Ingegneria Meccanica – Roma Tre
AA/2011-2012
APPUNTI PER IL CORSO
(Ripresi integralmente e da me assemblati dai testi di bibliografia)
Roberto Renzetti
Bibliografia: Paul J. Tipler, Gene Mosca – Corso di Fisica – Zanichelli, 2009
Jay Orear – Fundamental Physics – John Wiley & Sons Inc, 1967
F.W. Sears, M.W. Zemansky – University Physics – Addison-Wesley Publishing Company, 1964
M. Alonso, E.J. Finn – Fundamental University Physics – Addison-Wesley Publishing Company, 1969
R. Renzetti – Vari appunti miei raccolti negli anni – www.fisicamente.net
PARTE SETTIMA
ELETTROSTATICA
Bibliografia: Paul J. Tipler – Physics – Worth Publishers, Inc., New York, 1976
Jay Orear – Fundamental Physics – John Wiley & Sons Inc, 1967
F.W. Sears, M.W. Zemansky – University Physics – Addison-Wesley Publishing Company, 1964
M. Alonso, E.J. Finn – Fundamental University Physics – Addison-Wesley Publishing Company, 1969
R. Renzetti – Svariati lavori riportati su www.fisicamente.net
1 – Carica elettrica e primi concetti
- Proprietà di alcuni corpi
- Carica di due tipi
- Corpi si attraggono e si respingono
- Conservazione della carica
- Carica quantizzata
- Strofinio, contatto, induzione
- Bilancia di torsione di Cavendish e Coulomb (seconda metà del ‘700)





Carica dell’elettrone: e = 1,6 . 10-19 C
2 – Confronto tra forza elettrica e gravitazionale
Il nucleo di un atomo di elio ha una massa m = 6,68.10-27 kg ed una carica q fornita da due protoni che hanno, ciascuno, la stessa carica dell’elettrone con segno positivo, quindi q = 3,2.10-19 C. Confrontiamo ora la forza di repulsione elettrostatica con quella di attrazione gravitazionale tra due nuclei di elio [raggio atomico r = 5,3.10-11 m; massa del protone mp = 1,7.10-27 kg; me = 9,1.10-31 kg; G = 6,7.10-11 (N.m2)/kg2; K = 9.109 (N.m2)/C2].
–

Quanto trovato vuol dire che la forza elettrica è 1035 volte più intensa di quella gravitazionale e ciò significa che la forza gravitazionale è del tutto trascurabile rispetto a quella elettrica.
3 – Campo elettrico
In un dato punto dello spazio esiste un campo elettrico se su di un corpo carico collocato in tale punto si esercita una forza elettrica:

Vale la seguente relazione:

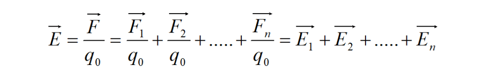
I campi elettrici agenti su un dato punto si sommano vettorialmente:

Il campo può essere radiale (o centrale) oppure uniforme.
In generale i campi elettrici sono generati da cariche distribuite sulla superficie di conduttori di dimensioni finite e non da cariche puntiformi. In tal caso il campo elettrico si calcola immaginando la carica di ogni conduttore suddivisa in piccoli elementi Δq. Con questa ipotesi, non tutta la carica di ciascun elemento si troverà alla stessa distanza da un punto P in cui è posta la carica q di prova, ma se gli elementi sono piccoli in confronto alla distanza dal punto e se r rappresenta la distanza di un punto qualunque dell’elemento al punto P, si potrà scrivere approssimativamente:

Il campo si rappresenta mediante delle linee di forza che sono le traiettorie che seguirebbe la piccola carica di prova (considerata positiva) sottoposta all’azione di quel campo. La densità delle linee di forza è proporzionale all’intensità del campo.


4 – Flusso di un vettore attraverso una superficie
Supponiamo di avere un campo elettrico E uniforme, quale quello che si avrebbe all’interno delle armature di un apparato elettrico che vedremo più oltre, il condensatore (figura 1 a). Consideriamo poi una superficie piana S la cui orientazione positiva sia definita dalla normale n (vettore) uscente da essa (figura 1 b).

Figura 1
Se inseriamo la superficie S all’interno del campo E, un certo numero di linee di forza attraverserà questa superficie e questo numero dipenderà dall’orientazione della superficie stessa rispetto al verso delle linee di forza. Quando S è perpendicolare alle linee di forza (quando cioè n (vettore) è parallelo ad esse) allora la superficie sarà attraversata dal maggior numero possibile di linee di forza. Quando S è parallela alle linee di forza (quando cioè n (vettore) è perpendicolare ad esse) allora il numero di linee di forza che attraverserà la superficie sarà uguale a zero.
Il numero di linee di forza che attraversa una superficie si definisce flusso e si indica con ΦS .
Se le linee di forza sono originate, come nel nostro caso, da un campo elettrostatico E, si avrà un flusso di linee di forza di un campo E attraverso una superficie S e si indicherà con ΦS(E).
E’ facile convincersi che questo flusso è tanto più grande quanto più grande è E (in questo caso sono più numerose le linee di forza secondo la convenzione di Faraday), quanto maggiore è l’estensione della superficie S e quanto più essa si trova vicina alla posizione perpendicolare rispetto ad esse. Tutto ciò si può riassumere nella relazione:

dove α è l’angolo formato tra la normale n vettore ed il verso delle linee di forza. Si vede subito che quando α = 0, da cui cos α = 1 (la superficie è perpendicolare alle linee di forza), il flusso è massimo e vale ES. Altro caso limite è quando α = 90°, da cui cos α = 0 (la superficie è parallela alle linee di forza), il flusso è nullo. L’ultimo caso limite che va considerato è quando la superficie è perpendicolare alle linee di forza, ma i versi di n vettore e delle linee di forza sono opposti (questo fatto è rappresentato da α = 180°, da cui cos α = – 1); in questo caso il flusso assume un massimo negativo e vale – ES.
Nel caso più generale, quando la superficie S non è piana, bisognerà considerare su di essa svariate piccole superfici (con buona approssimazione piane) di area ΔS e per ciascuna di esse calcolarsi il flusso elementare ΔΦΔS(E). In questo caso, riferendosi alla figura 2, il flusso totale sarà la somma di tutti i flussi elementari:

Figura 2

Passando dagli elementi di superficie ΔS, piccoli ma finiti, agli elementi infinitesimi dS, anche qui, si arriva all’espressione integrale:

La superficie che noi consideriamo è una sfera e quindi la somma di tutte le superfici elementari ΔS darà la superficie della sfera S = 4πr2. Si ha quindi:

e, come vedremo, ricordando che in un campo radiale risulta:

(2)
si avrà:

Questo risultato è molto più generale. Si può dimostrare che esso è valido per una superficie qualunque chiusa che contenga al suo interno una carica elettrica q e va sotto il nome di teorema di Gauss (che dimostreremo nel prossimo capitolo).
Il teorema si può completare affermando che nei punti di un campo elettrostatico nei quali non vi sono cariche, il flusso di E attraverso una superficie chiusa e non contenente nessuna carica è nullo. Ciò significa che, mentre nel caso di una carica posta all’interno di una determinata superficie tutte le linee di forza uscenti dalla carica dovranno attraversare questa superficie dando un contributo al flusso pari a q/ε0, nel caso invece di una superficie chiusa non contenente la carica, le linee di
forza entranti da un qualunque lato della superficie, essendo radiali e non chiuse in sé, dovranno necessariamente uscire dall’altro lato della superficie, di modo che il flusso totale risulta nullo.
Un’altra notazione di rilievo può a questo punto essere fatta; se consideriamo un cono di linee di forza (un tubo di flusso) che si dipartono da una carica, come conseguenza del fatto che E varia con l’inverso del quadrato della distanza, si trova che il flusso di E attraverso una qualunque sezione del tubo di flusso è costante. Una conseguenza di quanto detto è che il teorema di Gauss è equivalente alla legge di Coulomb con la differenza che il primo, noto il campo in ogni punto dello spazio, permette il calcolo della carica che si trova all’interno di una data zona di tale spazio, mentre il secondo, note le cariche, permette di calcolare il campo.
In definitiva il teorema di Gauss per l’elettrostatica si esprime con la seguente relazione:

Un campo in cui si verifichi ciò è chiamato campo solenoidale ed un campo è solenoidale quando a lato di sorgenti si hanno contemporaneamente pozzi in cui si annullano le sorgenti. Scrivendo l’ultima relazione scritta con la notazione vista per il campo elettrico, si ha:

Risulta, chiaro allora che mentre il campo magnetico è solenoidale, il campo elettrico non lo è.
5 – Teorema di Gauss nel caso generale
[Premetto una definizione che ci servirà. Dicesi angolo solido, sotto cui da un punto O si vede una superficie piccola ΔS, l’area tagliata sulla sfera (di raggio unitario e di centro O) dal cono che dal centro O proietta il contorno di ΔS.
Chiamato Ω l’angolo solido sotto cui da O si vede ΔS, sia r la distanza da O a ΔS ed n la perpendicolare a ΔS. Si proietti ΔS sulla sfera di raggio r e sia ΔS’ la proiezione; sia n’ la normale alla superficie sferica, ed α l’angolo fra le due normali, uguale alla sezione normale del diedro formato da ΔS e ΔS’ (vedi figura).

