Roberto Renzetti
PREMESSA
Uno dei problemi sempre presenti nelle attività dell’uomo è stato quello di sfruttare al massimo le opportunità che la natura offriva al fine di trarne vantaggio. Tale vantaggio, ridotto all’osso, è sempre stata la possibilità di ottenere lavoro gratis o quasi.
Dapprima si sono sfruttati animali per dare lavoro. Quindi altri uomini (e questo fino ad oggi). Poi le macchine. Successivamente si è sfruttata l’energia: della gravità (idraulica) e del vento. A ben pensare, a posteriori, si coglie che si è sempre avuto a che fare con differenze: differenze di quota (gravità, energia idraulica) e differenze di pressione (vento).
Alla fine del Cinquecento (1593) una prima avvertenza ai limiti di sfruttabilità della natura veniva dal Galileo non ancora copernicano. Nella sua opera “Architettura militare, Trattato di fortificazione, Mecaniche” Galileo sosteneva l’impossibilità di far fessa la natura:
“È impossibile con poca forza alzare grandissimi pesi, ingannando, in un certo modo, con le machine … la natura; istinto della quale, anzi fermissima costituzione, è che nessuna resistenza possa essere superata da forza, che di quella non sia più potente”.
Successivamente, i problemi posti in ambiti abbastanza limitati (necessità del Potente), iniziarono ad imporsi per sopraggiunte esigenze produttive. Si iniziò ad indagare il potere di fornire lavoro da parte del fuoco. All’inizio in modo assolutamente empirico tanto che, forse unico caso in ambito scientifico, le realizzazioni tecniche sopravanzarono, anche di molto, le elaborazioni teoriche che le riguardavano. A lato di patetici sognatori di moti perpetui, alcuni ingegneri iniziarono a pensare macchine che fossero in grado di sfruttare la potenza del fuoco.
E’ da qui che vorrei partire per una storia succinta dei problemi tecnici e teorici delle macchine che furono realizzate intorno alla rivoluzione del vapore, fino al motore a scoppio.
BREVE CRONOLOGIA
Già da molto tempo ci si era resi conto di una singolare asimmetria della natura: da una parte ogni lavoro meccanico si poteva trasformare tutto in calore, dall’altra non c’era verso di trasformare tutto il calore in lavoro meccanico. Sembrava intuitivo legare il calore al lavoro, soprattutto perché ogni volta che si fa del lavoro compare del calore. Che relazione vi è ? Per molto tempo si cercò la relazione finché il conte Rumford, un avventuriero inglese, che fabbricava cannoni per Ludwig, signore di Baviera, non riuscì a cogliere l’essenza del problema. Per farlo, dalle osservazioni empiriche, dovette passare a delle vere e proprie misure. Ogni volta che si doveva forare il cilindro metallico che poi sarebbe diventato la bocca di un cannone, si sviluppava una grandissima quantità di calore che rendeva necessario inserire il cilindro in un recipiente pieno d’acqua durante l’intera trapanazione. Rumford misurò i giri del trapano e da qui il lavoro meccanico fatto; misurò quindi la quantità d’acqua e la sua variazione di temperatura e ne trasse una conclusione fondamentale:
“Il calore che si sviluppa nel processo di foratura del cannone non può essere altro che ciò che noi abbiamo fornito e noi abbiamo fornito movimento“.
Siamo al 1799. Da lì a poco si riuscirono a portare esperienze, riguardanti le relazioni tra lavoro e calore, in laboratorio. Furono, separatamente ed indipendentemente, Mayer (1842) e Joule (1847) a dare delle prime risposte. Oggi diremmo che in un ciclo chiuso vi è una precisa identità tra lavoro e calore. Da lì discese l’enunciato del Primo principio della termodinamica di Helmholtz (1847) che in pratica rappresenta la formulazione più generale del Principio di conservazione dell’energia.
Ciò che è interessante è invece il Secondo principio della termodinamica: esso è di Sadi Carnot (1824) e precede di oltre 20 anni il Primo. Per ciò che ci interessa il Principio di Carnot si può enunciare così:
“è impossibile che tutto il calore si trasformi in lavoro, una parte di esso è il tributo che si prende la macchina“.
Naturalmente le cose sono molto più complesse e tanti altri furono i contributi. Gli interessati possono trovare una storia abbastanza completa nell’articolo precedente “Dalle macchine termiche alla scienza della termodinamica”.
ALCUNE DEFINIZIONI
– Sistema termodinamico: ogni insieme di oggetti che noi vediamo interagire tra loro, senza che dall’esterno intervenga qualcosa a modificare le nostre osservazioni. Si tratta quindi di costruirsi un sistema osservato che non abbia o abbia il minimo di interazioni con l’esterno. Se qualche relazione vi fosse occorrerebbe includere nel sistema osservato quell’agente esterno che crea l’interferenza. Esempio: un appartamento è un sistema isolato per certe osservazioni che non richiedano acqua, elettricità, gas, … che vengono dalla rete esterna. Se per l’osservazione occorrono acqua, gas ed elettricità, si possono inserire nell’appartamento serbatoi d’acqua, bombole di gas e generatori di corrente con il relativo carburante. Questi oggetti saranno presi in considerazione nella descrizione iniziale del sistema. In quanto dico è escluso però l’uso della luce e del calore del Sole. Per continuare a parlare del sistema termodinamico appartamento devo chiudere le tapparelle. Così come devo chiudere gli scarichi del bagno. Non sarò ancora in un sistema isolato (i rumori, ad esempio continuano) ma mi ci avvicino via via di più. La stessa Terra è un sistema termodinamico ben isolato per certe esperienze (pensate ad esempio allo studio del moto browniano o della caduta di un sasso). Ma non lo è per altre come ad esempio le maree. In tal caso neppure basta tener conto di Luna e Sole. Per uno studio completo occorre tener conto dell’intero universo. Ecco, l’intero universo è di per sé un sistema perfettamente isolato. Peccato che è un’astrazione filosofica: non sappiamo di altri universi, non conosciamo i suoi limiti e quindi il suo eventuale isolamento solo supposto.
– Osservazioni: le osservazioni che noi possiamo fare su di un sistema sono di tipo macroscopico. Equivalgono ad una media nello spazio e nel tempo di numerose osservazioni microscopiche (per intenderci, la pressione di un gas – grandezza macroscopica – è la somma degli urti delle sue particelle su una superficie).
– Equilibrio: un sistema è in equilibrio quando i valori delle variabili termodinamiche (pressione P, volume V, temperatura T) non variano nel tempo.
– Trasformazione: un sistema che cessa di essere in equilibrio sta subendo una trasformazione.
TRASFORMAZIONI
Supponiamo di avere un piano P,V (pressione, volume) e di fissare una data temperatura T. Un punto A su questo piano rappresenta un sistema termodinamico in equilibrio (Fig. 1a) ed un sistema è in equilibrio termodinamico quando i valori delle variabili termodinamiche (P, V, T) non variano nel tempo. Supponiamo ora che questo sistema si sposti dall’equilibrio (facendo variare P e V) fino ad arrivare ad un punto B

dello stesso piano. Ora, B rappresenta ancora un sistema termodinamico in equilibrio. La linea che unisce A e B rappresenta invece la trasformazione (Fig. 1b). Più in generale, una trasformazione è un processo in cui muta il valore di una o più variabili termodinamiche. Di tali trasformazioni ve ne sono di infiniti tipi. Ai nostri fini è utile indicarne alcune che hanno una qualche particolarità: le trasformazioni isobare, quelle isocore o isovolumiche, quelle isoterme, quelle adiabatiche, quelle cicliche. In breve, tali trasformazioni godono delle proprietà illustrate nel seguito. [osservo a margine che, cambiando il piano, cambiano anche le curve che rappresentano le trasformazioni. Avremo modo più oltre di vedere un esempio di un piano entropia, temperatura: S,T]
Trasformazioni isobare
Una trasformazione è isobara, quando si realizza a pressione costante. Si passa quindi da uno stato di equilibrio A ad uno B, facendo variare volume e/o temperatura ma mantenendo costante la pressione. In un piano P,V tale trasformazione si rappresenta con una retta parallela all’asse del volume (Fig. 2), essendo la sua una semplice funzione P = P0 = costante.

Trasformazioni isocore
Una trasformazione è isocora, quando si realizza a volume costante. Si passa quindi da uno stato di equilibrio A ad uno B, facendo variare pressione e/o temperatura ma mantenendo costante il volume. In un piano P,V tale trasformazione si rappresenta con una retta parallela all’asse della pressione (Fig. 3), essendo la sua una semplice funzione V = V0 = costante.
Trasformazioni isoterme
Una trasformazione è isoterma, quando si realizza a temperatura costante. Si passa quindi da uno stato di equilibrio A ad uno B, facendo variare pressione e/o volume ma mantenendo costante la temperatura. In un piano P,V tale trasformazione si rappresenta con una iperbole equilatera riferita ai propri assi (Fig. 4), essendo la sua una semplice funzione PV = nRT = costante (poiché lungo tale linea la temperatura si mantiene costante, n è il numero costante di moli del gas ed R è la costante universale dei gas).

Trasformazioni adiabatiche
Una trasformazione è adiabatica, quando si realizza in un sistema che non scambi calore con l’ambiente esterno. Si passa quindi da uno stato di equilibrio A ad uno B, facendo variare pressione e/o volume e/o temperatura ma mantenendo l’isolamento totale con l’ambiente esterno. In un piano P,V tale trasformazione si rappresenta con una curva un poco più complessa di una iperbole equilatera (Fig. 5), avendo per equazione la funzione P.Vg = costante (dove l’esponente g è il rapporto cp/cv tra i calori specifici a pressione costante ed a volume costante del gas che subisce la trasformazione; tale quantità vale circa 2)(0). Osservando che l’entropia è definita come DS = DQ/T, essendo invece l’adiabatica una trasformazione a DQ = 0, per l’entropia, in una adiabatica, risulta: DS = 0. Ciò vuol dire che non vi sono variazioni di entropia e quindi che l’entropia dello stato finale coincide con quella dello stato iniziale del sistema. Ciò fa chiamare le trasformazioni adiabatiche anche isoentropiche. Osservo a margine che proprio questa ultima proprietà di queste trasformazioni, fa capire che esse sono trasformazioni ideali, non esistenti in natura, ma utili come limite superiore alla realizzazione di una certa trasformazione.
Trasformazioni cicliche
Ogni trasformazione che, partendo da uno stato di equilibrio A, ritorni ad esso dopo un percorso qualunque nel piano P,V (o qualunque altro piano) è una trasformazione ciclica (Fig. 6). Evidentemente i grafici di tali trasformazioni sono linee sempre chiuse.

Trasformazioni reversibili ed irreversibili
Qui il discorso diventa delicato. Si definisce trasformazione reversibile una trasformazione che, essendo partita da uno stato A per arrivare ad uno stato B, ritorna da B ad A per lo stesso identico percorso. In realtà una tale trasformazione non esiste in natura perché è impossibile creare dei processi che ci facciano tornare sugli stessi identici passi (questo è un possibile enunciato del 2° Principio della termodinamica, come si capirà in seguito). Faccio un esempio che ritengo assolutamente chiaro. Se si considera una ordinaria siringa con un tappo in luogo dell’ago, possiamo pensare una trasformazione elementare come la seguente: solleviamo lo stantuffo per un centimetro. Sembra semplice pensare che la trasformazione può essere ripercorsa in senso contrario con il solo abbassare lo stantuffo di un centimetro. Questo corrisponde alla visione ingenua della realtà. Pensiamo bene. Lo stantuffo, per essere tale, deve aderire bene alle pareti del cilindro, deve cioè fare attrito con esse. L’attrito, è esperienza comune, produce calore. Nel sollevare lo stantuffo produciamo calore (piccola quantità ma certamente diversa da zero). Quando proviamo a pensare la trasformazione “reversibile, quella che dovrebbe riportarci alle condizioni iniziali per lo stesso identico cammino, dobbiamo riferirci a quello stantuffo che fa il percorso inverso. Ma, nel fare tale percorso, di nuovo lo stantuffo produce calore per attrito. Per intenderci: affinché la trasformazione fosse reversibile, rispetto a questo fenomeno, sarebbe necessario che quando lo stantuffo fa il percorso inverso, l’attrito, anziché produrre calore, dovrebbe togliere calore, dovrebbe cioè raffreddare invece di riscaldare. E ciò non è, non può essere in alcun modo. Ho fatto solo un esempio ma, se si pensa con attenzione, ogni fenomeno che sta dietro una trasformazione, prevede, in un modo o in un altro sviluppo di calore. Se si prova a tornare indietro si sviluppa ancora calore e non c’è modo di sottrarlo come in teoria si dovrebbe. Quindi, senza indugiare oltre ribadiamo che: in natura non esistono trasformazioni reversibili, con la conseguenza che tutte le trasformazioni sono irreversibili. Ma allora perché se ne parla ? Perché si introducono ? Come vedremo oltre è di grande utilità conoscere i limiti ai quali possiamo tendere senza illuderci di poterli raggiungere o, peggio, superare. Con quel limite lì, sappiamo che dobbiamo lavorare per migliorare le nostre trasformazioni fino ad avvicinarci il più possibile a quel livello. E come è possibile avvicinarci ad una trasformazione reversibile? Una trasformazione, in assenza di attrito, se è pensata come una successione continua di stati di equilibrio è una trasformazione reversibile (noto che, evidentemente, è impossibile in natura realizzare una successione di stati di equilibrio). Per ottenere una trasformazione che si avvicini alla reversibilità occorre: che sia assente l’attrito; che gli scambi di calore avvengano tra corpi a temperature quasi uguali; le variazioni di volume devono essere lentissime. Esempi clamorosi di trasformazioni irreversibili sono: trasformazioni con attrito; passaggio di calore da un corpo caldo ad uno freddo; espansione di un gas da un recipiente ad un recipiente vuoto (senza lavoro verso l’esterno); mescolamento di due gas; diffusione di due liquidi miscibili; esplosione di una sostanza.
LE PRIME MACCHINE TERMICHE
Per capire come alcuni sviluppi tecnici hanno ricadute più o meno importanti sulla vita civile, sociale ed economico-produttiva, a seconda di quale contesto trovino, è utile far riferimento alle prime applicazioni tecniche del vapore in epoca alessandrina. Abbiamo notizia di questi contributi dalle opere di Erone di Alessandria (I sec. d. C.) ma certamente le invenzioni in oggetto sono dovute anche a Ctesibio di Alessandria (III sec. a. C.) e Filone di Bisanzio (200 a.C.).
Siamo in un’epoca in cui è la schiavitù a fornire la forza lavoro necessaria a quella società. Alla schiavitù si può associare la forza lavoro animale, l’energia del vento e dell’acqua fluente. Non vi sono necessità ulteriori e le creazioni dei meccanici di Alessandria risulteranno di grande interesse come curiosità divertenti da utilizzare soprattutto per stupire in spettacoli diversi. Di interesse è notare che questi meccanici erano insieme dei teorici e dei costruttori pratici. Si superava con essi e con la scuola di Archimede, il primato che Platone assegnava alla speculazione teorica che aveva in qualche modo bloccato lo sviluppo della scienza. La felice intersezione tra la tradizione empirica aristotelica, con quella teorica di Platone e con quella di Archimede ed i meccanici alessandrini, sarà alla base della nascita della scienza moderna nell’età barocca.
Molti sono i dispositivi meccanici di cui ci parla Erone nella Pneumatica e negli Automata. Dispositivi che permettono le aperture automatiche delle porte di piccoli templi, idranti, organi ad acqua, teatro degli automi, … Per realizzare i quali vi è l’elaborazione di una quantità di concetti che riguardano l’energia dell’aria compressa e riscaldata, del vapore; l’uso di valvole, stantuffi, sifoni, ruote dentate, carrucole. Di interesse per noi è l’eolipila, uno strumento di divertimento che utilizza il vapore che produce movimento meccanico di rotazione. La Fig. 7 rappresenta l’eolipila. La sfera in

