Ingegneria Meccanica – Roma Tre
AA/2011-2012
APPUNTI PER IL CORSO
(Ripresi integralmente e da me assemblati dai testi di bibliografia)
Roberto Renzetti
Bibliografia: Paul J. Tipler, Gene Mosca – Corso di Fisica – Zanichelli, 2009
Jay Orear – Fundamental Physics – John Wiley & Sons Inc, 1967
F.W. Sears, M.W. Zemansky – University Physics – Addison-Wesley Publishing Company, 1964
M. Alonso, E.J. Finn – Fundamental University Physics – Addison-Wesley Publishing Company, 1969
R. Renzetti – Vari appunti miei raccolti negli anni e pubblicati nel mio sito http://www.fisicamente.blog
R. Renzetti – Vari appunti miei raccolti negli anni e pubblicati nel mio sito http://www.fisicamente.blog
PARTE TREDICESIMA
E PARTE QUATTORDICESIMA
ELETTROMAGNETISMO
E CORRENTE ALTERNATA
14 – INDUZIONE ELETTROMAGNETICA. CORRENTI INDOTTE
FATTI SPERIMENTALI



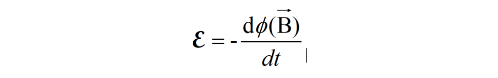
15 – FORZA ELETTROMOTRICE INDOTTA: LEGGE DI FARADAY-NEUMANN-LENZ








16 – CORRENTI DI FOUCAULT




Pendolo di Waltenhofen

17 – AUTOINDUZIONE
E’ il fenomeno per cui ogni variazione di intensità di corrente in un circuito genera nel circuito stesso una f.e.m. indotta che fa circolare nel circuito una corrente detta di autoinduzione. La corrente di autoinduzione è anche detta extracorrente.

18 – EXTRACORRENTE DI CHIUSURA E DI APERTURA
Da questo momento, salvo avviso contrario, discuteremo di fenomeni transitori che hanno luogo quando la corrente è fornita da un generatore continuo, come una pila, un accumulatore, una batteria, …. Una tale corrente si chiama in breve corrente continua (cc).
Gli elementi passivi, quelli cioè che dissipano energia, che abbiamo fino ad ora incontrato sono la resistenza e la capacità.






Occorre ora aggiungere l’induttanza (o bobina o piccolo solenoide) che può essere inserita opportunamente in un circuito.

Una induttanza
L’induttanza, che si indica con L, ha graficamente la seguente rappresentazione:

In definitiva, come elementi passivi in un circuito elettrico dovremo considerare la resistenza R, la capacità C e l’induttanza L:



Questi tre elementi potranno trovarsi in un circuito elettrico in ogni possibile combinazione serie e parallelo, mista a piacere.
Dico subito alcune cose elementari. Nel caso di corrente continua (cc) in regime stazionario, non transitorio dunque, gli elementi capacità ed induttanza giocano un ruolo praticamente nullo (sistemato un condensatore in un circuito alimentato da una pila, quando si è caricato il condensatore è tutto finito, e la corrente smette di circolare nel circuito; analogamente con una induttanza, quando si è stabilizzata la corrente, l’induttanza funziona né più né meno come fosse una resistenza). Ma noi ci occupiamo ora di regime transitorio, quello cioè che interessa il tempo necessario alla corrente fornita da una pila o altro alimentatore in cc per stabilizzarsi nel circuito (in genere si tratta di tempi brevissimi) dopo aver chiuso l’interruttore (quando abbiamo acceso l’interruttore) e il tempo necessario alla corrente per ritirarsi dal circuito (quando abbiamo spento l’interruttore). In tali situazioni transitorie (di chiusura del circuito nel primo caso e di apertura del circuito nel secondo caso) si generano dei fenomeni elettromagnetici che occorre studiare. Si tratta cioè di studiare quelle che vanno sotto il nome di extracorrenti di chiusura ed extracorrenti di apertura in differenti situazioni di connessione nel circuito degli elementi passivi di cui ho appena detto. I casi sono svariatissimi, mi limito ad alcuni.
EXTRACORRENTE DI CHIUSURA: CIRCUITO PURAMENTE RESISTIVO
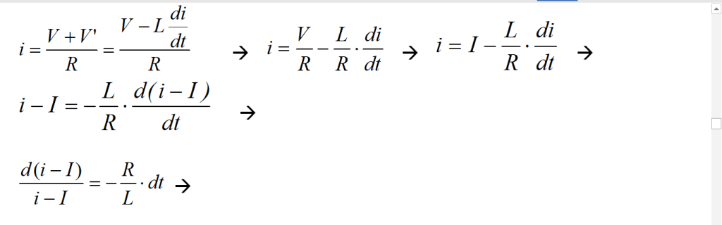
Sia dato il circuito di figura in cui abbiamo una pila, una resistenza ed un interruttore T. Alla chiusura di T (trattino rosso di figura) inizierà a circolare una corrente che non è immediatamente la I di figura ma una i (t) da determinarsi che, crescendo, andrà al suo valore I dopo un dato tempo.

Questo fenomeno deriva dall’autoinduzione. Un circuito elettrico si chiude sempre su se stesso costituendo nel suo insieme una spira. Quando in una spira circola corrente, per la legge di Lenz, si genera una corrente contraria che tenta di impedire l’instaurarsi di quella proveniente dalla pila. Vi sarà quindi un certo tempo in cui la corrente di autoinduzione i ostacolerà la corrente I. Vediamo nei dettagli come vanno le cose.
Un circuito in cui è collegata una resistenza R ed alimentato da una pila con differenza di potenziale V fornisce un valore massimo di corrente I dato dalla legge di Ohm:

cosicché il valore di i sarà dato da:


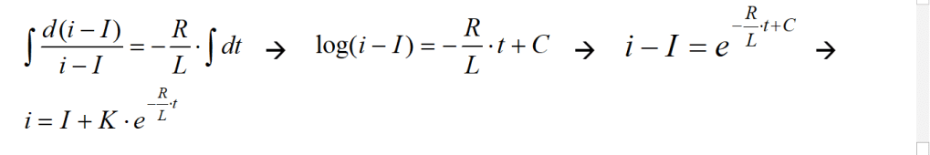
Osservato che per t = 0 si ha i = 0, risulta:
0 = I + K à K = – I
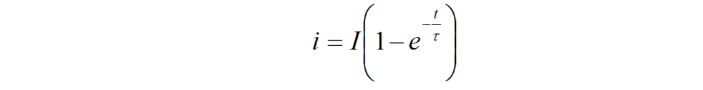
Sostituendo si ha:

Sostituendo questo valore nella relazione precedente si ha:

Questa relazione ha il seguente grafico:

EXTRACORRENTE DI APERTURA: CIRCUITO PURAMENTE RESISTIVO
Dobbiamo ora considerare lo stesso circuito di figura precedente in cui sta circolando la corrente I. Se apriamo l’interruttore, togliamo cioè il contatto rosso di figura precedente, la corrente I non andrà immediatamente al valore zero, ma impiegherà un certo tempo. All’apertura di T si avrà infatti una forte variazione del flusso di B concatenato con il circuito che provocherà una extracorrente, questa volta di apertura, che per la legge di Lenz circolerà in verso opposto alla I impedendo che la I vada a zero.