Figura 1 a

Figura 1 b – Sezione normale del diedro formato da ΔS e ΔS’
Dalla geometria sappiamo:
ΔS’ : Ω = r2 : 12 à ΔS’ = r2 . Ω
e poiché
ΔS’ = ΔS . cosα
si trova:

Consideriamo il campo generato da una sola carica puntiforme Q circondata da una superficie chiusa qualunque. In ogni punto di tale superficie il campo E è diretto radialmente verso l’esterno con un valore

.

Figura 2 a

Figura 2 b. Sezione della figura 2 a

Figura 3
Nei punti di un’area dS sufficientemente piccola della superficie si può ammettere che il campo abbia grandezza e direzione costante. La componente En di E, perpendicolare alla superficie, è uguale ad E cosα, con α = angolo formato da E e la perpendicolare esterna; mentre il prodotto di En per l’area dS è:


Il primo membro è l’integrale di superficie che risulta uguale alla carica in essa racchiusa indipendentemente dalla sua superficie e dimensione ed indipendentemente dalla posizione di Q dentro di essa.
Se all’interno della superficie considerata abbiamo una qualunque distribuzione di carica, occorrerà sostituire nella (1) la somma di tutte le cariche:

Osservando poi che il primo membro non è altro che il flusso del campo E attraverso la superficie S, si ritrova quanto avevamo studiato in modo elementare:

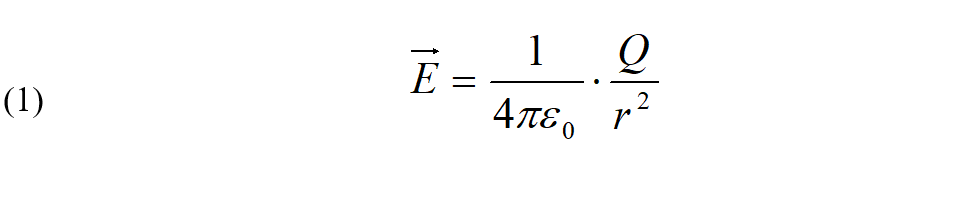
6 – Campo elettrico generato da una carica puntiforme
L’intensità del campo elettrico generato da una distribuzione di carica può essere calcolata direttamente mediante la legge di Coulomb (ma anche con il teorema di Gauss, calcolo che noi non faremo). L’intensità Ei del campo elettrico generato in un certo punto P

dove ri0 è la distanza fra la carica e il punto P del campo ed rio è un versore orientato dalla carica a P. Questa equazione deriva direttamente dalla legge di Coulomb per la forza esercitata dalla carica qi su una carica di prova qo collocata nel punto P e dalla definizione dell’intensità del campo elettrico come rapporto fra la forza esercitata su una carica di prova e la carica. Considereremo l’equazione (1) come legge di Coulomb per l’intensità del campo elettrico generato da una singola carica puntiforme. Per trovare l’intensità totale del campo elettrico generato da n cariche puntiformi si trova l’intensità del campo generato da ciascuna carica qi e si somma vettorialmente.

Le distribuzioni di carica sono costituite spesso da molte cariche così vicine fra loro che la carica può essere considerata distribuita continuamente su una superficie o in un volume, anche se, sotto l’aspetto microscopico, la carica elettrica è una grandezza discreta. L’uso di una densità di carica elettrica continua per descrivere una distribuzione di un grande numero di cariche elettriche discrete è simile all’uso di una densità materiale (o densità di massa) continua per descrivere l’aria, che in realtà è costituita da un grande numero di molecole discrete. In entrambi i casi, è di solito facile trovare un elemento di volume Δv tanto grande quanto basta per contenere molte singole cariche o molecole (miliardi) e tuttavia tanto piccolo quanto basta per assicurare che, sostituendo Δv con un differenziale dv e usando l’analisi matematica, si introduce un errore trascurabile. Se la carica ΔQ è distribuita in un volume Δv, la carica elettrica volumica o densità volumica di carica elettrica ρ è, per definizione,

In modo analogo, se la carica è distribuita lungo una linea, per esempio su un filo con sezione trasversale di area A, si sceglie un elemento di volume di lunghezza ΔL, Δv = A.ΔL, e si definisce la densità lineare di carica elettrica, λ, mediante la relazione

7 – Campo elettrico generato da un dipolo (esercitazione)
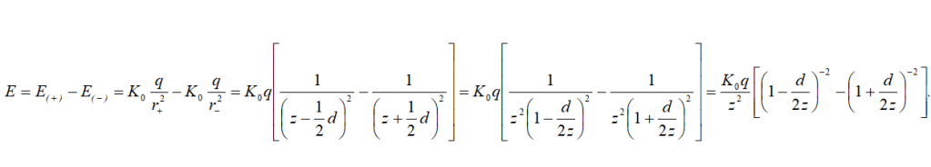
Si debba calcolare l’intensità del campo elettrico di un dipolo elettrico in un punto P situato sull’asse del dipolo (il segmento che congiunge le due cariche) a grande distanza z dal centro c dell’asse. Ci interessiamo normalmente all’effetto elettrico di un dipolo soltanto quando ci troviamo a grandi distanze paragonate alle dimensioni del dipolo, cioè a distanza z » d. A tali grandi distanze d/(2z) « l (vedi figura a).

- (b)
Per simmetria il campo elettrico E nel punto P, e anche i campi E(+) ed E(-) prodotti dalle cariche separate che formano il dipolo, sono allineati lungo l’asse del dipolo, che indichiamo come asse z. Applicando il principio di sovrapposizione per i campi elettrici, si trova che l’intensità E del campo elettrico in P è:

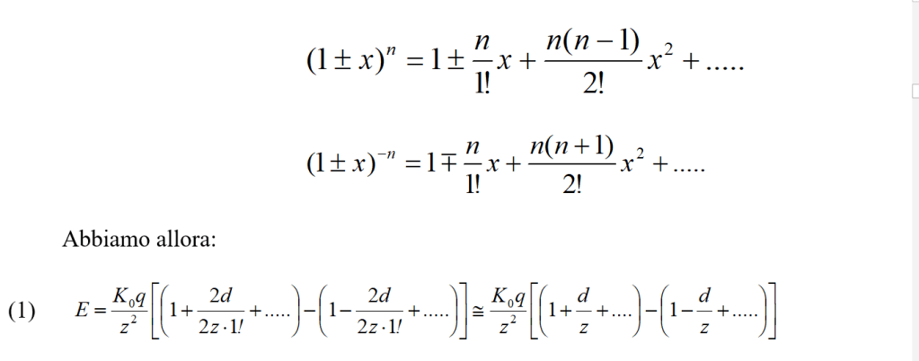
Applichiamo ai termini tra parentesi tonda lo sviluppo del binomio di Newton, considerando solo i primi due termini di tale sviluppo. Ricordo lo sviluppo del binomio di Newton:

I termini mancanti nei due sviluppi dell’equazione precedente sono costituiti da potenze successive di d/z. Siccome d/z « l, i contributi di questi termini sono progressivamente minori e si possono trascurare per approssimare E a grandi distanze. Nella nostra approssimazione possiamo quindi riscrivere l’equazione (1) come:

Se definiamo il momento di dipolo elettrico come un vettore p, lo possiamo usare per determinare la direzione dell’asse di dipolo. La direzione è quella dell’asse dall’estremità negativa del dipolo a quella positiva. Il vettore momento di dipolo è indicato nella figura b precedente.
L’equazione (3) mostra che, se si misura il campo elettrico di un dipolo a grandi distanze, non si troveranno mai q e d separatamente, ma solo il loro prodotto. Il campo in punti distanti non cambia se, per esempio, q viene raddoppiato e d viene simultaneamente dimezzato. Per cui il momento di dipolo è una proprietà fondamentale di un dipolo. Sebbene l’equazione (3) abbia valore soltanto per punti distanti lungo l’asse di dipolo risulta che E per un dipolo varia come 1/r3 per tutti i punti distanti, sia che giacciano sull’asse di dipolo sia che non giacciano su quest’asse; qui r è la distanza del punto in questione dal centro del dipolo.
La direzione di E per punti distanti sull’asse di dipolo è sempre nel verso del vettore momento di dipolo p. Questo è vero sia che il punto P nella figura (a) precedente si trovi sopra sia che si trovi sotto l’asse del dipolo.
L’esame dell’equazione (3) dimostra che, se si raddoppia la distanza tra un punto e un dipolo, il campo elettrico in quel punto si riduce di un fattore 8. Se, invece, si raddoppia distanza da una carica puntiforme singola (equazione 1 del capitolo precedente), il campo elettrico si riduce soltanto di un fattore 4. Se ne deduce che il campo elettrico di un dipolo diminuisce più rapidamente con la distanza del campo elettrico prodotto da una carica singola. La spiegazione fisica di questa rapida diminuzione del campo elettrico di un dipolo è che un dipolo, da posizioni distanti, appare come due cariche uguali in intensità ma di segno opposto che coincidono quasi perfettamente. Per cui i loro campi elettrici, in punti distanti, si annullano reciprocamente quasi del tutto.
8 – Campo elettrico generato da una carica lineare (esercitazione)
Si è considerato finora il campo elettrico generato da una o, al massimo, da poche cariche puntiformi. Consideriamo ora le distribuzioni di cariche composte da una enorme quantità (miliardi) di cariche puntiformi molto ravvicinate, sparse lungo una linea, su una superficie o entro un volume. Si dice che tali distribuzioni sono continue piuttosto che discrete. Poiché queste distribuzioni possono avere un numero enorme di cariche puntiformi, i campi elettrici che esse producono si trovano mediante il calcolo infinitesimale piuttosto che considerando le cariche puntiformi una alla volta. Troveremo ora il campo elettrico prodotto da una carica lineare.
Quando si parla di distribuzioni continue di carica è più conveniente esprimere la carica di un oggetto come una densità di carica, piuttosto che come una carica totale. Per una carica lineare, ad esempio, ci riferiremo a una densità di carica lineare (o carica per unità di lunghezza) λ la cui unità di misura SI è il coulomb al metro (C/m).
La figura seguente mostra un anello sottile di raggio R caricato uniformemente con densità lineare di carica λ. Supponiamo che l’anello sia di materiale isolante di modo che le cariche restino ferme dove sono situate. Vogliamo calcolare il campo E nel punto P posto a distanza z dal piano dell’ anello lungo il suo asse.

