LA FISICA NELL’ OTTOCENTO 6B: LA ‘VERIFICA’ SPERIMENTALE DELLA TEORIA DI MAXWELL. I LAVORI DI HERTZ

Roberto Renzetti

PREMESSA

        I lavori di Maxwell avevano lasciato in sospeso alcune questioni di rilevante importanza dalla cui verifica o confutazione sperimentale sarebbero dipese le sorti dell’intera teoria. In particolare, la predizione teorica di esistenza di onde elettromagnetiche propagantesi nello spazio etereo alla velocità della luce diventava uno stimolo fortissimo alla loro ricerca sperimentale. (1) Per altri versi anche la ricerca di quell’etere elettromagnetico, supposto fisicamente esistente proprio perché dotato di proprietà fisiche, diventava una sfida ormai non più eludibile (anche in relazione agli sviluppi dell’ottica dei corpi in movimento).(2)

        Indubbiamente i lavori di Maxwell avevano aperto, in tutta la comunità scientifica, la strada ad una miriade di dibattiti, di elaborazioni teoriche, di imprese sperimentali. Ed al di là della potenza della riflessione teorica che apre ad una portata conoscitiva empiricamente impensabile, è pur vero che su almeno due fatti sperimentali si basava l’intera costruzione teorica di Maxwell: da una parte dall’osservazione di coincidenza della velocità di propagazione della luce con quella delle perturbazioni (onde) elettromagnetiche; dall’altra, dall’effetto di rotazione del piano di polarizzazione della luce indotto da un campo magnetico (effetto Faraday). Ed una prima osservazione che può essere fatta è che la “base sperimentale” a monte delle equazioni di Maxwell riguarda fenomeni ottici.(3) E proprio con esperienze che avevano a che fare con l’ottica si ebbero le prime verifiche sperimentali della sua teoria.

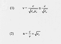
        Una conseguenza immediata della teoria elettromagnetica della luce era lo stabilire una relazione ben precisa tra la costante dielettrica e l’indice di rifrazione di una data sostanza. Maxwell aveva trovato che la velocità v di propagazione delle onde elettromagnetiche in un mezzo isolante (nel quale la permeabilità magnetica relativa è circa uguale ad uno) è data dalla relazione (1)  dalla quale segue la (2). La facile conclusione è che l’indice di rifrazione di una data sostanza è proporzionale alla radice quadrata della sua costante dielettrica relativa.

          Ebbene, proprio poco tempo dopo che Maxwell ebbe pubblicato questo risultato, L. Boltzmann (1873) mostrò sperimentalmente la sua correttezza.

        Riguardo poi all’effetto Faraday, nel 1875, il fisico britannico J. Kerr mostrò sperimentalmente che anche un campo elettrostatico agisce sulla propagazione della luce: alcuni corpi trasparenti, sia solidi che liquidi, se sottoposti ad un campo elettrico acquistano la proprietà della doppia rifrazione (effetto Kerr).

        Ma, al di là di queste conferme, che via via si andavano accumulando a sostegno della teoria elettromagnetica della luce, rimaneva un dubbio di fondo (oltre alle polemiche vere e proprie) e questo dubbio era ben espresso da Kelvin quando sosteneva di non comprendere i ragionamenti di Maxwell e di non capire bene l’utilità della teoria elettromagnetica della luce. Sembrava inoltre ben chiaro che l’insieme delle equazioni di Maxwell andava ben al di là dell’eventuale riconosciuta identità di luce ed onde elettromagnetiche.

        La teoria di campo era certamente stata l’idea conduttrice di tutti i lavori di Faraday, ma quest’ultimo non era stato in grado di portare alcun nesso deduttivo formale che legasse le sue scoperte alle sue teorie e, d’altra parte, nessun esperimento di Faraday poteva essere spiegato in modo univoco a partire dalla teoria di campo. L’unico appiglio poteva essere la teoria ondulatoria della luce, ma quest’ultima era relegata in un capitolo della fisica che nulla aveva a che vedere con la meccanica della materia ordinaria. In ogni caso era possibile accettare tutti i risultati sperimentali di Faraday senza per questo doversi compromettere con l’accettazione della teoria che, in particolare, prevedeva l’abbandono della teoria newtoniana dell’azione istantanea a distanza. Con le elaborazioni di Maxwell non fu più possibile trascurare la teoria di campo ed in ogni caso sarebbe stato necessario confrontarsi con essa per un suo eventuale rigetto.

        Intanto veniva con sempre maggiore chiarezza affermandosi l’idea che luce ed onde elettromagnetiche fossero la stessa cosa, insieme al fatto che il campo elettromagnetico fosse uno stato particolare del mezzo dielettrico che aveva come caso speciale l’etere, inteso allo stesso modo di un dielettrico materiale come, ad esempio, la paraffina o il vetro ( e ciò apriva a possibili confutazioni sul piano sperimentale); quindi rimanevano aperte questioni relative a:

– come interagisce un campo con una carica e con una corrente;

– qual è il campo intorno ad una carica in moto;

– qual è il campo vicino ad una corrente variabile;

– come interagisce il campo con la materia ed in particolare

– come il campo risulta perturbato dal moto della materia nell’etere (supposto dalla teoria) in analogia con le problematiche che si ponevano nell’ottica dei corpi in movimento (il moto della Terra perturba la propagazione della luce ?);

– cos’è una carica (una perturbazione di campo – alla Faraday – o una particella ?).

– Svariati fisici del mondo anglosassone si cimentarono con questi problemi (J.J.Thomson, J.H. Poynting, G.F.Fitzgerald, O.Heaviside) ma non realizzarono passi degni di nota.

HELMHOLTZ

        Nel continente il primo a comprendere l’enorme portata della teoria di Maxwell fu Helmholtz che la elaborerà con modificazioni radicali (4), in un contesto molto più vicino alla fisica newtoniana, reintroducendo l’azione a distanza ma dovendo rinunciare allo spazio vuoto che viene rimpiazzato dall’etere.

        Il nostro, nel 1870, pubblicò una memoria dal titolo Sulle equazioni del movimento dell’elettricità per corpi conduttori in moto. In essa l’autore metteva a confronto le varie teorie elettromagnetiche fino ad allora sviluppate per fornirne una sua, concludendo che sarebbe stato necessario costruire una teoria elettrodinamica in completo accordo con le teorie di Newton, altrimenti si sarebbe rischiato di inficiare la validità di queste ultime. Ed al fine di conseguire il risultato che si prefiggeva egli fece delle ipotesi che così enunciava nell’articolo in oggetto: “si considera che le azioni elettrostatiche ed elettrodinamiche sono pure azioni a distanza, nelle quali il mezzo isolante non subisce né esercita effetti …ciò non ostante, a causa delle scoperte di Faraday, oggi sappiamo che la grande maggioranza dei mezzi materiali è magnetizzabile … La teoria più elementare del diamagnetismo si ottiene supponendo che l’etere luminifero che riempie lo spazio è magnetizzabile, ammetteremo allo stesso tempo (la qual cosa non è improbabile) la possibilità di considerarlo come un dielettrico, nel senso di Faraday.” Sulla base di queste ipotesi egli riuscì a trovare una formula che, in accordo con la meccanica newtoniana, con la conservazione dell’energia e con la teoria di Ampère per correnti chiuse (circuito senza condensatori), forniva nel modo più generale l’equazione del potenziale di un elemento di corrente che agiva su di un altro. La formula dipendeva da un parametro K (che poteva assumere i valori:-1;0,+1) e, a seconda del suo valore, essa sarebbe risultata in accordo, rispettivamente, con la teoria di Weber, di Maxwell, di Neumann.

        Diventava sempre più urgente andare ad indagare che relazione esistesse tra la teoria elettromagnetica e la polarizzazione dei dielettrici. Vari risultati negativi in questo senso convinsero Helmholtz del fatto che, qualunque teoria elettromagnetica, per essere corretta, dovesse tenere conto degli effetti elettromagnetici dei dielettrici: “sembra importante investigare cosa accade della mia legge generalizzata dell’induzione nel caso di mezzi magnetizzabili e dielettricamente polarizzabili.”(5) Ma il non essere riuscito a realizzare nessun esperimento che evidenziasse la possibilità di polarizzare un dielettrico attraverso un campo magnetico lo indusse (1879) a far bandire dall’Accademia delle Scienze di Berlino un concorso che avesse come tema, appunto, il “Trovare per via sperimentale una relazione tra forze elettromagnetiche e polarizzazione dielettrica degli isolanti – cioè , o una forza magnetica esercitata dalle polarizzazioni nei corpi non conduttori, oppure la polarizzazione del non-conduttore come effetto dell’induzione elettromagnetica”;(6) si trattava quindi, come diremmo oggi, di trovare una relazione qualunque tra materia e campo. La soluzione di questo problema avrebbe potuto essere cruciale per scegliere tra le varie teorie elettromagnetiche e quella di Maxwell.

