Ingegneria Meccanica – Roma Tre
AA/2011-2012
APPUNTI PER IL CORSO
(Ripresi integralmente e da me assemblati dai testi di bibliografia)
Roberto Renzetti
PARTE PRIMA
CINEMATICA
Bibliografia:
Paul J. Tipler, Gene Mosca – Corso di Fisica – Zanichelli 2010
Jay Orear – Fundamental Physics – John Wiley & Sons Inc, 1967
F.W. Sears, M.W. Zemansky – University Physics – Addison-Wesley Publishing Company, 1964
M. Alonso, E. J. Finn – Fundamental University Physics – Addison-Wesley Publishing Company, 196
R. Renzetti – Appunti miei raccolti negli anni di insegnamento e pubblicati in – www.fisicamente.net
MOTO UNIDIMENSIONALE
1 – Spostamento e velocità media
Preso un sistema di coordinate cartesiane con origine O ed assi t,x (con t = tempo in ascisse ed x = spazio) consideriamo una particella in moto e ciò vuol dire che varia la sua posizione al passare del tempo. Supponiamo che questa variazione (o traiettoria della particella) sia rappresentata dalla figura seguente:

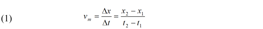
La particella in considerazione si trovi nella posizione x1 al tempo t1 e nella posizione x2 al tempo t2. La particella avrà subito uno spostamento che indichiamo con Δx = x2 – x1 in un tempo complessivo che indichiamo Δt = t2 – t1. La velocità media della particella sarà data da:

[si osservi che sia spostamento che velocità possono essere positivi o negativi a seconda di quanto valgono x2 ed x1].
Consideriamo ora la figura seguente che è un’elaborazione della precedente:

Nella figura vengono riportati direttamente i valori di Δx e Δt relativamente ai punti P1 ≡ (x1,t1) e P2 ≡ (x2,t2). Il segmento di retta che unisce i punti P1 e P2 è l’ipotenusa di un triangolo rettangolo che ha per lati Δx e Δt (è anche una secante alla curva che descrive la traiettoria). Il rapporto Δx/Δt è chiamato pendenza della retta ed è strettamente connesso alla velocità media. Più aumenta la pendenza della retta, più è elevata la velocità media (nel caso, ad esempio, si considerino i punti P1 e P’2, si trova una velocità media maggiore). L’unità di misura della velocità è il metro al secondo (m/s) e le sue dimensioni sono quelle di una lunghezza diviso un tempo (L/T = [L].[T]-1).
2 – Velocità istantanea
Da questo problema nacque l’analisi matematica ad opera di Newton (e Leibniz). Per capire riferiamoci alla figura seguente che è un’ulteriore elaborazione della precedente:

Per trovare la velocità istantanea vi di una particella in moto come visto occorrerebbe calcolarsi la velocità in un singolo punto P1 della traiettoria. Considerando la (1), considerando che x1 = x2 e t2 = t1, si dovrebbe avere:

Questa espressione non è trattabile con l’algebra ordinaria ed appunto occorre un altro tipo di calcolo, l’analisi con la sua teoria dei limiti. Si tratta di far avvicinare sempre più x2 ad x1 (con la conseguenza che t2 si avvicina a t1) facendo il limite per t2 tendente a t1:

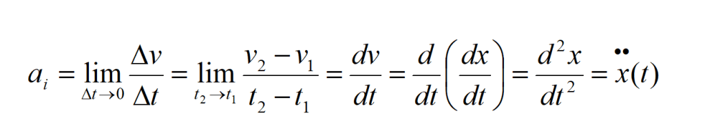
e questo limite è la derivata dello spazio percorso rispetto al tempo. Se ora si torna alla figura precedente si trova che questa derivata geometricamente corrisponde alla tangente alla traiettoria nel punto P1 (che è anche la tangente trigonometrica dell’angolo formato dalla retta ora detta con l’asse delle ascisse).
3 – Accelerazione
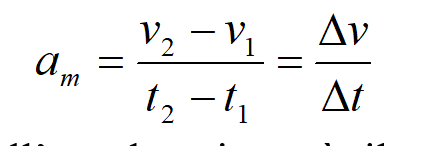
Quando la velocità istantanea di una particella varia nel tempo si dice che la particella accelera. L’accelerazione media am della particella in un intervallo di tempo Δt è il rapporto tra la variazione di velocità Δv = v2 – v1 ed il tempo:

L’unità di misura dell’accelerazione è il metro al secondo al quadrato (m/s2) e le sue dimensioni sono quelle di una lunghezza diviso un tempo al quadrato (L/T2 = [L.T-2]).
Analogamente a quanto visto per la velocità, l’accelerazione istantanea è il limite del rapporto ora visto per Δt tendente a zero:

4 – Crescenza e decrescenza della velocità istantanea

Quando la concavità della traiettoria è diretta verso il basso si ha a che fare con una velocità decrescente. Se invece tale concavità è diretta verso l’alto si ha a che fare con una velocità crescente.
5 – Una parentesi matematica: il simbolismo della derivata seconda
Consideriamo la funzione y = f(x). La sua derivata prima si indica:
dy/dx = f ’(x)
ed il differenziale di y sarà:
(2) dy = f ‘(x).dx.
Considerando dx come una quantità costante (l’incremento h del famoso rapporto incrementale) la derivata del secondo membro della (2) fornisce:
- d/dx[f ‘(x).dx] = f “(x).dx
da cui il differenziale del primo membro sarà:
(4) d[f ‘(x).dx] = f “(x).dx.dx
cioè:
(5) d[f ‘(x).dx] = f “(x).dx2
Abbiamo così trovato il differenziale del secondo membro della (2). Quello del primo membro sarà:
(6) d[dy] = d2y
In definitiva, uguagliando le espressioni (5) e (6) si ha:
d2y = f “(x).dx2
da cui:
f “(x) = d2y/dx2
che è il simbolismo della derivata seconda.
6 – Il problema inverso: come si ricava x(t) da v(t) ed il problema delle condizioni iniziali
Abbiamo visto come dalla posizione x(t) sia possibile passare alla velocità v(t) e da questa all’accelerazione a(t). Il problema inverso è evidentemente il ricavare x(t) conoscendo v(t) o a(t). Si tratta di trovare una funzione della quale conosciamo la derivata e questo sappiamo che si fa attraverso l’operazione di integrazione indefinita. La funzione trovata è una primitiva della funzione data che, come sappiamo, contiene sempre una costante additiva che, in fisica, è legata alla scelta dell’origine del processo. Se, ad esempio, conosciamo la derivata della funzione in tutto l’intervallo di tempo preso in considerazione e conosciamo il valore della funzione in un punto, allora la funzione è determinata univocamente perché il valore della costante additiva si può ricavare dalle informazioni date sul valore della funzione in quel punto.
Il problema della ricerca della primitiva di una data funzione è compito del corso di analisi, qui accenneremo in breve alla questione.
Iniziamo con il considerare il caso in cui la nostra particella si muova con velocità costante v0 e quindi con accelerazione a = 0.
In un intervallo di tempo Δt lo spostamento sarà dato da:
Δx = v0.Δt
Questo prodotto rappresenta l’area riportata nella figura seguente:

Il che vuol dire che, nel caso di v0 = costante, vale la relazione data cioè che v0.Δt = Δx.
Se la velocità non è più costante, ma, ad esempio, è proporzionale al tempo, cioè v(t) = a0.t, allora avremo la figura seguente:

Nella figura si apprezza che la partenza della particella è al tempo t = 0 e noi consideriamo il suo moto fino al tempo t = t1. L’area ora in considerazione, quella che in un piano (v,t) ci fornisce lo spostamento x1, è:
½.(t1).(a0.t1) = ½.a0.t12 = x1
Ed in un tempo generico t avremo:
x = ½.a0.t2.
Nel caso più generale di un moto della particella con velocità v(t), senza condizioni di costanza sulla sua velocità o accelerazione, per la traiettoria, avremo una curva come quella di figura seguente:

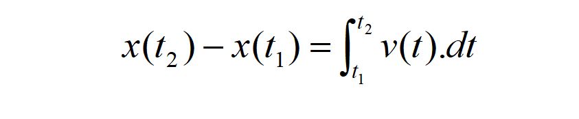
In questo caso per calcolare l’area sottesa tra la curva e l’asse delle ascisse da t1 a t2, dovremo suddividerla in tanti intervallini Δt e sommare tutte le aree. E’ però chiaro che l’area corretta si ha solo per la base Δt di ogni intervallino tendente a zero. In tal modo passiamo dalla sommatoria all’integrale definito (in questo caso è definito perché conosciamo gli estremi di integrazione t1 e t2). Avremo quindi:

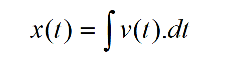
e, nel caso in cui non conoscessimo gli estremi di integrazione, avremo l’integrale indefinito seguente:

7 – Moto rettilineo uniforme
Il moto rettilineo uniforme è caratterizzato da una velocità v0 costante. Si trova subito

avendo considerato che il moto inizia ad un tempo t0 = 0. Dall’espressione scritta si ricava:

che, come si vede, è l’equazione di una retta la cui inclinazione varia a seconda se il coefficiente angolare v0 è positivo o negativo, come mostrato in figura seguente:

8 – Moto uniformemente accelerato
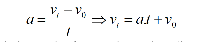
E’ questo un moto con accelerazione a costante (come il caso di oggetti in caduta libera). Considerando anche qui l’origine del moto a t0 = 0 e chiamando con vt la velocità al tempo t e con v0 la velocità al tempo 0, abbiamo:

e l’ultima relazione scritta è ancora l’equazione di una retta come mostrato dalla figura seguente (la retta che passa per l’origine è relativa al caso di velocità iniziale nulla):

9 – Una relazione che ci sarà utile nel seguito.
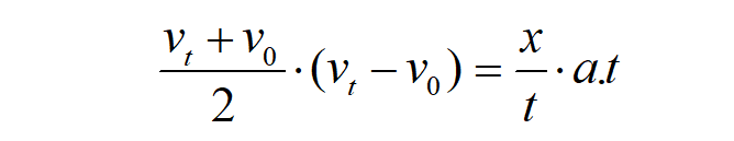
Nel moto uniformemente accelerato è possibile definire come velocità media la somma della velocità iniziale e di quella finale dividendola per due:

avendo indicato con x tutto lo spazio percorso nel tempo t. Dalla relazione trovata nel paragrafo precedente abbiamo poi:
- vt – v0 = a.t
à vt = a0.t + v0
Mettendo a sistema la (1) e la (2) e moltiplicando membro a membro, troviamo:

da cui si ricava facilmente:
(3) vt2 – v02 = 2ax
che, nel caso in cui la particella si muova con velocità iniziale nulla, diventa:
(4) v2 = 2ax oppure v = √2ax
10 – Torniamo al moto uniformemente accelerato
Abbiamo visto che nel moto uniformemente accelerato, indicando con a0 l’accelerazione costante, vale la relazione:
vt = a0.t + v0
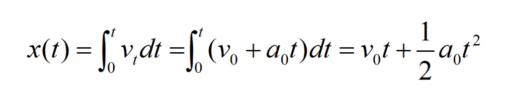
Vediamo ora di calcolarci lo spazio x(t) percorso dalla particella tra il tempo t0 = 0 ed il tempo t, riferendoci alla figura seguente (applichiamo ancora il metodo delle aree sottese dalla funzione che ci dà la velocità e l’asse delle ascisse):

Si potrebbe usare il metodo degli intervallini ma, in questo caso, possiamo servirci della geometria elementare perché l’area cercata è quella di un trapezio e quindi per l’area si ha:

Lo stesso risultato si trova con il metodo generale dell’integrale:

Nel caso in cui la particella avesse già percorso un tratto x0, il suo spostamento x(t) risulterebbe:
x(t) = x0 + v0t + ½.a0.t2
11 – Caduta dei gravi
Nel caso di un corpo in caduta libera sappiamo che la sua accelerazione di gravità (sulla Terra) vale circa g = 9,8 m/s2. Per il resto sappiamo trattarsi di un moto uniformemente accelerato. Riferendoci alla figura, consideriamo un oggetto che cada dal punto O nel quale si avrà t = 0 e v = v0.

