Ingegneria Meccanica – Roma Tre
AA/2011-2012
APPUNTI PER IL CORSO
(Ripresi e sistemati, con differente organizzazione e varie integrazioni, dai testi di bibliografia)
Roberto Renzetti
Bibliografia: R. Renzetti – Vari appunti miei raccolti negli anni – www.fisicamente.blog
IL NOSTRO POSTO NELLO SPAZIO, NEL TEMPO ED ALTRO
Roberto Renzetti
Inizio una carrellata divulgativa su alcune questioni fondamentali che ci riguardano molto da vicino ma sulle quali sappiamo generalmente poco.
Per farlo inizio da una frase di Kant che mi sembra ancora profondamente rispondente a quanto comunemente viviamo:
“I nostri sensi non ci ingannano, non perché giudichino sempre bene, ma perché non giudicano mai”
E’ utile, per capire che tipo di valutazioni fanno i nostri sensi, nel mettersi in rapporto con il mondo circostante, fare degli esempi che clamorosamente fanno intravedere che tali sensi sono limitati o devono essere guidati.
Cosa vediamo?
Riporto di seguito delle immagini, aggiungendo un piccolo commento a ciascuna.

L’ immagine data è un classico. Anche la domanda che segue è classica: cosa rappresenta l’immagine? Beh, se date una risposta avete messo a fuoco dei tratti fornendo voi un determinato ordine. Se infatti vedete una bella signora fine Ottocento rivolta verso la sua destra, avete stabilito delle corrispondenze tra la neutra immagine ed i vostri canoni interpretativi. Se, viceversa, nella foto vedete una vecchia che ha un nasone disegnato dalla leggiadra mandibola della signora di prima e che ha per bocca il collier della dama precedente, allora avete fornito, con i vostri sensi un’altra lettura dell’immagine che continua a restare la stessa.
Si può proseguire con altre immagini che possono essere lette in modo almeno duplice. Ne fornisco altre due scrivendo sotto di esse le due possibili letture.

Antilopi rivolte verso destra o teste di uccelli con becchi aperti verso sinistra?

1°) Un viso ghignante o una persona che chiede l’elemosina?
2°) Una coppa o due persone che si guardano fissamente negli occhi?

Una signora o Clinton al sax?

Uno o due volti?

Un teschio o una signora allo specchio?
Vi sono poi altri tipi di immagini che ci forniscono una realtà deformata per disturbi che vengono creati alla nostra vista. Inizio con una di esse (illusione di Zellner):

Gli otto segmenti obliqui tracciati sono perfettamente paralleli, eppure quei trattini disegnati in quel modo “rompono” il nostro modo di interpretare e noi non vediamo parallelismi. Analogamente nelle figure seguenti, si tratta sempre di rette parallele che per differenti “disturbi” non lo sembrano.

(illusione di Hering)




Di seguito incontriamo altre immagini che interpretiamo in modo non corretto.

Due archi di circonferenza identici che non lo sembrano.

La trasversale che taglia quei “segmentoni” paralleli è una retta, anche se sembra spezzata (illusione di Poggendorf).

Le aree “occupate” dai segmenti delle due figure sono identiche ed anche la lunghezza di ogni singolo segmento è la stessa (illusione della “pipa”).

Il segmento ab ha la stessa lunghezza del segmento bc (illusione di Müller-Lier).

Anche le due aree disegnate qui sopra sono identiche.
Andiamo ora a “vedere” altri disturbi che la nostra vista può subire. Nelle figure seguenti abbiamo dei quadrati che non lo sembrano.



Nelle seguenti abbiamo dei cerchi concentrici che sembrano delle spirali.



In quest’altra delle circonferenze che sembrano ovali:

Ulteriori errori di nostra valutazione possono discendere da altri disturbi. Nella figura seguente, il cerchio appare deformato:

Nella seguente, appaiono dei pallini neri che non vi sono:

In quest’altra, le dimensioni degli omini, rigorosamente uguali, sono falsate da un effetto prospettico:

Di interesse sono anche le immagini che seguono. Nella prima, una serie di segmenti sembrano sistemati su di un piano ma, organizzati opportunamente, forniscono una immagine tridimensionale:

Nella seconda, il cubo è proteso in avanti o è rientrante?

Altri due disegni, proposti da J. D. Barrow, tentano un avvicinamento a come funziona l’elaborazione cerebrale dei dati sensoriali. Nel primo, formato da anelli di punti, concentrici ed ugualmente spaziati; con ogni anello che contiene lo stesso numero di punti ed i punti di anelli alternati sono allineati in senso radiale. Da una parte quindi esistono queste strutture precostituite, dall’altra l’occhio percepisce tre schemi dominanti: anelli concentrici in prossimità del centro; “petali” di grandezza crescente ad una certa distanza dal centro; linee rette radiali vicino al perimetro.

Nel secondo (“disegno di Marroquin”) è evidente un flusso continuo di configurazioni differenti. L’occhio tende a ritrovare configurazioni circolari sempre più ampie che alla fine si dissolvono in più centri locali. Nel disegno vi è anche un’altra configurazione più sfuggente e che molti non riescono a vedere: una sorta di croce svizzera a dodici lati inscritta in ciascuno dei cerchi più grandi,

Un ultimo esempio di come l’occhio, il senso che per primo ci avvicina a conoscere, reagisce proviene dalle due immagini seguenti:

Ebbene è interessante scoprire cosa nascondono e, nel caso non si riuscisse nell’impresa, la soluzione è QUI.
Perché tutta questa lunga premessa? Perché noi ci avviciniamo alla conoscenza del mondo esterno con i nostri sensi. Tali sensi, pur essendo eccellenti strumenti per la vita quotidiana, sono piuttosto grossolani e superficiali per indagare la natura con precisione sempre maggiore. Spesso accade ciò che, non a caso, è detto violare il senso comune. Non ci si deve stupire quindi se, ad indagini sempre più accurate, il mondo che ci è offerto da una prima “visione” cambia di immagine ed ha comportamenti diversi da quelli che sembrerebbero “sensati”.
In che limiti di variabilità delle grandezze note siamo immersi?
L’immagine seguente, utilizzata dall’astronomo francese C. Flammarion (1842-1925) per illustrare uno dei suoi libri, rappresenta in modo eccellente la voglia di conoscere dell’uomo, voglia che esplose in Europa durante il Rinascimento.

Da questa voglia con l’impegno e la fatica di generazioni di studiosi si sono messe insieme alcune conoscenze, certamente parziali e del tutto incomplete, che vale la pena di seguire.
Ognuno di noi occupa una posizione nello spazio fisico. Questo spazio è sempre inteso a tre dimensioni che vengono comunemente indicate con tre lettere dell’alfabeto x, y, z. Una terna di tre numeri, dopo aver stabilito un punto da dove si “conta”, determina una posizione nello spazio a tre dimensioni di un determinato punto P.

E’ proprio così? Gira la testa se si dice che siamo in uno spazio a quattro dimensioni? Proviamo a dire. E’ certamente vero che due oggetti non possono occupare nello stesso tempo lo stesso luogo. Ma come faccio a dire che in quel luogo ieri c’ero io ed oggi c’è un’altra persona? Se pensiamo un attimo, a quell’oggetto occorre associare un altro numero: l’istante, il tempo in cui esso si trova in un certo luogo. Se io allora dico: quel sedile a quell’ora ho individuato bene il tutto ed ho anche messo in mezzo la possibilità che quel sedile, ad altra ora, sia occupato da altra persona. Siamo quindi nella necessità di introdurre anche il tempo, per avere informazioni più complete su un mondo che cambia. Ed allora ci servono 4 numeri per parlare di un certo oggetto: i tre numeri che ci fornivano il luogo ed il numero che ci fornisce il tempo: x, y, x, t. Ma già qui ci troviamo in difficoltà per disegnare questa cosa. Non ne siamo capaci. Possiamo aiutarci con una immagine mentale: pensare quei tre assi rispettivamente perpendicolari appena disegnati, muoversi.
Queste quattro coordinate spazio-temporali, queste quattro variabili, ci permettono di seguire un dato avvenimento nel suo svolgersi temporale. Certo, sarebbe troppo ambiziosa una descrizione completa. Per ora ci accontentiamo della descrizione di un corpo semplice (una sferetta) in moto. Ed anche pensando solo a questo relativamente semplice evento, le cose non sono così facili perché vi sono altre cose che possono accadere, al passare del tempo. E’ possibile, ad esempio, che vari la pressione e/o la temperatura. Si capisce subito che ad ogni variabile corrisponderebbe un asse, una dimensione e più aumentiamo le variabili e più aumentano le dimensioni del mondo e più siamo in difficoltà a disegnarlo, a descriverlo, a raccontarlo. In questi casi si usa un artificio semplice ed utile. Si fa l’ipotesi che tutto il resto non cambi (almeno per un breve tempo) e si segue solo la variazione di una grandezza quando se ne modifica un’altra.
Vi è poi un’altra questione che ci deve far riflettere: quelle linee sulle quali prendiamo delle distanze o tempi o quel che volete, le posso allungare fino all’infinito? E che vuol dire infinito? E se non posso andare fino a quel fantomatico infinito, fino dove posso arrivare? I problemi sono enormi e su di essi la filosofia prima e la fisica dopo si sono cimentati per secoli. Il fatto è che la filosofia su queste cose può solo fare metafisica. E’ la fisica che deve tentare di trovare i limiti entro cui si muove l’uomo, limiti che riguardano ogni grandezza che si conosce e/o che si vuole conoscere.
Facciamo esempi di grandezze che ormai dovrebbero essere patrimonio di tutti: la temperatura (T) e la velocità. La fisica ha a tutt’oggi (non userò più quest’ espressione, sarà scontato che le conoscenze scientifiche sono sempre provvisorie) individuato dei limiti per esse (non si va al di sotto di – 273 °C che è la temperatura che si chiama zero assoluto o Kelvin, 0 °K; non si supera la velocità della luce che è di 300.000 Km/s). Per altre grandezze, come la pressione, non sappiamo nulla di loro limiti. Ciò vuol dire che partiamo da uno zero e, in teoria, andiamo fino all’infinito. Ma qual è l’ambito di variabilità di tali grandezze che riguarda la nostra vita quotidiana? Con abbondante approssimazione, si può dire che, a regime, noi viviamo tra i – 60 °C (213 °K) ed i + 60 °C (333 °K). Per la pressione, credo si possa dire che la nostra vita si svolge tra la mezza atmosfera e l’atmosfera e mezza. Se mettiamo questi valori su di un piano pressione-temperatura (P,T), scopriamo che noi ci muoviamo in un ambito limitatissimo.

Se solo si pensa che vi sono luoghi in cui l’aria è solida ed altri in cui il ferro è allo stato di vapore, ci si rende conto della precarietà estrema della nostra situazione: in quell’ambito, piccolissimo, fuori del quale è la fine.
Ma vediamo le lunghezze che in qualche modo dominiamo, riusciamo a comprendere davvero. Disegno su di un solo asse la situazione.

Dico a parole ciò che ho rappresentato. Noi abbiamo la possibilità di controllare con i nostri sensi grandezze che vanno da un ordine di grandezza del millimetro ad un ordine di grandezza del chilometro. Noi non siamo in grado di capire, se non in modo forzatissimo, cosa sono i 100 chilometri o cosa è il millesimo di millimetro. Se poi scendiamo a lunghezze che sono più piccole del decimiliardesimo di metro, allora anche le leggi che regolano il nostro mondo macroscopico, debbono essere modificate e, da quelle parti, non vale più la fisica classica, quella di Newton, ma occorrono modifiche sostanziali che sono state introdotte nella fisica all’inizio del ‘900, con l’elaborazione della fisica dei Quanti. Sulle lunghezze e quindi distanze molto grandi, a livello cosmologico, tornerò più oltre.
Passo ora alla velocità. Seguo lo stesso metodo: rappresento e poi discuto in breve.

Un centometrista, l’uomo più veloce del mondo, si avvicina ai 10 m/s, cioè ad un centesimo di chilometro al secondo. Andare a 10 km/sec equivale alla velocità raggiunta dall’astronave andata sulla Luna, circa 36.000 Km/h! La velocità di un caccia moltiplicata per 10. Fuori da qui noi non sappiamo pensare altre velocità. Per velocità che invece ci offre la natura dobbiamo prendere atto di quel limite di cui dicevo. E per velocità vicine a quel limite, anche qui, le descrizioni che possiamo dare del mondo non tornano più con la fisica di Newton. Si è dovuta elaborare una nuova fisica, sempre agli inizi del ‘900, la Relatività ristretta.
Solo su un’altra grandezza mi soffermo. Anche qui per far intendere i limiti che abbiamo. Parlo della frequenza, del mondo delle onde che ci circondano. Rappresentiamo e discutiamo in breve.