        Come si può ben capire l’esperimento a questo punto avrebbe giocato un ruolo determinante ed in questo senso i lavori di Helmholtz in elettrodinamica non furono tanto importanti in sé, ma in quanto facevano chiarezza sui problemi ed indicavano possibili soluzioni sperimentali.

HERTZ

        Lo stesso Helmholtz avviò Hertz a cimentarsi con questo problema. Ma la questione era delicata e non così conseguente come potrebbe sembrare. Infatti Hertz conosceva inizialmente la teoria di Maxwell come caso limite della teoria di Helmholtz (K = 0); e ciò vuol dire, in poche parole, che non conosceva direttamente l’opera di Maxwell, ma solo l’elaborazione che ne aveva fatto Helmholtz.(7) E certamente ciò fu, da una parte, un grande vantaggio, poiché Hertz comprendeva meglio il contesto in cui si muoveva Helmholtz e quindi era inizialmente in grado di coglierlo in tutta la sua portata, dall’altra, una specie di handicap poiché, come osserva D’Agostino, “nella forma accettata da Helmholtz la teoria di Maxwell sarebbe stata impervia ad ogni verifica di tipo hertziano (rilevamento di onde elettromagnetiche nell’aria) perché, fra l’altro, il fatto che la polarizzabilità dell’aria … è pochissimo differente dall’unità avrebbe reso difficile, secondo la teoria di Helmholtz, un esperimento per rivelare radiazioni elettriche nell’aria. Coerentemente con la sua visione teorica Helmholtz aveva indirizzato Hertz verso un tipo di verifica che consisteva nel rivelare forti correnti di polarizzazione in dielettrici densi, come la paraffina, la pece greca, ecc., che hanno anche una relativamente alta costante dielettrica relativa.”(8) La stessa teoria di Maxwell non avrebbe poi aiutato per nulla Hertz: le esemplificazioni (scarica di un condensatore nel caso di forte smorzamento) ed i conti che si trovavano sul Trattato di Maxwell (sviluppo dell’equazione di un’onda piana che corrisponde ad una sorgente posta all’infinito) erano i meno adatti ad una verifica sperimentale.

        Allora è del tutto evidente che quanto Hertz operò non fu una semplice e lineare “verifica” della teoria di Maxwell. Egli, formatosi in un contesto di scuola continentale, dovette superare sperimentalmente questo contesto, addirittura capovolgendone le premesse, per arrivare a lavorare con dielettrici poco densi come, ad esempio, l’aria e per riuscire a sperimentare nella banda elettromagnetica di frequenze. Il processo fu lungo e travagliato tant’è vero che, quando nel 1879 fu bandito il concorso dell’Accademia di Berlino, Hertz ritenne impossibile arrivare ad una qualche conclusione e per 7 anni abbandonò, almeno pubblicamente, il problema. Anni dopo lo stesso Hertz raccontò(9): “ Ho riflettuto sul problema ed ho cercato di capire quali risultati potevo aspettarmi in condizioni favorevoli utilizzando le oscillazioni delle bottiglie di Leida e dei rocchetti d’induzione aperti. La conclusione che ne ricavai non era certamente quella che io desideravo; a prima vista non ci si doveva aspettare nessun fenomeno nitido ma soltanto un’azione al limite dell’osservabilità. Così, dunque, abbandonai l’idea di lavorare al problema.”

        Nel 1884 Hertz tornò sulla questione per affrontarla da un punto di vista teorico in una memoria dal titolo Relazioni tra le equazioni fondamentali dell’elettrodinamica di Maxwell e le equazioni fondamentali di diverse elettrodinamiche(10). In questo lavoro egli non premise alcuna ipotesi speciale e, in particolare, non postulò alcun etere o alcun meccanismo di trasmissione in esso. Rielaborò quindi le equazioni di Maxwell nel contesto della scuola continentale e, in particolare, con il metodo dei potenziali ritardati introdotto da Riemann e L. Lorenz. Egli formalmente realizzò una generalizzazione della teoria di Neumann riuscendo, alla fine, a ritrovare le equazioni di Maxwell in modo più semplice ed immediato riducendone, tra l’altro, il loro numero da 20 a 9, scrivendole in una feconda forma simmetrica, eliminando da esse i potenziali vettori e scrivendole in forma vettoriale (così come aveva fatto Heaviside in modo indipendente ed al quale Hertz riconobbe la priorità temporale). Questo lavoro permise ad Hertz di intuire la possibilità di verificare la teoria non più nella banda ottica di frequenze (come già accennato e fino ad allora fatto) ma nella banda elettromagnetica, mediante le forze che si esercitano tra due circuiti chiusi percorsi da corrente alternata ad alta frequenza.

LE PRIME ESPERIENZE

        Nel 1886, appunto 7 anni dopo il bando di concorso dell’Accademia, Hertz ritornò sulla questione con una conoscenza più profonda della teoria di Maxwell e con una maggiore pratica sperimentale, soprattutto nel campo delle correnti ad alta frequenza. E se da una parte è vero che Hertz non inventò alcuno strumento, è altrettanto vero che egli seppe utilizzare i più avanzati prodotti che la tecnologia dell’epoca era in grado di offrirgli ed al limite delle possibilità.

        Secondo la teoria di Maxwell una variazione nella polarizzazione di un dielettrico ha gli stessi effetti magnetici di una corrente di conduzione. Ebbene, nel caso della polarizzazione, si ha a che fare con un fenomeno o così rapido o così debole che risulta estremamente difficile poterlo rilevare. Hertz si rese conto che la possibilità di evidenziare il fenomeno poteva risiedere nel “moltiplicarlo” cercando di ottenere successive, rapide e periodiche polarizzazioni e depolarizzazioni.(11) Per ottenere ciò ci si poteva affidare ad una bottiglia di Leida che fornisce appunto una scarica oscillatoria.(12) Una scarica di tali caratteristiche avrebbe potuto originare gli effetti di polarizzazione e depolarizzazione annunciati, mediante un dispositivo schematizzato in figura 1.

        Ad un dato istante la scarica del condensatore (bottiglia di Leida) C va a caricare le placche metalliche A e B. In questo modo il dielettrico D risulta prima polarizzato, quindi depolarizzato ed ancora polarizzato in verso opposto. Se si accetta la teoria di Maxwell ad ogni polarizzazione corrisponde una vera e propria corrente istantanea di spostamento, alla quale dovrà associarsi un campo magnetico con linee di forza concentriche alla direzione della corrente e quindi del campo elettrico (il verso di queste linee di forza cambierà con il cambiamento di verso del campo elettrico). In definitiva, operando in questo modo, si produce un campo elettromagnetico periodicamente variabile e si ha così l’opportunità di vedere come esso agisce sul dielettrico per semplice confronto dell’effetto induttivo con e senza il dielettrico tra le armature A e B.

        Il problema era però proprio di natura strumentale: sarebbe stato possibile disporre di un apparato (bottiglia di Leida, nella prima ipotesi) che generasse oscillazioni così intense e rapide da produrre un effetto induttivo nel dielettrico tale da poter essere evidenziato? Hertz si fece i conti: gli effetti risultavano troppo deboli per poter essere misurati.(13) E fu così che, come già detto, nel 1879 egli fu costretto ad abbandonare l’impresa.

        Cos’era cambiato tra il 1879 ed il 1886 da un punto di vista strumentale? Leggiamo ciò che lo stesso Hertz scriveva nel 1889: (14) “Basandosi sui metodi tradizionali non ci si poteva aspettare alcun aiuto e a sbloccare la situazione doveva sopraggiungere una nuova informazione. Si scoprì allora che, non solo la scarica della bottiglia, ma anche quella di qualsiasi conduttore, sotto certe particolari condizioni, dà origine ad oscillazioni che possono essere molto più brevi di quelle della bottiglia.” Hertz aveva scoperto la possibilità di produrre scariche oscillanti di frequenza molto più elevata ( di circa un fattore 100, con un periodo dell’ordine di 10-5 secondi pari ad una lunghezza d’onda di 3 metri) utilizzando dei rocchetti di induzione (spirali di Riess e Knochenhauer) alimentati da accumulatori.

