Ingegneria Meccanica – Roma Tre
AA/2011-2012
APPUNTI PER IL CORSO
(Ripresi integralmente e da me assemblati dai testi di bibliografia)
Roberto Renzetti
Bibliografia: R. Renzetti –Vari appunti miei raccolti negli anni -www.fisicamente.blog
LE EQUAZIONI DI TRASFORMAZIONE PER LA QUANTITÀ DI MOTO E L’ENERGIA
Le espressioni (17 bis) e (25 bis) che abbiamo trovato rispettivamente per quantità di moto ed energia relativistiche sono date in un determinato riferimento, ad esempio, S:

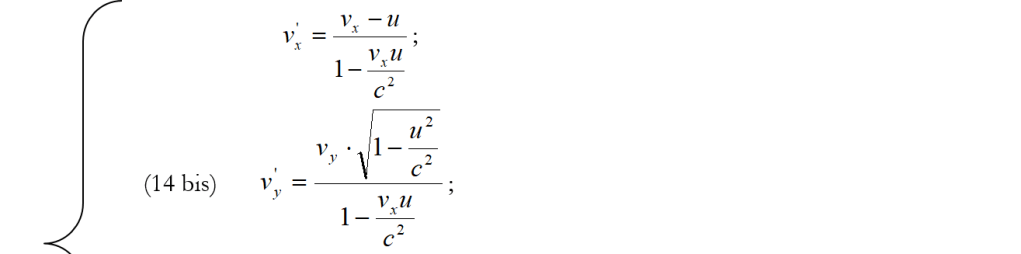
Supponiamo ora di voler riscrivere le (17 bis) e (25 bis) per un altro riferimento S’ in moto con velocità u rispetto ad S, con le solite modalità (S’ fa scivolare il suo asse x’ Sull’asse x di S, nel suo verso positivo). In questo riferimento il nostro oggetto si muoverà con una velocità v’, di componenti v’x, v’y, v’z tali che

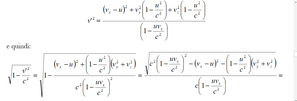
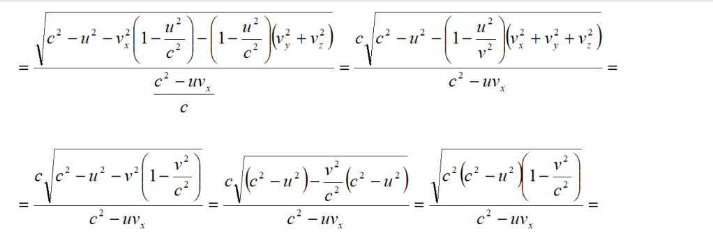
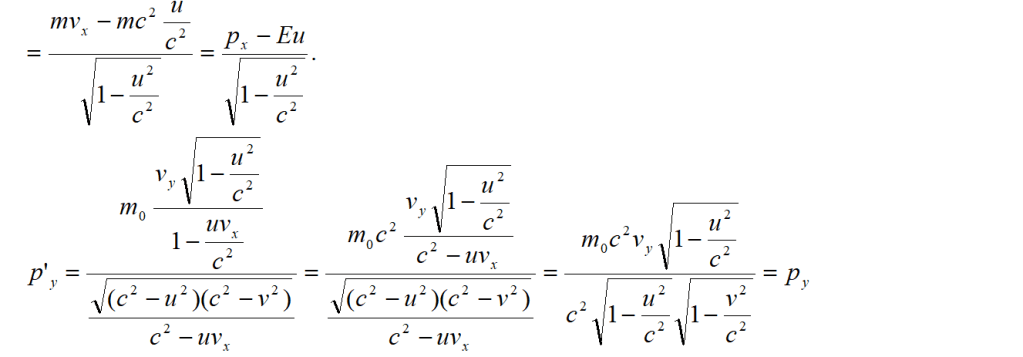
che può essere trovata mediante la composizione delle velocità [si vedano le (14)] e, data la costanza di c e l’invarianza di m0 (in quanto si tratta di una massa a riposo), le (17 bis) e (25 bis) diventano rispettivamente:


e che [vedi le (14) ed osserva che ora i ruoli di u e di v sono cambiati]:


Si ha così che:





Ricapitolando, le equazioni di trasformazioni cercate sono:



dove le ultime quattro trasformazioni sono state scritte tenendo conto del principio di relatività e sostituendo – u ad u.
Categorie:Senza categoria
Rispondi