Ingegneria Meccanica – Roma Tre
AA/2011-2012
APPUNTI PER IL CORSO
(Ripresi e sistemati, con differente organizzazione e varie integrazioni, dai testi di bibliografia)
Roberto Renzetti
Bibliografia: R. Renzetti – Vari appunti miei raccolti negli anni – www.fisicamente.blog
EMISSIONE E TRASFORMAZIONE DELLA LUCE DA UN PUNTO DI VISTA EURISTICO (*)
Albert Einstein
(*) Ueber einen die Erzeugung und verwandlung des Lichtes betreffenden heuristischen Gesichtspunkt.
” Annalen der Physik “, vol. 17, 1905, pagg. 132-148.
Tratto dalla traduzione italiana fatta in:
Albert Einstein, Teoria dei quanti di luce, Roma, Newton Compton, 1972
Introduzione
- – Considerazioni su d’una difficoltà riscontrata nella teoria della radiazione di corpo nero
- – Considerazioni sulla definizione di Planck dei quanti elementari –
- – Considerazioni sull’entropia della radiazione
4 – Legge – limite per l’entropia della radiazione monocromatica a bassa densità
5 – Analisi molecolare della relazione tra l’entropia di gas e soluzioni diluite, ed il volume
- 6 – Interpretazione, in base al principio di Boltzmann, dell’equazione esprimente la relazione fra l’entropia di una radiazione monocromatica ed il volume
- 7 – Considerazioni sulla regola di Stokes
- 8 – Emissione di raggi catodici tramite esposizione di corpi solidi 9 – La ionizzazione dei gas tramite luce ultravioletta
Introduzione: Su un punto di vista euristico riguardo all’emissione e trasformazione della luce
Esiste una differenza formale di grande importanza fra le concezioni che sostengono i fisici nei confronti dei gas e degli altri corpi ponderabili e la teoria di Maxwell riguardante i processi elettromagnetici nel cosiddetto vuoto. Mentre possiamo considerare che lo stato di un corpo viene definito con precisione dalle posizioni e velocità di un numero elevato, ma tuttavia finito, di atomi ed elettroni, dobbiamo usare, per definire lo stato elettromagnetico di un certo spazio, funzioni spaziali continue, per cui un numero finito di grandezze non basta più a definire lo stato elettromagnetico di uno spazio. Secondo la teoria di Maxwell l’energia presente in tutti i fenomeni di carattere esclusivamente elettromagnetico (e quindi anche la luce) è da considerarsi una funzione spaziale continua, mentre i fisici moderni concepiscono l’energia di un corpo ponderabile come risultato di una somma sugli atomi ed elettroni. L’energia di un corpo ponderabile non può essere suddivisa in un numero arbitrario di parti piccole a piacere, mentre la teoria di Maxwell sulla luce (e, in generale, qualunque teoria ondulatoria) afferma che l’energia di un raggio luminoso, emesso da una sorgente luminosa, si distribuisce in modo continuo su di un volume sempre crescente.
La teoria ondulatoria della luce, che fa uso di funzioni spaziali continue, si è verificata ottima per quel che riguarda i fenomeni puramente ottici e sembra veramente insostituibile in questo campo. Tuttavia, bisogna tenere presente che le osservazioni ottiche si riferiscono a valori medi nel tempo e non a valori momentanei; sebbene abbiano trovato assoluta conferma la teoria della diffrazione, della riflessione, della rifrazione, della dispersione, ecc…, è pensabile che la teoria della luce, fondata su funzioni spaziali continue, possa entrare in conflitto con l’esperienza, qualora venga applicata ai fenomeni di emissione e trasformazione della luce.
Infatti mi sembra che le osservazioni compiutesi sulla radiazione di corpo nero, la fotolumínescenza, l’emissione di raggi catodici tramite luce ultravioletta ed altri gruppi di fenomeni relativi all’emissione ovvero alla trasformazione della luce, risultino molto più comprensibili se vengono considerate in base all’ipotesi che l’energia sia distribuita nello spazio in modo discontinuo. Secondo l’ipotesi che voglio qui proporre, quando un raggio di luce si espande partendo da un punto, l’energia non si distribuisce su volumi sempre più grandi, bensì rimane costituita da un numero finito di quanti di energia localizzati nello spazio e che si muovono senza suddividersi, e che non possono essere assorbiti od emessi parzialmente.
Nelle pagine successive, intendo spiegare il ragionamento ed i fatti che mi hanno spinto su questa strada, nella speranza che il punto di vista da me difeso possa risultare utile.
1 – Considerazioni su d’una difficoltà riscontrata nella teoria della radiazione di corpo nero
Analizziamo, in base alla teoria di Maxwell ed in base alla teoria degli elettroni, il seguente caso. Supponiamo che sia presente, in uno spazio circondato da pareti completamente riflettenti, un certo numero di molecole gassose e di elettroni che possono muoversi liberamente e che esercitano una forza conservativa gli uni su gli altri quando si avvicinano, cioè quando possono venire ad urtarsi (1), come lo afferma la teoria cinetica dei gas nei confronti delle molecole gassose. Un certo altro numero di elettroni sia poi vincolato in punti molto distanziati l’uno dall’altro da forze dirette verso quei punti e proporzionali alle elongazioni. Anche questi elettroni entreranno in conservativa con le molecole e gli elettroni liberi quando questi si avvicineranno loro. Chiamiamo gli elettroni vincolati: ” oscillatori “; emettono onde elettromagnetiche di un certo periodo ed assorbono onde dello stesso tipo.
Secondo la concezione dell’emissione della luce, la radiazione che si trova nello spazio considerato, che si calcola in base alla teoria di Maxwell nel caso di equilibrio dinamico, dovrebbe identificarsi con la ” radiazione di corpo nero ” – per lo meno quando oscillatori di tutte le frequenze che ci interessano, vengano considerati esistenti.
Lasciamo, per ora, la questione della radiazione emessa e assorbita dagli oscillatori, per analizzare la condizione necessaria per ottenere un equilibrio dinamico corrispondente all’interazione (urto) di molecole ed elettroni. La teoria cinetica dei gas afferma che per tale equilibrio la forza viva media di un elettrone oscillatore deve essere uguale all’energia cinetica media del moto di una molecola gassosa. Se scomponiamo il moto dell’elettrone oscillatore in tre moti oscillatori, perpendicolari fra di loro, troviamo che il valore medio E dell’energia di un tale moto oscillatorio lineare corrisponde a