Dal punto di vista formale si parte da una equazione uguale alla precedente:


che ha per grafico:

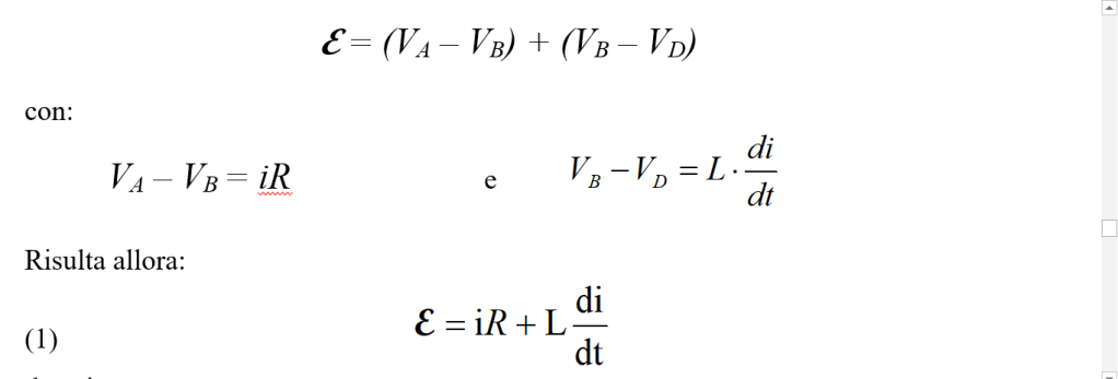
EXTRACORRENTE DI CHIUSURA: CIRCUITO CON RESISTENZA ED INDUTTANZA IN SERIE (R,L)
Rendiamo più evidente il fenomeno dell’extracorrente inserendo nel circuito una induttanza in serie. Come giù visto nel caso del circuito puramente resistivo, alla chiusura di T (trattino rosso di figura) inizierà a circolare una corrente che non è immediatamente la I di figura ma una i (t) da determinarsi che, crescendo, andrà al suo valore I dopo un dato tempo.

Nelle condizioni dette, tra i punti A e D del circuito si avrà una f.e.m. E data da:

da cui:



Quindi la costante di tempo τL rappresenta il tempo necessario affinché la corrente nel circuito raggiunga un valore pari al 63 % del valore finale di equilibrio I. Poiché la differenza di potenziale VA – VB ai capi della resistenza è proporzionale alla corrente i, la dipendenza dal tempo della corrente in aumento ha la stesso andamento di VA – VB.
La rappresentazione grafica della (3) è:

EXTRACORRENTE DI APERTURA: CIRCUITO CON RESISTENZA ED INDUTTANZA IN SERIE (R,L)
Dobbiamo ora considerare lo stesso circuito di figura precedente in cui sta circolando la corrente I. Se apriamo l’interruttore, togliamo cioè il contatto rosso di figura precedente, la corrente I non andrà immediatamente al valore zero, ma impiegherà un certo tempo. All’apertura di T si avrà infatti una forte variazione del flusso di B concatenato con il circuito che provocherà una extracorrente, questa volta di apertura, che per la legge di Lenz circolerà in verso opposto alla I impedendo che la I vada a zero.

La situazione è trattabile esattamente allo stesso modo di quanto fatto con l’unica considerazione che, il tasto T aperto, corrisponde a staccare la batteria dal circuito staccare ed a rendere quindi la E della (1) uguale a zero. Facciamo questa operazione ed eseguiamo i calcoli:


EXTRACORRENTI. CONSIDERAZIONI ENERGETICHE: ENERGIA INTRINSECA
Serviamoci ora di quanto discusso a proposito della extracorrente di apertura nel caso di resistenza ed induttanza in serie, per fare delle considerazioni energetiche.
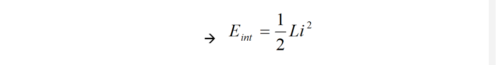
In situazione di regime la potenza erogata dalla pila W = E . I sarà uguale a quella dissipata per effetto Joule:


e da questa espressione si vede che la potenza erogata dalla pila è maggiore di quella i2R che va in calore nel circuito se dovessimo considerare solo un circuito con resistenza R. Quanto vale e dove va a finire questa energia in più ? Sembra evidente che essa debba essere pensata come immagazzinata dall’induttanza L sotto forma di energia magnetica chiamata energia intrinseca della corrente.
Vediamo quanto vale tenendo conto che, da quanto ora detto, la parte di energia E in più di cui discutiamo deve riguardare il secondo termine della (2):



avendo indicato con Eint l’energia intrinseca. Questo è il valore dell’energia intrinseca totale immagazzinata in una induttanza L percorsa da una corrente i (risultato del resto già trovato per altra via, nella sezione precedente).
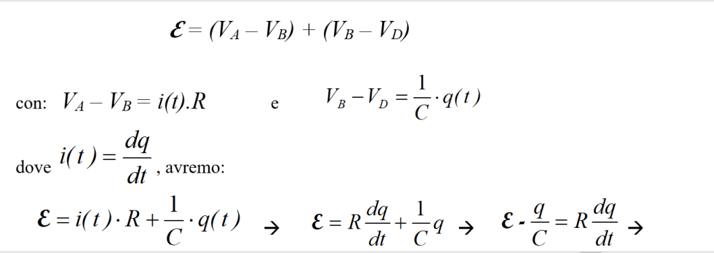
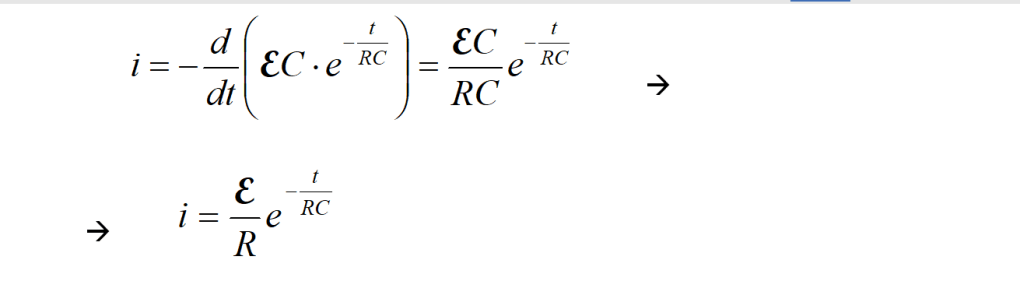
CIRCUITO CON RESISTENZA E CAPACITA’ IN SERIE (R,C). CARICA DI UN CONDENSATORE
Sia dato il circuito di figura seguente:

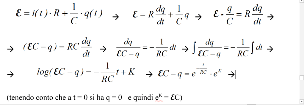
Quando T viene chiuso (trattino rosso di figura) delle cariche verranno inviate dal generatore V nel circuito. Supponiamo sia q = q(t) la carica che ha attraversato una sezione del conduttore all’istante t. Poiché è:



espressione che ha per grafico:


che ha per grafico:

e ciò vuol dire che, quando si è caricato il condensatore, nel circuito non circola più corrente.
CIRCUITO CON RESISTENZA E CAPACITA’ IN SERIE (R,C). SCARICA DI UN CONDENSATORE
Quanto visto riguarda la carica di un condensatore attraverso la resistenza R. Se invece cortocircuitiamo la pila di figura, il condensatore C si scaricherà attraverso la resistenza R:




Gli andamenti della scarica e della corrente in funzione del tempo, ambedue esponenziali decrescenti, sono riportati nella figura seguente:

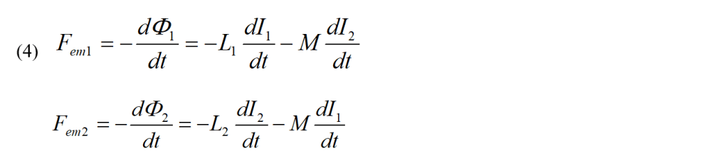
MUTUA INDUZIONE
Due circuiti vicini e alimentati in cc, nella fase transitoria, per la legge di Faraday-Neumann-Lenz, inducono l’uno sull’altro una corrente. E’ anche possibile non considerare la fase transitoria se si dispone di un variatore di tensione (una resistenza variabile), nei due circuiti. Il flusso d’induzione magnetica concatenato con un circuito può essere messo in relazione con l’intensità della corrente che fluisce in quel circuito e con le intensità delle correnti che fluiscono in altri circuiti vicini. Consideriamo la figura seguente in cui vi sono due induttanze vicine, la prima, con un numero di spire N1, è alimentata da una tensione V1 e percorsa da una corrente I1, la seconda, con un numero di spire N2, è alimentata da una tensione V2 e percorsa da una corrente I2.