In quel piccolo intervallo di frequenze (mi riferisco sempre ad ordini di grandezza) la gran parte di noi riesce a sentire. In un ancora più piccolo intervallo riusciamo a vedere. Ciò vuol dire che siamo ciechi e sordi! Un universo pieno di segnali, pieno di informazioni, … e noi in cerca di strumenti per tentare di cogliere qualche briciola!
L’adattabilità della vita
Si sa che la selezione naturale può indirizzare lo sviluppo della vita in modo tale da renderlo strettamente adeguato al proprio ambiente e da farlo cambiare con i cambiamenti dell’ambiente, se questi non hanno luogo troppo rapidamente.
Si pone, a questo punto, una domanda importante: fino a che punto le condizioni necessarie alla vita sulla Terra sono semplicemente un riflesso delle condizioni in cui si è sviluppata la vita terrestre? E fino a che punto sono indispensabili per qualsiasi forma di vita ? Siamo in grado, insomma, di stabilire qualche limite alle possibilità della selezione naturale di adattare la vita alle diverse condizioni ?
Sappiamo con certezza che le forme di vita più altamente sviluppate tendono ad essere più sensibili ai cambiamenti delle condizioni esterne in quanto sistemi chimico-fisici più complessi. Le forme di vita più semplici invece, anche sulla Terra, possono adattarsi alle condizioni più avverse:
- l’ossigeno libero nell’atmosfera non è affatto necessario alla vita di alcuni muschi ed alcune alghe;
- ad alcuni batteri che vivono in pozzi petroliferi ad oltre 4.000 metri di profondità non sembra necessaria la luce del Sole;
- il bacillo Boracicola vive a circa 90 °C in una soluzione al 10% di acido solforico mostrando disinteresse per temperatura ed acidità;
- altri batteri vivono nel cloruro di mercurio, potente veleno per qualsiasi altra forma di vita sulla Terra;
- certe muffe e certi batteri possono vivere a 3.000 atmosfere, con completo disinteresse per una pressione che stritolerebbe una portaerei;
- addirittura il lievito può vivere fino ad 8.000 atmosfere;
- a pressioni quasi nulle, ad altissime quote nell’atmosfera (22.000 metri),vivonoaltri batteri;
- spore e semi vivono patentemente nel vuoto mostrando che anche questa cosa non crea problemi.
Possiamo concludere come abbiamo iniziato: più elevata è la temperatura, più elevata la probabilità che molecole complesse si scindano e ciò sembra porre un limite superiore di temperatura per organismi viventi complessi; quando la temperatura si abbassa, c’è uno scotto da pagare: più la temperatura scende, più diminuisce la velocità delle reazioni chimiche, ed una “vita” a bassa temperatura sarebbe assai più “lenta” della vita terrestre [dove è scritto che la vita media deve aggirarsi sui 70 anni?].
Noi esseri umani siamo comunque abituati a vedere le cose dal nostro punto di vista. E’ evidente, ad esempio, che l’acqua sul pianeta Terra ha giocato un ruolo fondamentale. Ma altrove? Quanto qui detto mostra che noi umani ci serviamo sempre di un principio antropico, nelle sue formulazioni debole e forte.
Principio antropico debole
In un universo che è grande o infinito nello spazio e/o nel tempo, le condizioni necessarie per lo sviluppo di vita intelligente si troveranno solo in certe regioni limitate nel tempo e nello spazio. Gli esseri intelligenti di queste regioni non devono sorprendersi se osservano che il loro posto nell’universo soddisfa le condizioni necessarie alla loro esistenza [è come un ricco tra ricchi che non si accorge dei poveri]. Un esempio di questo principio antropico debole è il Big Bang. Esso sarebbe avvenuto un miliardo (109) di anni fa perché questo è il tempo approssimativamente necessario allo sviluppo di esseri intelligenti.
Principio antropico forte
Solo in mondi con le stesse condizioni del nostro si può sviluppare vita intelligente e gli esseri intelligenti di questi mondi si chiederebbero: perché l’universo è come lo vediamo? La risposta è semplice: se fosse stato differente noi non saremmo qui.
E’ da notare che su queste cose non discutono solo dei filosofi, ma fior fiore di fisici.
L’universo in primissima approssimazione (spazio geometrico e fisico)
Noi tutti ci troviamo su un pianeta, la Terra. Più o meno possiamo capire quanto essa sia grande. Essa ha una circonferenza massima di circa 40.000 Km. Con un aereo di linea che viaggi alle velocità medie di tali aerei, ci vorrebbero 2 giorni a fare il suo giro completo. E’ una grandezza che “comprendiamo” e non è al di fuori della nostra portata (non parlo, naturalmente, di economia).
La Terra ha un raggio di 6.500 km. Le terre emerse sono circa il 30%. Le profondità massime come le montagne più alte si aggirano sui 10 Km. Anche l’atmosfera ha mediamente una tale altezza dal livello del mare, ma già a 10 Km di quota l’uomo non avrebbe ossigeno sufficiente.
La vita dell’uomo è localizzata in quella ristrettissima buccia che è l’atmosfera. Se la Terra la pensiamo grande come un pallone che ha il diametro di un metro, l’atmosfera sarebbe spessa come un foglio di carta poggiato sopra tale pallone. Incredibile, eh? Eppure siamo lì dentro! Inoltre noi non utilizziamo tutto quell’”enorme” spessore del foglio di carta: solo un centesimo di esso.
Prima di continuare è utile introdurre una semplicissima notazione matematica, le potenze di 10, un semplice concetto di metrologia ed un semplice concetto di “fisica”.
I numeri si possono dare come potenze di 10. Se io voglio dire 1, dirò 10°, se voglio dire 10 dirò 101, se voglio dire 100 dirò 102, se 1.000 dirò 103, … e così via. In pratica il numeretto che è in alto a destra di 10 mi dice quanti zeri dovrò mettere dopo l’uno. Avverto che questi numeretti sembrano innocui, ma se ben compresi, fanno paura. Dire per esempio 1089 è piuttosto facile ma se dicessi che questo numero rappresenta il numero di atomi stimati costituire l’intero universo, allora cominciamo ad intendere quanto in modo semplice riesco a scrivere, piuttosto che mettere un uno seguito da 89 zeri (quasi una intera riga di questo scritto). La parte metrologica prevede l’affermare che l’unità di lunghezza riconosciuta internazionalmente è il metro (con i suoi sottomultipli, multipli ed unità semplificative – come vedremo -). La parte “fisica” afferma semplicemente che noi ci occuperemo di ordini di grandezza che sono appunto quelli che procedono per potenze di 10 dell’unità (nel nostro caso) metro. Per intenderci l’uomo ha un’altezza inferiore ai due metri e molto minore ai 10 metri, il suo ordine di grandezza sarà il metro, 10° metri; una casa ha come ordine di grandezza 101 metri, un grattacielo ha un ordine di grandezza compreso tra 102 e 103 metri (se andranno in porto i megaprogetti di cui si discute); una montagna tra 103 e 104 metri; …. ; il raggio della Terra (i 6.500 Km di cui prima) ha un ordine di grandezza di 107 metri; la distanza Terra-Luna ha un ordine di grandezza di 108 metri; la distanza Terra-Sole è di 1011 metri; …. (come si può vedere i numeretti in alto a destra si mantengono piccoli, ma già stanno descrivendo distanze gigantesche).
Ritorniamo sulla Terra. Essa ruota intorno al Sole ad una distanza media di 150 milioni di chilometri. Qual è il rapporto tra i volumi di questi due oggetti? Vediamolo con un paragone ed un disegno. Se la Terra fosse grande come una capocchia di spillo, alla stessa scala, il Sole sarebbe una sfera di 15 cm di diametro e si troverebbe a 15 metri di distanza.

Ancora alla medesima scala, la stella più vicina avrebbe il diametro di 15 cm e disterebbe 3.000 Km.
Fornisco alcuni dati che quantificano il sistema solare:
– Diametro della Terra 13.000 Km
– Diametro del Sole 1.400.000 Km
– Diametro orbita della Terra 300.000.000 Km
– Diametro orbita di Marte 450.000.000 Km
– ………………………… …………………..
– Diametro orbita di Plutone 11.800.000.000 Km
E’ utile ora introdurre una unità di misura di lunghezza di estrema importanza: l’anno luce.
Si tratta della distanza che la luce percorre in un anno. La luce (nel vuoto) ha la più elevata velocità nota: essa viaggia a 300.000 chilometri al secondo (ogni secondo essa sarebbe in grado di fare 8 volte il giro della Terra all’Equatore), moltiplicando questo numero per 60 si ha il minuto luce (la distanza percorsa dalla luce in un minuto), moltiplicando ancora per 60 si ha l’ora luce, moltiplicando ancora per 24 si ha il giorno luce, moltiplicando ancora per 365 si ha l’anno luce. Facendo tutte queste moltiplicazioni si trova che un anno luce vale circa 9.000.000.000.000 Km, cioè un ordine di grandezza di 1015 metri.
Con questa nuova unità, indispensabile per trattare con numeri grandi, come quelli che incontriamo nell’universo, quanto impiega la luce dal Sole ad arrivare sulla Terra? Otto minuti.
Quando al mattino vediamo il Sole levarsi all’orizzonte, esso si è già levato da 8 minuti. Noi vediamo il Sole di otto minuti prima. In teoria, se fosse esploso dopo essersi levato, continueremmo a vederlo ancora intatto per otto minuti.
Disegnamoci ora il diametro del sistema solare:

si vede subito che la luce del Sole impiega 7 ore per raggiungere Plutone e impiegherebbe 14 ore per percorrere l’intero sistema solare.
E questo Sole, quanto è grande? Ed il sistema solare? Insomma, con che grandezze abbiamo a che fare?
Mettiamo un puntino al centro delle circonferenze seguenti ed abbiamo il Sole:

la circonferenza tratteggiata più interna rappresenta l’orbita di Marte; quella seguente a tratto continuo le dimensioni della stella Mira; la linea tratteggiata successiva, le dimensioni della stella Betelgeuse; l’ultima, a tratto continuo, le dimensioni della stella gigante Orione. Anche qui uno inizia a perdersi se solo si ricorda che siamo confinati dentro quella piccola parte di buccia atmosferica.
Ed il nostro sistema solare dove è localizzato, nell’universo? Nella nostra galassia (la Via lattea). Vediamolo con due disegni schematici:


Il primo disegno schematizza la nostra galassia vista in sezione con le sue dimensioni approssimate. Il secondo mostra la galassia vista dall’alto (o dal basso). In ambedue i disegni figura il sistema solare, una cosa minuscola, microscopica, ai bordi della spirale, nella sua parte fossile, morente. Inoltre: il Sole gira intorno al centro della galassia con un periodo di 250.000.000 di anni e con una velocità di 200 chilometri al secondo. La stella più vicina al Sole, nella galassia, è Proxima Centauri che si trova solo a 4,26 anni luce. Per arrivarci, con le astronavi più potenti mai realizzate o pensabili, ci vorrebbero circa 100.000 anni.
Il diametro della galassia è 60.000.000 di volte più grande di quello del sistema solare (se la galassia fosse lunga come l’Italia – 1.100 Km – il sistema solare sarebbe grande come un seme di zucca – 1,5 cm -). In essa vi sono circa due miliardi di stelle (ad occhio nudo se ne vedono circa 6.000). La massa della galassia è molto piccola, 10-27 kg/cm3 (prevale di gran lunga il vuoto sulla materia), essa è pari a 100 miliardi di volte quella del Sole: Ciò equivale a circa 1 o 2 neutroni (o protoni) per ogni centimetro cubo o ad un atomo di idrogeno ogni centimetro cubo. Per capire di cosa si parla si tenga conto che in ogni centimetro cubo di gas idrogeno, sulla Terra, vi sono circa 6.1023 atomi (600.000.000.000.000.000.000.000 atomi!!!).
Intorno alla galassia vi sono circa 200 ammassi stellari o ammassi globulari (si può arrivare a circa 100.000 stelle per ognuno).
E fino qui siamo nella “miseria” della nostra galassia con qualche periferia. Il fatto è che anche le galassie si raggruppano in ammassi. La nostra galassia fa parte di un ammasso di circa una ventina di esse situate entro un raggio di circa 4 milioni di anni luce dalla nostra. Il nome di questo ammasso è Gruppo Locale. Tra queste galassie vi è quella di Andromeda che è la più vicina alla nostra, circa 1,5 milioni di anni luce. La prima galassia, dopo quelle del Gruppo Locale, più vicina a noi è quella della Vergine (ammasso di circa 100 galassie). Essa dista circa 30 milioni di anni luce.
A tutt’oggi si conoscono oltre 100.000.000 di galassie che distano mediamente tra loro circa 50 volte il loro diametro medio. Gli ammassi di galassie distano da noi anche svariati miliardi di anni luce. Ad esempio il quasar OH 471 è stato osservato a 12 miliardi di anni luce.
Nell’ammasso della Chioma di Berenice vi sono circa 1.000 galassie che si estendono per 100 milioni di anni luce. Quest’ammasso dista da noi 300 milioni di anni luce. Ercole, che dista da noi 500 milioni di anni luce, è l’ammasso che sembra essere il più grande fino ad ora osservato.
Nell’ammasso di Perseo e Pesci vi sono svariati ammassi più piccoli (A 426, A 347, A 262, NGC 383, NGC 507) che sono allineati in modo da formare una sorta di filamento leggermente curvo. Ci troviamo a 200 milioni di anni luce.
Nell’ammasso di Perseo e Petaso, vari ammassi più piccoli (20) formano un filamento a forma di serpente che si estende per un miliardo di anni luce.
Su questo si potrebbe continuare per migliaia di pagine. Vi sono altri argomenti da aggiungere con caratteri differenti: le galassie si allontanano l’una dall’altra ad una velocità media di circa 1.100 chilometri al secondo.

In proposito vale la legge di Hubble: le galassie si allontanano tra loro ad una velocità direttamente proporzionale alle distanze che le separano. Il grafico seguente illustra la situazione: più le galassie sono lontane più sono dotate di elevata velocità.

Da questa cosa si può fare un conto a ritroso. Percorrendo “a marcia indietro” il cammino delle galassie, si può tentare di capire qual è stato il passato e datare l’ipotetica origine dell’universo (ultimamente l’ipotesi del big-bang ha perso forza e si sta tentando di capire cosa mettere al suo posto).
Il riassunto schematico di quanto detto è angosciante e lo si può intuire dalle figure seguenti:

In questa prima, al centro vi è la nostra galassia. Sono poi state tracciate delle circonferenze di raggi 400.000 anni luce e 1.500.000 anni luce (ridotte in scala a 2 cm e 7,5 cm). Dentro di esse vi sono gli oggetti spaziali più importanti (i punti rappresentano delle stelle o dei gruppi di stelle mentre le spirali rappresentano delle galassie). Vediamo ora la seconda figura.

