Ingegneria Meccanica – Roma Tre
AA/2011-2012
APPUNTI PER IL CORSO
(Ripresi integralmente e da me assemblati dai testi di bibliografia)
Roberto Renzetti
Bibliografia:
Paul J. Tipler, Gene Mosca – Corso di Fisica – Zanichelli 2010
Jay Orear – Fundamental Physics – John Wiley & Sons Inc, 1967
F.W. Sears, M.W. Zemansky – University Physics – Addison-Wesley Publishing Company, 1964
M. Alonso, E. J. Finn – Fundamental University Physics – Addison-Wesley Publishing Company, 196
R. Renzetti – Appunti miei raccolti negli anni e pubblicati nel mio sito
PARTE DODICESIMA
MAGNETISMO
1 – Primi fenomeni
– Magneti permanenti conosciuti fin dall’antichità.
– Un magnete, se lasciato libero, si orienta rispetto alla Terra.
– Poli dello stesso tipo si respingono, poli di segno opposto si attraggono. Il geologo ed astronomo britannico John Michell (1724-1793) realizzò una speciale bilancia (bilancia di torsione)che divenne famosa solo dopo che fu inventata di nuovo da Coulomb, per studiare le forze magnetiche. Michell era un fervente newtoniano e andò a scoprire ciò che voleva scoprire, il fatto cioè che le forze agenti tra poli magnetici vanno come l’inverso del quadrato della distanza, come la legge regina di Newton, quella di gravitazione universale:
Ogni polo magnetico attira o respinge esattamente a distanze uguali in ogni
direzione …
Attrazioni o repulsioni diminuiscono in proporzione all’aumento dei quadrati
delle distanze dai rispettivi poli.
E’ inutile dire che tale legge non ha retto a successive e rigorose verifiche sperimentali anche se ha avuto il pregio di indicare una strada per rendere la scienza elettrica e magnetica quantitativa.
E’ a questo punto che si inseriscono i lavori di Charles-Augustin de Coulomb (1736-1806).
– Polo Nord e Polo Sud
– In natura non esistono poli magnetici isolati
– Campo magnetico (magnete rettilineo, magnete ad U, …)

– Linee di forza e loro verso convenzionale

– Magnetismo ed elettricità: effetti magnetici della corrente.
– Esperienza di Oersted


– Verso di rotazione dell’ago

Regola di Ampère: Un osservatore disposto parallelamente sul filo in modo che la corrente gli entri dai piedi e gli esca dalla testa, vede il polo nord dell’ago ruotare verso sinistra
– Campi magnetici generati da fili percorsi da corrente

La direzione del campo è tangente alle linee di forza. Il verso delle linee di forza è dato dalla regola del cavatappi.




– Se una corrente esercita una forza su un magnete (Oersted) bisogna attendersi che anche un magnete eserciti una forza su una corrente. Se si dispone una spira percorsa da corrente all’interno di un campo magnetico essa tende a ruotare disponendosi perpendicolarmente alle linee del campo. Il dipolo-spira si orienta in modo che il suo sud vada a sistemarsi di fronte al nord del magnete ed il suo nord verso il sud del magnete.

– Poiché una corrente crea un campo magnetico ed un campo magnetico esercita una forza su una corrente, anche due correnti eserciteranno una forza tra loro, forza che sarà di natura magnetica (Ampère).


Due fili rettilinei percorsi da correnti concordi si attraggono

Due fili rettilinei percorsi da correnti discordi si respingono

Due spire percorse da correnti concordi si attraggono
FORZA MAGNETICA SU UNA CORRENTE E DEFINIZIONE DI B
Consideriamo la figura seguente e sia il lato BC della spira mobile. Su questo lato (come su ogni altro lato) della spira si esercita una forza F qualunque sia l’orientazione della spira nel campo.

L’intensità della forza varia al variare dell’orientazione ed esiste una direzione di BC in corrispondenza della quale la forza si annulla. Tale direzione è quella mostrata in figura seguente e noi l’assumeremo come direzione del campo magnetico (direzione di BC quando la forza F è nulla)

Si verifica sperimentalmente che la forza è massima quando il vettore ℓ = BC risulta perpendicolare alle linee di campo ed in tal caso vale:


La direzione di F è sempre perpendicolare al piano formato da B ed ℓ ed il verso è dato dalla regola della mano sinistra:


dove a è l’angolo formato tra il versore perpendicolare alla superficie della spira e le linee di forza. del campo magnetico B. Il flusso di B si misura in Wb.
LAVORO DELLE FORZE MAGNETICHE
Prendiamo ora in considerazione la (1) e cioè F = iB Λ ℓ = Biℓsena, e mettiamoci nella condizione di sen α = 1 (quindi α = 90°). La (1) diventa:
F = Biℓ
Se B è un campo costante, su di una corrente i che transita in un filo ℓ, si eserciterà una forza F. Questa forza sposterà il filo di un tratto d, di modo che farà un lavoro L:
L = F.d = iBℓ.d
Osserviamo ora che ℓ.d è la superficie S spazzata dal filo ℓ che si sposta di d. Quindi:
L = i.BS
cioè:
L = i.Φ(B)
e ciò vuol dire che il lavoro della forza elettromagnetica F agente su un tratto di circuito posto nel campo di induzione uniforme B è direttamente proporzionale a B, all’intensità di corrente i che attraversa ℓ ed alla superficie S spazzata dal conduttore.
TEORIA DI AMPERE DEL MAGNETISMO E TENTATIVO DI SPIEGAZIONE DELL’ESPERIENZA DI OERSTED

Molecola elettrodinamica di Ampère






1 – COPPIA AGENTE SU UNA SPIRA IMMERSA IN UN CAMPO MAGNETICO. MOTORE ELETTRICO

F1 = – F3 e giacciono sulla stessa retta d’azione
F2 = – F4 e giacciono su piani differenti in modo da costituire una coppia di momento M.
Guardando la situazione dall’alto si ha la seconda figura ora riportata. Il braccio b della coppia è dato da
b = d.sena
Le forze F2 ed F4 sono date da
(1) F2 = F4 = Biℓ
Il momento M., dato da braccio per forza, sarà:
(2) M. = Biℓ.d sena
ed il momento è massimo per a = 90° (B giace nel piano della spira) e nullo per a = 0° (B perpendicolare al piano della spira).
Se si inverte il verso della corrente si invertono i versi delle forze e la spira ruota in senso inverso fino a tornare nella posizione di equilibrio.

Su questa proprietà si basa il motore più semplice, quello a corrente continua.
Riferendoci alla figura seguente, in (a) la spira tende a ruotare per portarsi alla sua posizione di equilibrio; in (b) ha raggiunto tale posizione che, per inerzia, supera almeno di un poco (se non si interviene in alcun modo dall’esterno, dopo alcune oscillazioni, la spira si ferma nella posizione di equilibrio); in (c) si è invertito il verso della corrente e ciò fa continuare la rotazione della spira fino ad arrivare di nuovo ad una posizione simile a quella che aveva in (a): in (d) si riprende come se ripartissimo da (a).


La figura seguente mostra il meccanismo (collettore) che permette il cambiamento di verso della corrente nella spira attraverso dei contatti striscianti su dei semicilindri metallici connessi agli estremi della spira:


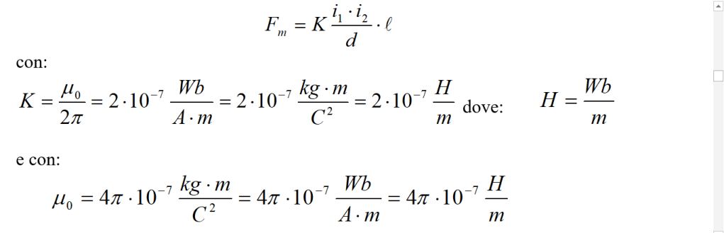
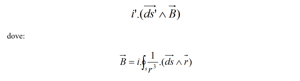
2 – FORZA ELETTRODINAMICA TRA CORRENTI
Torniamo ora in modo quantitativo all’azione elettrodinamica che si esercita tra due correnti rettilinee, esemplificando con due correnti concordi.

