Ingegneria Meccanica – Roma Tre
AA/2011-2012
APPUNTI PER IL CORSO
(Ripresi integralmente e da me assemblati dai testi di bibliografia)
Roberto Renzetti
Bibliografia: R. Renzetti – Vari appunti miei raccolti negli anni e pubblicati nel mio sito http://www.fisicamente.blog
________________________
ATOMI E MOLECOLE. PARTE 1: ATOMI 3
Perché una carica accelerata irradia energia
Per capire perché un elettrone in un atomo debba irradiare energia elettromagnetica, cominciamo con il ricordare alcuni concetti di elettricità e magnetismo .
Una corrente elettrica è un flusso di cariche elettriche in moto. A questo flusso di cariche elettriche lungo un filo è associato un campo magnetico con le linee di forza circolari e concentri che al filo stesso:

Il campo magnetico B è tangente punto per punto a queste linee di forza con verso dato dalla regola di Maxwell o del cavatappi (il verso è quello di rotazione del cavatappi che avanza nel senso della corrente):

Supponiamo ora di avere una singola carica q in moto ( e l’elettrone è una carica). E’ spontaneo assumere che questa carica costituisca una piccolissima corrente elettrica lungo la linea su cui avanza la carica:

Sappiamo già che una carica elettrica ferma ha intorno a sé un campo elettrico E radiale (le linee di forza possono essere interpretate come i prolungamenti dei raggi della sferetta che ci rappresenta la carica):

Se questa carica si muove, poiché origina una piccolissima corrente elettrica, al campo elettrico si aggiungerà un campo magnetico le cui linee di forza saranno circonferenze concentriche alla linea del moto.
Questo campo magnetico risulterà essere trasversale (il vettore campo magnetico B è in ogni punto perpendicolare al vettore campo elettrico E); esso sarà nullo sulla linea del moto ed avrà il suo massimo sul piano perpendicolare a questa linea e passante per la carica.
I due campi, elettrico e magnetico, risultano così strettamente legati originando il cosiddetto campo elettromagnetico.
.Consideriamo ora una carica elettrica che si muove di moto rettilineo uniforme (moto su di una retta con velocità costante). Questa particella, nel suo moto, trasporta con sé il campo elettromagnetico e l’energia che compete a questo campo. Supponiamo ora che la carica si sposti nel verso indicato in figura con velocità costante v:

Il campo elettrico della carica rimane invariato, mentre il campo magnetico: nei punti che sono dietro la carica (a sinistra della carica in figura) decresce gradualmente della stessa quantità, nei punti che sono davanti alla carica (a destra della carica in figura) cresce gradualmente della stessa quantità. In definitiva il campo elettromagnetico cresce gradualmente a destra della carica mentre decresce gradualmente, della stessa quantità a sinistra della carica. L’aumento di un campo significa un aumento dell’energia e viceversa per la diminuzione del campo, quindi, relativamente alla nostra carica in moto, si ha un continuo trasferimento di energia da sinistra verso destra o, più precisamente, nella direzione del moto. Si ha così un continuo flusso di energia nel verso del moto della carica.
Se si fanno i conti si vede che, data la simmetria dei campi elettri co e magnetico, non si ha irraggiamento di energia verso l’esterno, ma solo un trasferimento dell’energia nel verso del moto della carica. Ciò è comprensibile se si tiene conto che la carica vede intorno a sé, istante per istante, sempre lo stesso campo e quindi ha sempre una energia costante. Se questa energia è costante per la carica lo deve essere anche per un ipotetico osservatore.
In conclusione: una carica elettrica che si muove di moto rettilineo uniforme non irradia energia elettromagnetica verso l’esterno.
Consideriamo ora una carica che si muova di moto accelerato. Il campo elettrico di questa carica non è più radiale ma risulta dissimetrico con un addensamento delle linee di forza dalla parte verso cui si muove la carica:

Quando questa carica si muove non si avrà più la situazione vista precedentemente (aumento di campo a destra uguale alla diminuzione di campo a sinistra); ora il campo a destra crescerà di più di quanto diminuisca il campo a sinistra proprio a causa della accelerazione della carica e della conseguente dissimetria destra-sinistra del campo stesso. A questo aumento di campo corrisponde, come già sappiamo, un aumento di energia ed il bilancio destra-sinistra della carica in moto è tale per cui c’è un eccesso di energia risultante nella direzione del moto. Questo eccesso di energia originato a spese della carica che crea il campo si trasferirà in tutto lo spazio circostante sotto forma di radiazione elettromagnetica.
In conclusione: una carica elettrica che si muove.di moto accelerato irradia energia elettromagnetica verso l’esterno nello spazio circostante.
Se la carica q in considerazione si muove di moto accelerato (con accelerazione a) nel vuoto (e con buona approssimazione nell’aria), l’energia al secondo, W, che essa irradia (nel sistema MKSA) è data da (come ha ricavato Larmor intorno al 1900):
W = K.q2.a2
dove K è una costante che vale: K = 0,44.10-15 s/m, q è la carica elettrica, a è l’accelerazione che compete alla carica.
Nel caso in cui la carica sia quella e dell’elettrone, si ha:
W = K.e2.a2
ed essendo e = 1,6.10-19 coulomb, si ha:
W = G.a2
essendo G una costante che vale: G = K.e2 =1,13.10-53 (coulomb)2 s/m .
I quanti.
Premetto che nel sito vi è una discussione analitica che risale all’origine della teoria dei quanti. Qui tenterò una spiegazione meno fisica e più descrittiva. Inizio con quanto affermava un collaboratore di Einstein (che ebbe grandissima parte nello sviluppo di questa teoria), L. Infeld. Egli faceva l’esempio di una fabbrica, degli operai in essa impiegati, della produzione, ad esempio, di acciaio. Mentre l’energia in entrata, quella fornita dagli operai, è per sua natura discontinua, quella in uscita, l’acciaio lavorato, ha valori continui. Spieghiamoci meglio. Il lavoro in una fabbrica può essere realizzato da 1 o 2 o 3 o … 1000 operai, mai da 2,5 operai, mai cioè da una frazione di un operaio. Questi o sono rappresentati da numeri interi o non sono. Al contrario la produzione di acciaio può essere di 1000 tonnellate, di 1000,1 t, di 1000,2 t, …. di ogni possibile numero frazionario (o decimale) pensabile. Allo stesso modo, gli scambi energetici nel mondo macroscopico avvengono con continuità, mentre nel mondo microscopico possono avvenire solo per quantità discrete, mentre nel mondo microscopico possono avvenire solo per quantità discrete, per quantità che sono multiple di una quantità elementare. A questa quantità elementare fu dato il nome di quanto.
Si tratta di questo, così come abbiamo visto essere la materia costituita da piccole unità intere (non è pensabile un pezzo di rame fatto di un numero di atomi virgola qualcosa) chiamate atomi (ora non ci interessiamo della costituzione di un atomo, ma del fatto che un elemento è individuato da un dato atomo e solo da quello), Planck suppose che anche l’energia non potesse assumere tutti i possibili valori del continuo, ma solo valori ben determinati che, come detto, sono multipli di una unità elementare di energia.
In accordo con questa ipotesi, una sinusoide continua che rappresentava la luce nella vecchia visione, viene ora sostituita da tanti pezzi di sinusoide (vedi la figura esageratamente esemplificativa) o pacchetti di energia:

A ciascuna specie di radiazione (ad esempio verde, rosso, ecc…, per indicare solo radiazione visibile e luminosa) corrisponde una quantità definita di energia che viaggia separatamente in un tutt’uno, ed è così assurdo parlare di una frazione di un quanto di luce verde, come di una frazione di un atomo di rame. Planck assunse che i quanti di luce di differenti tipi di radiazione trasportano differenti quantità di energia e che la quantità di energia di un quanto di luce è direttamente proporzionale alla frequenza della radiazione o, che è lo stesso, inversamente proporzionale alla sua lunghezza d’onda. Indicando con n la frequenza della radiazione e con E l’energia del quanto di luce, possiamo esprimere l’ipotesi di Planck nella forma seguente:
E = h.ν
dove h è un coefficiente di proporzionalità, conosciuto come costante di Planck, che ha, tra l’altro, la funzione di rendere omogenee energia e frequenza. La costante h ha un valore molto piccolo; essa vale:
h = 6,62.10-27 erg.sec
Ed allora gli scambi di energia possono avvenire solo per quanti e ciò vuol dire che si possono scambiare 1, 2, 3, 230 quanti ma mai 1 quanto e mezzo: i mezzi quanti non esistono. Così le scambio di una data quantità di energia potrà essere rappresentato dalla relazione:
E = n.h.ν
dove n è necessariamente un numero intero.
E che significa dire che l’energia che si scambia è direttamente proporzionale alla frequenza ? Per capire supponiamo di illuminare, cioè di fornire energia ad un corpo con luce di differenti colori. Noi sappiamo che ad un dato colore corrisponde una data frequenza, la più piccola per il rosso, la più grande per il viola (almeno per la luce visibile) e valori intermedi per il verde, il giallo, l’azzurro. Quindi illuminare con luce rossa un dato oggetto vuol dire che, a parità di intensità, della sorgente, si fornisce ad esso meno energia di quanta se ne fornirebbe se il medesimo oggetto lo illuminassimo con luce viola. In termini di quanti, ciò vuol dire che un quanto viola porta il massimo di energia (nell’ambito della luce visibile), un quanto indaco un poco meno, un quanto azzurro ancora un poco meno, quindi, in questa scala, vi è il verde, poi il giallo, poi l’arancio ed infine il rosso.
Allora variare l’intensità di una sorgente luminosa vuol dire solo variare il numero di quanti che questa sorgente fornisce; variare invece la frequenza di una sorgente vuol dire variare il suo colore o, più in generale, la sua frequenza. Ed il fatto che macroscopicamente noi non avvertiamo questi salti quantici, ma avvertiamo una sensazione di continuo, è ben spiegabile: analogamente al fatto che la natura corpuscolare della materia non è percepibile ai nostri sensi, allo stesso modo per quel che riguarda la natura corpuscolare dell’energia. Un esempio banale può essere tratto dalla nostra vita quotidiana: quando verniciamo una superficie con una bomboletta spray abbiamo un colore compatto sulla superficie verniciata ma questo colore è il portato di tante piccole particelle che sono spinte fuori in modo certamente discontinuo. Per quanto ne so e per quanto mi pare, questo modo di vedere le cose sconvolse più i fisici formati ad una certa scuola che non coloro i quali apprendono questi fatti.
Per ricapitolare quanto fino ad ora detto per quel che ci servirà, gli scambi di energia avvengono per unità intere, i quanti, non è ammissibile la presenza di una frazione di quanto; ciascun quanto possiede una energia pari ad E = h.n; un dato oggetto può emettere o assorbire una quantità di energia multipla intera di hn.
L’atomo di Bohr
Nel 1913 il danese N. Bohr apportò alcune correzioni all’atomo di Rutherford in modo che esso potesse rispondere ai fatti sperimentali e fosse in grado di risolvere le gravi difficoltà cui esso si era scontrato (ed alle quali abbiamo accennato). Queste correzioni erano basate sull’accettazione della teoria dei quanti e sulla sua applicazione alla struttura degli atomi ma, come vedremo, sembravano del tutte ingiustificate da un punto di vista teorico.
Essenzialmente Bohr basò il suo modello atomico su due postulati non giustificati, se non per rendere conto dei fatti sperimentali, una specie di formula di Balmer a livelli molto superiori. Il primo di questi postulati, conseguenza diretta dell’applicazione dei quanti alla struttura atomica, afferma che in un atomo gli elettroni non possono assumere qualsiasi valore dell’energia ma solo certi valori definiti (si usa dire che in un atomo l’energia è quantizzata).Ciò significa qualcosa di molto importante: solo certe orbite elettroniche possono essere occupate dagli elettroni che ruotano intorno al nucleo e ad ogni orbita corrisponde un determinato valore dell’energia.
Questa prima ipotesi può essere formulata più precisamente nel modo seguente. Supponiamo di considerare un elettrone che ruoti intorno al nucleo su una determinata orbita; sia r il raggio dell’orbita che stiamo considerando e q= mv la quantità di moto dell’elettrone su questa orbita, di modo che il momento della quantità di moto, meglio, il momento angolare dell’elettrone rispetto al nucleo sarà p = mvr; ebbene, questo momento angolare non può assumere tutti i valori possibili, ma solo alcuni determinati , multipli interi di una data quantità elementare; vale cioè la relazione:
mvr = n(h/2π)
là dove n è un numero intero positivo chiamato numero quantico principale ed h è la costante di Planck.
II secondo postulato riconosce che l’elettrone orbitale non può emettere alcuna energia a meno che non cambi orbita (cioè livello energetico); questo passaggio non può avvenire, quindi, gradualmente, ma si ha un vero e proprio salto energetico. Quando, per un qualche motivo, un elettrone salta da una orbita ad energia più alta (livello energetico iniziale: i) ad una energia più bassa (livello energetico finale: f), la sua perdita di energia è emessa sotto forma di quanto di luce (oggi meglio conosciuto come fotone). Si ha così:
Ei – Ef = h ν .
dove Ei è l’energia corrispondente all’orbita ad energia più alta, Ef quella corrispondente all’orbita ad energia più bassa ed hν è il quanto di luce che abbiamo incentrato nella prima teoria dei quanti di Planck. La relazione scritta significa che un elettrone nel passare da una certa orbita ad una ad energia più bassa perde energia, e questa perdita di energia (per la legge di conservazione) la si ritrova sotto forma di emissione di radiazione (emissione di un quanto di radiazione). Nel caso il salto avvenga in senso contrario a quello descritto fin qui si ha assorbimento di un quanto di radiazione hn dall’esterno. [Noto a parte che la prova sperimentale dell’esistenza degli stati quantici fu fornita da Franck ed Hertz nel 1913].
Cerchiamo di vedere un poco più in dettaglio i conti che fece Bohr. In un atomo l’elettrone orbita circolarmente intorno al nucleo. La forza centripeta (Fcentripoeta = Fc) che mantiene l’elettrone nell’orbita circolare è fornita dalla forza di attrazione elettrostatica (Felettrostatica = Fe) che il nucleo esercita sull’elettrone; deve allora risultare:
Fc = Fe
La forza centripeta è data da:

La forza elettrostatica è data invece dalla formula:

dove: Z = numero atomico; K = 1/4pe0 ; e0 = 8,85.10-12 coulomb2/N.m2; e = carica dell’elettrone = carica del protone = 1,6.10-19 coulomb. Si ha allora:

A questo punto subentra la condizione di Bohr di quantizzazione del momento angolare:

(con n = 0, 1, 2, …….., ∞) e, sostituendo la (2) nella (1) si ha:

e questo è il valore del raggio atomico R (vari R per vari n) per vari atomi (al variare di Z). Sostituendo la (3) nella (2) si ha:

e questa è la velocità tangenziale dell’elettrone per varie orbite (al variare di n) e per vari atomi (al variare di Z). se si fa un rapido calcolo per l’atomo di idrogeno (Z = 1) non eccitato (con l’elettrone nell’orbita n = 1)si trova che il raggio atomico vale R = 0,53 Å, mentre la velocità dell’elettrone intorno al nucleo vale v = 2,182.108 cm/s. Osservando a questo punto che la velocità angolare w è data dalla velocità tangenziale v divisa per il raggio R, si trova:

Ritorniamo ora all’equazione (1)’ ed osserviamo che l’espressione mv2 rappresenta l’energia (nel nostro caso potenziale Ep, con il segno – perché attrattiva). Si ha allora:

Osserviamo inoltre che l’energia cinetica Ec è data da:

Ricordiamo ora che l’energia totale Et del livello n-esimo è data da:
Et = Ec + Ep
si ha, sostituendo a v la (4) e ad R la (3):