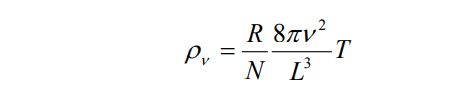
dove R è la costante assoluta del gas, N il numero di “molecole vere” in un grammo- equivalente, e T la temperatura assoluta. In effetti, a causa dell’equivalenza del valore medio nel tempo dell’energia cinetica e potenziale dell’oscillatore, l’energia E è uguale a 2/3 della forza viva di una molecola gassosa monoatomica libera. Se, a causa di un fenomeno qualunque – nel caso nostro un processo di radiazione – l’energia di un oscillatore possiede un valore medio nel tempo più grande oppure più piccolo di E , gli urti con gli elettroni e molecole liberi porteranno ad una perdita di energia verso il gas o rispettivamente ad un acquisto di energia dal gas mediamente non nullo. Nel caso da noi considerato perciò, l’equilibrio dinamico risulta soltantopossibile quando ogni oscillatore possiede l’energia media E .
Faremo adesso un simile ragionamento riguardo all’interazione tra oscillatori e radiazione presente nello spazio. Il Signor Planck ha stabilito (2) per questo caso le condizioni di equilibrio dinamico, basandosi sulla premessa che la radiazione va considerata come un processo il più disordinato possibile (3). Ha trovato che:

En rappresenta l’energia media (per componente di oscillazione) di un oscillatore di auto-frequenza , L la velocità della luce, n la frequenza e
rn dn l’energia per unità di volume di quella parte della radiazione, la cui frequenza di oscillazione è compresa tra n e n + dn.
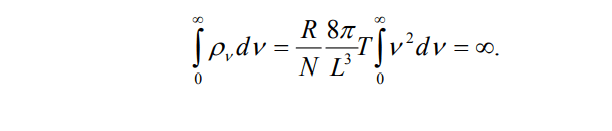
Se l’energia della radiazione di frequenza v non può essere continuamente diminuita o aumentata nel suo insieme, vale allora:


Questa relazione, da noi stabilita in quanto condizione di equilibrio dinamico, non solo non corrisponde affatto all’esperienza, ma, inoltre, conferma il fatto che, qui, non si può parlare di una determinata distribuzione di energia fra etere e materia. Quanto più viene esteso il campo di frequenze ammesso per gli oscillatori, tanto più aumenta l’energia radiante dello spazio; otteniamo al limite:

2 – Considerazioni sulla definizione di Planck dei quanti elementari
Intendiamo dimostrare adesso, che la definizione dei quanti elementari, come è stata formulata dal Signor Planck, è, fino ad un certo punto, indipendente dalla sua teoria sulla radiazione di corpo nero.
Nella formula di Planck (4), che è stata fino ad oggi, per ρn