Vediamo con maggiori dettagli:

Figura 111
Diciamo subito che quando la corrente i2 è perpendicolare alla corrente i1, la forza F si annulla.
La molla serve a mantenere il filo in modo che la distanza tra i due sia sempre d.
In tali condizioni si trova che su un tratto ℓ di conduttore si esercita una forza data da:

Si noti che la relazione data è per correnti parallele. In caso contrario vale la relazione (48) già data.
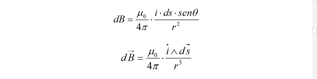
3 – CAMPO MAGNETICO GENERATO DA UNA CORRENTE DI FORMA QUALUNQUE
Riferiamoci alla figura seguente:

Ci proponiamo di calcolare il campo magnetico B in un punto P del campo vicino al filo. Per fare questo conto occorre suddividere il filo in elementi infinitesimi ds con direzione tangente al filo e verso della corrente. Ci riferiamo quindi ad un elemento di corrente-lunghezza ids. Il campo B nel punto P sarà allora l’integrale esteso a tutti i dB originati da ciascun ids. Operiamo in analogia a quanto fatto con il caso elettrico ma con una notevole complicazione in più. Mentre lì avevamo a che fare con elementi scalari dq, ora abbiamo elementi vettoriali ids (ids è infatti il prodotto dello scalare i per il vettore ds). Con tali avvertenze si trova che l’intensità del campo magnetico in P è dato da

che è la legge di Biot-Savart in forma differenziale. Questa relazione integrata, come ora vedremo, fornisce:

.
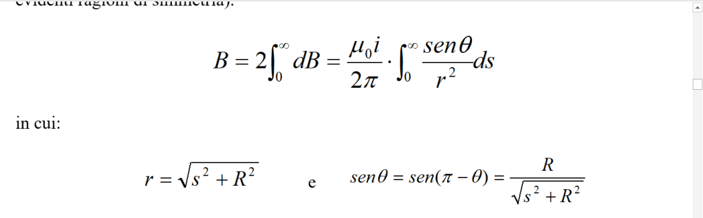
4 – CAMPO MAGNETICO GENERATO DA UNA CORRENTE RETTILINEA.
Riferiamoci alle figure seguenti:


Vogliamo trovare il campo B nel punto P a distanza R dal filo. Tale campo è dato dalla legge di Biot-Savart

e la direzione di dB nella figura 29-5 è quella del vettore ds Λ r, cioè perpendicolare al piano della figura con verso entrante.
Dimostriamo ora la legge di Biot-Savart (1).
Per trovare il campo prodotto in P dagli elementi ids situati nella metà superiore del filo occorre integrare l’espressione precedente da 0 ad ∞ e moltiplicare per 2, visto che i contributi degli ids della metà inferiore saranno identici a quelli della metà superiore (per evidenti ragioni di simmetria).

Sostituendo:

troviamo la legge cercata.
_______________________________
Faccio a parte il conto che illustra l’integrale precedente:

_________

______________________________
e riferendoci al punto P ancora della Figura 111. Si tratta di calcolarsi il campo B prodotto da i1 nel punto P. Esso sarà:

che è di nuovo la legge di Biot-Savart.


Si osservi che, all’esterno di un solenoide di lunghezza “infinita”, cioè per r << ℓ, il campo è nullo.
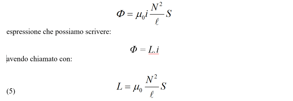
ENERGIA DEL CAMPO MAGNETICO. INDUTTANZA
Calcoliamoci ora l’energia che il campo magnetico è in grado di immagazzinare (con maggiori dettagli torneremo sull’argomento quando tratteremo le extracorrenti).
Iniziamo con il calcolarci il flusso autoconcatenato con una spira di un solenoide di superficie S. Si ha:

Moltiplicando questa espressione per il numero N delle spire di un solenoide, otteniamo il flusso autoconcatenato con esso:

il coefficiente di autoinduzione o induttanza.

dove Eint è chiamata energia intrinseca totale immagazzinata in un solenoide percorso da una corrente i (troveremo analiticamente questa espressione quando tratteremo le extracorrenti). Questa energia rappresenta la differenza tra l’energia erogata dal generatore e quella dissipata per effetto Joule durante l’intervallo di tempo in cui la corrente passa dal valore 0 ad i (l’energia fornita dal generatore a cui va sottratta quella persa per effetto Joule).
Sia ora ila corrente di regime nel circuito contenente il solenoide. Il campo dentro il solenoide sarà dato ancora dalla (4):

avendo indicato il volume S.ℓ con V.
La (7) è l’energia del campo magnetico all’interno del solenoide.
La densità di energia W, cioè l’energia per unità di volume Eint/V, per un qualunque campo magnetico sarà data da:

5 – TEOREMA DI AMPÈRE (equivalenza fra un dipolo magnetico ed una spira percorsa da corrente: approccio semplificato)
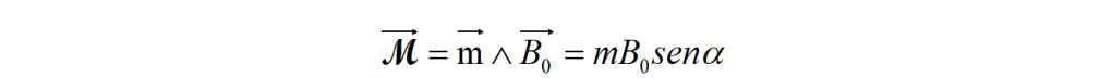
Un ago magnetico, sottoposto ad un campo magnetico è soggetto ad una coppia di forze di momento M che lo fa ruotare finché l’ago non si dispone parallelamente al campo. Il momento M è massimo quando l’ago è perpendicolare alle linee di forza del campo. Risulta:

dove m è una costante caratteristica dell’ago che si chiama momento magnetico ed α è l’angolo formato tra i vettori B0 ed m:

Riferiamoci ora ad una spira in un campo magnetico B0 (come da figura seguente):

La spira, rettangolare di area S = ℓ.d, ruoterà sotto l’azione della coppia F1,F2 (con F1 = F2 = F), che ha per braccio b = d.senα, con un momento M dato da (si ricordi la 2 del paragrafo 1):

E questo è il teorema di equivalenza di Ampère tra una spira percorsa da corrente ed un ago magnetico e tale equivalenza esiste se vale la relazione (2).
6 – TEOREMA DI AMPÈRE (solo per curiosità)
Partiamo dalla legge di Biot e Savart.
Jean-Baptiste Biot aveva lavorato con Coulomb ed, anch’egli, era un convinto newtoniano. Venuto a conoscenza dell’esperienza di Oersted, si mise al lavoro per trovare una legge di forza che rendesse conto di quella strana azione. Egli era un abilissimo sperimentatore ma in questo caso rinunciò ad ideare esperienze per dedicarsi completamente a trovare una legge che fornisse la forza magnetica esercitata da un filo infinito in funzione della distanza da esso. Vedremo che, mentre Biot tenta la soluzione di un problema particolare, Ampère tenterà di costruire una teoria complessiva in grado di spiegare una completa categoria di fenomeni.
Biot inizia con il considerare il conduttore rettilineo come tagliato in fette sottili di modo F sia una di tali fette (da buon matematico Biot considera elementi infinitesimi del filo ai quali assegna proprietà magnetiche).

