Ingegneria Meccanica – Roma Tre
AA/2011-2012
APPUNTI PER IL CORSO
(Ripresi e sistemati dai testi di bibliografia)
Roberto Renzetti
Bibliografia: R. Renzetti - Svariati lavori riportati sul mio sito
PARTE QUINDICESIMA
CENNI DI FISICA QUANTISTICA ED ATOMICA
(TUTTO IL FILE E’ DA SISTEMARE)
1 – Cenno ai quanti
Nella seconda metà dell’Ottocento vengono scoperti alcuni fenomeni, apparentemente marginali, che non trovano spiegazione con la fisica nota:
- Kirchhoff e Bunsen (1857) scoprono gli spettri degli elementi. Perché, scaldando un elemento, emette quelle strane righe discrete?
- Hertz (1887) scopre l’effetto fotoelettrico. Una lamina metallica colpita da radiazione UV acquista una carica elettrica positiva (più tardi, con la scoperta dell’elettrone – 1897 – , si dirà che quella lamina perde elettroni). La stessa lamina è indifferente ad un fascio di luce, anche intensissimo ma, ad esempio, verde.
- Le teorie dell’emissione e dell’assorbimento di radiazione, forniscono risultati diametralmente opposti a quelli sperimentali, nel caso del corpo nero.
- Per altri versi la teoria ondulatoria della luce prevedeva, in analogia con le ordinarie onde meccaniche (come, ad esempio, quelle sull’acqua o quelle sonore), che vi fosse una qualche entità che sorreggesse le onde della luce nel loro procedere nello spazio vuoto. Si ipotizzò un etere che però sfuggiva ad ogni rivelamento.
- Altre questioni tra cui il moto browniano che però tralasciamo.
Nell’anno 1900 Kelvin aprì il secolo con un articolo che aveva per titolo: “Due nubi oscure all’orizzonte della fisica” e, nel lavoro, faceva particolare riferimento al fatto che la fisica non riusciva a spiegare lo spettro del corpo nero e non era in grado di trovare l’etere. La soluzione del problema dell’etere fu fornita da Einstein nel 1905 con un articolo che ha per titolo “Sull’elettrodinamica dei corpi in movimento” meglio noto come l’articolo sulla relatività ristretta. La soluzione del problema del corpo nero fu avviata da Planck proprio allo scadere dell’anno 1900. Con questi due lavori si iniziarono via via a fornire spiegazioni a tutti i fenomeni fisici citati, fino ad allora non compresi. Vediamo di accennare a quanto trovato da Planck.
Planck prese in mano la teoria del corpo nero e la rimescolò in vari modi. Si accorse che solo effettuando un ardito passaggio, la teoria avrebbe coinciso con i fatti sperimentali. Si trattava di toccare una delle grandezze fondamentali della fisica, l’energia. Questa grandezza era sempre stata comunemente intesa come continua, come un qualcosa che si prende o si dà in quantità a piacere. Planck si trovava di fronte ad un problema probabilistico del tipo: come sistemare un certo numero di oggetti in un numero dato di caselle (come suddividere l’energia tra vari stati energetici). Si trattava di “frantumare” quella grandezza continua in tante piccole parti (la cosa era già stata fatta da Boltzmann) da sistemare nelle differenti caselle. Ma mentre Boltzmann aveva fatto l’operazione di limite facendo tendere a zero le dimensioni delle quantità discrete di energia, continuando a trovare il disaccordo della teoria con l’esperienza, Planck non fa questa operazione e mantiene queste energie in quantità piccole e discrete, i quanti. Cosa vuol dire una cosa del genere? Semplicemente che, a livelli microscopici l’energia si distribuisce in quantità discrete (con un esempio macroscopico si può dire che per inviare latte da un punto A ad un punto B si può usare un tubo e versare il latte in A per riceverlo in B; oppure si possono immettere tetrabrik in A su un nastro trasportatore e ricevere il latte in B in quantità discrete: o un litro o due o tre …. mai in frazioni di litro! La cosa risultava veramente straordinaria. La si doveva ammettere solo perché questo artificio di calcolo rimetteva a posto il disaccordo esistente tra teoria ed esperienza nel fenomeno del corpo nero. La cosa comunque non piaceva, ad iniziare dallo stesso Planck … Si trattava in definitiva, di sostituire ad una grandezza continua (l’energia E) la somma di n piccole grandezze discrete i quanti hν,
E = hν
dove ν è la frequenza della radiazione ed h un coefficiente di proporzionalità (costante di Planck).
Ed allora gli scambi di energia possono avvenire solo per quanti e ciò vuol dire che si possono scambiare 1, 2, 3, 230 quanti ma mai 1 quanto e mezzo: i mezzi quanti non esistono. Così le scambio di una data quantità di energia potrà essere rappresentato dalla relazione:
E = n.h.ν
dove n è necessariamente un numero intero.
Quindi un corpo può cedere o acquistare energia cedendo o acquistando quanti, sempre in numero intero e mai in frazione. Dai conti fatti e successivamente perfezionati la scala dei quanti era la seguente:
1/2 h ν; 1/2 h ν + 1 h ν; 1/2 h ν + 2 h ν; 1/2 h ν + 3 h ν; ……..
in pratica vi era una quantità 1/2 h ν che si aveva all’inizio della scala e che rimaneva sempre sommata ai singoli quanti interi (questa vicenda, vedremo, sarà fondamentale per capire moltissime cose). In tal modo, la formula precedentemente data diventa:
E = (1/2 + n) . h ν.
Questo cambiamento, l’introduzione di ½ hν, non è cosa di poco conto perché modifica l’intera interpretazione degli scambi energetici di un oscillatore. Possiamo pensare, visto che ci stiamo occupando di basse temperature, di togliere energia ad un oscillatore. Ciò comporta la perdita di vari quanti hν. Continuiamo a togliere quanti per avvicinarci allo zero assoluto e scopriamo che possiamo toglierli tutti meno che hν/2 proprio perché i quanti si possono cedere o acquistare solo per unità intere. Ciò comporta che un oscillatore mantiene sempre un’energia che è quella di oscillazione hν/2 . Ciò si può leggere in due modi: 1) anche allo zero assoluto si mantiene un minimo di energia; 2) lo zero assoluto è irraggiungibile proprio perché quell’energia ad un oscillatore nessuno gliela può togliere.
Si può notare un fatto fondamentale che, almeno in linea di principio, ci ricollega a quanto dicevamo sull’effetto fotoelettrico: l’energia dipende dalla frequenza! Maggiore frequenza, maggiore energia. Ricordando che 1/2 ed n sono numeri puri, l’energia risulta uguale ad una frequenza ν per quella costante h che non può essere un numero puro ma deve avere delle dimensioni, quelle cioè di una energia moltiplicata per un tempo (grandezza nota come azione e mai ben chiarita). Inoltre h, invariante spazio temporale, ha un valore numerico enormemente piccolo (un 1 diviso per un numero con 34 zeri):
h = 6,63.10-34 joule. secondo
e questa piccolezza di h fa si che i quanti abbiano un peso solo in un mondo microscopico (atomico, molecolare, nucleare). Nel mondo che cade sotto i nostri sensi i quanti sono assolutamente trascurabili. Sto dicendo che la fisica ordinaria (classica o newtoniana) va benissimo per trattare il mondo macroscopico.
E che significa dire che l’energia che si scambia è direttamente proporzionale alla frequenza ? Per capire supponiamo di illuminare, cioè di fornire energia ad un corpo con luce di differenti colori. Noi sappiamo che ad un dato colore corrisponde una data frequenza, la più piccola per il rosso, la più grande per il viola (almeno per la luce visibile) e valori intermedi per il verde, il giallo, l’azzurro. Quindi illuminare con luce rossa un dato oggetto vuol dire che, a parità di intensità, della sorgente, si fornisce ad esso meno energia di quanta se ne fornirebbe se il medesimo oggetto lo illuminassimo con luce viola. In termini di quanti, ciò vuol dire che un quanto viola porta il massimo di energia (nell’ambito della luce visibile), un quanto indaco un poco meno, un quanto azzurro ancora un poco meno, quindi, in questa scala, vi è il verde, poi il giallo, poi l’arancio ed infine il rosso.
Allora variare l’intensità di una sorgente luminosa vuol dire solo variare il numero di quanti che questa sorgente fornisce; variare invece la frequenza di una sorgente vuol dire variare il suo colore o, più in generale, la sua frequenza. E il fatto che macroscopicamente noi non avvertiamo questi salti quantici, ma avvertiamo una sensazione di continuo, è ben spiegabile: analogamente al fatto che la natura corpuscolare della materia non è percepibile ai nostri sensi, allo stesso modo per quel che riguarda la natura corpuscolare dell’energia. Un esempio banale può essere tratto dalla nostra vita quotidiana: quando verniciamo una superficie con una bomboletta spray abbiamo un colore compatto sulla superficie verniciata ma questo colore è il portato di tante piccole particelle che sono spinte fuori in modo certamente discontinuo. Per quanto ne so e per quanto mi pare, questo modo di vedere le cose sconvolse più i fisici formati ad una certa scuola che non coloro i quali apprendono questi fatti.
Per ricapitolare quanto fino ad ora detto per quel che ci servirà, gli scambi di energia avvengono per unità intere, i quanti, non è ammissibile la presenza di una frazione di quanto; ciascun quanto possiede una energia pari ad E = h.ν; un dato oggetto può emettere o assorbire una quantità di energia multipla intera di hν.
2 – Energia e quantità di moto dei fotoni. Proprietà ondulatorie della materia
Poiché la frequenza media della luce visibile è ν ≈ 5.10 elevato alla14 Hz, il calcolo dell’energia che trasporta un fotone di luce è semplice: E = 6,63.10alla-34.5.10alla14 J = 3,3.10 alla-19 J
Una lampada da 50 watt, quindi con un’energia pari a 50 J/s, emette ogni secondo un numero di fotoni dato da:

La lunghezza d’onda di un fotone si ricava da relazioni note (la frequenza della radiazione è uguale alla velocità divisa per la lunghezza d’onda):

moltiplicando ora numeratore e denominatore per h, otteniamo:

Un fotone deve possedere anche una quantità di moto p = mv. Ma parlare di massa per un fotone sembra del tutto inappropriato (si tratta di un’onda che viaggia alla velocità della luce, velocità alla quale possono andare solo oggetti con massa nulla). E’ possibile comunque fornire una quantità di moto per il fotone a partire da un risultato ricavato dalla “pressione di radiazione”:

e, ricordando la (1):

La (2) e la (3) valgono per tutti gli oggetti che si muovono alla velocità della luce.
1 – 1 I primi modelli atomici
Già nel 1899, J. J. Thomson stava elaborando un qualche modello di atomo che rendesse conto dei fenomeni fisici osservati. Egli si rendeva conto che all’interno di un atomo doveva, in qualche modo, esservi della carica positiva. La presenza degli elettroni negativi nella materia doveva prevedere la presenza di un qualcosa di positivo che andasse a neutralizzare la carica di segno opposto. Ma su questa supposta carica positiva non si sapeva nulla. Fu Kelvin che nel 1901 suggerì che la carica positiva dovesse essere assegnata ad una massa omogenea e continua, da pensarsi come ordinariamente sono pensati i fluidi (una specie di massa gelatinosa a bassissima densità). Un atomo, allora, deve essere pensato come un continuo sferico di carica positiva dentro cui si trovano queste piccole masse che sono gli elettroni. Riguardo poi a come sono distribuiti gli elettroni nella gelatina positiva, dipende dal loro numero: se l’atomo ha un solo elettrone questo si dispone al centro della sfera; se gli elettroni sono più di uno, probabilmente (dice Kelvin), si disporranno in superfici sferiche concentriche con la sfera ed interne ad essa. Questi elettroni saranno, inoltre, probabilmente dotati di moto rotatorio intorno al centro della sfera.
Quest’ultima eventualità, il moto rotatorio degli elettroni, creava però dei problemi con gli ultimi sviluppi dell’elettromagnetismo ed in particolare con i lavori di H.A. Lorentz del 1895.
J. J. Thomson si mise a studiare il problema e nel 1904 portò a compimento il suo modello atomico servendosi di quanto Kelvin aveva sostenuto nel 1901. Tale modello atomico era pensato come costituito da una carica elettrica positiva distribuita uniformemente in una sfera piccolissima, neutralizzata da un conveniente numero di elettroni immersi nella stessa sfera e liberi di muoversi in essa:

Nel 1911 E. Rutherford, che era stato assistente di Thomson, suggerì, in base all’esperienza, che in un dato atomo la carica positiva e la maggior parte della massa fosse concentrata in un nucleo di dimensioni estremamente ridotte; la carica negativa, formata dagli elettroni è distribuita nel resto del volume atomico che risulta essere quindi in gran parte vuoto (se un elettrone atomico girasse intorno al Duomo di Milano, il nucleo non sarebbe più grande della capocchia di uno spillo).
Vediamo l’esperienza dalla quale Rutherford dedusse il suo modello atomico. Questa esperienza fu realizzata per la prima volta da Geiger e Mardsen nel 1909. I due fisici, allievi di Rutherford, stavano studiando le radiazioni emesse spontaneamente da un campione di radio con il seguente dispositivo sperimentale:

che consisteva di:
a) un campione S di radio le cui radiazioni sono schermate da due fogli F di piombo, a parte quelle che riescono a passare dalla fenditura;
b) una lamina d’oro L molto sottile (spessore ~ 10-6 cm) da far attraversare dalla radiazione;
c) degli schermi fluorescenti R (fatti ad esempio di solfuro di zinco) che quando sono colpiti da una particolare radiazione provocano una scintillazione localizzata che permette di individuare il punto di arrivo della radiazione stessa. Tali schermi o rivelatori potevano essere spostati tutt’intorno al sistema.
La pasticca del radio emette, fra l’altro, radiazioni a, cioè particelle formate tra l’altro da due protoni (nuclei di elio: He2+). Queste particelle escono a gran velocità dalla fenditura F e vanno ad urtare ed attraversare la lamina d’oro. A quell’epoca si aveva a disposizione il modello atomico di Thomson ed un pezzo di materia, costituito da questi atomi era pensato molto compatto (vedi la figura (a)):

La previsione era che la maggior parte delle particelle a, emesse dal radio riu scisse ad attraversare l’atomo (di Thomson): quelle che passavano per il centro non dovevano subire alcuna deviazione (nel qual caso, per motivi di simmetria, c’è equilibrio fra le forze repulsive agenti su di esse, quelle che passavano un poco più distanti dal centro dovevano essere deviate di angoli piccolissimi, aumentando la deflessione all’aumentare della distanza dal centro dell’atomo.

In più passavano vicine al centro dell’atomo finché, quando passavano nel
centro, venivano riflesse totalmente definitiva si doveva trovare che poche particelle risultassero non deviate, mentre la gran parte dovesse risultare deviata. I risultati che furono trovati dall’esperienza furono del tutto diversi. Si trovò infatti che le particelle a venivano deviate sempre di più quanto indietro. Si trovò cioè che la maggior parte delle particelle attraversava indisturbata (senza cioè alcuna deviazione) la lamina d’oro mentre le rimanenti altre subivano delle forti deviazioni e addirittura delle riflessioni all’indietro.

Questo fatto, apparentemente sorprendente, si poteva spiegare solo in un modo: all’interno dell’atomo c’era una forte concentrazione di carica positiva che determinava la repulsione delle particelle α. E questa fu la spiegazione che diede Rutherford: l’intera carica positiva, in luogo di essere diluita in tutto lo spazio occupato dall’atomo, è concentrata in un nocciolo (il nucleo) al centro dell’atomo.

In questa esperienza le cariche negative (gli elettroni) non disturbavano, infatti il loro comportamento è analogo a quello delle molecole d’aria quando sono attraversate da un proiettile: si spostano. La più grossa conseguenza di questa osservazione è che gli atomi sono in gran parte costituiti da spazio vuoto: la materia è costituita da più vuoti che pieni.
I risultati conseguiti con le esperienze sulle particelle a diffuse da una lamina d’oro convinsero Rutherford a formulare un nuovo modello atomico. [Si osservi che per spiegare alcuni fatti sperimentali relativi agli spettri di emissione di alcune sostanze, nel 1903, il fisico giapponese H. Nagaoka (1865-1950) propose alla società fisicomatematica di Tokio m modello atomico costituito da un nucleo centrale positivo circondato da particelle cariche negativamente (gli elettroni) disposte in cerchio intorno al nucleo, a distanze uguali tra di loro. Il lavoro di Nagaoka fu pubblicato nel 1904 sulla rivista britannica Nature e, come si vedrà, il modella atomico di Rutherford coincide praticamente con quello di Nagaoka]. In definitiva, secondo Rutherford, si ha un nucleo positivo immerso in una atmosfera poco densa di elettroni, o meglio, si ha un sistema solare in miniatura con il nucleo centrale ed un certo numero di elettroni che gli ruotano intorno trattenuti dal l’attrazione coulombiana, così come i pianeti ruotano intorno al Sole, sottoposti all’attrazione gravitazionale. Alla periferia dell’atomo, questi elettroni negativi neutralizzano l’effetto della carica positiva del nucleo; così che, complessivamente, l’atomo è neutro. Questo significa che il nucleo ha un numero di cariche elementari positive uguale al numero degli elettroni. Osservo a parte che Rutherford ha scoperto il nucleo dell’atomo. Nella figura riportata poco prima in (a), come abbiamo visto, era rappresentato un pezzo di materia costituito con atomi di J. J. Thomson, osserviamo ora che in (b) è riportato lo stesso pezzo di materia costituito con atomi di Rutherford: è evidente la profonda differenza tra i due modelli.

