Roberto Renzetti
La relatività ristretta ha un completo e totale riscontro sperimentale in tutti i campi della fisica non avendo avuto fino ad ora (1983) nessuna confutazione dall’esperienza.
E’ comunque utile fare una breve rassegna delle sue conferme sperimentali, a partire dal postulato di costanza della velocità della luce. (925)
LA COSTANZA DELLA VELOCITA’ DELLA LUCE
La prima evidenza sperimentale della costanza di c fu fornita (1913) dall’astronomo De Sitter mediante l’osservazione delle stelle doppie (figura 70). La luce proveniente sulla Terra da un sistema

Figura 70
binario di stelle, in rotazione intorno al loro baricentro O, dovrebbe comporsi con la velocità
v delle stelle. Dalla posizione 1 la luce dovrebbe arrivare sulla Terra, secondo la composizione di Galileo, con velocità c – v, mentre nella posizione 2 con velocità c + v. Se ciò fosse vero, data la differenza dei tempi d’arrivo della luce da 1 e 2, l’orbita delle due stelle (che nella nostra esemplificazione à supposta circolare) dovrebbe apparire eccentrica. I dati sperimentali non mostrano l’eccentricità in oggetto. Una conclusione possibile è che c sia indipendente dalla velocità della sorgente, in accordo con il secondo postulato di Einstein.
Alcune critiche di Fox (1962) alle conclusioni che abbiamo ora proposto, dettero il via a tutta una nuova serie di esperimenti. Tra questi quello di Alväger (1964) fu riconosciuto, anche dallo stesso Fox, come probante delle conclusioni in oggetto.
Altre conferme della costanza di c vennero dai lavori di Quirino Majorana (1919) che utilizzò sorgenti luminose terrestri e specchi in rapido movimento. E quindi altri innumerevoli lavori tra i quali sono da segnalare quelli di Kennedy e Thorndike (l932) e Farley (1964). Altra notevole esperienza per mostrare che c è una velocità limite è quella di W. Bertozzi (l963).
L’ESPERIENZA DI MICHELSON – MORLEY
Poiché tutti i sistemi inerziali sono equivalenti, non è possibile evidenziare il moto assoluto di uno di essi. Assunta la Terra come sistema inerziale (per il breve tempo necessario a eseguire una misura di una esperienza), se su di essa conduciamo una qualsiasi esperienza, anche supponendo che la Terra sia dotata di un qualunque moto traslatorio (sconosciuto) a velocità costante, il risultato di questa esperienza sarà lo stesso che si misurerà su tutti gli altri sistemi inerziali dotati di moto traslatorio uniforme rispetto alla Terra (principio di relatività).
Ma assumiamo pure che vi sia un etere stazionario. Condotta l’esperienza di Michelson nel riferimento dell’etere immobile, essa dovrà dare evidentemente risultato nullo (poiché la velocità della luce è la stessa in tutte le direzioni di un dato sistema inerziale). In definitiva, nell’ipotesi di bracci uguali e lunghi l , il tempo t necessario affinché la luce percorra un braccio andata e ritorno sarà uguale al tempo t necessario alla luce a percorrere andata e ritorno l’altro braccio. Necessariamente, quindi, la differenza Δt dei tempi sarà uguale a zero.
Ed anche se l’apparecchio viene ruotato di 90°, data la costanza di c in tutte le direzioni, il risultato resterà lo stesso. Se poi l’interferometro ha bracci di lunghezza diversa e, per una data posizione di esso, compaiono frange di interferenza, queste ultime non risulteranno spostate per una rotazione di 90° (e qualunque) dell’intero apparato.
Ebbene, dati questi risultati nel sistema supposto in quiete, il principio di relatività ci garantisce che esattamente gli stessi risultati si avranno in tutti gli altri sistemi inerziali.
L’ESPERIENZA DI FIZEAU
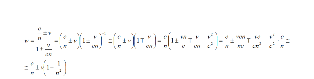
Si tratta di calcolare la composizione delle velocità della luce e di una corrente d’acqua fluente una volta nello stesso verso ed un’altra in verso opposto a quello della luce.
Il dispositivo utilizzato da Fizeau è mostrato in figura 71.