Non possiamo però utilizzare la (1) del capitolo precedente (che riporto di seguito scritta in modo più semplice) relativa al campo elettrico prodotto da una carica puntiforme, poiché l’anello non è naturalmente carica puntiforme.

(1)
Possiamo però usare i metodi dell’analisi pensando di dividere l’anello in elementi differenziali di carica così piccoli da essere trattati come cariche puntiformi, e quindi applicare ad ognuno di essi ognuno di essi l’equazione (1). Si possono poi sommare i campi elettrici, generati nel punto P, da tutti gli elementi differenziali. La loro somma vettoriale ci dà il campo generato dall’anello nel punto P.
Si consideri ds come la lunghezza di un qualsiasi elemento differenziale (arco) dell’anello.
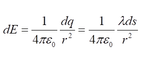
Consideriamo l’anello carico (uniformemente) di raggio R delineato in figura. Se Q è la carica complessiva sull’anello (e quindi λ = dq/ds = Q/2πR). Preso un punto P sul suo asse, a distanza z dal suo centro (vedi figura), il campo in esso determinato da un clementino ds dell’anello è pari a

.Notando che elementi diametralmente opposti sull’anello danno campi uguali, ma con componenti trasverse all’asse uguali ed opposte, si capisce che il campo risultante è diretto lungo l’asse stesso. Il suo valore si otterrà quindi con il seguente integrale

con r2 = R2 + z2 e cos θ = z/r.
Infine, esprimendo cos θ e r in termini delle altre grandezze, si ottiene

9 – Campo elettrico generato da un disco carico (esercitazione)
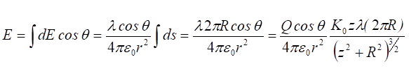
La figura seguente mostra un disco isolante di raggio R, sulla cui faccia superiore è distribuita uniformemente una carica con densità σ. Si vuole calcolare il campo elettrico nel punto P a una distanza z dal disco lungo il suo asse centrale.

Abbiamo trovato nel capitolo precedente il campo generato da un anello carico. Di seguito riporto il risultato:

Ora si abbia un disco (sottile) di raggio R su cui è distribuita uniformemente della carica con densità superficiale σ (vedi figura).
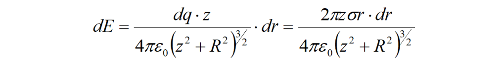
Per il calcolo del campo lungo l’asse del disco, suddividiamo il disco stesso in tanti anelli concentrici di raggio r e spessore dr (e quindi con una carica dq = σ2πrdr). Ognuno di essi determina in un punto P sull’asse del disco (a distanza z dal suo centro) un campo (come segue da quanto ottenuto nel calcolo precedente)

Conseguentemente, il campo complessivo sarà dato da

troviamo:

È interessante notare che nel caso in cui sia R ≫ z allora la precedente relazione ci dà

indipendente da z. Tale espressione corrisponde al campo generato da un piano carico uniformemente.
10 – Conservatività del campo elettrico: campo uniforme
Ricordiamo che è conservativo un campo quando il lavoro fatto per spostarsi tra due punti A e B di esso è indipendente dal cammino percorso. Ciò equivale a dire che, in un campo conservativo se si percorre un circuito chiuso, il lavoro è nullo. Iniziamo con il considerare il caso di un campo elettrico uniforme, come quello esistente tra due placche parallele, cariche di segno opposto e distanti tra loro d metri.

1° caso. La carica + q si muove seguendo le linee del campo (fig. l). Il lavoro per definizione è L = F×s (visto il parallelismo tra forza e spostamento, avremo semplicemente F.s), ove s è lo spostamento. Nel nostro caso
s = AB = d;
ma F = qE, quindi:
LAB = qE.d
2° caso. La carica + q si muove secondo una curva piana qualunque (per esempio in fig. 2 la traiettoria percorsa sia AB’B).
Approssimiamo la curva AB’ con la spezzata di n tratti rappresentata in figura e ammettiamo che questa spezzata possa approssimare quanto si voglia la curva aumentando n. Nei tratti orizzontali, paralleli alle armature il lavoro è nullo perché lo spostamento e la forza sono perpendicolari. Si ha solo lavoro nei tratti verticali in ciascuno dei quali è ΔL = qE.Δd, ove Δd è la lunghezza del tratto. Sommando tutti questi termini avremo:
L = ΔL1 + ΔL2 + … + ΔLn = qE (Δd1 + Δd2 + … + Δdn).
Naturalmente la somma tra parentesi è uguale a d per cui da A a B’ il lavoro sarà:
LAB’ = qE.d.
Il lavoro da B’ a B è nullo perché di nuovo forza e spostamento sono perpendicolari; quindi:
LAB = LAB’ + LB’B = qE.d + 0 = qE.d,
come nel caso precedente. Che è quanto si voleva dimostrare.
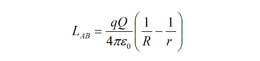
11 – Conservatività del campo elettrico: caso radiale
Si abbia una sfera carica + Q di raggio R. Il campo radiale creato da tale sfera è dato da:

Supponiamo ora di avere una piccola carica + q che si sposti, seguendo una linea di campo, dal punto A (sulla superficie della sfera carica) ad un punto qualunque B.

Figura 3
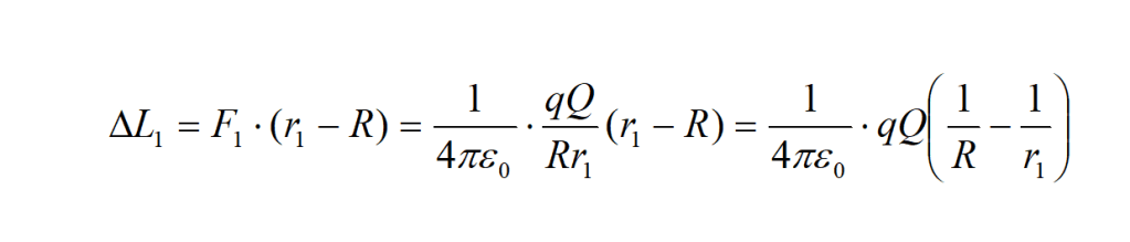
Ora calcoleremo il lavoro che le forze del campo fanno a spostare tale carichetta da A a B (cammino 1), quindi calcoleremo il lavoro che dovremo fare contro le forze del campo per riportare la carichetta in A lungo il cammino 2. Ma torniamo al calcolo del lavoro fatto per portare + q da A a B. Per farlo occorre partire con una osservazione di fondamentale importanza, pena un calcolo errato in tutto. Lo spostamento è AB e qui non vi è nulla da osservare. Ma la forza (che si ottiene moltiplicando la carica + q per il campo E) è davvero un grave problema perché, osservando la (1), ci si rende immediatamente conto che essa varia con l’inverso del quadrato della distanza (l’analogo della forza gravitazionale). Le altre cose che compaiono nella formula sono delle costanti, anche Q, una volta fissata, è quella e basta. Il fatto che la forza vari con il quadrato della distanza, vuol dire che man mano che ci si allontana dalla carica Q tale forza diminuisce. Fin qui è chiaro. Il fatto è che la variazione di tale forza avviene punto per punto. Ciò vuol dire che per calcolare il lavoro fatto per andare da A a B occorre sommare infiniti lavori, quelli fatti punto per punto (della linea AB) che sono diversi tra loro.
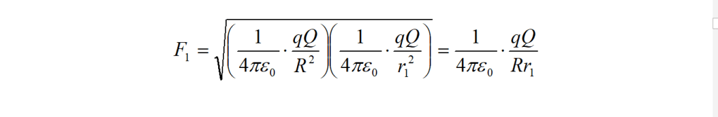
Seguiamo il seguente metodo di calcolo per capire successivamente la potenza dell’analisi matematica. Suddividiamo la distanza AB = r – R in tanti piccoli segmenti tali che, in ognuno di essi la forza F = q.E sia approssimativamente costante, pari cioè al valor medio (attenzione: non media aritmetica!) nell’intervallo.
All’inizio del primo intervallo (punto A) la forza che agisce sulla carica +q sarà data da:

Il problema è avere una media nell’intervallo di questi due valori. La media aritmetica (sommare i due valori di forza per poi dividere per 2) dovrebbe prevedere una diminuzione costante della forza nell’intervallo. Ma qui la forza diminuisce con il quadrato, se cioè ci si allontana di 2 la forza diventa un quarto, se ci si allontana di 3 la forza diventa un nono, … Una media che risponde allo scopo è la media geometrica, media in grado di determinare il tasso medio di decremento (o accrescimento) di un fenomeno (nel nostro caso: decremento della forza). Si definisce come media geometrica tra N valori (nessuno dei quali negativo o nullo), la radice N-esima del loro prodotto. Nel nostro caso abbiamo 2 valori e quindi dovremo calcolare la radice quadrata del loro prodotto. Chiamando con F1 la nostra media, si trova:

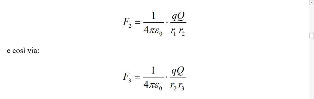
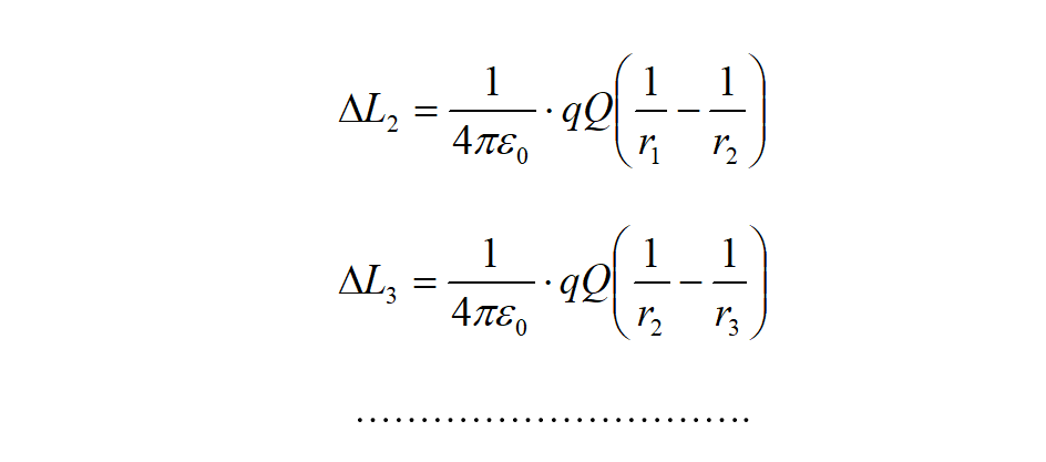
Nel secondo intervallo (quello che va da r1 ad r2) si tr

Il lavoro che la forza F1 compie nel primo intervallo, sarà:

Analogamente, per ΔL2, ΔL3, …, si trova:

………………………….
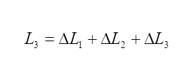
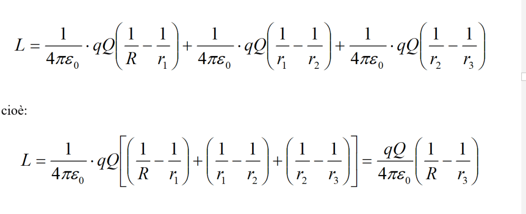
Poiché il lavoro complessivo L3 fatto dalla forza elettrica in questi primi tre intervalli sarà:

si ha:

:
Estendendo il ragionamento a tutti gli intervalli, osservando che il secondo termine dentro una parentesi tonda si annulla con il primo della parentesi tonda successiva, si trova che il lavoro totale LAB , per spostare la carica +q da A a B è dato da:

Prima di andare oltre si deve notare che questo lavoro è fatto dalle forze del campo (è il campo elettrico della carica + Q che allontana la carica + q) e non contro di esse come nel caso in cui, invece di una carica + q, avessimo avuto una carica – q (in tal caso, per andare da A a B dovevamo essere noi ad esercitare una forza sulla carica – q che altrimenti sarebbe stata spontaneamente attratta da + Q). In quest’ultimo caso l’espressione doveva essere cambiata di segno. Ma torniamo alla discussione che stavamo facendo.
Resta un piccolo problema: siamo sicuri che il calcolo della media geometrica ci dia proprio il valore cercato ? Mi sembra chiaro che il valore migliore per la forza non dovrebbe essere mediato su un intervallo ma dovrebbe essere quello che la forza ha punto per punto. Si tratterebbe quindi di sommare infiniti contributi infinitesimi. L’integrale è l’operazione che permette questo tipo di somma. Facendo l’integrale da A a B (cioè da R ad r) delle forza elettrica (nella quale l’erre che compare al denominatore non sarà né R né r ma un ρ variabile tra R ed r, cioè: R ≤ ρ ≤ r) moltiplicata per l’intervallo infinitesimo dρ della linea di forza, abbiamo il lavoro LAB che abbiamo prima trovato con la lunga elaborazione vista:

Mi pare sia chiaro che il calcolo, l’analisi, è qualcosa di fondamentale. Non si viaggia più per tentativi (per quanto sofisticati) ma si arriva a risultati certi in tempi brevissimi e con operazioni generalmente molto semplici (l’integrale ora fatto è uno degli integrali elementari).
Volendo ora chiudere il discorso sul campo elettrico, campo conservativo nel caso radiale, occorre fare il conto del lavoro che si fa per tornare da B ad A, attraverso la linea 2 della figura 3. Se facendo questo conto, troviamo lo stesso valore (cambiato di segno) che abbiamo ora trovato per il lavoro, allora potremo concludere che il lavoro fatto per andare da A a B è indipendente dal cammino percorso in accordo con quanto detto all’inizio: il lavoro fatto lungo una linea chiusa è nullo.

Figura 4
Riferendoci alla figura 4, soffermiamoci sulla linea curva che unisce B ad A. Anche qui mi servirò di ragionamenti analitici. Tale linea la posso pensare costituita da tanti tratti radiali (paralleli alle linee di forza) e da tanti archi di cerchi concentrici alla sfera. Lungo tali archi la forza che sposta la carica non compie lavoro perché la forza è perpendicolare allo spostamento (la forza agisce lungo la linea di forza e tale linea è un raggio della sfera e quindi perpendicolare alla sua superficie ed a tutte le superfici concentriche ad essa). Nel tragitto curvo restano allora solo da considerare i contributi radiali e la somma di tali contributi non è altro che il tratto BA. Pertanto il lavoro complessivo (lavoro fatto contro le forze del campo) che facciamo per portare la carica +q da B ad A lungo la linea curva non è altro che quello che abbiamo già trovato cambiato di segno. Pertanto:
LBA = – LAB à L = LAB + LBA = 0.
Con questo abbiamo dimostrato la conservatività del campo elettrico nel caso radiale.
Merita appena una citazione la generalizzazione di quanto ora discusso. Nel caso in cui la carica + q si sposti come mostrato in figura 5a le cose vanno in modo identico a quanto visto e la relazione che ci fornisce il lavoro per andare da A a B è la stessa.

(a) (b)
Figura 5
Nel caso in cui da A a B si sposta una carica – q (figura 5b), come già accennato, occorre cambiare di segno all’espressione che ci fornisce quel lavoro che diventa:

Resta da dire che la forza data dalla legge di Coulomb è conservativa. Ciò accade quando il lavoro eseguito su una particella da questa forza, quando la particella si sposta da un punto a un altro, dipende solo dalla posizione iniziale e dalla posizione finale e non dal cammino seguito. E, quando una forza è conservativa, si può associare ad essa un potenziale (come ora vedremo).
Ricordo solo che, con dei conti identici, si è dimostrata anche la conservatività del campo gravitazionale. In questo caso, invece di partire dalla legge di Coulomb

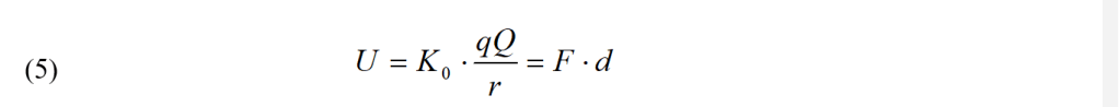
12 – Il potenziale
Riferendoci al caso di figura 5b ed all’ultima relazione scritta ad essa relativa, iniziamo con il ricordare che la variazione di energia potenziale tra due punti A e B è definita come il lavoro fatto per andare da A a B:
UB – UA = LAB
Nel nostro caso abbiamo quindi immediatamente:

Consideriamo ora UA come energia potenziale di riferimento ponendola quindi uguale a zero in corrispondenza di un campo che vale zero:
UA = 0 per E = 0.
Ora E = 0 a distanza infinita, quando cioè R = ∞ (se si ricorda che E = K0.Q/R2 si vede subito che al tendere R ad infinito, il campo E tende a zero). Quindi abbiamo:

rappresenta il lavoro compiuto per portare la carica q da un certo punto (a distanza r da Q) all’infinito.
Introdotta U (che a questo punto può fare a meno del sub indice) è possibile definire il potenziale V come energia potenziale per unità di carica:

Abbiamo già detto che la forza elettrostatica data dalla legge di Coulomb è conservativa; cioè, il lavoro eseguito su una particella da questa forza, quando la particella si sposta da un punto a un altro, dipende solo dalla posizione iniziale e dalla posizione finale e non dal cammino seguito. Perciò, a questa forza è associata un’energia potenziale. Come nel caso di qualunque forza conservativa, la variazione dell’energia potenziale è uguale, per definizione, all’opposto del lavoro eseguito dalla forza. Quindi, il lavoro eseguito dalla forza è uguale alla diminuzione dell’energia potenziale. Se ds è un piccolo spostamento di una particella soggetta all’influenza di una forza conservativa F, la variazione dell’energia potenziale dU è per definizione
(3) dU = – F × ds
Rileviamo che questa equazione definisce soltanto la variazione dell’energia potenziale. Per determinare il valore assoluto dell’energia potenziale si attribuisce di solito il valore zero all’energia potenziale in una posizione opportuna.
DIFFERENZA DI POTENZIALE
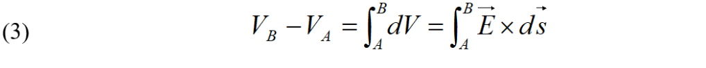
Si consideri una carica di prova q in un campo elettrico di intensità E generato da un certo sistema di cariche. La forza esercitata su q è qE. Questa forza è la somma delle singole forze esercitate su q da ciascuna carica presente nel sistema. Poiché ogni singola forza è data dalla legge di Coulomb ed è perciò conservativa, la forza risultante qE è conservativa. Perciò, il lavoro eseguito da questa forza è uguale alla diminuzione dell’energia potenziale. Se essa è l’unica forza che esegue lavoro sulla particella, la diminuzione dell’energia potenziale è accompagnata da un aumento dell’energia cinetica di uguale valore assoluto. La variazione dell’energia potenziale elettrostatica di una carica di prova q che subisce uno spostamento ds è data dall’equazione (3), dove la forza F uguale a qE (ricordo che il lavoro eseguito dalla forza è uguale alla diminuzione dell’energia potenziale):

La variazione dell’energia potenziale è proporzionale alla carica di prova q. Il rapporto fra la variazione dell’energia potenziale e la carica di prova q è chiamato differenza di potenziale dV:

L’integrale

è il rapporto fra il lavoro eseguito dalla forza del campo elettrico nello spostare la carica di prova q da A a B e la carica q. Poiché la forza qE è conservativa, questo lavoro non dipende dal cammino seguito da A a B. Volendo spostare una carica di prova q dal punto A al punto B senza accelerazione si deve esercitare una forza applicata Fappl uguale e opposta alla forza qE esercitata dal campo. Il lavoro eseguito da tale forza applicata è l’opposto di quello eseguito dalla forza del campo elettrico ed è perciò uguale all’aumento dell’energia potenziale della carica. Secondo la definizione di energia potenziale, l’aumento dell’energia potenziale è q volte la differenza di potenziale ΔV:
(7) ΔU = q. ΔV
La differenza di potenziale VB – VA diventa così suscettibile di una semplice interpretazione fisica:
La differenza di potenziale VB – VA è il lavoro per unità di carica necessario per spostare una carica di prova, senza accelerazione, dal punto A al punto B.
- Sono superfici equipotenziali quelle muovendosi sulle quali si ha sempre lo stesso potenziale.
- Due punti allo stesso potenziale non possono essere situati sulla stessa linea di forza.
- La linea di forza unisce sempre punti a potenziali differenti, andando dal potenziale maggiore al potenziale minore.
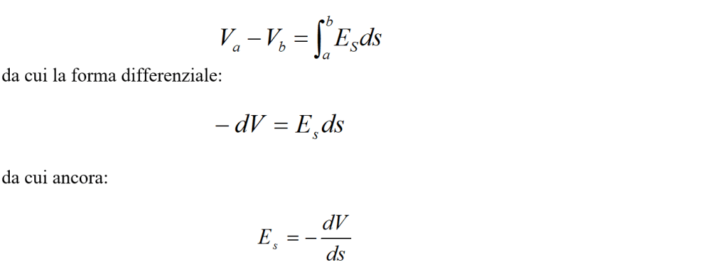
13 – Gradiente di potenziale
Siano dati due punti a e b in un campo centrale generato da una carica + q. Se i due punti sono abbastanza vicini, la differenza di potenziale Va – Vb diventa – dV e l’integrale curvilineo di E da a a b si riduce a Es × ds = Es.ds, dove Es è la componente tangenziale alla traiettoria che lega a e b e ds è un elemento infinitesimo di tale traiettoria:


La derivata del potenziale rispetto alla distanza nella direzione ds si chiama gradiente del potenziale ed Es è la componente del campo elettrico nella direzione di ds. In qualunque punto di un campo elettrico, la componente del campo in una data direzione è uguale al gradiente, cambiato di segno, del potenziale nella data direzione. L’unità di misura del potenziale è il volt diviso metro (V/m).
14 – Teorema di Coulomb
Dimostriamo ora il teorema di Coulomb, applicazione del teorema di Gauss.
Allo scopo consideriamo un conduttore in equilibrio elettrostatico. Sappiamo già che la carica eventualmente presente su di esso si distribuisce sulla superficie esterna S mentre la carica è nulla all’interno del conduttore. La distribuzione di tale carica è poi molto variabile, essendo uniforme solo nel caso di superfici sferiche.
Chiamiamo dq la carica infinitesima presente sulla superficie infinitesima dS; chiamiamo poi con σ = dq/dS la densità superficiale di carica
Consideriamo un cilindro di altezza infinitesima dh, avente le basi dSi e dSe, uguali e parallele a dS, situate rispettivamente all’interno e all’esterno del conduttore.

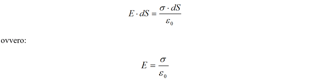
Il campo elettrico è nullo all’interno del conduttore, mentre all’esterno è normale alla superficie S perché questa è equipotenziale. Si sommi ora il flusso attraverso la superficie del cilindro. Non c’è flusso attraverso la parete circolare interna (base del cilindro), perché il campo elettrico è, in quel punto, nullo. Non c’è flusso attraverso la superficie laterale curva del cilindro, perché non c’è campo elettrico all’interno del conduttore e il campo elettrico è parallelo alla superficie curva all’esterno. L’unico flusso che passa attraverso la superficie è quello che passa attraverso la faccia circolare esterna, dove E è perpendicolare al piano della parete. Il flusso del vettore E, uscente dal cilindro infinitesimo, è dunque:

dove E e la componente di E secondo la normale esterna alla superficie S.
Applicando il teorema di Gauss al cilindro infinitesimo, che contiene la carica dq = σ.dS, otteniamo, per la relazione appena scritta:

E questo è il teorema di Coulomb che afferma:
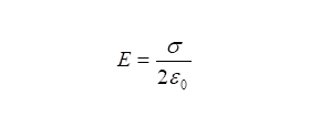
Il campo elettrico E in un punto P vicino alla superficie esterna di un conduttore ha modulo E =σ/ε0 , dove σ, densità superficiale di carica del conduttore vicino a P, e con il campo diretto perpendicolarmente alla superficie.
Per cui l’intensità del campo elettrico appena al di fuori di un conduttore è proporzionale alla densità di carica superficiale che si trova in quello stesso punto del conduttore. Se la carica del conduttore è positiva, il campo elettrico esce dal conduttore, come nella figura. Entra invece nel conduttore se la carica è negativa.
Le linee di forza della figura devono terminare su qualche carica negativa posta in qualche parte intorno. Se poniamo quelle cariche negative vicino al conduttore, la densità di carica in tutti i punti cambia e così pure l’intensità del campo elettrico. La relazione tra σ ed E sarà comunque ancora data dal teorema di Coulomb.
Si osservi che il campo esistente all’esterno di un conduttore, è dovuto per metà alla carica dq presente su dS e, per l’altra metà, a tutte le altre cariche presenti sul conduttore e fuori di esso.
COME SI DIVERTIVANO

Una ragazza, sospesa su un seggiolino, viene elettrizzata con una macchina elettrostatica

Un giovanetto, sospeso con una corda, viene elettrizzato attraver so i piedi e, con la mano, è in grado di attrarre piccoli pezzetti di carta

Il giovanetto di figura precedente, sospeso con una corda, dopo essere stato elettrizzato attraverso i piedi, disponendo nella mano di barrette di vetro, produce differenti fenomeni elettrici

Una delle esperienze spettacolari di Nollet: una dama carica di elettricità (per contatto con la macchina elettrostatica) sta per trasmettere la scossa al suo spasimante sospeso (isolato) da terra.