L’induzione magnetica in un certo punto situato all’interno del circuito 2 è costituita da una parte dovuta a I1 e da una parte dovuta a I2. Queste induzioni magnetiche sono direttamente proporzionali alle intensità delle correnti che le producono e potrebbero, in teoria, essere calcolate per mezzo della legge di Biot e Savart. Perciò, si può esprimere il flusso di induzione magnetica Φ(B) = Φ2 concatenato con il circuito 2 come somma di due parti; una parte è direttamente proporzionale alla corrente I1 e l’altra alla corrente I2:
(1) Φ2 = L2I2 + M12I1
dove L2 ed M12 sono costanti. La costante L2, chiamata induttanza o coefficiente di autoinduzione del circuito 2, dipende dalla configurazione geometrica del circuito. La costante M12, chiamata induttanza mutua o coefficiente di mutua induzione dei due circuiti, dipende dalla configurazione geometrica di entrambi i circuiti. In particolare si può vedere che, se i circuiti sono molto distanti l’uno dall’altro, il flusso di induzione magnetica concatenato con il circuito 2 e dovuto alla corrente Il sarà piccolo e l’induttanza mutua sarà piccola. Un’equazione simile all’equazione precedente può essere scritta per il flusso di induzione magnetica concatenato con il circuito 1:
(2) Φ1 = L1I1 + M21I2
L’autoinduttanza L1 dipende solo dalla geometria del circuito 1, mentre l’induttanza mutua M21 dipende dalla configurazione di entrambi i circuiti. Sebbene non sia evidente, si può dimostrare che in generale queste due induttanze mutue sono uguali:
(3) M12 = M21
e vale anche l’identità:

Quando i circuiti sono fissi e solo le intensità delle correnti variano, le loro f.e.m. indotte sono, per la legge di Faraday-Neumann-Lenz:

L’unità SI di induttanza è l’henry (H).
La mutua induzione può essere discussa anche con i circuiti di figura seguente:

PARTE QUATTORDICESIMA
CORRENTE ALTERNATA









CIRCUITO PURAMENTE RESISTIVO

– Sostituendo quest’ultimo valore nell’espressione che ci fornisce E, abbiamo:

In tal caso (circuito puramente resistivo) tensione e corrente sono in fase:

nella figura (b) il tratto rosso è il grafico della tensione e quello verde è della corrente.
CIRCUITO PURAMENTE INDUTTIVO

Premesso che in un circuito qualunque occorre sempre considerare la resistenza dei conduttori che lo costituiscono, esistente anche se non presente simbolicamente, si può parlare di circuito puramente induttivo se gli effetti dell’induttanza sopravanzano di molto quelli resistivi. Nel caso in discussione, occorre considerare oltre alla f.e.m. che alimenta il

Siamo arrivati a un’equazione differenziale che, al nostro livello, non sappiamo risolvere. Possiamo però ricorrere alla premessa, al fatto cioè che la resistenza è trascurabile rispetto agli effetti di L. Quindi, ponendo R = 0, la precedente relazione diventa:

scritta ci dice che la corrente i è in ritardo di fase di π/2 (o, che è lo stesso, di T/4) rispetto alla tensione E:

Calcoliamoci ora le dimensioni di ωL.

sono, come dovevamo aspettarci, le dimensioni di una resistenza.
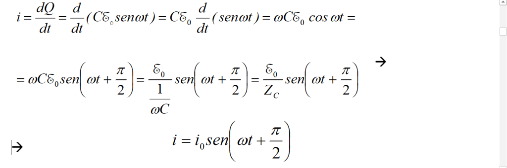
CIRCUITO PURAMENTE CAPACITIVO
Anche qui valgono le considerazioni sulla resistenza, fatte nel caso precedente. Considereremo quindi R = 0 (ricordo che in cc il condensatore non fa passare corrente e si comporta quindi come se R = ∞) ed E = E0 sen ωt.

In questo caso, il valore istantaneo della corrente i è dato da (ricordiamo la relazione che lega carica a tensione in un condensatore Q = CV che nel nostro caso è Q = CE = CE0 senωt):

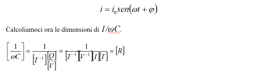
avendo chiamato 1/ωC = ZC la reattanza capacitiva ed i0 = E0/ZC. L’ultima relazione scritta ci dice che la corrente i è in anticipo di fase di π/2 (o, che è lo stesso, di T/4) rispetto alla tensione E:

Nel caso in cui si considerasse un valore di R ≠ 0, l’ultima relazione diventerebbe:

anche qui sono, come dovevamo aspettarci, le dimensioni di una resistenza.
VALORI EFFICACI DELL’INTENSITA’ E DELLA TENSIONE ALTERNATA
Quanto abbiamo trovato fino ad ora ci permette di conoscere soltanto il valore istantaneo della corrente (e della tensione) nei vari casi. Se si volesse calcolare il valore medio im che l’intensità di corrente assume in un periodo T troveremmo naturalmente im = 0 in quanto per ogni valore i = it in un semiperiodo si ha sempre un valore i = – it nell’altro semiperiodo. D’altra parte la corrente alternata produce lavoro. L’effetto Joule, ad esempio, si manifesta sia in corrente continua sia in quella alternata. Così si è introdotto, per caratterizzare la corrente (e la tensione) alternata, un particolare valore medio detto valore efficace.
Il valore efficace dell’intensità di una corrente alternata è l’intensità che dovrebbe avere una corrente continua per produrre, nelle stesse condizioni di resistenza e nello stesso tempo, una uguale quantità di calore.
Il semplice valore medio di una funzione periodica, infatti e come accennato, non ci risolve il problema. Vediamo analiticamente il perché. Per trovare il valor medio f(x)med di una funzione f(x), in un intervallo a,b, possiamo usare il teorema del valor medio che, per funzioni integrabili in tale intervallo, ci fornisce:

Graficamente abbiamo:

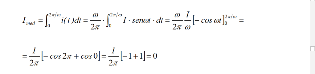
e risulta che l’intensità media Imed è circa 2/3 volte (poiché 2/π ~ 2/3) l’intensità massima I e corrisponde all’area del rettangolo di figura. Se ci calcoliamo Imed per un periodo completo, da 0 a 2π/ω, troviamo:

come ci si doveva aspettare perché l’area positiva del quadrato cui abbiamo fatto riferimento è esattamente uguale all’area negativa del medesimo quadrato, area situata nel secondo semiperiodo. Poiché, come già detto, una corrente alternata produce lavoro, occorrerà trovare il suo valore che possa essere considerato alla stregua di un valore di cc, tale valore si chiama valore efficace.
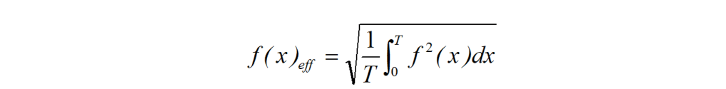
Il valore efficace che una funzione periodica assume in un periodo completo T è dato da:

cioè, il valore efficace di f (x) è la radice quadrata del valor medio che f2 (x) assume durante un periodo.
Ma noi non utilizzeremo qui la relazione precedente, preferendo arrivare al valore efficace attraverso considerazioni fisiche.
Definiamo valore efficace di una corrente alternata ieff un valore dell’intensità di tale corrente che produca la stessa quantità di calore di una corrente continua nella stessa resistenza e nello stesso tempo.
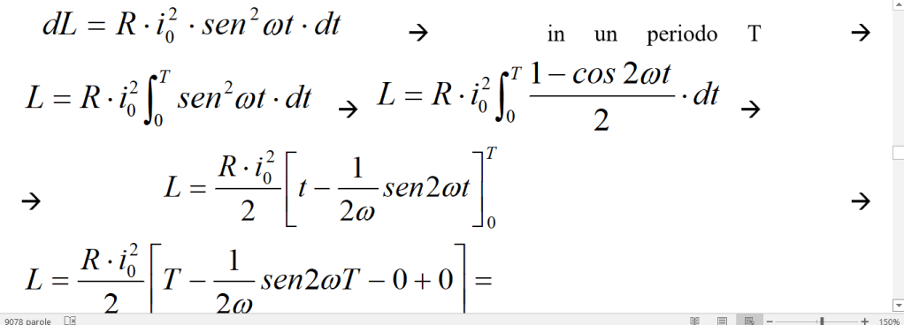
Infatti, in una resistenza R percorsa per un certo intervallo di tempo da una corrente alternata, si ha lo sviluppo di una certa quantità calore Q e quindi si fa un lavoro L. Per avere lo sviluppo della stessa quantità di calore con una corrente continua che attraversa la stessa resistenza in un intervallo di tempo uguale, l’intensità della corrente continua deve avere un valore ben definito, detto valore efficace della corrente alternata e indicato con ieff . Possiamo perciò affermare che la quantità di calore che si sviluppa in una resistenza R percorsa durante un periodo T da una corrente alternata è:

valida per una corrente continua in quanto l’intensità di una corrente alternata può ritenersi costante in un intervallo infinitesimo di tempo.
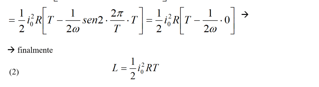
Per ottenere l’energia L, dissipata in un periodo T, è necessario sostituire nella (2) il valore di i(t) il suo valore. Si ha perciò:


Per definizione la (2) deve essere uguale alla (1):

Analogamente si trova:

La rete di distribuzione italiana fornisce generalmente agli utenti tensioni efficaci di 220 V per gli usi domestici e di 380 V per la forza motrice.
Un voltmetro per c.a. inserito a circuito aperto nei due capi di una presa di corrente fornisce, a seconda dei casi, questi due valori.
Avverto però che per queste tensioni non può parlarsi di f.e.m. efficaci (che come sappiamo si misura a circuito aperto) almeno nel significato già esposto per le correnti continue). Infatti non è assolutamente possibile, per le reti di distribuzione, valutare la resistenza interna del generatore di f.e.m. e perciò la legge di Pouillet non è applicabile. Si potrà introdurre la f.e.m. alternata istantanea o quella efficace solo per generatori autonomi ai quali si applica direttamente un carico. Se, dopo aver inserito un carico di qualsiasi tipo alla presa di corrente della rete, si torna a misurare la tensione efficace Veff ai capi della presa, si noterà che il valore letto sul voltmetro si discosta solo lievemente da quello precedente letto a circuito aperto.
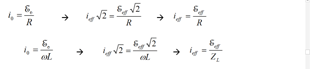
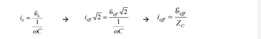
LEGGE DI OHM
Le relazioni fra i valori di i ed E di una corrente alternata si semplificano notevolmente quando si introducono i valori efficaci che sono quelli dati dagli strumenti di misura e che da soli bastano a caratterizzare un circuito. Si ha così:


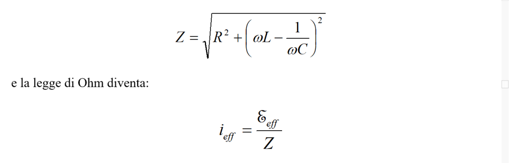
Nel caso si avesse un circuito R, L, C in serie si ha a che fare con una impedenza Z che vale (e sulla quale torneremo):

POTENZA DI UNA CORRENTE ALTERNATA
Anche la potenza W di una corrente alternata non si può calcolare con l’espressione W = E.i, valida per la corrente continua. Nelle correnti alternate la tensione E ai capi del circuito, varia istante per istante così come l’intensità i; inoltre i ed E, salvo casi particolari, non hanno mai la stessa fase.
Per calcolare la potenza di una corrente alternata si deve invece ricorrere alla seguente espressione dimostrata da GALILEO FERRARIS:

(1)
con 0 ≤ φ ≤ π/2.
E’ importantissimo capire che ruolo gioca lo sfasamento φ infatti, nei suoi limiti di validità, può rendere la potenza nulla (φ = π/2) o massima (φ = 0). Quel φ non è regolabile ma varia a seconda di cosa nella rete viene inserito e, alla centrale, deve essere prevista una macchina chiamata rifasatrice. Quando lo sfasamento dovesse crescere avvicinandosi a π/2, occorre intervenire per abbassarlo. Quando φ arrivasse a π/2 saremmo in una situazione in cui la centrale sta consumando combustibile (ad esempio, olio combustibile) e non è in grado di fornire energia alla rete (la corrente in tal caso si dice swattata e non è in grado di generare lavoro).
Nella (1) il prodotto

si chiama potenza apparente mentre cos φ si chiama fattore di potenza.
TRASFORMATORE DI TENSIONE (STATICO MONOFASE)
Il trasformatore elettrico serve a trasformare una corrente elettrica in un’altra di caratteristiche diverse. Il trasformatore di tensione serve a trasformare una corrente fornita ad una data tensione in un’altra corrente sotto tensione diversa. Ci proponiamo di studiare il solo trasformatore statico monofase che non comporta alcuna parte mobile e viene utilizzato esclusivamente per correnti alternate. Esso è formato da un nucleo composto da lamierini di ferro-silicio sovrapposti per evitare al massimo possibile perdite dovute alle correnti di Foucault; inoltre il nucleo è chiuso per evitare la dispersione del flusso Φ di induzione.

Ai due lati del nucleo sono avvolti due solenoidi completamente indipendenti uno dall’altro.
Nella figura, a sinistra vi è l’avvolgimento primario P al quale viene fornita l’energia in ingresso mentre a destra si trova l’avvolgimento secondario S che può fornire energia elettrica e costituisce perciò un generatore di corrente. Si supponga per il momento che il circuito del secondario sia aperto. Applicando ai capi del primario P una tensione alternata Ep, esso sarà attraversato da una corrente ip che genera nel nucleo una induzione magnetica B continuamente variabile con legge sinusoidale e con ugual frequenza ν della corrente. Poiché il nucleo è chiuso, le linee di induzione praticamente non venngono disperse: si dice che il nucleo forma un circuito magnetico chiuso. Tutte le spire del secondario S verranno allora attraversate dallo stesso flusso d’induzione alternato Φ che sappiamo essere proporzionale, istante per istante, all’induzione B. La variazione di flusso nel secondario, per la legge di Neumann, creerà una forza elettromotrice indotta Es pure alternata, avente ugual frequenza ν della tensione applicata al primario. Chiudendo il circuito del secondario sopra un carico di utilizzazione, la f.e.m. Es farà circolare in esso una corrente is, pure alternata e della stessa frequenza.
Si dice che il trasformatore funziona a vuoto quando il secondario è aperto. In questo caso (l’unico che studiamo) il rapporto fra le tensioni efficaci ai capi del secondario e del primario è uguale al rapporto fra il numero delle spire degli avvolgimenti corrispondenti.
Vi è una semplice catena di proporzionalità che può portarci a quanto si trova sperimentalmente:
E è proporzionale a Φ
Φ è proporzionale a B
B è proporzionale a N
ed in definitiva:
E è proporzionale a N
In simboli, indicando con Eeff,S la tensione letta al secondario e con Eeff,P quella del primario, si ha:

(1)
Nella relazione scritta, il segno meno discende dalla Legge di Lenz ed il rapporto tra il numero delle spire del secondario rispetto al primario è chiamato rapporto di trasformazione. Il segno di uguaglianza vale solo per trasformatori a vuoto. Se si inserisce un carico al secondario allora quell’uguale va sostituito con un circa uguale (~). Nel caso si passi da basse tensioni ad alte tensioni il trasformatore è detto elevatore, nel caso contrario è detto riduttore.
Una osservazione importante è la seguente: se la tensione ai capi del primario è prelevata dalla rete di distribuzione e se nel luogo ove si esperimenta il carico è rappresentato solo dall’avvolgimento del primario, il disco del contatore non ruota o ruota debolmente. Non si consuma, o quasi, energia. Infatti il circuito è praticamente solo induttivo e pertanto corrente e tensione sono sfasate di un angolo φ = π/2 ed in tal caso la potenza è sensibilmente nulla. Un trasformatore a vuoto non consuma energia elettrica.
La (1) si dimostra in modo semplice. Se nella bobina del primario si genera un campo di induzione B esso risulterà concatenato con ambedue le bobine. Il flusso Φ(B) sarà lo stesso sia nel primario che nel secondario risultando Np.Φ(B) nel primario ed Ns.Φ(B) nel secondario.
Se l’alimentatore del primario fornisce una EP(t), per esso varrà la legge di Ohm, dove nell’alimentazione occorre aggiungere a EP(t) la f.e.m. che deriva dall’autoinduzione:



OSCILLAZIONI DI CARICA ELETTRICA IN UN CIRCUITO C, L
Abbiamo visto che un condensatore carico si scarica se collegato ad una resistenza (figura a) con andamenti come quelli di figura (b).


(a) (b)
L’energia del campo elettrico immagazzinata nel condensatore va in calore per effetto Joule.
Un fenomeno analogo avviene per una induttanza, nella quale circola una corrente costante i, se staccata dal circuito che la alimenta (si vedano le due figure seguenti: in a l’induttanza è collegata alla pila, in b è staccata da essa e si fa scaricare sulla resistenza):

(a) (b)
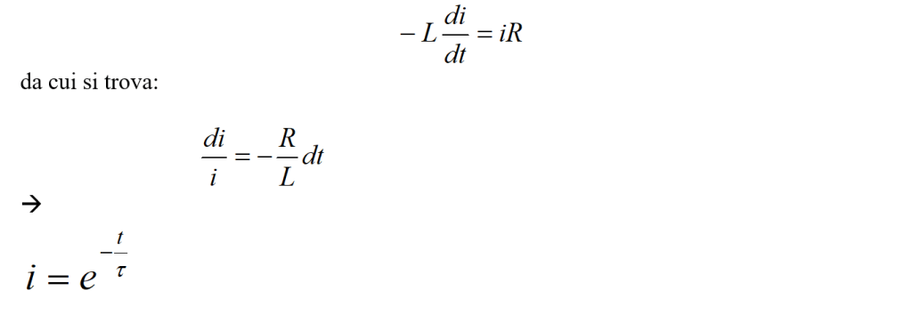
Per un tale circuito in cui l’energia magnetica dell’induttanza si trasforma in calore nella resistenza, scriviamo la legge di Ohm (circuito L,R senza alimentazione ordinaria):

che vuol dire che la corrente decresce in modo esponenziale.
Il problema che vogliamo ora affrontare è del cosa accade quando un condensatore C si scarica attraverso una induttanza L (un circuito del genere è noto come circuito oscillante). Sia dato il circuito di figura seguente. Quando il tasto T (in questo caso funzionante come un deviatore) è nella posizione 1, il condensatore C va caricando le sue armature A e B; quando spostiamo il deviatore T nella posizione 2, togliamo l’alimentazione ed il condensatore inizia a scaricarsi sull’induttanza L.

Supponiamo allora di aver caricato il condensatore con una carica q0. Nel condensatore risulta immagazzinata una energia elettrostatica pari a:

Quando il condensatore si scarica trasforma la sua energia in energia magnetica dell’induttanza. Completato questo processo q è diventata zero ed i ha acquistato il suo valore massimo i0 (condensatore scarico ed induttanza percorsa da i0). A questo punto i0 va a caricare di nuovo il condensatore ed il tutto si ripete con andamento periodico.

Ciò vuol dire che la carica q sul condensatore, la differenza di potenziale V tra le armature e la corrente i variano tutte sinusoidalmente. Abbiamo cioè un’oscillazione di carica elettrica che sarà smorzata, dipendendo ciò soprattutto dal valore complessivo della resistenza ohmica del circuito. Scoperto questo fenomeno è utile capire come esaltarlo e come sia possibile passare da oscillazioni smorzate ad oscillazioni persistenti. Ma vediamo prima il comportamento di un circuito fondamentale per il seguito del discorso.
CIRCUITO R, L, C IN SERIE

Nel circuito R, L, C in serie di figura risulterà:


Questa espressione, risolta, ci fornisce un risultato come il seguente:


E’ possibile utilizzare una descrizione simbolica per le grandezze in gioco:

Come si può osservare il triangolo rettangolo disegnato racchiude in sé tutte le grandezze introdotte in precedenza aggiungendo la relazione che a volte può risultare utile, R = Z.cosφ.
Nel caso si debba trattare un circuito R, L, C in serie la legge di Ohm è:

CONDIZIONI DI RISONANZA
Sr ci soffermiamo un istante a considerare l’espressione sotto radice quadrata, ci accorgiamo che si può ottenere il caso energeticamente più favorevole se sotto radice abbiamo solo R2, di modo che il circuito, pur essendo R, L, C, è come se fosse puramente resistivo. Ebbene perché ciò avvenga si deve rendere nullo il termine tra parentesi tonda, cosa che si ottiene rendendo:



In definitiva la condizione di risonanza è una condizione favorevole per ogni applicazione.
OSCILLAZIONI ELETTRICHE
Torniamo ora a studiare le oscillazioni elettriche prendendo in considerazione due circuiti R, L, C con caratteristiche differenti:
(a) (b)

(a)

(b)

Se carichiamo opportunamente il condensatore C attraverso i punti A e B:

esso, scaricandosi, originerà una scarica elettrica (una scintilla) tra i punti P e Q. Questa scarica può essere continua (unidirezionale) o oscillatoria.
Se siamo nelle condizioni di figura (a),

allora la scarica sarà continua con la f.e.m. V e la corrente i rappresentati nel grafico seguente:

Se siamo invece nelle condizioni di figura (b),

la scarica sarà oscillatoria. Seguiamo questo processo. Supponiamo di aver fornito all’armatura A del condensatore la carica positiva di modo che VA > VB. Quando il condensatore inizia a scaricarsi, la corrente circola nel senso ALRB. Dopo qualche istante risulterà VA = VB (condensatore scarico: V = VA – VB = 0), ma, per effetto dell’autoinduzione in L, la corrente raggiunge gradatamente il massimo di intensità non risultando nulla quando VA – VB = 0. Così essa circola ancora nello stesso senso portando cariche positive all’armatura B che prima era negativa. Ora, essendo VB > VA, si ripete il fenomeno in senso inverso. Naturalmente, dopo un certo tempo, queste scariche oscillatorie si smorzano per effetto Joule nel modo rappresentato nella figura seguente:

Se si riesce, con opportuno meccanismo, a mantenere l’oscillazione persistente, si avrebbe il grafico seguente:

Un possibile modo per realizzare oscillazioni elettriche persistenti è il seguente:

Quando il deviatore P è nella posizione 1 stiamo caricando il condensatore; quando passiamo nella posizione 2 scarichiamo il condensatore attraverso la resistenza e l’induttanza (tra M ed N vi è una resistenza variabile per poter regolare opportunamente il circuito). Ripetendo varie volte l’operazione abbiamo oscillazioni elettriche (quasi) persistenti.
Altro modo per ottenere oscillazioni elettriche persistenti è il disporre dei due avvolgimenti di un trasformatore: la variazione di flusso originata dal Primario la ritroviamo sul Secondario e così via.
Se siamo nelle condizioni di scarica oscillatoria, cioè

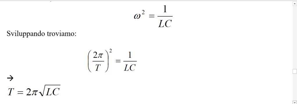
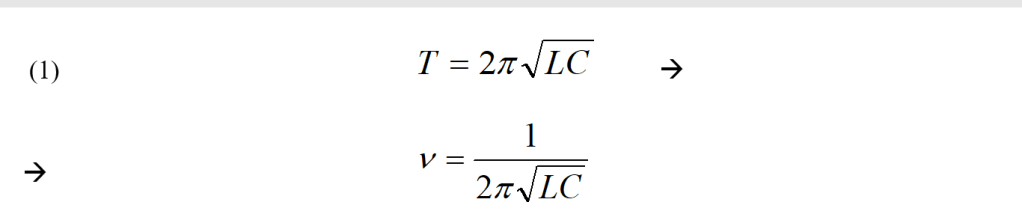
e le frequenze che si ottengono avranno valori molto elevati, dell’ordine di 108 Hz. La formula di Thomson (1) ci permette tra l’altro di calcolare il periodo proprio o oscillazione di un circuito oscillante in funzione di L e C.
Il circuito oscillante è un risuonatore che entra in risonanza quando la frequenza della f.e.m. eccitatrice è uguale alla frequenza propria del circuito. Per realizzare un circuito oscillante occorre lavorare con L e C molto piccole e si deve tener conto che, in alta frequenza (ν > 106 Hz), un’impedenza arresta praticamente le oscillazioni elettriche.
Dimostriamo ora la (1), riferendoci alla figura precedente e ricordando che V = q/C. In un tempo dt il condensatore in scarica eroga una carica dq = – i.dt (la carica q è negativa). Conseguentemente si avrà una corrente i data da:

Consideriamo il circuito con il deviatore P in posizione 2. Applicando la legge di Ohm al tratto di circuito che va dall’armatura A alla B, attraverso l’induttanza L, indicando con V la f.e.m. propria del generatore G e considerando R trascurabile, si ha:


laddove, nel nostro caso

che è la formula di Thomson cercata.
VERSO LE EQUAZIONI DI MAXWELL
FLUSSO DI UN VETTORE ATTRAVERSO UNA SUPERFICIE
Il flusso di un vettore v attraverso una superficie piana S è, come già visto, definito come:

Nel caso più generale, quando la superficie S non è piana, bisognerà considerare su di essa svariate piccole superfici (con buona approssimazione piane) di area dS e per ciascuna di esse calcolarsi il flusso elementare dΦS(v) tenendo conto delle loro diverse inclinazioni rispetto al verso del vettore v. In questo caso, riferendosi alla figura, il flusso totale sarà la somma di tutti i flussi elementari:



Campo solenoidale (vi sono sorgenti e pozzi)
CIRCUITAZIONE DI UN VETTORE LUNGO UNA LINEA CHIUSA
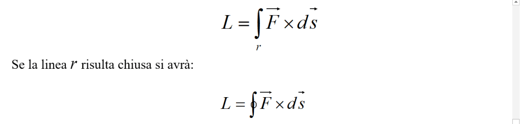
Partiamo da un esempio noto, quello del lavoro. Esso era definito come:

Se ci spostiamo lungo una linea qualunque r, come in figura seguente, il lavoro sarà dato da:


ed L è la circuitazione di F lungo la linea chiusa considerata.
Più in generale si può definire la circuitazione di un qualunque vettore v allo stesso modo:

e ciò significa che il campo gravitazionale è conservativo.
Nel caso elettrostatico, il vettore da considerare è E e sappiamo che:

ed in questo caso alla circuitazione di E si dà il nome di forza elettromotrice.
Nel caso magnetostatico, se seguiamo un percorso chiuso su una linea di forza che circonda un filo percorso da corrente costante (si pensi alla legge di Biot e Savart), si avrà:

e ciò vuol dire che il campo magnetostatico non è conservativo.
Le linee di forza di B sono sempre chiuse; esse non possono uscire da un punto né convergere verso un punto perché il campo magnetico, contrariamente a quello elettrico, non ammette né sorgenti né pozzi, proprio perché non esiste il monopolo magnetico. Ciò rende E e B profondamente diversi.
RICAPITOLANDO PER CAMPI COSTANTI E CORRENTI COSTANTI
In definitiva, per campi e correnti costanti si ha:
- E è conservativo. Spostandosi lungo una linea chiusa in un campo E statico si avrà:

e ciò vuol dire che il campo non è solenoidale (vi sono sorgenti e pozzi).
- B non è conservativo. Spostandosi in un campo B lungo una linea chiusa si avrà:

e ciò vuol dire che il campo è solenoidale (non vi sono sorgenti e pozzi).
CAMPO MAGNETICO VARIABILE NEL TEMPO ED INSERIMENTO DI UN CONDENSATORE
Nel caso di un campo magnetico variabile nel tempo, quando cioè il circuito è percorso da una corrente variabile nel tempo, la circuitazione di i è sempre μi, con la sola differenza che al cambiare verso di i, cambia il verso di B.
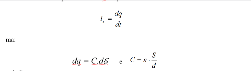
Qualcosa di diverso avviene quando nel circuito, alimentato con tensione variabile, è posto un condensatore.

In questo caso la circuitazione lungo una qualsiasi linea di forza B che circonda il filo conduttore avrà sempre il valore μi (dove i è l’ordinaria corrente di conduzione). In questo caso però occorre anche considerare la circuitazione lungo una linea di forza di B che circonda il dielettrico (anche se esso fosse il vuoto) tra le armature del condensatore. In questo dielettrico non vi è una ordinaria corrente di conduzione ma una corrente di spostamento dovuta a polarizzazioni del dielettrico (alternativamente in versi opposti).
Calcoliamoci questa corrente is di spostamento:

quindi:

In definitiva, in caso di campi variabili, occorre considerare, a lato della ordinaria corrente di conduzione i, anche la corrente di spostamento nel dielettrico is e cioè:

LE EQUAZIONI DI MAXWELL
In definitiva le 4 equazioni di Maxwell sono:


PRODUZIONE DI ONDE ELETTROMAGNETICHE CON CIRCUITI OSCILLANTI APERTI
Secondo tutte le teorie fisiche precedenti, la presenza di un condensatore in un circuito significava semplicemente il blocco del passaggio della corrente (il condensatore nel circuito equivaleva ad un taglio del cavo conduttore): le armature del condensatore si caricavano di segno opposto e tra di esse si creava un campo elettrico con direzione e verso determinati dalle polarità delle armature. Maxwell, sulle orme di svariate ricerche sperimentali in proposito portate a termine da Faraday, non riusciva a pensare un condensatore come un taglio fatto nel circuito di conduzione e concentrò in modo speciale la sua attenzione sul materiale isolante che separa le armature del condensatore. Secondo la sua teoria quest’isolante doveva diventare sede di correnti istantanee di spostamento. In definitiva si tratta di considerare tutte le correnti come chiuse, e ciò anche quando il circuito è aperto (caso del condensatore). Ma cos’è una corrente di spostamento? Le sue caratteristiche sono peculiari; è una sorta di stress, di stato di sforzo cui viene istantaneamente sottoposta la «materia» isolante che separa le armature del condensatore quando quest’ultimo è caricato. Le «molecole» costituenti il materiale isolante sono formate da cariche positive e negative; l’applicazione di un campo elettrico esterno sposta le cariche positive di queste molecole verso l’armatura caricata negativamente e, viceversa, sposta le cariche negative delle stesse molecole verso l’armatura caricata positivamente. Lo spostamento delle cariche dalle loro posizioni di equilibrio è piccolo e, appena avvenuto, nasce in ogni molecola una forza elastica di richiamo che tende a riportare la situazione nello stato di non stress. Ma, quando questo spostamento istantaneo di materia si è prodotto, se l’alimentazione del circuito seguita ad essere in corrente continua, tutto si stabilizza in una situazione di isolante polarizzato e non vi è più nessuna corrente di spostamento (come una membrana che, tirata da una parte, resta in questa posizione finché non cessa la sollecitazione). Ma se alimentiamo il circuito con una corrente che cambia continuamente verso (ad esempio, una corrente alternata) allora le armature del condensatore cambiano continuamente di polarità, con una frequenza che è la stessa della corrente che alimenta il circuito. Ciò comporta che il campo elettrico che si genera tra le armature del condensatore cambia continuamente verso e, conseguentemente, nel condensatore (o meglio, nel mezzo isolante che separa le sue armature) si generano correnti di spostamento alternativamente dirette in un senso ed in senso opposto (come una membrana che sia sollecitata alternativamente in un senso ed in senso opposto). La figura 1 illustra la situazione ora descritta.

Poiché un campo elettrico variabile produce una corrente di spostamento e poiché ad ogni corrente è associato un campo magnetico (Oersted, 1820), Maxwell ne conclude che un campo elettrico variabile produce un campo magnetico (e, viceversa, che un campo magnetico variabile produce un campo elettrico). In definitiva non vi è più luogo a considerare separatamente campi elettrici o magnetici ma campi elettromagnetici. La situazione completa del nostro condensatore (fig. 2) sarà quindi descritta da questi campi elettrici variabili nel tempo, circondati da campi magnetici (anch’essi variabili nel tempo) le cui linee di forza risulteranno perpendicolari a quelle dei campi elettrici. In definitiva si avrà un concatenarsi perpendicolare di campi elettrici e magnetici (campo elettromagnetico) che cambiano continuamente verso con la frequenza della fonte di alimentazione alternata.

La teoria (teoria, si badi bene) prevede quindi la possibilità di generazione di perturbazioni, vibrazioni, onde elettromagnetiche nello spazio. Per altri versi un lavoro di W. Thomson (Lord Kelvin) del 1853 permette di calcolare la frequenza di queste onde elettromagnetiche. Indicando con R la resistenza del circuito in oggetto, con C la capacità del condensatore e con L l’induttanza, se siamo nella condizione di R minore del doppio della radice quadrata del rapporto L/C, cioè di oscillazione persistente (non smorzata), allora la frequenza f di queste oscillazioni è [1] uguale all’inverso del prodotto di 2π per la radice di LC. Questa relazione fa subito vedere che per intervenire sulla frequenza delle onde elettromagnetiche ipotizzate occorre modificare i valori dell’induttanza e della capacità del circuito: per avere una frequenza elevata occorre rendere piccolo il prodotto LC (e viceversa).
Ma torniamo a Maxwell. Abbiamo già detto che la sua era una teoria, elegantissima, ma teoria. Riferendoci alla figura 2, tutto il fenomeno elettromagnetico (le onde) ipotizzato da Maxwell era confinato all’interno delle armature del condensatore. Come tirarlo fuori? E come evidenziarlo?
Nel 1887 H. Hertz fornisce la verifica sperimentale della teoria di Maxwell. Il fenomeno elettromagnetico, le onde elettromagnetiche, esiste davvero all’interno del condensatore! Per tirarlo fuori – sembra incredibile — basta «aprire» il condensatore come mostrato in figura 3 (nella quale le linee tratteggiate rappresentano il campo elettrico esistente tra le armature del condensatore, campo che cambia verso con la frequenza del circuito di alimentazione). Completando poi l’ultimo disegno di figura 3 con il campo magnetico perpendicolare al campo elettrico, si ottiene il campo elettromagnetico risultante dal fenomeno (fig. 4), campo che si propaga dal punto in cui è generato nello spazio circostante. In questo modo disponiamo di un sistema che permette la propagazione nello spazio di onde elettromagnetiche.

Ma, come possiamo evidenziare queste onde? Renderci conto che, partite dal generatore, arrivino in un altro luogo? Le svariate e belle esperienze di Hertz risposero abbondantemente a tutte le questioni. La risposta che egli trovò all’ultima domanda fatta è oggi banale: serve una particolare antenna. Hertz riuscì anche a realizzare questa antenna (risuonatore di Hertz) e ad evidenziare le onde elettromagnetiche mediante minuscole scintille che si producevano alle estremità PP’ del risuonatore (figura 5: questa antenna ricevente non era altro che un anello di filo conduttore aperto in un tratto; in corrispondenza di questa apertura vi era una vite micrometrica che permetteva la regolazione della sua ampiezza). L’apparato sperimentale di cui Hertz si servì è illustrato in figura 6.

Un accumulatore A alimenta un rocchetto di Ruhmkorff R; quest’ultimo produce delle scintille tra S ed S’; queste scintille costituiscono il campo elettrico variabile che alimenta il condensatore, le cui armature sono C e C’ (si confronti con la figura 4); nel risuonatore r, in determinate posizioni (in corrispondenza, essenzialmente, dei nodi delle onde elettromagnetiche così prodotte), si producono delle minuscole scintille che fanno sentire a distanza la presenza delle onde elettromagnetiche ipotizzate da Maxwell. Naturalmente Hertz dovette eseguire diverse prove prima di giungere all’arrangiamento sperimentale di figura 6.
La situazione, riguardo al lavoro di Thomson citato, era comunque tale che la resistenza R del circuito era molto piccola (la resistenza da considerarsi è quella esistente tra S ed S’: essa ha un piccolo valore a seguito della forte ionizzazione dell’aria che producono le scintille stesse; questo piccolo valore di R fa sì che siamo nelle condizioni di oscillazioni persistenti o debolmente smorzate). Anche l’induttanza L e la capacità C (tra le armature C e C’ del condensatore) erano molto piccole, di modo che la frequenza f delle onde prodotte (onde hertziane) era molto grande o, che è lo stesso, la loro lunghezza d’onda era molto piccola (circa 3 metri). Con tale frequenza l’apparato di Hertz era in grado solo di trasmettere onde elettromagnetiche alla distanza di poche decine di metri (va comunque ricordato che questo problema non era in alcun modo al centro degli interessi di Hertz).

Un rocchetto di Ruhmkorf serve, tra l’altro, per la produzione di oscillazioni elettriche persistenti. Lo strumento, riportato in figura I (nella figura II vi è una sua sezione; nella figura III vi è un particolare della figura precedente), funziona nel modo seguente. Ricordando la legge di Faraday-Neumann-Lenz, la forza elettromotrice indotta E è data dalla velocità di variazione del flusso dell’induzione magnetica (preceduta da un segno meno). Quando circola corrente nel primario (PP’ di figura II) si crea un grande campo elettromagnetico che va ad indurre una f.e.m. molto elevata nel secondario (SS di figura II). Questa f.e.m. indotta sarebbe solo istantanea se non vi fosse una variazione del campo inducente; a quest’ultima cosa provvede un interruttore V che, con estrema rapidità, porta a zero e quindi di nuovo al massimo il campo inducente.


