Ingegneria Meccanica – Roma Tre
AA/2011-2012
APPUNTI PER IL CORSO
(Ripresi integralmente e da me assemblati dai testi di bibliografia)
Roberto Renzetti
Bibliografia: Paul J. Tipler, Gene Mosca – Corso di Fisica – Zanichelli, 2009
Jay Orear – Fundamental Physics – John Wiley & Sons Inc, 1967
F.W. Sears, M.W. Zemansky – University Physics – Addison-Wesley Publishing Company, 1964
M. Alonso, E.J. Finn – Fundamental University Physics – Addison-Wesley Publishing Company, 1969
R. Renzetti – Vari appunti miei raccolti negli anni – www.fisicamente.net
PARTE QUINTA
TERMOLOGIA
TEMPERATURA, CALORE, LEGGI DEI GAS
0 – Dal macroscopico al microscopico. Variabili termodinamiche.
La termodinamica è lo studio dei trasferimenti di energia, implicanti la temperatura, fra corpi macroscopici. Nei capitoli che seguono definiremo i concetti di temperatura, calore ed energia interna. Ma, finché non l’avremo fatto, useremo i termini temperatura e calore nel loro significato ordinario: la temperatura è ciò che si misura con un termometro ordinario, il calore è l’energia che è trasferita grazie a una differenza di temperatura.
VARIABILI DI STATO MACROSCOPICHE
Si consideri una massa di gas racchiusa in un certo volume V e ad una certa pressione P. La descrizione di un sistema siffatto può essere affrontata in due modi diversi. Un modo, il metodo microscopico, implica una descrizione con riferimento alle molteplici particelle, le molecole, che compongono il gas. Richiede numerose ipotesi sulle particelle, ipotesi che è difficile verificare direttamente. Per esempio, si suppone che il gas sia costituito da N molecole ciascuna delle quali si muove in maniera casuale compiendo urti elastici contro altre molecole e contro le pareti del recipiente. Per l’enorme valore di N (per esempio, una mole di ossigeno, ossia 32 g, contiene un numero di Avogadro NA ~ 6.1023 di molecole), è impossibile applicare le leggi del moto di Newton separatamente a ciascuna molecola o persino elencare le coordinate di ciascuna molecola.
Nel metodo macroscopico caratteristico della termodinamica, il sistema è descritto per mezzo di un piccolo numero di variabili, per esempio, la pressione, la temperatura, il volume e l’energia interna. Queste variabili, tranne l’energia interna, sono strettamente legate ai nostri sensi e possono essere misurate facilmente. Nella descrizione macroscopica della materia vengono fatte poche ipotesi e perciò i principi della termodinamica, i quali, come le leggi del moto di Newton, sono eleganti e compatte generalizzazioni dei risultati dell’esperienza, sono del tutto generali e indipendenti da qualunque particolare ipotesi molecolare fatta nel metodo microscopico. In realtà, gran parte della termodinamica fu sviluppata prima che il modello molecolare della materia fosse completamente accettato.
Il numero minimo di variabili macroscopiche necessarie per descrivere un sistema dipende dal genere di sistema, ma è sempre un numero piccolo. Di solito si deve specificare la composizione (se il sistema non è omogeneo, per esempio se è una miscela di due o più gas), la massa di ciascuna parte e soltanto altre due variabili quali la pressione P e il volume V di un gas. Se si limita la discussione a sistemi omogenei di massa costante, bastano di solito due variabili.
Non si può affermare che un gas è alla pressione P e alla temperatura t se il sistema non è in equilibrio termico con se stesso. Si consideri, per esempio, un gas in un recipiente di volume V, in un ambiente isolato. Se si agita rapidamente il gas in un angolo del recipiente, non si può assegnare una pressione e una temperatura all’intera massa di gas finché il gas non ha raggiunto una condizione di equilibrio. Se si misura la temperatura in varie parti del gas subito prima che venga agitato, si ottengono differenti risultati, che cambiano con il tempo. Quando le proprietà macroscopiche di un sistema isolato diventano costanti nel tempo, il sistema è in equilibrio termico con se stesso. Si può allora descrivere una certa proprietà quale la pressione con un’unica variabile P per l’intero sistema. Si supponga di avere una massa fissa di gas inizialmente a una certa pressione Po e a un certo volume Vo. Sia to la temperatura del gas. Si possono compiere varie azioni sul gas, per esempio, comprimerlo, riscaldarlo, farlo espandere attraverso un pistone e raffreddarlo, ma esso finisce per ritornare alla pressione Po e al volume Vo iniziali. Quando il gas è di nuovo in equilibrio con se stesso alla pressione e al volume iniziali, si trova che la sua temperatura è di nuovo to. Ogni altra proprietà macroscopica che si può misurare riacquista anch’essa il valore che aveva all’inizio. Le variabili P e V descrivono perciò uno stato macroscopico del sistema. Si potrebbe anche specificare lo stato di questo sistema usando le variabili P e t. Per un sistema gassoso di massa costante, uno stato di equilibrio è descritto da due variabili macroscopiche qualsiasi.
Esistono molti altri tipi di sistemi macroscopici i cui stati possono essere descritti con due variabili (supposto che la massa sia costante). Per esempio, una lunga asta può essere descritta dalla sua lunghezza L e dalla pressione P (che è di solito la pressione atmosferica, salvo che l’asta non sia racchiusa in qualche maniera). In modo analogo, lo stato di un filo conduttore può essere descritto dalla pressione e dalla sua resistenza elettrica. Anche un sistema complicato quale una pila elettrica può essere spesso descritto benissimo con due variabili soltanto, quali la f.e.m. della pila e la carica. Nei capitoli successivi definiremo accuratamente la temperatura e altre variabili macroscopiche, per esempio, l’energia interna e l’entropia, che sono anch’esse variabili di stato. Ripetiamo il significato del concetto di stato di equilibrio macroscopico: se un sistema è in un dato stato di equilibrio in un certo istante e dopo vari processi è ricondotto in quello stato di equilibrio, tutte le proprietà macroscopiche del sistema torneranno a essere quelle che erano all’inizio. Si rilevi che uno stato di equilibrio macroscopico è molto diverso da uno stato microscopico, che è specificato dalle posizioni, dalle velocità e dalle coordinate interne di tutte le molecole del sistema. In un semplice gas in equilibrio termico con se stesso lo stato microscopico cambia continuamente perché le molecole cambiano posizione e compiono urti che ne cambiano la velocità; ma nell’equilibrio, lo stato macroscopico resta invariato. A un singolo stato macroscopico corrispondono molti differenti stati microscopici.
PARETI ADIABATICHE E PARETI DIATERMICHE
Prima di dare una rigorosa definizione della temperatura, consideriamo alcune esperienze comuni con le proprietà delle sostanze usando la temperatura misurata con un comune termometro. Si consideri, per esempio, una data massa di gas con volume V e pressione P. Se si riscalda il gas (per esempio con un becco Bunsen), la pressione o il volume del gas cambiano. Se il volume è mantenuto costante, la pressione cresce al crescere della temperatura. Oppure, se si mantiene costante la pressione lasciando espandere il gas contro un pistone, il volume cresce al crescere della temperatura. Un aumento della temperatura del gas è indicato da un aumento o della pressione P o del volume V quando l’altra variabile è mantenuta costante.