Fig. 7
Ognuna di queste fette è costituita da molecole, ciascuna delle quali subisce una magnetizzazione momentanea. In tal modo ciascuna fetta può essere descritta da infinitesimi aghi magnetici tangenti alla sua superficie esterna (ab, a’b’, a”b”, a”’b”’, ma se ne potrebbero disegnare altri).
Fu Savart, un medico appassionato di acustica, che fece misure estremamente delicate per determinare la forza esercitata dal filo conduttore su un polo magnetico per dedurre successivamente la legge matematica dell’azione di una piccola fetta di conduttore su questo polo. Biot il 18 dicembre 1820 enunciò la legge che era stata trovata. Riferendosi alla figura seguente, la legge infinitesima dice che la forza esercitata

Fig. 8
da un elemento infinitesimo di filo, di lunghezza infinita, situato in N (vedi figura 8) su una particella magnetica situata in M, è perpendicolare al piano della figura ed ha un’intensità proporzionale a

E cioè: la forza magnetica dovuta ad un elemento ds di un circuito in cui circola una corrente i, ad una distanza r da ds è dato dalla relazione scritta (in grassetto sono date grandezze vettoriali). Ma Biot non terminò lì le sue elaborazioni, proseguì con ulteriori esperienze ed elaborazioni matematiche. Più in dettaglio, la costruzione della relazione precedente avvenne per tappe successive. Il 30 di ottobre Biot comunicò alcuni risultati sperimentali: la forze esercitata da un filo conduttore infinito su un polo magnetico è inversamente proporzionale alla distanza MH del polo al filo. Si può quindi dedurre (come fece osservare Lapalce a Biot) che la forza elementare esercitata da un elemento infinitesimo di filo situato ad una distanza r dal polo è proporzionale ad 1/r2. La forza esercitata dall’elemento infinitesimo situato in N dipende ancora dall’angolo ω secondo una funzione da determinare. Per calcolare questa funzione Biot realizzò un’altra serie di esperienze. Egli misurò la forza, esercitata sul polo M, da un filo conduttore infinito formante un angolo variabile del vertice A. Egli ne concluse che questa forza è proporzionale a quest’angolo variabile θ (vedi figura 8).

Fig. 8
Il 18 dicembre Biot specificò ulteriormente che, come già detto, la forza elementare è proporzionale a

e non a θ. La questione fu risolta nel senso di θ/2 solo 3 anni dopo, quando Ampère, che aveva individuato l’errore di Biot, propose misure più precise. Si può comunque comprendere che il fattore sen ω nella relazione precedente a quella di tg θ/2 è stato dedotto con un ragionamento e non dall’esperienza, infatti la forza esercitata dall’elemento infinitesimo N è massima per ω = 90° (o per ω = – 90°, a seconda del verso della corrente) ed è nulla per ω = 0 e la funzione trigonometrica che risponde a queste semplici condizioni è il sen ω.
A parte una costante moltiplicativa che indicherò con Z, la legge di Biot e Savart si scrive oggi comunemente nel modo seguente:

Ora, il fattore sen ω/r2 è dovuto a Biot e Laplace ma i.ds è l’elemento di corrente di Ampère, quello che troverà Ampère. Ma, al di là di queste osservazioni che approfondiremo più oltre, resta la considerazione che si va delineando una forza che va con l’inverso del quadrato della distanza, cioè come quelle di Newton. Ma vi è una importante considerazione da fare al di là dell’apparenza matematica: questa forza per essere di tipo newtoniano avrebbe dovuto essere diretta da M ad N, invece è diretta trasversalmente, perpendicolare cioè al piano determinato da MN ed il filo. Ma Biot crede che il tutto sarà risolto con uno studio più accurato della sezione di filo considerata poiché la sua azione è un’azione composta. Per Biot: resta da trovare come ogni molecola infinitamente piccola del filo contribuisce all’azione totale della sezione di filo di cui essa fa parte. L’azione di una corrente su un magnete risulterebbe così ridotta a delle pure interazioni magnetiche che sono da determinare e dalle quali si possa dedurre la sua legge sperimentale, anche se ciò è molto difficile come lo stesso Biot ammette.
Torniamo ora ad Ampère.
In quanto detto sembra evidente che inizia a farsi strada l’idea di una sorta di similitudine tra correnti e magneti che, estendendo il concetto, vuol dire anche che mentre i conduttori trasportano correnti che agiscono con magneti, accade anche che i conduttori agiscono l’un l’altro come fossero magneti.
Intanto, il 18 settembre, appena una settimana dopo l’annuncio di Arago della scoperta di Oersted, Ampère aveva mostrato all’Accademia le azioni reciproche tra fili percorsi da correnti rettilinee(12), le loro attrazioni e repulsioni in tutte le possibili posizioni reciproche (Dell’azione esercitata da una corrente elettrica da un’altra corrente). Servendosi sello strumento di figura, in cui il

Fig. 9
conduttore AB è fisso mentre il lato CD del conduttore sospeso CDEF può muoversi potendo oscillare sui sostegni XY, poteva studiare le azioni tra correnti rettilinee e parallele. In tal modo trovò la legge di forza tra correnti parallele concordi e discordi. E’ evidente che a questo punto si poneva l’altro problema, quello relativo al conduttore mobile che invece di essere soggetto a muoversi parallelamente a quello che è fisso, può soltanto ruotare in un piano parallelo a quello del conduttore fisso intorno ad una perpendicolare comune passante per i loro punti di mezzo. Realizzando sperimentalmente l’apparato (fig.10), Ampère trovò che secondo la legge che abbiamo scoperto per le attrazioni e le repulsioni delle correnti elettriche, le due metà di ogni conduttore attireranno e respingeranno quelle dell’altro, secondo che le correnti saranno di uguali sensi o di sensi contrari; conseguentemente il conduttore mobile ruoterà fino al momento in cui giunga in una posizione nella quale risulti parallelo a quello fisso e le correnti siano dirette nello stesso senso: donde deriva che, nell’azione mutua di due correnti elettriche, l’azione direttrice e l’azione attrattiva o repulsiva dipendono da uno stesso principio e sono soltanto effetti diversi di una sola e medesima azione. Allora non è più necessario istituire fra questi due effetti la distinzione che è importante fare, come vedremo tra poco, quando si tratta di una corrente elettrica e di un magnete, considerato come si fa comunemente in relazione al suo asse, perché, in questa azione, i due corpi tendono a porsi in direzioni perpendicolari fra loro.

Fig. 10 a – In figura è riportato in rosso il tratto di filo rettilineo fisso, mentre il tratto DP affacciato può ruotare su un’apposita sospensione riportata più in dettaglio nella figura 10 b. Si noti che invertendo i cavi della spira rettangolare nella connessione che permette la rotazione si inverte il verso della corrente nella spira.