        Egli montò quindi l’esperienza così com’è schematicamente mostrato in figura 2a, nella quale: R1 rappresenta un rocchetto d’induzione alimentato dall’accumulatore A; B è un circuito di scarica nel quale le sfere C1 e C2 sono due conduttori metallici ivi sistemate per aumentare la capacità dei cavi; K ed R2 costituiscono il circuito secondario su cui viene indotta la corrente generata da R1; M rappresenta uno spinterometro, regolabile mediante una vite micrometrica, sul quale si producono le scintille di scarica. Così scriveva Hertz nella sua memoria del 1887, Sulle oscillazioni elettriche rapidissime, nella quale descriveva i risultati dei suoi primi lavori sperimentali (15): “L’esperienza iniziale è semplice. Un filo di rame piegato secondo un rettangolo costituisce un circuito secondario; esso è tagliato a metà di uno dei due lati da un micrometro a scintille M. Un altro filo conduttore lo collega per uno dei suoi punti P al circuito di scarica [B] di una bobina d’induzione [R1], circuito molto aperto formato da due rami paralleli, posti testa a testa, che portano alle loro estremità delle sfere [C1 e C2] che costituiscono delle capacità e separato da un intervallo regolabile [h] tra cui scoccano le scintille primarie. Quando il punto di giunzione P è posto asimmetricamente rispetto al micrometro M, ogni scintilla primaria genera una scintilla secondaria [fig. 2a]. Ma se esso è al centro del lato opposto al rettangolo [fig. 2b], se la simmetria dei due rami è completa, la scintilla secondaria scompare o quasi: si è al ‘punto di indifferenza’.”

        Riservandoci di tornare tra un istante a questo ‘punto di indifferenza‘, seguiamo ancora quel che scriveva Hertz per illustrare il sistema che aveva utilizzato per rilevare il fenomeno(16): “Poiché le scintille [nel secondario] sono estremamente piccole, di una lunghezza che raggiunge appena il centesimo di millimetro, la loro scarica non impiega neppure un milionesimo di secondo. Sembra impossibile,quasi assurdo, che esse debbano essere visibili, ma in una stanza buia sono visibili ad un osservatore attento.”

        Hertz aveva dunque a disposizione l’apparato sperimentale con il quale avrebbe potuto finalmente affrontare il tema del concorso bandito dall’Accademia di Berlino. Egli ancora si muoveva nell’ambito della verifica sperimentale della teoria elettrodinamica di Helmholtz e per questo dovette passare attraverso varie difficoltà poiché la polarizzazione alla Helmholtz è un qualcosa di diverso dalla corrente di spostamento di Maxwell; in particolare, come già accennato, secondo la teoria di Helmholtz, si trattava di rilevare forti correnti di polarizzazione in dielettrici densi, piuttosto che anche deboli correnti di spostamento in dielettrici a piccola densità come etere o aria.

        E sono proprio gli esperimenti che poco a poco fanno ribaltare in Hertz il suo quadro concettuale, fino a farlo passare dall’adesione alle teorie di Helmholtz all’accettazione della teoria di Maxwell, con un programma sperimentale finalizzato alla rivelazione dei fenomeni indotti, non più nei mezzi densi, ma nell’aria o nell’etere. Ma ritorniamo ai suoi esperimenti servendoci ancora della figura 2.

        Quando ci si trova nelle condizioni di figura 2a (il micrometro a scintilla M posto in posizione asimmetrica rispetto a P) la perturbazione elettrica generata da R1 provoca delle scintille in M. Se ci si trova invece nelle condizioni di figura 2b (M situato simmetricamente rispetto a P) in M non si osservano scintille (che invece continuano numerose nello spinterometro del primario). La spiegazione di ciò è abbastanza semplice: le scintille si originano a causa della differenza di potenziale esistente tra i punti 1 e 2 di M; quando l’oscillazione che arriva alla spira R2 si divide in due cammini di diversa lunghezza (Pabcd2 diverso da P1) per arrivare ad M, allora si ha la scintilla (situazione di figura 2a: c’è una differenza di fase, e quindi di potenziale, tra i punti 1 e 2, fra le oscillazioni che si propagano sui due cammini diversi); quando l’oscillazione che arriva in R2 si divide percorrendo due cammini uguali (Pab1 diverso da Pdc2) per arrivare ad M, allora non si ha scintilla (situazione di figura 2b: non c’è differenza di fase, e quindi di potenziale, tra i punti 1 e 2, fra le oscillazioni che si propagano su cammini di uguale lunghezza).(17)

DIFFICOLTA’ ED UN PRIMO SUCCESSO

        Hertz pensò allora di sfruttare questa proprietà per arrivare a risolvere il problema posto dall’Accademia. Infatti la proprietà di non avere scintille per una particolare disposizione simmetrica del secondario, la proprietà di avere un punto neutro, lo convinse del fatto che le oscillazioni dovessero avere una grande regolarità. Ebbene, si modifica la posizione del punto neutro interponendo un dielettrico in modo opportuno fra le sfere C1 e C2 del primario? Il risultato di questa esperienza avrebbe fornito la soluzione al quesito dell’Accademia.

        Prima di passare a ciò, Hertz volle accertarsi che gli effetti nel primario fossero dovuti essenzialmente al fenomeno dell’autoinduzione piuttosto che a fenomeni di induzione mutua con il secondario. Nel far questo scoprì che si producevano scintille nello spinterometro M del secondario anche quando quest’ultimo non era collegato mediante il conduttore K con il circuito primario; e ciò poteva essere meglio evidenziato aumentando di molto la capacità delle due sfere C1 e C2 (fig. 3a). Egli interpretò il fenomeno, in analogia con quanto Helmholtz aveva fatto nell’acustica, in termini di risonanza mostrando che gli effetti nel secondario dipendevano in modo molto stretto dalle dimensioni di quest’ultimo. Questo fatto risultò di grande importanza per lo sviluppo del programma sperimentale di Hertz: si aveva ora a disposizione uno strumento che, costruito con geometria e dimensioni opportune, avrebbe permesso la rilevazione a distanza nell’aria delle perturbazioni elettromagnetiche originate nel primario.

        Con il dispositivo di figura 3a, modificato come in figura 3b, Hertz risolse un altro dei problemi che era stato proposto da Helmholtz, anche se non immediatamente connesso con il tema del concorso: dimostrò che le correnti aperte (come quella che ‘circola’ tra k ed i) provocano effetti induttivi. Infatti, anche nel caso del montaggio di figura 3b, si osservano scintille in M e queste scintille sono più intense di quelle rilevate con il montaggio di figura 3a; Hertz interpretò il fenomeno come dovuto alla sovrapposizione degli effetti delle oscillazioni che si producevano nel secondario e della corrente aperta del primario.(18)

        Sempre con il dispositivo di figura 3a, modificato come in figura 4, Hertz si accinse all’esperienza il cui risultato gli avrebbe permesso di rispondere al quesito dell’Accademia. I bracci del circuito B di scarica sono ora piegati e terminano sempre con due conduttori C1 e C2 che, questa volta, hanno maggiore capacità e sono modificati a forma di piastre; nello spazio tra C1 e C2 viene posto un dielettrico D molto denso (un pacco di carta, della paraffina, del solfuro di paraffina, … ). Hertz si proponeva di verificare se “le correnti di polarizzazione producono effetti elettromagnetici come le correnti di conduzione”. Si trattava di provare se la presenza del dielettrico producesse una qualche perturbazione nelle correnti indotte nel secondario R2. E si poteva procedere, come già accennato, semplicemente per confronto: andando a valutare la differenza di scintillazione nel secondario quando il dielettrico fosse stato rapidamente tolto. Hertz, in accordo con la teoria di Helmholtz, si aspettava che l’effetto in R2 sarebbe stato maggiore quando il dielettrico D (solfuro di paraffina) era posto tra C1 e C2, poiché, secondo la teoria di Helmholtz, la corrente di spostamento sarebbe stata maggiore nel dielettrico denso che nell’aria, a causa del fatto che il potere induttivo del primo era molto maggiore di quello del secondo. Ebbene, la rimozione rapida del dielettrico non provocava alcun effetto, E con queste parole Hertz descriveva la situazione (19):

L’estate del 1887 trascorse in inutili tentativi di mettere in evidenza l’influenza elettromagnetica degli isolanti, con l’aiuto del nuovo tipo di oscillazioni … L’esperimento falliva sempre per l’invariabile ripresentarsi di forti scintille nel conduttore secondario, cosicché il piccolo effetto – di rafforzamento o indebolimento – prodotto dall’isolante non si lasciava sentire. Poco a poco mi resi conto che, in questo caso, non poteva essere applicata la legge che io avevo supposto alla base del mio esperimento; che, a causa della rapidità del movimento, anche le forze originate da un potenziale sono in grado di produrre scintille nel conduttore quasi chiuso; e, in generale, che, quando si applicano le idee e le leggi generali che sono alla base delle teorie elettriche usuali, bisogna procedere con somma cautela. Tutte queste leggi sono relazionate con situazioni statiche o stazionarie, mentre io stavo in realtà di fronte ad uno stato variabile.