Consideriamo qualche semplice esperimento con sistemi costituiti da gas a volume costante. Collochiamo due sistemi, inizialmente a differenti temperature, in stretto contatto separandoli soltanto con una sottile parete metallica. La temperatura di ciascun sistema cambia finché i due sistemi non raggiungono una temperatura comune compresa fra le temperature iniziali. La pressione di un sistema cresce al crescere della sua temperatura e la pressione dell’altro decresce al decrescere della sua temperatura, finché le pressioni non raggiungono valori costanti quando i sistemi raggiungono le loro temperature di equilibrio finali. Quando le pressioni non cambiano più, i sistemi sono in equilibrio termico l’uno con l’altro. Il tempo necessario per raggiungere l’equilibrio dipende dalle masse e dai tipi di gas, dalle temperature iniziali e dal tipo di contatto stabilito fra i due sistemi. Se si sostituisce la parete di metallo sottile con una parete spessa di materiale isolante, l’intervallo di tempo è molto lungo. Durante intervalli di tempo piuttosto lunghi con questo tipo di separazione, i due sistemi permangono all’incirca alle loro pressioni e temperature iniziali. (Supponiamo che i sistemi siano isolati dagli altri sistemi). Se si riscalda un sistema, lo si agita, o si esegue qualunque altra operazione su di esso, pochissimo accade all’altro sistema, ammesso che gli accada qualcosa.
Possiamo eseguire esperimenti analoghi con altri tipi di sistemi. Per esempio, invece di sistemi costituiti da gas a volume costante, si potrebbero usare lunghe aste metalliche a pressione costante. In tal caso, l’aumento o la diminuzione della lunghezza di un’asta indica un aumento o una diminuzione della sua temperatura. In base a questi esperimenti, si possono definire due tipi di separazioni ideali senza alcun precedente riferimento alla temperatura. Per definizione, due sistemi sono separati da una parete adiabatica se si possono cambiare arbitrariamente le variabili di un sistema senza influenzare in alcun modo l’altro sistema. Per esempio, se due sistemi costituiti da gas a volume costante sono separati da una parete adiabatica, si può aumentare la pressione di uno riscaldandolo, o con qualche altro metodo, senza che questa operazione influenzi l’altro sistema. (Una parete adiabatica è chiamata comunemente parete perfettamente isolante. Una parete adiabatica impedisce la trasmissione del calore. Però, non occorre definire il calore o la temperatura per definire una parete adiabatica). L’estremo opposto è la parete diatermica. Se due sistemi sono collegati da una parete diatermica, una variazione di una delle variabili termodinamiche di un sistema influenzerà le variabili dell’altro sistema. Per esempio, se due sistemi costituiti da gas a volume costante sono collegati da una parete diatermica, il riscaldamento di un gas provocherà un aumento della pressione dell’altro gas (oltre che di quello riscaldato direttamente). Una parete diatermica è chiamata comunemente perfetto conduttore del calore. I sistemi collegati da una parete diatermica sono in contatto termico. In pratica le pareti metalliche sottili costituiscono eccellenti approssimazioni di una parete diatermica perfetta. Così, si può approssimare una parete adiabatica con una parete spessa di materiale isolante.
IL PRINCIPIO ZERO DELLA TERMODINAMICA
Usiamo ora le definizioni di parete adiabatica e parete diatermica per definire la temperatura. Si supponga che due sistemi, inizialmente separati, siano messi a contatto mediante una parete diatermica e siano isolati dall’ambiente mediante pareti adiabatiche. In generale, quando i sistemi sono messi a contatto termico, le variabili termodinamiche cambieranno rispetto ai loro valori iniziali. Per esempio, le pressioni p1 e p2 di due sistemi gassosi mantenuti a volume costante cambieranno: una aumenterà e l’altra diminuirà. Quando le pressioni raggiungono i loro valori di equilibrio finali, i due sistemi sono in equilibrio termico l’uno con l’altro.
Si supponga che quando i due sistemi (inizialmente separati) vengono messi a contatto mediante una parete diatermica non si osservi alcuna variazione in alcuna delle variabili di entrambi i sistemi. I sistemi collegati sono in equilibrio, e per definizione sono in equilibrio termico anche se sono separati. Si generalizza così il concetto di equilibrio termico per includere sistemi che non sono a contatto mediante una parete diatermica ma che sarebbero in equilibrio se fossero collegati in questo modo.
Si supponga che il sistema A sia in equilibrio termico con il sistema C e che il sistema B sia anch’esso in equilibrio termico con il sistema C. Se ora si mettono i sistemi A e B a contatto termico, cioè si collegano mediante una parete diatermica, si trova che sono in equilibrio termico l’uno con l’altro. Questo risultato è chiamato principio zero della termodinamica:
due sistemi, se sono in equilibrio termico con un terzo sistema, sono in equilibrio termico l’uno con l’altro.
Il principio zero della termodinamica, che è una legge sperimentale, indica che la relazione fra due sistemi implicata dall’asserzione che sono in equilibrio termico è una relazione transitiva. Cioè, se A è in equilibrio termico con C e B con C, allora A è in equilibrio termico con B. Questa proprietà transitiva è indispensabile per definire la temperatura.
Il primo passo per definire la temperatura è determinare una regola per stabilire quando due sistemi in equilibrio hanno la stessa temperatura. Questo procedimento somiglia a quello seguito nella meccanica, dove la prima legge del moto ha definito la condizione del moto in assenza di forza: è stata adottata la regola che non c’è forza quando la velocità non cambia. Nel caso della temperatura, si dirà che due sistemi hanno la stessa temperatura se nessuna delle loro variabili macroscopiche cambia quando sono collegati mediante una parete diatermica. Questa definizione di uguaglianza delle temperature può essere espressa più concisamente in questi termini:
due sistemi in equilibrio termico l’uno con l’altro sono alla stessa temperatura.
Due sistemi che non sono in equilibrio termico l’uno con l’altro sono a differenti temperature. Si supponga che i due sistemi siano costituiti da gas a volume costante e che P1 decresca e P2 cresca quando sono messi a contatto termico. Si potrebbe arbitrariamente attribuire a uno dei due sistemi una temperatura superiore e continuare ad avere un concetto coerente di temperatura. Però, poiché è importante formulare definizioni scientifiche delle grandezze che si discostino il meno possibile dall’uso comune, si vuole che un sistema il quale dà una sensazione di caldo al tatto sia a una temperatura più alta di quella di un sistema che dà una sensazione di freddo al tatto. (Non è sempre possibile distinguere lo stato di caldo o di freddo di due corpi mediante il senso del tatto, ma c’è un accordo abbastanza generale per un’ampia scelta di sistemi quali l’acqua ghiacciata e l’acqua bollente). Nel nostro esempio di due sistemi gassosi, il sistema l è inizialmente «più caldo» del sistema 2. Associamo la pressione decrescente di un sistema costituito da gas a volume costante con la temperatura decrescente e la pressione crescente con la temperatura crescente. Se si colloca un sistema costituito da gas a volume costante a contatto termico con un’asta metallica quando i sistemi non sono in equilibrio termico, si trova che, se la pressione del gas aumenta, la lunghezza dell’asta diminuisce e viceversa. Perciò un aumento della lunghezza di un’asta a pressione costante indica che la temperatura dell’asta aumenta.
SCALE DI TEMPERATURA
Nel 1848, scriveva Thomson:
Questo è quanto ci si può aspettare qualora si pensi che un freddo infinito deve corrispondere ad un numero finito di gradi sotto lo zero del termometro ad aria; se infatti ci spingiamo sufficientemente lontano a proposito del principio rigoroso di graduazione di cui si è appena parlato, dobbiamo arrivare ad un punto che corrisponde ad un volume d’aria ridotto zero, e questo punto sarà segnato con -273° sulla scala (- 100/0,366, se 0,366 è il coefficiente di espansione); ed allora il punto che sul termometro ad aria è contrassegnato con – 273° è un punto che non può esser raggiunto da una temperatura finita,
comunque bassa.
Questo ragionamento di Thomson era basato sulla legge di Gay-Lussac (1802) che si rifaceva ad un lavoro di Charles del 1787 (motivo per il quale la legge è anche nota come legge di Charles), secondo la quale, a pressione costante, il volume di un gas varia linearmente con la temperatura. Rappresentando graficamente la legge, si trova:

La legge di Charles in un piano (V,t) per due valori di pressione P1 e P2 (ma stessa cosa avverrebbe per altri valori di P). Si può osservare che in corrispondenza dello zero centigrado il gas mantiene un suo volume (diverso a seconda del valore della pressione). Se però si estrapolano le due rette, si vede che esse vanno a confluire in un punto dell’asse delle ascisse che corrisponderebbe a -273,15 °C (non è pensabile andare oltre nell’estrapolazione perché avremmo volumi negativi che ancora non sappiamo cosa sono). Nel calcoletto che fa Thomson c’è da notare che il valore –273 era derivato dal valore sperimentale 0.366 che è il coefficiente di espansione del gas per ogni grado centigrado. Di grande importanza quindi è avere delle misure sperimentali sempre più precise e stabilire con altrettanta precisione dove si trova quello zero centigrado per una data pressione.
Nella scala termometrica ipotizzata da Thomson, tutti i gradi debbono avere lo stesso valore e cioè che una unità di calore che scende da un corpo A con una temperatura T° di questa scala ad un corpo B con una temperatura (T – 1)° deve fornire, qualunque sia il numero T, lo stesso effetto meccanico. Questa scala può a buon diritto essere definita come assoluta, poiché le sue caratteristiche sono completamente indipendenti dalle proprietà fisiche di ogni sostanza particolare.
Il ragionamento non era corretto (perché il calore ceduto da A non è uguale a quello ricevuto da B) ma sarà perfezionato da Thomson alcuni anni dopo. Venivano comunque gettate le basi per un notevole avanzamento nella conoscenza dei fenomeni termici.