La macchina elettrica a sfera di vetro utilizzata da Nollet

Esperimenti elettrici proposti nei testi di Nollet

Musschenbroek elettrizza l’acqua di una bottiglia

Cura dei denti con l’elettricità

Un paralitico spera nel miracolo elettrico

Il bacio elettrico
Magnetismo

Il magnetismo animale di Mesmer

Il magnetismo animale di Mesmer

Mesmer (sulla destra) dà dimostrazioni del suo magnetismo animale

Mesmer ipnotizza per mezzo di uno strumento (il tubo)

La tinozza di Mesmer. Una tinozza con acqua e limatura di ferro :
ed intorno ad essa i malati tra cui molte donne isteriche. Mesmer
li toccava con una bacchetta mentre una fisarmonica suonava: il
fluido ‘magnetico’ si trasmetteva ed i pazienti dovevano tenersi
uniti tramite una fune per potenziare l’effetto di assorbimento
delle “energie mesmeriche”. Portati quindi in un’altra stanza,
Mesmer li tranquilizzava e a volte operava vere guarigioni con
tecniche ipnotico-suggestive. Successivamente,egli si accorse che
non serviva la bacchetta per ottenere gli stessi effetti, ma la sola
imposizione delle mani. Esse erano ‘cariche’ dello stesso fluido
guaritore e, alla stessa maniera, caricava oggetti capaci di guarire
il paziente, facendolo entrare in trance.
15 – La capacità
Riprendiamo la nostra discussione sulle grandezze elettrostatiche definendo la capacità di un conduttore proprio in riferimento a quella grandezza che abbiamo lasciato qualche pagina indietro, il potenziale.
Avevamo visto che, con le definizioni date, il potenziale all’infinito è nullo, mentre il potenziale di un singolo conduttore isolato che porta una carica Q è proporzionale alla stessa carica Q e dipende dalla forma e dalle dimensioni del conduttore. In generale quanto maggiori sono le dimensioni di un conduttore, tanto maggiore è la quantità di carica che esso può portare per un dato potenziale.
La relazione (1) del capitolo 12 definiva il potenziale di un conduttore sferico di raggio R e con una carica Q come:

Tale rapporto non dipende né da Q né da V (poiché V è sempre proporzionale alla carica Q). Esso dipende solo dalle dimensioni e dalla forma del conduttore. La capacità di un dato conduttore sferico sarà (dalla relazione 1):

Un sistema in grado di immagazzinare cariche mettendosi ad un dato potenziale si chiama condensatore.





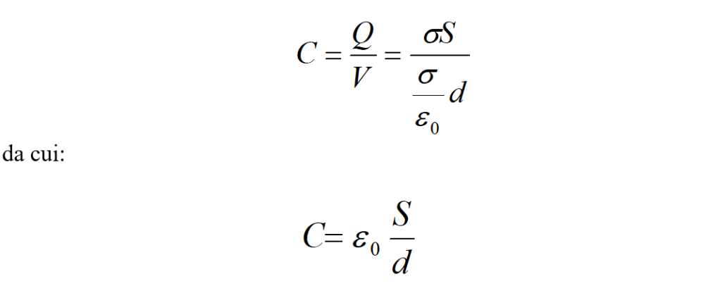
CAPACITA’ DI UN CONDENSATORE PIANO
Il calcolo della capacità di qualunque condensatore non è difficile in teoria. Dati due conduttori qualsiasi, si colloca una carica + Q su uno di essi e una carica – Q sull’altro e si trova la differenza di potenziale fra di essi. Nel caso in cui le geometrie sono semplici, per esempio per il condensatore piano o il condensatore cilindrico, si può trovare la differenza di potenziale trovando per prima cosa il campo elettrico mediante il teorema di Gauss o la legge di Coulomb, secondo qual è più conveniente. Si trova poi la differenza di potenziale integrando l’intensità del campo elettrico lungo qualunque cammino che colleghi i conduttori, secondo l’equazione già data nel capitolo 12:

Illustreremo questo calcolo nel caso del condensatore piano.

Un condensatore piano è costituito da due lamine conduttrici (armature) parallele molto vicine fra loro. Ciascuna armatura abbia un’area S. Un’armatura porti una carica + Q e l’altra una carica – Q. Ogni armatura ha quindi una densità superficiale di carica pari a σ = Q/S e il campo fra le armature sarà uniforme (eccetto che ai bordi delle armature). Il campo elettrico nella regione di spazio compresa fra le armature e lontana dai bordi è sostanzialmente quello dovuto a due distribuzioni piane e indefinite di carica elettrica. L’intensità del campo elettrico dovuto a ciascuna distribuzione ha modulo ½ . σ/ε0 (teorema di Coulomb). All’esterno delle armature questi campi si elidono, ma nello spazio compreso fra le armature si sommano producendo un campo elettrico la cui intensità ha il modulo

Si potrebbe ottenere questo risultato anche mediante il teorema di Gauss applicato a una superficie gaussiana costituita da un cilindro con una base fra le armature e l’altra all’interno di uno dei conduttori, come abbiamo visto nel teorema di Coulomb (si osservi che il teorema di Gauss lo abbiamo ricavato nel caso di un campo centrale, relativamente ad una superficie che circondava la carica, ed esso non risponde quindi al nostro scopo perché siamo nel caso di campo uniforme, come risulta all’interno delle superfici piane e parallele di un condensatore). Questo risultato è soltanto approssimato, perché sono stati trascurati gli effetti in prossimità dei bordi delle armature, ma in pratica l’approssimazione è abbastanza buona perché la distanza fra le armature è il più delle volte molto minore del diametro delle armature (se esse sono circolari) o della lunghezza del lato più corto (se sono rettangolari). Poiché questo campo è costante nella regione fra le armature, la differenza di potenziale fra le armature è semplicemente Ed, dove d è la distanza fra le armature. Infatti, come avevamo visto, l’energia potenziale è data dalla forza di Coulomb moltiplicata una distanza:

Ma abbiamo anche che il potenziale V è definito

Il teorema di Coulomb ci dice poi

Sostituendo la (10) e la (11) nella definizione di capacità (2), C = Q/V, si trova:

La capacità è direttamente proporzionale all’area delle armature e inversamente proporzionale alla loro distanza.
16 – Condensatori in parallelo ed in serie
Due o più condensatori sono spesso collegati fra loro. La figura (a) mostra tre condensatori collegati in parallelo. Le armature superiori dei tre condensatori sono collegate insieme con un filo conduttore e sono perciò allo stesso potenziale in elettrostatica. Anche le armature inferiori sono collegate insieme e sono a un potenziale comune.

È chiaro che l’aggiunta di condensatori collegati in questo modo ha l’effetto di aumentare la capacità; cioè, l’area è sostanzialmente aumentata, consentendo che venga accumulata una maggiore quantità di carica per la stessa differenza di potenziale V = VA – VB. Se le capacità sono Cl, C2 e C3, le cariche Ql, Q2 e Q3 accumulate sulle armature sono date da
Q1 = C1V Q2 = C2V Q3 = C3V
dove V è la differenza di potenziale ai capi dei condensatori. La carica totale accumulata è perciò
Q = Q1 + Q2 + Q3 = C1V + C2V + C3V = (C1 + C2 + C3)V
La capacità equivalente o risultante di condensatori collegati in parallelo è il rapporto fra la carica totale accumulata e il potenziale, Q/V. Perciò

La capacità equivalente è quella di un singolo condensatore che potrebbe sostituire i tre condensatori collegati in parallelo e accumulare la stessa quantità di carica per una data differenza di potenziale V. Questo ragionamento può essere esteso a più condensatori collegati in parallelo, la capacità equivalente è semplicemente la somma delle singole capacità.
Vediamo ora il collegamento in serie di condensatori, come mostrato nella figura (b). Tre condensatori Cl, C2 e C3 sono collegati in serie, e fra l’armatura superiore del primo condensatore e l’armatura inferiore del terzo condensatore c’è una differenza di potenziale V. Si può realizzare in pratica questa situazione collegando i punti a e b ai morsetti di una batteria. Se una carica + Q è collocata sull’armatura superiore del primo condensatore, una carica negativa uguale – Q sarà indotta sulla sua armatura inferiore. Allo stesso modo verrà indotta carica + Q e – Q nelle armature del terzo condensatore. Questa carica è dovuta a elettroni provenienti dall’armatura superiore del secondo condensatore. Perciò, vi sarà una carica + Q sull’armatura superiore del secondo condensatore e una carica uguale ma opposta – Q sulla sua armatura inferiore. Allo stesso modo nel terzo condensatore. La differenza di potenziale fra le armature del condensatore superiore è V1 = Q/C1. In modo analogo, la differenza di potenziale fra le armature del secondo condensatore è V2 = Q/C2. Ed ancora allo stesso modo la differenza di potenziale fra le armature del terzo condensatore è V3 = Q/C3.La differenza di potenziale ai capi dei tre condensatori collegati in serie è semplicemente la somma di queste differenze di potenziale:

e l’espressione scritta ci dice che nel caso di condensatori collegati in serie l’inverso della capacità totale è uguale alla somma degli inversi delle singole capacità.
La capacità equivalente o risultante di tre condensatori collegati in serie è minore di quella dei condensatori considerati separatamente.
17 – Energia elettrostatica in un condensatore
Si può caricare un condensatore trasferendo una quantità di carica da un conduttore all’altro. Poiché in questo processo il potenziale della carica trasferita aumenta, per caricare un condensatore occorre eseguire lavoro. Si può anche dire che per far passare la carica di un condensatore dal valore 0 al valore Q si deve passare da un potenziale 0 ad un potenziale V.
Una parte di questo lavoro (o la sua totalità, secondo il processo usato per caricare il condensatore) è accumulato sotto forma di energia potenziale (parte va sprecata sotto forma di calore nei fili di collegamento e nella batteria stessa).
Si voglia caricare un condensatore piano. Essendo importante solo la differenza di potenziale fra le armature, si è liberi di assegnare al potenziale il valore zero in qualunque punto. Conviene assegnare il valore zero al potenziale dell’armatura negativa. All’inizio del processo di carica, nessuna delle due armature è carica; non c’è campo elettrico ed entrambe le armature sono allo stesso potenziale. Dopo il processo di carica, una carica Q0 è stata trasferita da un’armatura all’altra e la differenza di potenziale è V0 = Q0/C, dove C è la capacità. Si ha quindi una carica – Q0 su un’armatura, alla quale è stato assegnato il potenziale zero, e una carica + Q0 sull’altra armatura al potenziale V0. Ci si potrebbe attendere che il lavoro necessario per raggiungere questo risultato sia semplicemente il prodotto della carica Q0 per l’energia potenziale per unità di carica V0, ma solo l’ultima piccola quantità di carica deve essere innalzata all’intera differenza di potenziale V0. La differenza di potenziale fra le armature cresce dal valore iniziale 0 al valore finale V0. Il valore medio della differenza di potenziale durante il processo di carica è semplicemente ½V0, e il lavoro necessario è ½Q0V0, come si può vedere nella maniera seguente.
Sia q la carica che è stata trasferita in un certo istante durante il processo. La differenza di potenziale è quindi V = q/C. Se una piccola quantità di carica dq viene ora trasferita dall’armatura con carica – q a potenziale zero all’armatura con carica + q al potenziale V, la sua energia potenziale viene aumentata di:

L’aumento totale dell’energia potenziale nel processo di carica da q = 0 a q = Qo è l’energia accumulata nel condensatore (vedi figura).


La deduzione dell’equazione (3) è stata eseguita per un condensatore piano, ma riesaminando i vari passaggi si vedrà che la geometria del condensatore non è intervenuta nel ragionamento. Poiché l’espressione C = εoS/d non è mai stata usata, il ragionamento è applicabile a qualunque condensatore e l’equazione (3) è un’espressione generale per l’energia accumulata in un condensatore carico sotto forma di energia potenziale elettrostatica.
18 – Energia del campo elettrostatico
Nel processo di carica di un condensatore viene creato un campo elettrico. Per esempio, in un condensatore piano, non c’è campo elettrico quando le armature sono scariche; ma quando hanno la loro carica finale Qo, c’è un campo Eo = σ/ε0 = Qo/(εoS), dove S è l’area delle armature. Si può considerare in una maniera alternativa il lavoro eseguito nel caricare il condensatore come il lavoro necessario per creare un campo elettrico. Si consideri di nuovo il processo di carica di un condensatore piano. Quando un’armatura ha la carica + q e l’altra ha la carica – q, il campo fra le armature è:

Sostituendo questa espressione nell’equazione (2), si ottiene

Questo risultato potrebbe essere ottenuto direttamente dall’equazione (3) del capitolo precedente mediante le relazioni Qo = ε0SEo e C = εoS/d. Conviene considerare che l’energia è accumulata nel campo elettrico. Si rilevi che, se si trascurano gli effetti di bordo, il campo è costante nella regione compresa fra le armature ed è nullo all’esterno. Il volume v fra le armature è Sd. L’energia per unità di volume nel campo, chiamata densità di energia, è perciò:

Sebbene sia stato considerato il caso semplice di un condensatore piano, il risultato appena trovato per la densità di energia nel nostro campo elettrostatico ha validità generale.
19 – Dielettrici
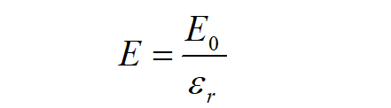
Un materiale non-conduttore, per esempio il vetro o il legno, è chiamato dielettrico. Faraday scoprì che, quando lo spazio fra i due conduttori di un condensatore è occupato da un dielettrico, la capacità del condensatore è maggiore. Se lo spazio (fra le armature di un condensatore piano, per esempio) è completamente occupato da un dielettrico, la capacità aumenta secondo un fattore εr che è caratteristico del dielettrico ed è chiamato costante dielettrica relativa o permittività relativa.
Si supponga che un condensatore di capacità Co sia collegato a una batteria che lo carica a una differenza di potenziale Vo collocando una carica Qo = CoVo sulle armature. Se ora si interrompe il collegamento con la batteria e si inserisce un dielettrico che riempie completamente lo spazio fra le armature, la differenza di potenziale diminuisce a un nuovo valore

Se, invece, il dielettrico viene inserito mentre la batteria è ancora collegata, la batteria deve fornire una carica aggiuntiva per mantenere la differenza di potenziale iniziale. La carica totale sulle armature è quindi Q = εrQo. In entrambi i casi, la capacità è aumentata secondo il fattore εr.
Poiché la differenza di potenziale fra le armature di un condensatore piano è semplicemente il prodotto del campo elettrico fra le armature per la loro distanza di separazione d, il dielettrico (con la batteria non collegata) ha l’effetto di diminuire il campo elettrico secondo il fattore εr. Se Eo è il campo iniziale in assenza di dielettrico, il nuovo campo E è

Si può comprendere questo risultato facendo riferimento alla polarizzazione molecolare del dielettrico. Se le molecole del dielettrico sono molecole polari, cioè hanno momenti di dipolo permanenti, questi momenti sono inizialmente orientati in maniera casuale. In presenza del campo fra le armature del condensatore, questi momenti di dipolo sono soggetti a una coppia di forze, che tende ad allinearli con il campo, cioè a far assumere loro l’orientazione del campo (vedi figura). L’entità dell’allineamento dipende dall’intensità del campo e dalla temperatura. A temperature elevate, il moto termico casuale delle molecole tende a contrastare l’allineamento. In ogni caso, l’allineamento dei dipoli molecolari produce un campo elettrico aggiuntivo dovuto ai dipoli con orientazione opposta a quella del campo iniziale, il quale risulta così indebolito. In presenza del campo elettrico fra le armature, le molecole del dielettrico, anche se sono non-polari, avranno momenti di dipolo indotti aventi l’orientazione del campo iniziale; anche in questo caso, il campo elettrico aggiuntivo dovuto a questi momenti di dipolo indotti indebolisce il campo iniziale.

La coppia che agisce sul dipolo: M = qℓsenθ

Figura 1. L’orientamento di molecole polari: polarizzazione per orientamento

Figura 2. L’orientamento di molecole non polari: polarizzazione per deformazione
Un dielettrico in cui l’orientazione dei momenti di dipolo elettrico è in prevalenza quella del campo elettrico esterno è detto polarizzato dal campo, qualunque sia la causa della polarizzazione: l’allineamento dei momenti di dipolo permanenti oppure la creazione di momenti di dipolo indotti in molecole non-polari. L’effetto totale della polarizzazione di un dielettrico omogeneo è la creazione di una carica superficiale sulle facce del dielettrico in prossimità delle armature. Nella figura seguente, una lastra rettangolare di dielettrico omogeneo è immersa in un campo elettrico uniforme diretto verso sinistra. Come si può vedere dalla figura c, l’effetto totale della polarizzazione è produrre una carica positiva sulla faccia sinistra e una densità di carica superficiale negativa sulla faccia destra (si ipotizza un dielettrico omogeneo).

Inserimento di un dielettrico in un condensatore piano. In a) c’è il, campo elettrico originale. In b) è rappresentato il campo causato nel dielettrico dalle cariche superficiali indotte. Questo campo è opposto al campo originale, ma poiché le cariche nel dielettrico non sono libere di muoversi completamente, il loro spostamento non avviene fino a rendere il campo indotto eguale a quello originale. Perciò nel dielettrico il campo è reso meno intenso, ma non si annulla, come in un conduttore. Il campo risultante è disegnato in c): alcune delle linee di forza che escono dalla superficie positiva penetrano nel dielettrico, altre terminano sulle cariche indotte sulla superficie del dielettrico.