Fig. 10 b
Ampère sta avvicinandosi a discutere la questione che è al centro dei suoi interessi, la relazione esistente tra correnti e magneti. A tal proposito inizia a dire: Esaminerò negli altri paragrafi di questa Memoria e nella Memoria seguente l’azione mutua fra una corrente elettrica e il globo terrestre o un magnete e quella di due magneti l’uno rispetto all’altro: mostrerò che tanto l’una quanto l’altra rientrano nella legge dell’azione mutua di due correnti elettriche, che ho testé fatto conoscere, se si immaginano sulla superficie e nell’interno di un magnete tante correnti elettriche, in piani perpendicolari all’asse del magnete, quante linee, formanti curve chiuse che non si taglino mutuamente, si possano immaginare; dimodoché, dal semplice accostamento dei fatti, non mi sembra possibile dubitare che non esistano realmente tali correnti attorno all’asse dei magneti o, meglio ancora, che la magnetizzazione non consista soltanto nell’operazione con la quale si dà alle particelle dell’acciaio la proprietà di produrre, intesa nel senso delle correnti di cui abbiamo parlato, la stessa azione elettromotrice che si trova nella pila voltaica […]. Però, poiché questa azione elettromotrice si sviluppa nel caso del magnete fra le diverse particelle di uno stesso corpo buon conduttore, essa, … non può mai produrre alcuna tensione elettrica, ma soltanto una corrente continua simile a quella che avrebbe luogo in una pila voltaica che rientri su sé stessa formando una curva chiusa […]. In questo modo si giunge al risultato inatteso che i fenomeni del magnete sono unicamente prodotti dall’elettricità e che non vi è nessun’altra differenza fra i due poli di un magnete se non la loro posizione rispetto alle correnti di cui si compone […]. Il modo in cui concepisco il magnete, cioè come un complesso di correnti elettriche in piani perpendicolari alla linea che ne congiunge i poli, mi fece anzitutto cercare di imitarne l’azione con conduttori piegati ad elica, di cui ogni spira rappresentasse una corrente disposta come quella di un […].
Fin qui la parte teorica, la sua idea di magnete ridotta a particolari correnti. Restava il problema della ricerca della legge di forza che Ampère ammette essere cosa molto complessa e non deducibile da esperienze ma da elaborazioni di calcolo differenziale ed integrale: Fin dalle prime ricerche sull’argomento di cui stiamo occupandoci, avevo cercato di ottenere la legge secondo la quale l’azione attrattiva e repulsiva di due correnti elettriche varia quando cambino di valore le loro distanze e gli angoli che determinano la loro posizione rispettiva. Fui ben presto persuaso che non si potesse dedurre questa legge da esperienze dirette, perché essa non può avere un’espressione semplice se non considerando porzioni di correnti di lunghezza infinitamente piccola; ora, non si possono fare esperienze su tali correnti; l’azione delle correnti di cui si possono misurare gli effetti è la somma delle azioni infinitamente piccole dei loro elementi, somma che si può ottenere soltanto per mezzo di due integrazioni successive, delle quali la prima deve essere fatta in tutta l’estensione di una delle correnti per un medesimo punto dell’altra e la seconda si deve eseguire sul risultato della prima integrazione presa fra i limiti indicati dalle estremità della prima corrente, in tutta l’estensione della seconda corrente; soltanto il risultato di quest’ultima integrazione, preso entro i limiti segnati dalle estremità della seconda corrente, può essere paragonato con i dati dell’esperienza; donde consegue, come ho detto nella Memoria che ho letto all’ Académie il 9 ottobre scorso, che queste integrazioni sono la prima cosa di cui bisogna occuparsi quando si voglia determinare dapprima l’azione mutua di due correnti di lunghezza finita, sia rettilinee, sia curvilinee, tenendo presente che in una corrente curvilinea la direzione delle porzioni di cui essa si compone è determinata in ogni punto dalla tangente alla curva secondo la quale la corrente stessa si manifesta, e in secondo luogo quella di una corrente elettrica su un magnete o di due magneti l’uno sull’altro considerando, in questi ultimi due casi, i magneti come complessi di correnti elettriche disposte come ho detto sopra.
Ampère elabora allora una lunga serie di esperienze in cui via via assimila il comportamento di un ago magnetico con quello di una spira percorsa da corrente, di una barra di ferro magnetizzata con un solenoide. Studia le azioni mutue di magneti, di spire, di solenoidi, di magneti con spire e solenoidi. Resta il problema che continua ad avere presente e che la sperimentazione lo aiuta a focalizzare, quello del ricavare la legge di forza tra correnti e quella tra magneti e correnti che, a questo punto, è la stessa cosa.
Rispetto a Biot, il primo sostanziale cambiamento realizzato da Ampère è nell’impostazione iniziale degli elementi infinitesimi. Egli non considera, come Biot, fette o sezioni infinitesime di filo ma elementi di filo di lunghezza infinitesima ds. Inoltre, contrariamente a Biot egli si muove con l’idea di interazioni tra correnti e non tra magneti. La differenza tra le diverse concezioni di Biot ed Ampère è in un disegno trovato tra gli appunti di Ampère (figura 11) in cui, in alto vi è l’idea delle correnti nel filo conduttore dei due fisici, in basso l’idea del magnete che i medesimi due avevano. Per Ampère sia il filo che il magnete erano costituiti da correnti elementari mentre per Biot da magneti elementari.

Fig. 11
La forza che si esercita tra due correnti può teoricamente dedursi mediante due integrazioni successive a partire dalla forza elementare tra due elementi di corrente i.ds e i’.ds’ . Per ricavare invece l’azione tra un magnete ed una corrente occorre ricorrere ad una tripla integrazione, poiché ciascuna fetta di magnete contiene, secondo Ampère, una infinità di correnti circolari coassiali. Ma se è possibile passare mediante integrazione dalla forza elementare a quella totale, l’inverso non è possibile. Anche Biot si era scontrato con tale problema e, lo ricordo, aveva trovato il suo fattore angolare mediante l’intuizione e non mediante l’esperienza.
Per determinare la forza elementare tra due elementi di corrente Ampère propose di partire da una forza d’interazione la più generale possibile e di precisare l’espressione trovata mediante esperienze qualitative su dei circuiti finiti. La forza elementare che egli avrebbe così trovato avrebbe dovuto rispettare il principio d’azione e reazione ed essere diretta secondo la retta che univa i due elementi di corrente. Studiando poi i 4 casi di equilibrio tra correnti in varie situazioni realizzate con il suo banco di esperienze estremamente sofisticate oltreché ingegnose, egli trovò 4 leggi ancora oggi importanti:
Primo principio: le azioni di una corrente sono invertite quando si inverte il senso della corrente,
Il secondo principio (delle correnti sinuose) «consiste nell’uguaglianza delle azioni esercitate su un conduttore mobile da parte di due conduttori fissati ad uguale distanza dal primo, dei quali l’uno è rettilineo e l’altro è curvo e disegnato in modo qualsiasi»,
Terzo principio: «L’azione di un circuito chiuso e di un insieme di circuiti chiusi su un elemento infinitamente piccolo di una corrente elettrica è perpendicolare a questo elemento». Principio che pone in evidenza il carattere essenzialmente «trasversale» delle sole azioni «elementari» che siano osservabili.
Quarto principio: A intensità costanti, le interazioni di due elementi di corrente non cambiano quando le loro dimensioni lineari vengono modificate secondo uno stesso rapporto,

Fig. 12

Fig. 13
Da queste premesse e dall’ipotesi che la forza tra due elementi di circuito o elementi di corrente (corrispondenti ai punti-massa di Newton) agisce lungo la linea che li congiunge (azione alla Newton), Ampère ottenne una espressione per questa forza che ora cercherò di ricavare utilizzando il calcolo vettoriale, allo stesso modo di Whittaker. Mi servirò della figura 14 da me fatta per semplificare qualcosa di analogo fatto da Ampère (figura 16).

Fig. 14 – Le due spire non devono essere pensate su un medesimo piano ma su piani qualunque

Fig. 15 – I vettori che hanno A e B come punti di applicazione, se pensati su piani diversi P e Q, per la loro individuazione hanno bisogno di tre angoli: α, β, γ. Se A e B sono due elementi di corrente di lunghezza infinitesima rispetto alla loro distanza AB = r, l’intensità della forza che si esercita tra A e B non dipende solo da r ma anche dai valori degli angoli α, β, γ.

Fig. 16 – I disegni originali di Ampère
Riferendoci allora alla figura 14, siano quindi(13) i.ds e i’.ds’ gli elementi di corrente, r la linea che li unisce ed i, i’ le intensità di corrente (stabilito che gli elementi di corrente sono ids ed i’ds’, di seguito per mia comodità li indicherò solo con ds e ds’. Si noti che nelle varie relazioni il prodotto i.i’ deriva proprio dal prodotto ordinario dei due elementi di corrente). L’effetto di ds su ds’ è il vettore somma degli effetti delle componenti dx, dy, dz di ds su ds’. In tal modo la forza da trovare deve avere la seguente forma: il vettore r per una quantità scalare che ha una relazione lineare ed omogenea con ds; essa deve poi essere allo stesso modo omogenea e lineare con ds’; così in definitiva l’espressione della forza (tenuto conto dei quattro principi elencati prima ed in particolare del numero 1) deve essere del tipo:

con A e B costanti da determinare. Sostituendo queste espressioni nella relazione che fornisce la forza, troviamo:

deve essere un differenziale esatto; da cui l’altra espressione:

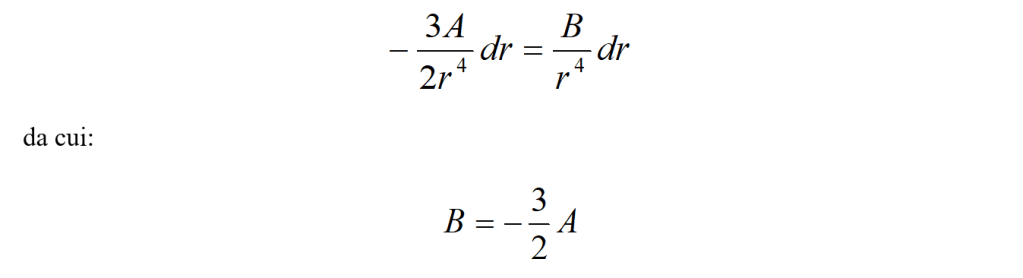
da cui:

Ed in definitiva abbiamo:

dove K è una costante dipendente dalle unità di misura scelte e può essere posta uguale a – 1. La relazione precedente è la formula di Ampère.
La debolezza del lavoro di Ampère risiede evidentemente nell’assunto che la forza sia diretta lungo la linea congiungente i due elementi di circuito. Infatti nell’analogo caso dell’azione fra due molecole magnetiche, sappiamo che la forza NON è diretta lungo la linea congiungente le due molecole. E’ quindi importante trovare la forma che assume F quando questa ipotesi risulta tolta di mezzo.
Per fare ciò osserviamo che possiamo aggiungere all’espressione precedente trovata per F qualche termine della forma:

si annulla quando integriamo lungo l’intero circuito s ; e che contiene linearmente ed omogeneamente ds e ds’, come già mostrato. Ai precedenti termini possiamo aggiungerne altri della forma:

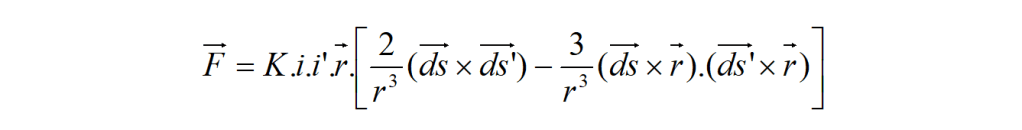
Tenendo conto che il principio di azione e reazione non può essere violato, sarà necessario combinare ciò con la precedente espressione al fine di ottenere un’espressione simmetria in ds e ds’; con ciò troviamo finalmente che il valore generale di F è dato dall’equazione:

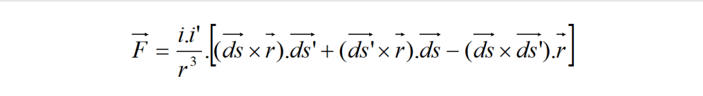
ottenendo così:

e l’espressione tra parentesi quadra è la componente vettoriale del quaternione (numero complesso a 4 componenti anziché 2 che generalizza allo spazio in quattro dimensioni il numero complesso ordinario) prodotto dei tre vettori ds, r e ds’.
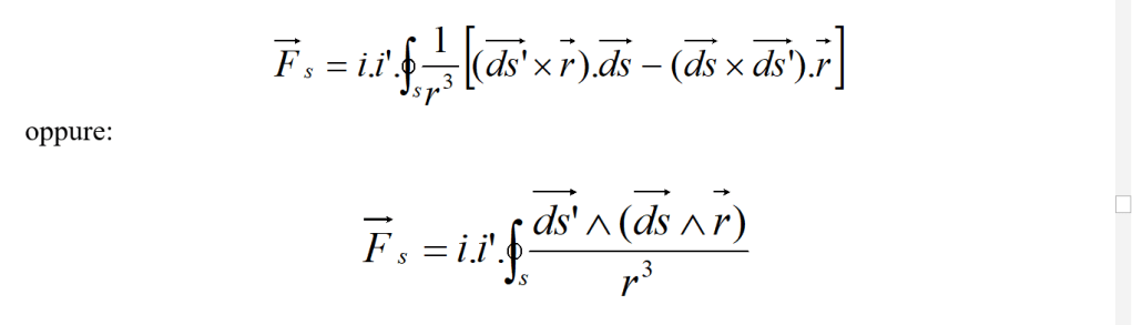
Da ognuno di questi valori di F possiamo trovare la forza ponderomotrice esercitata dall’intero circuito s sull’elemento ds’; troviamo, infatti, dall’ultima espressione:

oppure:

A questo punto si deve osservare che questo valore di B è proprio quello che avevano trovato Biot e Savart per l’intensità magnetica su ds’ dovuta alla corrente i circolante in s. Detto in linguaggio moderno, abbiamo che la forza ponderomotrice su un elemento di corrente ds’ in un campo magnetico B è la quantità:

Nel caso in cui volessimo trovare la forza ponderomotrice che l’intero circuito chiuso s esercita sull’altro circuito chiuso s’, troveremmo:

(osservo solo che tutte queste relazioni sono a meno di una costante moltiplicativa, costante che dipenderà dal sistema di unità di misura scelto).
In tutto ciò che abbiamo visto vi è una gran quantità di vettori e conseguentemente di angoli (vedi figura 15). Ampère si era fatto l’idea da una gran mole di esperienze, condotte con estrema precisione ed ingegnosità, che oggi chiameremmo somma vettoriale degli elementi di corrente, cioè della possibilità di rimpiazzare un elemento di corrente con le sue proiezioni sui tre assi ortogonali e quindi di considerare le forze che si esercitano tra queste componenti prese due a due. E nel programma di Ampère, che prevedeva una legge che andasse con l’inverso del quadrato della distanza, vi era il calcolo delle variazioni della forza al variare degli angoli con sui si presentavano disposti gli elementi di corrente medesimi. Nel portare avanti tali ricerche, Ampère credeva sinceramente di muoversi su un percorso newtoniano ma in realtà lo aveva egli stesso superato quando faceva dipendere le forze da angoli, cosa che avrebbe inorridito i newtoniani.
7 – TEOREMA DI AMPÈRE
(una via intermedia in termini di complessità)
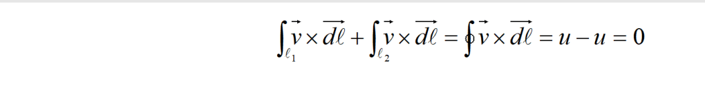
In questo paragrafo ci proponiamo di stabilire se esiste o meno un potenziale magnetico, se cioè il campo magnetico è conservativo, condizione per poter avere un potenziale. Ricordiamo che un campo è conservativo se il lavoro fatto per andare da un punto P1 ad un punto P2 del campo è indipendente dal cammino percorso o, che è lo stesso, se muovendosi lungo una linea chiusa all’interno del campo il lavoro fatto è nullo (quest’ultima condizione si può esprimere nel modo seguente: se l’integrale esteso ad una linea chiusa all’interno del campo è nullo). Quanto detto si può scrivere matematicamente nel modo seguente. Se v è il campo vettoriale in considerazione e P1 e P2 sono due punti situati in esso:


Se infine facciamo l’integrale lungo la linea chiusa che ci porta prima da P1 a P2 e quindi da P2 a P1, avremo:

Ebbene, se l’integrale circuitale ora scritto dà per risultato zero, allora il campo vettoriale v in considerazione è conservativo.
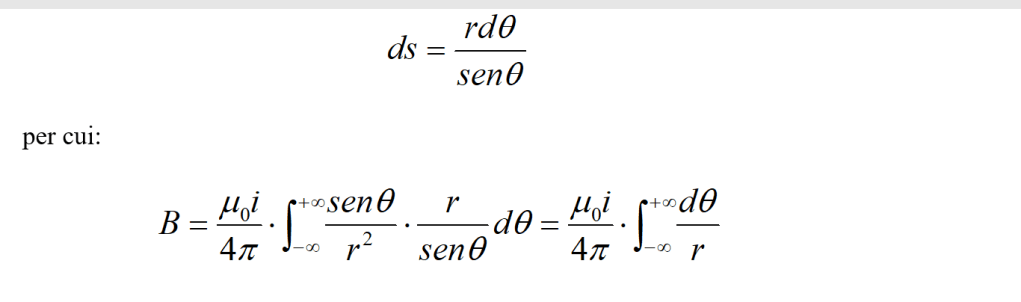
Riprendiamo ora la Legge di Biot e Savart (la 1 del paragrafo 4) che riporto di nuovo (con una figura simile, utile ad individuare le grandezze in gioco).