1 – I gas
Ricapitolo in breve alcune leggi relative ai gas e concetti collegati.
DILATAZIONE LINEARE
ℓt = ℓ0 + Δ ℓ0 = ℓ0 + ℓ0λt =>
ℓt = ℓ0 (1 + λt)
DILATAZIONE CUBICA
Vt = V0(1 + αt) con α ≈ 3λ
PRIMA LEGGE DI VOLTA-GAY LUSSAC
(per i gas a P = cost, in cui α = 1/273)
Vt = V0(1 + t/273) =>
Vt = (V0/273).t + V0

TEMPERATURA ASSOLUTA
(cenno)


SECONDA LEGGE DI VOLTA-GAY LUSSAC
(per i gas a V = cost, in cui α = 1/273)
Pt = P0(1 + tα) =>
Pt = P0(1 + t/273) =>
LEGGE DI BOYLE
(empirica ed a t = cost.)
P.V = k

Ripetendo l’esperienza a temperature diverse si trovano vari valori di k che risultano proporzionali a t.
P1.V1 = k1 a t1
P2.V2 = k2 a t2
P3.V3 = k3 a t3
…………………………….

Si ha allora:
k = c.t (con c = cost.)
e cioè:

Da cui, come visto prima:

Poiché il k che troviamo in ordinata continua ad essere uguale al prodotto P.V, possiamo dire che sperimentalmente i gas ubbidiscono ad una legge del tipo:
P.V = c.T
LEGGE DEI GAS PERFETTI
La prima legge di Volta-Gay Lussac fornisce:

Per la legge di Boyle abbiamo che il prodotto di qualsiasi pressione per qualsiasi temperatura risulta costante:
PV = P0V0 = P1V1 = P0V1 = P0V2 = P0Vt = …….. = k
In particolare si ha:
PV = P0Vt
da cui:

PV = RT
con R = K.N = 1,37.10-23 J/°K . 6,02.1023 = 8,32 J/°K, essendo K la costante di Boltzmann ed N (numero di atomi contenuto in un grammo di gas) il numero di Avogadro.
Se invece di una si hanno n grammomolecole, l’equazione precedente diventa:
PV = n RT
con n = m/M (dove m è la massa del gas in grammi ed M è il peso molecolare del gas in considerazione).
Si osservi che, da conti fatti da Avogadro, il volume di una grammomolecola di un qualsiasi gas a 0 °C e ad 1 atm vale:
V0 = 22,421 litri = 0,022421 m3
ed in questo volume sono contenuti N, numero di Avogadro, atomi. Con questo dato si ricava R, osservando che T0 = 273,2 e che P0 = 1,01325 N/m2.
___________
Ricordo:
Peso atomico di un elemento è il peso medio relativo (massa) dei suoi atomi. La base dei pesi atomici è l’ossigeno il cui peso atomico è stato arbitrariamente fissato in 16.
Peso molecolare si calcola sommando i pesi atomici degli atomi che costituiscono la molecola.
Mole (o grammomolecola) di una sostanza è il numero di grammi di tale sostanza pari al numero che ne esprime il peso molecolare (analogamente per il grammoatomo).
____________
2 – Teoria cinetica dei gas
Daniel Bernoulli (1733) immaginò un gas costituito da molecole elastiche in continuo movimento nel vuoto. Gli urti tra queste molecole, nel suo modello teorico, hanno un ruolo fondamentale, anche perché, con questo innocuo modello, si metteva in discussione la visione corpuscolarista di Newton basata sulle forze repulsive agenti tra particelle e non sugli urti tra di esse. In tale visione i fenomeni termici erano studiati, utilizzando le leggi della dinamica ed il continuo movimento intorno a posizioni prefissate dei corpuscoli ed i gas erano pensati come fluidi elastici costituiti da molecole non puntiformi ma sferiche che occupavano piccoli volumi. Le particelle erano omogenee, rigide, elastiche, dotate di peso, soggette ad un moto molto rapido che espandendosi in modo casuale in tutte le direzioni obbediva alle leggi della meccanica classica; la loro distribuzione nel fluido era irregolare e non soggetta a forze esterne, così che il moto in assenza di urti poteva essere considerato rettilineo. Tali corpuscoli erano altresì supposti come perfettamente lisci: un eventuale moto rotatorio intorno all’asse passante per il loro centro avrebbe potuto così essere trascurato e la loro velocità sarebbe stata calcolata esclusivamente in relazione alla velocità del centro. Il sistema così descritto prevedeva una quantità considerevole di collisioni, responsabili a livello microscopico dei fenomeni macroscopicamente controllabili in termini di volume, pressione e temperatura; queste proprietà non erano più distinte in due classi, l’una concernente la densità e la pressione, l’altra riguardante la relazione tra calore ed espansione, ma riunite sotto l’unica tesi della struttura corpuscolare della materia.
Mediante le argomentazioni di Daniel Bernoulli era possibile constatare che gli urti si verificavano con maggiore frequenza in proporzione alla diminuzione delle distanze reciproche fra le particelle, di conseguenza il numero delle collisioni era inversamente proporzionale alla distanza media che intercorreva tra esse. Le distanze medie erano calcolate utilizzando la cinetica e la statistica, in tal modo si poteva determinare, in riferimento alle condizioni microscopiche del sistema, l’incremento della pressione in relazione alla diminuzione del volume e all’aumento della temperatura e accertare la dipendenza del calore della materia dalla velocità dei singoli corpuscoli e dall’intensità degli urti. La figura che Daniel ci presenta è la seguente. Essa è di per sé esemplificativa del suo modello.