Figura 7
alto ruota intorno all’asse x, m è alimentata da getti di vapore prodotti dalla pentola sottostante. La rotazione avviene per reazione, attraverso l’espulsione del vapore dalla sfera mediante i due ugelli sbuffanti di figura.
Non si ha notizia di applicazioni pratiche di queste invenzioni. L’immobile società degli schiavi bastava a sé stessa.
Per trovare altre applicazioni del vapore, ma questa volta come richiesta di nuove forme di energia, occorre arrivare al XVII secolo, quasi 1800 anni dopo Erone.
Fra i primi a pensare macchine che sfruttassero il vapore occorre citare Girolamo Cardano che nel suo De Rerum Natura (1557) osservò la produzione del vuoto per condensazione del vapore. Quindi Gian Battista della Porta che nei suoi Libri de’ Spiritali (1601) progettò una macchina che usava il principio di Cardano per sollevare dell’acqua (Fig. 8). Perché questa sequenza fosse completa occorreva la fondamentale

Figura 8
distinzione tra aria e vapore acqueo che fece Salomon De Caus il quale, nel suo Les Raisons des Forces Mouvantes (1615), progettò una macchina ancora in grado di sollevare acqua (Fig. 9 a e b).

Figura 9a

Figura 9b
Altre macchine che sfruttavano in qualche modo il vapore, descritte però in modo incompleto, furono quelle di David Ramseye (1630) ed Edoardo Somerset marchese di Worcester (1663) [per la macchina di quest’ultimo si veda la Fig. 10 a e b].

Figura 10a

Figura 10b
Ma il filone di ricerca più interessante è quello che prende le mosse proprio dalla scoperta del vuoto fatta da Torricelli nel 1643 [vedi, nel sito, l’articolo su Torricelli ]. Da tale scoperte si avviò tutta una serie di ricerche anche applicative. E’ nota la storia della prima pompa da vuoto realizzata da Otto von Guericke, soprattutto in relazione agli emisferi di Magdeburgo. Meno noto è il fatto che Guericke (1661) si occupò anche della possibilità di sfruttare il vuoto per produrre movimenti meccanici. Egli dimostrò che la pressione atmosferica può spingere uno stantuffo in un cilindro in cui sia stato fatto il vuoto e ciò è in grado di produrre lavoro meccanico. La cosa fu ripresa da Huygens nel 1673 con la convinzione che questo tipo di macchine sarebbe stato presto in grado di muovere navi, veicoli e perfino velivoli. Nella Figura 11 (a e b) è riportato lo schema di funzionamento della macchina di Huygens, da egli stesso disegnata.

Figura 11a

Figura 11b
Nella Fig. 11a vi è, con maggior dettaglio, disegnato il cilindro che compare poi in Fig. 11b. Riferendoci a quest’ultima figura descriviamo in breve il funzionamento della macchina a polvere da sparo di Huygens. Il cilindro è B. In esso può scorrere il pistone D che troviamo in alto. Al pistone D è collegata una corda che, passando attraverso una carrucola HG , è collegata ad una massa G. In C vi è della polvere da sparo che può essere accesa con una miccia. Quando si genera l’esplosione, l’aria viene espulsa dal cilindro attraverso gli scarichi EE ed FF. A questo punto, il vuoto creatosi nel cilindro, permette alla pressione atmosferica di spingere il pistone D verso il basso sollevando la massa G. Il fine del lavoro meccanico di sollevamento pesi, acqua o ciò che si vuole è ottenuto. I conti che si era fatti Huygens prevedevano una macchina piuttosto imponente: in C dovevano entrare circa 1500 Kg di polvere da sparo che, esplodendo, avrebbe permesso a D una corsa verso il basso di circa 10 metri.
Una macchina di questo tipo si deteriorava rapidamente, impiegava materiali pericolosissimi, in breve tempo non creava più il vuoto iniziale e non sembrava aperta ad ulteriori sviluppi. Fu un aiutante di Huygens, Denis Papin, che modificò tale macchina (1690) in modo da aprirla ad ulteriori importanti sviluppi. Papin presenta la sua macchina al conte di Sinzendorff e, fatto di interesse, anticipa dei suoi possibili usi: la macchina potrà servire per eliminare l’acqua che inonda le sue miniere, cosa che non sarebbe possibile realizzare con macchine idrauliche, vista la distanza delle miniere stesse da corsi d’acqua (1). Papin si trovava in Germania, in fuga dalla Francia perché protestante ugonotto. Era emigrato attraverso l’Olanda a lavorare con Huygens e quindi in Inghilterra con Boyle, prima di approdare in quest’ultimo Paese. Sua fu l’idea di provocare quel vuoto nel cilindro metallico mediante la condensazione del vapor d’acqua. La struttura del cilindro e del pistone (Fig. 12) non è dissimile dalla macchina di Huygens. Solo qualche anno dopo (1706), Papin propose (nel suo Ars nova ad aquam ignis adminiculo efficacissime elevandam) una macchina molto più avanzata (Fig. 13). Vediamo in breve in cosa consiste la macchina di Papin riferendoci alla figura 12.

Figura 12

Figura 13
Si ha a che fare, come già detto, con un cilindro analogo a quello di Huygens. Ora si dovrà disporre dentro il cilindro metallico un poco di acqua. Il pistone superiore sarà spinto verso il basso in modo da essere a contatto con l’acqua (l’aria che è nel cilindro fuoriesce da un piccolo foro lasciato nel pistone, foro che si richiuderà quando il pistone sarà sceso completamente). A questo punto si accende un focolare al di sotto del cilindro; il vapor d’acqua, vincendo la pressione atmosferica, solleva il pistone fino alla sommità del cilindro. In alto il pistone sarà bloccato da appositi ingranaggi per permettere di togliere il focolare con le seguenti successive conseguenze: raffreddamento del vapore, sua condensazione fino a tornare acqua, creazione del vuoto sopra la superficie dell’acqua. A questo punto si libera il pistone prima bloccato in alto. Esso scenderà violentemente risucchiato dal vuoto. A questo punto si rimette il focolare sotto il cilindro e tutto procede di nuovo come nel ciclo precedente. La forza [il termine energia entrerà nella letteratura scientifica molto oltre, nell’Ottocento] che si genera dipenderà dalle dimensioni in gioco ed in particolare dal diametro del cilindro ma anche dalla tenuta tra pistone e cilindro. Nella figura 13 bis vi è una animazione che illustra il principio di funzionamento di una macchina di Papin. Papin aveva in mente anche

Figura 13 bis
altre difficoltà e nel 1698 comunicava a Leibniz la necessità, nella macchina, di separare la caldaia, nella quale si generava il vapore, dal cilindro e, nel 1706, pubblicò il suo progetto mostrato in Fig. 13. A sinistra si ha la caldaia di rame (del diametro di cm 51) con la valvola di sicurezza (sotto questa caldaia contenente acqua, verrà disposto il focolare); il vapore prodotto, attraverso il tubo che fuoriesce dalla caldaia, andrà a produrre lo spostamento del pistone nel cilindro mostrato al centro; alla destra vi è un recipiente che raccoglie l’aria in pressione espulsa successivamente dal cilindro (Papin aveva anche in progetto una macchina in cui la caldaia sarebbe stata abolita ed il focolare sarebbe stato incluso nel cilindro: una anticipazione di 200 anni del lavoro di Diesel). Informato da Papin del progetto di Fig. 13, Leibniz propose modifiche, tra cui: inserire un rubinetto che rifornisse con continuità la caldaia di acqua e rendere automatiche le aperture e chiusure di alcuni rubinetti tra caldaia e cilindro. Ma su questa strada non si fecero passi significativi. Papin smise di rivolgersi ai potenti tedeschi per inviare i suoi appunti e le sue carte a Hooke, assistente di Boyle, in Inghilterra. Ed Hooke non li fece morire ma li passò ad un meccanico di grande esperienza, già noto per la realizzazione di macchine da vuoto, Thomas Newcomen che ne trarrà, come vedremo, spunti di grande importanza.
E qui siamo arrivati al momento in cui occorre chiedersi come mai nasce ora da più parti questo interesse per lo sviluppo di tali macchine ?
PROBLEMI POSTI DALLE MINIERE
La richiesta di sempre maggiore potenza, come diremmo oggi, imponeva la ricerca e l’approvvigionamento di energia oltre che di altre materie prime. L’energia dell’acqua fluente o in caduta e del vento non bastavano più. Si incrementò sempre di più l’attività estrattiva, soprattutto di carbone, da miniere scavate nel sottosuolo. Proprio sul finire del Seicento già si avevano miniere con profondità di 120 metri; nel 1750 tali profondità arrivarono a 190 metri. E le necessità oltre al desiderio di profitto, spingevano sempre più giù. Solo che più si scendeva più l’acqua inondava tutti i tunnel sotterranei impedendo il lavoro. La preoccupazione dei padroni delle miniere non era certo per gli operai (che lavoravano fino allo sfinimento tanto da iniziare ad organizzarsi prima in società di mutuo soccorso e quindi in organizzazioni sempre più importanti) ma per il fatto che, da un certo punto, la miniera non era più sfruttabile o non più economicamente sfruttabile. I sistemi di pompe azionate da cavalli richiedevano enormi investimenti (servivano centinaia di cavalli) e non erano efficienti ed affidabili. Proprio in questo periodo (inizi del Settecento) l’attenzione di molti (imprenditori, meccanici, inventori, tecnici, …) si concentra quindi sulle macchine termiche con la speranza che da esse derivi la soluzione ai molti problemi che si avevano. La nascente borghesia, soprattutto in Gran Bretagna, sbarazzatasi a partire dalla rivoluzione del 1640 dei vincoli feudatari ancora esistenti in altri Paesi, diventa particolarmente aggressiva e sviluppa la sua imprenditorialità praticamente senza concorrenza. E’ questa borghesia che può investire del denaro per veder crescere la produzione e questo denaro sarà alla base degli investimenti necessari per la realizzazione delle grandi macchine termiche che dai primi del Settecento inizieranno ad essere progettate e prodotte.
La concatenazione dei problemi e della risoluzione farà poi da moltiplicatore delle richieste di potenza, materie prime e macchine: risolti i problemi estrattivi, nascono quelli dei trasporti, della costruzione di strade, dell’inurbamento con le necessità di rifornimenti di acqua potabile e viveri, … Insomma sta iniziando la seconda rivoluzione industriale (se per prima si intende quella dell’artigianato del secolo precedente) che in meno di 200 anni cambierà non solo i rapporti sociali ma anche il volto del pianeta, del potere e degli assetti con la nascita di superpotenze coloniali che andranno a ricercare quelle materie prime in altri Paesi dopo averli sottoposti al loro dominio, sempre di rapina, e con l’esplosione di guerre feroci per la supremazia sui mercati mondiali.
EVOLUZIONE DELLA MACCHINA A VAPORE
Avevamo lascito l’evoluzione della macchina a vapore agli appunti e progetti di Papin che arrivano, attraverso Hooke, a Newcomen.
Intanto, nel 1698, Thomas Savery brevettò una sua macchina a vapore per prosciugare l’acqua che inondava le miniere. Tale macchina, per riconoscimento dello stesso Savery nel suo L’Amico del Minatore (1702), era però inadatta allo scopo preannunciato (una sola di esse fu utilizzata a prosciugare miniere mentre le altre furono usate come pompe per rifornire di acqua potabile grandi edifici, ruote idrauliche, case di campagna o simili). La macchina di Savery, illustrata in figura 14, ha il funzionamento di