Il campo magnetico dB ha verso entrante nel disegno. Si noti che ds è perpendicolare a dB e che ds ha una sua componente dt parallela a dB che, come dB, ha verso entrante nel disegno.

La situazione di figura precedente vista da altra angolazione. B e dt sono tra loro paralleli e concordi.
La legge di Biot-Savart, da cui partire, è la seguente

dal disegno risulta:

dal disegno ricaviamo ancora:

osserviamo ancora che integrare da – π/2 a + π/2 equivale ad integrare da 0 a π/2 dopo aver moltiplicato per 2 l’intera espressione:

e ritroviamo ancora la legge di Biot e Savart.
Passiamo ora a calcolarci l’integrale prima lungo una linea ℓ1 (la linea rossa di figura fatta dai 4 tratti 1, 2, 3 e 4) chiusa nel campo ma non includente la corrente quindi lungo una linea ℓ2 chiusa (circuitazione). [Questa dimostrazione è tratta da:
http://www.fis.unical.it/Mat_didattico/falcone/fisica2cap10.pdf ]

Il percorso non si avvolge intorno al filo. I tratti 2 e 4 sono nella direzione radiale mentre i tratti 1 e 3 sono parti di circonferenze con raggio rispettivamente uguale a R1 e R3. Il prodotto scalare è nullo nei tratti 2 e 4, pertanto da essi non viene alcun contributo. Nei rimanenti tratti il campo B e lo spostamento infinitesimo ds sono paralleli o antiparalleli, per cui:

dove θ è l’angolo che sottende sia l’arco 1 che l’arco 2. Possiamo concludere dicendo che, per un percorso che non avvolga il filo, la circuitazione è nulla, almeno per un campo prodotto da un filo rettilineo indefinito.
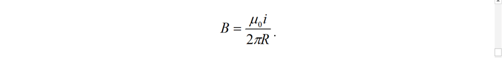
Consideriamo, ora, un circonferenza che giri intorno al filo.

Anche in tal caso, la circuitazione si calcola facilmente e si trova, essendo B e dl paralleli e concordi e B costante su una circonferenza con centro sul filo,

Sebbene abbiamo fatto riferimento a casi molto semplici, l’esperienza mostra che i due risultati valgono qualunque sia la forma del circuito percorso da corrente stazionaria che produce il campo e qualunque sia il percorso scelto per la circuitazione.
Più in generale, data una qualsiasi linea chiusa, la circuitazione lungo di essa del campo magnetico generato da un sistema comunque complesso di correnti è uguale alla somma algebrica delle correnti concatenate (diremo che un percorso è concatenato con un circuito se esso non può ridursi ad un punto) con la linea; ciascuna corrente essendo presa come positiva (negativa) se fluisce in verso concorde (discorde) con quello con cui avanza una vite che giri nel verso fissato sul percorso ed essendo contata tante volte quante volte la linea è con essa concatenata.
In definitiva se percorriamo una linea chiusa in un campo magnetico, concatenando la linea con la corrente stessa, il campo non è conservativo e non si può quindi definire un potenziale. Più in generale si conclude che il campo magnetico non è conservativo.
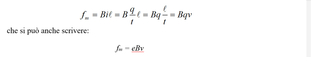
8 – FORZA DI LORENTZ
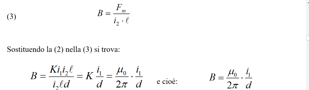
Un campo magnetico B esercita una forza Fm = Biℓ (si veda la 3 del paragrafo 4) su ogni tratto di filo di lunghezza ℓ percorso da una corrente i (con ℓ e B perpendicolari tra loro).

Poiché un elettrone in moto è una piccolissima corrente, il campo eserciterà su di esso una forza fm data da:

ma questa volta cambia il verso della corrente e quindi cambia il verso di fm:

[si osservi che Fm = n.fm dove n è il numero degli elettroni che costituiscono la corrente].
Più in generale quando ℓ e B non sono perpendicolari, si ha che la forza magnetica che si esercita su una carica q è data da:

ebbene, la fL è nota come forza di Lorentz.
In un tubo catodico si sfrutta la forza di Lorentz facendo agire simultaneamente campi elettrici e magnetici, perpendicolari tra loro, su un fascio di elettroni. Mediante un tubo catodico è possibile misurare il rapporto e/m tra carica e massa di un elettrone (misura fatta alla fine dell’Ottocento da J.J. Thomson).

Facciamo agire un campo B ed un campo E, perpendicolari tra loro, su un elettrone che si muove con velocità v:

Le forze elettrica e magnetica saranno quelle colorate in rosso nella figura.
Il fascio di elettroni può essere aggiustato operando su B ed E. Se, ad esempio, si opera in modo da rendere fe = fm risulta:

Se ora azzeriamo il campo elettrico, il fascio sarà deviato dal solo campo magnetico lungo una traiettoria circolare di raggio R misurabile direttamente sullo schermo. Infatti, una particella di massa m che sia sottoposta in ogni punto della sua traiettoria ad una forza costante e perpendicolare alla velocità ha solo accelerazione centripeta costante ed accelerazione tangenziale nulla. Quindi essa si muove di moto circolare uniforme. Il prodotto di massa per accelerazione centripeta deve dunque essere uguale alla forza magnetica:

ed al secondo membro abbiamo tutte grandezze misurabili.
[Televisore]
9 – MAGNETISMO NELLA MATERIA
Studiando i campi elettrici nella materia abbiamo trovato che il campo elettrico è influenzato dalla presenza di dipoli elettrici. Nel caso delle molecole polari, che hanno un momento dipolare elettrico permanente, i dipoli sono allineati dal campo elettrico; mentre nel caso delle molecole non-polari i dipoli elettrici sono indotti dal campo esterno. In entrambi i casi, i dipoli sono allineati con il campo elettrico esterno e l’allineamento tende a indebolire il campo esterno.
Effetti alquanto simili ma più complicati si verificano nel magnetismo. Gli atomi possiedono momenti magnetici dovuti al moto dei loro elettroni. Inoltre, ogni elettrone ha un momento magnetico intrinseco associato al suo spin. Il momento magnetico totale di un atomo dipende dalla disposizione degli elettroni nell’atomo stesso. A differenza della situazione che si verifica con i dipoli elettrici, l’allineamento dei dipoli magnetici con un campo magnetico esterno tende ad aumentare il campo. Si può vedere questa differenza confrontando le linee di E per un dipolo elettrico con le linee di B per un dipolo magnetico, per esempio per una piccola spira percorsa da corrente. Nella regione distante dai dipoli le linee sono identiche, ma nella regione all’interno del dipolo le linee di B e di E hanno versi opposti. Perciò, in una sostanza polarizzata elettricamente i dipoli creano un campo elettrico parallelo e contrario (antiparallelo) al loro vettore momento di dipolo, mentre in una sostanza polarizzata magneticamente i dipoli creano un campo magnetico parallelo e concorde rispetto ai vettori momento magnetico di dipolo.