Figura di Daniel Bernoulli (Hydrodinamica, 1738)
Le ipotesi da cui parte Bernoulli, che sono poi le quattro ipotesi alla base della teoria cinetica dei gas, sono le seguenti:
- Un gas è costituito da atomi.
- Il volume proprio degli atomi è trascurabile rispetto al volume totale occupato dal gas.
- Gli atomi non esercitano forze tra loro a distanza. Solo durante gli urti c’è scambio di forze.
- Gli urti sono completamente elastici.
Queste ipotesi nascevano per rendere conto, in modo microscopico, di un fenomeno macroscopico come la pressione: gli urti degli atomi su di una data superficie costituiscono la pressione del gas su quella superficie. Supponiamo, per semplicità, di avere, come contenitore del gas, un recipiente di forma cubica, di lato d e quindi di volume V = d3.

Dentro tale cubo iniziamo con il sistemare un solo atomo di massa m. Anche qui semplifichiamo e supponiamo che la sua traiettoria sia parallela a quattro facce del cubo e perpendicolare alle altre due, come mostrato in figura. Questo atomo, ad un dato istante, abbia velocità v. Esso urterà su una parete del recipiente e, appena dopo l’urto, la sua velocità sarà rimasta invariata in modulo v, ma avrà verso opposto – v.
Vediamo le cose dal punto di vista della variazione della quantità di moto. Prima dell’urto l’atomo avrà quantità di moto p1 = mv, dopo l’urto questa quantità di moto sarà p2 = – mv. La variazione della quantità di moto Δp in questo urto sarà data da:
Δp = p1 – p2 = mv – (- mv) = 2 mv
L’atomo rimbalzerà alternativamente sulle due facce opposte della scatola. Vediamo quanto tempo t intercorre tra due urti successivi dell’atomo contro la stessa faccia. Si ha:
t = 2d/v.
Ci chiediamo ora: quanti urti n farà su quella faccia il nostro atomo in un dato tempo, mettiamo Δt ? Questo numero n sarà dato dal tempo complessivo Δt, diviso per il tempo t che intercorre tra due urti successivi:
n = Δt/t => n = Δt/(2d/v) = (v/2d). Δt.
Quindi, per ogni urto si ha una variazione di quantità di moto pari a 2d/v; nel tempo Δt si ha il numero di urti ora visto; quale sarà la variazione totale di quantità di moto Δptotnel tempo Δt ? Si ha:

In definitiva, quell’atomo che rimbalza su quella superficie del cubo gli trasmette, nel tempo dato, una forza data dalla relazione precedente. Poiché poi questa forza la si esercita su una superficie (S = d2), si avrà a che fare con una pressione che è proprio il rapporto tra forza e superficie (P = F/S):

Occorre ora passare dall’un atomo solo all’enorme quantità di atomi che si hanno dentro il recipiente e lo facciamo con un ragionamento, dello stesso tipo di quello di Daniel Bernoulli che affrontava questo problema con una grande preparazione in questioni di statistica e probabilità.
Debbo ora fare un’osservazione. Ho iniziato con una ipotesi semplificativa: il fatto che la traiettoria di quell’atomo fosse parallela a quattro facce e perpendicolare alle altre due. Potrebbe sorgere il dubbio che, il complesso dei ragionamenti sia vincolato a questa ipotesi ed infici le conclusioni. Non è così. Se la traiettoria fosse diretta come vi pare, noi possiamo sempre scomporre il vettore velocità nelle sue tre componenti spaziali parallele agli spigoli del cubo. Allora l’operazione che noi abbiamo fatto corrisponde ad aver studiato una sola delle tre componenti e, identici ragionamenti si possono fare per le altre due componenti, arrivando ad identiche conclusioni. Passo ora al numero degli atomi: essi avranno le traiettorie più varie ed urteranno in modo completamente imprevedibile le facce del cubo oltre ad urtarsi tra loro. Ma, anche qui, possiamo pensare di scomporre i vettori velocità di ogni singolo atomo sempre parallelamente agli spigoli del cubo. Cosa ci si aspetta? Che un terzo di queste componenti avrà una direzione spaziale, un terzo un’altra ed un terzo l’ultima! Insomma, non vi sono motivi per pensare che una direzione dello spazio sia privilegiata rispetto ad altre (in assenza di forze esterne). In tal modo, se il numero degli atomi nel cubo è N, quelli che dovremo considerare sbattere su una faccia (o come tali o come componenti delle loro velocità, il che alla fine è lo stesso), quella che abbiamo preso in considerazione, sarà N/3, cioè un terzo di quelli che abbiamo a disposizione. Ciò vuol dire che l’ultima relazione scritta si completa moltiplicandola per N/3:
(1)

Si vede subito che al primo membro abbiamo il prodotto PV pressione per volume del gas. Al secondo membro abbiamo una quantità che, se fosse costante, ci darebbe la legge che Boyle aveva trovato sperimentalmente. Ora su Nm/3 non vi sono dubbi (Nm rappresenta la massa totale del gas). Il problema si pone per v2 e la cosa era presente a Daniel.
In ogni caso, all’epoca, fu supposta la costanza di v2 ad una data temperatura. L’ipotesi era stata avanzata da Euler nel 1729 e non è scontata: occorreranno i lavori, piuttosto elaborati, di Joule e Maxwell della metà dell’Ottocento, per poter affermare una cosa del genere. Lo stesso Bernoulli interpretava la sua analisi come la dimostrazione del fatto che incrementi di pressione prodotti da medesime variazioni di temperatura devono essere proporzionali alle densità. Propose quindi di considerare v2 come una scala di temperatura, per la misura della quale progettò e costruì un termometro ad aria). Il tutto andò comunque nel senso di interpretare i conti di Daniel Bernoulli come un ritrovare, per via puramente teorica, la legge di Boyle.
Vediamo, in modo semplice, come Maxwell (1860) mostrò la costanza di v2.
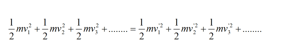
L’energia cinetica di tutti gli atomi costituenti il gas sarà data, ad un certo istante, dalla somma delle energie cinetiche dei singoli atomi, supposti tutti con la stessa massa.