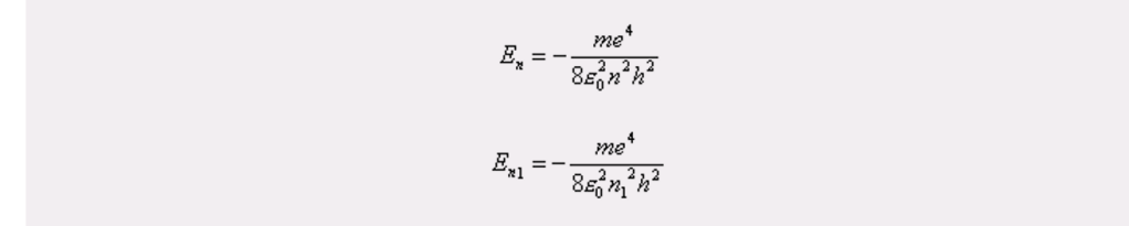
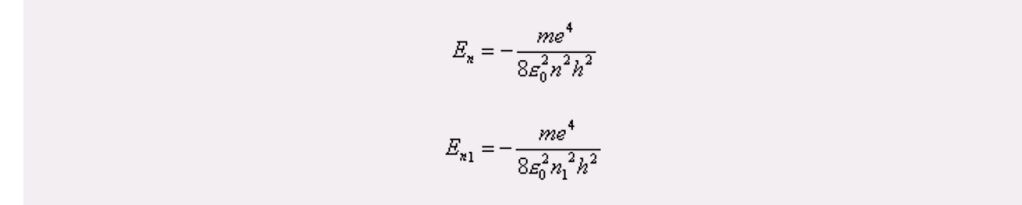
e questa è l’energia totale che compete ad un elettrone di un atomo con numero atomico Z, che si trovi sull’n-esima orbita.
Consideriamo ora due orbite elettroniche: una caratterizzata da n e l’altra da n1 (con n1 > n); l’energia totale della prima sarà En e della seconda En1 (con En1 > En):

Riferendoci all’atomo di idrogeno (Z = 1), si ha:

Per quanto già sappiamo e per la conservazione dell’energia si può scrivere:
En1 – En = h

Per quanto già sappiamo e per la conservazione dell’energia si può scrivere:
En1 – En = hν.
.
Calcoliamo quanto vale la differenza al primo membro:

Osserviamo che la costante che moltiplica la parentesi è calcolabile per semplice sostituzione dei valori delle costanti che la compongono:
m = 9,1.10-31Kgm; massa dell’elettrone
e = 1,6.10-19coulomb; carica dell’elettrone
h = 6,6.10-34j.s; costante di Planck
e0 = 8,85.10-12coulomb2/N.m; costante dielettrica del vuoto,
e si trova:

Introducendo una nuova unità per l’energia, l’elettronvolt ( 1 eV = energia che acquista un elettrone nel passare attraverso la differenza di potenziale di 1 volt):
1 eV = 1,6.10-12erg => 1 erg = 6.1011eV
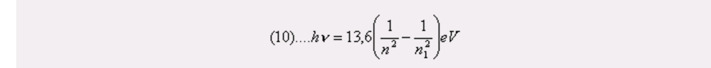
si ha che quella costante vale 13,6 eV. La (9) può quindi scriversi:

Vediamo la portata e la semplicità dell’espressione ricavata calcolando l’energia hn che occorre fornire all’elettrone dell’atomo di idrogeno per farlo passare dalla prima orbita (n = 1) alla seconda (n1 = 2):

La relazione (10), trovata da Bohr, spiegava bene le righe spettrali osservate la prima volta nel 1906 e relative ad n = 1. appunto in quell’anno Lyman osservò, con uno spettroscopio per radiazione ultravioletta (UV), uno spettro di radiazione, emesso dall’idrogeno, costituito da tante righe che andavano addensandosi intorno alla lunghezza d’onda di 908 Å (che corrisponde ad n1 = ∞), come mostrato in figura:

Già nel 1885 erano state osservate le righe spettrali dell’idrogeno situate nella regione del visibile (da 4.000 Å a 7.000 Å) e relative ad n = 2 (si veda figura):

Quindi tutte le altre situati in altre regioni dello spettro. In definitiva, per quel che riguara il visibile si ritrova la formula che empiricamente aveva dato Balmer. E merito di Bohr fu proprio l’aver dato un significato a quella costante B che avevamo incontrato in quella formula. Inoltre la formula di Bohr era in grado di prevedere altri spettri a frequenze diverse e tutto questo fu confermato sperimentalmente (con una qualche deviazione al crescere di Z, come vedremo). Nella figure che seguono sono riportate tutte le serie spettrali dell’idrogeno:


I due postulati di Bohr forniscono un nuovo modello di atomo che è simile a quello di Rutherford con la fondamentale differenza che ora non tutte le orbite sono permesse all’elettrone (quantizzazione dell’energia o dei livelli energetici). In tal modo l’edificio atomico risulta stabile anche se con qualche difficoltà teorica. Non sto qui a fare una storia dettagliata della mese di lavori che venne dopo quelli di Bohr. Ma occorre dire che questo modello atomico fu perfezionato da Sommerfeld nel 1916. Sommerfeld, per tentare di eliminare la non adesione ai dati sperimentali del modello per Z > 1 (ed anche alcune questioni legate all’intensità delle linee spettrali), applicò all’intero atomo una quantizzazione più spinta. Infatti la quantizzazione del momento angolare introdotta da Bohr limita i gradi di libertà di un elettrone costringendolo ad un raggio R di una determinata orbita. Sommerfeld suppose che l’elettrone, muovendosi nello spazio ha tre gradi di libertà e non uno solo. Sviluppando matematicamente il concetto Sommerfeld introdusse tre numeri quantici (vedi più avanti), anziché il solo numero quantico n, come aveva fatto Bohr. Il primo numero quantico, n (quanto principale, che può assumere valori interi e positivi), come quello di Bohr, indica l’orbita su cui l’elettrone si muove (il suo livello energetico). Il secondo numero quantico, l (quanto azimutale, che può assumere valori interi e positivi), ci dà invece lo schiacciamento delle orbite (queste non sono più circolari, come aveva indicato Bohr, ma possono anche essere ellittiche: più l è grande, più l’orbita è schiacciata o eccentrica).

Il terzo numero quantico, m* (quanto magnetico, che può assumere valori interi positivi e negativi), rende conto del fatto che il piano dell’orbita può avere solo certe determinate inclinazioni rispetto ad un asse di riferimento (quantizzazione spaziale).

Un’altra importante novità nella trattazione di Sommerfeld dell’atomo di Bohr è l’introduzione della teoria einsteniana della relatività (1905) per lo studio del movimento degli elettroni orbitanti intorno al nucleo. Gli elettroni planetari, infatti, si muovono a velocità molto vicine a quella della luce (velocità della luce ed a questa velocità è importantissimo introdurre la teoria della relatività che ci rende conto di altri fatti sperimentali altrimenti non spiegabili (la separazione dei livelli energetici, andando a studiare la struttura fine degli spettri degli atomi che consiste in un maggior numero di righe osservate se l’osservazione è fatta in modo più sofisticato, con uno strumento cioè in grado di separare linee che grossolanamente sembrano una sola. Nella figura seguente si può vedere come, in struttura fine si separano le prime due righe della serie di Balmer e la prima di quella di Paschen).

La teoria di Bohr si può ulteriormente migliorare tenendo conto che quando si ha a che fare con un oggetto che ruota intorno ad un altro oggetto, bisogna considerare i due oggetti che ruotano intorno al loro centro di gravità. Ciò vuol dire che in qualche modo bisogna tener conto anche della massa del nucleo e, in definitiva, occorre sostituire ad m che compare nelle formule viste la cosiddetta massa ridetta (μ) data da:

dove M è la massa del nucleo.
La teoria di Bohr (ed ormai di Bohr-Sommerfeld), come accennato, lasciava tuttavia a desiderare dal punto di vista logico, trattandosi in sostanza di una sovrapposizione di condizioni nuove alle vecchie leggi della meccanica, poiché si sceglievano, tra le orbite meccaniche, quelle che a tali condizioni si adattavano: si adattano le leggi classiche della meccanica e dell’elettromagnetismo per definire l’orbita dell’elettrone, leggi che venivano poi ripudiate quando si postulava che l’elettrone su un’orbita stazionaria (vedi oltre) non poteva irradiare, in pieno ed aperto contrasto con le leggi inizialmente ritenute valide. Inoltre si introducevano delle costanti arbitrarie (i numeri quantici) che erano un chiaro segno dell’insufficienza della teoria.
Categorie:Senza categoria
Rispondi