Le sostanze possono essere classificate in tre categorie: paramagnetiche, diamagnetiche e ferromagnetiche. Quelle paramagnetiche e ferromagnetiche hanno molecole con momenti magnetici dipolari permanenti. Nel paramagnetismo, questi momenti non interagiscono fortemente fra loro e sono normalmente orientati in maniera casuale. In presenza di un campo magnetico esterno, i dipoli sono parzialmente allineati secondo l’orientazione del campo, aumentando così il campo stesso. Però, a temperature ordinarie e in campi magnetici esterni ordinari, solo una piccola frazione delle molecole si allinea con il campo esterno perché il moto termico tende a rendere casuale la loro orientazione. L’aumento del campo magnetico totale è perciò molto piccolo. Il ferromagnetismo è molto più complicato. A causa di una forte interazione fra dipoli magnetici vicini, può essere ottenuto un alto grado di allineamento con i campi magnetici esterni anche se essi sono deboli, e quindi un grande aumento del campo magnetico totale. Anche in assenza di un campo magnetico esterno, la sostanza ferromagnetica può contenere dipoli magnetici allineati, come nei magneti permanenti.
Il diamagnetismo è dovuto a un momento magnetico indotto con orientazione opposta a quella del campo esterno. I dipoli indotti indeboliscono perciò il campo magnetico risultante. Questo effetto si verifica in tutte le sostanze ma è molto debole e spesso mascherato dagli effetti paramagnetico o ferromagnetico se le singole molecole hanno momenti magnetici dipolari permanenti.
10 – PERMEABILITA’ MAGNETICA DI UN MEZZO
Se introduciamo all’interno di un solenoide percorso da corrente un pezzo di ferro questo si magnetizza.
Ciò significa che, in aggiunta al campo magnetico B0 prodotto dalla corrente i che circola nel solenoide, si aggiunge un campo di induzione M prodotto dalla magnetizzazione (polarizzazione magnetica) del materiale entro il quale il campo B0 è stato prodotto.
In prima approssimazione si può scrivere:
(1) Bm = µr.B0
ed occorre dire che nei materiali ferromagnetici µr non è costante.
Conviene allora separare esplicitamente il campo B0 dal campo prodotto dalla polarizzazione del mezzo:
(2) Bm = B0 + µ0.M
dove M è l’intensità di magnetizzazione.
Se M è proporzionale a B0, la (2) si può scrivere:

11 – PARAMAGNETISMO (μr > 1 μr ~ 1)
Il paramagnetismo si verifica nelle sostanze i cui atomi hanno momenti magnetici permanenti i quali interagiscono fra loro solo molto debolmente. In assenza di campo magnetico esterno, questi momenti magnetici sono orientati in maniera casuale. In presenza di un campo magnetico esterno, essi tendono ad allinearsi con il campo, ma questa tendenza è contrastata dalla tendenza a orientarsi in maniera casuale per effetto del moto termico. La frazione di momenti che si allinea con il campo dipende dal modulo del campo e dalla temperatura. A temperature molto basse e in campi esterni molto alti, quasi tutti i momenti sono allineati con il campo. In questa situazione il contributo dato dal materiale al campo magnetico totale è molto grande. Anche con i più forti campi magnetici ottenibili in laboratorio, la temperatura deve essere di qualche grado assoluto soltanto perché si ottenga un alto grado di allineamento con il campo esterno. A temperature superiori e in campi esterni più deboli solo una piccola frazione dei momenti magnetici è allineata con il campo e il contributo della sostanza al campo magnetico totale è molto piccolo. Si può formulare in maniera più quantitativa questo comportamento confrontando l’energia di un momento magnetico in un campo magnetico esterno con l’energia termica, che è dell’ordine di kT, dove k è la costante di Boltzmann e T è la temperatura assoluta. L’energia potenziale di un momento magnetico in un campo magnetico esterno è minima quando il momento magnetico ha la stessa orientazione del campo ed è massima quando il momento magnetico ha un’orientazione opposta a quella del campo.
A una temperatura normale di T = 300 °K, l’energia termica tipica kT è 4,14 x 10-21 J, circa 200 volte maggiore della differenza di energia potenziale quando il dipolo ha la stessa orientazione del campo o l’orientazione opposta. Perciò, anche in un forte campo di un tesla (l T) la maggior parte dei momenti magnetici sarà orientata sostanzialmente in maniera casuale per effetto dei moti termici.
In queste sostanze la magnetizzazione è inversamente proporzionale alla temperatura assoluta. Il fenomeno fu scoperto per via sperimentale da Pierre Curie ed è noto come legge di Curie.

In definitiva, sottoponendo una sostanza paramagnetica all’azione di un campo esterno B0 nella sostanza si produce un piccolo campo magnetico addizionale Bm :
B = B0 + Bm
μr = 1 + χ = 1 + 10-4 ~ 1 à B ~ Bm
Inoltre
Bm = Bm(T)
ed a basse temperature queste sostanze si comportano come le ferromagnetiche.
Alcune sostanze paramagnetiche:
alluminio μr = 1,000023
platino μr = 1,00036
caucciù μr = 1,000014
aria μr = 1,00000003
12 – DIAMAGNETISMO (μr < 1 μr ~ 1)
Il diamagnetismo fu scoperto da Faraday nel 1846 quando trovò che un pezzo di bismuto è respinto da ciascun polo di un magnete, la qual cosa indica che il campo magnetico esterno del magnete induce un dipolo magnetico nel bismuto con orientazione opposta a quella del campo. Si può comprendere qualitativamente questo effetto per mezzo della legge di Lenz (vedi oltre) ed introducendo il concetto del vettore magnetone di Bohr (μ) o momento magnetico orbitale dell’elettrone ed il concetto di spin (s)dell’elettrone. Un elettrone che ruota intorno ad un nucleo equivale, agli effetti magnetici, ad una corrente di verso opposto al moto della particella che percorre una spira uguale alla traiettoria descritta dall’elettrone (Lenz). L’elettrone, mentre ruota intorno al nucleo, ruota anche su se stesso (spin), e questa rotazione comporta un ulteriore contributo al magnetismo atomico chiamato momento magnetico di spin (μs).


_____________________________________
(Esercizio da svolgere dopo aver studiato la legge di Lenz) Nella figura seguente due cariche positive si muovono su orbite circolari con la stessa velocità ma in versi opposti. I loro momenti magnetici hanno orientazioni opposte e si elidono (È più semplice considerare cariche positive anche se, come ora visto, sono gli elettroni carichi negativamente che forniscono i momenti magnetici nella materia). Si consideri ora ciò che accade quando un campo magnetico esterno B è stabilito nella direzione perpendicolare al piano del foglio e nel verso entrante in esso. Secondo la legge di Lenz, verranno indotte correnti che si oppongono alla variazione del flusso di induzione magnetica. Se si suppone che il raggio della circonferenza non vari, la carica a sinistra verrà accelerata per aumentare il suo flusso di induzione magnetica uscente dal foglio e la carica a destra verrà rallentata per diminuire il suo flusso di induzione magnetica entrante nel foglio. In ogni caso, la variazione del momento magnetico delle cariche avrà un’orientazione uscente dal piano del foglio, opposta a quella del campo esterno.

_______________________________________
Poiché il momento magnetico indotto ha orientazione opposta a quella del campo magnetico esterno, sia che il momento iniziale abbia la stessa orientazione del campo sia che abbia l’orientazione opposta, ogni elettrone dell’atomo apporta un contributo al momento magnetico indotto dell’atomo. Il vettore magnetizzazione M è il prodotto del numero di elettroni riferito all’unità di volume per il momento magnetico indotto di ciascun elettrone. Se n è il numero di atomi per unità di volume e Z è il numero atomico, il numero di elettroni per unità di volume è nZ.
Gli atomi con struttura elettronica a strati chiusi hanno momento angolare nullo e perciò non hanno momento magnetico dipolare permanente: sono diamagnetici. Gli atomi che hanno un momento magnetico dipolare permanente (e non sono ferro magnetici) sono o paramagnetici o diamagnetici, secondo qual è l’effetto più forte. Poiché l’effetto diamagnetico non dipende dalla temperatura e l’allineamento dei momenti permanenti diminuisce con la temperatura sia per le sostanze paramagnetiche sia per quelle ferromagnetiche, tutte le sostanze sono diamagnetiche a temperature abbastanza alte.