di modo che, per la conservazione dell’energia, dovrà risultare:

E cioè:

Quanto visto mostra che la somma dei quadrati delle velocità degli atomi è sempre costante. La precedente somma la si può allora scrivere:

media). Ciò vuol dire che ogni atomo può essere dotato di qualunque velocità, ma è più probabile che abbia un valore vicino alla velocità media.
Le velocità delle molecole, in definitiva, si distribuiscono secondo la curva mostrata in figura (una gaussiana). Questa curva ha il seguente significato: le molecole del gas sono in continuo movimento e soggette agli urti più svariati (tra di esse e con le pareti del recipiente che le contiene);


ad ogni istante si avrà un numero enorme di valori di v; poche molecole avranno velocità molto piccole (la coda sinistra della gaussiana); poche molecole avranno velocità molto grandi (la coda destra della gaussiana); un grandissimo numero avrà velocità intermedie; la curva presenta un massimo in corrispondenza di vm che può essere assunta come la velocità più probabile delle molecole.
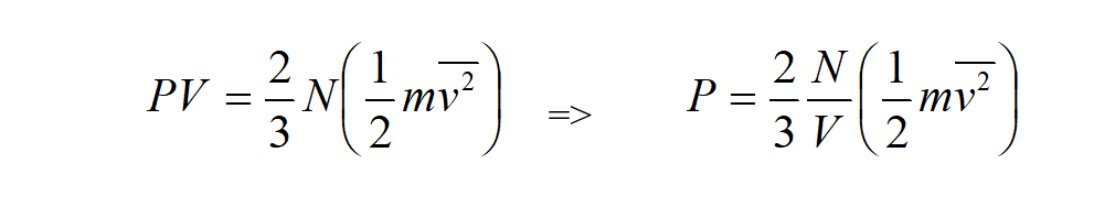
Sostituendo nella (1) il termine v2 con v2 medig si ha:

Osservando che la quantità tra parentesi non è altro che l’energia cinetica media di un atomo, la stessa quantità moltiplicata per N rappresenterà l’energia cinetica media Ec,m del gas

da cui si può vedere che l’energia interna di un gas è funzione della sola temperatura.
Quanto visto ci permette anche una interessante interpretazione microscopica della pressione e della temperatura.
Per quel che riguarda la pressione, partendo dalla (3), si trova:

E dall’ultima relazione si può vedere:
- la pressione è proporzionale al numero degli atomi per unità di volume (N/V);
- la pressione è proporzionale all’energia cinetica media di ciascun atomo e quindi, per la (4), alla temperatura.
In definitiva si ha aumento di pressione quando si aumenta il numero di atomi per unità di volume e quando si aumenta la temperatura.
Dalla (6) infine si può facilmente vedere che la temperatura di un dato gas è direttamente proporzionale all’energia interna delle sue molecole.
3 – Gas reali. Equazione di Van der Waals. Curve di Andrews
In realtà non esistono gas perfetti, tutti i gas sono reali: le molecole del gas esercitano tra di loro una debole forza di attrazione ed inoltre queste molecole hanno delle dimensioni diverse da zero, hanno cioè volume. E quando, ad esempio, facciamo il conto che fece Bernouilli nel 1797 [considerando una massa gassosa contenuta in un recipiente cubico e ammettendo implicitamente che il cammino percorso da una particella che si sposta perpendicolarmente da una parete del recipiente a quella opposta è strettamente uguale alla distanza che separa le due pareti] non teniamo in considerazione il volume della particella. Infatti, per fare un conto più preciso, dovremmo sottrarre alla distanza che separa le due pareti del recipiente il diametro della particella (supposta sferica):

La linea continua corrisponde al percorso effettuato da una particella secondo il conto fatto da Bernouilli; la linea tratteggiata corrisponde, invece, al percorso effettivo della particella, quando si tiene conto del suo volume.
Van der Waals ha modificato l’equazione, che abbiamo vista più su, tenendo conto delle correzioni alle quali abbiamo accennato, ed ha ottenuto in sua vece l’equazione:
(P + a/V2)(V – b) = nRT
Ha cioè aggiunto al termine P, che compare nell’equazione dei gas perfetti, il termine a/V2 ed al termine V il termine – b.
Nell’espressione che abbiamo scritto le quantità b ed a sono delle costanti per un dato tipo di gas e risultano misurabili sperimentalmente.
Cerchiamo di interpretare da un punto di vista microscopico il significato dell’equazione di Van der Waals.
Le molecole hanno un volume proprio. La somma b dei volumi delle singole molecole costituenti il gas, nota come covolume, deve essere sottratta al volume V del gas: e questo perché si possa ottenere l’effettivo volume (V – b) che le molecole del gas hanno a disposizione. Si può anche calcolare il volume effettivamente occupato dalle molecole di un gas che risulta essere soltanto un quarto di b.
Inoltre le molecole esercitano, l’una sull’altra, una debole attrazione e questo fatto aumenta di una quantità p’ = a/V2 , nota come pressione interna, la pressione che si esercita sul gas: infatti le molecole che si trovano sulla superficie che delimita il volume del gas sono attratte dalle molecole che si trovano più internamente e ciò origina una forza diretta verso l’interno. Tale pressione deve essere tanto maggiore quanto più le molecole sono vicine; per questo motivo essa risulta inversamente proporzionale al quadrato del volume V occupato dal gas.
Vediamo meglio l’origine della pressione interna.
Supponiamo di avere una molecola all’interno del volume occupato dal gas. Su di essa si eserciteranno delle forze (sulla cui natura e sulla cui legge di variazione con la distanza non facciamo per ora alcuna ipotesi) da parte delle molecole vicine. La risultante di queste forze, su questa molecola interna, è però nulla, in quanto in media questa molecola sarà circondata simmetricamente da un certo numero di altre molecole:

La molecola non sarà allora in alcun modo influenzata da quelle vicine.
Supponiamo ora di avere una molecola vicina alla superficie che delimita il volume occupato dal gas. Le molecole che la circondano, e che esercitano forze su di essa, non saranno più disposte simmetricamente intorno alla molecola stessa:

Le forze non si faranno allora più equilibrio ed avranno una risultante, non nulla, diretta verso l’interno. Questa forza risultante agisce sulla molecola in modo tale da rallentarne l’urto contro la parete del recipiente.
Ricordando che sono proprio gli urti delle particelle costituenti un gas, contro le pareti del contenitore, che originano la pressione, si capisce subito che, diminuendo l’intensità di questi urti, si diminuisce la pressione esercitata dal gas.
E proprio questo è il significato del termine a/V2, introdotto nell’equazione di Van der Waals. Si possono allora cominciare a trarre delle prime conclusioni:
il termine p’ = a/V2 è responsabile delle forze attrattive tra le molecole, mentre il termine b è in qualche modo responsabile della repulsione tra le molecole (il volume proprio occupato dalle molecole fa si che queste al massimo possono essere avvicinate fino a toccarsi: impenetrabilità della materia).
Vediamo ora qual è il grafico di questa equazione sul solito piano PV.

La figura rappresenta il grafico dell’equazione di Van der Waals per una data sostanza e per differenti temperature (la temperatura cresce andando verso l’alto). E’ notevole l’accordo con le curve sperimentali di Andrews. Le differenze si possono capire facilmente ed è anche possibile capire le due cosette lasciate in sospeso nei grafici riportati per Andrews. Qui le curve, per basse temperature, hanno una gobba verso il basso, nelle altre curve, in luogo della gobba vi era quello che ho chiomato pianerottolo. Evidentemente la curva corretta è quella sperimentale e perché vi è una tale differenza ? Supponiamo di fissare una temperatura e di partire da un vapore che occupa un volume grande. Seguiamo l’isoterma e ad un certo punto A troviamo l’inizio della sua caduta verso la gobba. In questo punto, precedentemente, iniziava il pianerottolo (segnato in rosso). Ebbene il pianerottolo rappresenta il cambiamento di stato del vapore considerato che diventa liquido mentre la gobba rappresenta la descrizione matematica di qualcosa che la matematica non sa (che da lì inizia un cambiamento di stato). La gobba e/o il pianerottolo cessano quando in B si riprende l’isoterma dopo che il cambiamento di stato si è realizzato completamente.

La figura rappresenta le curve di Andrews – Van der Waals. Questa volta è di nuovo riportata la campana che avevamo lasciato in sospeso. L’isoterma critica è quella indicata con A. Il punto B ≡ C è il punto critico. Le zone diversamente ombreggiate rappresentano diverse fasi di una data sostanza. Si può vedere che, sotto la campana abbiamo la zona di vapore saturo (liquido in presenza del suo vapore). Sulla destra della campana e sotto l’isoterma critica, abbiamo la zona del vapore (detto surriscaldato). Sulla sinistra della campana, e ancora sotto l’isoterma critica, abbiamo la fase liquida. Al di sopra dell’isoterma critica si ha il gas. Noto che il punto critico ha qui una lettura diversa: è il punto in cui coesistono la fase liquida, gassosa e di vapore.
E’ interessante riportare altri grafici perché forniscono maggiori informazioni.

Isoterme di un gas reale (C02) secondo le misurazioni di Andrews. Esse seguono approssimativamente la legge di Boyle a temperature elevate (T7), mentre a temperature basse sono più complicate e sotto il punto critico, in corrispondenza del quale coesistono le due fasi liquido-vapore e gassosa, esiste una regione di liquefazione.

Il diagramma di stato pressione-temperatura fornisce le curve alle quali sono in equilibrio le fasi solida, liquida e gassosa di una stessa sostanza. Si noti che sopra il punto critico le fasi liquida e gassosa non sono distinte, ma si confondono l’una nell’altra. In corrispondenza del punto triplo coesistono le tre fasi, solida, liquida e gassosa.