Questo modello atomico di Rutherford non resse però che poco tempo alla prova teorica. Esso presentava infatti delle gravi incongruenze, ed in particolare con la teoria elettromagnetica di Lorentz, come abbiamo già accennato. Secondo questa teoria, infatti, ogni accelerazione del movimento di un elettrone dà origine ad un’onda elettromagnetica che irradia energia proporzionalmente al quadrato dell’accelerazione; soltanto nel moto uniforme una carica non irradia energia. In definitiva, quando si ha una carica elettrica in moto accelerato, essa deve irradiare energia nello spazio circostante sotto forma di onde elettromagnetiche. Ebbene, gli elettroni planetari sono delle particelle cariche le quali, per di più, muovendosi di moto rotatorio, sono dotate di accelerazione centripeta. Questa emissione di radiazione sottrae energia e quindi, per il principio di conservazione dell’energia, l’energia meccanica dell’elettrone deve via via decrescere e, di conseguenza, la sua orbita gradualmente restringersi, finché esso cade sul nucleo; e tutto ciò in un tempo brevissimo, dell’ordine di 10-10 secondi. Questo fatto comportava l’instabilità dell’edificio atomico: ogni pezzo di materia avrebbe dovuto implodere su se stessa in tempi brevissimi ed il mondo sparirci davanti.
E questa non era l’unica difficoltà che comportava il modello di Rutherford. Un’altra ne nasceva proprio dal confronto del possibile comportamento degli elettroni in questo modelle con i fatti sperimentali che offriva la spettroscopia. Poiché gli elettroni potevano muoversi intorno al nucleo su ogni possibile orbita, questi elettroni dovevano possedere un continuo di valori di energia a partire da quella spettante alla prima orbita vicino al nucleo fino ad arrivare a quella corrispondente al livello di ionizzazione (quando cioè l’elettrone ha acquistato tanta energia da andarsene via dall’atomo cui appartiene). Guardando allo spettroscopio la radiazione emessa da siffatti atomi (quando sono eccitati) si dovrebbe vedere uno spettro continuo (analogo a quello della luce solare che passa attraverso un prisma) poiché gli elettroni possono avere tutte le possibili energie. Come già sappiamo questa ipotesi contrastava con l’esperienza che fino ad allora si era acquisita attraverso l’osservazione degli spettri di diversi atomi eccitati. Gli spettri atomici risultavano infatti costituiti da righe colorate separate da buio e non da un continuo di diversi colori
Un’altra difficoltà era poi legala alla struttura intrinseca dei singoli atomi. Ci si chiedeva perché, dato il modello di Rutherford in cui gli elettroni potevano trovarsi su di un’orbita qualsiasi, due atomi di uno stesso elemento dovevano essere uguali. Perché gli elettroni di un atomo di carbonio dovrebbero muoversi sulle stesse, identiche, orbite di tutti gli altri atomi di carbonio?
Prima però di passare a vedere come furono sistemate le cose cerchiamo di illustrare quanto abbiamo detto a proposito della prima obiezione al modello atomico di Rutherford: perché una carica accelerata deve emettere energia.
1 – 2 Perché una carica accelerata irradia energia
Per capire perché un elettrone in un atomo debba irradiare energia elettromagnetica, cominciamo con il ricordare alcuni concetti di elettricità e magnetismo .
Una corrente elettrica è un flusso di cariche elettriche in moto. A questo flusso di cariche elettriche lungo un filo è associato un campo magnetico con le linee di forza circolari e concentri che al filo stesso:

Il campo magnetico B è tangente punto per punto a queste linee di forza con verso dato dalla regola di Maxwell o del cavatappi (il verso è quello di rotazione del cavatappi che avanza nel senso della corrente):

Supponiamo ora di avere una singola carica q in moto ( e l’elettrone è una carica). E’ spontaneo assumere che questa carica costituisca una piccolissima corrente elettrica lungo la linea su cui avanza la carica:

Sappiamo già che una carica elettrica ferma ha intorno a sé un campo elettrico E radiale (le linee di forza possono essere interpretate come i prolungamenti dei raggi della sferetta che ci rappresenta la carica):

Se questa carica si muove, poiché origina una piccolissima corrente elettrica, al campo elettrico si aggiungerà un campo magnetico le cui linee di forza saranno circonferenze concentriche alla linea del moto. Questo campo magnetico risulterà essere trasversale (il vettore campo magnetico B è in ogni punto perpendicolare al vettore campo elettrico E); esso sarà nullo sulla linea del moto ed avrà il suo massimo sul piano perpendicolare a questa linea e passante per la carica.
I due campi, elettrico e magnetico, risultano così strettamente legati originando il cosiddetto campo elettromagnetico.
Consideriamo ora una carica elettrica che si muove di moto rettilineo uniforme (moto su di una retta con velocità costante). Questa particella, nel suo moto, trasporta con sé il campo elettromagnetico e l’energia che compete a questo campo. Supponiamo ora che la carica si sposti nel verso indicato in figura con velocità costante v:

Il campo elettrico della carica rimane invariato, mentre il campo magnetico: nei punti che sono dietro la carica (a sinistra della carica in figura) decresce gradualmente della stessa quantità, nei punti che sono davanti alla carica (a destra della carica in figura) cresce gradualmente della stessa quantità. In definitiva il campo elettromagnetico cresce gradualmente a destra della carica mentre decresce gradualmente, della stessa quantità a sinistra della carica. L’aumento di un campo significa un aumento dell’energia e viceversa per la diminuzione del campo, quindi, relativamente alla nostra carica in moto, si ha un continuo trasferimento di energia da sinistra verso destra o, più precisamente, nella direzione del moto. Si ha così un continuo flusso di energia nel verso del moto della carica.
Se si fanno i conti si vede che, data la simmetria dei campi elettrico e magnetico, non si ha irraggiamento di energia verso l’esterno, ma solo un trasferimento dell’energia nel verso del moto della carica. Ciò è comprensibile se si tiene conto che la carica vede intorno a sé, istante per istante, sempre lo stesso campo e quindi ha sempre una energia costante. Se questa energia è costante per la carica lo deve essere anche per un ipotetico osservatore.
In conclusione: una carica elettrica che si muove di moto rettilineo uniforme non irradia energia elettromagnetica verso l’esterno.
Consideriamo ora una carica che si muova di moto accelerato. Il campo elettrico di questa carica non è più radiale ma risulta dissimetrico con un addensamento delle linee di forza dalla parte verso cui si muove la carica:

Quando questa carica si muove non si avrà più la situazione vista precedentemente (aumento di campo a destra uguale alla diminuzione di campo a sinistra); ora il campo a destra crescerà di più di quanto diminuisca il campo a sinistra proprio a causa della accelerazione della carica e della conseguente dissimetria destra-sinistra del campo stesso. A questo aumento di campo corrisponde, come già sappiamo, un aumento di energia ed il bilancio destra-sinistra della carica in moto è tale per cui c’è un eccesso di energia risultante nella direzione del moto.
Questo eccesso di energia originato a spese della carica che crea il campo si trasferirà in tutto lo spazio circostante sotto forma di radiazione elettromagnetica.
In conclusione: una carica elettrica che si muove di moto accelerato irradia energia elettromagnetica verso l’esterno nello spazio circostante.
Se la carica q in considerazione si muove di moto accelerato (con accelerazione a) nel vuoto (e con buona approssimazione nell’aria), l’energia al secondo, W, che essa irradia (nel sistema

2 – I COLORI NELLA TEORIA CORPUSCOLARE ED ONDULATORIA
La teoria corpuscolare, anche se non esplicitamente detto, prevede che la luce consista nell’emissione, da parte di una sorgente luminosa, di una miriade di corpuscoli di “masse diverse”. E’ proprio la diversità della massa che differenzia i colori che compongono la luce bianca (Sole o lampada ad incandescenza). Noi sappiamo che se scomponiamo tale luce con un prisma, otteniamo lo spettro (continuo) dei vari colori che la compongono: si parte dal rosso, poi successivamente, arancio, giallo, verde, azzurro, indaco, viola (il passaggio da un colore all’altro non è netto ma graduale). Il rosso è il colore che ha la minore deviazione, rispetto alla perpendicolare, il viola è quello che ha massima deviazione, fig. 6 ).

fig. 6 a

ig. 6 b
Ebbene, secondo la teoria corpuscolare, il colore rosso è costituito da corpuscoli di massa maggiore. Tale massa va diminuendo per corpuscoli che vanno verso il colore viola. Il prisma è insomma un selezionatore dei corpuscoli portatori di colori differenti (la cosa è in “analogia” con dei sassi di massa differente lanciati in acqua: a massa minore, maggiore deviazione, rispetto alla perpendicolare, entrando nell’acqua). La teoria ondulatoria interpreta lo stesso fenomeno pensando i colori associati ad onde di frequenza differente: il rosso ha la frequenza minore. Tale frequenza cresce mano a mano che si va verso il viola cui compete la frequenza maggiore. In tal caso il prisma ha la funzione di selezionatore di frequenze. Ferme restando le cose dette, verso la metà dell’Ottocento vennero scoperti gli “spettri” degli elementi.
Abbiamo già visto la celebre esperienza di Newton della separazione della luce solare mediante un prisma di cristallo. Ebbene, quella striscia illuminata con i vari colori si chiama spettro e, in particolare, spettro della luce bianca. La scienza che studia gli spettri si chiama spettroscopia. Seguiamone le tappe principali:
1802 – il britannico W.H. Wollaston (1766-1828), osservando lo spettro solare prodotto da un prisma, scopre l’esistenza di sette righe scure distribuite in modo irregolare (più oltre se ne scopriranno altre);

1814 – il tedesco J. Fraunbofer (1787-1826) osserva il fenomeno in modo più approfondito: conta 560 righe scure, scopre che una di queste righe (chiamata D, quella in corrispondenza del giallo che poi si scoprirà essere una doppia riga) coincide con la doppia riga gialla del sodio (vedi oltre; Fraunhofer non sapeva ancora che quella doppia riga gialla era caratteristica del sodio: egli la otteneva osservando lo spettro prodotto da una candela, da una lampada ad elio e da una lampada ad alcool); costruisce la prima carta dello spettro solare, scopre nello spettro di Venere alcune righe presenti nello spettro del Sole, introduce i reticoli di diffrazione (che permettono di separare meglio la luce) con i quali realizza le prime determinazioni della lunghezza d’onda dei vari colori dello spettro;
1827-1855 – in questi anni si sommano diversi contributi ed in particolare: la scoperta della fotografia ad opera del francese J.P. Niepce (1765-1833); la scoperta dell’emissione di spettri da parte di solidi portati all’incandescenza, ad opera del britannico J.W. Draper (1811-1882);
1857 – il tedesco R.W. Bunsen (1811-1899) scopre che utilizzando il gas illuminante, installato nel suo laboratorio nel 1855, si ottiene una fiamma non molto luminosa ma ad alta temperatura e costruisce il becco Bunsen, con il quale si possono ottenere gli spettri dei soli corpi portati all’incandescenza senza interferenze da parte della fiamma che non ha un proprio colore specifico;

1859 – Kirchhoff e Bunsen gettano le basi della moderna spettroscopia, distinguendo con chiarezza la differenza esistente tra spettri di emissione e spettri di assorbimento : se sul becco si fa bruciare del sodio, lo spettro presenta due righe gialle che coincidono esattamente con le più brillanti delle linee oscure dello spettro del Sole (riga D); osservando poi lo spettro della luce solare lungo la cui traiettoria è interposto il becco con del sodio che brucia, non appare più la riga D nello spettro solare ed al suo posto vi sono le righe gialle del sodio; questo ultimo fenomeno si verifica solo quando la luce solare è molto attenuata, in caso contrario si continua a vedere la linea D; lo stesso fenomeno si può ottenere mantenendo costante l’intensità della luce solare e aumentando o diminuendo la temperatura della fiamma del becco. Da ciò Kirchhoff capì il significato dello spettro solare ed in particolare delle sue linee scure: la superficie del Sole emette radiazioni (fotosfera) di tutti i colori e l’atmosfera di gas incandescenti del Sole (cromosfera e corona), molto meno calda della fotosfera, assorbe una parte delle radiazioni emesse dal Sole, ed assorbe quelle che sono emesse dagli elementi componenti l’atmosfera solare. Come dice Kirchhoff: “le fiamme colorate nei cui spettri si presentano linee brillanti e marcate [spettro di emissione: quello di figura è del sodio],

indebolisce talmente i raggi del colore di queste linee quando passano attraverso di esse, che in luogo delle linee brillanti compaiono linee scure [spettro di assorbimento: quello di figura è ancora del sodio con la riga gialla di emissione che diventa nera in assorbimento]

quando si colloca dietro la fiamma una fonte di luce di sufficiente intensità e nel cui spettro mancano queste linee. Concludo quindi che le linee scure dello spettro solare, he non sono prodotte dall’ atmosfera terrestre, nascono dalla presenza nella infuocata atmosfera del Sole, di quelle sostanze che nello spettro di una fiamma presentano le linee brillanti nella stessa posizione.” Ed in questo modo Kirchhoff e Bunsen riuscirono a stabilire la presenza sul Sole di alcuni elementi: confrontando le righe che compongono lo spettro solare con quelle, ottenute in laboratorio, per elementi noti (all’esistenza di un dato insieme di righe nello spettro corrisponde sempre la presenza di un dato elemento).
Altro fondamentale risultato ottenuto da Kirchhoff nello stesso anno è il cosiddetto principio di inversione secondo il quale una sostanza assorbe le stesse radiazioni che è in grado di emettere.
Per portare avanti le loro ricerche i due si servirono di uno spettroscopio, strumento da loro realizzato e costruito da K. A. von Steinheil (famoso costruttore di strumenti ottici) nel 1853. Sulla destra della figura vi è una fenditura regolabile in ampiezza da cui far passare la luce. La luce può essere quella di una lampada (luce bianca) o quella ottenuta con un becco Bunsen sul quale è sistemata una retina metallica sulla quale si mettono delle sostanze che si fanno bruciare per vederne gli spettri. Questa “luce” passa attraverso il collimatore T, va sul prisma P dove viene separata, quindi entra nel cannocchiale C (mobile su una ghiera graduata) ai cui estremi vi è un osservatore o una lastra fotografica (al posto di P, per avere studi più sofisticati si possono sistemare dei reticoli di diffrazione).

Gli studi in questo campo portarono a stabilire senza ombra di dubbio che ciascun elemento aveva un suo spettro che differiva da tutti gli altri. Se si aveva un composto, lo spettro che veniva fuori era semplicemente la sovrapposizione degli spettri dei vari elementi che lo costituivano. Per questa via si scoprirono nuovi elementi poiché in dati composti comparivano serie di linee che non erano mai state osservate per nessun elemento. Esemplifico con gli spettri di due elementi, il primo dell'elio (elemento prima sconosciuto e che, appunto, fu trovato per via spettroscopica, analizzando lo spettro solare), il secondo del neon.



Nella figura, che compare nel lavoro di Kirchhoff e Bunsen
Analisi chimiche mediante osservazioni spettroscopiche
(Annalen der Physik, 110, pp. 161-189, 1860, Pl. II) sono
rappresentati gli spettri di alcuni metalli alcalini
confrontati con lo spettro solare e le sue linee oscure
Ebbene, i dati osservativi stavano lì, avevano permesso importanti scoperte, ma non si riusciva a capire quale fosse l'origine degli spettri. Si provò a metterli dentro delle formule empiriche che rendessero conto della frequenza da assegnare ad ogni riga per differenti elementi. Nel 1885, lo svizzero Balmer riuscì a montare una formula che rendeva conto della frequenza delle varie righe dello spettro dell'idrogeno nel visibile.
Dallo studio della sua formula Balmer riuscì a prevedere alcuni fatti:
1) devono esistere delle righe relative ad n = 7, 8, 9, ……,∞ nella regione dell’ultravioletto (queste righe furono osservate subito dopo con uno spettroscopio opportuno);
2) devono esistere relative ad 1/12 (nella formula) situate nel lontano ultravioletto (queste linee furono osservate sempre con uno spettroscopio opportuno da Lyman nel 1906: serie di Lyman);
3) devono esistere altre righe relative a 1/32 (nella formula) nella regione dell’infrarosso (queste righe furono osservate da Paschen nel 1908);
4) devono esistere altre righe relative a 1/42, 1/52, … nella regione dl lontano infrarosso (queste righe furono osservate negli anni seguenti da diversi ricercatori, tra cui Brackett e Pfund).
Quindi ci troviamo di fronte ad un fatto all’epoca incomprensibile e considerato solo dal suo aspetto empirico. Gli spettri discontinui saranno un grave problema per oltre 50 anni.

Le righe nere di Fraunhofer che solcano lo spettro solare

Un’esemplificazione degli spettri di emissione (in alto) che diventano di assorbimento (in basso).
3 – L’atomo di Bohr
Nel 1913 il danese N. Bohr apportò alcune correzioni all'atomo di Rutherford in modo che esso potesse rispondere ai fatti sperimentali e fosse in grado di risolvere le gravi difficoltà cui esso si era scontrato (ed alle quali abbiamo accennato). Queste correzioni erano basate sull'accettazione della teoria dei quanti e sulla sua applicazione alla struttura degli atomi ma, come vedremo, sembravano del tutte ingiustificate da un punto di vista teorico.
Essenzialmente Bohr basò il suo modello atomico su due postulati non giustificati, se non per rendere conto dei fatti sperimentali, una specie di formula di Balmer a livelli molto superiori. Il primo di questi postulati, conseguenza diretta dell'applicazione dei quanti alla struttura atomica, afferma che in un atomo gli elettroni non possono assumere qualsiasi valore dell'energia ma solo certi valori definiti (si usa dire che in un atomo l'energia è quantizzata).Ciò significa qualcosa di molto importante: solo certe orbite elettroniche possono essere occupate dagli elettroni che ruotano intorno al nucleo e ad ogni orbita corrisponde un determinato valore dell'energia.
Questa prima ipotesi può essere formulata più precisamente nel modo seguente. Supponiamo di considerare un elettrone che ruoti intorno al nucleo su una determinata orbita; sia r il raggio dell'orbita che stiamo considerando e q = mv la quantità di moto dell'elettrone su questa orbita, di modo che il momento della quantità di moto, meglio, il momento angolare dell'elettrone rispetto al nucleo sarà p = mvr; ebbene, questo momento angolare non può assumere tutti i valori possibili, ma solo alcuni determinati , multipli interi di una data quantità elementare; vale cioè la relazione:

là dove n è un numero intero positivo chiamato numero quantico principale ed h è la costante di Planck.
II secondo postulato riconosce che l’elettrone orbitale non può emettere alcuna energia a meno che non cambi orbita (cioè livello energetico); questo passaggio non può avvenire, quindi, gradualmente, ma si ha un vero e proprio salto energetico. Quando, per un qualche motivo, un elettrone salta da una orbita ad energia più alta (livello energetico iniziale: i) ad una energia più bassa (livello energetico finale: f), la sua perdita di energia è emessa sotto forma di quanto di luce (oggi meglio conosciuto come fotone). Si ha così:
Ei – Ef = hν.
dove Ei è l’energia corrispondente all’orbita ad energia più alta, Ef quella corrispondente all’orbita ad energia più bassa ed hν è il quanto di luce che abbiamo incentrato nella prima teoria dei quanti di Planck. La relazione scritta significa che un elettrone nel passare da una certa orbita ad una ad energia più bassa perde energia, e questa perdita di energia (per la legge di conservazione) la si ritrova sotto forma di emissione di radiazione (emissione di un quanto di radiazione). Nel caso il salto avvenga in senso contrario a quello descritto fin qui si ha assorbimento di un quanto di radiazione hν dall’esterno. [Noto a parte che la prova sperimentale dell’esistenza degli stati quantici fu fornita da Franck ed Hertz nel 1913].
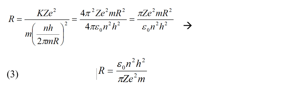
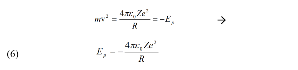
Cerchiamo di vedere un poco più in dettaglio i conti che fece Bohr. In un atomo l’elettrone orbita circolarmente intorno al nucleo. La forza centripeta (Fcentripoeta = Fc) che mantiene l’elettrone nell’orbita circolare è fornita dalla forza di attrazione elettrostatica (Felettrostatica = Fe) che il nucleo esercita sull’elettrone; deve allora risultare:

La forza elettrostatica è data invece dalla formula:


A questo punto subentra la condizione di Bohr di quantizzazione del momento angolare:

(con n = 0, 1, 2, …….., ∞) e, sostituendo la (2) nella (1) si ha:

e questo è il valore del raggio atomico R (vari R per vari n) per vari atomi (al variare di Z). Sostituendo la (3) nella (2) si ha:

e questa è la velocità tangenziale dell’elettrone per varie orbite (al variare di n) e per vari atomi (al variare di Z). se si fa un rapido calcolo per l’atomo di idrogeno (Z = 1) non eccitato (con l’elettrone nell’orbita n = 1)si trova che il raggio atomico vale R = 0,53 Å, mentre la velocità dell’elettrone intorno al nucleo vale v = 2,182.108 cm/s. Osservando a questo punto che la velocità angolare è data dalla velocità tangenziale v divisa per il raggio R, si trova:

Ritorniamo ora all’equazione (1’) ed osserviamo che l’espressione mv2 rappresenta l’energia (nel nostro caso potenziale Ep, con il segno – perché attrattiva). Si ha allora:

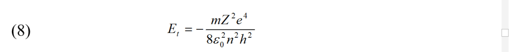
Osserviamo inoltre che l’energia cinetica Ec è data da:

si ha, sostituendo a v la (4) e ad R la (3):

e questa è l’energia totale che compete ad un elettrone di un atomo con numero atomico Z, che si trovi sull’n-esima orbita.
Consideriamo ora due orbite elettroniche: una caratterizzata da n e l’altra da n1 (con n1 > n); l’energia totale della prima sarà En e della seconda En1 (con En1 > En):

Riferendoci all’atomo di idrogeno (Z = 1), si ha:

Per quanto già sappiamo e per la conservazione dell’energia si può scrivere:

Osserviamo che la costante che moltiplica la parentesi è calcolabile per semplice sostituzione dei valori delle costanti che la compongono:
m = 9,1.10-31Kgm; massa dell’elettrone
e = 1,6.10-19coulomb; carica dell’elettrone
h = 6,6.10-34j.s; costante di Planck
= 8,85.10-12coulomb2/N.m; costante dielettrica del vuoto,
e si trova:

si ha che quella costante vale 13,6 eV. La (9) può quindi scriversi:

Vediamo la portata e la semplicità dell’espressione ricavata calcolando l’energia hν che occorre fornire all’elettrone dell’atomo di idrogeno per farlo passare dalla prima orbita (n = 1) alla seconda (n1 = 2):



Vediamo ora qual è l’energia necessaria ad allontanare l’elettrone dall’atomo cui appartiene, a portarlo cioè dall’orbita n = 1 a quella n1 = ∞ (energia di ionizzazione):

La relazione (10), trovata da Bohr, spiegava bene le righe spettrali osservate la prima volta nel 1906 e relative ad n = 1. appunto in quell’anno Lyman osservò, con uno spettroscopio per radiazione ultravioletta (UV), uno spettro di radiazione, emesso dall’idrogeno, costituito da tante righe che andavano addensandosi intorno alla lunghezza d’onda di 908 Å (che corrisponde ad n1 = ∞), come mostrato in figura:

Già nel 1885 erano state osservate le righe spettrali dell’idrogeno situate nella regione del visibile (da 4.000 Å a 7.000 Å) e relative ad n = 2 (si veda figura):

Quindi tutte le altre situati in altre regioni dello spettro. In definitiva, per quel che riguarda il visibile si ritrova la formula che empiricamente aveva dato Balmer. E merito di Bohr fu proprio l’aver dato un significato a quella costante B che avevamo incontrato in quella formula. Inoltre la formula di Bohr era in grado di prevedere altri spettri a frequenze diverse e tutto questo fu confermato sperimentalmente (con una qualche deviazione al crescere di Z, come vedremo). Nella figure che seguono sono riportate tutte le serie spettrali dell’idrogeno:



I due postulati di Bohr forniscono un nuovo modello di atomo che è simile a quello di Rutherford con la fondamentale differenza che ora non tutte le orbite sono permesse all'elettrone (quantizzazione dell'energia o dei livelli energetici). In tal modo l'edificio atomico risulta stabile anche se con qualche difficoltà teorica. Non sto qui a fare una storia dettagliata della mese di lavori che venne dopo quelli di Bohr. Ma occorre dire che questo modello atomico fu perfezionato da Sommerfeld nel 1916. Sommerfeld, per tentare di eliminare la non adesione ai dati sperimentali del modello per Z > 1 (ed anche alcune questioni legate all'intensità delle linee spettrali), applicò all'intero atomo una quantizzazione più spinta. Infatti la quantizzazione del momento angolare introdotta da Bohr limita i gradi di libertà di un elettrone costringendolo ad un raggio R di una determinata orbita. Sommerfeld suppose che l'elettrone, muovendosi nello spazio ha tre gradi di libertà e non uno solo. Sviluppando matematicamente il concetto Sommerfeld introdusse tre numeri quantici (vedi più avanti), anziché il solo numero quantico n, come aveva fatto Bohr. Il primo numero quantico, n (quanto principale, che può assumere valori interi e positivi), come quello di Bohr, indica l'orbita su cui l'elettrone si muove (il suo livello energetico). Il secondo numero quantico, l (quanto azimutale, che può assumere valori interi e positivi), ci dà invece lo schiacciamento delle orbite (queste non sono più circolari, come aveva indicato Bohr, ma possono anche essere ellittiche: più l è grande, più l'orbita è schiacciata o eccentrica).