Si ha qui:
B = B0 – Bm
μr < 1 μr ~ 1 à B ~ B0
Bm ≠ Bm(T)
μr ≠ μr (T)
Alcune sostanze diamagnetiche:
bismuto μr = 0,99982
rame μr = 0,99999
argento μr = 0,999981
acqua μr = 0,9999997
13 – FERROMAGNETISMO. ISTERESI
Il ferromagnetismo si verifica nel ferro, nel cobalto e nel nichel puri, nelle leghe di questi metalli fra loro e con alcuni altri elementi e in alcune altre sostanze (gadolinio, disprosio e alcuni composti). In queste sostanze un piccolo campo magnetico esterno può produrre un elevatissimo grado di allineamento dei momenti magnetici di dipolo atomici, il quale, in alcuni casi, può persistere anche quando non c’è più il campo magnetizzante esterno. Ciò avviene perché i momenti magnetici di dipolo degli atomi di queste sostanze esercitano intense forze sugli atomi vicini e quindi, su una piccola regione dello spazio, i momenti sono allineati fra loro anche in assenza di campo esterno. Queste forze di dipolo sono previste per queste sostanze dalla meccanica quantistica, e non possono essere spiegate con la fisica classica. A temperature superiori alla temperatura critica, chiamata temperatura (o punto) di Curie, queste forze scompaiono e le sostanze ferromagnetiche diventano paramagnetiche.
La regione dello spazio nella quale i momenti magnetici di dipolo sono allineati è chiamata dominio ferromagnetico (o dominio di Weiss) e ha di solito dimensioni microscopiche. All’interno del dominio, tutti i momenti magnetici sono allineati, ma l’orientazione di allineamento varia da dominio a dominio; di conseguenza, il momento magnetico totale di un pezzo macroscopico di sostanza è nullo nello stato normale. La figura illustra questa situazione. Quando è applicato un campo magnetico esterno, le pareti che limitano i domini (chiamate pareti di Bloch) si spostano e l’orientazione di allineamento all’interno di un dominio può variare producendo un momento magnetico risultante avente la stessa orientazione del campo applicato. Poiché il grado di allineamento è elevato anche per un piccolo campo esterno, il campo magnetico prodotto nella sostanza dai dipoli è spesso molto più forte del campo esterno.


I domini di Weiss sono visibili al microscopio elettronico. Sono 106 per mm3 ed ogni dominio contiene 1015 atomi

Si immagini di magnetizzare una lunga asta di ferro all’interno di un solenoide aumentando gradualmente l’intensità della corrente i nell’avvolgimento del solenoide. Si supponga che l’asta e il solenoide siano tanto lunghi quanto basta per poter trascurare gli effetti di estremità. L’intensità del campo magnetico H nel centro del solenoide è allora legata all’intensità della corrente dalla semplice relazione
(1)

dove M è il vettore magnetizzazione. Per il ferro e le altre sostanze ferromagnetiche, la magnetizzazione M è spesso molto maggiore dell’intensità di campo magnetico H secondo un fattore dell’ordine di parecchie migliaia o più.
La figura seguente è un diagramma di Bi (campo interno) in funzione di Be (campo esterno).


Ferro Acciaio

La curva più in alto è quella per la magnetizzazione di sostanze ferromagnetiche. Quella intermedia è per le paramagnetiche. L’ultima è per le diamagnetiche.

Quando Be è gradualmente aumentato a partire dal valore zero, Bi cresce a partire da zero lungo la parte della curva compresa fra l’origine O e il punto P. L’appiattimento di questa curva vicino al punto P indica che il modulo M del vettore magnetizzazione tende al suo valore di saturazione M, quando tutti i dipoli atomici sono allineati. Il campo esterno necessario per produrre la saturazione in un dato materiale ferro magnetico è chiamato campo di saturazione Be,s. Un ulteriore aumento di Be al disopra di Be,s fa aumentare Bi solo attraverso il termine μ0H nell’equazione (2). Quando Be è fatto diminuire gradualmente a partire dal punto P, non si verifica una corrispondente diminuzione della magnetizzazione. Lo spostamento dei domini in una sostanza ferromagnetica non è completamente reversibile e una certa magnetizzazione permane anche quando Be è annullato, come è indicato nella figura. Questo effetto è chiamato isteresi (da un termine greco che significa «memoria»). Il valore dell’induzione magnetica in un punto r quando H è zero è chiamato induzione residua Br. Se ora si inverte la corrente nel solenoide, invertendo così l’orientazione di Be, l’induzione magnetica Bi diminuisce gradualmente annullandosi nel punto c. Il valore di Be necessario per annullare Bi è chiamato campo coercitivo Be,c. La parte rimanente del ciclo di isteresi si ottiene aumentando ulteriormente l’intensità della corrente nel verso opposto finché non è raggiunto il punto Q, corrispondente alla saturazione nel verso opposto, diminuendo l’intensità della corrente fino ad annullarla nel punto R e aumentando di nuovo l’intensità della corrente per produrre un’intensità di campo magnetico Be nell’orientazione iniziale.
L’area racchiusa dal ciclo di isteresi rappresenta la perdita di energia dovuta alla irreversibilità del processo. L’energia si manifesta nella sostanza sotto forma di calore.
Se l’effetto di isteresi è piccolo, e quindi l’area è piccola, la qual cosa indica che la perdita di energia è piccola, la sostanza è detta materiale magnetico dolce (un esempio è il ferro dolce). In tali materiali l’induzione residua Br e il campo coercitivo Be,c sono quasi nulli e la perdita di energia riferita al ciclo è piccola. I materiali magnetici dolci sono usati per i nuclei dei trasformatori, al fine di aumentare l’induzione Bi senza provocare una grande perdita di energia quando il campo subisce molte alternanze in ogni secondo.
D’altra parte, è desiderabile avere una grande induzione residua Br e un grande campo coercitivo Be,c in un magnete permanente (il grande campo coercitivo è importante perché la magnetizzazione non sia distrutta da piccoli campi parassiti). I materiali magnetici duri sono usati per i magneti permanenti.

Con le sostanze ferromagnetiche si ha:
Bm = Bm(T)
μr >> 1
Per T > Tc le sostanze in considerazione perdono ogni caratteristica ferromagnetica e diventano paramagnetiche.
Alcune sostanze ferromagnetiche:
ferro 5 000 < μr < 10 000
nichel μr = 1 100
cobalto μr = 175
permalloy μr = 100 000
supermalloy μr = 1 000 000
_______________________
Curiosità:
- il ferro, il nickel e il cobalto, una volta che i loro domini si sono allineati con B, risultano magnetizzati in permanenza. Ciò si usa per la datazione delle rocce vulcaniche: la lava che si raffredda dopo un’eruzione, scendendo al di sotto del punto di Curie, solidifica in roccia e acquisisce una magnetizzazione che ha la stessa direzione del campo magnetico terrestre in cui era immersa al momento del raffreddamento, mantenendola per sempre. Conoscendo l’orientamento del campo magnetico terrestre nei periodi passati è possibile datare l’epoca dell’eruzione.
- Le proprietà di memoria delle sostanze ferromagnetiche trovano impiego in un’estesa varietà di memorie magnetiche, comprendenti nastri magnetici, dischetti, dischi magnetici e schede magnetiche. Il tipo più semplice di memoria magnetica è costituito da un anellino di materiale ferromagnetico, attraversato da un filo conduttore, che un breve impulso di corrente può magnetizzare in un verso a cui associamo la cifra 1, o nell’altro corrispondente allo 0: così l’anellino può memorizzare una cifra binaria o bit. Per memorizzare grandi quantità di informazioni, si dovrebbe usare un numero enorme di anellini: per questo si preferisce registrare le informazioni in piccole aree della superficie di dischi magnetici: ogni elemento di superficie si comporta come un anellino in cui si può scrivere un’informazione binaria elementare.




Elea 9003 Olivetti

Mario Tchou
Categorie:Fisica
Rispondi