Questa figura è disegnata con una scala 300 volte più piccola della precedente. Qui vi sono delle circonferenze di raggi 300.000.000 di anni luce e 600.000.000 di anni luce (ridotte in scala a 5 cm e 10 cm). Il punto di intersezione della crocetta che vi è al centro rappresenta la prima figura! Ora un piccolo punto rappresenta un cumulo di meno di 50 galassie mentre un punto più grande rappresenta un ammasso di più di 50 galassie.
Cosa c’è oltre un raggio di 600.000.000 di anni luce dalla nostra galassia? Ancora moltissime cose che quotidianamente vengono osservate con sistemi diversi e sempre più sofisticati (abbiamo già detto che si sono osservati oggetti a 12 miliardi di anni luce, distanza che rappresenta una circonferenza con un raggio dalla nostra galassia 20 volte superiore all’ultima circonferenza che abbiamo considerato nella seconda figura).
Adesso si faccia l’operazione mentale di ritornare all’uomo, in questo infinitesimo di universo che è la buccia atmosferica in cui vive. Ci si renderà conto della sua effimera esistenza.
Se facciamo considerazioni sul tempo, a questo punto le cose non possono essere che semplicissime. Da quel ritorno indietro di cui si parlava a proposito della legge di Hubble, si stima una vita dell’universo materiale in 15 o 20 miliardi di anni. Basta. Cosa c’era prima? Non è dato per ora saperlo. Il tempo continuerà a scorrere come fino ad ora? Non è dato per ora saperlo. Questi sono i confini della nostra conoscenza attuale nell’ambito delle teorie fisiche accettate comunemente. E, si deve tener conto che tali teorie nascono con l’uomo al centro dell’indagine.
Ora facciamo il seguente esercizio: andiamo in una porticina laterale che immette nella basilica di San Pietro. La porta è chiusa e noi possiamo vedere solo un infinitesimo di tale meraviglia complessa. Da questo poco che vediamo pretendiamo di descrivere la basilica, con tutti i pregiudizi che ci portiamo dietro. Siamo presuntuosi ma questa sfida è quella che ci fa crescere nella conoscenza.
Che “forma” ha questo spazio? E che senso ha parlare di forma? (una breve rassegna storica).
Da sempre l’uomo ha tentato di capire che posto occupasse nello spazio e come fosse tale spazio. Lo spazio prima piatto, poi finito, poi chiuso, a forma di semisfera, poi di sfera, poi a forma di tabernacolo, …, poi interminato, poi infinito, quindi curvo. Ecco, il problema della sua infinità è stato quello più dibattuto nell’epoca d’oro della filosofia classica. Uno dei più autorevoli pensatori dell’antichità classica, Aristotele, la cui influenza durerà per oltre 2.000 anni, limitava il mondo in una sfera (quella delle stelle fisse) che, a conti fatti successivamente, risultava estremamente piccola. Nessuno modificò ciò fino a Copernico che ampliò il mondo di circa 2.000 volte. Restavamo comunque con un mondo limitato da una sfera e piccolo. Il primo che si fece propagandatore per tutta Europa di un mondo infinito fu Giordano Bruno. Le sue idee furono riprese con timore solo più tardi e comunque nel Nord Europa, lontani dall’influenza della Chiesa di Roma. Lo stesso Galileo, molto legato alla laicità della ricerca scientifica, non aveva elementi per parlare di infinità del mondo. Egli, pur non considerandolo più racchiuso in una sfera, lo definiva interminato. Le definizioni più contundenti e apparentemente definitive di spazio e tempo vennero da Newton. Lo spazio, definito assoluto, deve essere inteso come infinito nelle tre dimensioni (come un cubo le cui dimensioni crescono tutte all’infinito). Esso è immobile ed indifferente a ciò che vi accade. E’ un poco lo spazio geometrico di Euclide che fa da teatro dentro cui si svolgono i fatti dell’universo. Per quel che riguarda il tempo invece si afferma che vi è un tempo assoluto che scorre uniformemente allo stesso modo in qualsiasi parte dell’universo. Qui c’è della metafisica che subentra nella descrizione del mondo fisico. Questo spazio non è una entità sperimentabile: è una pura costruzione mentale che sovrappone due oggetti in sé differenti: lo spazio matematico e quello fisico. In tal senso è ancora da ricordare la modernità di Galileo che non si faceva trasportare nell’osservazione della natura da emozioni metafisiche.
Tra le altre, alcune critiche importanti alle affermazioni di Newton, vennero da Berkeley. Egli rifiuta il concetto di spazio assoluto, affermando che di esso non vi è necessità. I moti e gli altri fenomeni si possono ben riferire alle stelle fisse (non più intese su di una sfera!) che sono entità fisiche. L’autorità di Newton non fu neppure sfiorata. Per almeno 100 anni le sue concezioni del mondo furono universalmente accettate.
Sul finire del Settecento, Kant iniziò una critica di interesse alle concezioni newtoniane. Egli definisce spazio e tempo in modo diverso dagli altri “oggetti” della fisica: essi sono considerati come puri prodotti dell’intelletto dei quali ci serviamo per coordinare i dati della realtà esterna. Si tratta di forme soggettive dei fenomeni (tutti gli oggetti di una esperienza possibile) che, tra l’altro, ci appaiono non per quello che sono ma per come li vediamo (si ricordi quanto dicevamo all’inizio di questo lavoro). L’influenza di Kant, unita all’emergere del Romanticismo (tenendo da una parte le bestialità di Hegel in proposito), fecero da substrato sul quale, durante tutto l’Ottocento, si elaborarono concezioni di spazio e di universo sempre più differenti dall’approccio newtoniano.
Intanto fu la matematica a affondare una critica al suo spazio, a quello euclideo.
Le geometrie non-euclidee
Il quinto postulato di Euclide, nella forma datagli da Proclo (5° secolo d. C), così recita:
“Per un punto non giacente su una retta passa, nel loro piano, una sola parallela ad essa“.
Per secoli ci si era impegnati a trovare una qualche dimostrazione di questo postulato finché, agli inizi dell’ 800, si riuscì a provare l’impossibilità di dimostrarlo. Coloro che dettero il più rilevante contributo a questa impresa furono il matematico ungherese Janos Bolyai (1802 – 1860) ed il matematico russo Nikolaj I. Lobacevskij (1793-1853) negli anni che vanno dal 1823 al 1855 [il primo che provò a trarre le conseguenze della negazione del 5° postulato fu il matematico italiano G. Saccheri (1677 – 1733) nel 1733. Si noti inoltre che già Gauss (1777 – 1855) aveva elaborato studi molto avanzati nella costruzione di geometrie che partissero dalla negazione del 5° postulato, ma non li pubblicò]. Alla geometria da loro indipendentemente costruita si dà il nome di geometria iperbolica. Questa geometria è una delle possibili geometrie non-euclidee, nel senso che viene costruita a partire dalla sostituzione del quinto postulato di Euclide con quest’altro:
“Tutte le linee rette poste in un piano ed irradiantesi da un punto possono, in rapporto ad ogni altra retta del piano, essere divise in due classi: quelle che intersecano e quelle che non intersecano l’altra retta considerata. La linea che separa le due classi dicesi parallela alla retta, data.”
La figura 1 può servire ad illustrare il postulato. Secondo la geometria euclidea, r’ (perpendicolare alla perpendicolare tracciata per P alla retta r) è l’unica parallela alla retta r. Secondo la geometria iperbolica tra le rette del fascio per P ve ne sono due, h e k, che separano

Figura 1
le rette che vanno a secare r da quelle che non vanno a secare r. Queste due sono rette parallele alla retta r passanti per il punto P. Si noti che queste rette hanno ciascuna un suo verso di parallelismo: k ha verso destro mentre h ha verso sinistro. Si noti inoltre che anche tutte le rette comprese nell’angolo a (e sempre passanti per P) non sono secanti la retta r. E’ evidente che il parallelismo (nel verso destro) di k con r, come il parallelismo (nel verso sinistro) di h con r, è asintotico. Gli angoli b di figura, sono chiamati angoli di parallelismo. Ora, caratteristica della geometria iperbolica, è che l’angolo a è acuto (in quella euclidea era retto). Si vengono quindi a modificare quelle conclusioni della geometria euclidea che discendevano dal postulato delle parallele. In particolare risulta ora che la somma degli angoli interni di un dato triangolo non è più uguale a due angoli retti ma è minore di questa quantità (vedremo tra breve – figura 3 – dei disegni illustrativi di un tal triangolo e degli altri possibili). Per concludere su questa geometria occorre dire che tanto per Bolyai che per Lobacevskij la geometria euclidea si ottiene come caso limite della geometria iperbolica quando ci si riferisca al ristretto spazio nel quale sulla Terra si svolgono le nostre esperienze.
Su strade diverse, ma sempre non-euclidee, si mosse, qualche anno più tardi, il matematico tedesco Bernhard Riemann (1826 – 1866). Nello sviluppare una geometria differenziale egli ebbe modo di introdurre un nuovo tipo di geometria non-euclidea (il lavoro è del 1854 ma fu pubblicato postumo nel 1868). I postulati fondamentali introdotti da Riemann, in luogo del quinto di Euclide, sono due:
1) La retta è una linea finita chiusa.
2) Per un punto non passa alcuna parallela ad una retta data.
A partire da queste due affermazioni Riemann sviluppò la sua geometria che prende il nome di geometria ellittica. Nell’elaborare la sua grande impresa, Riemann dovette attaccare anche un altro dei postulati di Euclide, quello che afferma che per due punti si può condurre una sola retta. Per capire quanto qui sostenuto occorre dire che la geometria di Riemann è relativa a superfici con curvatura costante (vedi più avanti). Una di queste superfici è certamente la sfera alla quale ci riferiremo. Pensiamo una circonferenza tracciata su una sfera di raggio infinito: abbiamo una retta in senso euclideo. Riducendo il raggio di questa sfera ci troviamo nelle condizioni di Riemann ed una circonferenza su di una sfera di raggio finito è una retta nel senso di Riemann. Su una sfera, quindi, per due punti si può far passare una retta ed una sola (una circonferenza nell’accezione Euclidea). Ma se questi punti si trovano agli estremi di un diametro della sfera per essi possono passare infinite rette. Una conseguenza della geometria ellittica è che, sempre riferendoci al nostro esempio della sfera, la somma degli angoli interni di un triangolo è maggiore di due angoli retti. Per capire quest’ultima affermazione, anche per confronto con la geometria euclidea e quella iperbolica, riferiamoci alla figura 2. Nella figura 2 a è rappresentato un piano euclideo che ha una curvatura

Figura 2
nulla e di conseguenza la somma degli angoli interni di un triangolo è uguale a due angoli retti (geometria euclidea). Nella figura 2 b è rappresentata una. sfera, superficie a curvatura costante positiva, sulla quale la somma degli angoli interni di un triangolo è maggiore di due angoli retti (geometria ellittica). Nella figura 2 c è rappresentata una superficie a sella, superficie che non ha curvatura costante e che, anzi, ha una curvatura negativa, sulla quale la somma degli angoli interni di un triangolo è minore di due angoli retti (geometria iperbolica; si noti a margine che la rappresentatività di questa geometria fu dimostrata per la prima volta dal matematico italiano E. Beltrami – 1835/1900 – nel 1868).
Già che abbiamo iniziato a confrontare con disegni le tre geometrie in oggetto, facciamo ancora dei confronti. Pensiamo ad esempio ai triangoli simili della geometria euclidea. Sempre aiutandoci con la figura 2, si può vedere che, nel caso euclideo (a) si può parlare di triangoli simili; nel caso ellittico (b) la somma degli angoli interni di un triangolo risulta più grande quanto più grande è il triangolo; nel caso iperbolico (e) la somma degli angoli interni di un triangolo diventa sempre più piccola quanto più il triangolo ingrandisce. Riguardo alla questione che più direttamente riguarda il quinto postulato con quelli che lo hanno sostituito, si può vedere figura 3.

Figura 3
Nel caso euclideo (a) vi e’ una sola retta, parallela alla data, passante per un punto P esterno ad essa; nel caso ellittico (b), se si vuo trovare la parallela all’arco di circonferenza passante per i punti A e B e passante per i punti C e B (ambedue equidistanti dall’arco di circonferenaa passante per A e B) si deve tener conto che per C e D non può passare una retta nel senso euclideo ma solo un arco di circonferenza o geodetica) che necessariamente andrà ad intersecare il nostro arco passante per A e B (si noti che la linea tratteggiata sta sulla faccia della sfera a noi offerta); nel caso iperbolico (c) si vede subito che di rette parallele alla retta r data ve ne sono certamente due (h e k) e poi tutte quelle comprese nell’angolo formato dai prolungamenti delle due rette. C’è poi da aggiungere che nel caso euclideo (a), una data distanza (segmento ordinario) si conserva, qualunque spostamento facciamo fare ai due punti che delimitano questa distanza; nel caso ellittico (b) vale la stessa proprietà, con l’avvertenza che ora la distanza è rappresentata da una geodetica; nel caso iperbolico (c) questa proprietà non si mantiene più e si dovranno considerare, via via che ci spostiamo sulla sella, delle distanze diverse. Per capire meglio ciò si può pensare di ritagliare su un pezzo di carta un triangolo euclideo: se lo facciamo scorrere su di un piano non incontriamo alcun problema; facciamo la stessa operazione con un triangolo di buccia d’arancia su di un’altra arancia: dovunque spostiamo il triangolo, esso trova esatta sistemazione sull’arancia; prendiamo ora un triangolo di sella: se lo spostiamo lungo la sella non si adatta se non alla posizione da cui l’abbiamo prelevato.
Per.portare a compimento queste brevi note non resta che definire ciò che abbiamo introdotto senza alcuna spiegazione: la curvatura di una superficie. Supponiamo di avere una curva piana rappresentata a tratto continuo nella figura 4 a. Se si vuol conoscere la sua curvatura per un arco (infinitesimo) compreso tra i punti A e B non si deve far altro che considerare la circonferenza

Figura 4
che abbia nell’arco come suo arco e quindi fare l’inverso del raggio di questa circonferenza. Cosicché la curvatura k dell’arco AB sarà k = 1/r. Nel caso più generale di una superficie le cose si complicano, anche se Euler ha dimostrato un teorema che facilita di molto le cose. Riferiamoci ad un ellissoide (la sfera è un caso particolare di ellissoide), quello riprodotto in figura 2 b. Se vogliamo calcolare la curvatura della superficie in un suo punto P bisognerà trovare tutte le sezioni perpendicolari all’ellissoide passanti per P: ciascuna di queste sezioni rappresenterà una linea con propria curvatura (nel nostro caso è evidente che la curvatura della sezione passante per DBE è inferiore a quella della sezione per ABC). Ebbene, tra queste sezioni, ve ne sarà una con curvatura massima ed una con curvatura minima; Euler ha dimostrato che le curvature massima e minima corrispondono a sezioni tra loro perpendicolari. Con ciò, se r e’ il raggio della circonferenza che meglio approssima la curvatura minima (in P) ed R il raggio della circonferenza che meglio approssima la curvatura massima, (in P), per la curvatura in P vale la relazione: k = 1/Rr. Si vede subito che al tendere ad infinito di una sola delle quantità a denominatore, k risulta nulla. La geometria euclidea, approssimazione di una geometria su una sfera di raggio infinito, presenta k = 0 La geometria ellittica avrà k > 0. Per quel che riguarda la geometria iperbolica, osservando che i centri di curvatura delle sezioni minima e massima si trovano da parti opposte rispetto alla superficie (figura 5) e che quindi i raggi r ed R vanno presi con segno opposto, si vede subito che si avrà k < 0.

Figura 5
Quanto ora detto ci permette di arrivare ad altre conclusioni. Un cono od un cilindro, ad esempio, presentano k = 0, poiché mentre r è uguale ad un numero qualunque, R è certamente infinito (infatti se si fa una sezione, passante per un punto P sulla superficie e parallela alla base di un cono o di un cilindro all’altezza che si vuole, si troverà una data curvatura legata al raggio r della circonferenze, ottenuta, come sezione; ma se si fa la sezione perpendicolare a questa prima., sempre per P, si trova un rettangolo od un triangolo (ordinari) a seconda che si abbia il cilindro od il cono; per P passerà ora una retta, con curvatura nulla, che e’ quindi assimilabile ad una circonferenza di raggio R che vale infinito). Allora per cilindro e cono si ha k = 0, come nel caso delle superfici euclidee piane. Ebbene si dimostra facilmente che superfici che abbiano uguale curvatura sono applicabili l’una all’altra, di modo che se ritagliamo un cono od un cilindro di carta possiamo farlo aderire perfettamente ad un piano; e questa operazione non ci è possibile realizzarla né con una sella né con una sfera perché il k del piano vale zero mentre il k di queste ultime figure geometriche è diverso da zero (per il caso della sfera si può pensare all’impossibilità di riprodurre con esattezza la Terra su di una. carta geografica).
Ho solo dato qualche cenno che però mi pare sufficiente per poter concludere che letteralmente si aprono nuovi mondi. Questi mondi troveranno sviluppi e rappresentazioni nei lavori di F.Klein (1894-1925), di H.Minkowskij (1864-1909) e di D.Hilbert (1862-1943).
Alcuni fatti, di quanto detto, che ci riguardano
Inizio con una domanda apparentemente banale. Qual è il tragitto più breve tra Milano e Parigi? Credo che ognuno penserà ad una retta che unisce le due città. Beh, facendo l’approssimazione di Terra è perfettamente sferica, il tragitto più breve per noi che ci trasciniamo sulle superfici è un arco di circonferenza, una geodetica. In linea puramente teorica si otterrebbe il tragitto più breve bucando il suolo con un tunnel che unisce le due città.

Se poi togliamo l’approssimazione precedente di perfetta sfericità della Terra, dovendo recarci da L’Aquila a Teramo dovremmo fare un lungo tragitto attraverso gli Appennini. Qui, fortunatamente, quel tunnel esistente ci fornisce la nostra comoda geodetica.

Nello spazio libero, salvo complicazioni che vedremo più oltre, la geodetica è sempre una retta.