Il terzo numero quantico, m* (quanto magnetico, che può assumere valori interi positivi e negativi), rende conto del fatto che il piano dell’orbita può avere solo certe determinate inclinazioni rispetto ad un asse di riferimento (quantizzazione spaziale).

Un'altra importante novità nella trattazione di Sommerfeld dell'atomo di Bohr è l'introduzione della teoria einsteniana della relatività (1905) per lo studio del movimento degli elettroni orbitanti intorno al nucleo. Gli elettroni planetari, infatti, si muovono a velocità molto vicine a quella della luce (velocità della luce ed a questa velocità è importantissimo introdurre la teoria della relatività che ci rende conto di altri fatti sperimentali altrimenti non spiegabili (la separazione dei livelli energetici, andando a studiare la struttura fine degli spettri degli atomi che consiste in un maggior numero di righe osservate se l'osservazione è fatta in modo più sofisticato, con uno strumento cioè in grado di separare linee che grossolanamente sembrano
una sola. Nella figura seguente (indicata con 15BIS) si può vedere come, in struttura fine si separano le prime due righe della serie di Balmer e la prima di quella di Paschen).
La teoria di Bohr si può ulteriormente migliorare tenendo conto che quando si ha a che fare con un oggetto che ruota intorno ad un altro
oggetto, bisogna considerare i due oggetti che ruotano intorno al loro centro di gravità. Ciò vuol dire che in qualche modo bisogna tener conto anche della massa del nucleo e, in definitiva, occorre sostituire ad m che compare nelle formule viste la cosiddetta massa. ridetta (μ) data da:

dove M è la massa del nucleo.

15BIS
La teoria di Bohr (ed ormai di Bohr-Sommerfeld), come accennato, lasciava tuttavia a desiderare dal punto di vista logico, trattandosi in sostanza di una sovrapposizione di condizioni nuove alle vecchie leggi della meccanica, poiché si sceglievano, tra le orbite meccaniche, quelle che a tali condizioni si adattavano: si adattano le leggi classiche della meccanica e dell'elettromagnetismo per definire l'orbita dell'elettrone, leggi che venivano poi ripudiate quando si postulava che l'elettrone su un'orbita stazionaria (vedi oltre) non poteva irradiare, in pieno ed aperto contrasto con le leggi inizialmente ritenute valide. Inoltre si introducevano delle costanti arbitrarie (i numeri quantici) che erano un chiaro segno dell'insufficienza della teoria.
3- 1 DE BROGLIE (1924)
E’ il francese L. De Broglie, nella sua tesi di laurea, che inizia a rispondere a questi problemi. Secondo lui deve esservi una simmetria:
se delle onde hanno caratteristiche corpuscolari
dovrà accadere che
particelle presentino caratteristiche ondulatorie.
Dovrà valere la relazione:

E ciò vuol dire che, ad una data massa m si può sempre associare una lunghezza d’onda λ:
λ = h/mv .
Questa relazione vuole intanto dire che: se si dispone di una particella di data massa, essa avrà una elevata lunghezza d’onda se è lenta (bassa velocità) e, viceversa, essa avrà piccola lunghezza d’onda se è veloce. Inoltre questa relazione si presta ad una verifica sperimentale. Si tratta di provocare l’interferenza (meglio dire: la diffrazione) di elettroni, neutroni, …. E la cosa fu realizzata da Davisson e Germer nel 1927 che ebbero l’idea di utilizzare gli ioni di un cristallo come “fenditure” (sulla lunghezza d’onda di oggetti materiali ritorneremo tra un poco).
Torniamo ora all’ipotesi di De Broglie introducendo preliminarmente un concetto classico elementare. Se uno ha una circonferenza e su di essa vuole metterci un’onda, la cosa è realizzabile solo se vi sono delle condizioni rispettate e cioè che la lunghezza della circonferenza 2πr sia un multiplo intero della lunghezza dell’onda λ:

fig. 16
deve cioè valere la relazione:

Resta da giustificare l’altra ipotesi di Bohr, quella che vuole un elettrone in un data orbita non emettere o assorbire energia. La cosa viene spiegata da De Broglie mediante le onde stazionarie. L’elettrone che si trova su di un’orbita elettronica è descritto da un’onda stazionaria (che non si modifica nel tempo). In tale situazione non vi sono cambiamenti energetici.

In definitiva, l'ipotesi iniziale di De Broglie, nata da ragioni eminentemente euristiche, porta a spiegare ipotesi ad hoc di Bohr che, certamente spiegavano ma che, altrettanto certamente, non si capiva bene da dove provenissero. Ma, come annunciato, ritorniamo un attimo alla natura ondulatoria della materia. Riprendiamo la relazione di De Broglie:
λ = h/mv
e calcoliamoci la lunghezza d’onda di differenti “oggetti” materiali.
Lunghezza d’onda di una persona (m = 100 Kg; v = 10 m/s):
λ = h/mv = 6,6.10-34 /100.10 = 6,6.10-37 m
Lunghezza d’onda di un moscone (m = 1g; v = 10 m/s):
λ = h/mv = 6,6.10-34 /10-3.10 = 6,6.10-32 m
Lunghezza d’onda di un elettrone (m ~ 10-30 Kg; v ~ 106 m/s):
λ = h/mv = 6,6.10-34 /10-30.106 = 6,6.10-10 m
Trovate queste lunghezze d’onda, occorre verificare se hanno una qualche corrispondenza sperimentale. Bisognerebbe provocare fenomeni di diffrazione mandando a sbattere uomini o mosconi o elettroni addosso ad un diaframma fornito di due fenditure. Ma, se ricordiamo, le fenditure per provocare interferenza non possono avere dimensioni qualunque. Dico ora che tali fenditure devono avere dimensioni dell’ordine di grandezza della lunghezza d’onda dell’oggetto da diffrangere. Le più piccole fenditure che siamo in grado di costruire sono dell’ordine di grandezza di 10-15 m. Da ciò discende che non è possibile verificare sperimentalmente la diffrazione di uomini o mosconi e più in generale di oggetti macroscopici. Mentre è verificabile per gli elettroni o qualunque altra particella subatomica (ricordo che ho accennato al ruolo fondamentale giocato dalla piccolezza di h per rendere i quanti fondamentali solo nel mondo microscopico). Riporto di seguito due figure di diffrazione, l’una ottenuta da raggi X (tipicamente ondulatori) e l’altra da elettroni (caratteristiche corpuscolari):

fig. 18
Credo si capisca come i due “oggetti” fatti diffrangere, hanno stesso comportamento sperimentale.
Facciamoci ora un facile conto per vedere in modo elementare dove possano portare alcune elaborazioni. Combiniamo insieme la relazione di De Broglie (mc = h/λ , dove abbiamo sostituito a v la velocità c della luce) con quella di Planck (E = hν). Ricordando che, per la luce, ν = c/λ => λ = c/ν e sostituendo questo valore al λ della relazione di De Broglie, si trova:
mc = h/(c/ν) => mc2 = hν
e, ricordando che E = hν, si trova subito:
E = mc2
4 – Il principio di esclusione (Pauli 1925)
Nel 1925 due fisici olandesi, Ulenbeck e Goudsmith, scoprono una proprietà magnetica dell'elettrone. Quest'ultimo, movendosi lungo la sua orbita, ruota anche rapidissimamente su se stesso come una trottola (spin). E' inutile stare qui a discutere del fatto che in realtà si tratta di un effetto relativistico, è ora importante osservare che il valore energetico, per unità di tempo, che si accompagna a questo spin è proporzionale alla costante h di Planck, s = ± ½ (h/2π). I segni + o - stanno ad indicare le due possibili rotazioni dell'elettrone, verso orario ed antiorario, cosicché anche lo spin risulta quantizzato (la cosa è rappresentata con un vettore diretto verso l'alto o verso il basso). Nello stesso anno il tedesco W. Pauli riuscì a dimostrare che, all'interno di un atomo, non vi possono essere più di due elettroni su una medesima orbita (e ve ne sono due solo se questi hanno spin opposti) [noto a margine che la tavola periodica degli elementi, con questa scoperta di Pauli, trova una sua naturale spiegazione. Senza tale principio non conosceremmo la varietà del mondo chimico e le caratteristiche del mondo fisico sarebbero radicalmente differenti.

Inoltre questo principio spiega perché, abbassando drasticamente la temperatura, la materia non collassa, non si “sgonfia”.

5 – Il principio di indeterminazione: cenni (Heisenberg 1926/1927)
Nelle cose che siamo andati dicendo, a partire da De Broglie, già era sparita la particella materiale. Occorreva dirlo meglio. Formalizzare. E per questo Heisenberg ebbe delle straordinarie intuizioni che poi purtroppo furono estrapolate arbitrariamente fino a creare gravi problemi di interpretazione filosofica della meccanica quantistica. Intanto Heisenberg fa una operazione che rivoluziona il modo di osservare; egli non guarda più dall’esterno ma si mette dentro ciò che vuole osservare (non è una cosa da poco!).
Cerchiamo di capire cosa è tale principio di indeterminazione.
Quando vogliamo descrivere che farà un proiettile sparato da un cannone, non occorre che ci mettiamo ad osservare per credere che le cose vadano in un certo modo. Due calcoletti con la fisica di Newton e riusciamo a conoscere, istante per istante, la traiettoria (o velocità) e la posizione del proiettile. La cosa assume una rilevanza diversa nel mondo microscopico, dove i fenomeni vanno trattati con i quanti.
Occorre prima dire in breve il modo in cui noi vediamo gli oggetti, modo simile sia nella visione ordinaria che quantistica della luce. Dato un oggetto da osservare serve una sorgente di luce che, dopo essersi riflessa sull’oggetto da osservare, arriva agli occhi dell’osservatore informandolo che l’oggetto è proprio lì (si noti che questo toccare indiretto degli oggetti per vederli, corrisponde al toccare diretto del non vedente che si aggira in un ambiente che non conosce).

fig. 1
Riferiamoci a dei fotoni che debbano colpire un oggetto perché noi lo si possa vedere (secondo disegno di figura 1). Le energie in gioco, quelle dei fotoni che colpiscono l’oggetto sono veramente ridicole rispetto all’inerzia dell’oggetto. Possiamo anche prendere un faro usato dalla protezione civile per le inondazioni ed illuminare con esso un granello di sabbia. Tale granello non si sposterà perché colpito da quell’enorme fascio di fotoni. E’ che il granello di sabbia è immensamente più grande del mondo atomico. Scendiamo allora a tale scala. Se volessimo osservare un elettrone dovremmo vederlo. Per fare ciò occorre che almeno un fotone lo colpisca. Ebbene, l’energia di un fotone è dello stesso ordine di grandezza di quella di un elettrone! Ciò vuol dire che, se vogliamo osservare l’elettrone, lo vediamo per un istante infinitesimo, ma poi lo perdiamo perché l’urto del fotone lo ha fatto schizzare via. Quindi si potrebbe pensare di osservare la posizione di un elettrone ma, questa osservazione, ci toglie ogni possibile informazione su quale traiettoria è seguita da quell’elettrone. Ma si potrebbero usare fotoni meno energetici. Invece di quelli, ad esempio, viola, si possono usare quelli rossi. Benissimo. In tal caso non spostiamo apprezzabilmente l’elettrone dalla sua traiettoria ma non riusciamo a vederlo bene, lo vediamo sfocato. Se ci mettiamo con fotoni ad energia intermedia (verdi) perdiamo un poco di informazione sulla traiettoria e poca sulla posizione dell’elettrone.

fig. 2
In formula il principio di indeterminazione si scrive:
Δvx . Δvy . Δvz . Δx . Δy . Δz ≥ h/2πm
e qui occorrerebbe discutere di questo spazio a sei dimensioni che si è introdotto, lo spazio delle fasi, ma ci limitiamo solo a considerare il principio di indeterminazione in una dimensione, così il tutto si semplifica:
Δvx . Δx ≥ h/2πm
dove la formula dice che il prodotto dell’indeterminazione sulla traiettoria (o velocità) per l’indeterminazione sulla posizione non può essere inferiore a quella quantità scritta al secondo membro. Facendo dei conticini facili (si veda ‘atomi e molecole’ al paragrafo “Principio di indeterminazione”) si trova che l’indeterminazione della posizione dell’elettrone in un atomo è ora grande come tutto l’atomo e ciò vuol dire che spariscono orbite e traiettorie e la stessa individualità dell’elettone. Ora quest’ultimo può trovarsi dovunque dentro l’atomo ma non sappiamo dove e neppure come si muove.
Conoscere vuol dire misurare, misurare vuol dire perturbare e perturbare ci porta ad essere indeterminati nel mondo microscopico (noto a parte che nell’esperimento ideale di Heisenberg, descritto dalla figura 2, gli strumenti sono classici e non quantistici e qui si apre un altro fronte non secondario di discussione che per ora rimandiamo). Secondo il fisico russo Gamow in un mondo quantistico non si potrebbe accarezzare un gattino senza spezzargli il collo, tali sono le cose straordinarie che accadono e che non rispondono a quello che conosciamo come senso comune. Il principio di indeterminazione, il carattere probabilistico della fisica dei quanti ed il dualismo onda-corpuscolo non sono altro che espressioni diverse di un solo modo, assai complesso, di rappresentare il mondo microscopico esterno. Si è voluto estendere a tutta la realtà del mondo questo principio con affermazioni che implicherebbero il dover abbandonare le nostre libertà metafisiche, ma su questo tralasciamo.
PARTE SEDICESIMA
UN POSSIBILE APPROCCIO ALLA TEORIA DELL’ELETTRONE LIBERO ED ALLA TEORIA DELLE BANDE DI ENERGIA
IL CAMPO DI ENERGIA POTENZIALE IN UN METALLO
Un modello semplificato per la struttura cristallina di un metallo vede un reticolo tridimensionale di atomi disposti ai vertici di figure solide regolari.
Volendo considerare l'energia potenziale in un punto all'interno del metallo occorre tener conto che essa è la risultante di tutte le energie potenziali che sono prodotte in quel punto dagli ioni che occupano i vertici del reticolo.
L'atomo che occupa un vertice del reticolo ha poi, esso stesso, una struttura che, in prima approssimazione, può essere pensata costituita da un nucleo di carica positiva Z·e circondato da Z elettroni (in orbite che approssimativamente si svolgono lungo una sfera).
Se prendiamo in considerazione un elettrone sull'ultimo livello energetico atomico (un elettrone di valenza) di uno di questi atomi del reticolo è facile capire cosa accade. Questo elettrone avrà carica q1 = - e; vedrà quindi la parte rimanente del «suo» atomo come uno ione di carica q2 = + e.
Facciamo ora l'ipotesi di scegliere l'infinito come riferimento V = 0 di potenziale e ricordiamo che, per un atomo isolato, l'espressione che ci fornisce il potenziale V in un punto a distanza r dal nucleo è:
V = q1 /r
dove q1 è la carica totale racchiusa in una sfera di raggio r.
E’ allora evidente che l’energia potenziale U è data da:
U = q2·V.
Poiché nel nostro caso la carica totale fornita dallo ione è q1 = + e, si trova subito che il valore per l’energia potenziale di un elettrone nel campo dello ione è:
U = q2V => U=q2(q1/r) => U = – e2/r
Rappresentando graficamente questa espressione (si tratta evidentemente di una iperbole equilatera riferita ai propri assi: U·r = – e2 ) si trova (figura 1):

E' bene, a questo punto, ricordare che r è una distanza radiale dallo ione (in figura indicato con α) e quindi deve essere considerata in tutto lo spazio che circonda lo ione. Scelta quindi una direzione arbitraria a partire dallo ione, la curva S di figura rappresenta la funzione U = U (r) a destra dello ione mentre la curva tratteggiata rappresenta U (r) a sinistra dello stesso ione.
Il metodo induttivo ci permette facilmente di arrivare alla situazione del cristallo da cui eravamo partiti.
Consideriamo allora due ioni (α e β) adiacenti e trascuriamo tutti gli altri. Nella figura 2 si vede come vanno le cose, tenuto conto che:
S rappresenta la funzione U (r) per lo ione α;
S' » » » » » » β ;
S" rappresenta la funzione U (r) risultante dall'interazione (somma) dei due ioni (si osservi, infatti, che: ab + ac = ad). (vedi figura 2).
Una importante caratteristica della curva S" risultante è il suo essere praticamente coincidente con le curve S ed S' nelle vicinanze degli ioni e più schiacciata delle altre due nella zona tra essi compresa.
Consideriamo ora una intera fila di ioni (α β γ δ ..) all'interno del reticolo metallico e cerchiamo di trovarci l'andamento dell'energia potenziale da ione a ione fino ad arrivare alla superficie del metallo.
Il procedimento, analogo a quanto visto per due ioni adiacenti (si tiene conto solo della piccola influenza che sulle curve risultanti danno ioni vicini), fornisce la curva di figura 3 (vedi)..
Quello che si nota subito è che all'interno del metallo c'è una ampia regione che è ,con buona approssimazione, equipotenziale a campo medio nullo (basta osservare che, a parte la rapida variazione di U nelle immediate vicinanze degli ioni, dove tende a - oo, le curve risultanti sono molto schiacciate nelle zone tra ione e ione, fatto questo che sta appunto ad indicare la lenta variazione di U (r) in queste zone).
Soffermiamoci ancora sulla figura 3; si vede che lo ione δ è l'ultimo sulla destra della fila di ioni presa in considerazione. Il che, è ovvio, vuol dire che alla sua destra non vi sono più ioni. Ebbene questo ultimo ione non può essere considerato esso stesso la « superficie » del metallo; alla sua destra c'è infatti una piccola zona a cui compete un certo valore di energia potenziale di cui bisogna tener conto. Questa piccola zona alla destra di sposta la «superficie» del metallo di poco ed in un modo non perfettamente definito. Dalla figura si vede che la curva che ci dà U alla destra di δ è molto più « alta » di tutte le altre. Se si tiene conto dell'ovvia osservazione che interno del metallo è circa a sinistra di δ ed esterno del metallo è circa a destra di δ, la maggiore « altezza » della U (r) alla destra di δ implica che nel passaggio dall'interno all'esterno del metallo (e viceversa) c'è una barriera di energia potenziale.