Nella figura è riportato il solo dielettrico situato dentro le armature del condensatore come la zona grigia della figura c precedente.
Le densità superficiali di carica sulle facce del dielettrico sono dovute allo spostamento di cariche molecolari positive e negative in prossimità delle facce, spostamento che è dovuto al campo elettrico esterno del condensatore. La carica del dielettrico, chiamata carica legata, non è libera di muoversi come l’ordinaria carica libera sulle armature conduttrici del condensatore (la densità superficiale di carica legata è sempre minore di quella libera). Sebbene scompaia quando scompare il campo elettrico esterno, produce un campo elettrico esattamente come fa qualunque altra carica.
Oltre ad aumentare la capacità, un dielettrico svolge altre due funzioni in un condensatore: (1) fornisce un mezzo meccanico per tenere separati i due conduttori, che devono essere molto vicini fra loro perché la capacità del condensatore sia grande; (2) la rigidità dielettrica aumenta perché la rigidità dielettrica di un dielettrico è di solito maggiore di quella dell’aria (è quindi minore il rischio di perforazione del dielettrico quando questo è di materiale più consistente dell’aria che ha anche il difetto di ionizzarsi e quindi di diventare conduttrice).
In definitiva, disponendo un dielettrico tra le armature di un condensatore la capacità risultante C risulta aumentata rispetto a quella che si aveva senza dielettrico, C0, secondo la relazione:

Dovendo trattare l’elettrostatica non nel vuoto ma in mezzi materiali, la costante ε0 che abbiamo fino ad ora utilizzata diventa:
ε = ε0.εr
da notare che εr non ha dimensioni.
IL VETTORE INDUZIONE ELETTRICA
Per ulteriori studi di elettrostatica si introduce un nuovo vettore chiamato induzione elettrica D definito come
D = ε.E.
Questo vettore è molto utile perché, nella pratica e nella tecnica è facile determinare sperimentalmente D, mentre non è sempre possibile misurare direttamente E.
La misura di D, in un punto P di un campo uniforme, si può fare usando due dischetti conduttori di area S sostenuti da manici isolanti sottili. I due dischi tenuti in contatto vengono disposti lungo la superficie equipotenziale su cui giace P. Su di essi viene indotta una carica Q, che si misura con un elettrometro. La carica superficiale indotta Q/S (che non dipende da S) è assunta come modulo del vettore induzione elettrica D.
Si può aggiungere che fino ad ora abbiamo trattato l’elettrostatica attraverso il campo elettrico E non servendoci di D. Quando tratteremo il magnetismo accadrà la situazione opposta: avremo quasi sempre a che fare con il vettore induzione magnetica e quasi mai con il campo magnetico.
POLARIZZAZIONE
Il grado con cui le molecole di un dielettrico risultano polarizzate da un campo elettrico è descritto dalla grandezza vettoriale P, chiamata polarizzazione.
Se p è il momento di dipolo di ogni dipolo molecolare e vi sono n dipoli per unità di volume, si definisce come polarizzazione il prodotto:
P = n.p
La polarizzazione è quindi il momento di dipolo per unità di volume. Essa ha per unità di misura il C/m2.
Si definisce come momento di dipolo di un dipolo il prodotto di una qualunque delle cariche che formano il dipolo per la distanza che le separa. Il dielettrico polarizzato dell’ultima figura può essere considerato come un grande dipolo unico, formato dalle cariche indotte Q = σ.S, separate dallo spessore d del dielettrico. Il momento di dipolo del dielettrico considerato nel suo insieme è allora σ.S.d. Dato che il volume del dielettrico è S.d, il momento di dipolo per unità di volume, o polarizzazione P, è:

Ciò vuol dire che, in questo caso particolare, la densità superficiale di carica è uguale alla polarizzazione. Più in generale la densità superficiale di carica in qualunque punto della superficie di un corpo polarizzato è uguale alla componente normale di P.
Nel caso di un condensatore con dielettrico, il vettore induzione elettrica D è dato da:
D = ε.E + P
POTERE DELLE PUNTE
Sia l’esperienza, che considerazioni matematiche hanno permesso di stabilire la seguente regola qualitativa generale: la densità superficiale della carica è maggiore nei punti in cui la superficie è più curva e convessa verso l’esterno ed è minore nei punti in cui la superficie è più curva e concava verso l’esterno (fig. 1). Questo fatto è particolarmente evidente nei conduttori che hanno una punta. Poiché qui la curvatura della superficie è grandissima, sulla punta si addensa una grande quantità di carica elettrica; di conseguenza, il campo elettrico all’esterno del conduttore, nelle immediate vicinanze della punta, ha un valore molto grande (fig. 2): le linee di forza del campo elettrico si addensano nelle vicinanze della punta.

Figura 1: Nel caso di un conduttore isolato lontano da qualsiasi altro conduttore o carica fissa, la densità superficiale di carica σ è più grande nei punti ove la superficie è più curva e convessa verso l’esterno, più piccola ove essa è più curva e concava verso l’esterno: sulla superficie del conduttore mostrato in figura σ è massima in P1, minore nei punti come P3 e P5, ancora minore nei punti come P2 e P6 e minima in P4.

Figura 2: Le linee di forza del campo elettrico si addensano vicino alla punta di un conduttore, mostrando così che in quella regione l’intensità del campo elettrico è molto grande: ciò è una conseguenza del fatto che sulla punta la densità superficiale di carica σ è molto elevata.











PARTE OTTAVA
CORRENTE ELETTRICA CONTINUA
1 – Effetto e pila di Volta

Varie esperienze di Galvani

Il primo disegno in alto ci presenta una pila a corona di tazze, pila in cui il panno
inumidito (per il fatto che facilmente si seccava impedendo il funzionamento
dell’apparato) è sostituito da tazze con all’interno il liquido conduttore di seconda
specie. Gli altri disegni sono di pile a colonna con qualche tazza.
– Differenza di potenziale

La batteria di 2000 pile che nel 1813 Davy si fece sistemare nei sotterranei della Royal Institution di Londra.
..

… e la batteria di pile che Napoleone fece realizzare a l’École Polytechnique nello stesso anno..
2 – La corrente continua

– Unità di misura: ampere [che per ora è C/s, quando studieremo il magnetismo daremo la definizione ufficiale SI]
– Verso della corrente
– Densità di corrente. E’ il vettore J orientato come il vettore velocità delle cariche in moto (con stesso verso delle cariche se queste sono positive, altrimenti verso opposto) che descrive il flusso di carica che attraversa una certa sezione in un particolare punto all’interno del conduttore. Per ciascun elemento di area della sezione, la densità J è pari alla corrente che la attraversa per unità di area. Se si considera una sezione del conduttore, l’elemento di superficie dS, dove dS è un vettore orientato mediante la perpendicolare all’elemento di superficie medesima, J è legata alla corrente i dalla relazione:

– Circuito elettrico
3 – La resistenza
– Prima legge di Ohm

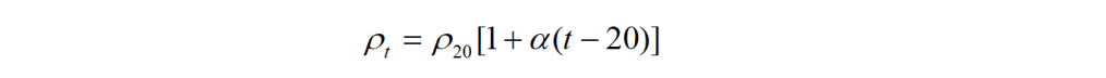
– La resistenza e quindi la resistività variano con la temperatura

dove la resistività alla temperatura t, ρt, è riferita ad una temperatura di 20°C ed α è un valore tabulato in °C-1 che è legato alla pendenza della retta del grafico. Questa legge non vale per i semiconduttori dove ρ cresce al diminuire della temperatura e non vale per gli isolanti dove la resistività diminuisce all’aumentare della temperatura.
– Generatori di f.e.m.
– Resistenza interna del generatore => Legge di Pouillet

dove il termine Vi = IRi è la caduta di tensione.
– Amperometro, Voltmetro, Galvanometro. Loro collegamenti
– Effetti della corrente: fisiologico (protezione, terra), chimico, magnetico, termico.
– Reostati



– Effetto Seebeck



– Effetto Peltier

– Pila di Melloni


– Resistenze in serie

V1 = IR1
V2 = IR2
V3 = IR3
V = V1 + V2 + V3 = IR1 + IR2 + IR3 = I(R1 + R2 + R3) =>
R = R1 + R2 + R3
– Resistenze in parallelo

I = I1 + I2 + I3
V = I1R1
V = I2R2
V = I3R3

– Pile in serie ed in Parallelo


Si ricorre al collegamento in serie di pile per aumentare V:



Si ricorre al collegamento in parallelo di pile quando occorre alimentare una piccola resistenza esterna Re e quando si vuole una corrente maggiore

– Principi di Kirchhoff

Primo principio à ai nodi


In un nodo:
Σ I = 0
Secondo principio => alle maglie

In una maglia:
Σ f.e.m. = Σ IR
4 – Energia e potenza della c.c.
La definizione generale di potenziale o differenza di potenziale era [si vedano la (2) e la (7) del capitolo 12]:

Dalla prima legge di Ohm abbiamo che il valore di V è dato da:
(2) V= I.R
e dalla definizione di intensità di corrente abbiamo:
(3) q = I.t
Sostituendo la (2) e la (3) nella (1) si trova il valore del potenziale o differenza di potenziale nel caso elettrico:
L = V.I.t
L = I2.R.t

EFFETTO TERMICO DELLA CORRENTE: EFFETTO JOULE
Il lavoro elettrico, appena trovato, è:
L = I2.R.t
D’altra parte, per l’equivalenza di Joule-Mayer relativa ad un ciclo chiuso, avevamo trovato:

EFFETTO CHIMICO DELLA CORRENTE: ELETTROLISI & CO.
EFFETTO MAGNETICO: ELETTROMAGNETISMO
Categorie:Senza categoria
Rispondi