        Il fatto che non si osservassero effetti al secondario, quando nel primario era posto e successivamente rimosso il blocco dielettrico, fu finalmente spiegato da Hertz come un effetto di sovrapposizione: quando non c’è il dielettrico concorrono al processo d’induzione sia le correnti nei fili, sia le cariche statiche presenti sulle placche C1 e C2 e quindi le cose vanno allo stesso modo di quando c’è il dielettrico (in quest’ultimo caso dovendo considerare, invece dell’effetto delle cariche statiche, l’effetto della polarizzazione del blocco dielettrico). Si trattava allora di trovare un qualche arrangiamento sperimentale che permettesse di evitare l’effetto delle forti scariche dovute al campo elettrico tra le placche C1 e C2 del primario. Ed a questo fine Hertz scoprì che, cambiando la posizione del secondario R2 (che possiamo chiamare ‘circuito rivelatore’) su differenti piani dello spazio, era possibile separare la rivelazione degli effetti elettrici da quelli magnetici. Sistemando quindi il rivelatore in modo opportuno, egli andò a studiarsi solo gli effetti magnetici riuscendo, in questo modo, a confrontarli con e senza il dielettrico.

        Finalmente l’esperienza dette i risultati previsti: quando il dielettrico era posto tra C1 e C2 si aveva un effetto nel circuito rivelatore più grande di quello che si aveva quando il dielettrico era rimosso; ponendo successivamente un blocco conduttore al posto del dielettrico ed osservando che si aveva lo stesso effetto nel rivelatore di quello che si aveva con il dielettrico, risultava dimostrato che la corrente dovuta ad una variazione di polarizzazione ha degli effetti uguali ad una normale corrente di conduzione. In questo modo era risolta la prima parte del quesito proposto dall’Accademia: Hertz aveva trovato “ una forza elettromagnetica esercitata dalle polarizzazioni nei corpi non conduttori “. Questo risultato venne comunicato all’Accademia nel novembre del 1887.(20)

LE ESPERIENZE DECISIVE

        Rimaneva da verificare la seconda parte del tema del concorso:” la polarizzazione del non-conduttore come effetto dell’induzione elettromagnetica.” Ma mentre Hertz si accingeva a farlo rifletteva sul lavoro di Helmholtz del 1870. Come lo stesso Hertz raccontò,(21) Helmholtz aveva ricavato la teoria di Maxwell introducendo tre ipotesi fondamentali all’interno della teoria elettromagnetica: le prime due erano quelle che dovevano essere verificate nell’ambito del concorso, mentre la terza consisteva nell’ammettere che, sotto l’aspetto degli effetti che possono produrre, “l’aria e lo spazio vuoto si comportano come tutti gli altri dielettrici.” Osservava allora Hertz che “ mettere alla prova tutte queste ipotesi e stabilire con ciò la fondatezza di tutta la teoria di Maxwell sembrava una richiesta non ragionevole e l’Accademia si era quindi contentata della conferma di una delle prime due.”(22) La dimostrazione delle prime due ipotesi avrebbe al massimo verificato una sola parte della teoria infatti, come osservava Hertz,(20) “ il punto cruciale della nuova teoria non stava nelle conseguenze delle prime due ipotesi. Se si dimostrava che erano corrette per un qualunque isolante, ne sarebbe discesa come conseguenza che il tipo di onde predette da Maxwell potevano propagarsi in esso, con una velocità finita che potrebbe essere forse molto diversa da quella della luce. Mi convinsi che la terza ipotesi raccoglieva in sé l’essenza e particolare importanza della teoria di Faraday e, pertanto, di quella di Maxwell, e che valeva la pena porsela come obbiettivo. Non riuscivo a vedere il modo di provare separatamente la prima e la seconda ipotesi nell’aria [o nel vuoto]; ma ambedue sarebbero state provate simultaneamente se riuscivo a dimostrare l’esistenza di onde che si propagano nell’aria con velocità finita.”(23)

        C’è da notare che questo programma di ricerca era probabilmente relazionato con quanto Hertz aveva osservato ‘di passaggio’ nel condurre le esperienze precedenti. Come egli diceva:(24) “ Il fatto che più mi sorprese era il continuo aumento della distanza a cui l’azione era rilevabile; fino allora l’idea corrente era che le forze elettriche diminuivano secondo la legge di Newton, e pertanto tendevano rapidamente a zero con l’aumentare della distanza.”

        Ed è proprio da qui che procede l’idea che condusse Hertz a realizzare le esperienze successive. Egli aveva osservato azioni fino a 12 metri di distanza dal primario; nel caso vi fossero state delle onde, “in questo raggio la fase del movimento avrebbe dovuto subire più di una inversione; si trattava solo di rilevare e provare queste inversioni.”(25) Si trattava cioè di provare la presenza di ventri e nodi.

        Per far ciò Hertz ideò (1888) un’esperienza con la quale si proponeva di confrontare la velocità di propagazione di una perturbazione elettromagnetica e nell’aria e in un cavo.(26) L’esperienza consisteva nel creare una perturbazione elettromagnetica con il solito metodo del rocchetto primario d’induzione; questa perturbazione si sarebbe propagata nell’aria così come Hertz aveva scoperto, ebbene, mediante il dispositivo mostrato in figura 5a (si osservi che le figure 5a e 5b mostrano una stessa situazione da due punti di osservazione differenti), si poteva confrontare la velocità della perturbazione che si propagava nell’aria e di quella che, simultaneamente immessa, si propagava in un cavo (tagliato ad una certa distanza dalla sorgente per motivi che ora vedremo). Per rilevare gli effetti del fenomeno, si poteva ancora usare il rivelatore a scintille precedentemente ideato da Hertz (fig. 5c). L’aggiunta della placca C1’ serve per il collegamento del cavo (accoppiamento capacitivo) e quest’ultimo è tagliato affinché l’onda che in esso viaggia possa riflettersi all’estremità del cavo (fatto già accertato a partire dai lavori di Weber e Kohlausch), interferire con l’onda entrante e quindi produrre, nel cavo stesso, un’onda stazionaria.

        La chiave dell’esperienza è la seguente: se l’onda che si propaga nell’aria ha la stessa velocità (finita) di quella che si propaga nel cavo, così come previsto dalla teoria di Maxwell, le due onde (o meglio: i due campi) interferiranno in modo che si sommeranno ed annulleranno allo stesso modo lungo tutto il cavo; se però la perturbazione che si propaga nell’aria ha velocità infinita (azione a distanza), non si avrà interferenza e l’onda risultante avrà la stessa periodicità dell’onda che viaggia nel cavo e quindi cambierà di segno ogni semilunghezza d’onda (si formerà una specie di onda stazionaria).(27) In definitiva se si osservava una inversione di fase ogni semilunghezza d’onda, la teoria di Maxwell non funzionava; se invece la fase rimaneva costante lungo tutto il cavo, l’onda si propagava con velocità finita anche nell’aria (e quindi nel vuoto o etere) e la teoria di Maxwell risultava confermata.

        Era il rivelatore che, spostato adeguatamente nello spazio,(28) avrebbe permesso, a partire dalle variazioni nella scintillazione, di individuare i ventri ed i nodi e quindi determinare la fase dell’onda risultante.