Le onde emesse dal trasmettitore di Hertz sono onde elettromagnetiche trasversali consistenti in campi elettrici E perpendicolari a campi magnetici B. Se l’alimentazione è variabile sinusoidalmente altrettanto lo saranno E


Fig. 5 – Si deve tener conto che, in figura, E e B non sono in scala. Infatti B è 3.108 volte meno intenso di E.
Possiamo quindi attenderci che un circuito R, L, C aperto come in figura sia in grado di emettere onde elettromagnetiche (o.e.m.) della stessa frequenza dell’alternatore E in esso inserito. Ma nella realtà un alternatore può produrre solo correnti alternate di frequenza così bassa da non dar luogo ad una produzione apprezzabile di o.e.m.

Fig. 6
Si ricorre allora ad un circuito oscillante, costituito (come già visto) essenzialmente da un condensatore C, una induttanza L e da una resistenza R che dovrà essere trascurabile


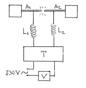
A1 e A2 sono le due asticelle che costituiscono il dipolo e tale dipolo è equivalente ad un circuito oscillante RLC. Tra le estremità delle asticelle affacciate scocca la scintilla. Esse sono collegate tramite una linea bifilare al trasformatore T (mentre V è una resistenza variabile). Tra le asticelle e il secondario del trasformatore sono presenti due induttanze L1 e L2 dette di “zavorra” costituite da otto avvolgimenti di circa 1.5 cm di diametro di filo di rame smaltato di 1mm di diametro (vedi figura 3). La loro reattanza X= w L è tale da lasciar passare correnti a bassa frequenza (50 Hz), e bloccare correnti ad alta frequenza. Quando scocca la scintilla la corrente oscillante sul dipolo è di frequenza tanto alta da non riuscire ad attraversare le induttanze e tornare indietro lungo la linea bifilare danneggiando il trasformatore. Il segnale a bassa frequenza proveniente dal trasformatore che alimenta il dipolo continua invece a fluire dal trasformatore al dipolo. Da notare che l’antenna è un dipolo su cui corrono le cariche risultando accelerate.
Con questo semplice sistema possiamo alimentare le armature del condensatore di figura seguente:

Fig. 7
Supponiamo il condensatore inizialmente carico (fig. 7-1) Quando si chiude l’interruttore comincia a scaricarsi il condensatore producendo una corrente che assumerà il suo massimo a condensatore completamente scarico. In questo istante. rappresentato dalla figura 7-2 il campo magnetico sull’induttanza è massimo. La corrente continua sullo stesso verso ma decrescendo fino ad annullarsi (figura 7-3), producendo la carica del condensatore con polarità opposta a quella iniziale e annullano il campo magnetico. La scarica si ripete in senso inverso (figura 7-4) ritornando alla situazione iniziale (figura 7-5) da cui ricomincia il ciclo.
Se siamo in situazione di piccola resistenza R (vedi la 1 del capitolo “Oscillazioni elettriche”), nelle condizioni cioè di scarica oscillatoria, ,

le oscillazioni saranno persistenti (non smorzate) e la loro frequenza sarà data dalla condizione di risonanza di Thomson

(vedi la 1 del capitolo “Condizioni di risonanza”), da cui:

e tale frequenza è detta frequenza propria del circuito emittente (E).
Questa relazione fa subito vedere che per intervenire sulla frequenza delle o.e.m occorre modificare il valore di L e di C e per avere frequenza elevate occorre rendere piccolo il prodotto LC (e viceversa). Nella pratica conviene avere sia L che C molto piccoli (se si tiene ad esempio conto che ad alta frequenza, quando cioè ν > 1 MHz, un’impedenza arresta praticamente le oscillazioni elettriche).
Se ci limitassimo a quanto detto avremmo prodotto un’onda elettromagnetica stazionaria ad ampiezza costante che sarebbero così rilevate dalla ricevente (onda portante). Un tale segnale non fornisce alcuna informazione se non il fatto che c’è un segnale (corrisponde ad emettere con la bocca un suono prolungato e non modulato). Per poter trasmettere informazioni e quindi un messaggio dobbiamo generare onde le cui caratteristiche di ampiezza e frequenza varino nel tempo riproducendo le caratteristiche del messaggio. Questo processo si chiama appunto modulazione. Il più semplice sistema consiste nell’interrompere con un tasto il segnale dopo un tempo breve o relativamente lungo (il punto e linea dell’alfabeto Morse). Oggi si usano almeno i due sistemi riportati in figura, la Modulazione di Frequenza e la Modulazione di Ampiezza. Per ottenere queste modulazioni occorre trasformare il segnale audio (ad esempio la nostra voce) che vogliamo trasferire in un segnale elettromagnetico. Ciò si realizza mediante un microfono collegato ad un amplificatore (il microfono è uno strumento che trasforma un’onda sonora incidente in un segnale elettrico proporzionale alla pressione ricevuta. E’ costituito da due lamine vicinissime costituenti un condensatore, ed una di tali lamine riceve il segnale acustico. La vibrazione di questa lamina fa variare la capacità del condensatore e quindi la carica sulle sue armature che fa passare una corrente nel cavo al quale è connesso il condensatore, corrente proporzionale alla variazione di C. Ciò provoca una variazione di differenza di potenziale ai capi della resistenza del circuito che è il segnale audio). Una volta trasformato il nostro segnale (onda) occorre sommarlo in un modulatore con la portante in modo da ottenere il segnale definitivo modulato o in AM (facendo incidere l’onda proveniente dal microfono sul collettore di un transistor) o in FM (l’onda proveniente dal microfono in questo caso fa variare la capacità del circuito oscillante che produce la portante mediante un opportuno diodo a semiconduttore, il varicap, e quindi la sua frequenza in proporzione al segnale audio). L’FM dà segnali molto precisi e definiti che si deteriorano a distanza; l’AM dà segnali meno precisi che possono essere inviati a distanze maggiori.

1 – Onda acustica
2 – Armatura del condensatore elastica
3 – Armatura del condensatore fissa
4 – Alimentazione a V = costante
5 – Resistenza del circuito
6 – Segnale audio in uscita trasformato in una d.d.p. variabile




Il problema sta ora nel capire come si possono rivelare onde elettromagnetiche.
Se, come mostrato in figura 9, si avvicina ad un circuito oscillante in funzione, un’altro provvisto di un condensatore variabile (figura 10), in modo da poter variare la frequenza propria del circuito, si induce in esso una corrente alternata di alta frequenza.

Fig. 9

Fig. 10
Variando la capacità del condensatore del circuito “ricevente” (R) si ottiene un valore massimo di questa corrente quando la frequenza propria di ambedue i circuiti è la stessa (risonanza). Si usa in questo caso dire che il secondo circuito è sintonizzato sul primo (si noti che A è l’antenna emittente mentre A’ è l’antenna ricevente). Vediamo ora qual è la velocità con cui si propagano le onde elettromagnetiche.
Secondo i conti di Maxwell le o.e.m. avrebbero dovuto avere nel vuoto una velocità data da:

queste onde (insieme ad altre considerazioni) con la velocità c della luce fece concludere a Maxwell che la luce non è altro che un’onda elettromagnetica. In un mezzo materiale la velocità di queste onde deve poi risultare:

dove n è l’indice di rifrazione del mezzo materiale in considerazione.
Tutto ciò, insieme al fatto che queste onde si riflettono, si rifrangono, interferiscono, si possono polarizzare, premono sugli ostacoli, trasportano energia, generano calore quando sono assorbite, fu verificato sperimentalmente.
Infine la gamma delle onde elettromagnetiche è quella riportata in figura 11:


Fig. 11


Categorie:Fisica
Rispondi