La costruzione sperimentale di una curva di Andrews
Questo lavoro di Van der Waals fu pubblicato in sunto su Nature nel 1874 e Maxwell, dopo averlo letto lo commentò in una lezione che tenne nel 1875 alla Società Chimica con le parole seguenti:
La teoria molecolare della continuità degli stati liquido e gassoso è oggetto di una particolarmente ingegnosa tesi del Sig. Johannes Diderik Van der Waals, un laureato di Leida. Vi sono alcuni punti in cui io credo che egli sia caduto in errori matematici ed il suo risultato finale non è certamente una espressione completa per l’interazione delle molecole reali, ma il suo approccio a questa difficile questione è così abile e coraggioso che non posso venir meno a dare un forte sostegno allo sviluppo della scienza molecolare. Questo lavoro ha certamente indirizzato l’attenzione di molti ricercatori allo studio della lingua olandese in cui è scritto.
Ho riportato con maggiori dettagli l’opera di Van der Waals perché essa fu gravida di conseguenze. Grazie alla sua equazione (ed alle ipotesi da lui fatte relative alla pressione interna ed al covolume) da quel momento le deboli forze di attrazione che si esercitano tra le molecole a breve distanza e le notevoli forze di repulsione che si esercitano tra le stesse a brevissima distanza presero il suo nome (forze di Van der Waals).
4 – Cambiamenti di stato

5 – Il calore
- Calore come fluido
- Conservazione della materia
- Relazioni reciproche tra calore e lavoro
- Asimmetria tra calore e lavoro
- Calore = movimento.
Definiamo ora empiricamente la quantità di calore che viene trasferita ad un corpo mediante la variazione di temperatura del corpo stesso.
Consideriamo una massa m1 di acqua a temperatura t1 all’interno di un thermos ed una massa m2, ancora di acqua, a temperatura t2, con t2 > t1, sempre all’interno di un thermos.
Mescoliamo le due masse d’acqua in un unico thermos. E’ un fatto sperimentale che l’acqua, raggiunto l’equilibrio termico, acquisterà una temperatura t intermedia tra t1 e t2 (t1 < t < t2). Empiricamente si trova che vale la relazione:
(1) m1(t – t1) = m2(t2 – t)
Questo fatto indica che la quantità di calore acquistata (o ceduta) da un corpo di massa m, quando la sua temperatura aumenta (o diminuisce) di Δt, è proporzionale ad m e Δt:
(2) Q = cm Δt
Questa relazione è valida solo quando nessun altro fenomeno chimico o fisico accompagni il trasferimento di calore da un corpo ad un altro (ad esempio: attrito, reazioni chimiche endoenergetiche o esoenergetiche, reazioni nucleari, fenomeni elettrici, ….).
In queste condizioni si può misurare la quantità di calore per mezzo di una misura di temperatura ed una di massa (purché si definisca la costante di proporzionalità c che differisce da sostanza a sostanza).
Fissando per l’acqua c = 1, si può definire empiricamente l’unità di misura della quantità di calore:
la chilocaloria (kcal) è la quantità di calore necessaria ad aumentare di 1°C (da 14,5 °C a 15,5 °C) la temperatura di 1 kg di acqua.
CALORI SPECIFICI
Ponendo due sostanze di diversa natura sopra una medesima stufa si osserva che una si scalda in un tempo diverso dall’altra
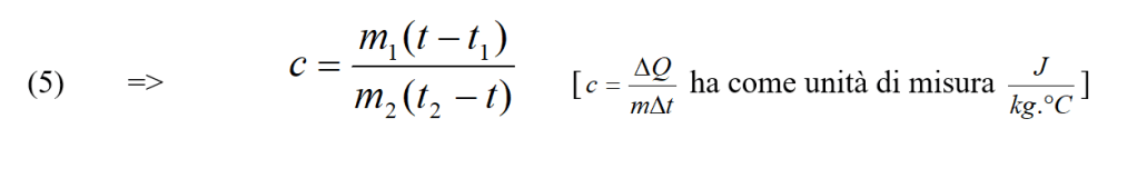
Supponiamo di avere una massa m1 di acqua a temperatura t1 ed una massa m2 di rame a temperatura t2, con t2 > t1. Immergendo il rame nell’acqua, dopo un certo tempo, si sarà raggiunto l’equilibrio termico ad una temperatura t intermedia tra t2 e t1. La quantità di calore Q acquistata dall’acqua sarà data dalla relazione (2) dove, si osservi, per l’acqua avevamo posto c = 1:
(3) Q = m1(t – t1)
Questa quantità di calore sarà anche quella ceduta dal rame:
(4) Q = cm2(t2 – t)
Uguagliando le (3) e (4) si ha:
m1(t – t1) = cm2(t2 – t) =>

La quantità c è chiamata calore specifico del rame (rispetto all’acqua presa come riferimento) e, più in generale, della sostanza in considerazione. Si può determinare c misurando m1, m2, t1, t2.
Il calore specifico è la quantità di calore necessaria per aumentare di 1°C la temperatura di una massa di un chilogrammo della sostanza considerata.
La capacità termica:
(6) C = cm
è invece la quantità di calore necessaria per aumentare di un grado centigrado la temperatura di quel corpo. Si tratta di una grandezza importante e lo possiamo capire da un paio di esempi. Se togliamo dal frigo una bottiglia piena d’acqua, ci vuole un tempo maggiore perché si metta a temperatura ambiente che non un bicchiere d’acqua tolto dal medesimo frigo. Per scaldare con il microonde un dato alimento, ci vuole un tempo maggiore per una quantità maggiore. Se misuriamo la temperatura con un ordinario termometro, occorre che esso sia piccolo ed abbia quindi bassa capacitò termica, in caso contrario il calore che esso preleva dal nostro corpo va a scaldare la massa del termometro dando una minore informazione al mercurio che si dilata di meno.
Nel caso di solidi e liquidi, quando si parla di calore specifico si sottintende che esso sia valutato a pressione costante. Nel caso dei gas occorre sempre specificare perché, come studieremo più oltre, vi sono due diversi calori specifici per uno stesso gas, quello a pressione costante cp e quello a volume costante cv.
Lo strumento che si utilizza per studiare trasferimenti di calore e calori specifici è il calorimetro.
MODI DI TRASMISSIONE DEL CALORE
- Conduzione


- Convezione



- Irraggiamento.

- Bilancio energetico della Terra ed Effetto serra

– I tre modi considerati nel loro insieme



– Dispersione calore


Categorie:Senza categoria
Rispondi