Naturalmente quel ragazzo non può percorrere tale geodetica: sarebbe necessaria una teleferica. Ma, è bene chiarire, questo cammino rettilineo è un qualcosa che solo raramente si incontra in natura. Gli esempi che abbiamo fatto già mostrano quanto ora detto e si possono anche aggiungere altre questioni. Quando si parla di cammino più breve, si sottintende:”quello che si percorre nel minor tempo”. Ebbene fu uno scienziato francese, Fermat, che scoprì che la luce si muove sempre su tragitti che richiedono il minor tempo e, tali tragitti, non coincidono sempre con la linea retta. Un esempio a tutti noto è quello della rifrazione, del bastone che, in corrispondenza della supeficie di separazione acqua-aria, vediamo “spezzato”. La luce, infatti, nel passare da una sostanza ad un’altra, cambia direzione e questo ci fa vedere quel fenomeno che dicevo.

E tale fenomeno, quello del tragitto che richiede minor tempo, fa anche parte dell’esperienza ordinaria: il bagnino che tenta di salvare una persona in difficoltà farà il massimo possibile di tragitto sulla sabbia perché qui può camminare con minore resistenza di quanta non ne incontri in acqua.

Insomma, credo si sia capito che la geometria di Euclide è solo una prima approssimazione nella descrizione del mondo.
Arriviamo a discutere di Relatività Ristretta con Einstein
I concetti di spazio e di tempo, ad esso connesso, cambiano radicalmente all’inizio del secolo scorso con alcune conseguenze che Einstein trasse da certe premesse. Durante gli ultimi anni dell’Ottocento, a lato di vari interventi di filosofi, la stessa fisica stava faticosamente tentando di mettere ordine in una serie di fenomeni non riconducibili al quadro interpretativo di Newton. Dagli inizi del Settecento, epoca dove situare i lavori di Newton, erano state scoperte montagne di cose. Particolarmente l’elettricità, il magnetismo e le osservazioni astronomiche. L’elettromagnetismo poneva dei problemi. Era restìo ad una interpretazione euristica, che vedesse cioè le sue leggi risultare le stesse per qualunque osservatore dei fenomeni in gioco. Se due cariche elettriche si attraggono per chi le guarda stando fermo, sembrerebbe straordinario si respingessero per uno che le osserva camminando. In meccanica le cose erano ben chiare e sistemate da Galileo – Newton con il principio di relatività. Secondo tale principio le leggi della meccanica sono le stesse per tutti gli osservatori che sono immobili o in moto rettilineo a velocità costante tra loro. Vi sono delle semplici regole per poter descrivere un fenomeno da diversi punti di riferimento. Ne fornisco in breve una. Se camminiamo nel corridoio di un treno nel senso di marcia, la nostra velocità sarà quella che noi abbiamo nel camminare, se la cosa è osservata da un passeggero che se ne sta tranquillamente seduto. Ma se il nostro camminare nel corridoio del treno è osservato da un signore che si trova ad un passaggio a livello, la nostra velocità sarà quella del nostro camminare PIU’ quella del treno. E’ una semplice regola di somma di velocità (sottrazione nel caso noi si cammini in verso opposto a quello di marcia del treno). Ebbene, il voler applicare questo semplice principio all’elettromagnetismo portava a descrizioni diverse per stessi fenomeni, a seconda dello stato di quiete o di moto dell’osservatore.
Per mettere a posto tali cose si “inventarono” moltissime ipotesi “tirate per i capelli”. Si introdussero strani concetti nella fisica che non si capiva bene che significato avessero. Il fatto è che venivano tirati in ballo di volta in volta, quando qualcosa non andava. Non si trattava di un principio generale da cui far discendere delle conseguenze, sempre in accordo con il dato principio. Sembravano tante ipotesi ad hoc. Così, ad esempio si introdussero: il tempo locale (diverso dal tempo assoluto), le lunghezze che si contraggono quando si è in moto a velocità gigantesche, le masse longitudinali e trasversali per gli elettroni, …. Insomma, se si fa caso, si toccavano, ogni volta, i concetti alla base della meccanica, per mettere ordine nell’elettromagnetismo.
Einstein, nel 1905, fece la rivoluzione copernicana; invece di continuare a mantenere la meccanica di Newton come tabù, invece di usare di infinite ipotesi per piegare l’elettromagnetismo ai voleri di quella meccanica, egli toccò proprio la meccanica. Era da lì, secondo Einstein, che occorreva partire perché le cose tornassero anche nell’elettromagnetismo.
Da varie osservazioni astronomiche, da varie equazioni che da Maxwell si elaboravano, egli affermò come postulato una cosa che veniva fuori da tutte le parti ma che nessuno osava sostenere con chiarezza traendone tutte le conseguenze. In tutte le equazioni compariva una costante che era di carattere elettromagnetico ma che riguardava anche la meccanica. Questa costante coincideva con la velocità della luce nel vuoto (i 300.000 Km al secondo di cui abbiamo parlato), che da ora indicheremo con c. Inoltre tutte le esperienze note, a cui occorre aggiungere le osservazioni astronomiche da poco realizzate (michelson, De Sitter), mostravano sempre velocità che non superavano mai quelle della luce. Sembrava cioè che la luce non sommasse la sua velocità con nulla e che quella fosse una velocità limite, insuperabile. E qui si aveva una violazione intollerabile proprio di quel principio di relatività che abbiamo esemplificato con la somma o sottrazione di velocità per osservatori diversi.
Einstein, che aveva ben presente tutto ciò, partì con due postulati (leggi generali non completamente dimostrate ma che, a 100 anni di distanza, non hanno mostrato cedimenti).
- TUTTE le leggi della fisica, non solo quelle della meccanica ma anche quelle dell’elettromagnetismo, ubbidiscono al principio di relatività.
- La velocità della luce nel vuoto ha sempre lo stesso valore da dovunque e comunque la si misuri. Essa non si somma o sottrae ad altre velocità e risulta una velocità limite.
Come si vede, sembra che questi due postulati siano innocui. Sembrano petizioni di principio che in realtà modificano poco o nulla. Invece hanno rivoluzionato radicalmente la fisica e la concezione del mondo. Ma prima di proseguire occorre avvertire che nella nostra vita ordinaria noi non ci imbattiamo né con la relatività né con l’altra fisica che ha cambiato il modo di concepire il mondo, quella dei quanti. Queste due fisiche riguardano da un lato, relatività, oggetti in moto con velocità dell’ordine di grandezza di quella della luce; dall’altro, quanti, oggetti di dimensioni dell’ordine di grandezza atomica. Ma, nonostante quanto ora detto, ambedue queste fisiche sono indispensabili per capire, almeno un poco, della struttura dell’universo. Tralasciando i quanti, tenterò ora un elementare approccio alla relatività di Einstein, quella del 1905, che si occupa solo di oggetti in moto relativo a velocità costante e per questo detta ristretta. Più avanti diremo delle cose sull’altra relatività di Einstein (che venne sviluppata dal 1917 in poi), quella generale, che mette in gioco anche accelerazioni tra sistemi di riferimento e che, in senso più lato si occupa di cosmologia, di gravitazione.
Per quel che ci interessa dobbiamo concentrare la nostra attenzione su quella velocità della luce che non può essere superata e che non si somma a nient’altro. Cosa comporta ciò per la meccanica? Come la modifica? Vediamo due disegnini che rappresentano un signore che cammina su di un treno. Il primo di essi è relativo ad una situazione di relatività Galileo – Newton: quel

signore che cammina con una velocità u sul treno che va ad una velocità v, viene visto da un osservatore che è fermo ad un passaggio a livello andare ad una velocità w = u + v. Nel secondo caso siamo in una situazione einsteniana: dallo stesso osservatore al passaggio a livello, la velocità c della luce della torcia che ha l’omino sul treno, che viaggia a velocità v, non si somma con la velocità del treno. Si ha una situazione in cui c + v = c. E’ un qualcosa che inizia ad urtare con il buon senso, qualità che occorre accantonare se si vuole capire cosa accade. Una chiara evidenza sperimentale di quanto sostenuto nelle esmplificazioni con i treni si ebbe con le stelle doppie scoperte e studiate da De Sitter. Queste stelle hanno la proprietà di ruotare vorticosamente, rincorrendosi ad una velocità v. Ebbene, se osserviamo alcune di queste stelle, secondo il principio di relatività galileiana, la luce proveniente da esse dovrebbe avere velocità c + v, per la stella in avvicinamento alla Terra, e velocità c – v, per la stella in allontanamento dalla Terra. Le misure fatte danno invece la situazione della figura a destra: la luce arriva sulla Terra, sempre con velocità c, non sommandosi (né sottraendosi) a quella delle stelle.

Stabilita questa proprietà della luce, cosa essa comporta?
La simultaneità
Per quanto diremo occorrerà riferirsi ad oggetti fantastici, non esistenti in natura. Avverto però che quanto qui raccontato e riferito a tali oggetti fantastici, avviene davvero in mondi microscopici (dove si ha a che fare con particelle portate a velocità prossime a quelle della luce, con i raggi cosmici) o in fenomeni cosmologici. L’uso di oggetti fantastici permette di avvicinare di più la nostra mente meccanicista ai fenomeni che tento di descrivere.
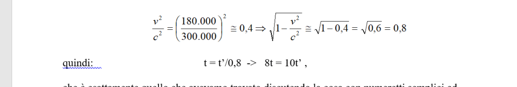
L’oggetto fantastico di cui parlo è un treno alto 2.400 metri, che viaggia a 180.000 Km al secondo (o, che è lo stesso, a 180 metri al milionesimo di secondo o microsecondo; con la stessa unità, la luce viaggia a 300 metri al microsecondo) e che ha pareti di vetro per poter osservare cosa avviene al suo interno. Su un vagone di tale treno, al suo centro, sistemiamo un osservatore T proprio sotto una lampada L che è al centro del tetto del vagone. Sistemiamo poi un osservatore T ’ ad osservare dal marciapiede cosa avviene nel treno.

Nel vagone in alto, quando parte la luce da L, essa è osservata da T arrivare simultaneamente sulle due pareti equidistanti 1 e 2 del vagone. Nel vagone in basso, l’osservatore T ‘ al suolo vede scorrergli il vagone davanti. Se nell’istante in cui il centro del vagone passa al traguardo di T ‘ si accende L, allora T’ vedrà illuminarsi la parete 1 prima della 2 a causa del fatto che mentre la parete 1 corre verso la luce che gli va incontro da L, la parete 2 scappa da tale luce proveniente dalla stessa L. Ciò ci deve far concludere che la simultaneità, concetto che non abbiamo mai discusso nella nostra vita quotidiana, è ora discutibile. Si ma a che serve la simultaneità ? Supponiamo di voler misurare il nostro gatto. Mettiamo il centimetro in corrispondenza del muso simultaneamente a quando tale centimetro va a sistemarsi dove comincia la coda. Se non facciamo questa ipotesi, sempre implicita, rischiamo di avere non un gatto ma una tigre! Insomma ci sparisce un concetto fondamentale e non è che l’inizio.
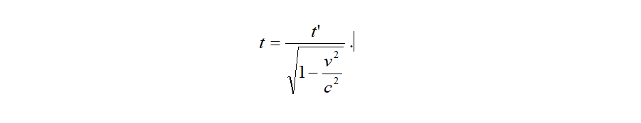
Il tempo
L’osservatore T che sta sul vagone sa che esso è alto ( s = LT =) 2.400 metri e sa che la luce viaggia a 300 metri al microsecondo (300 m/μs). Vuole calcolare il tempo t che la luce impiega per arrivare dalla lampada L a lui, cioè a T. Con un facile conto di cinematica trova:
t = s/v -> t = LT/c -> t = 2.400/300 μs = 8 μs.
Il tempo quindi che l’osservatore immobile rispetto al fenomeno (luce che viaggia dalla lampada a lui) misura è 8 μs.
Vediamo ora quanto tempo misura per lo stesso fenomeno (luce che va da L a T) l’osservatore sul marciapiede T ‘.

La situazione è rappresentata nella figura qui sopra. Poiché la velocità della luce e quella del treno sono dello stesso ordine di grandezza, mentre la luce viaggia da L a T, il treno si sarà spostato di un tratto che porta T da T1 a T2. Quindi il treno avrà percorso un tragitto T1 T2, alla velocità di 180 m/μs mentre la luce percorre il tragitto LT2 alla velocità di 300 m/ μs. L’osservatore T ’ vedrà allora la luce arrivare sulla testa del signore che è sul treno quando questi occupa la posizione T2. L’osservatore T ‘ dovrà in definitiva misurare il tempo impiegato dalla luce per percorrere il tragitto LT2. Qui ci aiuta il teorema di Pitagora. Abbiamo il triangolo LT1T2 . Conosciamo il lato LT1 che è lungo 2.400m; sappiamo che il lato T1T2 è lungo 180 t (la velocità del treno per il tempo t durante il quale il treno va a quella velocità); sappiamo che il tratto LT2 è lungo 300 t (la velocità della luce per il tempo, lo stesso del treno, che la luce impiega per andare da L a T2); non resta che impostare la relazione pitagorica per ricavarci la cosa che vogliamo, cioè t:
(300 t)2 – (180 t)2 = (2.400)2 => t = 10 μs.
E siamo arrivati al risultato: il tempo passa più velocemente per chi, dall’esterno, vede passare il treno. Ed il risultato è generale: ogni volta che lavoriamo con velocità vicine a c, il tempo passa più lentamente per chi viaggia a velocità dello stesso ordine di grandezza di quella della luce. E’ da osservare una cosa estremamente importante che in futuro chiamerò semplicemente reciprocità. Il viaggiatore, colui che sta sul treno, in base al principio di relatività, può essere considerato immobile e dal suo punto di vista vedere colui che sta sul marciapiede muoversi ad una velocità di 180 m/μs in verso opposto. Dal punto di vista del viaggiatore, il tempo passa più velocemente per chi, dal treno, vede passare una persona su di un marciapiede. Cosa accade in realtà ? Non lo sappiamo, perché per saperlo occorrerebbe fermare il treno e confrontare gli orologi. Ma per far ciò occorrerebbe mettere in ballo delle accelerazioni negative ed usciremo fuori dalla relatività ristretta. Il problema resta quindi quello di una misura e di un confronto di misure. Ed ora ci troviamo con una clamorosa novità rispetto alla fisica di Galileo e Newton: per costoro (ma per chiunque) il numero degli osservatori poteva essere grande a piacere, ma i tempi per ciascuno erano sempre gli stessi, cioè: t = t1 = t2 = … Ora invece si ha una relazione come la seguente:

Cerchiamo di capire questa formula che a vista spaventa ma che è davvero semplicissima. Supponiamo di vedere una di quelle orrende macchine oggi molto in uso, un cacciabombardiere che sfreccia a 3.600 Km/h, cioè ad 1 Km/s, il tempo che misura il pilota è diverso da quello che misuriamo noi ? Tutto dipende da quel v2/c2 che compare sotto radice quadrata al denominatore dell’espressione precedente. Questo rapporto può essere molto piccolo ed allora si trascura con la conseguenza che sotto la radice resta un uno, con l’ulteriore conseguenza che t = t’. In tal caso è inutile parlare di relatività, i tempi vanno come per me a Roma e per Chirac a Parigi. Può accadere che questo rapporto sia grande (ma sempre inferiore ad uno). In tal caso entra in gioco la relatività. Non può invece accadere che quel rapporto sia maggiore di uno (in realtà non può neanche accadere che sia uguale ad uno). In tal caso, sotto la radice verrebbe fuori un numero negativo. La radice darebbe origine ad un numero immaginario. A tutt’oggi noi non sappiamo che significato dare a tempi immaginari.
Allora, quanto vale quel rapporto nel caso del caccia?