Figura 14
principio seguente. Il vapore proveniente da una caldaia (edificio in muratura di figura) era inviato, mediante un tubo, dentro un recipiente ellissoidale pieno d’acqua con l’effetto di espellere quest’acqua verso l’alto, mediante un altro tubo. Successivamente il recipiente veniva raffreddato mediante un getto d’acqua dall’esterno. A seguito di ciò il vapore ivi presente (che aveva sostituito l’acqua precedentemente presente) condensava provocando il vuoto. In tal modo, la pressione atmosferica agente sull’acqua da sollevare in fondo al pozzo, poteva spingere quest’acqua nel recipiente vuoto (si può anche dire che il vuoto del recipiente aspirava l’acqua dal pozzo). A questo punto un nuovo getto di vapore proveniente dalla caldaia faceva defluire l’acqua verso l’alto. I recipienti ellissoidi presenti erano due ed erano alternativamente riempiti e svuotati per maggiore efficienza dell’impianto. E’ chiaro che per realizzare tutto questo occorreva aprire e chiudere alternativamente rubinetti e valvole; tali operazioni venivano fatte manualmente. La macchina aveva il limite di sollevare l’acqua non oltre i circa 10 metri (limite torricelliano). Per risolvere tale problema Savery spinse sulla pressione, portandola alle circa 10 atmosfere (se si pensa che non vi erano valvole di sicurezza ci si rende conto che tali macchine erano delle potenziali bombe); la qual cosa, nelle previsioni teoriche, avrebbe moltiplicato per 10 il normale sollevamento ad una sola atmosfera, portandolo a circa 100 metri. Il tutto però avveniva con grande consumo di combustibile (carbone e legna), circa 20 volte quello di una normale macchina a vapore di alcuni anni dopo. Ultima notazione è relativa al fatto che tale macchina non metteva in moto altri meccanismi, funzionava in modo statico. Nella figura 14 bis vi è un’animazione della macchina di Savery.

Figura 14 bis
Newcomen aveva studiato a Devon con Savery e la sua strada per la produzione della prima macchina con il suo nome (1712) passava, non per una qualche evoluzione delle idee di Savery ma per il cammino che abbiamo accennato in apertura di paragrafo. Ad un certo punto però i due si associarono ma probabilmente perché il brevetto di Savery era così ampio che difficilmente sarebbe stato possibile produrre in una qualche macchina termica senza cadere nell’accusa di plagio. Comunque la macchina di Newcomen (Fig. 15) fu la prima ad avere successo di vendite. Essa adottava cilindro e stantuffo di Papin e lavorava, contrariamente a Savery,

Figura 15
a bassa pressione (quella atmosferica), fatto che la rendeva di molto più facile costruzione. Era poi molto affidabile per l’abilità artigiana di costruzione (dati gli standard piuttosto insoddisfacenti dell’epoca), per il fatto che Newcomen aveva esperienza di miniere e perché lavorava con un abile idraulico, Calley. Un fornello (in basso a destra) alimentava la caldaia che produceva vapore alla pressione atmosferica. Tale vapore veniva immesso dal basso nel cilindro e, aiutato dal bilanciere che manteneva inizialmente in equilibrio l’asta della pompa posta ad estremità opposta del bilanciere rispetto all’asta dello stantuffo, faceva sollevare lo stantuffo medesimo. Appena il vapore aveva riempito il cilindro, mediante una valvola, si immetteva in esso dell’acqua fredda che originava la condensazione del vapore. In tal modo lo stantuffo precipitava verso il basso spinto dalla pressione atmosferica. In tal modo il bilanciere oscillava alternativamente da una parte e dall’altra, provocando la messa in funzione della pompa, situata a sinistra del bilanciere, che sollevava l’acqua dal basso. Sistemi di apertura e chiusura delle valvole per l’immissione e lo scarico del vapore (ed acqua) erano automatizzati attraverso il moto dell’asta della pompa d’iniezione sincronizzata con il moto del bilanciere (la possibilità di tale automatismo, non esistente in origine, fu consigliata da un giovane operaio addetto alle aperture e chiusure delle valvole, Humphrey Potter, Egli collegò con delle corde le due valvole all’asta in moto con il bilanciere e se ne andò a giocare con gli amici). La tenuta dello stantuffo era realizzata mediante rivestimento del medesimo con del cuoio reso a tenuta d’aria mediante il rigonfiamento provocato da acqua situata nella parte superiore dello stantuffo (buona soluzione ma lontana da una buona tenuta). Il tutto era di notevoli dimensioni: per dare un’idea si pensi che l’altezza del solo cilindro poteva arrivare quasi ai 4 metri. Il bilanciere realizzava 12 oscillazioni al minuto in ciascuna delle quali sollevava 45 litri d’acqua da 46 metri di profondità (mediante l’uso di una serie di pompe). La sua potenza si poteva stimare intorno ai 5 cavalli vapore(2). Tale macchina, come detto, ebbe un gran successo ed in sessanta anni se ne fabbricarono oltre 120 esemplari. Nella figura 15 bis è riportata una animazione della macchina di Newcomen.

Figura 15 bis
E’ a questo punto d’interesse notare che con queste approssimazioni non era più possibile andare avanti. Si voleva sapere quanto combustibile occorreva per sollevare una certa quantità d’acqua, quanto questo fosse conveniente in termini economici per confronto con l’opera dei cavalli. Per fare ciò occorreva una definizione in senso moderno di lavoro e potenza in senso meccanico. Fu Smeaton che nel 1767 iniziò uno studio scientifico della macchina a vapore e di ciò che era in grado di dare, mettendo appunto in relazione il combustibile consumato, l’acqua sollevata e la quota da cui era sollevata. Stabilito il sistema sarebbe stato possibile il confronto delle prestazioni delle varie macchine. Smeaton, per primo definì la potenza: una forza in grado di produrre moto in un dato tempo (scriveva Smeaton nel 1759: Se si moltiplica il peso sollevato per l’altezza a cui esso può essere sollevato in un dato tempo, il prodotto è la misura della potenza che lo solleva) e, dallo studio degli urti (1776), riuscì a formulare il principio di conservazione dell’energia meccanica rifiutato da Newton che pensava in un rifornimento continuo di energia al mondo da parte di Dio). Forte dei suoi studi realizzati in laboratorio su dei modelli (egli variava un parametro alla volta mantenendo gli altri costanti), soprattutto sulle ruote idrauliche, Smeaton riuscì, con metodo scientifico, a raddoppiare quello che oggi chiamiamo il rendimento delle macchine a vapore, usando uno speciale impianto per l’alesatura dei cilindri e quindi per la tenuta. Egli riuscì a stabilire qual era la migliore combinazione tra diametro del cilindro, corsa dello stantuffo, velocità di funzionamento, superficie della caldaia, alimentazione d’acqua e consumo di carbone per una determinata resa di potenza. Nel realizzare i suoi esperimenti si accorse, non senza stupore, che il vapore presente nel cilindro non doveva essere condensato completamente se si voleva il massimo di potenza della macchina (la completa condensazione avrebbe dato il massimo impulso allo stantuffo ma avrebbe rallentato la macchina poiché, così raffreddato il cilindro, avrebbe poi avuto necessità di una maggiore quantità di vapore per essere riscaldato partendo dal completo raffreddamento. Con un residuo di vapore si perdeva nell’impulso dello stantuffo ma si guadagnava di più nella velocità della macchina). Inoltre Smeaton capì che era più efficiente un miscuglio di vapore ed aria in quanto quest’ultima, non condensando, si sarebbe naturalmente disposta a guisa di camicia isolante tra il vapore operativo e la fredda parete del cilindro (naturalmente occorreva disporre di una opportuna valvola di sfogo per eliminare l’aria che avrebbe altrimenti ingolfato la macchina stessa). Uno schema della macchina realizzata da Smeaton (1772), con modifiche a quella di Newcomen, è mostrato in figura 16. Nonostante i lavori di Smeaton, il lavoro meccanico

Figura 16
utile rimaneva comunque ancora al livello dell’1% del calore che era stato utilizzato (la causa maggiore delle perdite era nel cilindro usato anche come condensatore – vedi oltre). Ma queste corrispondenze calore-lavoro non erano ancora ben chiare, come ho brevemente accennato in apertura del lavoro, era quindi impossibile capire a che livelli di spreco si lavorava. Senza una approfondita comprensione delle relazioni calore lavoro, della natura del calore, dei concetti ad esso collegati (calori latenti, specifici, …), del comportamento dei fluidi e dei gas, … non si sarebbero potuti fare dei passi in avanti significativi. Il fatto è che una cosa è migliorare al massimo il rendimento di una data macchina, esasperando tutti i possibili accorgimenti; altra cosa è avere la capacità ed il coraggio di fare ipotesi nuove che rimettano in discussione il progetto realizzato su cui si lavora. Sarebbe servito il sottoporre a trattamento teorico i dati empirici dei vari tecnici che si susseguivano, il far diventare insomma la tecnologia delle macchine a vapore una scienza, ma ci vorranno ancora molti anni. I problemi non erano comunque dirompenti perché coloro che usavano il carbone per far funzionare queste macchine erano i proprietari delle miniere dalle quali si estraeva il medesimo carbone.
JAMES WATT
La Gran Bretagna dell’ultima metà del Settecento marciava con incrementi continui di produzione. Le disponibilità energetiche erano buone anche se progressivamente andavano ad assottigliarsi. Ma era la disponibilità di potenza che più si faceva sentire. Almeno da quando il Parlamento inglese aveva liberalizzato la produzione di tessuti di cotone (1774), la sola forza muscolare, il perfezionamento delle macchine per filare, l’energia idraulica non bastavano più. Quest’ultima aveva poi il grosso limite di non essere disponibile dovunque. Si sentiva sempre più il bisogno di avere sorgenti di potenza da localizzare dove si ritenesse necessario, anche in connessione agli sviluppi della metallurgia. Le macchine a vapore fin qui viste erano troppo ingombranti e poco adattabili a potenze variabili in un ambito generalmente più piccolo dell’impresa di drenare le miniere. Altro impulso alla ricerca proveniva dal fatto che il brevetto ad ampio spettro, relativo alla macchina a vapore, di Savery era scaduto nel 1733.
La macchina a vapore passò ad essere esaminata nel 1763 da James Watt, un meccanico e costruttore di strumenti di precisione dell’Università di Glasgow che occupava una officina nella medesima università. L’approccio di Watt fu da studioso, inizialmente non interessato alla produzione di macchine. Egli dovette riparare per l’Università un piccolo modello di macchina di Newcomen (cilindro di diametro 5 cm ed una altezza di circa 20 cm; caldaia del diametro di 23 cm). La cosa era stata tentata da un altro costruttore di strumenti di Londra ma aveva dovuto rinunciare. Watt trovò che vi era un abnorme consumo di vapore che faceva fermare lo stantuffo in breve tempo. Non c’era altro da fare che ricostruire gli elementi del modello per evitare l’inconveniente che bloccava la macchina. Sostituì il cilindro metallico originale con uno di legno del diametro di 15 cm ed altezza 30 cm. Watt aveva preso atto dell’esistenza di problemi di scala: la grande macchina funzionava indefinitamente al contrario di un piccolo modello e questo perché la perdita di calore di un corpo di piccola massa è molto più rapida di quella di un corpo di grande grande massa (e la cosa non era una novità: era stata scoperta dal chimico H. Boerhaave e certamente Watt ne era venuto a conoscenza da parte di Black. Si può di passaggio notare come emergano successivamente vari concetti di calorimetria: capacità termica e quindi calore specifico, calore latente, conduttività termica, …. Watt aveva capito che la causa dell’esaurimento repentino del vapore nasceva dall’eccessivo raffreddamento del metallo del cilindro a seguito dell’immissione in esso dell’acqua ad ogni corsa dello stantuffo. Watt capì che per un miglior funzionamento della macchina sarebbe stato necessario che il cilindro fosse mantenuto sempre alla stessa temperatura del vapore e che l’acqua risultante dal vapore condensato tornasse ad una temperatura non superiore ai 37,7 °C (Watt sapeva che a questa temperatura l’acqua, in un ambiente vuoto, inizia a bollire). In queste sue indagini scoprì anche l’esistenza del calore latente del vapore, indipendentemente dal suo amico Joseph Black che insegnava chimica nella stessa Università.
Lo stesso Watt ha poi lasciato scritto che gli ci vollero due anni per capire bene come operare per realizzare quanto aveva capito: occorreva aprire una comunicazione tra il cilindro contenente vapore ed un altro recipiente in cui fosse stato fatto il vuoto; in tal modo il vapore proveniente dal cilindro vi sarebbe subito penetrato e sarebbe continuato a penetrare fino al raggiungimento dell’equilibrio tra camera del cilindro e camera del nuovo recipiente. Se poi quest’ultimo recipiente si fosse mantenuto molto freddo, allora man mano che il vapore entrava in esso sarebbe via via condensato. Beh, si tratta della più importante scoperta al fine della definitiva affermazione della macchina a vapore, quella del condensatore del vapore separato dal cilindro che faceva il lavoro meccanico. Nell’elaborare praticamente la cosa in un modello capì anche che conveniva usare lo stesso vapore e non più la pressione atmosferica per far scendere lo stantuffo. Per mantenere poi il cilindro alla temperatura del vapore, costruì intorno ad esso una camicia di legno tra la quale ed il cilindro stesso faceva circolare il vapore stesso (si ricordi l’idea della camicia d’aria isolante tra vapore e metallo del cilindro di Smeaton). Per il trasferimento del moto alternativo dello stantuffo, Watt fu inizialmente dell’idea di collegare gli utilizzatori direttamente all’asta dello stantuffo, ma poi utilizzò il sistema del bilanciere di Newcomen. A questo punto si doveva passare alla parte pratica: i soldi per realizzare la prima macchina. Black presentò Watt all’industriale Roebuck che lavorava nel drenaggio di miniere. Questi consigliò a Watt innanzitutto di brevettare al sua macchina. E veniamo al brevetto di Watt dell’anno 1769 che, a detta dello storico Donald S.L. Cardwell (Tecnologia, scienza e storia, Il Mulino 1976. Sulla cosa non è d’accordo S. Lilley – Storia della tecnica, Einaudi 1951 – che vede Watt come un semplice acceleratore dei processi già avanzati di meccanizzazione ed industrializzazione), rappresenta la data più importante della storia britannica dopo l’avvento del cristianesimo (in quello stesso anno fu brevettato da Arkwright anche il meccanismo ad acqua per filare lana e cotone). In cambio del sostegno economico per il brevetto e per la realizzazione del prototipo, Roebuch divenne socio al 66%. Il progetto però si arenò perché Watt era diventato ingegnere ed era preso dalla sua professione ed il finanziatore attraversava problemi economici. In un suo viaggio a Londra Watt ebbe modo di conoscere M. Boulton, uno degli industriali più importanti ricchi ed influenti: disponeva di svariate fabbriche che soffrivano di penuria di acqua per l’approvvigionamento energetico e Boulton pensava a quanto sarebbe stato utile e produttivo non sprecare l’acqua che aveva già azionato le macchine delle sue fabbriche, attraverso un riciclo, un pompaggio all’indietro della medesima al fine di riutilizzarla di nuovo per far muovere gli stessi macchinari. Vi furono problemi legati alla quota societaria di Roebuck con Watt. Roebuck non voleva cederla ma il suo fallimento (1773) lo costrinse a pagare i debiti con Boulton proprio con quelle quote societarie. Da questo momento Watt poté dedicarsi completamente alla costruzione della sua macchina (anche facendo intervenire il Parlamento britannico per una proroga nella scadenza del suo brevetto, altrimenti non si sarebbe fatto in tempo a commercializzare la macchina in regime di monopolio. La proroga, di 25 anni, fu concessa). Al compimento dell’impresa mancava un’acciaieria in grado di lavorare con grandissima precisione per quel problema della tenuta tra cilindro e pistone. Fu associato J. Wilkinson che disponeva di grandi altiforni ad aria forzata (che dal 1776 furono alimentati dalla prima macchina di Watt che azionava i mantici) e di un tornio meccanico verticale (realizzato per uso militare) che avrebbe permesso ogni precisione nell’alesaggio (nel 1782 un’altra macchina di Watt, questa volta a movimento rotatorio, entrò in funzione nelle officine Wilkinson, per l’alimentazione di un maglio; nel 1796 ancora una macchina di Watt mise in azione in queste officine un laminatoio). Le macchine di Watt più complete con tutti i perfezionamenti possibili (dette ad effetto semplice), subito richiestissime per il loro basso consumo e per la loro efficienza, entrarono in funzione nel 1788 (in Fig. 17a c’è lo schema della macchina e in 17b quello semplificato) ma già nel 1777 iniziarono ordinazioni di macchine meno perfezionate dalla Cornovaglia, ordinazioni che in solo tre anni raggiunsero da quella regione il numero di 40. E fino ad arrivare a quel 1788, moltissime macchine entrarono in funzione per i più disparati usi un poco in tutta la geografia britannica.