        Dai risultati di questa esperienza Hertz rimase dapprima scoraggiato: l’onda risultante cambiava di segno non alla distanza prevista di una semilunghezza d’onda, ma ad una distanza circa due volte e mezza superiore; inoltre questo cambio di segno non si ripeteva a distanze regolari, risultando più frequente nelle vicinanze dell’oscillatore. Sembrava comunque evidente, nell’interpretazione di Hertz, la presenza di onde elettromagnetiche propagantesi nell’aria a velocità finita, anche se superiore a quella della luce; e sembrava anche che questi risultati non fossero in accordo con nessuna delle teorie elettromagnetiche fino ad allora sviluppate. Riguardo alla prima questione (onde che si propagano nell’aria a velocità superiore a quella della luce), essa nasceva da un banale errore di calcolo nel periodo di oscillazione del primario (l’errore fu corretto nel 1890 da H. Poincaré);(29) La soluzione della seconda questione (disaccordo con tutte le teorie elettromagnetiche) fu intuita da Hertz quando si rese conto che le onde che si propagavano nell’aria, in accordo con la teoria di Maxwell, si riflettevano sugli oggetti, specialmente se metallici, presenti nel laboratorio.(30)

        Scriveva Hertz: “ mentre ricercavo l’azione delle mie oscillazioni primarie a grandi distanze, osservai qualcosa come la formazione di ombre dietro le masse conduttrici [presenti nel laboratorio], la qual cosa non mi causò una gran sorpresa. Poco dopo credetti di vedere un rafforzamento molto peculiare dell’azione di fronte a queste masse che formavano ombre e anche alle pareti della stanza. La prima idea che mi formai era che questo rafforzamento potesse provenire da una specie di riflessione della forza elettrica sulle masse conduttrici; però, non ostante avessi familiarità con la teoria di Maxwell l’idea mi sembrava quasi inammissibile, tanto essa contrastava con le concezioni allora correnti sulla natura della forza elettrica. Senza incertezze, dopo aver stabilito con sicurezza l’esistenza delle onde, tornai alla spiegazione che all’inizio avevo rifiutato.”(31)

        E’ così che Hertz iniziò una nuova serie di esperienze (1888) con le quali, avendo perfezionato la sua strumentazione, riuscì a dimostrare che per le onde elettromagnetiche valgono tutte le leggi dell’ottica: riflessione, rifrazione, propagazione rettilinea, polarizzazione, trasversalità delle vibrazioni, … (32) E’ importante notare che questa volta Hertz eseguì le sue misure di lunghezza d’onda direttamente nell’aria ed indipendentemente dal cavo che aveva usato in precedenza; inoltre egli assunse che la velocità delle onde nell’aria fosse uguale a quella della luce.

        A questo punto nessuno più poteva mettere in dubbio l’esistenza delle onde elettromagnetiche, della loro propagazione a velocità finita e mediante azione a contatto. La teoria di Maxwell si poneva ormai come base consolidata dell’elettromagnetismo e dell’ottica.(33)

I LAVORI TEORICI DI HERTZ

        Ma hertz non si fermò qui. Egli proseguì i suoi lavori con tre memorie di contenuto teorico (34) nelle quali cercò di precisare e sistematizzare le sue idee nel nuovo contesto teorico e sperimentale, “ in accordo con la teoria di Maxwell” alla luce però di una nuova reinterpretazione di essa.

        E’ interessante notare come ancora Hertz veda Maxwell con gli occhi di Helmholtz. Molte delle critiche che egli rivolgeva a Maxwell discendevano infatti , come già detto, dall’avere Hertz studiato l’opera del fisico britannico soprattutto attraverso i lavori di Helmholtz e, comunque, non oltre il Trattato dello stesso Maxwell. In ogni caso Hertz, nella prima di queste tre memorie teoriche, “ Le forze delle oscillazioni elettriche, trattate in accordo con la teoria di Maxwell “, con un metodo che discendeva dai già utilizzati lavori di Riemann e L. Lorenz detto dei potenziali ritardati, ricavò di nuovo le equazioni di Maxwell a partire, questa volta, dallo studio dell’irraggiamento del suo oscillatore rettilineo (che gli serviva da sorgente del campo). Egli ottenne come risultato le equazioni di Maxwell scritte nella stessa forma e con gli stessi simboli della sua ancora precedente memoria teorica, quella del 1884.(35)

        Nella seconda di queste memorie, “ Sulle equazioni fondamentali dell’elettrodinamica dei corpi in riposo “, egli sviluppò una critica al modo con cui Maxwell aveva ricavato le sue equazioni. Così scriveva Hertz:(36)

 Maxwell inizia con il postulare un’azione a distanza diretta e a ricercare le leggi con cui l’ipotetica polarizzazione dell’etere dielettrico dovrebbe variare sotto l’azione di queste forze(37) e conclude affermando che, non ostante la polarizzazione segua effettivamente questa legge, non è in realtà necessario che essa sia influenzata dall’azione a distanza.(38) Questo procedimento lascia dietro di sé una certa insoddisfazione e porta alla conclusione che vi deve essere qualcosa di errato o nel risultato finale o nel procedimento mediante il quale lo si raggiunge. Un altro effetto di questo modo di procedere è che nelle formule sono mantenuti un certo numero di concetti superflui, ed in un certo senso rudimentali che solo avevano il loro proprio significato nella vecchia teoria dell’azione a distanza. “(39)

        Hertz passò allora ad affermare che nelle equazioni che descrivono i fenomeni elettromagnetici debbono comparire solo “ grandezze osservabili e non grandezze che sono soltanto utili per il calcolo “. Poiché le grandezze effettivamente osservabili sono le intensità del campo elettrico E e del campo magnetico H, la carica e la corrente, egli passò di nuovo a riscrivere le equazioni di Maxwell in termini di queste grandezze ‘osservabili’ eliminando i potenziali, vettori e scalari, che comparivano nella formulazione di Maxwell, perché non osservabili.(40)

        Altro fatto di rilevante importanza ed interesse (41) è che Hertz, sempre nel ricavare le equazioni di Maxwell, rinunciò deliberatamente ad una qualsiasi spiegazione meccanicistica. Così Hertz presentava la situazione:(42)

“ Dopo aver trovato queste equazioni non sembra più utile dedurle (in accordo con il processo storico) da ipotesi sulla costituzione elettrica o magnetica dell’etere e sulla natura delle forze agenti – essendo tutte queste cose completamente ignote. Piuttosto è utile partire da queste equazioni in cerca di tali ulteriori congetture sulla costituzione dell’etere.” E’ dunque un processo di assiomatizzazione quello che vedeva impegnato Hertz ed egli era anche cosciente che la cosa poteva non risultare gradita: (43)

 E’ vero che in conseguenza di questi tentativi la teoria acquista un’apparenza molto astratta ed incolore … Non è particolarmente soddisfacente veder presentare delle equazioni come risultati diretti dell’osservazione e dell’esperimento laddove usavamo ricevere lunghe deduzioni matematiche quali prove apparenti di esse … Se desideriamo dare più colore alla teoria, non vi è nulla che ci impedisca di aggiungere tutto ciò e di aiutare le nostre facoltà d’immaginazione con rappresentazioni concrete delle varie concezioni circa la natura della polarizzazione elettrica, della corrente elettrica, ecc. Ma il rigore scientifico ci richiede di non confondere in alcun modo la semplice e modesta immagine, qule ci è presentata dalla natura, con l’abito vivace che usiamo per rivestirla. “ In definitiva: basta con le interpretazioni meccanicistiche; il nocciolo di una qualunque teoria scientifica risiede soltanto nel suo contenuto verificabile sperimentalmente. Per questo alla domanda che Hertz si pone sul “ cos’è la teoria di Maxwell ? “, lo stesso Hertz non trova altra risposta che “ la teoria di Maxwell è il sistema delle equazioni di Maxwell “. Sono le equazioni di Maxwell verificabili e non l’impalcatura meccanicistica che le ha fatte ricavare. Ed alla base del suo modo di ritrovare le equazioni in oggetto Hertz pone “ le polarizzazioni come le sole cose realmente presenti, che sono la causa dei movimenti dei corpi ponderabili, e di tutti i fenomeni che producono i cambiamenti da noi percepibili in questi corpi. “(44)

        Come osserva D’Agostino,(45) : “nella vecchia elettrodinamica … sia la forza elettrica (nel vuoto) che la carica, venivano entrambi considerati come concetti primitivi. Ma tale concezione ha, per Hertz, significato ‘solo in quanto sia possibile rimuovere l’etere dallo spazio senza, con ciò, rimuovere la forza’. Questo è, per lui, l’assunto di fondo, implicito in tutte le teorie dell’azione a distanza. Ma se si accetta come fondamento dell’azione a contatto l’ipotesi che nessuna forza può esistere in assenza di etere allora le posizioni precedenti vanno riviste in quanto contraddittorie … Da ciò segue che non è possibile assumere come concetti primitivi in elettrodinamica la forza nel vuoto e la carica libera (nel vuoto) e poi ricavare mediante la teoria i loro adattamenti, per così dire, all’etere, come faceva Helmholtz. Il ruolo di grandezza primitiva va assegnato alla polarizzazione dell’etere: forza nell’etere e polarizzazione possono diventare ora, per Hertz, … sinonimi.” Tutto ciò significa che Hertz non riusciva più a concepire una distinzione tra materia e forza e tra etere e materia ordinaria: solo il campo è la manifestazione fisica della materia che occupa l’intero spazio; il campo va a prendere il posto dei concetti di carica, corrente e, soprattutto, forza(46) ed il campo è descritto dalla nuova formulazione delle equazioni di Maxwell. Da esse possiamo ricavare, istante per istante e punto per punto, la conoscenza del campo, poiché esse ci dicono come ogni perturbazione si propaghi nello spazio e nel tempo.