Vale zero! Il che vuol dire che anche per una delle macchine più veloci che conosciamo la relatività non ha senso, basta ed avanza la fisica di Galileo – Newton (applicare la relatività al moto di un caccia corrisponde ad uccidere un moscerino con un missile intercontinentale a testata nucleare). Ma quanto vale quel rapporto nel caso del nostro treno fantastico?

che è esattamente quello che avevamo trovato discutendo la cosa con numeretti semplici ed utilizzando il teorema di Pitagora.
Le lunghezze
Poiché il tempo passa in modo diverso in condizioni di osservazioni diverse, cosa accade degli spazi percorsi, delle distanze, delle lunghezze? Qui il tutto è semplicemente conseguenza di quanto fin qui detto.
L’osservatore che si trova sul treno sa che la sua velocità è di 180 m/μs. Sa che la luce da L alla sua testa impiega 8 μs. Calcola con facilità il tragitto che il treno ha percorso in questo tempo:
s = vt -> s = 180 . 8 = 1.440 m.
Stesso ragionamento e conto fa l’osservatore che sta sul marciapiede, solo che tale signore ha visto passare un tempo diverso:
s = vt -> s = 180 . 10 = 1.800 m
Risulta quindi una conseguenza evidente: le lunghezze di oggetti in moto si contraggono, nel verso del moto (anche qui, per il principio di relatività vale la reciprocità).

Questo disegnino mostra schematicamente quanto dicevo: un osservatore fermo vede come vediamo ordinariamente noi; un osservatore in moto a velocità dell’ordine di grandezza di c vede un paesaggio deformato.
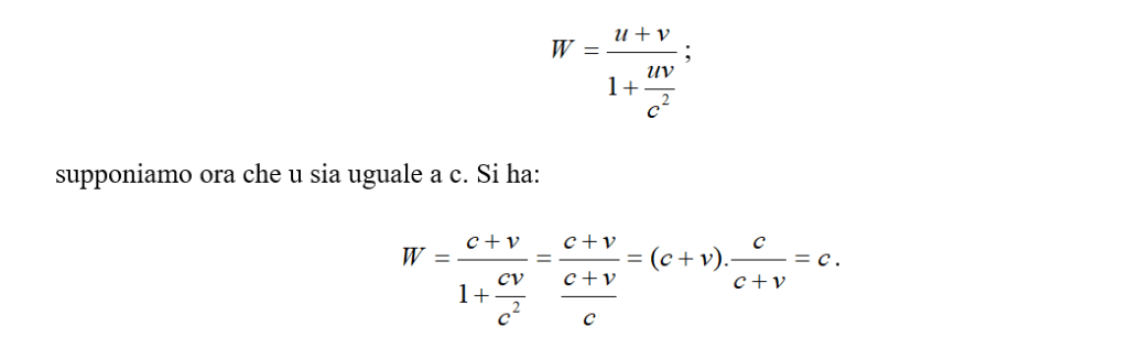
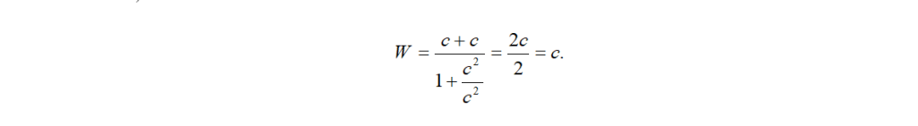
Che succede per la somma delle velocità ?
Avevo già detto che nel mondo relativistico risulta c + v = c e, peggio che c + c = c. Come è possibile trovare una qualche relazione, una formula che consenta questo? Nei suoi sviluppi Einstein la trova in modo estremamente consequenziale e semplice.
Supponiamo di avere due oggetti con velocità rispettive u e v. La soma di queste velocità può essere al massimo c. La formula einsteniana per questa somma W è:

Ed ecco che la somma di due velocità ci fornisce al massimo c. Per confermare ciò nel caso limite di c + c, vediamo cosa accade:

Occorre ammettere che Einstein è proprio bravo, eh?ù
L’ultima questioncina, appena enunciata.
Einstein è noto per una sua formula tanto semplice quanto rivoluzionaria:
E = mc2
Provo a dire la grande novità che essa rappresenta rispetto al passato newtoniano. Noi sapevamo che in una relazione in cui compare energia, massa e velocità al quadrato, avevamo a che fare con le due variabili energia e velocità e con una costante: la massa. Ricordiamo ad esempio l’espressione che ci fornisce in fisica classica l’energia totale di un sistema: essa è:
E = mv2
Si può vedere che si tratta apparentemente della stessa cosa: nella prima relazione compare la velocità c della luce, nella seconda una velocità v qualunque. Ho detto apparentemente perché qui vi è una differenza sostanziale. Nella relazione classica, come detto, le variabili sono E e v. Mentre nella relazione einsteniana le variabili sono E ed m (ricordo che c è una costante). Si ha quindi:

e si può vedere che la relazione di Einstein introduce il concetto di massa variabile, di massa che è la stessa cosa dell’energia, di una piccolissima massa che equivale ad una infinitamente grande quantità di energia. In modo un poco estemporaneo si può pensare alla massa come ad un concentrato di energia ed all’energia come massa sfumata, diffusa nello spazio. Ma vi è un qualcosa nelle considerazioni che abbiamo fatto che ci porta a pensare a massa che debba variare? Sembrerebbe di no, a meno che non si faccia attenzione. Il tutto nasce sempre da lì: dalla velocità c che non può essere superata. Vediamo.
Supponiamo un oggetto in caduta in uno spazio enorme. Esso è soggetto, supponiamo, ad una gravità come quella terrestre. La sua velocità, cadendo, aumenta di circa 10 metri al secondo ogni secondo. Con questa accelerazione di gravità l’oggetto, dopo circa una caduta di un anno e mezzo solare, raggiungerebbe la velocità della luce. Ma l’oggetto continua a cadere pur non potendo aumentare la sua velocità. Vedete che siamo in difficoltà? Qual è l’altra grandezza che compare nella formula che ci dà la caduta di un oggetto? Proprio la massa! A velocità che non può aumentare, inizia a cambiare il valore della massa. E’ un modo solo intuitivo, ma mostra alcune conseguenze della relatività che, drammaticamente, abbiamo conosciuto su Hiroshima e Nagasaki. La trasformazione di circa 50 chilogrammi di materia nell’ energia che distrusse quelle città fu la prima tremenda dimostrazione della validità di quanto Einstein aveva scoperto (e su cui non aveva mai voluto lavorare per la produzione della bomba).
Una vignetta illustra in modo simpatico la scoperta di Einstein:

Torniamo all’Universo
Avevamo iniziato con il parlare di caratteristiche da assegnare all’universo. Abbiamo fatto un lungo excursus e ritorniamo alla stessa domanda. Possiamo precisare le questioni, per iniziare, così: finito, infinito, limitato, illimitato. Ed allora vediamo cosa significano questi termini associandoli a dimensioni spaziali. Con Coleman, prendo in considerazione un insetto in varie situazioni.

Nella figura (a), a sinistra, un segmento su cui un insetto “unidimensionale” può solo andare avanti ed indietro, ha davanti a sé un mondo finito (il segmento) e limitato (dagli estremi del segmento). A destra ci è una linea che descrive una circonferenza. L’insetto può seguire questa linea finita che però non ha limiti. Nella figura (b) siamo in un mondo bidimensionale. A sinistra un piano che risulta essere per l’insetto finito e limitato. A destra una superficie sferica che è altrettanto finita e, come la circonferenza precedente, illimitata. Nella figura (c) siamo in un mondo a tre dimensioni (non il nostro, si ricordi, perché il nostro ha almeno 4 dimensioni (facendo bene i conti se ne troverebbero undici). A sinistra, dentro una sfera, una famiglia di insetti ha accesso a movimenti non solo su piani ma anche nella terza dimensione: questo mondo continua ad essere finito (la sfera) e limitato (un insetto non può continuare in linea retta senza urtare sulla superficie della sfera). A destra gli insetti non hanno il vincolo della superficie, hanno la possibilità di accedere alle tre dimensioni spaziali e quindi questo universo è illimitato. Per pensare alla sua finitezza occorre introdurre la gravità (una intensissima gravità tale che impedisce anche ai raggi luminosi di allontanarsi dall’ammasso di insetti). Tale forza li tiene uniti in un luogo da cui non riescono a staccarsi. Ciò comporta che (Coleman): “anche se uno di questi scrutasse nello spazio al di fuori dell’ammasso, i raggi luminosi giunti ai suoi occhi risulterebbero incurvati e provenienti dall’ammasso stesso, facendogli vedere insetti dovunque, cosicché non potrebbe mai avvertire la presenza di alcuna cosa situata fuori dal proprio mondo”. Tali insetti si potranno muovere in ogni direzione ma non si renderanno conto di girare intorno a se stessi. In tal senso il loro mondo è illimitato. “Il loro mondo è finito poiché le dimensioni del gruppo considerato nel suo insieme sono finite ed il gruppo costituisce il loro mondo”. Il mondo potrebbe diventare infinito ed illimitato solo se vi fosse un solo insetto che non gravitasse con qualcun altro, oppure se vi fossero tanti insetti ma senza gravitazione.
Questa vicenda delle dimensioni, degli spazi, dei limiti, … è tanto importante che qualche fisico ha giocato in modo quasi divertente. E’ il caso di Gamow che indicava il modo non corretto di riportare un corpo tridimensionale a due dimensioni e quello corretto:

Fin qui, al di là dell’ultimo scherzo, abbiamo solo dato delle definizioni ma ancora non ci siamo avvicinati a quale dovrebbe essere il nostro universo. Qui, come fisici, urtiamo contro qualcosa che non può diventare galileiana in senso stretto. I fenomeni astronomici non li possiamo riportare in laboratorio e ricrearli per “provare e riprovare”. Su di essi non si sperimenta cambiando le condizioni e tentando di ricavare una legge. Per capirli occorre mantenere “gli occhi” puntati al cielo ed osservare, istante dopo istante, eventi che, messi insieme, ci diano le informazioni che cerchiamo. In tal senso oggi abbiamo teorie non definitive, ma solo indizi. Da quel che sappiamo, l’universo, oggi può ammettere solo tre differenti geometrie per l’universo, quella euclidea, quella sferica o quella iperbolica. Dipende da quante galassie vi sono in funzione della distanza da noi: se il numero delle galassie aumenta come la distanza tra noi ed esse (r) elevata al quadrato, allora l’universo è euclideo; un aumento minore indica che esso è sferico; uno maggiore indica che esso è iperbolico. Questa verifica non è semplice per un motivo, ancora non discusso, ma clamoroso. La luce che oggi ci proviene da una data galassia è quella che tale galassia aveva emesso in numero degli anni che la luce ha impiegato a giungere fino a noi (se una galassia è a 1.000 anni luce, noi vediamo, oggi, la luce che tale galassia ci ha inviato 1.000 anni fa. Se poi questa galassia è a 100 milioni di anni luce, allora siamo proprio al di là del fossile, vediamo luce fossile, vediamo cose che potrebbero già non esistere da migliaia o milioni di anni!!! Se, oggi, vedessimo una stella che dista da noi 1.000 anni luce esplodere, vedremmo un evento di 1.000 anni fa!!! Ecco qui risiede la difficoltà del capire che tipo di universo abbiamo, non disponiamo di dati “simultanei dello stato delle varie galassie che “vediamo”. Comunque si può procedere a distinguere le tre differenti possibilità ed il tutto può, a tutt’oggi, rappresentare con il disegno seguente:

Iniziamo dal punto interrogativo che compare nel disegno. E’ l’eventuale inizio dell’universo in un dato istante (quello noto come big bang). Da questo supposto istante (c’è mai stato?), sarebbero passati intorno ai 10 o 15 miliardi di anni ed ora ci troviamo là dove, nel disegno, è scritto presente. Da qui in poi possiamo, in base ai dati scientifici raccolti in vari modi, tentare ipotesi che saranno o meno verificate con successivi dati sperimentali.
La curva più in basso rappresenta l’universo sferico (chiuso e finito) che continuerebbe ad espandersi fino ad un suo massimo (effetti dell’esplosione iniziale che ancora “scaglia pezzi a distanza”). Appena giunto a questo massimo, dato che le forze gravitazionali iniziano pian piano a prendere il sopravvento su quelle del moto inerziale dei “pezzi” iniziali, l’universo inizia una contrazione su se stesso fino a che il processo diventerà rapidamente implosivi, fino al punto in cui tutta la massa dell’universo la si ritroverà di nuovo in un “punto” in modo da originare un “big crunch”, un big bang alla rovescia. Di nuovo tutto finisce, ma di nuovo tutto riproduce l’esplosione di pezzi che sono implosi. Il processo, in linea teorica, è riproducibile fino a situazioni analoghe (non uguali!) a quelle che conosciamo. Il tutto proseguirebbe indefinitamente in un universo che chiameremo oscillante che, così ipotizzato, né sappiamo possa realizzarsi, né dove possa andare a finire (né da dove possa aver avuto origine).
La curva intermedia è quella che si avrebbe per un universo di tipo euclideo. Esso risulterebbe aperto, infinito che aumenterà sempre la distanza relativa tra galassie.
La curva più in alto rappresenta un universo tipo il precedente, ma originato da un big bang più violento che origina una geometria di tipo iperbolico.
Ciò che decide tra queste tre ipotesi è la densità di materia dell’universo, tutta la materia “oscura” che esso contiene e che solo molto indirettamente siamo in grado di conoscere. Possiamo dire con ragionevole certezza che un universo chiuso ed infinito può esistere solo se la densità di materia ha un certo valore minimo. A tutt’oggi siamo alla ricerca di tale materia oscura attraverso la radiazione che l’universo invia ai nostri strumenti.
Big bang?
Non aiuterebbe nessuno una affermazione di principio sul punto-tempo in cui vi sarebbe stato il big bang. Vi sono molti dubbie, ultimamente, sembrerebbe addirittura che tale teoria sia da scartare. Ma piuttosto che dire quale teoria sarebbe eventualmente da accettare, con complicazioni al di fuori di queste cose molto discorsive, vorrei tentare di dire alcune parole su tale “inizio”. Naturalmente i creazionisti vi pongono Dio. A loro non so cosa rispondere. La fisica non risponde alla metafisica e non perché non voglia, ma perché la cosa sarebbe una contraddizione in termini. Altri pensano, e qui non ho mai capito il perché, ad un solo ammasso di materia costituente l’universo ad un dato istante; tale ammasso sarebbe esploso (grande esplosione) e tutta la materia, man mano che si allontanava, andava raffreddandosi progressivamente con conseguente origine di sistemi planetari, stelle, e pianeti. Resta la semplice domanda del perché ad un dato istante vi doveva essere una gigantesca sfera in un dato punto-tempo dello spazio a quattro dimensioni. Non vedo né ragioni logiche né ontologiche. Qui possono iniziare montagne di disquisizioni su questa sfera primordiale, sul suo perché, sul suo percome … Il miglior lavoro in tal senso lo ha fatto Weinberg nel suo famoso I primi tre minuti dell’universo. Peccato che a questi tre minuti manchi il primo istante. Ritorniamo sempre lì. Vi sono invece fatti che sono iniziati a venire alla luce nel 1933 che potrebbero raccontarci qualcosa di nuovo. In quell’anno fu scoperta l’antimateria, la materia che ha caratteristiche fisiche “opposte” (non posso ora dire di più) all’ordinaria materia. Da allora ad oggi si produce ordinariamente antimateria nei laboratori di fisica avanzati. Qual è la proprietà dell’antimateria che può interessarci? Se si incontra della materia con dell’antimateria, vi è la sparizione di entrambe con la comparsa di una enorme quantità di energia. Viceversa, in uno spazio “vuoto”, con dell’energia diffusa, è possibile che “dal nulla” fuoriesca materia ed