Figura 17a

Figura 17b
Riferendoci alla figura 17a è da notare: la grande caldaia che presentava una superficie riscaldante maggiore (C), il cilindro dotato di camicia di vapore (E), il condensatore separato (F). Riferendoci alla figura 17b possiamo descrivere il principio di funzionamento della macchina. Il vapore prodotto dalla caldaia entra nel cilindro e solleva il pistone (in tale fase la valvola B è aperta e la A è chiusa). Appena il pistone è arrivato alla sommità del cilindro si chiude B e si apre A: una pompa aspira il vapore dal cilindro. Il cilindro scende in basso ad opera della pressione atmosferica (Il cilindro mosso dal solo vapore sarà in un modello di macchina successivo). Il vapore aspirato va nel condensatore per ritornare allo stato liquido. Si riapre la valvola B e si richiude la A per iniziare un nuovo ciclo. Nel frattempo l’asta del pistone fa lavoro (in questo caso) attraverso l’oscillazione del bilanciere che aziona la pompa della miniera. Il bilanciere, come lavoro secondario, aziona anche la pompa che aspira il vapore dal cilindro.
Già dal 1780 era forte la pressione su Watt, anche da parte di Boulton, per la realizzazione di una macchina che potesse mettere in azione direttamente dei macchinari rotanti. L’accoppiamento tra l’asse del pistone ed il moto di una ruota (il meccanismo biella-manovella) fu però brevettato da un operaio di Watt (1780), Pickard. Al nostro non restò altra strada che escogitare un altro sistema a ruote dentate (rotismo epicicloidale o planetario, mostrato in figura 18), brevettato nel 1781, che però fu subito abbandonato allo scadere (1794) del brevetto di Pickard.
Nel 1782 Watt realizzò la macchina a doppio effetto (Fig. 19 per lo schema, 19 bis e 19 ter per le animazioni), che in pratica raddoppiava la potenza della macchina semplice a parità di cilindrata. Si tratta di immettere il vapore alternativamente sulle due facce dello stantuffo. In tal modo si abbandona l’intervento diretto della pressione per far scendere lo stantuffo medesimo e si apre alla possibilità di macchine con cilindro non più necessariamente verticale. I problemi con il doppio effetto erano legati al trasferimento del moto al bilanciere. La catena non era più utilizzabile, ora serviva un meccanismo rigido. Watt risolse brillantemente anche questo problema con il sistema di leve detto parallelogrammo articolato o a tre leve (Fig. 18 a e b). Infine Watt realizzò una valvola

Figura 18 a e b
regolatrice centrifuga (aggiunta nel 1788), un meccanismo che regolava l’immissione del vapore (governor) al fine di mantenere la macchina in moto con velocità costante.

Figura 19 – Macchina di Watt rotativa ed a doppio effetto
Nella figura 19 sulla destra è evidente il sistema a ruote dentate che origina il moto rotatorio. Sulla sinistra si può osservare il sistema di leve a forma di parallelogrammo snodabile. In alto, alla sinistra della ruota, è visibile un apparato a forma di compasso, con due palline all’estremità dei bracci del compasso stesso (vedi dettaglio in Fig. 20). Si

Figura 20
tratta del regolatore di Watt (governor) che faceva accelerare la macchina se rallentava per il troppo carico o la faceva rallentare dopo una accelerazione dovuta a diminuzione di carico. Se la velocità della macchina aumenta le due palline divaricano e, per mezzo di leve, fanno chiudere un po’ la valvola a farfalla. La quantità di vapore che giunge nel cilindro diminuisce e la macchina rallenta. Se la macchina ritarda succede esattamente il contrario. Il governor forniva anche i diagrammi di lavoro della macchina ed anche visivamente rendeva conto della velocità di operazione della medesima (più si sollevavano le palline, nel moto rotatorio che gli competeva, maggiore era la velocità della macchina).

Figura 19 bis – Macchina di Watt a doppio effetto ed a bilanciere
Riferendoci all’animazione di figura 19 bis, c’è da notare che questo modello di macchina prevede che vi sia in azione una pompa, azionata sempre dal moto del bilanciere, che svuota continuamente il condensatore (manca nell’animazione l’acqua fredda per la condensazione del vapore). Nella figura 19 ter vi è invece l’animazione di una macchina rotativa a doppio effetto funzionante con il cassetto di distribuzione del vapore (rettangolo superiore di figura). Il vapore entra dall’ugello in alto a sinistra.

Figura 19 ter
Riguardo agli aspetti più eminentemente scientifici è utile richiamare ora qualcosa che ritroveremo con Sadi Carnot: l’introduzione del condensatore separato vuol proprio dire che una macchina termica per funzionare ha bisogno di due ambienti o sorgenti, una calda ed una fredda. Inoltre da Watt abbiamo la prima definizione di lavoro (D L) come prodotto della pressione (P) per la variazione di volume (D V):D L = P.D V(3).
Con la macchina di Watt arriviamo al massimo perfezionamento di una macchina a vapore che è nata essenzialmente su basi empiriche con una scienza che faceva fatica a seguirla e a dotarla di un substrato teorico. Siamo al 1800 quando Watt si ritira dal lavoro attivo. A questo punto fioriranno tutta una serie di applicazioni della macchina a vapore, come motrice nelle fabbriche e come alimentazione di navi e treni. In un relativamente breve lasso di tempo si precipita in un mondo radicalmente diverso, si acuiscono anche le differenze tra le nazioni che dovranno correre per mettersi al passo. Ci riuscirà la Francia con la Rivoluzione di fine Settecento che la modernizzerà radicalmente facendola passare dall’astratta meccanica celeste e meccanica razionale, a problemi applicativi pratici sulle orme della vicina Gran Bretagna. Anche la Prussia seguirà la strada della Gran Bretagna. Altri Paesi, tra cui l’Italia, resteranno al palo di una miriade di statarelli con il dominio incontrastato di una Chiesa, sempre reazionaria e contraria a qualsiasi innovazione, che operava appunto per il mantenimento delle divisioni.
Proprio agli inizi dell’Ottocento si affaccerà la scienza per mettere ordine in se stessa e per fornire un trattamento teorico a tutte le innovazioni tecnologiche che per un secolo si erano susseguite ad opera di soli tecnici, meccanici, ingegneri.
CICLO DI CARNOT
Uno degli studiosi francesi che anticipa l’interesse per le macchine reali è Lazare Carnot (il fine dichiarato di Lazare era: “reinserire nella meccanica la scienza delle macchine, che ne era rimasta separata“). Egli, nella sua opera Essai sur les Machines en Général (1783), studia i rendimenti delle macchine idrauliche in modo analogo a quanto aveva fatto Smeaton in Gran Bretagna. Lazare Carnot, che avrà un ruolo di primo piano nella Rivoluzione, nel Direttorio e nei governi napoleonici, aprirà la strada con i suoi studi a quanto farà suo figlio Sadi con le macchine termiche, in particolare, nella sua Potenza motrice del fuoco del 1824 che è la prima opera organica di scienza del calore (per leggere l’opera di Carnot in inglese, vai a: www.history.rochester.edu/ steam/carnot/1943/). Purtroppo tale opera non fu subito capita nella sua grandissima importanza. Il fatto è che Carnot risulta ancora invischiato nella vecchia teoria che voleva essere il calore una sostanza (il calorico) e ciò renderà difficile la sua lettura da parte di chi aveva già concettualmente superato questa teoria proprio dai lavori di Lavoisier (se il calore è una sostanza, un oggetto riscaldato deve pesare di più dello stesso oggetto a temperatura ordinaria; ma ciò non è, come Lavoisier aveva dimostrato con molte misure di precisione nel Traité élémentaire de chimie del 1789). Per altri versi invece l’ipotesi di calore inteso come sostanza, aiuta Carnot nell’analogia di calore ed acqua. Cosicché Carnot riesce a pensare le cadute d’acqua come cadute di calorico. Quindi, allo stesso modo di energia idraulica che si produce per salto d’acqua, l’energia termica deve prodursi per salto di calorico da un suo livello più alto ad uno più basso. Detto in termini moderni ciò vuol dire che affinché una macchina termica funzioni si deve disporre di due sorgenti a temperature differenti. Come vedremo questo è uno dei possibili enunciati del Secondo Principio della Termodinamica, in attesa del Primo. Carnot, nell’opera citata studia anche una macchina indipendentemente dalla sua applicazione pratica. Tale macchina nasce da uno studio solo teorico, per ottenere la massima prestazione possibile di una macchina termica. Carnot ipotizzerà: materiali perfettamente isolanti, perfettamente conduttori, assenze di attrito, un gas perfetto come fluido operativo (sempre vapore nei casi visti di macchine a vapore), … Con questo armamentario teorico egli costruisce la sua macchina che risulta essere ideale, non realizzabile, ma utilissima per capire fin dove possiamo arrivare, come limite a cui tendere. Per discutere della macchina e del ciclo di Carnot, lascio la storia e tratto il tutto con linguaggio moderno.
Carnot si propose di trasformare del calore in lavoro mediante una macchina termica. Occorre un qualche meccanismo che ciclicamente(5) assorba calore da una sorgente e lo trasformi in lavoro. Carnot capì che era impossibile realizzare un ciclo di tale fatta senza disporre di due sorgenti: una calda (da cui si preleva del calore) ed una fredda (verso cui si scarica del calore). Iniziò quindi ad ideare il miglior ciclo possibile immaginando di disporre dei seguenti strumenti ideali:
– un cilindro ed un pistone. Il cilindro (escludendo la sua base) deve essere perfettamente adiabatico (non deve scambiare calore con l’esterno: D Q = 0). Anche il pistone deve godere della medesima proprietà;
– una sorgente calda a temperatura costante T2 che possa aderire al fondo conduttore del cilindro;
– una sorgente fredda a temperatura costante T1che possa aderire al fondo conduttore del cilindro;
– un tappo perfettamente adiabatico in grado di aderire perfettamente al fondo conduttore del cilindro;
– dentro il cilindro vi è un gas perfetto che funge da fluido operativo.
Operiamo successivamente in quattro fasi o tempi guidandoci con delle figure (la rappresentazione grafica del ciclo di Carnot e le correzioni che lo ressero come oggi lo studiamo furono elaborate da Clapeyron nel 1834). Si parte da figura 21, nello stato iniziale cui si trova il sistema (punto A del grafico di figura 21a).