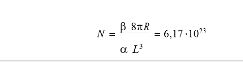
Si osserva che questa formula corrisponde a quella espressa al paragrafo 1, partendo dalla teoria di Maxwell e dalla teoria degli elettroni. Uguagliando i coefficienti di ambedue le relazioni, si ottiene:

oppure

cioè un atomo d’idrogeno pesa 1/N grammi = 1,62.10 –24 g.
Questo risultato rappresenta esattamente il valore trovato dal Signor Planck e tale valore corrisponde in modo soddisfacente ad altri valori trovati per questa grandezza seguendo altre vie.
Siamo arrivati alla conclusione: più sono grandi la densità di energia e la lunghezza d’onda di una radiazione, più i nostri principi teorici risultano utilizzabili; per quel che riguarda piccole lunghezze d’onda e radiazioni poco dense i medesimi principi sono del tutto inutilizzabili.
Da qui in avanti considereremo la “radiazione di corpo nero” in base all’esperienza, senza stabilire nessuna ipotesi teorica nei confronti dell’emissione e della propagazione della radiazione.
3 – Considerazioni sull’entropia della radiazione
Le considerazioni che seguono sono state oggetto di un famoso studio del Signor W. Wien; trovano, nell’ambito di questo lavoro, un loro posto, a causa del mio desiderio di essere esauriente.
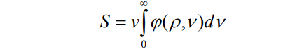
Consideriamo una radiazione che occupi il volume v. Supponiamo che le proprietà osservabili di tale radiazione siano completamente definite quando la densità della radiazione r (ν) sia data per tutte le frequenze (5). Dato che radiazioni di diverse frequenze sono da considerarsi separabili l’una dall’altra senza che sia svolto nessun lavoro o vi sia apporto di calore, l’entropia della radiazione si può esprimere con la seguente relazione

dove φ è una funzione delle variabili ρ e ν. La φ può essere ridotta a funzione di una sola variabile se si suppone che una radiazione rinchiusa tra pareti, riflettenti e sottoposta a compressione adiabatica non subisce trasformazioni di entropia. Ma non intendiamo indagare qui su questo fenomeno; vorremo piuttosto analizzare il modo in cui la funzione φ può essere determinata in base alla legge della “radiazione di corpo nero”.
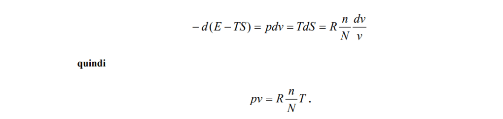
Nel caso della “radiazione di corpo nero”, r è funzione di n in modo che l’entropia è massima per una determinata energia, cioè che


Per un aumento di temperatura dT di una “radiazione di corpo nero” di volume v = 1 vale l’equazione


Questa è la legge della “radiazione di corpo nero”. Partendo dalla funzione
j si può definire la legge della “radiazione di corpo nero ” e, inversamente, si può definire j partendo dalla “radiazione di corpo nero “, tenendo presente il fatto che j si annulla per r = 0.
4 – Legge-limite per l’entropia della radiazione monocromatica a bassa densità
Da quanto osservato finora riguardo alla “radiazione di corpo nero” risulta che la legge stabilita dal Signor W. Wien

Consideriamo adesso una radiazione di energia , la cui frequenza è compresa fra n e
ν + dν. La radiazione riempia un volume v . L’entropia di tale radiazione è:

Questa equazione ci mostra che l’entropia di una radiazione monocromatica di densità abbastanza ridotta varia in funzione del volume, seguendo la stessa legge che vale per l’entropia di un gas ideale o di una soluzione diluita. L’equazione che abbiamo appena stabilita, verrà poi interpretata in base al principio formulato dal Signor Boltzmann, per cui l’entropia di un sistema è funzione della probabilità del suo stato.
5 – Analisi molecolare della relazione tra l’entropia di gas e soluzioni diluite, ed il volume
Calcolando l’entropia in base alla teoria molecolare, il termine “probabilità” viene spesso usato con un significato che non rientra nella definizione data dal calcolo delle probabilità. Ciò vale in particolare quando “casi di uguale probabilità” vengono stabiliti ipoteticamente in casi in cui i concetti teorici applicati sono sufficienti per dare luogo ad una deduzione invece che a una simile determinazione ipotetica. Mi propongo di dimostrare, in un altro studio, che nell’analisi dei processi termici il concetto della cosiddetta “probabilità statistica” è del tutto sufficiente; spero così di rimuovere una difficoltà che ostacola l’approfondimento dei principio di Boltzmann. Qui, però, ci limiteremo a formulare genericamente questo principio e ad applicarlo in casi speciali.
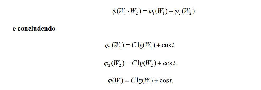
Se ha senso parlare di probabilità dello stato di un sistema, se inoltre si può concepire ogni aumento dell’entropia come passaggio ad uno stato più probabile, allora l’entropia S1 di un sistema è una funzione della probabilità W1 del suo stato istantaneo. Se si presentano due sistemi non interagenti S1 ed S2 , si può porre:

Quest’ultima relazione mette in evidenza il fatto che gli stati dei due sistemi sono fenomeni indipendenti l’uno dall’altro.
Dalle equazioni qui sopra si deduce che:

La grandezza C è quindi una costante universale; come risulta dalla teoria cinetica dei gas, essa ha il valore R/N, dove si deve attribuire alle costanti R e N lo stesso significato adottato più sopra. Se S0 rappresenta l’entropia per lo stato iniziale di un determinato sistema e W la probabilità relativa di uno stato di entropia S, si deduce la seguente relazione generale:

Ci proponiamo adesso di analizzare il seguente caso. Supponiamo un certo numero (n) di punti in moto in un volume v0 (molecole, ad esempio). Oltre a questi, un numero arbitrario di altri punti di qualsiasi natura possono essere presenti in questo spazio. Riguardo alla legge che regola il moto di questi punti nello spazio non presupponiamo altro, a parte il fatto che nessuna frazione di spazio (e nessuna direzione) possa essere distinta dalle altre rispetto a questo moto. Il numero dei punti in moto accennati per primi sia poi così ridotto che si possa trascurare ogni interazione fra questi punti.
Al sistema considerato, che potrebbe essere un gas ideale o una soluzione diluita, corrisponde una determinata entropia S0. Immaginiamo una frazione del volume v0, della grandezza v, e tutti gli n punti in moto siano trasferiti nel volume v senza che avvenga nessun’altra trasformazione nel sistema. Ovviamente, a questo stato corrisponde un altro valore dell’entropia (S); ci proponiamo di determinare la differenza di entropia partendo dal principio di Boltzmann.
Poniamoci la seguente domanda: quale è la probabilità dell’ultimo stato accennato rispetto a quello originale? Oppure: che probabilità esiste, perché si possano trovare concentrati (per caso) nel volume v, in un momento scelto a caso, tutti gli n punti, in moto in un volume v0 ed indipendenti tra di loro?
Per questa probabilità, che è una “probabilità statistica”, si ottiene ovviamente il seguente valore:

È notevole il fatto che, per derivare questa equazione, dalla quale la legge di Boyle-Gay-Lussac e la legge della pressione osmotica possono essere dedotte facilmente con i metodi della termodinamica (6), non si è dovuta formulare alcuna ipotesi sulla legge che regola il moto delle molecole.
5 – Interpretazione, in base al principio di Boltzmann, dell’equazione esprimente la relazione fra l’entropia di una radiazione monocromatica ed il volume
Calcolando l’entropia in base alla teoria molecolare, il termine “probabilità” viene spesso usato con un significato che non rientra nella definizione data dal calcolo delle probabilità. Ciò vale in particolare quando “casi di uguale probabilità” vengono stabiliti ipoteticamente in casi in cui i concetti teorici applicati sono sufficienti per dare luogo ad una deduzione invece che a una simile determinazione ipotetica. Mi propongo di dimostrare, in un altro studio, che nell’analisi dei processi termici il concetto della cosiddetta “probabilità statistica” è del tutto sufficiente; spero così di rimuovere una difficoltà che ostacola l’approfondimento dei principio di Boltzmann. Qui, però, ci limiteremo a formulare genericamente questo principio e ad applicarlo in casi speciali.
Se ha senso parlare di probabilità dello stato di un sistema, se inoltre si può concepire ogni aumento dell’entropia come passaggio ad uno stato più probabile, allora l’entropia S1 di un sistema è una funzione della probabilità W1 del suo stato istantaneo. Se si presentano due sistemi non interagenti S1 ed S2 , si può porre:

Quest’ultima relazione mette in evidenza il fatto che gli stati dei due sistemi sono fenomeni indipendenti l’uno dall’altro.
Dalle equazioni qui sopra si deduce che:

La grandezza C è quindi una costante universale; come risulta dalla teoria cinetica dei gas, essa ha il valore R/N, dove si deve attribuire alle costanti R e N lo stesso significato adottato più sopra. Se S0 rappresenta l’entropia per lo stato iniziale di un determinato sistema e W la probabilità relativa di uno stato di entropia S, si deduce la seguente relazione generale:

Ci proponiamo adesso di analizzare il seguente caso. Supponiamo un certo numero (n) di punti in moto in un volume v0 (molecole, ad esempio). Oltre a questi, un numero arbitrario di altri punti di qualsiasi natura possono essere presenti in questo spazio. Riguardo alla legge che regola il moto di questi punti nello spazio non presupponiamo altro, a parte il fatto che nessuna frazione di spazio (e nessuna direzione) possa essere distinta dalle altre rispetto a questo moto. Il numero dei punti in moto accennati per primi sia poi così ridotto che si possa trascurare ogni interazione fra questi punti.
Al sistema considerato, che potrebbe essere un gas ideale o una soluzione diluita, corrisponde una determinata entropia S0. Immaginiamo una frazione del volume v0, della grandezza v, e tutti gli n punti in moto siano trasferiti nel volume v senza che avvenga nessun’altra trasformazione nel sistema. Ovviamente, a questo stato corrisponde un altro valore dell’entropia (S); ci proponiamo di determinare la differenza di entropia partendo dal principio di Boltzmann.
Poniamoci la seguente domanda: quale è la probabilità dell’ultimo stato accennato rispetto a quello originale? Oppure: che probabilità esiste, perché si possano trovare concentrati (per caso) nel volume v, in un momento scelto a caso, tutti gli n punti, in moto in un volume v0 ed indipendenti tra di loro?
Per questa probabilità, che è una “probabilità statistica”, si ottiene ovviamente il seguente valore:

È notevole il fatto che, per derivare questa equazione, dalla quale la legge di Boyle-Gay-Lussac e la legge della pressione osmotica possono essere dedotte facilmente con i metodi della termodinamica (6), non si è dovuta formulare alcuna ipotesi sulla legge che regola il moto delle molecole.
5 – Interpretazione, in base al principio di Boltzmann, dell’equazione esprimente la relazione fra l’entropia di una radiazione monocromatica ed il volume
Abbiamo trovato al paragrafo 4 la seguente espressione per la relazione tra il volume e l’entropia di una radiazione monocromatica:

Ci proponiamo adesso di analizzare il seguente caso. Supponiamo un certo numero (n) di punti in moto in un volume v0 (molecole, ad esempio). Oltre a questi, un numero arbitrario di altri punti di qualsiasi natura possono essere presenti in questo spazio. Riguardo alla legge che regola il moto di questi punti nello spazio non presupponiamo altro, a parte il fatto che nessuna frazione di spazio (e nessuna direzione) possa essere distinta dalle altre rispetto a questo moto. Il numero dei punti in moto accennati per primi sia poi così ridotto che si possa trascurare ogni interazione fra questi punti.
Al sistema considerato, che potrebbe essere un gas ideale o una soluzione diluita, corrisponde una determinata entropia S0. Immaginiamo una frazione del volume v0, della grandezza v, e tutti gli n punti in moto siano trasferiti nel volume v senza che avvenga nessun’altra trasformazione nel sistema. Ovviamente, a questo stato corrisponde un altro valore dell’entropia (S); ci proponiamo di determinare la differenza di entropia partendo dal principio di Boltzmann.
Poniamoci la seguente domanda: quale è la probabilità dell’ultimo stato accennato rispetto a quello originale? Oppure: che probabilità esiste, perché si possano trovare concentrati (per caso) nel volume v, in un momento scelto a caso, tutti gli n punti, in moto in un volume v0 ed indipendenti tra di loro?
Per questa probabilità, che è una “probabilità statistica”, si ottiene ovviamente il seguente valore:

È notevole il fatto che, per derivare questa equazione, dalla quale la legge di Boyle-Gay-Lussac e la legge della pressione osmotica possono essere dedotte facilmente con i metodi della termodinamica (6), non si è dovuta formulare alcuna ipotesi sulla legge che regola il moto delle molecole.
6 – Interpretazione, in base al principio di Boltzmann, dell’equazione esprimente la relazione fra l’entropia di una radiazione monocromatica ed il volume
Abbiamo trovato al paragrafo 4 la seguente espressione per la relazione tra il volume e l’entropia di una radiazione monocromatica:

arriviamo alla seguente conclusione:
Se la radiazione monocromatica di frequenza n e di energia E è contenuta nel volume v0 (tramite pareti riflettenti), allora la probabilità che tutta l’energia della radiazione si trovi concentrata, ad un certo momento, nella frazione di volume v del volume v0, è:

Quindi si deduce che:
Una radiazione monocromatica di densità ridotta (nei limiti di validità della legge di Wien) si comporta, nell’ambito della termodinamica, come se fosse composta di quanti di energia di grandezza Rbn/N, indipendenti tra di loro.
Intendiamo ancora confrontare, la temperatura essendo identica, la grandezza media dei quanti di energia della “radiazione di corpo nero” con la forza viva media del moto baricentrico di una molecola. Quest’ultima è 3/2.(R/N).T, mentre la grandezza media di un quanto di energia è, in base alla formula della radiazione di Wien:

Se una radiazione monocromatica (di densità sufficientemente ridotta) si comporta, rispetto alla relazione entropia-volume, come un mezzo discontinuo, costituito da quanti di energia della grandezza di Rbn/N, dovremo esaminare l’ipotesi che le leggi di emissione e di trasformazione della luce siano costituite anche loro, come se la luce fosse formata da simili quanti di energia. Cercheremo di rispondere a questa domanda in seguito.
7 Considerazioni sulla regola di Stokes
Supponiamo che una luce monocromatica venga trasformata tramite processo di fotoluminescenza in una luce di frequenza diversa e che, in base ai risultati da noi trovati or ora, la luce emettente e quella emessa siano costituite da quanti di energia di grandezza (R/N)bn, dove n esprime la frequenza considerata. Il processo di trasformazione andrà allora spiegato nel seguente modo. Ogni quanto di energia emettente, di frequenza n1, viene assorbito e porta di per sé – almeno nel caso di densità di distribuzione abbastanza ridotta dei quanti di energia emettenti – alla costituzione di un quanto di energia di frequenza n2; durante il processo di assorbimento del quanto di luce emettente possono eventualmente costituirsi simultaneamente altri quanti di luce di frequenza n3, n4, ecc., così come può svilupparsi energia di natura diversa (termica, ad esempio). La natura dei processi di transizione non incide sul risultato finale. Se la sostanza fotoluminescente non va considerata sorgente continua di energia, l’energia di un quanto di energia non può essere, in base al principio della conservazione dell’energia, più grande di quella di un fotone emettente; sussiste allora la relazione:

Questa è la famosa regola di Stokes.
È da sottolineare qui il fatto che, in caso di debole esposizione, la quantità di luce emessa deve essere, a nostro parere, proporzionale all’intensità luminosa eccitatrice in condizioni normali, poiché ogni quanto di energia eccitatore inizierà un processo elementare del tipo di quello accennato ed indipendente dall’azione degli altri quanti di energia eccitatori. In particolare non vi sarà alcun limite inferiore all’intensità della luce eccitatrice, al di sotto del quale questa non potrebbe più agire e provocare un’emissione.
In base alla nostra rappresentazione del fenomeno, deviazioni rispetto alla regola di Stokes sono pensabili nei seguenti casi:
- se il numero di quanti di energia simultaneamente implicati nel processo di trasformazione è così importante per unità di volume, che un quanto di energia della luce emessa possa ricavare la sua energia da più quanti di energia emettenti;
- se la luce emessa (oppure quella emettente) è di natura energetica tale da non corrispondere ad una “radiazione di corpo nero” nei limiti di validità della legge di Wien, ad esempio quando la luce emettente viene emessa da un corpo a temperatura così alta che la legge di Wien non è più valida, per la lunghezza d’onda considerata.
- Quest’ultima possibilità merita di essere approfondita. Secondo la nostra concezione del problema, non è da escludere la possibilità che una “radiazione non- wieniana”, anche se di densità notevolmente ridotta, si comporti, dal punto di vista energetico, in modo diverso da una “radiazione di corpo nero” che rientri nella sfera di validità della legge di Wien.
- 5 – Emissione di raggi catodici tramite esposizione di corpi solidi
- La consueta concezione, per la quale l’energia della luce si distribuisce in modo continuo nello spazio irradiato, incontra, nel tentativo di spiegare i fenomeni fotoelettrici, notevoli difficoltà, che sono state fatte oggetto di uno studio particolarmente approfondito del Signor Lenard (7).
- Partendo dal principio che la luce eccitatrice è costituita di quanti di energia (R / N) ß v , l’emissione di raggi catodici si può spiegare nel seguente modo. I quanti di energia penetrano nello strato superficiale del corpo e la loro energia si trasforma, in parte almeno, in energia cinetica di elettroni. L’ipotesi più semplice consisterebbe nell’affermare che un quanto di energia trasmette tutta la sua energia ad un unico elettrone; supponiamo che ciò avvenga. Tuttavia, non va esclusa la possibilità che i quanti di energia trasmettano soltanto una parte della loro energia agli elettroni. Un elettrone carico di energia cinetica all’interno del corpo perderà una parte della sua energia cinetica quando raggiungerà la superficie. Inoltre va supposto che ogni elettrone, nell’abbandonare il corpo, debba effettuare un lavoro P (che è caratteristico del corpo considerato). Ad uscire dal corpo con la massima velocità normale saranno gli elettroni eccitati che si trovano direttamente alla sua superficie e che acquistano una velocità normale ad essa. L’energia cinetica di tali elettroni è:

dove E rappresenta la carica di un grammo-equivalente di uno ione monovalente e P’ il potenziale di questa quantità di elettricità negativa rispetto al corpo (8).
Se si pone E = 9,6 . 103, P . 10-8 rappresenterà il potenziale in volt che avrà il corpo in caso di irradiazione nel vuoto.
Al fine di controllare se la relazione da noi derivata è verificata dall’esperienza per quanto concerne il suo ordine di grandezza, poniamo P’ = 0,
n = 1,03 . 1015 (corrispondente al limite dello spettro solare dalla parte dell’ultravioletto) e b = 4,866 . 10-11. Otteniamo P .107 = 4,3 volt, il quale concorda, per quanto riguarda l’ordine di grandezza, con i risultati conseguiti dal Signor Lenard (9).
Se la formula è corretta, P deve essere riportato su assi cartesiani come funzione della frequenza della luce eccitatrice, una retta, la cui inclinazione è indipendente dalla natura della sostanza analizzata.
La nostra concezione non è in contraddizione con quanto afferma Lenard sulle proprietà dell’effetto fotoelettrico da lui osservate. Se, indipendentemente da tutti gli altri, ogni quanto di energia della luce eccitatrice trasmette la sua energia a elettroni, la velocità di distribuzione degli elettroni, cioè la qualità della radiazione catodica emessa, sarà indipendente dall’intensità della luce emettente; d’altra parte il numero degli elettroni che lasciano il corpo sarà proporzionale, a parità delle altre condizioni, all’intensità della luce emettente (10).
Per quanto concerne i presumibili limiti di validità dei principi accennati andrebbero fatte osservazioni simili a quelle riguardanti le presumibili variazioni rispetto alla regola di Stokes.
In precedenza abbiamo supposto che l’energia di una parte almeno dei quanti d’energia della luce emettente veniva trasmessa totalmente ad un elettrone per quanto. Se rifiutiamo questo presupposto otteniamo, invece, dell’equazione formulata in precedenza, la seguente:

Nelle sostanze analizzate dal Signor Lenard è sempre notevolmente più grande di Rbn, poiché la tensione che hanno dovuto subire i raggi catodici per poter emettere luce visibile, ammonta, a seconda dei casi, a centinaia o migliaia di volt (11). È da supporsi che l’energia cinetica di un elettrone viene usata per emettere numerosi quanti di energia luminosa.
9 – La ionizzazione dei gas tramite luce ultravioletta
Nel caso di ionizzazione di un gas tramite luce ultravioletta, dovremo supporre che ciascun quanto di energia luminosa assorbito serva a ionizzare una molecola di gas. Risulta dunque che il lavoro di ionizzazione (cioè il lavoro teoricamente necessario per il processo di ionizzazione) di una molecola non può essere più grande dell’energia di un fotone attivo assorbito. Se rappresentiamo con J il lavoro (teorico) di ionizzazione per grammo-equivalente, otteniamo:

Un limite superiore si ottiene anche partendo dalle tensioni di ionizzazione nei gas rarefatti.
Secondo J. Stark (12), la più piccola tensione di ionizzazione (ad anodi di platino) che sia stata misurata per l’aria è di circa 10 volt (13). Risulta che il limite superiore per J è 9,6 . 1012, il quale risultato coincide quasi con quello trovato qui sopra. Vi è anche un’altra conseguenza, la cui conferma sperimentale mi sembra di grande importanza. Se ogni fotone assorbito ionizza una molecola, deve esistere tra la quantità di luce assorbita L ed il numero j delle grammo-molecole ionizzate da essa la seguente relazione:

Questa relazione deve essere valida, se la nostra ipotesi corrisponde alla realtà, per qualsiasi gas che (alla frequenza considerata) non dimostri assorbimento notevole se non accompagnato da ionizzazione.
Berna, 17 marzo 1905
NOTE
- 1 – Questa ipotesi coincide con l’ipotesi per cui l’energia cinetica media delle molecole gassose è uguale a quella degli elettroni, in caso di equilibrio termico. Basandosi su questa ipotesi, il Signor Drude ha dedotto teoricamente il rapporto fra conduttività termica e potenza elettrica dei metalli.
- 2 – M. Planck, Annalen der Physik, vol. 199, 1900.
- 3 – Questa premessa può venir formulata nel modo seguente. Sviluppiamo la componente Z della forza elettrica (Z), presa in un determinato punto dello spazio tra i tempi limite t = 0 e t = T (dove T esprime un tempo assai grande relativamente a tutti i periodi oscillatori in considerazione), tramite una serie di Fourier

cioè quando la probabilità di ottenere un certo valore di una delle grandezze A o a è indipendente dai valori che possiedono le altre grandezze A o a. Quanto meglio viene realizzata la condizione che le singole paia di grandezze An e an dipendono da processi di emissione ed assorbimento relativi a particolari gruppi di oscillatori, tanto più la radiazione, nel caso da noi analizzato, andrà considerata il più disordinata possibile.
- 4 – Max Planck, Annalen der Physik, vol. 4, pag. 561, 1901.
- 5 – Questa supposizione è arbitraria. Ci terremo naturalmente a questa supposizione semplice, finché l’esperienza non ci costringerà ad abbandonarla.
- 6 – Se E rappresenta l’energia del sistema, otteniamo