antimateria. Sembrerebbe che questa è la strada migliore per cercare di capire la comparsa di qualcosa che ha per noi le proprietà di materia, comunque sia definita. Il fatto è che dovrebbe esservi nell’universo all’incirca un 50% di materia ed altro 50% di antimateria. Alle nostre osservazioni ciò non risulta. Noi “vediamo” solo materia e pochissima antimateria. Alcuni astrofisica parlano di una sorta di arrangiamento tra i due tipi di materia per cui si evitano reciprocamente. Vi sarebbero da qualche parte intere galassie di antimateria che con cura evitano quelle di materia … Ipotesi, certamente interessanti ma, per ora, al di fuori di ogni conferma o negazione sperimentale.
Ma, al di là di queste speculazioni, resta il problema di un punto dello spazio in cui in un dato tempo è nato o potrebbe nascere qualcosa. Naturalmente non terrò conto delle fantasie creazioniste di un preteso Dio, argomento di Platone, Aristotele, di San Tommaso, di Leibniz e di Clarke, secondo il quale ogni evento ha una causa e, facendo una catena di cause, dobbiamo fermarci ad un certo punto, punto che sarebbe Dio. Tal cosa fu aspramente criticata da Kant e duramente attaccata da Russel. Oggi mi pare priva di senso, non meritevole neppure di un dibattito: oggi sappiamo una cosa fondamentale che non si conosceva appena 100 anni fa: è possibile creare materia ed antimateria dal NULLA. D’altra parte, rimanendo in tema strettamente fisico, sembrerebbe che almeno una legge della fisica sia violata dal sorgere di ordine da un primitivo caos: il secondo principio della termodinamica (nessun ordine si crea spontaneamente da una situazione disordinata). Mi permetto qui di osservare che la nostra conoscenza riguarda comunque una ampia fetta di universo ma, … ampia quanto? Voglio dire che il secondo principio parla del bilancio complessivo di un processo. Ad esempio, se considerassi l’uomo un sistema isolato, esso sarebbe negato dal secondo principio. Ma l’uomo torna presente se solo si tiene conto che il bilancio dell’ordine che la sua struttura rappresenta con il disordine che la sua vita comporta, è tutto a favore del secondo principio. Penso a qualcosa del genere per l’universo. Resta allora quel possibile punto dello spazio tempo. Un tal punto, come quello dell’ipotetico big bang è conosciuto in fisica ed in matematica come una singolarità. Si tratta di particolari situazioni di confine con proprietà molto peculiari dovute a possibili agenti esterni (vedremo tra un poco) come la gravità. E’ ad esempio singolare l’eventuale confine dell’universo, ogni singolarità è ciò che è al confine tra fisica e metafisica. E’ una cosa che fa un poco paura, un buco nero, ad esempio (come vedremo).

Si tratta quindi del punto spaziotemporale inconosciuto ed al di fuori (almeno per ora) dalla nostra portata esplicativa. Secondo la teoria del Big Bang o anche da altre teorie che prevedono l’origine dell’universo da una singolarità, da questa singolarità, sarebbe nato e “cresciuto” l’universo. Questo processo sarebbe avvenuto in modo che nessuno da nessun punto sa individuare l’altro punto, quello da cui sarebbe iniziato l’accrescimento. La cosa che sembra complicata è meccanicisticamente visibile in modo elementare. Se abbiamo un palloncino di gomma gonfiabile, se su questo palloncino disegniamo tanti pallini, al gonfiare sempre più il palloncino i pallini resteranno, aumenteranno le loro distanze reciproche e l’intero universo crescerà. Ogni punto vedrà l’altro allontanarsi: nessuno di tali punti risulterà privilegiato.

Ma, a questo punto sorgono dei problemi che esemplifico in modo semplice: se viene fuori un puntino in più? E se viene a mancare un puntino? Dietro queste domande si nascondono le infinite domande della cosmologia. L’universo Mantiene sempre la stessa quantità di materia? Ne crea? Ne distrugge? … Insomma io voglio solo dire che non vi sono approcci semplificati a queste questioni. Vi sono le questioni e queste tento di presentare.
Un mondo speciale lo presentò John Wheeler nel 1979. In particolari condizioni è possibile che un osservatore di oggi possa essere responsabile di un qualcosa accaduto in un passato remotissimo. Se ciò avesse un senso (e Wheeler dava senso alle sue affermazioni) noi staremmo oggi osservando il nostro passato che acquista una realtà concreta proprio grazie alle nostre osservazioni, come rappresentato nella figura seguente nella quale la “codina” rappresenta l’origine del nostro universo.

In altro modo e con altre argomentazioni, una cosa analoga la aveva detta Coleman nel 1954. In un universo costituito da una ipersfera spaziotemporale (geometria di Riemann), un osservatore osservando abbastanza a lungo osserverebbe lungo la “retta-circonferenza” di tale geometria se stesso.

Ovvero:

Un approccio più serio: la relatività generale di Einstein (1916)
Le cosedette in modo abbastanza semplificato in questo ultimo paragrafo, tenterò di riportarle al lavoro che ha aperto la strada a queste problematiche: l’altra relatività di Einstein, quella del 1916, quella Generale.
La Relatività ristretta, alla quale abbiamo accennato, si applica solo nel caso in cui non sia presente alcun campo gravitazionale. E’ quindi veramente ristretta. E’ un qualcosa che riguarda geometrie e spazi infiniti in senso euclideo. I moti inerziali prevedono questo. Per questo Einstein si prefisse lo scopo di mostrare che l’equivalenza tra sistemi di osservatori non deve riguardare i soli inerziali. Almeno per un certo tipo di equivalenza deve essere possibile estendere tale proprietà ad osservatori accelerati.
Se ci muoviamo con una data accelerazione vediamo gli altri corpi che si muovono rispetto a noi con una accelerazione opposta. Poiché abbiamo familiarità con la meccanica di Newton, attribuiremo l’accelerazione di questi corpi a forze proporzionali alle loro masse (Seconda legge di Newton). Le accelerazioni però insorgono solo quando siamo su sistemi non inerziali. Esiste però una forza che ha lo stesso tipo di comportamento: quella gravitazionale. Essa ha una proprietà peculiare: imprime a tutti i corpi la stessa accelerazione. E questa forza risulta proporzionale alla massa del corpo. Se parliamo di altre forze ci accorgiamo che ognuna è diversa dall’altra e che ciascuna agisce in modo diverso.
Ma torniamo ad un sistema inerziale. Esso risulta tale quando abbiamo eliminato tutte le forze. Ma, disgraziatamente, non ci possiamo liberare della gravitazione. Einstein iniziò allora con il pensare che inerzia e gravitazione sono la stessa cosa: entrambe agiscono sui corpi allo stesso modo e le forze che ne risultano sono, per entrambe, proporzionali alle masse dei corpi stessi. Vi è allora qualcosa che non va nel principio d’inerzia che occorrerà riformulare.
Antica versione: “Esiste per i corpi uno stato di moto standard, tale che un corpo che si trovi in questo stato di moto non è sottoposto ad alcuna forza. Questo moto standard è il moto rettilineo uniforme”.
Nuova versione: “Esiste per i corpi uno stato di moto standard, tale che un corpo che si trovi in questo stato di moto non è sottoposto ad alcuna forza. Questo stato di moto segue l’inerzia e la gravitazione”.
Solo se un corpo dovesse deviare da un tale stato di caduta libera diremo che su di esso agisce una forza.
Una forza è dunque qualcosa che tende ad allontanare i corpi dalle loro traiettorie standard, ciò che non vale per la gravitazione. Arriviamo così a questa nuovissima affermazione: la gravitazione non è da considerarsi come forza ma come inerzia. In termini più tecnici questa cosa la si può dire così: la gravitazione non è una forza ma una distorsione dello spazio-tempo. Se si è in uno stato di caduta libera, la gravitazione intorno a noi sparisce (ecco la ragione dell’assenza di peso nelle astronavi). Con ciò non si riesce però ad eliminare la non-uniformità della gravitazione (la gravitazione è uniforme in una stanza ma non lo è sull’Europa) e ciò vuol dire che vi sarà sempre una accelerazione relativa ai corpi vicini.
In definitiva, l’impossibilità di eliminare completamente il campo gravitazionale è causa permanente di un’accelerazione relativa tra corpi e per costruire una teoria della gravitazione, l’effetto intrinseco fondamentale che occorre descrivere è proprio l’accelerazione relativa tra corpi vicini. In questo nuovo modo di vedere le cose, occorre dire che la Relatività Ristretta continua a valere su piccola scala, quando le distanze tra osservatori sono piccole; la Gravitazione universale continua a valere su grandi distanze e deboli campi gravitazionali.
Ma ritorniamo alla gravitazione come distorsione dello spazio-tempo (sia dello spazio che del tempo) di cui parlavo poco fa. Questo è uno dei risultati che la complessa elaborazione matematica della Relatività Generale ci ha fornito. Naturalmente vi sono state ulteriori elaborazioni (che ancora oggi continuano) dopo quella di Einstein. Ma su questo punto specifico, tutte le teorie convergono: lo spazio è deformato dal campo gravitazionale ed il tempo scorre in modo differente a seconda dell’intensità del campo. Oggi, ad esempio, abbiamo una verifica sperimentale di questa ultima affermazione: sulle basi spaziali orbitanti intorno alla Terra, a causa della maggiore debolezza del campo gravitazionale, si misura un tempo che passa più velocemente rispetto alla Terra. Più forte è il campo gravitazionale, più il tempo trascorre piano. Vi sono delle stelle così grandi da avere una gravità che rallenta enormemente il tempo. E, come vedremo, poiché la gravità alle soglie di un buco nero è immensa, in questa zona il tempo inizierebbe a non scorrere più! Una tal situazione vista dalla Terra sarebbe una immagine congelata nell’immobilità. Ma una tal situazione non è visibile proprio perché la luce non può venirne fuori a causa di quella immensa gravità. Per questo quello è un buco nero: è uno di quei mostri di cui ho discusso in breve, una singolarità spazio-temporale. Questa distorsione dello spazio-tempo comporta che in un tempo che praticamente si va fermando, un oggetto che stia entrandovi si stirerebbe sempre più fino a ridursi ad uno spago. Un astronauta che vi entrasse per i piedi vedrebbe il suo corpo assottigliarsi sempre più a partire dai piedi verso la testa. Tutto ciò avverrebbe in un tempo lunghissimo; tutto tenderebbe rapidamente all’eternità. Lo sfortunato astronauta troverebbe la singolarità che rappresenta il confine del tempo e lì sparirebbe. La singolarità segnala la fine di un viaggio senza possibile ritorno verso nessuna parte ed in nessun momento. In un non luogo dove l’universo sparisce.
In definitiva, una massa modifica la supposta omogeneità ed isotropia dello spazio-tempo. Come illustrerò tra un poco, la prima verifica di ciò fu realizzata dal fisico britannico A. Eddington durante un’eclisse di Sole in Guinea nel 1919. E, data la presenza di masse nel nostro universo, si può dire che l’universo non esiste fuori dal tempo ma che, anzi, ne subordina la marcia.
Vediamo alcuni disegni. Il primo ci mostra un orologio su una torre che cammina più in fretta di un orologio al suolo (ricordo che, in base alla legge di gravitazione universale, più ci allontaniamo dal centro della Terra e più la gravità diminuisce).

Riguardo alle accelerazioni relative tra corpi vicini per formulare una teoria della gravitazione, possono aiutarci i disegni seguenti.

Se un ascensore è al suolo, un oggetto, lasciato andare dentro di esso, cade liberamente; in un ascensore in caduta, un oggetto lasciato andare, resta dove è e non cade rispetto a chi lo lascia andare. Si deve notare che, trovandoci noi in una stanza chiusa, possiamo accorgerci del suo trovarsi o meno in un campo gravitazionale, proprio con confronti del genere. Se invece un

ascensore è nello spazio, lontano da un qualunque campo gravitazionale, un oggetto lasciato andare non cade. Se invece l’ascensore subisce una accelerazione verso l’alto dovuta ad un campo gravitazionale, allora gli oggetti fermi (rispetto ad un osservatore) cadono rispetto all’ascensore.
La deformazione dello spazio-tempo si può rendere bene con l’immagine seguente:

Nella figura a, lo “spazio”, rappresentato da una striscia di gomma elastica, non è deformato da nessun campo gravitazionale; in b, agisce un piccolo campo che deforma la striscia di gomma; in c questo campo è grandissimo e provoca una grandissima deformazione della gomma-spazio. Più in generale, la presenza di una massa dello spazio genera intorno a sé una deformazione dello spazio (e per ciò che abbiamo già detto, del tempo), che può essere rappresentata come una buca:

Se insistiamo con la nostra rappresentazione di spazio con una striscia di gomma, questa volta molto estesa, possiamo pensare di lanciare su tale striscia una pallina di massa trascurabile. Tale pallina seguirà le leggi della fisica che già conosciamo, continuerà in linea retta all’infinito. Ma se tale pallina camminasse in uno spazio con varie masse disposte su (dentro) di esso, allora essa rischia di deviare in vicinanza di una massa perché ivi incontra l’avallamento che la massa provoca nello spazio. Se poi la sua traiettoria è tale da puntare verso una data massa, e quindi verso il centro della buca, tale pallina cadrà dentro la buca, sarà cioè catturata dal campo gravitazionale di tale massa ed in definitiva cadrà su di essa.
Nello spazio abbiamo a che fare con masse enormi e dobbiamo quindi aspettarci campi gravitazionali giganteschi, tanto grandi da attrarre o far deviare anche la luce (ricordo che, secondo la relazione di Einstein E = mc2, la materia e l’energia sono in pratica la stessa cosa e quindi anche la luce che è solo energia sente i campi gravitazionali). Questo prevedeva la teoria di Einstein del 1916. Una esperienza per verificare ciò la fece, come già accennato, Eddington.