Figura 21
A –> B

Figura 21a
Qui inizia la prima trasformazione che ci porta da A a B (trasformazione isoterma). Sotto il cilindro si dispone la sorgente di calore che si trova alla temperatura T2. Tale sorgente fornisce la sistema una quantità di calore Q2 . Il gas contenuto nel cilindro si dilata alla temperatura costante della sorgente, T2 spingendo lo stantuffo verso l’alto con la conseguenza che il volume occupato dal gas passa da VA a VB (mentre la pressione diminuisce). In questo movimento il sistema fa un lavoro verso l’esterno, positivo, che chiamiamo LI .
Passiamo alla seconda fase (figure 22 e 22a). La trasformazione, questa volta, ci porta

Figura 22
B –> C

Figura 22a
da B a C (trasformazione adiabatica). Sotto il cilindro si toglie la sorgente calda a temperatura T2 e si dispone il tappo isolante. Ora la trasformazione che avviene nel cilindro non scambia calore con l’esterno. Il gas continua ad espandersi per inerzia. Il volume da esso occupato continua ad aumentare, passando da VB a VC, e la pressione continua a scendere. Il sistema fa ancora un lavoro verso l’esterno, positivo, che chiamiamo LII.
Passiamo alla terza fase (figura 23 e 23a). La trasformazione ci porta ora da C a D

Figura 23
C –> D

Figura 23a
(trasformazione di nuovo isoterma). Sotto il cilindro si toglie il tappo isolante e si dispone la sorgente fredda a temperatura T1 < T2 (in pratica si mette il fondo del cilindro a contatto con l’ambiente esterno). A questo punto siamo noi, dall’esterno che facciamo un lavoro LIII negativo sul sistema; comprimiamo noi il pistone nel cilindro provocando una diminuzione di volume (che passa da V a V) ed un aumento di pressione (tale aumento di pressione tenderebbe a far aumentare la temperatura ma, il contatto con la sorgente fredda scarica verso l’esterno questa tendenza). In questa fase la macchina scarica verso l’esterno una quantità di calore Q1.
Passiamo alla quarta ed ultima fase (figura 24 e 24a), quella che ci porta a chiudere il

Figura 24
D –> A

Figura 24a
ciclo, andando da D ad A. Ora togliamo la sorgente fredda e disponiamo di nuovo sotto il cilindro il tappo isolante. Continuiamo noi a premere sul pistone, facendo un lavoro sul sistema, negativo, LIV. Il nostro premere provoca ora, insieme ad un aumento di pressione, ulteriore diminuzione di volume ed anche un aumento di temperatura. Non vi sono scambi di calore con l’ambiente esterno e la trasformazione è un’adiabatica. Tornati ad A abbiamo chiuso il ciclo e possiamo ricominciare tutto di nuovo. Il ciclo, nel suo insieme è quello di figura 25. Esso è costituito da due adiabatiche e da due isoterme.

Figura 25
L’area compresa tra le quattro trasformazioni che chiudono il ciclo, in accordo con la nota (3), rappresenta il lavoro netto L ottenuto. Tale lavoro si ottiene per differenza tra i lavori positivi L2 = LI + LII ed i lavori negativi L1 = LIII + LIV cioè: L = L2 – L1. Anche il calore complessivo Q che la macchina trattiene per sé è dato dalla differenza di quello che ha assorbito Q2 meno quello che ha scaricato via Q1: Q = Q2 – Q1. La conclusione evidente è che il lavoro L che la macchina ci fornisce è dato dal calore che ha assorbito meno quello che ha dovuto buttare via L = Q2 – Q1. Tutto questo si può anche agevolmente discutere con il Primo Principio della termodinamica ma, ricordando solo che in un ciclo chiuso non c’è variazione di energia interna (D U = 0), quanto abbiamo detto è sufficiente allo scopo che ci siamo proposti(6). Possiamo trarre una conclusione: solo una parte del calore fornito si trasforma in lavoro; la parte restante viene necessariamente scaricata verso l’esterno del sistema. Possiamo poi fare una piccola ma importante osservazione. Poiché, come sappiamo, l’area compresa nel ciclo rappresenta il lavoro ottenuto, se provassimo a lavorare con una sola temperatura andando, ad esempio, su e giù lungo la T2, l’area sarebbe nulla e non si otterrebbe alcun lavoro. Osservo un’ultima cosa. Se il ciclo che abbiamo visto, fosse percorso in senso inverso, finiremmo nel caso che ho lasciato in sospeso in nota (3): il bilancio tra lavoro negativo fatto e positivo ottenuto darebbe come risultato un numero negativo. Ciò significherebbe che abbiamo dato alla macchina più lavoro di quanto la macchina ne dà a noi, ma la conseguenza è che la macchina ci sottrae più calore di quanto non ne prende: avremmo costruito una macchina non più termica ma frigorifera. Tornando alle macchine termiche, la frase riportata in grassetto appena qualche riga più su, permette di trarre una immediata conclusione. E’ possibile definire un rendimento per le macchine termiche nel modo seguente: il rapporto tra il lavoro che la macchina ci fornisce ed il calore che gli dobbiamo dare e cioè
η = L/Q2
e, ricordando che L = Q2 – Q1, si trova subito:
η = (Q2 – Q1)/Q2 = 1 – Q1/Q2
Si dimostra (ma la cosa non è semplice) che quest’ultima relazione può essere scritta nel modo seguente (nel caso di una macchina di Carnot)(7):
η = 1 – Q1/Q2 = 1 – T1/T2
dove si è sostituito il calore, difficile da maneggiare, con le temperature assolute o Kelvin, molto più facilmente trattabili. Ora è evidente che l’ideale per noi sarebbe un rendimento 1, cioè del 100%, ma la relazione precedente ci dice che ad 1 occorre sottrarre una certa quantità che si annullerebbe solo se Q1 si annullasse (o che Q2 divenisse infinito). Ma abbiamo visto che Q1 non può mai essere nullo, altrimenti non si chiuderebbe il ciclo tra due temperature, quindi su questa strada non si può far nulla. Ciò che si può fare per migliorare il rendimento è rendere sempre più piccola la quantità Q1/Q2 che va a sottrarsi ad 1. Per farlo occorre che numeratore e denominatore siano i più distanti possibile, occorre cioè che la sorgente calda lavori ad elevatissima temperatura e la sorgente fredda sia molto fredda. Sulla temperatura della sorgente calda vi sono limitazioni tecnologiche (da un certo punto i materiali che sostengono tali temperatura non ce la fanno più), su quelle delle sorgenti fredde vi è poco da fare, ci dobbiamo tenere in genere quelle dell’ambiente esterno (al massimo aiutando con circolazione di fluidi a temperature più basse).
CICLO FRIGORIFERO DI CARNOT
Se si confronta il grafico di figura 25 (ciclo ordinario di Carnot) con quello di

Figura 26
figura 26 si scopre che le trasformazioni avvengono in verso opposto. Si dispone ora di un volume da cui occorre sottrarre del calore. Per eseguire questa operazione occorre fare del lavoro. Quindi, contrariamente alla macchina di Carnot già studiata, si tratta ora di fornire lavoro per sottrarre calore. Nel far questa operazione occorrerà sempre buttare via del calore. Lo si farà dal motore che sottrae calore dalla cella frigorifera (ed esterno ad essa) e lo scarica nell’ambiente in cui è contenuta la macchina frigorifera. In teoria un frigorifero di Carnot si realizza con quanto illustrato nella figura 27:

Figura 27
Il fluido (gas perfetto) che si trova in C (Fig. 26) viene compresso mediante una adiabatica fino ad arrivare a B e quindi ad una temperatura T2 > T1 . Per far questa operazione abbiamo fatto del lavoro LI dall’esterno. Arrivati in B, con uno scambiatore, viene ceduto all’esterno il calore Q2 mediante una isoterma e per questo si deve compiere altro lavoro LII. Questa trasformazione ci porta da B ad A. La trasformazione successiva che ci porta da A a D è una adiabatica: è ora il gas che ci fornisce del lavoro LIII. Durante l’ultima trasformazione, l’isoterma che va da D a C, il gas riceve il calore Q1compiendo il lavoro LIV. La somma L dei lavori è questa volta negativa: siamo noi che dobbiamo fornire L al sistema. La somma del calore fornito con quello ceduto è invece positiva: abbiamo scaricato verso l’esterno più calore di quanto ne abbiamo fornito. Confrontando con la figura 27, si vede che tale figura è sistemata in qualche modo seguendo il grafico. Si parte dal compressore che realizza la prima adiabatica che ci porta da C a B nel grafico: qui il fluido refrigerante viene compresso, innalzato di temperatura (a causa della adiabaticità) ed inviato alla serpentina condensatore (serpentina a sinistra di figura) dove si condensa in modo isotermo perdendo ancora volume; la condensazione fa perdere calore al fluido e lo scambiatore lo scarica fuori da sé (si pensi alla serpentina che si trova dietro ad ogni macchina frigorifera, che si scalda in modo da riscaldare l’ambiente circostante); per effetto della condensazione il fluido diventa liquido (in presenza del suo vapore); siamo qui arrivati al punto A del grafico. Mediante la valvola di espansione situata nel punto più alto difigurafacciamo espandere il fluido che adiabaticamente diminuisce rapidamente la sua pressione e la sua temperatura. Il gas che esce dall’evaporatore cosìespanso (siamo in D) entra nello scambiatore evaporatore (serpentina di destra in figura) dove si espande ulteriormente mediante una isoterma e dove sottrae calore alla cella frigorifera (si pensi alla serpentina che è dentro il freezer del frigorifero). Il calore assorbito determina una rapida evaporazione del fluido agevolata da una pressione che in genere è più bassa di quella atmosferica. Il vapore si è raffreddato. Siamo tornati in C, da dove eravamo partiti e da dove ricomincia il ciclo.
Mentre i frigoriferi funzionano oggi con cicli diversi da quelli di Carnot, la migliore applicazione della macchina termica reversibile e quindi frigorifero di Carnot è la pompa di calore che, oggi, dopo almeno trenta anni dalla sua commercializzazione economica, si inizia a conoscere in Italia.
Riguardo al rendimento, esso non è definibile nelle macchine refrigeranti. Per queste macchine si definisce un effetto utile refrigerante o coefficiente di prestazione x . Esso è il rapporto tra il calore sottratto a bassa temperatura ed il lavoro che è necessario spendere per sottrarlo. Riferendoci ad un frigorifero di Carnot, si ha:

CICLO DI RANKINE
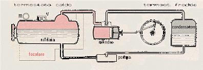
A partire dal ciclo di Carnot, molti ingegneri, scienziati e tecnologi iniziarono a comprendere in termini più moderni il funzionamento delle macchine che via via venivano elaborate. La loro descrizione semplicemente empirica lasciava ormai insoddisfatti, occorreva progettare la macchina sapendo con che trasformazioni si sarebbe lavorato, con quale fluido, con quali rendimenti. Nel frattempo, nel 1847, si stabiliva la conservazione dell’energia (Primo Principio della termodinamica) nel lavoro di Helmholtz, Sulla conservazione della forza. Come si osserva ancora non era entrato il termine energia e forza (kraft) era il termine improprio che lo sostituiva (con il sottinteso di forza viva). E, nella Gran Bretagna vittoriana si arrivò anche a dare valenze morali all’energia, il suo uso la degrada ! Insomma un fervore di attività intorno alle macchine diventate adulte e bisognose di una sistemazione scientifica organica. Molti studiosi elaborarono una gran mole di studi teorici sull’argomento, studi che vertevano alla fine al grafico di un determinato ciclo. La realizzabilità del quale restava comunque sempre in predicato: denaro, investitori, finanziatori. Tra i molti cicli che si svilupparono ne vedremo alcuni, quelli che ebbero un maggior impatto economico, produttivo e sociale. Inizio con il ciclo di Rankine che non fu il primo in assoluto ma il primo che studiò scientificamente a fondo la macchina a vapore (con condensatore separato). Egli, tra il 1858 ed il 1859, realizzò il ciclo di funzionamento di tale macchina che ora vedremo. Nella figura 28 è riportato uno schema di funzionamento di un motore a vapore: il focolare è la sorgente calda che fornisce il calore al motore, il condensatore è la

Figura 28
sorgente fredda in cui si scarica del calore; il lavoro meccanico è realizzato dal moto alternativo del cilindro (alimentato dal cassetto di distribuzione)(8) che si trasmette alle ruote della macchina che monta il motore (quasi sempre una locomotiva). Nella figura 29