ELETTRONI LIBERI ED ELETTRONI LEGATI
Rimane da vedere cosa fanno gli elettroni in questo campo di energia potenziale. Sempre riferendoci alla figura 3, consideriamo un elettrone a cui compete una energia corrispondente al livello A di figura. Esso sarà uno degli elettroni dei livelli energetici più interni dell'atomo e perciò risulterà fortemente attratto dal nucleo (elettrone legato), avendo a disposizione solo il piccolo tratto ab per i suoi movimenti. Questo elettrone infatti "colliderà" alternativamente nei punti a e b delle barriere di energia potenziale non avendo possibilità di liberarsi e di entrare in qualunque processo di conduzione quando si applichi un campo elettrico esterno.
Gli elettroni liberi sono invece quelli a cui compete, ad esempio, un'energia corrispondente al livello B di figura 3.
Questo elettrone non possiederà solo energia potenziale ma sarà dotato anche di energia cinetica; esso si muoverà liberamente all'interno del metallo risentendo solo della piccola azione che gli altri elettroni liberi hanno su di lui. Quando questo elettrone raggiunge la superficie del metallo colliderà con la barriera di energia potenziale nel punto C e, rimbalzando, tornerà verso l'interno del metallo.
Un elettrone « più libero » ancora è quello a cui compete, ad esempio, un'energia corrispondente al livello D di figura 3. Questo elettrone ha complessivamente un'energia superiore a quella della barriera; esso è pertanto in grado di lasciare, in qualsiasi momento, il metallo (ad esempio: per effetto termoionico).
MODELLO SEMPLIFICATO DELL’ENERGIA POTENZIALE ALL’INTERNO DI UN METALLO (IL MODELLO DELL’ELETTRONE LIBERO)
Consideriamo ancora la figura 3 ed in essa la zona di energia in cui gli elettroni sono liberi. Questa zona può essere schematizzata come in figura 4 e quindi come in figura 5 (vedi).
La schematizzazione che abbiamo fatto corrisponde ad aver ammesso che il campo agente su di un elettrone, all'interno del metallo, sia effettivamente uguale a zero, e non solo in media. Ci interesseremo quindi degli elettroni liberi (quelli responsabili dei fenomeni di conduzione) che si trovano, in base alla nostra ipotesi, in una regione equipotenziale (non soggetti ad alcuna forza) dove si comportano allo stesso modo di un gas perfetto; nel far questo trascureremo completamente gli elettroni legati. Questo punto di vista è, come si può riconoscere, in accordo con l'elettrostatica classica anche perché non tiene conto della struttura atomica.
Poiché è un fatto sperimentale che a temperatura ambiente non si osserva emissione di elettroni da un metallo, viene spontaneo ammettere che, a temperature di questo ordine (~300° K), un elettrone in riposo all'interno del metallo si trovi ad una energia potenziale minore di quella che competerebbe ad un elettrone in riposo al di fuori del metallo. Questo fatto significa che tutti gli elettroni debbono trovarsi, a temperature ordinarie, al disotto del « livello di vuoto » (energia di un elettrone in riposo al di fuori del metallo) di figura 5, dentro la buca di energia potenziale di profondità ES. Ad una temperatura T = 0°K tutti i livelli energetici fino ad EF sono pieni (rispettando però il principio di Pauli), tutti quelli più che si trovano più su sono vuoti. Alla quantità:
Φ = ES - EF
si dà il nome di potenziale di estrazione di un elettrone da un metallo (o funzione lavoro).

INSUFFICIENZA DEL MODELLO
II modello dell'elettrone libero mentre spiega bene la conducibilità elettrica e termica dei metalli, non spiega degli altri fenomeni, tra cui la differenza tra conduttori ed isolanti (perché alcune sostanze hanno degli elettroni liberi ed altre no?) e come mai la forte corrente che può condurre un metallo diminuisce al crescere della temperatura mentre la debole corrente condotta da un isolante aumenta con la temperatura.
LA TEORIA DELLE BANDE NEI SOLIDI
I fenomeni ai quali abbiamo accennato alla fine del precedente paragrafo trovano una brillante spiegazione con l'introduzione della teoria delle bande (di energia).
Per spiegare, almeno qualitativamente, il contenuto della teoria, occorre rifarsi per un momento ad un fenomeno ben noto in fisica: la corda vibrante. Una corda elastica lunga L, unidimensionale e continua, fissata con un estremo ad una parete e tenuta in mano all'altra estremità, potrà vibrare solo a quelle frequenze che soddisfano la seguente condizione: la lunghezza d'onda λ deve essere un sottomultiplo intero del doppio della lunghezza L della corda (2L = nλ, con n>o uguale ad 1 ed intero). Le frequenze possibili sono quindi discrete (ricordiamo che ν è proporzionale ad 1/λ), ad ogni valore intero di n appartiene una frequenza.
La stessa cosa si verifica per un oscillatore del tipo riportato in figura 6 (a) (massa m collegata ad una molla che è fissata ad una parete); si hanno cioè frequenze discrete del tipo riportato in figura 6 (b)(vedi più oltre).
Se ora accoppiamo (accoppiamento debole) due oscillatori con frequenze uguali come in figura 7 (vedi più oltre), si può dimostrare che se le frequenze possibili per i due oscillatori disaccoppiati (figura 6 (a)) sono quelle riportate in figura 8 (a) e (b) (vedi più oltre), le frequenze possibili per i due oscillatori accoppiati (fig. 7) sono date dalla figura 8 (c). [Per tutti i conti relativi a questa parte vedi: Carlo e Silvia Bernardini, Fisica degli atomi e dei nuclei, Zanichelli, 1965]. Quello che succede è che ogni frequenza degli oscillatori isolati si scinde in due frequenze distinte.
Se abbiamo tre oscillatori disaccoppiati che oscillano con frequenze uguali e li accoppiamo otteniamo che ogni singola frequenza di oscillazione dell'oscillatore isolato si scinde in tre diverse frequenze (fig. 9) (vedi più oltre).
Ritornando nel campo atomico ed osservando che l'atomo è un oscillatore, l'estensione è immediata.
Consideriamo due atomi identici a grande distanza l'uno dall'altro. Supponiamo, per fissare le idee, che questi due atomi abbiano i loro elettroni disposti sugli orbitali S. I livelli energetici elettronici per questi atomi saranno come quelli riportati in fig. 10 (vedi più oltre)..
Ora avviciniamoli. Essi quanto più saranno vicini tanto più interagiranno. In definitiva non si dovranno più considerare i due atomi (oscillatori) separati ma accoppiati. Quello che accade è analogo a quanto abbiamo visto nel caso degli oscillatori ed è riportato in figura 11 (vedi più oltre) in cui è disegnata l'energia E dei successivi livelli energetici in funzione della distanza d tra i due atomi.





.
Quando i due atomi sono a grande distanza vi è un livello energetico 1S singolo e comune (degenere) per i due atomi. Quando i due atomi interagiscono il livello 1S, comune ai due atomi, origina due livelli 1S per l’accoppiamento tra i due atomi, ed il livello 2S per i due atomi separati origina due livelli 2S per l’accoppiamento tra gli stessi due atomi.
Se portiamo ad interagire tre atomi con livelli energetici del tipo riportato in fig. 10 otteniamo un grafico E = f(d) [energia dei livelli energetici degli atomi in funzione della distanza tra di essi] del tipo riportato in figura 12 .

Se il numero degli atomi che interagiscono diventa N (circa 10 elevato alla 23 per cm3) avremo N livelli energetici in corrispondenza di ogni singolo livello energetico che avevamo per ciascun atomo isolato. Poiché il numero N è enorme, in luogo di considerare 1023 livelli energetici in corrispondenza di ogni livello energetico atomico, si può considerare una banda (continua) di energie permesse agli elettroni in corrispondenza di ogni singolo livello energetico atomico
Quindi se dobbiamo considerare l'interazione di N atomi per cm3 (e questo è il caso di un solido) il grafico E=f(d), che otteniamo, è del tipo riportato in figura 13 (vedi più oltre).
Così per ogni livello energetico atomico avremo N livelli energetici (che formano una banda) per il solido; e poiché per ogni livello energetico si possono avere al massimo 2 elettroni, in ogni banda vi possono essere al massimo 2N elettroni. Si ha allora banda piena (semipiena) per un solido i cui atomi hanno un numero pari (dispari) di elettroni liberi.
Poiché stiamo trattando con atomi è importante notare che non si debbono più considerare livelli energetici elettronici relativi al singolo atomo ma, per così dire, il singolo atomo sparisce e si ha a che fare con livelli elettronici che sono di tutto il cristallo. In ognuno di questi livelli poi, come abbiamo già visto, vi possono essere al massimo due elettroni e ve ne sono due solo se hanno spin antiparalleli. Ebbene, conseguentemente con quanto detto ora, questi elettroni si muoveranno con traiettorie quantizzate attraverso l'intero cristallo.
E' proprio dal riempimento delle bande, costituite dai livelli elettronici del cristallo, che è possibile trovare una distinzione tra conduttori ed isolanti.
Prima di far questo, però, forniamo un modo più semplice per rappresentare le bande. Allo scopo serviamoci della figura 14 (vedi più oltre)..
Nella figura 14 (a) sono schematizzate le bande energetiche che si formano all'interno di un solido: la banda ad energia più bassa è completamente piena di elettroni, quella intermedia altrettanto, mentre l'ultima è completamente vuota.
I casi che si possono presentare in termini di riempimento di bande e distanza tra queste ultime sono riportati in fig.15 (vedi più oltre).
La figura 15 (a) è relativa al caso di un materiale isolante. Le prime due bande sono completamente piene di elettroni, mentre l'ultima banda è completamente vuota. Nelle bande completamente piene gli elettroni non hanno possibilità di contribuire alla conduzione, a causa del principio di Pauli. Infatti l'acquisto di energia da parte di un elettrone implica un suo salto ad un livello energetico a cui compete una energia superiore, ma, essendo tutti i livelli occupati da due elettroni con spin antiparalleli, non c'è possibilità, all'interno della banda, che un elettrone acquisti energia, poiché non ha livello energetico dove sistemarsi. D'altra parte i primi livelli non occupati da elettroni (quelli attraverso i quali gli elettroni stessi potrebbero condurre) si trovano sulla terza banda, quella completamente vuota, ma il salto energetico E1 tra la banda piena e quella vuota è tanto grande che la forza elettrica, comunemente impiegata, non è in grado, da sola, di fornire energia sufficiente ad un elettrone, che si trova nella banda piena, per questo salto.
La figura 15 (b) è relativa al caso di un materiale conduttore. La prima banda (quella ad energia più bassa) è completamente piena di elettroni, la seconda è piena per metà , mentre la terza è completamente vuota. In questo caso basta fornire agli elettroni una piccolissima quantità di energia E2 per mandarli in conduzione sui livelli energetici che sono liberi all'interno della stessa banda (quella ad energia intermedia). [Ricordiamo che fornendo energia ad un « set » di elettroni, situati in una banda, i primi ad essere eccitati sono quelli che si trovano sui livelli energetici superiori della banda].
La figura 15(c) è infine relativa al caso di un materiale semiconduttore. La prima banda è completamente piena di elettroni, come pure la seconda, mentre la terza banda è completamente vuota. Come si può osservare la situazione è strutturalmente simile a quella di un materiale isolante; la differenza è che il salto energetico E3 fra le ultime bande, nel caso del semiconduttore, è molto minore del salto energetico E1 del caso dell'isolante. Quando l'intervallo E3 di energia è sufficientemente piccolo l'energia termica (dovuta a volte anche alla sola temperatura ambiente) è in grado di eccitare alcuni elettroni della parte superiore della banda piena, attraverso l'intervallo di energie proibite agli elettroni, fino alla parte inferiore della banda vuota. Allora la banda « piena » non lo è del tutto, e quella «vuota» neppure, e gli elettroni possono condurre in entrambe le bande (vedi figura 16). Poiché, pero, vi sono relativamente pochi elettroni liberi di farlo, i materiali che presentano queste proprietà (silicio, germanio,...), non conducono una corrente paragonabile a quella dei metalli e si meritano il nome di semiconduttori (vedi più oltre la figura 16).




SPIEGAZIONE CON LA TEORIA DELLE BANDE DI ALCUNI FENOMENI CHE NON TROVANO SPIEGAZIONE CON LA TEORIA DELL’ELETTRONE LIBERO
Abbiamo già visto qual è la differenza tra materiali conduttori e materiali isolanti; abbiamo così spiegato un primo fenomeno che la teoria dell'elettrone libero non spiegava.
Cerchiamo ora, con la teoria delle bande, di rispondere a quell'altro problema che era rimasto insoluto: perché la forte corrente che può condurre un metallo diminuisce al crescere della temperatura, mentre la debole corrente condotta da un isolante aumenta con la temperatura?
Per rispondere a questa domanda occorre risalire alla natura ondulatoria degli elettroni.
Consideriamo quindi un gas di elettroni all'interno di una scatola in cui una dimensione prevalga nettamente sulle altre due (come riportato in figura 17) (vedi più oltre).
Questa situazione rappresenta in prima approssimazione gli elettroni liberi all'interno di un metallo.
Ad ogni elettrone è associata un'onda che ha la caratteristica di darci la probabilità, ad ogni istante, di trovare l'elettrone in un certo punto dello spazio (l'altezza dell'onda in un punto misura la probabilità che l'elettrone si trovi in quel punto).
Affinché un'onda possa esistere lungo il « segmento » L occorre che essa valga zero alle due estremità di L (vedi figura 18).
Questo fatto è direttamente legato al moto di un elettrone lungo la direzione L all'interno della scatola. Se l'elettrone è un'onda (e se c'è l'onda c'è l'elettrone), esso urtando ad una estremità della scatola deve riflettersi su se stesso (ricostruendo la stessa onda) per andare di nuovo ad urtare all'altra estremità che lo farà di nuovo riflettere su se stesso (ricostruendo la stessa onda).
In definitiva la condizione per l'esistenza di un'onda (un elettrone) all'interno di una scatola è che lungo L possa starci un numero esatto di mezze lunghezze d'onda o, che è lo stesso, 2L=n (si ricordi quanto visto sulla condizione di esistenza di un'onda su una corda).
All'interno della scatola gli elettroni si muoveranno o verso destra o verso sinistra ed il grafico che ci fornisce le energie degli elettroni in funzione delle velocità è dato dalla figura 19 (si ricordi che E = l/2. mv2 rappresenta una parabola nel piano E, v).
Le lunghezze delle onde permesse (vedi fig. 18) determineranno le velocità permesse che risulteranno equidistanziate sull'asse delle ascisse di figura 19 (si ricordi che v è proporzionale a ). Sull'asse delle ordinate vi sarà invece l'energia che è permessa ai singoli elettroni che nel caso in esame (gas di elettroni in assenza di nuclei atomici) sarà tutta cinetica.
Nella scatola gli elettroni (in assenza di forze esterne) si muoveranno indifferentemente verso destra e verso sinistra cosicché si può pensare che una metà circa si muove verso destra mentre l'altra metà si muove verso sinistra. Il risultato è che non si ha nessuna « corrente » elettrica risultante.
Prendiamo ora la scatola ed alle due sue estremità applichiamole una forza elettrica in modo che questa provochi uno spostamento degli elettroni da sinistra verso destra (in realtà ci sarà una componente di velocità che si sottrarrà agli elettroni che si muovono verso sinistra ed una componente di velocità che si sommerà agli elettroni che si muovono verso destra). Il risultato può essere schematizzato come in figura 20.
Completiamo ora il modello inserendo nella scatola a distanze regolari i nuclei atomici (ricordando che la dimensione L è molto maggiore delle altre due si dovrà considerare una sola fila equidistanziata di nuclei).
Con i nuclei aggiunti al gas di elettroni la scatola ci rappresenta in prima approssimazione la situazione di un metallo e in accordo con quanto visto nel paragrafo precedente bisognerà tener conto dell'esistenza di bande di energia permesse e proibite.
La figura 21 ci rappresenta la nuova situazione.





Ora, evidentemente, non è più possibile pensare che indefinitamente gli elettroni « passino » da sinistra a destra come avveniva nel caso illustrato in figura 20 (gas di elettroni senza nuclei). Poiché ad ogni passaggio da sinistra a destra corrisponde un acquisto di energia (al passaggio ad un livello energetico più elevato) è chiaro che, data la struttura a bande, questo processo debba ad un certo punto interrompersi (quando gli elettroni sono arrivati ad occupare il livello energetico più elevato che compete ad una banda di energia permessa).
E quando un elettrone raggiunge il livello energetico più elevato di una banda sarà riflesso all’indietro andando ad occupare livelli lasciati vuoti alla sinistra (vedi figure 22 e 23).



A questo punto si può introdurre l'effetto originato dalla temperatura.
La temperatura fa aumentare il moto di vibrazione degli atomi originando quindi una più marcata variazione delle distanze interatomiche del reticolo cristallino (la situazione atomica appare agli elettroni più disordinata). Questo fatto origina la riflessione di elettroni che hanno anche lunghezza d'onda diverse da quelle del limite della banda ed in definitiva si avranno riflessioni di elettroni anche molto prima che essi vadano a trovarsi al limite della banda.
La nuova situazione è illustrata in figura 24 (vedi più su).
Quando gli elettroni sono diffusi a sinistra trovano stati ad energia più bassa avendo ceduto sotto forma di calore la differenza di energia agli atomi che li hanno diffusi. Più sale la temperatura e più il disordine atomico aumenta e più onde elettroniche (anche di diverse lunghezze d'onda) saranno riflesse dagli atomi del reticolo.
E' allora evidente che nel caso di un conduttore, all'aumentare della temperatura debba aumentare la resistenza elettrica.
Rimane ora da prendere in considerazione ciò che avviene per un isolante all'aumentare della temperatura.
Se si scalda molto un materiale isolante aumenta notevolmente l'energia di oscillazione degli atomi che si trovano ai nodi del reticolo. Questa energia si trasmette agli elettroni i quali non potendo « muoversi » all'interno della banda in cui si trovano cercano altri stati in cui sistemarsi. Gli impulsi che gli elettroni ricevono dagli atomi del reticolo sono sufficienti a permettere che una parte di essi possa saltare nella banda vuota dove può cominciare ad entrare in conduzione.
BIBLIOGRAFIA
MILLMAN-HALKIAS: « Electronic Devices and Circuits ». Me Graw Hill, 1967.
A. J. DEKKER: «Fisica dello stato solido». Ambrosiana., 1965.
C. e S. BERNARDINI: «Fisica degli atomi e dei nuclei». Zanichelli, 1965.
A. HOLDEN: «La fisica dei solidi». EST Mondadori., 1967.
V. RYDNIK: «Qu’est-ce que la mécanique quantique? ». EM (Éditions de Moscov), 1969.
J. C SLATER: « Introduzione alla chimica fisica ». Sansoni Edizioni Scientifiche., 1949.
C. A. COULSON: «La valenza». Zanichelli, 1968.
RICE e TELLER: «La struttura della materia». Boringhieri, 1963.
PARTE DICIASETTESIMA
ELEMENTI DI FISICA NUCLEARE
0 – PREMESSA
Perché nascesse la fisica del nucleo sarebbe stato necessario scoprire il nucleo. E perché si parlasse di nucleo occorreva capire che la materia ha una struttura atomica con un atomo avente una determinata struttura di cui il nucleo è parte. Insomma, poiché queste dispense non vogliono avere un carattere storico, ritengo sia comunque utile fissare alcune date importanti al fine di situare la nascita della fisica del nucleo atomico.
1896 – Il fisico francese Henri Becquerel scopre il fenomeno della radioattività da sali di uranio (scoperta assolutamente casuale. A Becquerel era stata regalata una “bella pietra” giallognola, un souvenir da un amico che aveva fatto un viaggio in Africa. Becquerel la ripose in un cassetto, sopra delle lastre fotografiche che conservava, ben protette dalla luce, per suoi esperimenti. Il mattino successivo Becquerel scoprì che quelle lastre erano impressionate e tutte riportavano il “disegno” della proiezione della pietra).
1897 – Il fisico britannico J. J. Thomson scopre l’elettrone e ne misura la carica e la massa. La presenza nella materia di una carica negativa fa supporre l’esistenza in essa di una carica positiva che però sfugge alla rivelazione.
1898 – I coniugi Pierre e Maria Curie (francese il primo e polacca la seconda) scoprono altri elementi radioattivi: torio, polonio, radio (da quest’ultimo, che fornisce la maggiore attività, prenderà nome il fenomeno).
1899 – Il fisico britannico Ernst Rutherford scopre misteriose radiazioni, che chiama alfa (α e beta β provenienti da materiali radioattivi.
1900 – Il fisico francese Paul Villard scopre altri raggi, provenienti da materiali radioattivi, che chiama gamma γ.
1906/1909 – Ernst Rutherford prova che i raggi α sono particelle cariche positivamente.
1909 – Ernst Rutherford ed i suoi collaboratori Geiger e Mardsen scoprono il nucleo dell’atomo e quindi il protone, la particella positiva che (fino al 1932) viene pensata come costituente principale del nucleo.
1910/1913 – J. J. Thomson e F. W. Aston scoprono l’isotopia, cioè quelle sostanze che hanno stesse proprietà chimiche pur presentando nuclei atomici diversi.
1911 – Rutherford elabora il suo modello atomico.
1913 – Il fisico danese Niels Bohr elabora il suo modello atomico che soppianta quello di Rutherford.
1932 – Il fisico britannico James Chadwick scopre l’esistenza del neutrone, una particella neutra che è costituente del nucleo. Diventa così chiaro il fenomeno dell’isotopia: è il numero dei protoni che qualifica chimicamente una sostanza; un elemento resta chimicamente lo stesso anche se varia il numero dei neutroni che costituiscono il suo nucleo.
A questo punto abbiamo in mano ciò che occorre per iniziare a parlare di fisica del nucleo. Un atomo, nel 1932, risulta costituito da un nucleo in cui vi sono protoni e neutroni intorno al quale ruotano degli elettroni:
- elettrone: particella di massa piccolissima e carica negativamente.
- protone: particella di massa circa 2000 volte quella dell’elettrone e carica positivamente.
- neutrone: particella con massa circa uguale a quella del protone e priva di carica (da cui il nome).