        Nell’ultima delle tre memorie teoriche, “ Sulle equazioni fondamentali dell’elettrodinamica dei corpi in movimento “, Hertz tentò di estendere quanto precedentemente trovato, andando a studiare l’influenza che il moto della materia ordinaria e dell’etere ha sui fenomeni elettromagnetici.

        A questo punto però, poiché non c’è più nessuna ragione di distinguere l’etere elettromagnetico da quello ottico, nascevano le prime conseguenze teoriche che non concordavano con i fatti sperimentali dell’ottica dei corpi in movimento (2). Hertz infatti si trovò di fronte alla difficoltà di dover descrivere l’andamento delle linee di forza, ben definite nel caso di un corpo in riposo, nell’eventualità che quello stesso corpo fosse in moto. Ebbene, come lo stesso Hertz sosteneva, queste linee di forza non possono essere intese come realtà distinta dalla materia ordinaria (47); era quindi impossibile pensare di separare materia e campo e conseguentemente assegnare il ruolo di portatore del campo al solo etere. E’ quindi la materia e non lo spazio ad essere portatrice del campo. Nel caso allora di dielettrici in movimento, le possibilità che Hertz intravede sono solo due: o queste linee di forza rimangono legate al dielettrico, seguendolo nella sua traslazione, oppure restano immobili mentre il dielettrico effettua la sua traslazione attraverso di esse. Traducendo questa alternativa in un linguaggio a noi più familiare si può dire che: o si ha trascinamento totale dell’etere oppure esso rimane in riposo.

        Hertz si schierò con la prima possibilità, assumendo che l’etere partecipi completamente al moto dei corpi. Anche se evidenze sperimentali sembravano non confermare questo punto di vista (48) egli lo adottò perché lo riteneva ricavato da fatti sperimentali studiati più a fondo di quelli ottici, quelli elettromagnetici. Inoltre egli respinse la possibilità di un etere stazionario perché, come affermava: (49)

“ se volessimo adattare la nostra teoria a questo punto di vista, dovremmo considerare le condizioni elettromagnetiche dell’etere e della materia ponderabile in ciascun punto dello spazio come se fossero in un certo senso indipendenti le une dalle altre. I fenomeni elettromagnetici nei corpi in movimento dovrebbero quindi appartenere a quella classe di fenomeni che non può essere soddisfacentemente trattata senza l’introduzione di almeno due differenti grandezze per lo stato elettrico e due per lo stato magnetico. “

        Ciò sembrava ad Hertz inaccettabile. Egli assunse, in accordo con Maxwell, che lo stato del sistema materia più etere potesse essere trattato allo stesso modo sia quando esso è fermo sia quando è in moto, poiché, come lo stesso Hertz scriveva, “ l’etere contenuto nei corpi materiali si muove con essi “. Ed in un sistema in moto uniforme le cose si svolgono come se l’etere fosse immobile; ciò vuol dire che è valido il principio di relatività di Galileo.

        Si tratta di un risultato notevole: dell’estensione del principio di relatività all’elettromagnetismo che comporta l’invarianza delle equazioni di Maxwell (scritte, si badi bene, nella forma di Hertz per i corpi in movimento!) per una trasformazione di Galileo. Ci si rende conto della portata di questo risultato se si ricorda che anche le leggi del moto di Newton sono invarianti per una trasformazione di Galileo. Così scriveva Hertz:(50) “ Il nostro metodo di deduzione delle equazioni per i corpi in moto non richiede che il sistema di coordinate usato debba rimanere assolutamente fisso nello spazio. Possiamo quindi,senza mutamenti formali, trasformare le nostre equazioni dal sistema di coordinate scelte inizialmente ad un sistema di coordinate che si muove in qualsiasi modo nello spazio, prendendo a, b, g per rappresentare le componenti della velocità dell’etere in riferimento al nuovo sistema di coordinate … Da ciò segue che il moto assoluto di un sistema rigido di corpi non ha alcun effetto su un qualsiasi processo elettromagnetico svolgentesi al suo interno, purché tutti i corpi in considerazione, compreso l’etere, partecipino realmente al moto. “

        In definitiva, i punti salienti della concezione di Hertz dell’elettrodinamica dei corpi in movimento possono essere ben riassunti con Petruccioli e Tarsitani: (51)

“ a) concezione dei ‘campi’ come ‘cambiamenti di stato’ di un’unica sostanza materiale che può essere dielettrica o conduttrice a seconda del valore di alcune costanti caratteristiche. Etere e materia ponderabile costituiscono ‘modificazioni’ di un’unica sostanza;

b) principio di unità dei campi;

c) rifiuto dell’autonomia del concetto newtoniano di forza;

d) …

e) ipotesi di trascinamento totale dell’etere;

f) conciliazione della teoria di Maxwell con il principio di relatività. “

        A questo livello di elaborazione era giunta la teoria di Hertz. Ma, nonostante l’ampiezza del programma, le importanti novità di carattere metodologico, il risultato ottenuto particolarmente nel conseguimento del punto f, ci volle ben poco a soppiantare questa visione dei problemi: le difficoltà della teoria di Stokes sul trascinamento totale dell’etere si ripresentavano interamente e, in ogni caso, bisognava rendere conto del trascinamento parziale di Fresnel-Fizeau.

        Per parte sua Hertz non ebbe altre possibilità di ricerca: si spense (1894) giovanissimo, a soli 37 anni.

NOTE

(0) Prima di leggere questo lavoro si consiglia di leggere, dello stesso autore, La nascita e la prima affermazione della teoria di campo, La Fisica nella Scuola, …, 2000.

(1) Un’altra delle conseguenze sperimentali delle equazioni di Maxwell riguardava la cosiddetta ‘pressione di radiazione’, Poiché alla luce, come onda elettromagnetica, veniva assegnata una quantità di moto, doveva discendere come conseguenza una pressione che la radiazione esercitava sulla materia. Per approfondire questo aspetto si può vedere R. Renzetti, La pressione della luce, La Fisica nella Scuola, 3, 1991.

(2) Intorno al 1875 la situazione nell’ambito dell’ottica, ed in particolare quella dei corpi in movimento, era la seguente: – la teoria ondulatoria della luce aveva avuto il suo riconoscimento ufficiale. Le misure di velocità della luce di Fizeau avevano corroborato la spiegazione che la stessa teoria ondulatoria dava della rifrazione ammettendo che la luce avesse minore velocità nei mezzi meno densi (contrariamente a quanto ammetteva la teoria corpuscolare). La teoria ondulatoria elaborata da Fresnel – 1818 – con l’ammissione di propagazione della luce per onde trasversali aveva spiegato – almeno al primo ordine di v/c – tutti i fenomeni ottici fino ad allora noti tra cui l’esperienza di Arago – 1810 – che dimostrava la non influenza del moto orbitale della Terra sulla rifrazione della luce proveniente dalle stelle – fatto che risultava in contrasto con la teoria corpuscolare della luce medesima. Per conseguire tale risultato Fresnel aveva dovuto ammettere un trascinamento parziale dell’etere da parte dei corpi in moto all’interno del medesimo. Questo trascinamento doveva dipendere dall’indice di rifrazione n della sostanza attraverso la quale si propaga la luce con una velocità data dalla formula: w = c/n ± v(1 – 1/n2), dove la quantità 1 – 1/n² è il coefficiente di trascinamento dell’etere e v è la velocità di spostamento del mezzo rispetto all’etere immobile (una tale relazione fu verificata sperimentalmente da Fizeau al primo ordine di v/c);

– l’etere, indifferente nella fisica di Newton (questi sembra propendere per una sua esistenza nel sistema solare ma certamente non lo pensa esteso all’infinito), acquista negli anni sempre maggiore importanza sembrando indispensabile sostegno alle ‘vibrazioni della luce’ che ora entravano anche per via elettromagnetica.