Figura 29
vi è il ciclo di Rankine che ora vedremo rapportandolo allo schema del motore (in rosso è riportato il ciclo teorico, tratteggiato il ciclo reale: qui, come sempre, si progetta un qualcosa ipotizzando il meglio per ciascuna trasformazione, ma le trasformazioni reali non sono mai perfette perché è impossibile avere perfette isobare, perfette adiabatiche, perfette isoterme, perfette isocore). Prima di essere messa in moto una macchina alimentata con questo motore, è necessario che la caldaia venga portata a pressione elevata (punto A del grafico). A questo punto il vapore alla pressione e temperatura della caldaia, entra nel cilindro e si espande per circa un quarto della corsa del pistone mediante una isobara (quella che porta da A a B, e durante la quale entra del calore nella macchina). Il resto dell’espansione del vapore (ultimi 3/4 del cilindro) avviene mediante una adiabatica (trasformazione BC). Si deve notare che tra B e D otteniamo lavoro dalla macchina. Arrivati a C il fluido inizia ad essere riportato nella caldaia mediante una compressione a pressione costante fino a D (è la fase della condensazione che sottrae calore alla macchina). Dal punto D ad A, il fluido viene riscaldato a volume costante (isocora) finché non ritorna alla pressione iniziale (il fluido, ritornato nella caldaia, viene riscaldato e riportato ad alta temperatura e pressione).
CICLO STIRLING
Questo progetto di motore è addirittura precedente al ciclo di Carnot. E’ dovuto allo scozzese reverendo Robert Stirling che lo inventò nel 1816. E’ l’ultimo motore della categoria a combustione esterna che vedremo e che ebbe un certo successo commerciale durante tutto l’Ottocento, prima che il motore a scoppio non lo soppiantò. Recentemente è rinato un certo interesse, tanto che la Philips ha recentemente acquistato i diritti di sfruttamento del brevetto.
Per comprendere il principio di funzionamento del motore Stirling, riferiamoci alla figura 30 che ne illustra il ciclo teorico ed al grafico di figura 31. Si tratta di un motore a 4 fasi che si sovrappongono tra loro all’interno di un cilindro che permette il moto di due pistoni e dentro il quale vi è uno strumento chiamato rigeneratore che è di fatto uno

Figura 30
scambiatore di calore. La sovrapposizione di cui prima nasce dal fatto che mentre un cilindro fa una cosa, l’altro ne fa un’altra. Il fluido operativo è l’aria (o qualsiasi altro gas). Lo spazio in cui essa viene compressa è mantenuto a bassa temperatura da un raffreddamento esterno; lo spazio dove l’aria viene fatta espandere è mantenuta ad una temperatura elevata mediante una sorgente esterna di calore. La temperatura dell’aria aumenta nella compressione e diminuisce nell’espansione. Il ciclo inizia con il numero 1 della figura 30 e del grafico di figura 31. Seguiamo la figura 30. Il ciclo inizia quando il pistone dello spazio della compressione è al suo punto più basso come quello dell’espansione (solo che ciò comporta il massimo volume disponibile per la compressione ed il minimo per l’espansione). L’intero fluido si trova quindi nello spazio di compressione freddo, alla sua massima espansione ed alla minima pressione (si

Figura 31
vedano i numeri 1 di ambedue le figure). Le prime due fasi del ciclo (disegni 1 e 2 di fig. 30 e trasformazione isoterma 1 –> 2 del grafico) si realizzano con il pistone di compressione che comprime il fluido salendo verso il rigeneratore e, affinché la temperatura si mantenga costante nello spazio di compressione, occorre sottrarre calore (Q1 nel grafico); la cosa è realizzata da uno scambiatore con l’ambiente esterno, una sorta di radiatore di automobile. Prima che il pistone in basso arrivi a contatto con il rigeneratore, la fase 2 va a sovrapporsi alla 3 di figura 30: il pistone in basso continua a salire iniziando a far muovere quello in alto di modo che il tutto avvenga a volume costante; in queste due fasi sovrapposte, il fluido passa attraverso il rigeneratore, che questa volta gli fornisce calore (ΔQ nel grafico), andando nello spazio di espansione; la temperatura e la pressione del fluido aumentano (trasformazione isocora 2 –> 3 del grafico). Durante l’espansione che avviene nelle fasi 3 e 4, il fluido spinge il pistone in alto fino alla sua massima espansione; la pressione diminuisce e, per mantenere costante la temperatura, si fornisce calore dall’esterno (Q2 nel grafico). Nel grafico la trasformazione è l’isoterma 3 –> 4. Vi è infine l’ultimo momento rigenerativo a volume costante durante le ultime due fasi, la 4 e la 1 di figura 30: ambedue i pistoni si muovono simultaneamente verso le posizioni iniziali ed il fluido torna nello spazio di compressione. Per realizzare questo passaggio il fluido passa, appunto, attraverso il rigeneratore dove cede calore (DQ nel grafico ) che viene immagazzinato dal rigeneratore medesimo per il suo uso nel ciclo successivo; la temperatura e la pressione si abbassano per tornare ai valori iniziali. Nel grafico la trasformazione è l’isocora 4 –> 1.
Sono stati studiati vari modi di realizzazione pratica di un tale motore ma è stato necessario cambiare alcune trasformazioni. Le cose diventano complicate da un punto di vista tecnico e lascio perdere. E’ interessante invece notare che questo motore, dato il suo essere a combustione esterna è molto versatile e si presta bene ad essere alimentato dall’energia solare, concentrata con apposite lenti, ad esempio di Fresnel, dall’energia nucleare (Cobalto 60) e a diventare la base per i motori ibridi che ultimamente (2004) stanno entrando nella fase di commercializzazione (per questo motore e per i successivi rimando alla bibliografia apposita per una più completa comprensione).
CICLO OTTO
Questo ciclo prende il nome dal tedesco Nikolaus August Otto che lo brevettò nel 1876. Su questo ciclo si basa il motore a scoppio ed è quindi utile trattarlo con qualche dettaglio. Si tratta di un primo motore in cui la combustione è prevista all’interno della macchina. Una prima realizzazione di motore a scoppio (combustione interna) fu di due scienziati italiani, Matteucci (un ingegnere fisico) e Barsanti (un prete fisico) che la brevettarono nel 1854. Si trattava di un motore bicilindrico che costituì l’avvio al primo motore a benzina (con polemiche relative al fatto che il brevetto dei due italiani fu copiato, alla fiera di Francoforte dove fu esposto, come ormai si sa per certo). Il ciclo a quattro tempi fu ideato da Beau de Rochas nel 1862 e realizzato da Otto e Langen nel 1877, come accennato . Successivamente (1889) Daimler brevettò un motore ad accensione a scintilla (chiamato poi motore Otto), alimentato da benzina.
Vediamo il disegno del motore (Fig. 32) e in basso, in corrispondenza di ogni tempo, riportiamo la relativa trasformazione che, alla fine, va a costruire il ciclo.

Figura 32
Abbiamo un cilindro dentro cui scorre un pistone che trasforma il moto alternativo in rotatorio mediante il meccanismo biella-manovella. avverto che il cilindro è uno solo e che le fasi che vi si sviluppano sono le quattro che ora illustro a partire da disegno e grafico primi a sinistra.
1° tempo: Aspirazione – Dalla valvola aperta sulla sinistra viene aspirata dell’aria, dentro cui vi è un aerosol di benzina (la miscela viene preparata nel carburatore all’ingresso del cilindro), in modo isobaro alla pressione atmosferica (A –> B). L’aspirazione avviene come in una siringa: è il pistone che abbassandosi lo fa.
2° tempo: Compressione – La valvola d’ingresso si è chiusa ed il pistone risale. Nel far questo comprime adiabaticamente la miscela di aria e benzina nella sommità del cilindro (B –> C).
3° tempo: Scoppio ed Espansione – Nella miscela compressa, dall’alto, scocca una scintilla (candela) che provoca prima una immediata compressione isocora dovuta all’istantaneo aumento di temperatura (scoppio) e immediatamente dopo una espansione adiabatica che porta il pistone violentemente verso il basso del cilindro (questo è l’unico tempo attivo del motore). Nel grafico queste sono le due trasformazioni C –> D –> E.
4° tempo: Scarico – Per inerzia il pistone risale. Ora si apre la valvola di scarico a destra da dove vengono spinti fuori tutti i gas ed i residui della combustione precedente. Vi è prima un abbassamento di pressione a volume costante (una brevissima isocora) e quindi una isobara a pressione atmosferica (E –> B –> A). Quando poi il pistone è ritornato su in cima, inizia di nuovo a scendere ma con la valvola di scarico chiusa e quella di aspirazione aperta. Ciò ci riporta al 1° tempo. In definitiva il ciclo risulta costituito da due isocore e da due adiabatiche (trascuriamo le isobare di immissione della miscela e di espulsione dei gas combusti), proprio come quello di Stirling.
Negli ordinari motori a scoppio vi sono quattro cilindri, sfasati nei movimenti dei pistoni di 90°, al fine di avere sempre in azione un tempo attivo (ma anche per avere due pistoni in discesa mentre due sono in salita, al fine di ridurre al minimo le vibrazioni del motore. L’avviamento del ciclo avviene con interventi esterni: nei primi tempi con una manovella, da moltissimi anni con un generatore elettrico collegato con la chiave di avviamento.
Naturalmente anche qui vi sono le due sorgenti. Quella calda è alla temperatura della benzina incendiata dentro il motore (si arriva a circa 400 °C) e quella fredda è alla temperatura dell’ambiente nel quale il motore scarica il suo calore sia mediante il radiatore (circolazione d’acqua intorno al motore per sottrarre più rapidamente il calore che non con la sola aria) che mediante i gas di scarico.
I vantaggi di tale motore sono essenzialmente legati al piccolo peso confrontato con la potenza fornita. La cosa lo rende versatile praticamente per tutto. Innanzitutto ha risolto il problema della navigazione aerea, impensabile con motori a vapore o diesel (vedi oltre). Quindi quello delle piccole macchine utensili: falciatrici, seghe, generatori elettrici, … La parte negativa è il rendimento: si parte da circa il 35% con motore nuovo e presto si arriva al 10%.
CICLO DIESEL
Rudolf Diesel si era messo intesta di realizzare un motore che fosse la messa in atto del ciclo di Carnot. Lavorò moltissimo con criteri di assoluta scientificità (il suo motore lo chiamava macchina razionale) e i suoi conti davano per il suo progetto un rendimento fantastico: addirittura del 73% a fronte del 7% che all’epoca (circa 1885) era la media delle macchine termiche. Ma Diesel (come tutti) dovette scontrarsi con i problemi di realizzabilità tecnologica che lo portarono a qualcosa di diverso da una macchina di Carnot. E’ da notare comunque che, per la prima volta, dopo 200 anni, l’approccio al problema delle macchine termiche parte da una impostazione scientifica e, da questo momento, la scienza prenderà le redini dei problemi connessi con la progettazione e realizzazione di tali macchine.
Diesel studiò in Germania ed ivi si laureò (1880) nella Scuola Tecnica di Monaco. Fu allievo di Carl Linde, uno dei massimi studiosi della refrigerazione e del raggiungimento delle basse temperature. Ciò lo familiarizzò con i problemi di pompe, di termodinamica e dei più avanzati concetti della scienza del calore (la Germania, unificata da pochi anni, era già assurta a ruolo di grande potenza scientifica). Fece molte esperienze di vario tipo ma si soffermò soprattutto sul fluido da utilizzare in una macchina termica e per almeno 10 anni studiò l’uso dell’ammoniaca come fluido operativo, certamente influenzato dal fatto che le macchine per basse di temperature di Linde, facevano lo stesso. Sperimentò una macchina ad ammoniaca, inseguito però dai suoi concittadini che non resistevano a quell’orrendo puzzo. Le sue ricerche le pubblicò nel suo Teoria e costruzione di una macchina termica razionale sostituibile alla macchina a vapore e a tutte le macchine a combustione attualmente note (1893): insomma titolo di un lavoro e manifesto commerciale! Il lavoro seguiva l’irrealizzabile macchina di Carnot e dava l’idea che la macchina razionale già esistesse. Esso fu inviato a scienziati (la loro approvazione sarebbe stata fondamentale per fare pressione su chi l’avrebbe dovuta produrre) e a vari industriali con la speranza che qualcuno finanziasse l’impresa. Ma Diesel era abbastanza scaltro, sapeva che se qualcuno si fosse fatto avanti egli avrebbe dovuto realizzare in tempi ragionevolmente brevi. Aveva allo scopo dei progetti di riserva che scendevano a compromessi con quello iniziale al fine della immediata realizzabilità. Solo nel 1897 Diesel riuscì a portare a termine il suo primo prototipo. Aveva dovuto fare dei compromessi terribili: la temperatura del fluido operativo dovette scendere dai 1000 °C previsti a circa la metà; la pressione di tale fluido passò dalle 90 atmosfere previste alle circa 30; il rendimento termico scese da quel 73% a solo il 26 %; l’alimentazione passò al petrolio. Questo fu il motore che opportunamente sistemato andò sul mercato ma Diesel continuò a sperimentare con il suo sogno per molti anni.
Vediamo il funzionamento di un moderno motore Diesel. La struttura è del tipo del motore a scoppio con due sostanziali differenze: non c’è la candela che provoca la scintilla in quanto il carburante viene iniettato in aria surriscaldata per sola compressione e conseguentemente esplode; a seguito di ciò, dovendo lavorare con elevate pressioni, i cilindri sono più massicci. Riporto allora solo il grafico del ciclo Diesel (Fig. 33), discutendo in breve le singole trasformazioni con riferimento al ciclo