Figura 1

Figura 2
Io mi occuperò del solo nucleo dell’atomo in cui vi sono protoni e neutroni e nel quale, a seguito di reazioni nucleari complesse studiate come vedremo da Enrico Fermi, possono essere creati elettroni che vengono però immediatamente espulsi (raggio o radiazione β).
1 – PRIME DEFINIZIONI
In primissima istanza, il nucleo di un atomo è costituito da protoni, dotati di carica positiva e da neutroni, privi di carica. I protoni ed i neutroni costituenti il nucleo, sono genericamente chiamati nucleoni, senza ulteriori specificazioni.
Il numero dei neutroni in un nucleo è indicato con la lettera N; il numero dei protoni, detto numero atomico, con la lettera Z; infine il numero dei protoni più quello dei neutroni, il numero cioè dei nucleoni, detto numero di massa, è indicato con la lettera A.
E’ facile vedere che in un nucleo vale la seguente relazione:
N = A – Z.
Con le notazioni introdotte, un qualsiasi elemento X della tavola periodica potrà essere indicato con il simbolo che gli compete (in questo caso, appunto, X) preceduto in basso e seguito in alto da due numeri, rispettivamente Z ed A:
ZXA.
Occorre osservare che, tra gli atomi di uno stesso elemento ve ne sono alcuni che hanno, nel nucleo, stesso numero di protoni ma differente numero di neutroni. A questi elementi, costituiti da atomi con diverso numero di neutroni nel nucleo, si dà il nome di isotopi.
Come esempio consideriamo l’atomo di idrogeno (H) che generalmente ha un elettrone orbitante intorno ad un nucleo costituito da un solo protone. L’idrogeno ha due isotopi chiamati deuterio e trizio i quali sono caratterizzati dal fatto di avere, rispettivamente, uno o due neutroni in più nel nucleo. In accordo con il simbolismo appena introdotto, il nostro idrogeno ed i suoi due isotopi saranno indicati nel modo seguente:
idrogeno 1H 1; deuterio 1H 2 (oppure 1D 2 ); trizio 1H 3 (oppure 1T3 );
e, volendo rappresentarli, si avrà la figura 3 nella quale è anche riportato il carbonio ed i suoi isotopi.

Figura 3
Occorre solo aggiungere che le proprietà chimiche di un elemento dipendono esclusivamente dal numero degli elettroni e quindi dei protoni dell’atomo. Di conseguenza, aumentare il numero dei neutroni di un nucleo, non cambia in alcun modo le proprietà chimiche del rispettivo atomo.
2 – DIMENSIONI DELLE MOLECOLE, DEGLI ATOMI, DEI NUCLEI . ALTRE DEFINIZIONI
Prima di procedere, conviene soffermarsi un poco sulle dimensioni con cui abbiamo a che fare nel mondo atomico e nucleare. Ci renderemo conto che stiamo trattando di oggetti infinitamente piccoli e scopriremo che la materia è ben diversa da quello che ci appare: in essa c’è una gran quantità di vuoto che supera di gran lunga il pieno.
L’atomo è il primo costituente un dato elemento (in natura ne esistono 92). Due o più atomi che entrino in combinazione chimica, costituiscono una molecola. Quest’ultima può essere costituita da due o più atomi dello stesso elemento (ed allora abbiamo ancora a che fare con l’elemento) o da atomi di due o più elementi diversi (ed allora abbiamo a che fare con un composto).
Per cercare ora di avvicinarci alla comprensione delle dimensioni delle molecole e degli atomi dovremo servirci di analogie e paradossi perché il dire che la molecola ha mediamente un diametro di qualche milionesimo di millimetro può dire poco.
Supponiamo di ingrandire l’intera nostra Terra di 10 milioni di volte in modo che una matita, lunga normalmente 10 cm, divenga grande come l’Italia; in questo fantastico mondo una molecola avrebbe il diametro di mezzo centimetro. Questa estrema piccolezza della molecola fa si che, all’interno dei corpi, ve ne sia un numero enorme. Prima di proseguire è conveniente introdurre il peso atomico ed altre utili grandezze, iniziando con il definire una unità di misura pratica (non appartenente cioè a nessun sistema di unità) che permette di non dover far ricorso ai piccolissimi numeri che fornirebbero i valori di massa per molecole, atomi e nucleoni. Si tratta dell’unità di massa atomica (uma), unità scelta arbitrariamente e corrispondente ad un dodicesimo della massa dell’atomo dell’isotopo 12 (quello con 12 nucleoni) del carbonio ( 6C12 ):
1 uma = 1,66.10-27 Kg.
Il peso atomico, relativo ad una unità di massa atomica, ci dice quante volte un atomo di un elemento pesa più di questa unità di massa. Dire, ad esempio, che il peso atomico del fluoro è 19 vuol dire che l’atomo di fluoro pesa 19 volte di più di un dodicesimo dell’atomo di carbonio 12 (oppure, che è lo stesso, ha una massa pari a 19 uma). Stabilito cos’è il peso atomico è facile definire il peso molecolare: la somma dei pesi atomici di tutti gli atomi costituenti la molecola. Sapendo, ad esempio, che l’ossigeno ha peso atomico 16 e l’idrogeno 1, si trova facilmente che il peso molecolare dell’acqua (H2O) è 1+1+16 = 18.
Vediamo ora cosa sono il grammo-atomo e la grammo-molecola: si definisce grammo-atomo di un elemento quella massa dell’elemento il cui numero di grammi è uguale al peso atomico dell’elemento (poiché, ad esempio, l’elio ha peso atomico 4, un grammo-atomo di elio equivale a quattro grammi di elio); si definisce grammo-molecola di una sostanza quella massa della data sostanza il cui numero di grammi è uguale al peso molecolare della sostanza stessa (per quanto già detto è facile riconoscere che una grammo-molecola d’acqua equivale a 18 grammi d’acqua).
Avendo a disposizione queste definizioni è possibile definire il numero di Avogadro (N): è quel numero di atomi, uguale per tutti gli elementi, contenuti in un grammo-atomo dell’elemento in considerazione o quel numero di molecole, uguale per tutte le sostanze, contenute in una grammo-molecola. Il valore calcolato per N è all’incirca:
N = 6.1023.
Se disponiamo, ad esempio, di una grammo molecola d’acqua, in essa vi sono 6.1023 molecole d’acqua. Quindi in un bicchiere, circa 200 grammi d’acqua, vi sono circa 1025 molecole. Quanto è grande questo numero? Prendiamo il nostro bicchiere e supponiamo si possano riconoscere le molecole d’acqua in esso contenute. Rovesciamo il bicchiere nel mare e supponiamo che le molecole d’acqua che vi si trovavano vadano a mescolarsi uniformemente con tutte le acque della Terra. Andiamo ora al rubinetto di casa nostra; prendiamo un bicchiere d’acqua; in esso troveremmo 2 000 molecole d’acqua appartenenti al bicchiere che avevamo versato nel mare. Se poi, invece di un bicchiere d’acqua, ne prendiamo la metà, gli atomi (di idrogeno e di ossigeno) costituenti quell’acqua basterebbero per seminare l’intera superficie della Terra, nell’ipotesi di collocare un solo atomo per ogni centimetro quadrato. Si pensi poi che una sola goccia di pioggia contiene tanti atomi quante sono le gocce d’acqua contenute nel Mare Mediterraneo.
In definitiva molecole ed atomi sono entità estremamente piccole. Possiamo dire che il diametro medio di una molecola è dell’ordine di 10-9 metri, mentre quello di un atomo è dell’ordine di 10-10 metri; e ciò vuol dire che una molecola ha, come ordine di grandezza, un diametro dieci volte più grande di un atomo, ci vogliono cioè dieci milioni di atomi in fila per fare la lunghezza di un millimetro. Se dal diametro passiamo al volume, si scopre facilmente che il volume di una molecola è mille volte quello di un atomo. Quando passiamo ai costituenti dell’atomo le dimensioni diventano di gran lunga più piccole. E’ abbastanza noto che la massa del protone è circa 1800 volte quella dell’elettrone; questo dato, messo insieme al precedente che ci forniva il diametro medio di un atomo ed al fatto – che vedremo tra qualche riga – che il raggio di un nucleo è dell’ordine di grandezza di 10-15 metri, ci fa pensare che se ingrandissimo idealmente il nucleo fino a che assumesse la massa di una arancia, l’elettrone, con la massa di un pisello, si muoverebbe intorno ad esso in un’orbita con un raggio di una trentina di chilometri (come dire che, se mettessimo questa arancia in mezzo a Piazza Venezia a Roma, il pisello ruoterebbe passando sul litorale, su Tivoli, i Castelli, ….).
Insomma, stiamo parlando di entità infinitesime, infinitamente piccole e tali da sfuggire completamente ai nostri sensi ed anche ai più sofisticati microscopi (e ciò non per motivi tecnici ma per ragioni teoriche connesse con il Principio di indeterminazione di Heisenberg). Inoltre tutti i modelli meccanici che si possono pensare o, peggio, tutti i cambiamenti di scala immaginabili, non sono altro che piccolissimi stimoli intellettuali perché si comprenda che trattiamo di un mondo completamente differente da quello macroscopico che ci circonda. Nessun modello, per sofisticato che sia, che noi possiamo costruirci è, neppure lontanamente, corrispondente alla realtà. Il modello serve a noi per crearci una qualche immagine cui appenderci. Infine le leggi che regolano questo microcosmo sono il più delle volte diverse da quelle che regolano ilo macrocosmo, allo stesso modo che le regole che governano una famiglia sono diverse dalle leggi che regolano la società.
Per dare qualche numero più preciso cui riferirsi più oltre, possiamo dire che il nucleo ha un raggio R variabile (a seconda dell’atomo di cui è nucleo), in funzione del numero A di massa, tra i valori:
1,4.10-15 m ≤ R ≤ 8,7.10-15 m;
relazione, quest’ultima, che può anche essere scritta in modo più preciso facendo comparire esplicitamente in essa la dipendenza dal numero di massa A dell’atomo in considerazione:

Il raggio, invece, di un nucleone è dell'ordine di grandezza di 10-16 m.
Se si confrontano questi ultimi numeri si scopre che l'atomo è nel suo insieme in massima parte vuoto (il rapporto tra raggio dell'elettrone e quello dell'atomo è circa lo stesso del rapporto tra raggio della Terra e della sua orbita intorno al Sole; inoltre - e qui propongo un'altra similitudine - : se si riuscisse ad eliminare tutto il vuoto esistente, ad esempio, negli atomi di 5 000 portaerei, si otterrebbe una palla da tennis con la massa però delle 5 000 portaerei!). Nel nucleo dell'atomo è concentrata la gran parte della massa dell'atomo (oltre il 99%) ma esso risulta 10 000 volte più piccolo dell'atomo. Tra questo nucleo ed i lontanissimi elettroni vi è un vuoto immenso.
Concludo questo paragrafo fornendo i valori di massa delle particelle fondamentali costituenti l'atomo:
- massa dell’elettrone Me = 0,9 . 10-31 Kg
- massa del protone Mp ≈ 1 836 Me
- massa del neutrone Mn ≈ 1 838 Me
e, dai numeri dati, risulta evidente che:
Mp ~ Mn .
3 – LE FORZE NUCLEARI
All’interno del nucleo, abbiamo già detto, vi sono protoni e neutroni; mentre questi ultimi sono privi di carica elettrica, i protoni sono dotati di carica positiva. Sappiamo però che cariche dello stesso segno si respingono con una forza data dalla legge di Coulomb:
Fc = ± (q1.q2)/R2
dove si ha segno + quando la forza è repulsiva (cariche dello stesso segno) e segno – quando la forza è attrattiva (cariche di segno opposto); K è una costante che ha dimensioni tali da rendere omogenea la relazione; q1 e q2 sono le due cariche elettriche poste tra loro ad una distanza r.
Proviamo a farci un conticino per vedere quanto dovrebbero valere le forze elettriche repulsive all’interno di un nucleo atomico.
Supponiamo che un nucleo atomico sia costituito da due protoni alla distanza di 10-15 m . Ricordando che la carica del protone (opposta a quella dell’elettrone) vale e = 1,6.10-19 coulomb ed applicando la legge di Coulomb, si trova che la forza repulsiva tra i due protoni vale:

Per capire l’ordine di grandezza di questa forza, confrontiamola con quella attrattiva che tiene legato, ad esempio, un elettrone ad un protone in un atomo di idrogeno (ad una distanza r » 5.10 elevato alla -11 m):

Risulta quindi che la forza Fn repulsiva tra i due protoni dovrebbe essere più intensa di circa 2 miliardi di volte quella Fe che tiene un elettrone legato in un atomo di idrogeno: i due protoni dovrebbero schizzare via come due proiettili supersonici!!!
La domanda è allora evidente: come fanno a coesistere in uno spazio così piccolo, il nucleo, due o più protoni ?
I fatti sperimentali mostrano che i nucleoni sono fortemente legati tra di loro nel nucleo, come è possibile ?
Pensiamo per un momento ad una analogia: supponiamo di tenere in ciascuna mano una striscia di nastro adesivo a penzoloni. Avviciniamo ora le mani per far aderire i due pezzi di nastro. Se nel moto di avvicinamento ci passa tra le mani una forte corrente d’aria proveniente da un ventilatore i due pezzi di nastro svolazzeranno da parti opposte praticamente respingendosi; quando però siamo arrivati a mettere in contatto le due strisce di nastro, allora nessuna corrente d’aria riuscirà a separarle. Nell’analogia la corrente d’aria rappresenta la repulsione elettrostatica che si esercita quando i due nastri (protoni) sono ad una certa distanza tra loro; quando poi i due nastri (protoni) sono a distanza ravvicinatissima essi sono tenuti insieme da una forza diversa da quella della corrente d’aria (elettrostatica) che prima li divideva: ora entra in gioco un’altra forza, quella di adesione (nucleare) che si fa sentire solo a piccolissima distanza.
Nel nucleo bisogna quindi considerare un tipo di forza, diversa da quelle elettromagnetiche e gravitazionali con le quali comunemente siamo in contatto, che è molto più intensa solo a piccolissime distanze (inferiori alle dimensioni di un protone o un neutrone) e si annulla rapidamente quando queste distanze diventano maggiori o uguali alle dimensioni di un singolo nucleone (intorno ai 10-16 metri): la forza nucleare. Quindi i protoni del nucleo sono certamente respinti tra loro dalle forze elettriche ma queste forze sono di gran lunga più piccole di quelle nucleari che invece li fanno attrarre (si noti che, all’aumentare della distanza, le forze nucleari, come già detto, non si fanno più sentire ed invece si fanno sentire le forze elettriche; per distanze che diventano molto grandi anche le forze elettriche svaniscono e si cominciano a far sentire le forze gravitazionali). Ma queste forze nucleari assolvono anche ad un altro ruolo: oltre a tener legati tra loro i protoni, tengono insieme anche neutroni con neutroni, protoni con neutroni e neutroni con protoni.
Dire però forze nucleari non vuol dire averne spiegata la natura. Per molti anni una grande quantità di fisici ha lavorato alla soluzione di questo problema arrivando, con il fisico giapponese Yukawa, nel 1935 ad una teoria secondo la quale nel nucleo, tra nucleone e nucleone, vi sarebbe una specie di colla nucleare costituita da tante particelle diverse da quelle fino ad ora incontrate. A tali particelle Yukawa dette il nome di mesoni π leggi pai o pioni (si scoprì successivamente che di questi mesoni ne esistono di tre tipi: quelli con carica positiva π+, quelli con carica negativa, π–, quelli neutri, π°. Inoltre si è trovato che la carica del mesone π+ è la stessa di quella del protone e che la carica del mesone π– è la stessa di quella dell’elettrone). Secondo la teoria di Yukawa, questa nuova particella, agente a livello di nucleo, doveva avere una massa circa 200 volte quella dell’elettrone. Il mesone verrebbe scambiato tra un protone ed un neutrone, tra un neutrone ed un protone, tra un neutrone ed un neutrone, tra un protone ed un protone, appartenenti al nucleo, senza appartenere né ad un protone, né ad un neutrone (forze di scambio). Vi sono immagini tratte dal mondo macroscopico che possono avvicinarci a quanto detto: innanzitutto si può pensare al fatto che due giocatori di tennis sono uniti da una palla che si scambiano e che non appartiene a nessuno dei due; si può poi pensare a due cani affamati (che in una situazione ordinaria si respingerebbero ringhiando) i quali restano fortemente legati tra loro mentre si disputano un saporito osso (questa immagine è del fisico russo Gamow). Ma è ore utile vedere in maggiore dettaglio come funzionano gli scambi di mesoni in un nucleo iniziando a considerare ciò che accade tra un protone ed un neutrone.
Un protone espelle violentemente da sé un π+ e nel far questo perde la sua carica e diventa un neutrone. Il neutrone che sta vicino all’originario protone assorbe invece il π+ convertendosi in protone. In accordo con questo modo di vedere, i neutroni ed i protoni in un nucleo si scambiano tra loro mesoni π+ e, nel far questo si trasformano gli uni negli altri. Un nucleone è quindi alternativamente un protone ed un neutrone. Analogo processo riguarda i π– . In questo caso il soggetto da cui partiamo è il neutrone: esso espelle un π– diventando conseguentemente un protone; il π– espulso viene catturato da un protone che diventa così un neutrone. I π°vengono invece scambiati tra medesime particelle: essi agiscono tra protone e protone e tra neutrone e neutrone.
E' importante osservare che il mesone, nel suo rapidissimo tempo di volo (10 alla -34 s), non può esistere libero all'interno del nucleo. Si suole dire che esso ha un'esistenza virtuale o che è una particella virtuale. Riguardo poi alla massa di questa particella essa è stata calcolata a partire da un'importante considerazione fatta da Yukawa: il raggio d'azione di una forza deve essere inversamente proporzionale alla massa della particella che la trasmette. Anche qui una analogia ci può aiutare: si pensi a due giocatori di rugby; una palla leggera se la lanciano a distanza, ma se la palla fosse di cannone se la dovrebbero passare stando spalla a spalla.
Prima di chiudere questo paragrafo, è utile dire ancora qualcosa sul mesone e sul neutrone. Il mesone è una particella molto instabile (vedi più avanti) e ciò significa che essa, in un tempo molto breve (10 alla -8 s), chiamato vita media, si disintegra o meglio decade in altre particelle o radiazioni (vedi più oltre). La stessa cosa vale per il neutrone o, almeno, vale fino ad un certo punto. Il neutrone è una particella stabile fintantoché si trova legato all'interno di un nucleo, salvo in alcune occasioni che vedremo nel paragrafo 7. Al di fuori del nucleo, invece, il neutrone (n) è instabile ed in un tempo di circa 11 minuti (vita media) decade annichilandosi. Da questa annichilazione nascono nuove particelle in una reazione nucleare (decadimento beta o interazione universale di Fermi o interazione debole) che fu capito nel 1933/1934 da Fermi e Pauli. I fatti sperimentali mostravano che alcuni nuclei emettevano radiazione β (leggi beta e vedi più oltre). Questa radiazione era essenzialmente costituita da elettroni. Altro mistero. Com'è possibile che vi siano elettroni in un nucleo? Le cose stanno così: un neutrone, per un processo cui accenneremo più oltre, decade all'interno di un nucleo. Ma il neutrone è neutro e, per la legge di conservazione della carica elettrica, carica nulla si deve anche trovare nei prodotti di decadimento. Ebbene, due particelle che insieme hanno carica nulla sono il protone p e l'elettrone e- . In termini di carica (e massa) le cose tornano. In termini di energia, impulso e spin: no. Se un neutrone decade in un protone ed un elettrone, sembra non valgano più le leggi di conservazione dell'energia, dell'impulso e dello spin. Fermi e Pauli si inventarono allora una nuova particella, il neutrino ν leggi nu), che doveva far tornare i conti. Questa particella doveva essere priva di massa e di carica e dotata di energia (analogamente ai fotoni introdotti da Einstein ed ai raggi γ - leggi gamma - che vedremo più avanti), impulso e spin appropriati. Essa fu poi effettivamente scoperta sperimentalmente nel 1956. In definitiva, la reazione nucleare di decadimento di un neutrone è la seguente:

e si legge: un neutrone decade in un protone, un elettrone ed un (anti)neutrino che ha per simbolo quello del neutrino con una barra sopra (il fatto che invece del neutrino si avesse un antineutrino, fu scoperto in seguito).
4 – EQUIVALENZA MASSA-ENERGIA
La conservazione della massa è fatto ormai universalmente noto. Essa fu stabilita da Lavoisier verso la fine del Settecento. Allo stesso modo dovrebbe essere ben nota (anche se non capita) la conservazione dell’energia, ricavata da Helmholtz intorno alla metà dell’Ottocento. Per capire però che massa ed energia sono la stessa cosa occorre arrivare agli inizi del Novecento con i primi lavori di Einstein ed in particolare con quello che va sotto il titolo Sull’elettrodinamica dei corpi in movimento, generalmente indicato come il lavoro di Einstein sulla relatività ristretta. Non è il caso qui di andare a discutere questo fondamentale capitolo della fisica. Useremo solo una conclusione che venne qualche mese dopo la pubblicazione del primo lavoro citato di Einstein di relatività, L’inerzia di un corpo è dipendente dal suo contenuto di energia? Questo breve lavoro concludeva con una delle formule più popolari al mondo anche se non altrettanto conosciuta:
E = m.c2
Cerchiamo di avvicinarci alla sua comprensione. Innanzitutto E rappresenta l’energia, m la massa e c2 la velocità della luce elevata al quadrato. Leggendo l’intera formula nel suo insieme, essa dice che l’energia è data dal prodotto della massa per la velocità della luce elevata al quadrato. Poiché c2 è una costante (c2 = 9.1016 m2/s2), la relazione dice che l’energia e la massa sono, a meno di una costante moltiplicativa, la stessa cosa. Qual è allora la grande novità rispetto alla fisica classica ? La prima semplice osservazione riguarda proprio il fatto che c2 è una costante. Può sembrare banale ma qualcuno potrebbe osservare: l’energia totale E in dinamica classica è data dalla somma dell’energia potenziale e dell’energia cinetica; l’energia cinetica ha come sua espressione ½mv2 mentre l’energia potenziale (gravitazionale) è data da mgh; con facili conti si può ricavare che mgh può essere scritta come ½mv2 (basta ricordare che, nel nostro caso, risulta g = v2/2h e sostituire questo valore in mgh); cosi l’energia totale E risulta uguale a due volte ½mv2 e cioè E = mv2 ; qual è allora la grande novità di E = m.c2 ?
Nella relazione classica la massa e’ rigorosamente costante, per cui si ha:
E = k.v2
(graficamente, nel piano E,v, una ordinaria parabola).
Nella relazione relativistica invece c è rigorosamente costante, per cui risulta:
E = k.m
(graficamente, nel piano E,m, una retta con un enorme coefficiente angolare di modo che la retta quasi si confonde con l’asse delle ordinate).
Nel primo caso l’energia risulta proporzionale al quadrato della velocità, nel secondo l’energia risulta proporzionale alla massa e la costante k = c2 non è altro che un fattore di ragguaglio tra le unità di misura di massa e quelle di energia. Ciò vuol dire che l’energia e la massa relativistiche possono essere date con le stesse unità di misura potendosi parlare indifferentemente di grammi di energia o di joule di massa (un’energia pari a 9.1013 joule = 25.106 Kwh ha la massa di un grammo: si può allora dire la massa di 9.1013 joule oppure l’energia della massa di un grammo). Quanto detto ci può far intendere che parlare di conservazione dell’energia in relatività è la stessa cosa che parlare di conservazione della massa; e ciò può anche enunciarsi come conservazione della massa-energia. La cosa si può intendere come se un corpuscolo materiale non fosse altro che un granello di energia enormemente concentrata e localizzata; e, viceversa, l’energia pura la si può intendere come massa diffusa in un ampio spazio. Quella di Einstein è una sintesi stupenda che ingloba in sé perfino il primo principio della termodinamica: quell’energia termica che mancava all’energia meccanica, per far tornare la conservazione dell’energia meccanica, è tutta nella E = m.c2.
Dicevamo, qualche riga più su, che la massa relativistica è una grandezza variabile. La cosa è mostrata dalla teoria della relatività e non è qui il caso di soffermarcisi. Basti solo dire che le variazioni di massa (a cui si accompagnano variazioni di energia tali da mantenere fermo il principio di conservazione della massa-energia) sono legate alla velocità cui la data massa è portata. Cosicché ad un dato oggetto si associa una energia somma di due componenti: l’energia di massa, l’energia (cioè che il corpo ha per il solo fatto che esso esiste) e l’energia di movimento che già conosciamo (energia cinetica). In definitiva l’energia che spetta ad una particella immobile, o meglio a riposo, è proporzionale alla sua massa. Se poi essa è in moto ha un’energia in più, quella appunto di moto. Ma oltre a particelle dotate di sola energia di massa vi sono anche particelle dotate di sola energia di moto. Esse sono particelle prive di massa che possiedono energia per il solo fatto di muoversi (le particelle prive di massa viaggiano sempre alla velocità della luce). Tra queste le più note sono certamente il fotone ed il neutrino.
Purtroppo la prima pratica applicazione della relazione di Einstein l’abbiamo avuta su Hiroshima e Nagasaki. Lì si è dimostrato al mondo che una piccola massa ha un’enorme quantità di energia (si pensi che un solo protone che trasformasse tutta la sua massa in energia, ne avrebbe a sufficienza per riscaldare un miliardo di atomi a temperature più elevate di quelle esistenti sul Sole).
Per quel che ci servirà in seguito, conviene ora scrivere in forma leggermente diversa l’equazione di Einstein:
ΔE = c2 . Δm => Δm = ΔE/c2
avendo indicato con Δm la variazione di massa e con ΔE la corrispondente variazione di energia.
5 – ENERGIA DI LEGAME DEL NUCLEO
Nel paragrafo 2 abbiamo definito come unità di massa atomica la quantità:
1 uma = 1,66.10-27 Kg.
Esprimiamo ora in questa unità le masse dell’elettrone, del protone e del neutrone:
Me = 0,00055 uma
Mp = 1,00782 uma
Mn = 1,00866 uma
Le masse di queste particelle sono state calcolate quando esse non partecipavano ad alcun tipo di legame. Ora tralascio l’elettrone per concentrarmi sui nucleoni. Ci si aspetterebbe che con queste masse fosse possibile, sommando, trovare la massa del nucleo di qualunque atomo. Invece non è così. La cosa strana è che la massa di un nucleo (di un nucleo qualsiasi meno quello dell’idrogeno in cui vi è un solo protone e quindi non vi sono legami) non è mai uguale alla massa dei nucleoni che lo compongono. Prendiamo l’esempio del deuterio 1H 2 (o D) e calcoliamone la massa del nucleo come somma delle masse dei nucleoni costituenti quando sono tra loro separati e quindi diamo la stessa massa ma nella situazione di nucleo legato (così come lo conosciamo in natura). Si trova:
MD (non legato) = Mp + Mn = (1,00782 + 1,00866) uma = 2,01648 uma
MD (legato) = 2,01405 uma
Come si vede tra queste due masse vi è una differenza m data da:
Δm = MD (legato) – MD (non legato) = – 0,00238 uma = – 0, 396.10-29 Kg.
A questa differenza Δm si dà il nome di difetto di massa. Questo difetto è equivalente all’energia che viene liberata quando i nucleoni si combinano per formare il nucleo. Usiamo allora la formula di Einstein per vedere a quanta energia corrisponde questo difetto di massa (ci riferiamo ancora all’esempio del deuterio):
ΔE = c2 . Δm = 9.1016 . 0,396.10-29 J = 3,564.10-13 J.
Per lavorare meglio conviene introdurre una nuova unità di misura per l’energia (in luogo del joule J), l’elettronvolt (eV) l’energia cioè acquistata da un elettrone quando passa attraverso la differenza di potenziale di un volt:
1 eV = 1,6.10-19 J.
Conseguentemente un milione di eV (MeV) sarà dato da:
1 MeV = 1,6.10-13 J,
ed un joule varrà:
1 J = 0,625 MeV
cioè circa mezzo MeV.
Introducendo questa nuova unità di misura (cosa fatta solo per avere dei numeri più maneggevoli) nell’ultima relazione ricavata, si trova:
ΔE = c2 . Δm = 3,564.10-13 J = 2,22 MeV.
Se poi, invece di avere il difetto di massa corrispondente alla formazione di un nucleo di deuterio, abbiamo il difetto di massa pari ad una unità di massa atomica, mediante la solita relazione di Einstein, si vede subito che ad esso corrisponde una energia pari a:
ΔE = 931 Mev;
se, infine, il difetto di massa fosse pari ad un grammo, per ΔE avremmo:
ΔE = 5,6.1026 Mev !!!
Senza fare troppi conti (comunque banali) esiste una relazione generale che permette di calcolare il difetto di massa m per qualunque nucleo:
Δm = Z.Mp + N.Mn – Matomica
dove, ricordiamolo, Z è il numero atomico ed N il numero dei neutroni del nucleo in considerazione, Mp la massa del protone ed Mn quella del neutrone.
Ci si può a questo punto chiedere se le cose sperimentalmente, stanno così.
In laboratorio si può creare deuterio bombardando l’idrogeno con neutroni. Un modo per disporre di una sorgente di neutroni da utilizzarsi come proiettili da bombardamento fu ideato da Bothe e Becher (Germania) e Joliot e Curie (Francia) nel 1930. Il radio decade (si trasforma) spontaneamente in radon (un gas) emettendo radiazione alfa. Anche il radon decade spontaneamente emettendo radiazione alfa. Disponendo di una provetta contenente berillio e facendo penetrare in essa del gas radon (prodotto dal radio), la radiazione alfa, emessa dal radon, provoca l’emissione di neutroni da parte dei nuclei di berillio (in pratica si tratta di avvicinarsi a del radio – con ogni altra precauzione contro le radiazioni – con una provetta contenente berillio. Si inclina un poco la provetta verso il radio e si aspetta qualche secondo. A questo punto il berillio della provetta è diventato una sorgente di neutroni. Di questo metodo si servirono Fermi e la sua scuola per irradiare tutti gli elementi e, poiché la sorgente di neutroni si esauriva rapidamente, data la distanza del radio dal loro laboratorio, sono diventate leggendarie le loro corse per i corridoi di Via Panisperna). Bombardando allora idrogeno con neutroni, si ha la seguente reazione:
0n1 + 1H1 => 1H2 + γ
che si legge: un neutrone che interagisce con un nucleo di idrogeno origina un atomo di deuterio ed un raggio (radiazione elettromagnetica ad alta energia – si veda oltre). Questa reazione emette dell’energia verso l’esterno (è esoenergetica): per formare cioè un atomo di deuterio da un neutrone e da un idrogeno si ha una certa quantità di energia che viene emessa verso l’esterno. Se si va poi a misurare l’energia che compete alla radiazione si trova che essa vale proprio 2,22 MeV. E questa è l’energia che corrisponde al difetto di massa che si origina nella creazione di un nucleo di deuterio (quando cioè nasce un nucleo di deuterio sparisce della massa e, a questa scomparsa, corrisponde dell’energia che viene creata ed emessa).
Vediamo, viceversa, cosa succede se, in laboratorio, bombardiamo il deuterio con radiazioni γ. Si ha:
γ +1H2 => 1H1 + 0n1
e cioè, quando un atomo di deuterio assorbe radiazioni si può creare un atomo di idrogeno più un neutrone. Ed abbiamo detto si può perché se la radiazione ha energia inferiore ai 2,22 MeV la reazione non ha luogo. Solo se questa radiazione ha valori maggiori o uguali ai famosi 2,22 MeV il processo viene innescato. Questa reazione è, ovviamente, endoenergetica: l’energia non viene emessa a alla fine del processo ma, al contrario, viene assorbita al fine di produrre la reazione stessa. Siamo a questo punto arrivati a definire l’energia di legame di un nucleo: Nel caso del deuterio, l’energia di legame è l’energia che viene liberata quando un protone ed un neutrone si uniscono per formare il nucleo del deuterio medesimo (chiamato anche deutone), che, come visto, vale 2,22 MeV.
Generalizzando allora quanto detto per il deuterio, si può dire che l’energia di legame di un nucleo qualunque (meno l’idrogeno) è pari al suo difetto di massa. Essa può venire interpretata come l’energia che occorre cedere ad un nucleo per spezzarlo nelle sue particelle costituenti. E, in definitiva, per tutti i nuclei di tutti gli elementi (eccetto l’idrogeno) si ha che:
- per scindere un nucleo nei suoi componenti bisogna fornirgli l’energia di legame che gli compete (escludendo il caso, che vedremo nel prossimo paragrafo, di decadimento radioattivo naturale);
- per formare un nucleo a partire dai suoi componenti si libera l’energia di legame che gli compete.
Dovrebbe essere chiaro che si può anche parlare di energia media di legame per ogni singolo nucleone appartenente ad un ben determinato nucleo atomico (se l’energia di legame di un nucleo è 10 MeV ed i nucleoni che lo compongono sono 4, ogni nucleone avrà un’energia media di legame pari a 2,5 MeV). Questa energia media di legame per nucleone è la quantità di energia richiesta per strappare un neutrone o un protone da un nucleo (supponendo sia possibile disgregare un nucleo per estrazione successiva di tutti i suoi nucleoni!). Il grafico di figura mostra come variano le energie di legame per nucleone per differenti atomi dei vari elementi della tavola periodica, al variare del numero di massa A.

Figura 4
Dal grafico si vede che la curva cresce rapidamente per piccoli valori di A, raggiunge il massimo per valori di A compresi tra 50 e 90, quindi tende a decrescere debolmente (i valori dell’energia di legame per nucleone restano compresi tra 8,4 e 7,5 MeV), all’aumentare del peso atomico del corrispondente atomo. La parte destra della curva si riferisce agli elementi pesanti come, ad esempio, l’uranio; la parte sinistra si riferisce invece agli elementi più leggeri come, ad esempio, il deuterio H2.
Una considerazione interessante può essere ricavata da quanto detto sull’energia di legame. Ci si può infatti chiedere come mai le masse atomiche non sono precisamente multiple della massa atomica dell’idrogeno, pur essendo tutti i nuclei formati dalle stesse particelle: protoni e neutroni. E’ proprio l’energia necessaria a legare un nucleo che fa sparire parte della massa, di volta in volta diversa a seconda del nucleo in considerazione, come mostrato in figura.
Un’altra notazione va fatta prima di chiudere il paragrafo: L’elio 4 ( 2He4 ), un isotopo dell’elio, pur avendo un piccolissimo valore di A (A = 4) si trova appena alla sinistra del massimo di figura con un alto valore dell’energia media di legame per nucleone (confrontata con quella di altri elementi vicini). Questo fatto indica la grande stabilità dei nuclei di elio 4, fatto confermato dall’esperienza. Infatti nel fenomeno della radioattività (paragrafo seguente) vengono emessi dai nuclei atomici, dei loro pezzi che sono nuclei di elio 4 (2 neutroni e 2 protoni legati) e non altre possibili combinazioni di protoni e neutroni. Tali nuclei di elio 4, emessi da alcuni nuclei atomici, sono noti come radiazione α o particelle α (leggi alfa e vedi più oltre).
Da ultimo, diamo uno sguardo complessivo alla figura 4. Abbiamo già visto che c’è un massimo. In corrispondenza di esso si ha una maggiore energia media di legame per nucleone e ciò vuol dire che siamo nella situazione di nuclei più stabili, più fortemente legati. Ed allora è pensabile arrivare a questa zona di massima stabilità o costruendo dei nuclei più pesanti a partire da quelli più leggeri (strada che va al massimo da sinistra) o, viceversa, alleggerendo i nuclei più pesanti per farli diventare più leggeri (strada che va al massimo da destra). Il primo di questi processi va sotto il nome di fusione nucleare, il secondo di fissione nucleare; di essi ci occuperemo con qualche dettaglio nel seguito.
6 – ATOMI STABILI ED INSTABILI . RADIOATTIVITA’.
Da quanto detto nel paragrafo precedente, risulta evidente che la stabilità di un nucleo (e quindi di un atomo) dipende dal valore della sua energia di legame. D’altra parte è già stato osservato, relativamente alla figura 4, che la zona più stabile è quella in cui il numero A di massa è compreso tra 50 e 90. Inoltre, quando si ha a che fare con atomi leggeri (piccolo valore di A), si osserva che lo stato più stabile si ha quando, nel nucleo, il numero dei neutroni è uguale a quello dei protoni (N = Z). Quando il numero di massa A aumenta, il nucleo assume delle dimensioni relativamente più grandi, tanto da far sì che i protoni localizzati in esso cominciano a sentire le forze repulsive di origine elettrica.
Da un certo valore di A in poi, quando il nucleo assume dimensioni molto grandi (atomi pesanti), le forze elettriche prevalgono su quelle nucleari ed allora questi nuclei cominciano ad essere formati da un maggior numero di neutroni che di protoni. In questo caso ci troviamo di fronte ad elementi che presentano il fenomeno della radioattività naturale.
Va subito detto che la maggior parte degli elementi esistenti in natura è stabile. Solo pochi hanno la proprietà di essere radioattivi. Gli elementi dotati di radioattività naturale sono quegli elementi che emettono spontaneamente dal loro nucleo delle particelle dotate di carica elettrica e non; essi hanno il numero atomico Z compreso tra 84 e 92 (serie dell’Uranio, del Torio e dell’Attinio) oppure sono isotopi instabili di alcuni elementi, molto stabili nella loro condizione normale, con Z < 84 (in natura se ne conoscono circa 25 di tali isotopi instabili).
Gli atomi di questi elementi instabili si trasformano, a seguito della perdita di particelle dal loro nucleo (decadimento spontaneo), in atomi diversi da quelli di partenza (trasmutazione nucleare). Molto spesso dall’atomo di un elemento instabile si passa ancora ad un altro atomo di un altro elemento instabile e così via fino a quando non si giunge ad un tipo di atomo che è di un elemento stabile.
Vediamo un esempio di catena di decadimento a partire da uno degli svariati isotopi instabili (o radioattivi) dello Xeno, lo Xeno 140 e cioè: 54Xe140 . Dallo Xeno 140 si ha successivamente: Cesio (55Cs140), quindi Bario (56Ba140), poi Lantanio (57La140) ed infine Cerio (58Ce140) che risulta essere stabile. Ad ogni trasmutazione si accompagna l’emissione di radiazione (si veda paragrafo seguente) di modo che lo schema del decadimento è quello di seguito riportato:

Le radiazioni nucleari sono dunque emesse dai nuclei atomici dei materiali radioattivi al momento della loro disintegrazione. La capacità di emissione non dipende da variabili macroscopiche come temperatura e pressione, presenza di campi elettrici e magnetici, eccetera.
E' stato poi scoperto che oltre a questi elementi con Z compreso tra 84 e 92 ed agli isotopi naturalmente instabili o radioattivi, è possibile provocare artificialmente la radioattività bombardando gli atomi di certi elementi con neutroni. I nuclei degli elementi sottoposti a questo bombardamento catturano neutroni diventando degli isotopi diversi dall'elemento originale. Gli isotopi così ottenuti, a causa dei neutroni in più nei nuclei, si trovano con uno sbilanciamento tra numero di protoni e neutroni, risultano instabili e quindi radioattivi.
Concludendo occorre ricordare che in natura esistono elementi con Z fino a 92 (è il caso dell'Uranio che esiste in tre differenti isotopi tra i quali il più abbondante percentualmente è l'Uranio 238: 92U238). Gli elementi con Z > 92 sono e sono stati prodotti artificialmente, risultano instabili, quindi radioattivi e chiamati transuranici.
7 – RADIAZIONI ALFA (α, BETA β E GAMMA γ .
La radioattività, sia essa naturale o artificiale, consiste nell’emissione da parte dei nuclei atomici di radiazioni alfa α e/o beta β e/o gamma γ. Vi sono poi delle radiazioni neutroniche che vanno considerate a parte.
Le radiazioni alfa sono costituite da tanti nuclei di elio (o elioni), 2He4, scagliati dai nuclei della sostanza emittente. Ogni particella α è quindi costituita da due neutroni e da due protoni legati insieme (poiché un legame di questo tipo è, come abbiamo visto, molto stabile con energia di legame pari a 28,2 MeV). La carica di queste particelle è evidentemente positiva, il doppio, in valore assoluto, della carica dell’elettrone. Esse sono inoltre molto pesanti (hanno una massa pari a 4,04 uma) e conseguentemente, pur essendo scagliate a grande velocità dai nuclei (circa 20 000 Km/s), a causa della loro intensa reazione con le molecole d’aria, le ionizzano, perdendo gran parte della loro energia cinetica in tragitti che, in aria, vanno dai due agli otto centimetri. Nel caso poi queste particelle debbano attraversare materia solida, la loro perdita di energia avviene molto prima (sono bloccate da sottili foglie di carta o di alluminio, dai vestiti, dagli strati superiori della pelle). Si riassume tutto questo nel dire che la radiazione α è poco penetrante (Figura 5). Al contrario, se

Figura 5
la sorgente è posta all’interno di un organismo vivente (per ingestione o inalazione di pulviscolo radioattivo), i danni che essa provoca sono enormi, veri disastri: in breve tempo i tessuti vicini alla sorgente sono distrutti da questi grandi proiettili dotati di una buona dose di energia. Attraversando la materia vivente le particelle α, dotate di carica positiva, interagiscono con gli atomi provocandone la ionizzazione; come risultato si ha la distruzione o il danneggiamento delle molecole del tessuto in considerazione.
Quando un nucleo emette una particella α il suo numero atomico Z diminuisce di due unità (dal nucleo se ne sono andati due protoni) mentre il numero di massa A diminuisce di quattro unità (dal nucleo, oltre ai due protoni, se ne sono andati anche due neutroni). Ad esempio, il nucleo del Radio 226 (88Ra226) decade, emettendo una particella α, in Radon 222 (86Rn222):
88Ra226 ————-> 86Rn222 + α .
La radiazione beta è costituita da fasci di elettroni di carica negativa o di elettroni di carica positiva (positroni, particelle che hanno stessa massa e stessa carica, cambiata di segno, dell’elettrone e che si indicano con e+) espulsi a gigantesche velocità (vicine a quelle della luce) dai nuclei atomici. Ci siamo già imbattuti nel paragrafo 3 nel rompicapo di elettroni espulsi da un nucleo. Ritorniamoci un momento con qualche dettaglio in più.
Il nucleo è formato da protoni e neutroni tenuti insieme dalla forze nucleari. I nuclei più stabili sono quelli che hanno un numero di neutroni pari a quello dei protoni. Ciò che accade è che, al crescere del numero di massa A, il numero dei neutroni N sopravanza, ed a volte anche di molto, il numero dei protoni Z. In questo caso si è in presenza di nuclei di atomi pesanti che, come abbiamo visto, da un certo punto in poi sono instabili. Supponiamo allora di avere un nucleo di Radio (88RA226), già considerato. In esso si hanno Z = 88 protoni ed N = 138 neutroni (in modo che N + Z = A = 226). Il rapporto tra neutroni e protoni in un nucleo di questo elemento è:
N/Z = 138/88 = 1,568.
Abbiamo già detto che il Radio 226 emette radiazioni alfa (e quindi perde dal suo nucleo due neutroni e due protoni) trasmutandosi in Radon 222. Nel nucleo di Radon si hanno allora 136 neutroni ed 86 protoni ed il rapporto tra essi vale ora:
N/Z = 136/86 = 1,581,
sono cioè aumentati percentualmente i neutroni rispetto ai protoni. Quindi l’emissione di radiazione alfa provoca l’effetto ora visto. Al crescere del numero delle emissioni alfa i neutroni aumenteranno sempre percentualmente rispetto ai protoni, finché si arriva ad un certo punto in cui i nucleoni rimasti nel nucleo devono arrangiarsi in modo da poter continuare a coesistere.
Ed allora, all’interno del nucleo si origina un processo che trasforma un neutrone in un protone ed un elettrone (oltre ad un neutrino). Il protone resta all’interno del nucleo andando ad aumentare la percentuale dei suoi simili; gli elettroni ed i neutrini vengono scagliati fuori. La reazione (decadimento beta) è quella che abbiamo già descritto nel paragrafo 3:
0n1 ———–> 1p1 + e– + ν
o meglio:
0n1 ———–> 1p1 + β + ν
ed in definitiva dei nuclei emettono elettroni accompagnati da energia emessa sotto forma di neutrini. Vi è poi il caso, raro per la verità, di un nucleo che ha un eccesso di protoni. Analogamente a quanto visto, può essere il protone nel nucleo a diventare instabile ed a disintegrarsi emettendo il positrone cui abbiamo accennato ed il solito neutrino. Questa eventualità ha senso solo all’interno del nucleo infatti, al di fuori di esso, il protone è una delle particelle più stabili che si conoscano. Un esempio di decadimento beta positivo (β+) è quello che dal Tulio 69 porta all’Erbio 68:
69Tu166 ————–> 68Er166 + β+ + ν
(ed in questo caso si ha a che fare con un vero e proprio neutrino e non con un antineutrino, come nell’ordinario decadimento beta che ora vedremo).
L’elemento il cui nucleo abbia subito un decadimento beta aumenterà di una unità il numero atomico Z (a causa dell’acquisto di un protone da parte del nucleo) mentre manterrà invariato il suo numero di massa A (a causa del fatto che il protone acquistato va a bilanciare il neutrone perduto e del fatto che la massa dell’elettrone che è stato espulso è praticamente trascurabile). Vediamo alcuni esempi di decadimento beta (oltre quello già visto nel paragrafo precedente). Il Cobalto 60 (27Co60) mediante un decadimento beta diventa Nichel 60 (28Ni60):
27Co60 ———–> 28Ni60 + β– + ν .
Allo stesso modo, bombardando con neutroni l’Uranio 238 (92U238), si ha l’elemento transuranico Nettunio 239 (93Np239):
on1 + 92U238 ————> 93Np239 + β– + ν .
A sua volta il nettunio 239 decade, mediante emissione β, in Plutonio 239 (94Pu239):
93Np239 ———-> 94Pu239 + β– + ν .
Vediamo ora ad alcune caratteristiche delle radiazioni β. Le particelle β, innanzitutto, non hanno tutte la stessa energia come le particelle α . Essa può variare in un’ampia fascia di valori (da alcune centinaia di KeV ad alcuni MeV). Anche le particelle β ionizzano l’aria che attraversano ma in misura molto minore di quanto fanno le particelle α (spesso si ha a che fare anche con una ionizzazione secondaria: gli ioni prodotti dalla ionizzazione delle particelle β vanno a loro volta a ionizzare altri atomi). Proprio perché ionizzano meno (e quindi cedono una minore quantità di energia) le particelle β possono penetrare più a fondo nella materia. Nell’aria, ad esempio, possono percorrere (con una traiettoria a zig-zag, contrariamente alla traiettoria rettilinea seguita dalla particella α) tratti lunghi fino a 10 m; nella terra penetrano fino a 7 mm, nel calcestruzzo fino a 5 mm, nel piombo fino a circa 1 mm, mentre nella pelle possono penetrare per alcuni centimetri. In seguito a questo ultimo fatto le radiazioni β assorbite dall’uomo sono dannose per la pelle e, soprattutto, per gli occhi. Se l’assorbimento avviene invece all’interno dell’organismo, le lesioni che vengono provocate sono molto gravi.

Figura 6
La radiazione gamma è, contrariamente alle altre due, esclusivamente energetica: non si tratta di particelle dotate di massa ma di particelle o quanti di sola energia (che varia da alcuni KeV a 2 MeV). Le radiazioni gamma sono fisicamente identiche ai raggi X di alta energia, l’unica differenza (oltre allo spettro di frequenza) è che i raggi gamma sono prodotti dall’interno del nucleo atomico mentre i raggi X in modo diverso. Si tratta di onde elettromagnetiche della stessa natura di quella della luce, ma con lunghezze d’onda molto più piccole (da 3.10-9 cm fino a valori di gran lunga più piccoli) e quindi con frequenze molto più elevate; queste radiazioni si propagano sotto forma di pacchetti (d’onda) di sola energia (fotoni) alla velocità della luce, sono prive di carica elettrica e, rispetto alle radiazioni alfa e beta, hanno un potere penetrante molto superiore e, conseguentemente, un potere ionizzante molto inferiore. Si pensi che la radiazione gamma penetra in media spessori di 14 cm di terra, di 10 cm di calcestruzzo, di circa 2 cm di piombo, oltre a riuscire ad attraversare completamente il corpo umano (mentre i raggi X sono bloccati dalle ossa, queste ultime sono trasparenti per i raggi γ . Quest’ultimo fatto rende conto dell’estrema pericolosità per l’uomo di questo tipo di radiazione.
I raggi γ accompagnano usualmente l’emissione di radiazione α e β e sono emessi da quasi tutti gli isotopi radioattivi artificiali e da alcuni elementi dotati di radioattività naturale. Il meccanismo di emissione di raggi γ da un nucleo è analogo all’emissione di fotoni da un atomo. Quando in un atomo un elettrone si trova in uno stato eccitato (orbita più elevata di quella che gli compete) tende a ritornare al suo stato non eccitato. Il salto di un elettrone da un’orbita più alta a d una più bassa comporta la perdita di energia da parte di un atomo; questa energia perduta viene emessa verso l’esterno sotto forma di fotoni o quanti. Analogamente per il nucleo: quando esso ha emesso radiazione α o β può trovarsi in uno stato anormale a cui compete una quantità di energia in più (stato eccitato). Il nucleo risulta eccitato e tende a perdere l’energia che ha in più emettendola sotto forma di radiazione γ o quanti γ o fotoni γ .
Vediamo una delle possibili reazioni cui si accompagna l’emissione di raggi γ . Se si bombarda con neutroni il Cobalto 59 (27Co59) si ottiene Cobalto 60 (27Co60) che si trova in uno stato eccitato; dopo poco tempo questo Cobalto 60 emette energia sotto forma di raggi γ raggiungendo il suo stato normale:
27Co59 + 0n1 ——–> (27Co60)* ——–> 27Co60 + γ,
dove il termine della reazione contrassegnato con asterisco sta a denotare lo stato eccitato del Cobalto 60.

Figura 7
Prima di chiudere il paragrafo occorre accennare alla radiazione neutronica, che non è propriamente l’emissione di neutroni da parte di un nucleo ma di neutroni che vengono liberati dai nuclei atomici durante i processi di fissione nucleare (vedi oltre); quando un nucleo pesante viene spezzato in due o più frammenti, alcuni neutroni appartenenti al nucleo iniziale vengono espulsi. Si tratta di una radiazione con una discreta massa e priva di carica. Proprio per questo ultimo motivo è estremamente pericolosa in quanto questi neutroni vengono facilmente catturati dai nuclei delle sostanze circostanti il luogo di loro produzione, alterando il rapporto di stabilità neutroni-protoni nei nuclei e rendendo quindi radioattive molte di quelle sostanze, tra cui aria, acqua, terra, … La radiazione neutronica è molto penetrante (ancora per l’assenza di carica, in quanto diminuiscono le interazioni di tipo elettrico con gli atomi e le molecole dei corpi attraversati), essa attraversa facilmente materiali che bloccano invece altri tipi di radiazione. I raggi neutronici, a parità di dose con i raggi gamma, sono da quattro a dieci volte biologicamente più efficaci.

Figura 8
8 – TEMPO DI DIMEZZAMENTO. VITA MEDIA.
Il tempo di dimezzamento di un elemento radioattivo, che si indica in genere con T½ , è il tempo in cui la metà degli atomi radioattivi instabili inizialmente presenti, decade. Esso dipende evidentemente dal numero iniziale N0 di atomi dell’elemento radioattivo in considerazione. Supponiamo di avere un certo numero N0 di atomi di un elemento o isotopo radioattivo. Dopo un certo tempo (più o meno lungo, a seconda dell’elemento in considerazione) questi atomi decadranno. Ebbene, il tempo di dimezzamento, che è un valore caratteristico di ciascun elemento o isotopo radioattivo, è, come già detto, il tempo necessario a far sì che la metà del numero di atomi radioattivi inizialmente presenti decada. Passato questo tempo e decaduta la metà degli atomi radioattivi presenti, abbiamo ancora a che fare con un certo numero di atomi radioattivi, la metà dei quali, nello stesso tempo di dimezzamento, decadrà. In definitiva, dopo due tempi di dimezzamento, il numero di atomi radioattivi si è ridotto ad un quarto. Allo stesso modo, dopo tre tempi di dimezzamento, quel numero si riduce ad un ottavo, e così via.
La relazione matematica che descrive questo andamento è un esponenziale decrescente (curva di decadimento):
N = N0 . e-t/τ
dove N rappresenta il numero di atomi radioattivi presenti al tempo t, N0 il numero di atomi radioattivi inizialmente presenti, τ (leggi: tau) una costante caratteristica di ciascun elemento o isotopo radioattivo chiamata vita media. La curva che rappresenta la legge ora vista è riportata in figura 9.

Figura 9
Essa ha la proprietà, ogni volta, di ridursi alla metà in un intervallo di tempo costante ed uguale a T½. Per i vari isotopi radioattivi il tempo di dimezzamento ha valori molto variabili. Ad esempio, per l’Uranio 238 esso vale 4,8 miliardi di anni; per il Radio 226 esso vale 1620 anni; per il Cobalto 60 esso vale 5,2 anni per lo Zolfo 35 esso vale 87 giorni; per l’Oro 198 esso vale 2,7 giorni; per il Rame 66 esso vale 4,34 minuti; per l’Indio 114 esso vale 72 secondi; per il Germanio 72 esso vale 300 miliardesimi di secondo. In definitiva il tempo di dimezzamento può variare dal miliardesimo di secondo a vari miliardi di anni.
Si definisce invece vita media di un dato elemento o isotopo radioattivo il tempo di esistenza che mediamente esso ha prima che decada (è il τ che compare nella curva di decadimento, appena vista). Il concetto di vita media è strettamente correlato a quello di tempo di dimezzamento. Per comprenderlo riprendiamo un momento in esame l’ultima relazione scritta, la curva di decadimento. Abbiamo detto che il tempo di dimezzamento è il tempo T½ necessario a che un certo numero N0 di atomi radioattivi inizialmente presenti, si riduca alla metà, cioè a N0/2. Inseriamo allora queste condizioni ( N = N0/2 per t = T½) nella relazione in oggetto e vediamo cosa succede:

avendo semplificato per N0. Da questa relazione, passando al logaritmo dei due membri e operando un cambiamento di segno, si trova:
log 2 = T½ / τ => T½ = τ.log 2 —–> T½ = 0,693. τ => τ = T½/log2 => τ = 1,44.T½
E’ quindi solo un fattore numerico che differenzia la vita media dal tempo di dimezzamento (risultando la prima più grande del secondo).
Si deve osservare che tanto più piccolo è τ, tanto più instabile è un nucleo e quindi tanto maggiore è la sua attività in un dato tempo. Viceversa, a τ molto grandi, corrispondono elementi con poca attività. Al limite, gli elementi stabili sono quelli cui corrisponde un valore infinito di τ.
9 – LA FISSIONE NUCLEARE
La parola fissione deriva dal verbo fendere che vuol dire rompere. Provocare la fissione nucleare vuol dire provocare la rottura di nuclei atomici. La reazione di fissione nucleare si realizza bombardando con neutroni, di appropriate energie cinetiche, i nuclei di elementi pesanti (i più instabili, i più facili da rompere). Questo bombardamento provoca la rottura dei nuclei in frammenti (due o più) più piccoli che sono, a loro volta, nuclei di elementi più leggeri (con diversi gradi di stabilità, a seconda delle percentuali relative di neutroni e protoni che rimangono in ciascun frammento). Il fatto comunque più interessante del processo di fissione nucleare è che, ad ogni rottura di un nucleo si accompagna l’emissione verso l’esterno di una grandissima quantità di energia. Ogni singola fissione libera una energia ΔE pari a:
ΔE = 3 . 10-11 J ≈ 200 MeV
Questa quantità è certamente piccola in assoluto ma si deve tenere conto che all’interno di 1 Kg di Uranio (per ora genericamente Uranio, senza precisare il tipo di isotopo) vi sono circa 2,5 . 1025 atomi. Se fosse possibile la completa fissione di tutti i nuclei di questi atomi (ma non lo è!), si avrebbe una energia pari a:
ΔE = 3 . 10-11 . 2,5 . 1024 J ≈ 7,5 . 1013 J ≈ 5 . 1026 MeV ≈ 23 milioni di Kwh (termici)
[L’aggettivo termici è stato introdotto per amore di precisione. Infatti, all’interno di una centrale nucleare, l’energia liberata da reazione nucleare va prima a scaldare acqua e quindi, dopo una o più trasformazioni, diventa energia elettrica. L’energia che noi abbiamo preso in considerazione è quella che scalda l’acqua. Per avere da questo valore l’energia elettrica occorre moltiplicare per il rendimento della trasformazione che è sempre un numero inferiore ad 1]. Poiché però una parte del materiale fissile a disposizione non produce energia poiché subisce solo delle trasformazioni senza essere fissionato, la quantità di energia fornita da 1 Kg di Uranio si riduce a:
ΔE = 19 milioni di Kwh (termici).
Si pensi che per produrre la stessa quantità di energia occorrerebbero circa 2 300 tonnellate di carbone o 1 650 tonnellate di nafta.
Il processo di fissione consiste quindi nel rompere un nucleo di un elemento pesante in due (o più) frammenti mediante bombardamento con neutroni. Va comunque detto che il bombardamento può avvenire anche con altre particelle o quanti (anche per fini pratici, si usano solo neutroni) e che i prodotti di fissione possono essere più di due (anche se ciò avviene con frequenze molto minori). Nella fissione i due frammenti principale prodotti (che sono poi, come abbiamo detto e vedremo ancora, nuclei di elementi leggeri) hanno un eccesso di neutroni e pertanto e pertanto risultano instabili. Essi, mediante successivi decadimenti, si trasformano in nuclei stabili. Oltre poi ai frammenti principali della fissione, vengono emessi anche neutroni (e questo è l’aspetto peculiare del fenomeno: questi neutroni, come vedremo, andranno a fissionare a loro volta altri nuclei) e radiazioni di vario tipo
L’elemento più usato nei processi di fissione è l’Uranio. Di questo elemento, in natura, esistono tre isotopi: l’Uranio 234 (92U234), l’Uranio 235 (92U235) e l’Uranio 238 (92U238). Tra questi isotopi solo l’Uranio 238 è presente in abbondanza (relativa), infatti ogni 100 000 atomi di Uranio, che si trova in natura, solo 6 sono di Uranio 234, 720 di Uranio 235 ed i rimanenti di Uranio 238. Trascurando l’Uranio 234, in natura si ha praticamente a che fare con Uranio 238 in cui vi è una piccola percentuale (0,7%) di Uranio 235. Ora, l’Uranio migliore per il processo di fissione è il 235 poiché è fissile, mentre l’uranio 238 è fertile. Un particolare elemento risulta fissile (può cioè dar luogo a fissione) se può essere fissionato da neutroni di qualunque energia, cioè sia da neutroni lenti che da neutroni veloci e particolarmente da questi ultimi dotati di velocità maggiori di 1,7.107 m/s. Si chiamano invece fertili quegli elementi che non sono fissili ma lo possono diventare a seguito della cattura, da parte dei loro nuclei, di neutroni. Vi sono poi altri elementi non fissili che possono essere fissionati solo da neutroni lenti mentre hanno la caratteristica di assorbire i neutroni veloci. Da quanto detto si può dedurre che i neutroni migliori per iniziare a sostenere un processo di fissione sono quelli lenti (il fenomeno fu scoperto da Fermi e collaboratori nel 1934). Intuitivamente la cosa si può capire nel modo seguente: un neutrone, in quanto privo di carica, si può muovere nella materia senza sentire interazioni di tipo coulombiano, nel far questo può urtare vari nuclei (ma si deve tener presente che non è l’urto in sé a rompere il nucleo); se l’energia cinetica di questo neutrone è elevata (neutrone veloce) esso può attraversare un nucleo senza produrre alcun effetto; viceversa un neutrone a bassa energia cinetica (lento o termico), nell’attraversare un nucleo, passando relativamente più tempo in esso, ha maggiore probabilità di essere catturato e di restare all’interno di esso (si usa dire che la sezione d’urto di svariate reazioni cresce enormemente al decrescere della velocità dei neutroni, la quale, si badi bene, non scende mai sotto i valori caratteristici dell’agitazione termica). Con il neutrone catturato al suo interno, il nucleo diventa instabile e si spezza in frammenti liberando energia.