Figura 71
Un raggio di luce monocromatica prodotto dalla sorgente S viene diviso in due dallo specchio semitrasparente P. I due raggi cosi originatisi seguono lo stesso cammino rettangolare ma in direzioni opposte, finché non vanno a ricongiungersi nell’oculare O. Il raggio che cammina in verso orario segue il verso della corrente; quello che si propaga in verso antiorario va controcorrente.
Se v è la velocità della corrente d’acqua e c/n è la velocità della luce nell’acqua, secondo la composizione relativistica delle velocità, per la velocità risultante w si avrà:

dove i segai + e – stanno ad indicare il verso del moto dell’acqua. Utilizzando lo sviluppo del binomio di Newton [si veda la (l8)], e siamo autorizzati a farlo poiché è sempre verificato che v << c, si ha:

avendo trascurato l’ultimo termine del penultimo passaggio poiché contiene termini del secondo ordine in v/c.
Come si vede, questo è il risultato dell’esperienza di Fizeau, contenente il coefficiente di trascinamento di Fresnel (1 – 1/n2).
L’immediata interpretazione che la relatività fornisce di questa esperienza balza immediatamente agli occhi (il conto qui sviluppato fu fatto per la prima volta da Max Von Laue nel 1907).
L’ABERRAZIONE STELLARE
(Seguirò una traccia suggerita da Born)
Supponiamo che una data stella costituisca il nostro sistema S’ in moto con velocità v rispetto alla Terra considerata immobile (sistema S). Nel sistema S’ la luce proveniente dalla stella si propaga lungo l’asse y’ con velocità u’y = c (si veda la figura 72 a). Nel sistena S la velocità uy della luce proveniente dalla stella si compone con la velocità v del riferimento S’ rispetto ad S (si veda la figura 72 b e si osservi che in ambedue le figure i versi degli assi coordinati sono stati invertiti per ragioni di segno da assegnare alle velocità).

Figura 72
Ricordando la (14 bis), dal sistema S si osserva che:
;

dove l è [proiezione del]la lunghezza del cannocchiale e d è il percorso che il cannocchiale fa durante il tempo che la luce impiega ad attraversarlo. Sviluppando la relazione precedente con quanto già trovato, si ha:

Si noti che in quanto abbiamo detto non è necessario supporre la Terra fissa e la stella in moto; per il principio di relatività si può supporre quel che si vuole rispetto al moto relativo. Inoltre sparisce l’effetto del telescopio e conseguentemente si spiega perché l’esperienza di Arago-Airy (telescopio pieno d’acqua) forniva, risultato nullo.
L’EFFETTO DOPPLER
Supponiamo che un’onda luminosa trasversale si propaghi nel vuoto lungo l’asse x’ di un dato riferimento S’ (figura 73). Sia A’ l’ampiezza dell’onda, ν’ la sua frequenza, c la sua velocità ed abbia

Figura 73
equazione:

e poiché A = A’ (per le trasformazioni di Lorentz y = y’) la precedente uguaglianza si riduce alla:

e, sviluppando:

Abbiamo cosi trovato la formula relativistica per l’effetto Doppler. Si noti che, da quanto premesso, ν’ rappresenta la frequenza della sorgente mentre ν la frequenza osservata. Se si confronta la (46) con l’espressione classica, ci si rende conto che quest’ultima è approssimata a termini del primo ordine in v/c e che inoltre, sempre da quest’ultima, sarebbe possibile risalire a riconoscere il moto assoluto o della sorgente o dell’osservatore. Queste difficoltà non si pongono per la (46).
La formula (46) da noi ricavata è comunque valida nel caso in cui vi sia un moto parallelo di allontanamento con velocità v tra sorgente ed osservatore, non interessando in alcun modo quale dei due o se tutti e due si stanno allontanando. Nel caso più generale, in cui le direzioni del moto della
luce e dell’osservatore formino tra loro un certo angolo α , purché si tratti sempre di allontanamento reciproco, la formula relativistica per l’effetto Doppler diventa:


Ma discutiamo ancora la (47) e, a questo punto, la (49) che rappresenta lo stesso fenomeno. Se α = 90°, se cioè le direzioni del moto tra sorgente ed osservatore sono perpendicolari, cosa succede ? Poiché
cos 90° = 0, sia la (47) che la (49) ci dicono che:

Questo è un fatto di grande importanza. E’ la previsione sperimentale di un effetto Doppler trasversale che in nessun caso rientrava nelle formulazioni classiche. Se cioè osserviamo la propagazione di onde elettromagnetiche perpendicolarmente alla direzione del loro moto, misuriamo una frequenza ν più piccola della frequenza ν’ della sorgente. Questo fatto fu previsto da Einstein nel 1907 e fu confermato sperimentalmente da Ives e Stilwell (1938 e 1941) e questa conferma sperimentale, tra l’altro, risultò la prima prova a sostegno della dilatazione del tempo in un riferimento in moto rispetto ad un altro (noi) considerato in quiete. Che cosa vuol dire infatti misurare una frequenza più piccola di quella della sorgente, se non che i fenomeni in quel riferimento risultano rallentati ?
I MUONI
II fenomeno di dilatazione del tempo fu messo in evidenza anche da una importante esperienza che Rossi ed Hall realizzarono nel 1941.
Nelle alte zone dell’atmosfera i raggi cosmici ad alta energia, principalmente protoni, interagiscono con i nuclei degli atomi di gas ivi presenti. Queste interazioni generano dei mesoni veloci (i pioni) che in tempi brevissimi decadono in un altro tipo di mesoni (i muoni ). Queste ultime particelle, dotate di carica, hanno una massa che è circa 200 volte quella dell’elettrone ed hanno una velocità vicina a quella della luce (v ≈ 0,998 c). Dopo un tempo brevissimo i muoni si disintegrano producendo un elettrone,
un neutrino ed un antineutrino. La vita media di questi muoni, misurata quando essi sono (quasi) a riposo è Δt’ = 2.10-6 secondi. Anche viaggiando alla velocità della luce, con questa vita media, un muone prodotto negli alti strati dell’atmosfera potrebbe percorrere un tragitto pari a:
l’ = Δt’.c = 2.10-6.3.108 = 600 m
solo 600 metri.
Ebbene, questi muoni non potrebbero mai raggiungere il livello del mare (almeno classicamente). Eppure una gran quantità di essi raggiunge il livello del mare (questo è il motivo per cui sovente si parla di paradosso dei muoni).
La teoria della relatività rende facilmente conto del fenomeno là dove si utilizzi l’equazione (10bis) sulla dilatazione dei tempi.
Consideriamo al solito due riferimenti: quello S’ solidale con il muone e quello S solidale con noi osservatori che ci troviamo sulla Terra. Su S’ la vita media del muone sarà Δt’ = 2.10-6 sec. Nel nostro riferimento S la vita del muone sarà data dalla (10 bis):

e ciò vuol dire che Δt è 16 volte più grande di Δt’.
Il muone vedrà allora la nostra atmosfera contratta secondo la (11):