Figura 33
Otto. Nella prima fase il cilindro aspira dell’aria dall’ambiente esterno in modo isobaro eseguendo la trasformazione 5 –> 1 (solo aria, contrariamente al motore a scoppio, dove viene aspirata una miscela di aria e benzina). E’ utile osservare che ancora oggi in molti diesel prima di accendere il motore occorre preriscaldare l’aria che è dentro i cilindri: questo è il motivo per cui occorre attendere un poco prima di avviare il motore. Quest’aria viene compressa adiabaticamente fino ad innalzare la sua temperatura per sola compressione ( 1 –> 2) al punto che l’iniezione di un carburante provochi la combustione che è per brevissimo tempo una isobara (2 –> 3). In questa fase viene fornito del calore alla macchina. Da qui tutto procede come nel motore a ciclo Otto: il fluido fa espandere il pistone adiabaticamente con violenza (fase attiva: 3 –> 4), il pistone ritorna su e scarica all’esterno calore (i gas combusti) e si ricomincia (4 –> 1 –> 5).
Tale motore ha un rendimento maggiore (può arrivare al 40%) di quello a benzina e consuma un carburante con caratteristiche di maggiore economicità. E’ un motore molto affidabile che può mantenere per molto tempo un numero di giri costante (contrariamente al motore a scoppio che deve far variare continuamente il numero di giri, per un miglior funzionamento). E’ particolarmente indicato ed addirittura insostituibile per muovere treni, navi ed ogni grande trasporto. I generatori di corrente che devono fornire molta potenza sono sempre motori Diesel.
CICLO WANKEL
Arriviamo a quest’ultimo motore che è utile conoscere perché ha elementi importanti di novità rispetto a quelli visti. Si tratta di un motore che ripete il ciclo del motore a scoppio ma non si serve del cilindro e del pistone. Qui, all’interno di un carter metallico con la forma di un triangolo a lati curvilinei (si chiama: epitrocoide), ruota l’elemento mobile che è chiamato rotore. Il rotore, che ha anch’esso una forma a triangolo curvilineo, a cui è collegato l’albero motore, gira attorno ad un asse eccentrico, creando camere (A, B, C di figura 34) dentro cui si generano successivamente le stesse trasformazioni che si generavano con cilindro e pistone. Il motore è dovuto all’ingegnere tedesco Wankel che iniziò a studiarlo intorno al 1926. Solo nel 1956 entrò in funzione il primo prototipo che, con poche modifiche, qualche tempo più tardi (1965) fu montato in auto realizzate dalla tedesca NSU e successivamente dalla Mazda. Aiutandoci con le

(a) (b)

(c) (d) (e)
Figura 34
cinque immagini di figura 34, cerchiamo di capire il funzionamento di questo motore rotativo. Come già accennato, il motore Wankel ha tre piccole camere A, B e C nella figura. Tali camere hanno volumi variabili a seconda della posizione che ha in quel momento il rotore. In ciascuna di queste camere si compie un ciclo Otto completo. a quattro tempi, per ogni giro del rotore. Per illustrare il funzionamento del motore riferiamoci ad una sola camera, ad esempio, alla A. In (a) siamo nella fase di aspirazione: la miscela di aria e benzina viene aspirata in A da un carburatore (il volume di A va aumentando ed a seguito di questo si ha aspirazione); in (b) il rotore, che ha realizzato una parte della rotazione, chiude con uno dei suoi vertici (fondamentali soprattutto nella loro tenuta in tale motore) il condotto dal quale entrava la miscela ed inizia a comprimere la miscela stessa; in (c) la camera A è alla massima compressione della miscela quando scocca la scintilla; in (d) si ha un improvviso aumento della pressione seguito immediatamente da un violento colpo sul rotore per permettere l’espansione della miscela in combustione; in (e) il vertice successivo del rotore va ad aprire il condotto di scarico che permette l’espulsione dei gas combusti. Nel frattempo nella camera B inizia ad essere aspirata aria che seguirà la stessa sorte che ora abbiamo descritto per la camera A.
Vediamo i possibili vantaggi di un tale motore. Meno pezzi che quasi dimezzerebbero il peso di un’auto utilitaria; conseguentemente minor prezzo e minor consumo di pneumatici; il minor peso permetterebbe l’aumento della struttura di protezione per i passeggeri; si disporrebbe di più spazio per passeggeri e bagagli a parità di altre prestazioni (prezzo, cilindrata, …) di un’auto equipaggiata con motore ordinario.
Vediamo ora gli svantaggi. La novità completa di tale motore crea una diffidenza in tutti gli operatori del settore auto (dal settore tecnico a quello commerciale fino a coloro che dovranno ripararle); la questione del consumo degli spigoli del rotore per attrito (tali spigoli non possono poi essere lubrificati da un bagno d’olio minerale come nel motore ordinario: l’uso della miscela di benzina ed olio potrebbe risolvere) che pregiudica la tenuta, fondamentale per il funzionamento del motore; il consumo è elevato proprio anche per la tenuta oltreché per il fatto che la combustione del carburante risulta più lenta che nel motore ordinario.
Ciò che è certo è che questo come altri motori non hanno uno sviluppo legato ad una grande sperimentazione. Motivi economici di grossi investimenti richiesti, fanno lavorare le case automobilistiche solo su cose ultrasperimentate. E così, ad oltre 100 anni dai primi motori a scoppio o Diesel abbiamo solo assistito a perfezionamenti tecnici senza nessun tentativo serio di superare queste macchine che sono vecchie per consumi, carburanti e materiali.
CONCLUSIONE
Vi sarebbero molti altri cicli da discutere ma per farlo occorrerebbe entrare in discussioni eccessivamente tecniche proprio per far intendere vantaggi e svantaggi al variare, a volte, di una sola traformazione. Vi sono, ad esempio, i cicli di: Ericsson, di Lenoir, di Brayton-Joule, di Clausius-Clapeyron, di Holzwarth, di Sabathé, … Non è qui il caso di entrare in tali dettagli anche perché in bibliografia riporto testi che discutono in modo approfondito queste cose. Il mio scopo era quello di far conoscere la grande cavalcata tra macchine motrici che, sotto l’impulso della rivoluzione industriale, ci ha portato fino al terzo millennio. In alcune parti sono entrato in qualche dettaglio (soprattutto nelle note), in altre ho descritto in modo sommario. L’equilibrio in queste cose è difficile: fin dove trattare la storia ? fin dove entrare nelle questioni sociali ? fin dove entrare in questioni tecniche ? fin dove entrare in argomenti nuovi ? Credo di aver mediato abbastanza e di aver realizzato un discorso accettabile per un gran numero di lettori. Inoltre, avverto, molte questioni tecniche su argomenti connessi sono trattate altrove nel sito ed anche le questioni dei rapporti con il mondo civile hanno ampio spazio.
NOTE
(0) Ricaviamoci l’espressione matematica che definisce una adiabatica.
La definizione di una adiabatica, a partire dal fatto che deve risultare

si trova a partire dal Primo Principio della Termodinamica (I) sostituendo il risultato nell’espressione differenziale della legge dei gas perfetti (II). Successivamente si trova:

dove


(1) Cerchiamo di capire come funziona una pompa.
Riporto uno schema animato di una pompa idraulica per rendersi rapidamente conto del suo funzionamento. Una macchina a vapore doveva azionare la leva di una tal pompa con continuità, sollevando l’acqua alla superficie del suolo.

(2) Alcune notizie sull’unità di misura cavallo vapore.
Una delle unità di misura di potenza, usate fin dall’affermazione del concetto di energia e potenza, è il cavallo vapore britannico, l’Horse Power (letteralmente: cavallo potenza, con simbolo HP). E’ interessante vedere come è nata questa unità di misura.
Alla metà del Settecento le birrerie britanniche lavoravano essenzialmente in città. Alcuni cavalli erano legati ad una ruota e, muovendosi in circolo, sollevavano il malto che poi andava in contenitori cilindrici, per la fermentazione.
Ora, immaginate un venditore di macchine a vapore, finalmente rese abbastanza maneggevoli, che debba vendere una tale macchina ad un fabbricante di birra. Che macchina gli vendeva ? Se le birrerie non erano tutte delle stesse dimensioni, avevano a che fare con strutture differenti: più o meno cavalli a maggiore o minore altezza. E Watt, oltre che ideatore di macchine a vapore, era anche un venditore di esse. Si trovò di fronte proprio alla difficoltà di quale tipo di macchina offrire a differenti dimensioni di birrerie.
Il problema non si sarebbe risolto con chiacchiere più o meno convincenti. Occorreva studiare il problema del lavoro che i cavalli facevano in un certo tempo. Si concentrò nello studio di una unità, che poi divenne l’unità di potenza, misurando l’altezza alla quale il più robusto cavallo di Glasgow riusciva a sollevare in un secondo il peso di 150 libbre. Naturalmente occorreva ripetere le misure per differenti cavalli e sempre con il timore che, dopo la vendita di una determinata macchina ci si trovasse di fronte ad una resa della macchina perché “i miei cavalli facevano quello che questa macchina non fa“. Fatte più misure (1781) Watt aveva trovato un valor medio per la potenza di un cavallo e, ad evitare contestazioni, moltiplicò tale valore per 1,5 per essere davvero tranquillo. A questa potenza dette il nome di Horse Power (HP), cavallo vapore (britannico si aggiunse poi, per distinguerlo da altro cavallo, quello francese).
L’HP determinato da Watt corrispondeva a 550 piedi per libbra al secondo.
Eravamo vicini a Napoleone ed in Francia non avrebbero mai potuto accettare una tale misura. Ne introdussero una nuova con il nome di CV (Cavallo Vapore) legata alla precedente dalla relazione:
1 CV = 1.01387 HP.
Naturalmente i francesi non scrissero l’ultima relazione da me scritta ma dettero in loro unità (metri, kilogrammi, secondi) il CV (1 CV = 75 Kg per metro al secondo), e solo dopo si stabilì la relazione tra CV ed HP.
Oggi, per grande fortuna, ambedue le unità suddette sono sparite (quasi …) e sostituite dall’unità di misura riconosciuta in tutto il mondo per la potenza: il watt e valgono le relazioni:
1 HP = 745,7 watt
1 CV = 736 watt
(solo per curiosità, ricordo che in passato si è anche utilizzato il donkey o asino vapore = 250 watt) ed il watt che corrisponde ad un joule (o newton per metro) al secondo è la potenza necessaria per sollevare di un metro un corpo avente la massa di 102 grammi, in un secondo.
Credo che la messa insieme di tante unità faccia girare un poco la testa. Ed io ho solo sfiorato le unità di misura in un ambito ristretto. Si pensi che vi sono oltre diecimila unità di misura scientifiche accumulatesi nel tempo. Si considerino le migliaia di unità di misure pratiche e si capisce quanto complesso sia ma soprattutto sia stato il problema di parlarsi comunicando i valori di determinate misure.
(3) Ricordo in breve il senso dell’affermazione fatta.
E’ noto che l’espressione per il lavoro nella meccanica tradizionale (concetto affermatosi durante l’Ottocento) è il prodotto scalare tra forza esercitata e spostamento provocato: L = F x Δ s (dove con F si è indicata la forza, con x il prodotto scalare e con Δ s lo spostamento). Ora, riferendoci ad esempio al moto di un pistone in un cilindro non si vede subito cosa dovrebbe essere F e Δ s (in questo caso il prodotto scalare può essere sostituito da un prodotto ordinario in quanto F e Δ s sono certamente paralleli). Se si osserva bene, però, ci si rende conto che la spinta del vapore sulla superficie del pistone è la pressione P; lo spostamento del pistone Δ s comporta una variazione del volume Δ V del vapore nel cilindro. Più immediata è quindi un’espressione che metta in relazione queste ultime due grandezze rispetto a quelle della definizione tradizionale di lavoro nella meccanica. Dal punto di vista dimensionale F. Δ s (il prodotto scalare non altera le dimensioni) ha le stesse dimensioni di P. Δ V (per ottenere P si è divisa F per la superficie S del pistone; per ottenere Δ V si è moltiplicato lo spostamento Δ s del pistone per la superficie S del medesimo; in definitiva si è moltiplicato e diviso per la medesima quantità).
E’ ora interessante vedere graficamente il significato della relazione P. Δ V. Lo faccio nel caso più evidente, fermo restando che il risultato può essere esteso a qualsiasi trasformazione. Se si considera, ad esempio, una trasformazione isobara AB in un piano P, V (Fig. I), si vede subito che il prodotto dell’altezza P per la base D V fornisce l’area della parte tratteggiata (un rettangolo): ciò vuol dire che per fare quella trasformazione si è fatto quel lavoro e la cosa è d’interesse perché rende visivamente il lavoro necessario per fare una trasformazione (o quello che otteniamo da una trasformazione). Più in generale, data una curva qualsiasi di variazione di pressione con il volume, è sempre l’area sottesa da questa curva, l’asse delle

Figura I Figura II
ascisse e i segmenti di perpendicolare tracciati dagli estremi della curva che fornisce il lavoro fatto (o ottenuto). La figura II mostra tratteggiata l’area che rappresenta il lavoro (fatto o ottenuto) per una trasformazione AB generica. Dal punto di vista del calcolo, tenuto conto che ora la pressione non è una costante ma una funzione del volume p(V), occorre passare a quello integrale, come somma di infiniti contributi infinitesimi:

Se poi vogliamo calcolarci il lavoro fatto in una trasformazione ciclica, occorre riferirci alle figure III e IV.