Figura 10
Esempi di materiali fissili sono: il già citato Uranio 235 ed il Plutonio 239 (94Pu239), elemento transuranico creato artificialmente in reazioni nucleari avente un tempo di dimezzamento di 24 000 anni.

Figura 11
E’ importante osservare che questi due elementi, oltre ad essere importanti perché fissili, lo sono anche perché, a ciascuna fissione, si accompagna l’emissione di 1, 2 o 3 nuovi neutroni che vanno a realizzare nuovi processi di fissione in un processo a catena che discuteremo tra un poco.

Figura 12
Esempi di materiali fertili sono: l’Uranio 238 ed il Torio 232. Infine esempio di materiale che può essere fissionato solo da neutroni lenti è ancora l’Uranio 238. Se ora si osserva che, data una prima fissione, tra i prodotti che vengono fuori da essa vi sono anche neutroni e che questi sono generalmente veloci, ci si rende conto che, provocata la prima fissione in nuclei di Uranio 238, essa non si può sostenere (questi neutroni liberati dalla rottura dei primi nuclei di Uranio 238, non sono buoni per rompere altri nuclei e tutto termina dopo le prime rotture provocate dall’esterno del materiale). Dopo le prime rotture, occorre procedere nell’operazione di rallentamento dei neutroni veloci in modo che, diventati lenti, vadano a fissionare altri atomi di Uranio 238. Il processo di rallentamento si realizza con particolari sostanze chiamate moderatori che devono avere alcune peculiari caratteristiche: essere costituite da nuclei di elementi leggeri (in questo caso un neutrone che urti uno di questi nuclei perde mediamente molta energia); essere una buona quantità (in modo che i neutroni non possano fuoriuscire da esse prima di essere stati rallentati); essere costituite da nuclei che non assorbano neutroni o ne assorbano il meno possibile (per non togliere un gran numero di proiettili ai nuovi processi di fissione). Nel caso dell’Uranio 238, che discutevamo, un ottimo moderatore è l’acqua pesante (D2O), acqua formata da molecole nelle quali l’idrogeno è sostituito dal suo isotopo Deuterio. Concettualmente si può procedere così (sarò maggiormente preciso più oltre) : vari pezzi di Uranio 238 (a geometria ed in quantità opportune) sono disposti in una vasca (a geometria opportuna) contenente acqua pesante; si attiva dall’esterno una qualche fissione nel primo Uranio a disposizione; da queste prime fissioni si liberano dei neutroni veloci; questi neutroni fuoriescono da quel pezzo di Uranio e fanno un determinato tragitto dentro l’acqua pesante e, nel far questo, diventano lenti; a questo punto incontrano di nuovo un altro pezzo di Uranio, dove provocano nuove fissioni e così via. Da quanto dicevo sembra chiaro che è di grande importanza, per il funzionamento della semplice macchina descritta, curare, come accennato, le quantità relative dei materiali in gioco e le geometrie di ogni componente dell’intero sistema.
Altra possibilità è quella di lavorare con Uranio 235. Altri sono però i problemi che qui si pongono. La percentuale di Uranio 235 in Uranio 238 è, come visto, molto piccola. I pochi nuclei di Uranio 235 presenti in un campione di Uranio naturale, non sono sufficienti a mantenere il processo di fissione. Quando provocassimo la fissione in un primo nucleo di un isotopo qualsiasi dell’Uranio presente in quel campione, i neutroni che ne verrebbero fuori (con probabilità enorme, neutroni veloci) non avrebbero il tempo di incontrare un altro nucleo di Uranio 235 prima di venire assorbiti dall’Uranio 238. In questo caso si procede con l’arricchimento della percentuale di Uranio 235 in Uranio 238, portandola da quello 0,7% al 4 o 5% (usi pacifici) in modo che, quando il processo di fissione è iniziato, i neutroni che vengono via via prodotti siano sempre in grado di incontrare un nucleo di Uranio 235 da fissionare. In questo caso si parla di Uranio arricchito (i processi di arricchimento dell’Uranio sono molto complessi, costosi e richiedono una tecnologia sofisticatissima. Tale tecnologia è anche soggetta a segreto militare.
La fissione di un determinato nucleo può avvenire in diversi modi e questo a causa del fatto che i neutroni ed i protoni del nucleo originario, quando avviene la fissione, si possono ripartire in modi diversi per formare nuclei più leggeri (prodotti di fissione), neutroni e radiazione. Come esempio consideriamo alcune delle reazioni nucleari che hanno luogo bombardando, con neutroni, nuclei di Uranio 235 (tenendo conto che le reazioni possibili sono oltre 40):
92U235 + 0n1 ——-> 38Sr94 + 54Xe140 + 2 0n1
92U235 + 0n1 ——-> 38Sr93 + 54Xe140 + 3 0n1
92U235 + 0n1 ——-> 32Kr92 + 56Ba141 + 3 0n1
92U235 + 0n1 ——-> 50Sn127 + 42Mo105 + 4 0n1
dove: Sr = Stronzio; Xe = Xeno; Kr = Kripton; Ba = Bario; Sn = Stagno; Mo = Molibdeno. Nella figura 13 è riportata una delle tante reazioni che riguardano l’Uranio 235, con i successivi decadimenti fino ad arrivare ad isotopi stabili.

Figura 13
Quando allora un neutrone va a colpire un nucleo di Uranio 235 viene assorbito dal nucleo stesso il quale, in un tempo brevissimo (un centomilionesimo di secondo), si spacca originando due nuclei più leggeri, due o tre neutroni e radiazione. Questi neutroni escono dal nucleo fissionato con grande energia e vanno quindi a fissionare altri nuclei di Uranio 235 i quali, a loro volta, originano altri nuclei di isotopi più leggeri oltre ad altri neutroni che continuano il processo. L’intero processo si chiama reazione a catena ed è schematicamente illustrato in figura 14.

Figura 14
Reazioni a catena sono quei processi nucleari (e chimici) che una volta innescati si autosostengono interessando in brevissimo tempo tutta la massa del materiale a disposizione. Affinché la reazione si autosostenga occorre che la massa disponibile assuma un determinato valore (massa critica) per evitare che i neutroni sfuggano prima di aver

Figura 15
prodotto fissioni. Se infatti i neutroni prodotti dalla prima fissione non incontrano nel loro cammino altri nuclei da fissionare, la reazione a catena si blocca. Occorre allora che siano a disposizione tanti nuclei fissionabili in modo da sostenere la reazione a catena. La prima fissione avrà prodotto 2 o 3 neutroni che andranno a provocare mediamente un paio di fissioni (non tutti i neutroni provocano fissioni), nella seconda fissione avremo quattro neutroni, nella terza 8, quindi 16, 32, 64, 128, 256, … arrivati all’ottantesimo processo vi saranno disponibili 1024 neutroni. La probabilità di interessare sempre un maggior numero di nuclei alla fissione aumenta enormemente ed il processo si autosostiene. Un numero caratteristico di questi processi è il fattore di moltiplicazione che indica il rapporto tra il numero dei neutroni prodotti e quelli che hanno provocato la fissione da cui sono nati. Se il fattore di moltiplicazione è inferiore ad 1 (massa subcritica) non c’è reazione a catena; se il fattore di moltiplicazione è uguale o di poco maggiore ad 1 (massa critica) si ha la reazione a catena controllata per l’uso in centrali nucleari; se questo fattore risulta molto maggiore di 1 (massa sovracritica) si ha la fissione non controllata che è alla base delle esplosioni atomiche (in questo caso occorre intervenire con un maggiore arricchimento della percentuale dell’Uranio 235 in Uranio 238, dell’ordine del 7%).
Inoltre, se nella massa di materiale da sottoporre al processo di fissione, vi sono nuclei fissili (ad esempio di Uranio 235) mescolati a nuclei che assorbono neutroni (come è il caso dell’Uranio 238) e se la percentuale di nuclei non fissili è elevata, la reazione a catena non può sostenersi. Occorre quindi preparare i combustibili nucleari in modo si abbia una composizione critica tale da non far cessare la reazione (è quanto abbiamo già discusso a proposito dell’arricchimento dell’Uranio).
Infine poiché, come abbiamo già detto, i neutroni prodotti dalla fissione sono sempre veloci, essi hanno scarsa probabilità di andare a fissionare altri nuclei. Per aumentare questa probabilità occorre rallentare tali neutroni immergendo la massa di materiale da fissionare (precedentemente organizzata in modo geometricamente opportuno, come già accennato) in opportuni moderatori (sostanze di basso peso peso atomico) che hanno lo scopo di assorbire l’energia cinetica dei neutroni senza assorbire i neutroni stessi. I moderatori più in uso sono: l’acqua, l’acqua pesante, il berillio metallico, l’ossido di berillio, la grafite.
I reattori nucleari funzionano sfruttando i processi di fissione (alcuni dettagli li vedremo in una sezione apposita).
In alcuni reattori (LWR di tipo BWR o PWR: si legga “Reattori ad acqua leggera di tipo acqua bollente o acqua in pressione”) si usa come moderatore l’acqua mentre il combustibile è Uranio arricchito (e l’Uranio va arricchito perché l’acqua, oltre a moderare, assorbe anche dei neutroni). Abbiamo già visto quali sono i processi di fissione ce avvengono in questi reattori e che interessano l’Uranio 235. Vediamo ora cosa accade, parallelamente, all’Uranio 238 presente in gran quantità nel combustibile in uso. Quando un nucleo di Uranio 238 viene colpito da un neutrone si origina Uranio 239 che, essendo molto instabile, decade subito emettendo una radiazione β, in Nettunio 239; anche quest’ultimo è un elemento molto instabile che, emettendo ancora una particella β, decade in Plutonio 239. La reazione descritta è la seguente:

Figura 16
Si dovrebbe comprendere quindi che, come effetto secondario del funzionamento di un reattore nucleare LWR si abbia la produzione di una grande quantità di Plutonio, elemento estremamente pericoloso sia dal punto di vista chimico (è velenosissimo) che dal punto di vista fisico (dato che il suo tempo di dimezzamento è di 24 000 anni e che occorre attendere almeno 6 o 7 di questi tempi perché una sostanza radioattiva diventi praticamente inoffensiva, ci si rende conto che con il Plutonio occorre attendere un 160 000 anni per stare tranquilli: basta un poco di pazienza …).

Figura 17
In altri reattori (di tipo HWR o CANDU: si legga “Reattori ad acqua pesante o Reattori canadesi ad Uranio naturale moderati con acqua pesante”) si usa come moderatore l’acqua pesante mentre il combustibile è Uranio naturale. L’arricchimento in questo caso non è necessario in quanto l’acqua pesante ha la proprietà di assorbire molti meno neutroni (circa 600 volte meno) dell’acqua ordinaria; il maggior numero quindi di neutroni permette che la reazione si sostenga (andando a bilanciare il maggior numero di neutroni assorbiti dalla maggior percentuale di Uranio 238: sembrerebbe tutto più semplice ma i processi di fabbricazione dell’acqua pesante sono altrettanto complessi e sofisticati di quelli per arricchire l’Uranio, anche se qui viene meno, almeno direttamente, l’interesse militare).
Nei Reattori autofertilizzanti non si usano moderatori e quindi i neutroni non sono rallentati in modo da aumentare le frequenze delle fissioni. Per ottenere questo ultimo effetto in questi reattori si arricchisce l’Uranio naturale con atomi di materiale fissile come Plutonio 239 o Uranio 235. In questo modo i neutroni veloci sono in grado di mantenere la reazione. E, mentre essa va avanti nella parte centrale del reattore, intorno ad esso viene sistemato dell’uranio naturale i cui atomi di Uranio 238, assorbendo dei neutroni che sfuggono dalle reazioni che avvengono al centro, si trasformano in Plutonio (con la reazione vista nella figura 16) che sarà utilizzata successivamente come combustibile nella parte centrale del reattore (il Plutonio prodotto in questo modo è in quantità maggiore di quello che occorre per l’arricchimento del combustibile: per questo motivo i reattori così concepiti sono detti autofertilizzanti).
Altro elemento importante nel funzionamento di un reattore nucleare sono le barre di controllo che sono delle barre di materiali in grado di assorbire neutroni (cadmio, afnio, boro). Per regolare la potenza del reattore o per fermarlo si alzano o si abbassano queste barre sistemate tra gli elementi di combustibile, in modo da regolare la quantità di neutroni destinati alla fissione.
L’effetto finale utilizzabile di una reazione nucleare è la produzione di enormi quantità di energia che vengono asportate dal reattore prima sotto forma di calore e quindi sotto forma di energia meccanica immediatamente trasformata in elettrica. Per prelevare calore dalla reazione nucleare si utilizza un refrigerante (molto spesso è lo stesso moderatore che funge anche da refrigerante; è questo il caso dell’acqua. Nei reattori autofertilizzanti, data la maggiore quantità di calore prodotta, l’acqua ed altri sistemi ordinari non sono sufficienti, occorre utilizzare la circolazione forzata di sodio liquido) che andando a contatto con il combustibile si scalda fino a diventare vapore ad alte temperature e pressione, in grado cioè di mettere in moto le turbine.
10 – LA FUSIONE NUCLEARE
Accennerò appena a questo tipo di reazione nucleare: essa è ancora allo studio e non ancora in grado di fornire energia utilizzabile per scopi pacifici. L’unico uso pratico e realizzato dall’uomo di reazioni di fusione è quello della bomba all’idrogeno o bomba H. Viceversa, dalla fusione dipende la vita del nostro sistema solare e, in particolare, della Terra: sono reazioni di fusione nucleare che avvengono (a centinaia di migliaia) sul Sole che ci permettono fornendo l’energia necessaria al ciclo delle acque, alla fotosintesi ed a tutti i processi vitali.
Sulla Terra si sta studiando la possibilità di sfruttare questo tipo di energia.. Se si riuscisse a farlo avremmo risolto per secoli i problemi dell’approvvigionamento energetico (con quali ricadute sull’ambiente ancora non si sa molto bene; sembra comunque che gran parte dei pericoli connessi con i fenomeni radioattivi e le scorie di una centrale a fissione debbano scomparire).
La reazione di fusione consiste, come dice la parola, nel fondere insieme due nuclei leggeri per ottenerne uno più pesante. A questa reazione si accompagna l’emissione di una enorme quantità di energia (il rendimento è circa 6 volte quello che si ha con la fissione dell’Uranio. Ad esempio, fondendo 1 Kg di idrogeno in elio si liberano circa 180 milioni di Kwh di energia, mentre avevamo visto che con la fissione di 1 Kg di uranio si ottenevano 23 milioni di Kwh di energia) dovute al fatto che la massa del nucleo finale ottenuto è minore di quella dei costituenti iniziali e, come sappiamo, ad ogni perdita di massa corrisponde l’acquisto di enormi quantità di energia. Per innescare però una reazione di fusione vi sono problemi, in gran parte tecnici, considerevoli. Infatti, mentre il tramite delle reazioni di fissione era il neutrone (particella priva di carica), ora è necessario che i due nuclei che debbono fondersi vengano a contatto. Ma i nuclei sono dotati di carica positiva e quindi si respingono reciprocamente con una forza che, ricordiamolo, tende a diventare infinita mano a mano che la distanza tra le cariche dei nuclei tende ad annullarsi. Per riuscire ad avvicinare i due nuclei, vincendo la repulsione coulombiana, tanto che arrivino a fondere, occorre innalzare la temperatura a livelli impensabili (intorno ai 100 milioni di gradi kelvin, temperatura molto superiore a quella che c’è sulla superficie del Sole, solo circa 6000 °K) in modo che l’agitazione termica vinca la

Figura 18
repulsione di origine elettrica. Come ben si capisce i problemi, a questo punto, diventano tecnici: occorre studiare una pentola dentro cui sia possibile cucinare nuclei, ad esempio, di Deuterio (in modo che divengano nuclei di Elio) ed in grado

Figura 19
di resistere a temperature gigantesche. Svariate di queste pentole sono in studio nel mondo (Russia, USA, UE, Giappone, Italia). Non entrerò ora in qualche dettaglio di funzionamento (vedi la sezione relativa ai Reattori Nucleari) ma mostrerò alcune reazioni di fusione (con le relative energie liberate) ed in particolare quelle riguardanti gli isotopi dell’Idrogeno:
1H2 + 1H2 ——–> 1H3 + 1H1 + 4 MeV
1H2 + 1H2 ——–> 2He3 + 0n1 + 3,3 MeV
1H2 + 1H3 ——–> 2He4 + 0n1 + 17,6 MeV
1H2 + 2He3 ——–> 2He4 + 1H1 + 18,3 MeV
dove: 1H1 = Idrogeno; 1H2 = Deuterio; 1H3 = Trizio; 2He3 = Elio 3; 2He4 = Elio 4.

Figura 20
BIBLIOGRAFIA
1 – E. Segré – Nuclei e Particelle – Zanichelli, 1966.
2 – E. Persico – Gli atomi e la loro energia – Zanichelli, 1970.
3 – L. Eisenbud, E. P. Wigner – Nuclear Structure -Rinehart & Winston, 1963.
4 – M. Velimirovic – Atlante atomico – Capitol, 1970 (da questo testo ho tratto quasi tutte le figure da me riportate).
5 – L. Kervin – Atomic Physics – Holt, Rinehart & Winston, 1963.
6 – P. Fleury, J. P. Mathieu – Atomi, Molecole, Nuclei – Zanichelli, 1965.
7 – S. Tolansky – Introduzione alla fisica atomica – Boringhieri, 1966.
8 – W. R. Fuchs – Knaurs buch der módernen physik – Droemersche Verlagsanstalt, 1965.
9 – E. N. Jenkins – Radioactivity – Wikeham Publ. Ltd, 1979.
10 – G. Gamow – Biografia della fisica – EST Mondadori, 1963.
11 – E. Amaldi – Fisica generale – MARVES, 1965.
12 – R. Paoletti – Gli isotopi radioattivi – Hoepli, 1959.
13 – A. Isaacs, V. Pitt – La fisica – Mondadori, 1973.
14 – M. J. Gaines – L’energia nucleare – Mondadori, 1970.
15 – Academia USA de Ciencias – Fisica nuclear – Salvat, 1987.
16 – R. Renzetti – L’energia – Savelli, 1979.
17 – A. Baroni – L’atomo in catene – Cappelli, 1961.
18 – P.P.C. (Unità 6) – Il nucleo – Zanichelli , 1977.
19 – A. I. Kitaigorodski – Fotones y núcleos – Editorial Mir Moscú, 1985.
20 – V. Grigóriev, G. Miákishev – Fuerzas en la naturaleza – Editorial Mir Moscú, 1985.
21 – J. B. Marion – La fisica e l’universo fisico – Zanichelli, 1976.
22 – D. J. Hughes – Fisica del neutrone – Einaudi, 1960.
Categorie:Fisica
Rispondi