e cioè il valore l relativo al percorso del muone che noi osserviamo diventa di 9.600 m, sufficiente a far si che noi possiamo osservare una gran quantità di muoni al livello del mare.
Il ragionamento può anche rovesciarsi. Osservato sperimentalmente che molti muoni arrivano alla superficie del mare, moltiplicando per circa 16 volte il tragitto che dovrebbero percorrere rispetto ad un riferimento solidale con essi, vuol dire che questi muoni viaggiano mediamente ad una velocità pari a 0,998 c.
Esperimenti sulla dilatazione del tempo non più con orologi naturali come i muoni, ma con orologi atomici in volo ad alta quota, sono stati effettuati nel 1971 da Hafele e Keating e nel 1975-1976 da un gruppo di ricercatori dell’Università del Maryland. Ambedue gli esperimenti hanno confermato il fenomeno di dilatazione.
Ora o questi fenomeni di dilatazione del tempo sono perfettamente reciproci se osservati dall’altro riferimento, oppure bisogna negare il principio di relatività (il riferimento nel quale il tempo non si dilata è il riferimento assoluto).
Dico questo perché alcuni fisici, anche importanti, tendono ad assegnare un valore assoluto a tale dilatazione. Occorre, una volta per tutte, ricordare che in tutti questi esperimenti c’è sempre un confronto a riposo degli orologi e quindi la messa in moto di uno di essi. In definitiva si ha sempre a che fare col moto accelerato di uno dei due riferimenti (nel caso dei muoni si ha la decelerazione di essi al momento dell’impatto con il rivelatore e la loro accelerazione nel momento in cui sono creati). Come lo stesso Einstein ha più volte osservato, nessuno ci garantisce che strani fenomeni abbiano luogo proprio nei momenti in cui si ha a che fare con le accelerazioni.
IL PARADOSSO DEI GEMELLI
E’ un paradosso (?) che fu ideato dal fisico francese P. Langevin (l911) sull’onda del paradosso degli orologi ideato dallo stesso Einstein nel suo lavoro del 1905.
Il paradosso consiste in questo.
Uno di due gemelli parte dalla Terra per un viaggio spaziale ad una velocita dell’ordine di grandezza di quella della luce. Dopo qualche tempo, tornato sulla Terra, trova il suo gemello più vecchio di lui. Certo, qualcuno potrebbe dire, egli è stato in viaggio ad una fantastica velocità, per
lui il tempo si è dilatato (è passato più lentamente) e quindi è rimasto più giovane del suo gemello restato sulla Terra. Ed allora, dov’è il paradosso?
Secondo il principio di relatività i due sistemi di riferimento (Terra e razzo) devono poter essere considerati equivalenti ed il razzo che si allontana rispetto alla Terra deve poter essere descritto come Terra che si allontana dal razzo (per altri versi quest’ultima conclusione non è corretta in quanto il razzo, per allontanarsi dalla Terra, deve accelerare). Ed allora, in questa seconda descrizione, è il gemello che si trova sulla Terra che deve mantenersi più giovane. Ciò vuol dire che, in ultima anali-
si, al loro reincontro i due gemelli dovrebbero avere la stessa età.
Per questo si parla di paradosso, perché, secondo svariati e qualificati autori, è proprio il gemello che viaggia in astronave ad invecchiare. Non sono in grado di intervenire autorevolmente in una disputa che dura da più di 80 anni. Posso solo dire che i due sistemi (terra e razzo) sono confrontati a riposo (i due gemelli devono almeno essere nati dalla stessa madre !); i due sistemi dovranno ancora essere confrontati a riposo (al momento del ritorno dell’astronave sulla Terra); si ricordi che quando abbiamo parlato di simultaneità abbiamo escluso la possibilità di sincronizzare due orologi a riposo e quindi di metterne in moto uno (nessuno garantiva che il moto non alterasse il ritmo di quell’orologio); quando un gemello si pone in viaggio accelera per raggiungere la sua folle velocità; lo stesso Einstein
non ha fatto mai confronti di orologi a riposo trasferendoli poi su differenti sistemi inerziali animati di moto rettilineo uniforme l’uno rispetto all’altro; quel gemello in viaggio deve poi decelerare per poggiarsi sulla Terra; egli deve poi essere dotato di un moto accelerato (almeno accelerazione centripeta) durante il viaggio, se vuole girare e tornare sulla Terra. La relatività ristretta parla esclusivamente di sistemi inerziali in moto uniforme e rettilineo gli uni rispetto agli altri; il principio di relatività dice che i fenomeni relativistici devono godere di perfetta reciprocità (se da un riferimento si misura una dilatazione del tempo su un altro riferimento, da quest’ultimo si deve misurare la stessa dilatazione sul primo); la relatività non può pronunciarsi sulla realtà degli effetti di dilatazione o contrazione o, meglio, sulla loro assolutezza (in quest’ultimo caso lo stesso principio di relatività deve essere buttato via); la relatività riguarda solo effetti di misura da un riferimento ad un altro è impossibile ogni confronto a riposo.
Sulla strada comunque di ammettere la non assolutezza degli effetti relativistici: oltre a W. Pauli, .J. Perrin, R. Dugas, A. M. Tonnellat, i nostri Palatini e Straneo. Sembra poi che vi sia un coro di studiosi che affermano la realtà dell’effetto gemelli.
Dal mio punto di vista posso fare solo qualche timida obiezione alla realtà di questo effetto. La Terra torna ad essere un riferimento assoluto rispetto al quale si possono dare dei tempi assoluti ? Che ne è della reciprocità tra i diversi sistemi inerziali ? Supposto, ma non concesso, che Terra e razzo sono due sistemi inerziali, che ne è del principio di relatività ? Non mi sento di ragionare come chi sembra sostenere la realtà dell’effetto perché la schiacciante maggioranza dei trattati di relatività è concorde nel ritenere valida la deduzione dell’effetto dalla teoria. D’altra parte com’è possibile rinunciare a ciò che tutti i fisici quotidianamente ci dicono di dover accettare, oltre ai principi di conservazione, le sacre simmetrie ? Non sarebbe ad esempio possibile rimettere in discussione lo stesso principio di relatività ? Non credo però che quest’ultima soluzione piaccia a chi è uso schierarsi con le schiaccianti maggioranze.
NOTE
(925) Dati più completi si possono trovare in: Sexl, Schmidt – Spaziotempo – Boringhieri, 1980; Cortini –Vedute recenti nell’insegnamento della relatività ristretta – Quaderni del Giornale di Fisica 4, Vol. II, 1977; L.I. Schiff – Experimental Tests of Theories of Relativity – Physics Today, Novembre 1968; N. Calder – L’universo di Einetein -Zanichelli, 1981.
Categorie:Senza categoria
Rispondi