Il ragionamento fatto da Eddington è tanto semplice quanto geniale. La luce proveniente da una stella arriva a noi senza sentire campi e quindi senza deviazioni apparenti se la osserviamo di notte. Ma, se lungo il cammino che la luce fa da quella stella alla Terra, interponessimo il Sole, allora, l’enorme massa del Sole dovrebbe deviare la luce di questa stella. Ecco un buon modo per verificare la bontà degli inizi della teoria. Ma vi sono delle difficoltà. Anche se potessimo spostare il Sole, la sua luce è così intensa che non ci permetterebbe di vedere le stelle. Come superarle? Allora: il Sole è sempre tra noi e qualche stella e quindi non abbiamo necessità di spostarlo. Il fatto che quando c’è lui non vi sono stelle sembra insormontabile. Eddington pensò di spegnere il Sole, di usare cioè un interruttore naturale che chiudesse la sua luce. Una eclissi. Le cose stanno allora così. Di notte, da un certo luogo, ad una data ora, il cielo mostra una data stella in una determinata posizione (determinate distanze da altre stelle). Se è vero che il Sole devia la luce di tale stella quando lo interponiamo nel tragitto di essa fino alla Terra, la stella la dovremmo vedere in un’altra posizione, in una sua posizione apparente. E tutto questo fece Eddington recandosi in Guinea perché era lì che si aveva nel 1919 un’eclisse totale di Sole. La cosa è ben descritta dalla prima delle due figure riportate più in alto ed anche nella seconda, più schematica, in cui è mostrato l’angolo di deviazione del raggio di luce che dipenderà dal campo gravitazionale del Sole. Quindi nessun ulteriore dubbio: lo spazio è deformato dalla presenza di masse. Più tali masse sono grandi e più la deformazione spazio-temporale è grande. Una bella rappresentazione in due dimensioni della deformazione dello spazio a seguito di qualche massa è mostrata nelle figure seguenti dove le ascisse rappresentano lo spazio e le ordinate il tempo. In i niente campi gravitazionali che invece sono presenti in ii.

Questo spazio è in definitiva “elastico” e deformabile come mostrato nella figura seguente:

e questa figura che mostra la deformazione dovuta a masse via via più grandi ci dà anche l’opportunità di spingerci ad un qualche confine della ricerca fisica. Se la deformazione spazio-temporale è piccola la massa è ancora dentro l’universo che conosciamo. Ma se tale deformazione cresce e diventa grande, molto grande, la massa che ha creato tale deformazione può andarsene fuori dal nostro universo, come mostrato in figura seguente:

Ecco, nel primo dei due disegni corrispondente ad una piccola massa, l’oggetto è ancora visibile da un osservatore del nostro universo. Nel secondo disegno (grande massa), la deformazione è tale che l’oggetto è sparito dalla visibilità del nostro universo.
Ricapitoliamo un poco. Un corpo che si muove nello spazio in assenza di forze seguirà la traiettoria geodetica sulla “striscia elastica” dello spazio-tempo. Se in questo non vi sono masse, la lamina sarà piatta ed il cammino geodetico del corpo sarà una linea retta. Se però il corpo passa vicino alla depressione nella lamina originata da una grande massa, il cammino geodetico sarà una linea curva, proprio come il fiume che segue un percorso geodetico quando scende dalla montagna. L’effetto della depressione nello spazio è quello di far muovere il corpo in direzione della massa, ma esso lo fa solo seguendo localmente il cammino geodetico, non a causa di una forza a lungo raggio d’azione che emana da una massa lontana. Si deve osservare che queste brevi osservazioni ci sbarazzano della legge newtoniana di gravitazione universale. Così, invece di forze gravitazionali di ampia portata, abbiamo corpi che ricevono istruzioni di rotta dalla topografia locale dello spazio-tempo, topografia determinata dalla presenza di masse. Cito un esempio, la precessione dell’orbita del pianeta Mercurio (che dovrebbe essere noto), ma lo dico con il linguaggio della relatività generale. L’orbita di Mercurio è curvata dallo spazio-tempo. Che ne dite? Insomma, le anse ed i cambiamenti di direzione lungo il cammino del fiume sono dettati dalla pendenza locale del terreno che esso attraversa.
“Lo spazio dice alla materia come muoversi. La materia dice allo spazio come curvarsi” (J. A. Wheeler).
Ed in definitiva, massa ed energia non sono nient’altro che deformazioni dello spazio-tempo.
Ed ora dovremmo passare a rappresentazioni dello spazio-tempo più precise. Ma prima diamo un occhiata alla macchina del tempo.
La macchina del tempo
Dal bel racconto di H. G. Wells che sembrava parlare di cose straordinarie, un poco come quelli di J. Verne, la scienza, almeno dal 1973, ha iniziato a parlare di viaggi nel tempo. Particolarissimi viaggi, ma certamente nel tempo. La “macchina” che realizzerebbe (il condizionale è d’obbligo, anche se non parliamo di fantascienza ma di alcune elaborazioni teoriche fatte da fisici famosi, ad iniziare da Einstein e Rosen) questa cosa potrebbe essere proprio un “buco nero”. Ma prima di proseguire dimensioniamo un poco questo buco nero, questa singolarità, servendoci delle figure seguenti:

E’ impressionante vero? Il buco nero è un qualcosa di estremamente piccolo (stiamo comunque sempre all’interno di ordini di grandezza cosmici). Bene, quel buco nero, come dicevamo potrebbe riservare sorprese inaspettate. Quel disgraziato astronauta che vi era entrato, se potesse rimettere il naso fuori, avrebbe la sensazione che tutti gli eventi esterni sono accelerati e compirebbe quindi un viaggio verso il futuro. Una tal “macchina” è stata “pensata” dal fisico statunitense F. Tipler. Leggiamo la descrizione della macchina che ne dà lo stesso Tipler:
“Un cilindro con una enorme massa in rotazione trascinerà attorno a sé lo spazio-tempo. Questo cilindro dovrebbe essere alto 100 Km ed avere un diametro di 20 Km. Dentro dovrebbe esservi almeno la massa del Sole che avrebbe quindi la densità di una stella di neutroni. Questo cilindro dovrebbe ruotare su se stesso 2 volte ogni millesimo di secondo. Così, al centro, si formerebbe una singolarità (punto in cui la curvatura dello spazio-tempo diventa infinita, come vedremo più oltre) intorno alla quale sarebbe possibile il viaggio nel tempo: una nave spaziale potrebbe viaggiare lungo una traiettoria a spirale, attorno all’asse verticale, e ritornare indietro nel tempo. Ad ogni giro la nave tornerebbe nello stesso luogo ma in tempi sempre più remoti.”
Due astrofisici dell’osservatorio astronomico di Roma, L. Stella e M. Vietri, hanno annunciato nel settembre del 1997 di aver individuato tre stelle di neutroni che, ruotando velocissime su se stesse, risucchiano e trascinano in un vortice lo spazio-tempo intorno a loro. Studiando i raggi X emessi da queste stelle, i due ricercatori si sono accorti che l’emissione non era costante ma variava nel tempo, come se la materia, risucchiata dalle stelle, ogni tanto cambiasse traiettoria. Dopo estenuanti calcoli, hanno concluso che l’effetto ha una sola possibile spiegazione: nella loro rotazione le stelle di neutroni non trascinano solo la materia circostante ma anche lo spazio ed il tempo ed è questa cosa che fa barcollare la materia lungo la sua traiettoria. Il fenomeno non è una scoperta assoluta. E’ solo il ritrovare sperimentalmente un fenomeno previsto nel 1918 da due fisici austriaci, J. Lense ed H. Thirring, che lo avevano ricavato dalla Relativirà Generale di Einstein. A novembre del 1997, poi, alcuni fisici statunitensi del MIT hanno riscontrato lo stesso fenomeno nelle vicinanze di alcuni buchi neri appartenenti alla nostra galassia.
Vediamo, aiutandoci con un disegno, come sia possibile viaggiare nel tempo nel nostro spazio. Tale spazio è curvo nel senso più volte detto. Inoltre vi sono delle masse che lo deformano. Tanto più tali masse sono grandi (e non si confonda mai massa con volume: allo scopo si riveda l’ultima figura riportata) quanto più si addensano in volumi piccoli. Tali masse possono quindi essere enormi in volumi piccolissimi. E’, come già detto, il caso di un buco nero, di una singolarità. Un buco nero che si “aprisse” da un lato (come fino ad ora visto) potrebbe “sfociare” in un altro lato, in un altro punto dello spazio-tempo, originando quello che si chiama cunicolo (o, in alcune condizioni, verme). Un cunicolo elementare è quello mostrato di seguito:

Rappresentiamo ora lo spazio attraversato da un cunicolo (la “striscia” rappresenta lo spazio ordinario quello che, ad esempio, percorrerebbe la luce in un suo normale tragitto):

Supponiamo ora che, camminando lungo la striscia, la luce vada da A a B. Ciò rappresenterebbe un normale avanzare del tempo come ordinariamente lo conosciamo che va dal presente A al futuro B. Pensiamo ora a della luce che parte da A. Essa viene catturata dal cunicolo in C e va a finire prima in D (fuori dal cunicolo) e quindi in B. Alla fine la luce è andata da A a B ma attraverso il cunicolo, tagliando tutto il tempo necessario a percorrere lo spazio ordinario. Questo rappresenterebbe un viaggio nel futuro. Supponiamo ora che la luce, sempre partita da A, entri in C per andare in D e, da D, ritorni lungo lo spazio ordinario (la striscia) verso A. Questo rappresenterebbe un viaggio nel passato (prima andiamo nel futuro, D, e poi torniamo indietro verso A).
I cunicoli nello spazio tempo possono essere di vario tipo. Come esemplificazione mostro il “ponte di Einstein Rosen” chiamato verme:

Una “rete di mondi” allacciati tra loro da cunicoli e vermi potrebbe essere quella di figura seguente:

Concludo questa parte solo con il ricordare che questi fenomeni hanno luogo su scale non umane. Qui l’uomo è ancora distante da poter sopportare le violente alterazioni che fenomeni del genere gli procurerebbero: certamente ne uscirebbe triturato.
Visione euristica del mondo (per avvicinarci ad altre rappresentazioni di esso)
Fare fisica è come ricercare il bello. La perfezione delle forme e delle idee. E’ scrivere musica, comporre sonetti, ballate e poesie. Vi è un linguaggio che ha dentro di sé capacità così coinvolgenti da lasciarti in un angolo a sognare. E’ il mondo, l’universo con i suoi misteri tutti da indagare che è l’oggetto dello stupore, della meraviglia e della continua ricerca che asintoticamente porta l’uomo a conoscere. Molti tra i più grandi fisici hanno solo operato nel senso della “bellezza”, dell’armonia, della semplicità, delle simmetrie, delle parità, … Altri ne hanno anche parlato con linguaggi che commuovono perché toccano l’intimo del problema: il rapporto dell’uomo con la natura non solo contemplativo, ma esplicativo. Purtroppo molti si perdono questa meraviglia che a volte è nascosta dietro dei simboli che sembrano per iniziati, quando basterebbe un serio studio a livello di liceo scientifico per diventare perone in grado di capire e comunque di iniziare a capire. Superati i primi momenti di sconcerto, che si corrispondono al profano davanti ad una partitura di Ravel da “leggere”. Quel pentagramma, quei pallini, quelle chiavi di violino, quegli stani simboli non potranno mai comunicare il “Bolero”. Eppure c’è chi lo sa leggere lì! Ed io assicuro che la stessa cosa è con il libro della natura che, come diceva Galileo, è scritto in linguaggio matematico. Sono le note dell’armonia o dello sconfinato mistero popolato di mostri e di abissi infiniti che è lo sconosciuto e pur affascinante universo.
Già Newton utilizzava una immagine che è evocativa di pensieri e meditazioni che possono ben confrontarsi con L’Infinito del buon Leopardi. La propongo questa immagine, invitando a sentirla come un uomo della fine del Seicento poteva fare:

Vi è la Terra con un monte la cui vetta è V. Se si lanciano con “spinte” successive sempre maggiori degli oggetti da quella montagna, gli oggetti “cadranno” sempre sulla Terra finché …. Finché la spinta non sarà sufficiente a far camminare l’oggetto parallelamente alla superficie della Terra. In quest’ultimo caso l’oggetto cadrà indefinitamente di modo ché, alla fine, avremo un satellite terrestre. Siamo a 350 anni dal primo satellite terrestre, lo Sputnik sovietico, ed abbiamo una descrizione di tale operazione (la messa in orbita di un oggetto) così chiara, vicina, da commuovere chi davvero presti attenzione.
Molti grandi fisici hanno avuto questo senso del bello, questa visione euristica delle teorie che elaboravano. Molti di loro addirittura buttavano elaborazioni faticosissime perché, alla fine, non vi erano proprietà speciali ricercate a priori. Il pregiudizio ha sempre giocato un ruolo non esattamente raccontabile nel lavoro di moltissimi ricercatori. Solo Popper, che da buon filosofo, proveniente dalla sociologia, poteva dare una visione così asettica ed angusta della scienza. Si sente, come si sente!, se uno ha lavorato da scienziato o se ha fatto solo sociologia della scienza! E purtroppo, nel nostro mondo dai successi facili, è più gratificante fare i sociologi che non applicarsi davvero in estenuanti lavori scientifici. E così abbiamo la disgrazia di avere presunti epistemologi che neppure lo sono per aver lavorato in diretta, ma addirittura in ultima battuta, come l’ignoto Presidente del nostro Senato, tal Pera.
Provo a riportare qualche passo di noti scienziati per mostrare quanto, dietro ogni loro lavoro, fosse sempre presente la ricerca del bello.
“La natura è semplice e possiede pertanto una grande bellezza” (R. Feynman)
“Sono più importanti alcune equazioni belle che altre che si adattino ai dati sperimentali … poiché le discrepanze possono essere dovute a dettagli secondari che non si sono tenuti in conto nel modo corretto e che saranno chiariti in ulteriori sviluppi della teoria … Sembra che se si lavora con il fine di trovare bellezza nelle equazioni e se realmente si tiene una idea che abbia un senso, ci si trova nel cammino certo per il progresso.” (P. Dirac)
“La fisica è una forma di introspezione e, come tale, è un arte” (D. Böhm)
“Tutti questi lavori sono basati nella fede di un mondo che abbia una struttura completamente armonica. Oggigiorno abbiamo più solide ragioni che mai per non lasciarci distogliere da questo meraviglioso credo. Equazioni di tale complessità come quelle del campo gravitazionale si possono trovare solo attraverso la scoperta di una condizione matematica logicamente semplice.” (A. Einstein)
“La bellezza delle leggi della fisica si trova nella fantastica semplicità che adottano … Qual è il meccanismo matematico definitivo dietro di esse? Deve essere sicuramente il più bello che si possa immaginare.” (J. Wheeler)
Si potrebbe continuare e scoprire meraviglie di grandi poesie scritte da grandi scienziati. Ma…, purtroppo c’è un ma. Kant aveva detto, alla fine del Settecento, che quei rami della conoscenza che non si servono degli strumenti della fisica-matematica non possono ritenersi vera scienza. Si può anche tornare a Leonardo da Vinci (metà del Quattrocento) per dire la stessa cosa: “Nessuna ricerca dell’uomo può essere chiamata veramente scienza se non può essere dimostrata matematicamente”. Ecco il problema risiede qui. Risiede cioè nel fatto che, per una completa e vera comprensione della bellezza di cui si parla occorre muoversi con agilità nel mondo della matematica. E tutti voi sapete quanto di rifiuto A PRIORI vi sia nell’apprendere tale affascinante disciplina. Dico qui una cosa semplice che ho misurato varie volte in conversazioni con persone di estrazione sociale la più diversa. In ogni salotto ogni astante si vergognerebbe di dire che non conosce Dante o Manzoni o Michelangelo o (più difficile) Prevert … Nello stesso salotto ci si vanta di NON AVER MAI CAPITO LA MATEMATICA! E così, come con quelli che disertano la politica e ti lasciano solo, ad esempio, con la coltivazione di banane avanzatissima nel nostro Paese, allo stesso modo si è soli a godere delle meraviglie di cui prima, ma non solo! Se la vicenda si chiudesse solo sulle soddisfazioni personali, perché disturbare le categorie della conoscenza e dello spirito? Il fatto è che questa non conoscenza generalizzata della matematica impedisce di conoscere, ad esempio, la fisica nucleare, la microbiologia, la genetica, … E chi decide per noi? Abbiamo noi gli strumenti per potere, CON COSCIENZA, scegliere per il bene del prossimo? Io credo, ed il referendum del 1987 sul nucleare in Italia ne è una chiara dimostrazione, che i miei concittadini decidano sulle emozioni e non sui fatti. Credo anche, e qui mi fermo, che la conoscenza sia la porta alla libertà.
Tutto questo discorso l’ ho fatto per far intravedere come questa idea guida della bellezza abbia influenzato gli scienziati nel passato e continui a farlo oggi, in particolare relativamente a quel “mostro” che è la singolarità. Inizio da un esempio che risale alla metà del Settecento.
Secondo la fisica di Newton la materia deve essere intesa come rigida ed assolutamente impenetrabile. Supponiamo ora di lanciare due palle da biliardo l’una contro l’altra. Ad un dato istante vi sarà un urto. Se ci costruiamo un grafico di come varia la forza F al variare della distanza d, scopriamo una cosa che già sappiamo: al momento dell’urto deve esservi una discontinuità, cioè deve nascere istantaneamente una forza repulsiva infinita (è quel punto angoloso in basso nel disegno che è, ritroviamo il mostro, una discontinuità in fisica ed in matematica).

