si osservi che, mentre lo spazio della ψ ha un numero infinito di punti dati dalle tre coordinate x, y e z, lo spazio della σ per un elettrone ha soltanto due valori (o + 1/2 o – 1/2). Va inoltre detto che la funzione d’onda di spin σ non è legata all’energia, che compete esclusivamente alla funzione d’onda spaziale ψ. Va infine fatto notare che è la funzione d’onda spaziale ψ che determina gli allineamenti degli spin e non viceversa.
(3) Si veda: G. Herzberg – Spettri atomici e struttura atomica – Boringhieri, 1961; pag. 129.
(4) II principio di Pauli, nella formulazione che conoscevamo, era stato enunciato dallo stesso Pauli nel 1925. Questa seconda formulazione fu data, sempre da Pauli, nel 1927, subito dopo i primi importanti sviluppi della meccanica, ondulatoria e quantistica.
(5) Come abbiamo già accennato parlando delle forze ai London, quando abbiamo trattato del problema più generale delle forze di Van der Waals, in alcune circostanze c’è la possibilità di trovare delle molecole He2 .
(6) Per capire perché nella Tavola figurano dei prodotti tra funzioni d’onda complete, si rivedano i concetti elementari della probabilità composta. Qui, come esempio, diciamo solo che la prima funzione che figura nella Tavola rappresenta il verificarsi simultaneo dei seguenti eventi: elettrone 1 vicino al nucleo A con lo spin rivolto verso l’alto; elettrone 2 vicino al nucleo A con lo spin rivolto verso il basso; elettrone 3 vicino nucleo B con lo spin rivolto verso l’alto.
(7) Un analogo ragionamento può essere fatto per le ψIII e ψIV che conducono alla medesima situazione energetica. Si può anche facilmente mostrare che, ad esempio, la ψI è antisimmetrica per lo scambio di due elettroni tra di loro (soddisfa cioè la seconda formulazione del principio di Pauli) fatto che conferisce alla ψI una configurazione stabile nella formazione della molecola.
(8) Si definisce come elettronegatività il potere di un atomo di una molecola di attrarre elettroni vicino a sé.
Categorie:Atomi e Molecole
Rispondi