– la teoria dell’etere immobile (che qualcuno voleva identificare con lo spazio assoluto di Newton e lo voleva come riferimento assoluto) spiegava bene il fenomeno dell’aberrazione (nel corso di un anno le stelle, osservate dalla Terra, descrivono delle piccole ellissi nella volta celeste; il fenomeno fu scoperto da Bradley nel 1728) ma non riusciva a spiegare una serie di fenomeni diversi tra cui l’esperienza di Arago e quella di Airy (misura della velocità della luce mediante un cannocchiale riempito d’acqua);

–la teoria del trascinamento totale dell’etere (Stokes, 1845) incontrava delle difficoltà nella spiegazione dell’aberrazione e risultava in disaccordo con le misure di Fizeau (misura della velocità della luce in un mezzo trasparente in moto);

-la fusione dell’etere ottico con l’etere elettromagnetico rese sempre più urgente la sua ricerca sperimentale insieme a quella delle sue presunte proprietà e dei suoi rapporti con la materia in moto;

–l’Accademia delle Scienze di Parigi invitava i ricercatori a lavorare in questo senso;

-si andava diffondendo la coscienza che il problema era ormai quello di ricercare effetti del secondo ordine in v/c (e qui ritorniamo alla lettera che Maxwell indirizzò a Todd e che fu pubblicata postuma su Nature nel 1880: in essa Maxwell affermava “ … nei metodi terrestri per la determinazione della velocità della luce, la luce stessa torna indietro sempre lungo la stessa traiettoria, così che la velocità della Terra rispetto all’etere dovrebbe alterare il tempo necessario per il doppio passaggio di una quantità che dipende dal quadrato del rapporto tra la velocità della Terra e quella della luce [effetto del secondo ordine]: il quale è un valore troppo piccolo per poter essere osservato …”);

–di lì a poco lo statunitense Michelson avrebbe realizzato l’esperienza auspicata da Maxwell.

(3) Allo scopo e per le implicazioni connesse si veda anche bibl. 3, pag.231. Si noti che anche la polarizzazione statica dei dielettrici, così come era stata osservata da Faraday, andava a sostegno della teoria di Maxwell.

(4) Lo stesso Helmholtz sosterrà: “Le due teorie [la sua e quella di Maxwell] sono in un certo senso l’una il contrario dell’altra …” (bibl.4, pag. 13, nota 2).

(5) I brani riportati dell’articolo di Helmholtz in oggetto, Uber die Bewegungsgleichungen der Elektricitact fur ruhende leitende Korper sono citati in bibl. 2 , pag. 250.

(6) Si veda l’Introduzione dello stesso Hertz alla sua opera Electric Waves, bibl. 1, pag. 1.

(7) Anche il Maxwell che in seguito fu letto da Hertz, per stessa ammissione di quest’ultimo, gli risultava abbastanza oscuro: “Non sono mai stato sicuro di aver compreso il significato delle sue affermazioni “ (ibidem, pag. 20). Si noti a parte la grande potenzialità che ha l’indeterminatezza logica di una teoria (in questo caso quella di Maxwell).

(8) Bibl. 3, pag. 232.

(9) Bibl. 1, pag. 1.

(10) Uber die Beziehungen Zwischen den Maxwellsuchen electrodynamischen Grundgleichungen und den Grundgleichungen der gegner Elektrodynamik, Wiedemann’s Annalen, 23, 1884,pagg.84-103.

(11) Occorreva disporre di un campo elettrico che variasse con grande frequenza. In questo modo, a maggiore frequenza di variazione del campo elettrico, corrisponde una maggiore frequenza di variazione del campo magnetico concatenato e pertanto una maggiore induzione. Se poi l’intensità del campo elettrico è grande si ottiene un’induzione ancora maggiore e, in definitiva, una maggiore variazione della polarizzazione.

(12) Questo fatto era già stato segnalato da F. Savary nel 1827, da J. Henry nel 1842 e da Helmholtz nella sua famosa memoria del 1847, Uber die Erhaltung der Kraft (Sulla conservazione della forza). Tra il 1853 ed il 1856, Kelvin risolse teoricamente il problema trovando le condizioni di oscillazione, la frequenza e lo smorzamento in funzione della capacità C della bottiglia di Leida, della resistenza R e del coefficiente di autoinduzione L del circuito [la resistenza R minore della radice del rapporto dell’induttanza L e la capacità C]. Tra l’altro Kelvin dimostrò analiticamente che la frequenza  delle oscillazioni di una bottiglia di Leida (la radice del rapporto di L su C) è grandissima (dell’ordine di grandezza dei raggi infrarossi da poco scoperti) anche se più piccola di quella della luce [la frequenza è proporzionale, con costante di proporzionalità che vale ½ p per la radice del prodotto dell’induttanza L per la capacità C].

(13) Le oscillazioni prodotte da una bottiglia di Leida, nel caso migliore, hanno una lunghezza d’onda dell’ordine del chilometro. Era pertanto impossibile che la scarica, con l’energia che può fornire una tale bottiglia, fosse rilevabile alla distanza di 1 chilometro. Inoltre era impossibile misurare la lunghezza di una tale onda all’interno di un piccolo laboratorio.

(14) In una conferenza in cui trattò di Collegamenti tra luce ed elettricità. Bibl. 6, pag.81.

(15) Uber sehr schnelle elektrischen Schwingungen, Wiedemann’s Annalen, 31, 1887, pag. 421. I lavori di Hertz sono raccolti in tre volumi: 1) Gesammelte Werke , Lipsia, 1914; 2) Electric Waves, New York, 1962; 3) The principles of Mechanics, New York, 1956. La memoria del 1884, già citata, è nel volume 1; quella in oggetto (1887) è nel volume 2. La traduzione qui riportata è tratta da bibl. 11, Vol. III, pag. 224.

(16) Dalla conferenza citata in nota 14. Si noti che Hertz si serviva anche di un oculare per osservare le scintille nello spinterometro M.

(17) Si noti che, in accordo con la teoria di Maxwell, la presenza di scintille in M in un caso e l’assenza nell’altro può essere interpretato come conseguenza del fatto che le perturbazioni elettromagnetiche sono dotate di grande regolarità e si propagano con velocità finita.

(18) Nel portare avanti queste sue ricerche Hertz si imbatté nell’effetto fotoelettrico originato dalla presenza di luce ultravioletta nelle scintille del primario. Egli descrisse il fenomeno, che tra l’altro si presentò come una complicazione sperimentale, nella memoria On an Effect of Ultraviolet Light Upon the Electric Discharge, Wiedemann’s Annalen, 31, 1887,pag. 983. Per approfondire questo aspetto vedi: R. Renzetti, Venti anni di effetto fotoelettrico, La Fisica nella Scuola, 3, 1992.

(19) Bibl. 1, pagg. 4-5.

(20) On Electromagnetic Effects Produced by Electrical Disturbances in Insulators, Sitzungsber. d. Berl. Akad. d. Wiss.(10 novembre 1887). Riportata in bibl. 1, pagg. 95-106.

(21) Bibl. 1, pagg. 7 e sgg.

(22) Ibidem. La traduzione di questo brano è tratta da D’Agostino, bibl. 4, pag. 5. Nel seguito mi servirò ancora della traccia suggerita da questa referenza.

(23) Una stimolante discussione sul diverso significato che Hertz ed Helmholtz annettevano alla ‘terza ipotesi’ si trova in bibl. 4, pagg. 5-13 ed in bibl. 5, pagg. 311-321.

(24) Bibl. 1, pag. 6. Si deve notare che fino ad allora Hertz aveva interpretato le scintille che si producevano nel rivelatore come un normale effetto d’induzione alla Faraday. Ma l’induzione agisce a breve distanza! Hertz si rese quindi conto di trovarsi dinanzi ad un fenomeno diverso.

(25) Ibidem, pag. 7.

(26) On the Finite Velocity of Propagation of Electromagnetic Action, Wiedemann’s Annalen, 34, 1888, pag. 551. Riportato in bibl. 1, pagg. 107-123.