Questa rigidità, ed in particolare quella discontinuità, non piaceva al fisico dalmata J. J. Boscovich (1711 – 1787). La discontinuità si elimina pensando la materia almeno parzialmente penetrabile (pensate che, per quanto non appaia ai nostri occhi, due palle da biliardo si comportano come due palle di gomma: nell’urto l’una schiaccia – entra – un poco l’altra ed è proprio l’elasticità del sistema che fa rinculare le palle). Questa concezione, che nasce solo da considerazioni euristiche, comporta un grafico che elimina la discontinuità:

E noi oggi sappiamo essere questa una curva di forza per un urto o per il legame tra molecole o … L’intuizione di Boscovich, eminentemente teorica e dettata, apparentemente, solo da motivi euristici, si è affermata.
Un procedimento analogo è stato seguito dal contemporaneo S. W. Hawking, uno dei più famosi studiosi mondiali (insieme a R. Penrose) di buchi neri, cioè di quelle mostruose singolarità.
Il “pregiudizio” porta a ritenere che nell’universo non vi debbano essere discontinuità. Ed una buca di potenziale, come quella di figura è una discontinuità:

Infatti, si vede facilmente che il “potenziale gravitazionale” Ug varia con la distanza r secondo la relazione:

ed alla fine abbiamo un’iperbole equilatera, cioè il prodotto di due variabili uguale ad una costante (intendendo il tutto esteso allo spazio di modo che un ramo di iperbole si deve avere per ogni direzione r dello spazio: in tal modo io ho solo disegnato una sezione del disegno complessivo che in realtà, disegnato nello spazio, sarebbe come una coppa senza fondo). Si vede subito che se r diventa uguale a zero, ci troviamo di fronte ad una espressione non definita, una singolarità, appunto. Questa singolarità, in matematica si descrive così: per r che si avvicina allo zero, Ug tende ad andare verso l’infinito. In fisica la descrizione è diversa nelle conclusioni: per r che si avvicina allo zero, Ug tende a diventare molto grande. Proprio il pregiudizio che ha portato a studiare queste singolarità ha ipotizzato e poi trovato sperimentalmente dei buchi neri: non più qualcosa di non definito ma una realtà fisica da studiare e da tentare di conoscere.
Lo spazio-tempo
Abbiamo già visto che per dare un “punto” (o un “evento”) nello spazio-tempo servono quattro coordinate: tre spaziali ed una temporale. Tanto per esemplificare la differenza tra tempo e spazio-tempo, consideriamo due aerei in uno spazio ordinario, euclideo. Se i due aerei avessero le stesse tre coordinate la cosa sarebbe semplicemente assurda. E’ impossibile che due corpi occupino simultaneamente lo stesso luogo. La stessa cosa, nello spazio-tempo, sarebbe un disastro aereo.
Tentiamo ora una rappresentazione, dapprima semplificata al massimo. La semplificazione consiste nel rappresentare con un solo asse lo spazio che, in realtà, ha le tre dimensioni che conosciamo. In una tale rappresentazione, un punto spazio-temporale o “evento”, sarà un punto ordinario:

Ogni punto di questo spazio-tempo rappresenta un avvenimento istantaneo (un fatto ordinario che avviene in un luogo definito ad un istante preciso, ad esempio, l’accensione di una torcia elettrica). Vediamo invece cosa rappresenta una linea come quella di figura seguente in tale rappresentazione. La linea rappresenta una “traiettoria” di un qualunque oggetto, ad esempio, il lanciare una pallina in aria per lasciarsela ricadere sulla mano. E’ chiamata linea di universo

che è appunto la traiettoria di un oggetto nel mondo a quattro dimensioni dello spazio-tempo. Un esempio visivamente chiaro è quello di Francesca che ad un dato istante (le 12:00) sta studiando; quindi si alza, si allaccia una scarpa e si avvia per incontrare un amico.

Qui sotto, invece, vediamo tre eventi diversi tratti dalla quotidianità: A è un osservatore in riposo; egli incontra prima un signore in motorino B e dopo, in direzione opposta, un automobile C. Alla destra vi è la rappresentazione spazio-temporale di queste semplici cose.

Altro esempio di rappresentazione spazio temporale è quello della rotazione di un pianeta intorno al Sole. Poiché il sole si sposta velocissimamente verso Andromeda, un pianeta nello spazio-tempo non chiude l’orbita che risulta invece essere una spirale:

Da ultimo possiamo vedere nello spazio-tempo l’esemplificazione di un’onda provocata in uno stagno da un sasso lasciato cadere: il piano più in basso è quello che rappresenta il sasso che tocca la superficie dell’acqua, gli altri, al passare del tempo, rappresentano le onde che si dipartono da quel primo punto.

La figura seguente rappresenta ancora tre traiettorie differenti di tre differenti oggetti (A, B, e C); naturalmente ora ci riferiamo a cose qualunque.

La linea tratteggiata rappresenta invece la traiettoria di un segnale luminoso che l’oggetto A lancia verso l’oggetto B (tale linea ha sempre una inclinazione di 45° rispetto agli assi dello spazio e del tempo, se misuriamo il tempo in secondi e lo spazio in secondi luce. Supponiamo, per capire meglio, che l’inizio di A rappresenti Francesca a Roma che si alza dal tavolo e che l’inizio di B rappresenti un evento che avviene allo stesso tempo, come una persona che compra un giornale a Parigi. Se quella linea tratteggiata potesse essere orizzontale vorrebbe dire che, istantaneamente, Francesca saprebbe di quella persona che compra il giornale. E ciò non è possibile perché per conoscere quell’evento occorre almeno un segnale luminoso che informi di cosa è accaduto e tale segnale, come sappiamo, non ha velocità infinita.
La figura che segue, oltre a quanto riportato nella precedente, aggiunge una linea orizzontale che E’ il presente per un dato osservatore, ed una linea obliqua (naturalmente con una inclinazione inferiore a 45° rispetto all’asse dello spazio, per quanto detto prima) che è il presente per un altro osservatore che si muova con una certa velocità rispetto al primo. Per “conoscere” il mondo in tutte le sue articolazioni, servirebbe un suo “spaccato”, cioè una sezione verticale del grafico ora visto.

Tale sezione (che sarebbe il presente per un osservatore in moto a velocità infinita) è però impossibile perché per ottenerla occorrerebbe appunto disporre di una velocità infinita.

Supponiamo ora di avere un oggetto immobile nello spazio-tempo. Ad un dato istante, in un certo punto E, tale

oggetto emetta un lampo di luce verso destra ed un altro verso sinistra.. La luce emessa da E sarà rappresentata da due

rette inclinate di 45° e 135° rispetto all’asse dello spazio. Poiché tutto ciò che in E può accadere ha sempre una velocità inferiore a quella c della luce, allora tutto il futuro di E sta nel triangolo tratteggiato. Mentre il punto E rappresenta

l’unico possibile presente per un osservatore che si trova in E. Allo stesso modo, tutti gli eventi che ci precedono stanno dentro un triangolo compreso tra due rette rappresentanti due lampi di luce inclinati di 225° e 315°

rispettivamente rispetto all’asse dello spazio e tutto il nostro possibile passato si trova dentro il triangolo tratteggiato (mentre E rappresenta sempre l’unico possibile presente.
Assegniamo ora due dimensioni allo spazio. Tutto ciò che abbiamo visto, in un unico disegno diventa (i triangoli si trasformano in coni e le linee diventano dei piani):

Il punto centrale è il presente per un dato osservatore. Il cono in alto è tutto il possibile futuro per questo osservatore, allo stesso modo che il cono in basso rappresenta tutti i possibili passati per lo stesso osservatore (insomma, per arrivare a quel punto si possono esser seguite infinite traiettorie comprese nel cono in basso e, da quel punto, il futuro può essere fatto di tutte le possibili traiettorie comprese nel cono in alto. Il piano orizzontale corrisponde alla retta orizzontale di un osservatore immobile, mentre il piano obliquo rappresenta la situazione di un osservatore in moto rispetto al precedente osservatore. Ciò che non è compreso tra i due coni è al di fuori dell’esperienza possibile dell’osservatore che sta nel punto di unione tra i due coni. Si può semplificare il disegno precedente riducendolo all’essenziale, per renderlo più leggibile: si vedono i coni “passato” e “futuro” con il nostro presente e l’ordine causale

degli eventi: Ad esempio::
– E” non può influire su E e viceversa;
– E può influire su E’;
– E’ non può influire su E;
– E”’ può aver influito su E e potrà influire su E’;
– E non può influire su E”’.
Perse queste relazioni causali potremmo anche uccidere nostra madre provocando la morte del suo feto prima che nasca. Resta comunque da capire cosa vuol dire quel “prima”. Sembrerebbe infatti che, così stando le cose, sarebbe impossibile un viaggio nel passato proprio per i motivi suddetti. E’ invece di interesse notare che la cosa è teoricamente possibile [si veda D. Deutsch ed M. Lockwood: La fisica quantistica del viaggio nel tempo, Le Scienze n° 309 del maggio 1994]. Il fisico Fernando de Felice, che insegna Relatività all’Università di Padova, aggiunge questo commento all’articolo citato:
“Viaggi nel tempo e consistenza causale
II radicarsi di convinzioni preconcette che siano prive di evidenze sperimentali o del supporto logico di una teoria può inibire in modo sensibile lo sviluppo della conoscenza. Una di queste convinzioni è che i viaggi nel passato siano impossibili perché permettono di creare situazioni causalmente inconsistenti. L’esempio più diffuso è quello di un esploratore che si porti nel suo passato fino a incontrare uno dei propri nonni ancora nella sua infanzia e quindi lo uccida o comunque agisca in modo da impedire a se stesso di divenire. Sebbene ovvia e difficilmente confutabile, la contraddizione che emerge da questo argomento è il frutto di una indebita proiezione della nostra esperienza e dell’intuizione comune in una realtà fisica diversa e ancora sconosciuta quale è quella in cui sono possibili viaggi nel passato.
Può accadere infatti che, in presenza di condizioni così estreme, l’esploratore sia nell’impossibilità di compiere azioni che creino paradossi insolubili come quelli che si ottengono troncando la sequenza causale degli eventi. Un risultato in questa direzione, che emerge non come mera congettura, ma come implicazione di un’analisi matematica rigorosa, è stato recentemente ottenuto da Igor Novikov e dai suoi collaboratori presso il Centro di astronomia teorica di Copenhagen (A. Carlini, V. Frolov, M. Mensky, 1. D. Novikov, H. Soleng, «Int. Journ. Theor. Phys.» vol. D4, 1995, p. 557). Essi dimostrano che in una dinamica classica, in cui siano state contemplate traiettorie spazio-temporali chiuse, il ben noto principio di azione estrema, che descrive il comportamento naturale di oggetti fisici, è anche il principio di autoconsistenza, nel senso che esso assicura come possibili solo quelle traiettorie che, pur violando la cronologia (cioè permettono viaggi nel passato), non violano la causalità se non in modo marginale, cioè senza indurre contraddizioni. Tali traiettorie sono dette autoconsistenti. Non è ancora chiaro come l’autoconsistenza di un sistema locale sia imposta dalla struttura globale dello spazio-tempo, cioè come quest’ultima condizioni il comportamento dell’ipotetico osservatore dell’esempio precedente. Possiamo tuttavia supporre che ciò avvenga in modo non dissimile da come le leggi fondamentali della natura ci impediscano di essere diversi da come siamo. Per quanto i progressi summenzionati siano limitati al caso non quantistico e comunque non contemplino tutte le possibili situazioni, essi rappresentano un passo fondamentale verso la scoperta di quella nuova fisica che sembra affiorare, come la punta di un iceberg, nel processo conoscitivo del mondo in cui viviamo. (fdf)“
Mettiamo allora un poco in gioco i coni di luce e diciamo che ogni osservatore dispone di uno di essi.


Naturalmente lasciamo il passato ed il cono che abbiamo di fronte comprende il presente ed il futuro.

Poiché ogni osservatore ha un suo cono di luce, la situazione di tre osservatori, in assenza di gravità è quella mostrata qui sotto:

Se compare la gravità, una massa A (ad esempio una stella) i coni si “inchinano” verso tale massa, poiché la luce è attratta da tale massa (si ricordi l’esperienza di Eddington):

Se la gravità è molto intensa i coni di luce si inchinano ulteriormente fino a che, da un certo punto (raggio di

Schwarzschild), uno dei bordi del cono risulta inclinato secondo la verticale. Dall’interno di tale raggio risulta impossibile comunicare con l’esterno. La luce è ora tirata verso la grande massa che ha a sinistra. Non può uscirne.

E la situazione, vista dall’alto, è quella della figura precedente. In tal caso, quella stella è un buco nero. In quel luogo, di relativamente piccolo volume ma di enorme massa, vi è la singolarità, quel “mostro” che abbiamo già incontrato.
Prima di chiudere con questa chiacchierata assolutamente divulgativa, è utile chiedersi se la deformazione dello spazio è osservabile. La risposta è SI! Vediamone due esempi. Nel primo disegno, a sinistra, vi è un signore dentro un ascensore che lascia cadere due masse. Queste cadono verso il centro della Terra e, nel farlo, si avvicinano tra loro. Analoga situazione nello spazio in cui non agisca la gravità (figurina a destra), prevede una caduta delle due masse parallelamente tra loro, in senso euclideo.

Allo stesso modo si può seguire la deformazione di quattro masse che, dentro un ascensore in caduta, deformano la loro

posizione iniziale a rombo in una figura sempre più schiacciata. Il motivo è evidentemente lo stesso che accennavo prima: durante la caduta verso l’origine della gravità, le masse si attraggono anche tra loro e non seguono quindi traiettorie di tipo euclideo. Non si deforma quindi solo il parallelismo o il rombo, ma l’intera geometria.
====================================================
Ed ora la risposta a quel disegno enigmatico che avevo lasciato in sospeso:

Categorie:Senza categoria
Rispondi