- 7 – P. Lenard, Annalen der Physik, vol. 8, 1902, pagg. 169 e 170.
- 8 – Se si suppone che il singolo elettrone debba essere liberato tramite la luce da una molecola neutra, con assorbimento di un certo lavoro, non vi sarà niente da aggiungere alla relazione stabilita; ma P’ sarà da considerarsi somma di due addendi.
- 9 – P. Lenard, Annalen der Physik, vol. 8, 1902, pagg. 165 e 184, Tab. 1, fig. 2.
- 10 – P. Lenard, op. cit., pagg. 150 e 166-168.
- 11 – P.Lenard, Annalen der Physik, vol. 12, 1903, pag. 469.
- 12 – J. Stark, Die Elektrizität in Gasen, Leipzig 1902, pag. 57.
- 13 – All’interno del gas la tensione di ionizzazione per ioni negativi è tuttavia 5 volte più grande.
piccolo di E , gli urti con gli elettroni e molecole liberi porteranno ad una perdita di energia verso il gas o rispettivamente ad un acquisto di energia dal gas mediamente non nullo. Nel caso da noi considerato perciò, l’equilibrio dinamico risulta soltanto
possibile quando ogni oscillatore possiede l’energia media E .
Infatti mi sembra che le osservazioni compiutesi sulla radiazione di corpo nero, la fotolumínescenza, l’emissione di raggi catodici tramite luce ultravioletta ed altri gruppi di fenomeni relativi all’emissione ovvero alla trasformazione della luce, risultino molto più comprensibili se vengono considerate in base all’ipotesi che l’energia sia distribuita nello spazio in modo discontinuo. Secondo l’ipotesi che voglio qui proporre, quando un raggio di luce si espande partendo da un punto, l’energia non si distribuisce su volumi sempre più grandi, bensì rimane costituita da un numero finito di quanti di energia localizzati nello spazio e che si muovono senza suddividersi, e che non possono essere assorbiti od emessi parzialmente.
Nelle pagine successive, intendo spiegare il ragionamento ed i fatti che mi hanno spinto su questa strada, nella speranza che il punto di vista da me difeso possa risultare utile.
1 – Considerazioni su d’una difficoltà riscontrata nella teoria della radiazione di corpo nero
Analizziamo, in base alla teoria di Maxwell ed in base alla teoria degli elettroni, il seguente caso. Supponiamo che sia presente, in uno spazio circondato da pareti completamente riflettenti, un certo numero di molecole gassose e di elettroni che possono muoversi liberamente e che esercitano una forza conservativa gli uni su gli altri quando si avvicinano, cioè quando possono venire ad urtarsi (1), come lo afferma la teoria cinetica dei gas nei confronti delle molecole gassose. Un certo altro numero di elettroni sia poi vincolato in punti molto distanziati l’uno dall’altro da forze dirette verso quei punti e proporzionali alle elongazioni. Anche questi elettroni entreranno in conservativa con le molecole e gli elettroni liberi quando questi si avvicineranno loro. Chiamiamo gli elettroni vincolati: ” oscillatori “; emettono onde elettromagnetiche di un certo periodo ed assorbono onde dello stesso tipo.
Secondo la concezione dell’emissione della luce, la radiazione che si trova nello spazio considerato, che si calcola in base alla teoria di Maxwell nel caso di equilibrio dinamico, dovrebbe identificarsi con la ” radiazione di corpo nero ” – per lo meno quando oscillatori di tutte le frequenze che ci interessano, vengano considerati esistenti.
Lasciamo, per ora, la questione della radiazione emessa e assorbita dagli oscillatori, per analizzare la condizione necessaria per ottenere un equilibrio dinamico corrispondente all’interazione (urto) di molecole ed elettroni. La teoria cinetica dei gas afferma che per tale equilibrio la forza viva media di un elettrone oscillatore deve essere uguale all’energia cinetica media del moto di una molecola gassosa. Se scomponiamo il moto dell’elettrone oscillatore in tre moti oscillatori,
perpendicolari fra di loro, troviamo che il valore medio E dell’energia di un tale moto oscillatorio lineare corrisponde a

dove R è la costante assoluta del gas, N il numero di “molecole vere” in un grammo- equivalente, e T la temperatura assoluta. In effetti, a causa dell’equivalenza del valore medio nel tempo dell’energia cinetica e potenziale dell’oscillatore, l’energia E è uguale a 2/3 della forza viva di una molecola gassosa monoatomica libera. Se, a causa di un fenomeno qualunque – nel caso nostro un processo di radiazione – l’energia di un oscillatore possiede un valore medio nel tempo più grande oppure più
piccolo di E , gli urti con gli elettroni e molecole liberi porteranno ad una perdita di energia verso il gas o rispettivamente ad un acquisto di energia dal gas mediamente non nullo. Nel caso da noi considerato perciò, l’equilibrio dinamico risulta soltanto
possibile quando ogni oscillatore possiede l’energia media E .
Faremo adesso un simile ragionamento riguardo all’interazione tra oscillatori e radiazione presente nello spazio. Il Signor Planck ha stabilito (2) per questo caso le condizioni di equilibrio dinamico, basandosi sulla premessa che la radiazione va considerata come un processo il più disordinato possibile (3). Ha trovato che:
| = r |
L3
En 8pn 2 n
En rappresenta l’energia media (per componente di oscillazione) di un oscillatore di
auto-frequenza , L la velocità della luce, n la frequenza e
rn dn
l’energia per unità di
volume di quella parte della radiazione, la cui frequenza di oscillazione è compresa tra n e n + dn.
Se l’energia della radiazione di frequenza v non può essere continuamente diminuita o aumentata nel suo insieme, vale allora:
piccolo di E , gli urti con gli elettroni e molecole liberi porteranno ad una perdita di energia verso il gas o rispettivamente ad un acquisto di energia dal gas mediamente non nullo. Nel caso da noi considerato perciò, l’equilibrio dinamico risulta soltanto
possibile quando ogni oscillatore possiede l’energia media E .
Faremo adesso un simile ragionamento riguardo all’interazione tra oscillatori e radiazione presente nello spazio. Il Signor Planck ha stabilito (2) per questo caso le condizioni di equilibrio dinamico, basandosi sulla premessa che la radiazione va considerata come un processo il più disordinato possibile (3). Ha trovato che:
Categorie:Senza categoria
Rispondi