Figura III Figura IV
Per procedere al calcolo del lavoro fatto nel caso di figura III (e quindi della IV) e mostrare che il lavoro fatto in tali trasformazioni è l’area compresa dalla curva che descrive il ciclo, occorre dire due parole sul segno che occorre assegnare a tale lavoro. Convenzionalmente si considera il lavoro positivo (Δ L > 0), cioè un lavoro utile che la macchina ci fornisce, quando la trasformazione comporta un aumento di volume, di modo che Δ V > 0. Viceversa, quando la macchina richiede lavoro dall’esterno, quando ad esempio siamo noi a comprimere lo stantuffo, allora il lavoro è considerato negativo (Δ L < 0) ed è negativo quando Δ V < 0. A questo punto passiamo a calcolarci il lavoro fatto nel ciclo di figura III, semplificato geometricamente per poter procedere ad un calcolo elementare (con il calcolo integrale si mostra immediatamente la stessa cosa per la figura IV).
Il lavoro complessivo L fatto nel ciclo in oggetto sarà dato dalla somma dei quattro lavori necessari per le quattro singole trasformazioni che costituiscono il ciclo: L1 il lavoro fatto per andare da A a B mediante l’isocora AB; L2 il lavoro fatto per andare da B a C mediante l’isobara BC; L3 il lavoro fatto per andare da C a D mediante l’altra isocora CD; L4 il lavoro fatto per andare da D ad A (e quindi chiudere il ciclo) mediante l’isobara DA.
L = L1 + L2 + L3 + L4
procediamo ora al calcolo dei singoli lavori. Si ha:
L1 = 0 perché, essendo il lavoro dato dal prodotto della pressione per la variazione di volume, se tale variazione è zero, il lavoro è nullo;
L3 = 0 per l’identico motivo di cui sopra;
L2 = P2 (V2 – V1) [si tenga conto che questo lavoro è positivo perché D V > 0]
L4 = P1 (V1 – V2) [si tenga conto che questo lavoro è negativo perché D V < 0].
Sommiamo i lavori diversi da zero:
L = P2 (V2 – V1) + P1 (V1 – V2) = P2 (V2 – V1) – P1 (V2 – V1) = (P2 – P1).(V2 – V1)
ed è facile rendersi conto che questo prodotto rappresenta proprio l’area tratteggiata in figura III. Si deve osservare che, in pratica, quando abbiamo una trasformazione non chiusa, il lavoro è sempre l’area sottesa tra la curva che rappresenta la trasformazione, i segmenti di perpendicolare all’asse delle ascisse e lo stesso asse delle ascisse. Quando si ha una trasformazione ciclica, accade che, andando da un dato A ad un dato B (ad esempio aumentando il volume), per tornare da B ad A è necessario passare per una qualche trasformazione che riduca tale volume con la conseguenza di sottrarre l’area sottesa da questa ultima trasformazione di ritorno da quella precedente. Riferendoci allora a figura IV si ha che il lavoro L fatto nel ciclo disegnato è dato da:
L = LAB + LBA
[attenzione che LAB è la trasformazione più in alto in figura; mentre LBA è quella più in basso]. Ora L è l’area tratteggiata internamente al ciclo data per differenza tra: LAB (tutta l’area compresa tra la curva AB, i segmenti di perpendicolare dagli estremi ed il segmento VB – VA) ed LBA (tutta tutta l’area compresa tra la curva BA, i segmenti di perpendicolare dagli estremi ed il segmento VA – VB). Se si fa geometricamente tale differenza, resta l’area L.
Non entro ora in considerazioni del tipo: che accade se il lavoro totale è negativo ? Anticipo solo che la macchina, da termica, diventa frigorifera.
(4) Sadi Carnot sviluppa le sue ricerche teoriche con ben poco di teorico sviluppato in ambito di termologia e scienza del calore (chiamare questa scienza come termodinamica, a questo punto, sarebbe esagerato). In ogni caso, più in dettaglio, prima di Carnot erano stati studiati con sufficiente precisione gli argomenti seguenti: con lavori sperimentali, da precise misure, si erano stabilite le leggi della dilatazione termica; i concetti di capacità termica e di calore specifico (Wilcke, Black, Lavoisier, Laplace, … ); i fenomeni del calore di fusione e di evaporazione (Black, … ); quelli della soprafusione, dell’ebollizione e della solidificazione. Erano poi iniziate le prime interpretazioni teoriche sulla natura del calore e mentre Euler, come già Boyle, lo riteneva generato dal moto delle minuscole particelle costituenti i corpi (teoria dinamica), Black ed altri lo consideravano un fluido (il calorico ). Questo fluido calorico era pensato come una atmosfera che circondava le particelle ultime della materia, gli atomi. Vi furono grosse polemiche che non risultarono attenuate dalla posizione di Lavoisier e Laplace che tentarono di sostenere la conciliabilità tra le due teorie. Molti scienziati si schierarono con la teoria dinamica (Davy, Young, Rumford, … ). Fu infine Rumford (B. Thompson), come accennato, che dopo una serie di esperienze poté affermare che il calore non è altro che movimento.. Altre conquiste, di gran rilievo, da ricordare sono:
– la distinzione, che riesce a farsi strada, tra temperatura e calore (Klingenstierna – 1729);
– la fondazione della teoria cinetica dei gas da parte di D. Bernouilli (1738) che ritrovò la legge di Boyle (PV = K) a partire da considerazioni microscopiche sulla natura corpuscolare dei gas};
– la scoperta della conservazione della massa ad opera di Lavoisier (1787) che riuscì a determinare con esattezza i fenomeni in gioco nella combustione dei corpi.
Inoltre:
nel 1802 Gay-Lussac aveva esteso la legge di Volta, relativa alla dilatazione termica dei gas, a tutti i gas;
nel 1803 J.L. Proust aveva formulato la legge delle proporzioni definite;
nel 1808 J. Dalton aveva avanzato l’ipotesi atomica e stabilisce la legge delle proporzioni multiple;
nel 1808 Gay-Lussac aveva formulato la legge dei volumi dei gas;
nel 1811 A. Avogadro aveva formulato la legge che porta il suo nome (volumi uguali di gas, nelle stesse condizioni di temperatura e pressione, contengono lo stesso numero di grammomolecole);
nel 1811 Avogadro aveva formulato l’ipotesi che porta il suo nome e che permette di distinguere atomi da molecole (le molecole dei corpi semplici gassosi sono formate da atomi identici mentre le molecole dei corpi composti gassosi sono formate da atomi differenti); si osservi che si dovranno attendere circa 50 anni prima che questa ipotesi venga presa in considerazione, fatto quest’ultimo che permetterà enormi sviluppi nella chimica.
(5) Questo ciclicamente vuol dire che ci si confronta, pur in un discorso teorico, con la realtà. Per pura speculazione si può pensare ad una macchina costituita da un cilindro infinito ed un pistone. Se si immette un gas nel cilindro e si scalda indefinitamente, il pistone si muoverà per la dilatazione continua del gas. Se si continua a scaldare non vi è chi fermi il pistone. Poiché il volume del gas racchiuso nel cilindro cresce sempre si avrà un lavoro sempre positivo. Quindi non vi è necessità di ciclico e neppure di due sorgenti (come vedremo). Il fatto è che le macchine non possono essere infinite. E se sono finite, ad un elevarsi del pistone deve poi corrispondere un abbassarsi del medesimo percorrendo la via a ritroso. Ma, così facendo occorre fare un lavoro negativo e quindi serve una seconda sorgente ed in definitiva una trasformazione ciclica.
(6) Ricordo che il Primo principio afferma: in una trasformazione aperta (non ciclica) la somma tra calore e lavoro fornisce la variazione di energia interna del sistema Δ U, dove U = 3/2 kT è funzione della sola temperatura assoluta
L + Q = Δ U.
In una trasformazione ciclica, poiché si ritorna allo stato da cui si è partiti e quindi alla stessa temperatura, non vi è variazione di energia interna (Δ U = 0).
(7) La macchina di Carnot è una macchina ideale o reversibile. Tutte le altre macchine sono reali o irreversibili. Se la macchina è di Carnot o reversibile, il rendimento è quello riportato nel testo. Nel caso di macchina reale o irreversibile, il rendimento è dato da:
ηirr = 1 – Q1/Q2 < 1 – T1/T2.
Tanto per far capire chiaramente il problema degli sprechi energetici, faccio un rapido conto. Suppongo di avere una locomotiva di Carnot, il meglio che si possa ipotizzare, che abbia una caldaia che produca vapore a temperatura T2 = 500 °K (227 °C). Supponiamo ancora che tale locomotiva cammini in un luogo in cui la temperatura esterna (la sorgente fredda) è di T1 = 300 °K (27 °C). Il suo rendimento sarà:
η = 1 – T1/T2 = 1 – 300/500 = 1 – 3/5 = 0,4 = 40%
cioè, si impiega una energia 100 per ottenerne un lavoro 40. Ed abbiamo pensato alla macchina ed alle condizioni più favorevoli ! Se la macchina diventasse reale, il suo rendimento sarebbe inferiore a quello ora visto.
Passiamo ora a dimostrare che Q2/Q1 = T2/T1, riferendoci al ciclo di Carnot di figura 25. Dimostriamo subito che VB/VA = VC/VD e cioè che, ad esempio, se durante l’espansione isoterma che ci ha portato da A a B, il volume del gas è raddoppiato, durante la compressione isoterma che ci ha portato da C a D tale volume deve essersi dimezzato. Per fare ciò ricorriamo alla IV di nota (0):

Applicando la precedente relazione all’espansione adiabatica che ci ha portato da B a C e alla compressione adiabatica che ci ha portato da D a B si ha rispettivamente:

poiché TA = TB = T2 e TC = TD = T1, si può sostituire nelle relazioni precedenti e scrivere:

dividendo membro a membro, si trova quanto avevamo annunciato:

Ora devo calcolarmi i calori Q2 e Q1 che equivalgono rispettivamente ai lavori LI ed L III (ricordo che il primo principio, nel caso di una trasformazione isoterma, diventa L = Q), cioè le aree sottese dalle due isoterme T2 e T1 (isoterme che hanno equazione, come già detto: PV = nRT –> P = nRT/V). Si ha:

analogamente, con lo stesso calcolo, per Q1 si trova:

(quest’ultimo valore andrebbe preso in modulo poiché il verso della trasformazione è contrario a quello dell’altra e gli estremi di integrazione dovrebbero essere invertiti con conseguente cambiamento di segno).
Dividendo membro a membro si ottiene:

e, ricordando l’uguaglianza dimostrata del rapporto tra volumi, si conclude facilmente che:

(8) Il cassetto di distribuzione è un fondamentale sistema meccanico che conduce il vapore prima su una

faccia e poi sull’altra del pistone nel cilindro. Riferendoci alla figura, si vede chiaramente il percorso del vapore: in (a) il vapore proveniente dalla caldaia spinge il pistone verso destra; nel far questo sposta anche quel piccolo pezzo (a forma di U rovesciata) che va a chiudere il passaggio proprio a questo vapore e ad aprire la possibilità per esso di entrare dall’altra parte, come mostrato in (b). La cosa si ripete ad ogni spostamento del pistone.
BIBLIOGRAFIA
1) Le animazioni delle figure a colori (che qui non sono supportate) sono del Museo della Scienza e della Tecnica di Milano e si trovano su: http://www.museoscienza.org/energia/vapore/ind.html .
2) Mark W. Zemansky – Calore e termodinamica – Zanichelli 1970
3) Enrico Fermi – Termodinamica – Boringhieri 1972
4) A.B. Pippard – Classical Thermodynamics – Cambridge University Press 1964
5) J. P. Holman – Thermodynamics – McGraw-Hill 1975
6) V.A.Kirillin, V.V. Syčev, A.E. Šejndlin – Termodinamica tecnica – Editori Riuniti 1980
7) I. Barducci – Termodinamica applicata – Sistema 1975
8) G. Ratti – Fisica tecnica – Edito in proprio 1962
9) AA.VV. – Enciclopedia della scienza e della tecnica – EST Mondadori 1963
10) J.D. Wilson, A.J. Buffa – Elementi di fisica – Principato 2002
11) A. Porati, M.I. Granero – I principi della fisica – Einaudi 2003
12) C. Bernardini, S. Tamburini – Fisica – Giunti Marzocco 1990
13) A. De Marco – Fisica – Poseidonia – 1977
14) S. Carnot – La potenza del fuoco – Boringhieri 1992
15) C. Singer (a cura di) – Storia della tecnologia – Boringhieri 1964
16) G. De Florentiis – Storia della tecnica – F. Vallardi 1968
17) U. Forti – Storia della tecnica – Sansoni 1957
18) T.K. Derry, T.I. Williams – Storia della tecnologia – Boringhieri 1977
19) U. Forti – Storia della scienza – Dall’Oglio 1969
20) D.S.L. Cardwell – Tecnologia, scienza e storia – il Mulino 1976
21) Sam Lilley – Storia della tecnica – Einaudi 1951
22) F. Klemm – Storia della tecnica – Feltrinelli 1966
23) A. Baracca, R. Livi – Natura e storia – D’Anna 1976
24) S.S. Wilson – Sadi Carnot – Le Scienze n° 158, ottobre 1981
25) G. Walker – Il motore Stirling – Le Scienze n° 64, dicembre 1973
26) L. Bryant – Rudolf Diesel e la sua macchina razionale – Le Scienze n° 15, novembre 1981
27) D.E. Cole – Il motore Wankel – Le Scienze n° 51, novembre 1972
Categorie:Senza categoria
Rispondi