(27) Secondo la strumentazione di Hertz il cambiamento di segno si sarebbe dovuto avere ogni 2,8 metri. Si ricordi che già era noto che le onde in un cavo viaggiano con velocità finita.

(28) La tecnica di rivelazione è alquanto complicata e mostra l’alto grado di sofisticazione di questa esperienza. Una descrizione di una tale tecnica si può trovare in bibl. 2, pagg. 272-285.

(29) Serviva il periodo di oscillazione del primario perché Hertz calcolava la velocità dell’onda nel cavo mediante la distanza tra i ventri ed i nodi dell’onda stazionaria (lunghezza d’onda) divisa per il periodo di oscillazione del primario. Si noti che, sempre nel 1890, E. Lecher fece delle misure che fornivano un valore approssimato al 2% di quello della velocità della luce. Nel 1893, a Ginevra, E. Saracin e L. de La Rive mostrarono definitivamente che la velocità delle onde elettromagnetiche nei cavi e nell’aria è la stessa.

(30) Obiezioni sulla liceità dell’intera esperienza furono mosse da L. de La Rive e da Poincaré: gli effetti misurati potevano essere di origine strumentale. Certamente un difetto dell’esperienza stava nel disporre di un primario che forniva oscillazioni fortemente smorzate (a causa, ad esempio, dell’irraggiamento) e quindi non armoniche.

(31) Bibl. 1, pag. 11. Si noti che le riflessioni delle onde, da tempo già osservate da Hertz, erano state da lui trascurate quando si muoveva nel contesto della teoria di Helmholtz.

(32) On Electromagnetic Waves in Air and Their Reflection, Wiedemann’s Annalen, 34, 1888, pag. 610. Riportato in bibl. 1, pagg. 124-136. On Electric Radiation, Wiedemann’s Annalen, 36, 1889, pag. 769. Riportato in bibl. 1, pagg. 172-185.

(33) Occorre notare che tra il 1893 ed il 1896 le esperienze di Hertz furono perfezionate da A. Righi il quale si servì di un oscillatore in grado di produrre onde a frequenza più elevata e quindi più vicina a quella della luce. I risultati dei lavori di Righi furono pubblicati in un’opera il cui titolo è un vero compendio del suo contenuto, L’ottica delle oscillazioni elettriche, 1897.

(34) The Forces of Electric Oscillations, Treated According to Maxwell’s Theory, Wiedemann’s Annalen, 36, 1889, pag. 1. On the Fundamental Equations of Electrodynamics for Bodies at Rest, Wiedemann’s Annalen, 40, 1890, pag. 577. On the Fundamental Equations of Electrodynamics for Moving Bodies, 41, 1890, pag. 369. Tutte queste memorie sono riportate in bibl. 1 rispettivamente alle pagg. 137-159; 195-240; 241-268. Si noti che le elaborazioni teoriche sull’irraggiamento del dipolo rettilineo di Hertz, presenti nella prima di queste tre memorie, serviranno di base per i conti che molti teorici elaboreranno nel futuro. In particolare Planck partì da qui per i suoi studi sull’irraggiamento del corpo nero. Si noti ancora che la provata identità di luce ed onde elettromagnetiche con il fatto che queste ultime si possono produrre con correnti oscillanti, apre a due nuovi problemi:come si produce la luce dagli atomi costituenti i corpi e come fa la luce a trasmettersi attraverso i corpi trasparenti. (35) Si noti che a risultati dello stesso tipo era arrivato G.F. Fitzgerald nel 1883.

(36) Bibl. 1, pag . 195.

(37) Valga questo periodo a conferma di quanto dicevo più su: in realtà questa non era la posizione di Maxwell ma di Helmholtz. Si veda anche quanto sostiene Rosenfeld (bibl.8, pag. 1665) e D’Agostino (bibl.4, pag. 9).

(38) Si noti che assegnare questa posizione a Maxwell significa ammettere che la teoria di Maxwell risulta un caso limite di quella di Helmholtz.

(39) I due esempi che Hertz porta a giustificazione di questa frase sono in bibl. 9, pag. 189. Si osservi comunque che il punto chiave da cui Hertz parte è la polarizzazione del dielettrico.

(40) Agli stessi risultati, come già accennato, era giunto O. Heaviside nel 1885. Si noti che Hertz dimostra anche l’accordo di queste equazioni con la conservazione dell’energia.

(41) Soprattutto per le conseguenze metodologiche che aprirono la strada ai lavori di Einstein.

(42) Bibl. 9, pag. 201. E’ da notare che vengono accantonati tutti i problemi riguardanti la costituzione dell’etere. Quest’ultimo rimane come la sostanza materiale che sostiene il campo; le proprietà fisiche dell’etere permettono di spiegare i fenomeni ottici ed elettromagnetici e potranno dare una spiegazione anche del comportamento della materia ordinaria in fenomeni come l’inerzia e la gravità.

(43) Bibl. 1, pag. 28. La traduzione è tratta da bibl. 7, pagg. 212-213. (44) Ibidem, pag. 25. Ad esempio i campi elettrici nel vuoto sono considerati come polarizzazioni dell’etere e, conseguentemente, la carica elettrica del vuoto è data dallo stato di polarizzazione dell’etere. Ed ancora con la polarizzazione dell’etere si identifica la corrente di spostamento di Maxwell.

(45) Bibl. 4, pag. 10.

(46) Si notino i primi passi in direzione dei lavori di Einstein.

(47) Ciò corrisponde a quanto dicevo qualche riga più su: non c’è distinzione, in Hertz, tra materia e forza.

(48) Si veda nota 2. La possibilità che sembrava più promettente non era né l’una né l’altra delle due che Hertz discute; si trattava invece del trascinamento parziale di Fresnel-Fizeau.

(49) Bibl. 1, pag. 242. Si osservi che la teoria di Hertz dava risultati soddisfacenti nel caso di conduttori in moto; là dove cadeva in difetto era nel caso di dielettrici in moto.

(50) Bibl. 1, pag. 246. La traduzione di questo brano è tratta da bibl. 10, pagg. 89-90. Si noti che il metodo di deduzione di Hertz delle equazioni di Maxwell per i corpi in moto, si serviva del concetto di ‘derivata convettiva’ (ibidem) da lui introdotto per rendere conto degli effetti di variazione del campo magnetico su un conduttore in moto e dovuti allo spazio circostante il conduttore stesso.

(51) Bibl. 10, pagg. 90-91. Occorre sottolineare di nuovo, in relazione al punto f, che la teoria di Hertz può essere applicata solo nell’ipotesi di esistenza di etere e di suo trascinamento totale. Di conseguenza essa non può essere applicata allo spazio vuoto ed indipendentemente da ipotesi sullo stato di quiete o di moto dell’etere medesimo.

BIBLIOGRAFIA

1) H. HERTZ, Electric Waves, Dover, New York (1962).

2) W. BERKSON, Fields of Force, Ediz. in spagnolo Alianza, Madrid (1981).

3) S. D’AGOSTINO, Heinrich Hertz e la verifica della teoria elettromagnetica di Maxwell, Giornale di Fisica, 3, 1974.

4) S. D’AGOSTINO, Hertz e Helmholtz sulle onde elettromagnetiche, Scientia, 106, 1971.

5) S. D’AGOSTINO, Hertz’s Researches on Electromagnetic Waves, Historical Studies in the Physical Sciences, R. Mc Cormmack Ed., 1975.

6) S. D’AGOSTINO, L’elettromagnetismo classico, Sansoni, Firenze (1975).

7) C. DE MARZO, Maxwell e la fisica classica, Laterza, Bari (1978).

8) L. ROSENFELD, The Velocity of Light and the Evolution of Electrodynamics, Supplemento al Nuovo Cimento, Serie X, Vol. IV, 1956.

9) T. HIROSIGE, Origins of Lorentz Theory of Electrons and the Concept of the Electromagnetic Field, Historical Studies in the Physical Sciences, R. Mc Cormmack Ed., 1969.

10) S. PETRUCCIOLI, C. TARSITANI, L’approfondimento della conoscenza fisica dall’affermazione delle concezioni maxwelliane alla relatività speciale (1890-1905), Quaderni di storia e critica della scienza, 4, Domus Galileiana, 1974.

11) AA. VV., Storia generale delle scienze, Casini, 1974.



Categorie:Senza categoria

Rispondi