Avremo:
x(t) = v0t + ½.gt2
v(t) = v0 + gt
Si osservi che, elevando al quadrato questa ultima espressione, troviamo:
v2 = (v0 + gt)2 = v02 + 2v0gt + g2t2 = v02 + 2g(v0t +½gt2)=
v02 + 2gx
e riotteniamo quanto già visto nel paragrafo 9.
Una domanda: qual è l’accelerazione di una palla lanciata verticalmente verso l’alto, nel punto più alto della sua traiettoria ?
12 – Ricapitolando
Problema diretto: Se conosciamo la traiettoria x (t) possiamo successivamente trovare la velocità e l’accelerazione
x(t) à derivazione à v(t) à derivazione à a(t)

Esempio
Abbiamo un oggetto la cui traiettoria è descritta dalla funzione x(t):
x(t) = ½.gt2 => v(t) = dx/dt = gt => a(t) = dv/dt = g
Problema inverso: Se conosciamo l’accelerazione possiamo successivamente trovare la velocità e la traiettoria
a(t) à integrazione à v(t) à integrazione à x(t)
Esempio
Abbiamo un oggetto che cade con accelerazione g (che è una costante):

MOTO IN DUE O TRE DIMENSIONI
Passando al moto in due o tre dimensioni, lo spostamento, la velocità e l’accelerazione sono vettori con punto di applicazione, modulo, direzione e verso.
Quando il moto di una particella è confinato su un piano, la posizione della particella può essere descritta con due numeri. Per esempio, si potrebbe scegliere la distanza x dall’asse y e la distanza y dall’asse x, dove gli assi x e y sono assi perpendicolari che si intersecano nell’origine O, come nella figura seguente. Oppure (coordinate polari), si può specificare la stessa posizione fornendo la distanza r dall’origine e l’angolo θ formato dall’asse x e dalla retta uscente dall’origine e passante per quel punto. Per dare le coordinate del punto P in un piano si possono usare le coordinate cartesiane (x,y) o le coordinate polari (r,θ) e fra i due tipi di coordinate esistono le seguenti relazioni:
x = r cos θ; y = r sen θ; r = √x2 + y2; tan θ = y/x
Sono possibili, naturalmente, altre scelte, ma in ogni caso occorrono due numeri per specificare la posizione di un punto su un piano.

Se la particella non è confinata su un piano ma si muove in tre dimensioni, occorrono tre numeri per specificare la sua posizione. Un metodo comodo è usare le tre coordinate x, y e z. Un’alternativa è usare le coordinate polari o sferiche r, θ e φ. Le relazioni fra le coordinate polari e le coordinate cartesiane ortogonali o rettangolari, riferendosi alla figura seguente, sono:

x = r sen θ.cos φ; y = r sen θ.sen φ; z = r cos θ;
r = √x2 + y2 + z2; tan θ = √(x2 + y2)/z; tan φ = y/x
Le coordinate polari sono convenienti quando c’è una simmetria sferica. Per esempio, se una particella si muove sulla superficie di una sfera, queste coordinate sono utili perché r è costante e solo θ e φ variano.
La maggior parte delle caratteristiche interessanti del moto in più di una dimensione possono essere chiarite nel moto bidimensionale, che è più facile.
_______________________________
Un cenno all’angolo solido:
ed alle coordinate sferiche:

13 – Il vettore spostamento
Si consideri una particella che si muove da un certo punto P1 a un altro punto P2. Come nel caso del moto unidimensionale, chiameremo spostamento di una particella la variazione della sua posizione. In due o tre dimensioni, indichiamo lo spostamento con una freccia che va dalla posizione iniziale P1 alla nuova posizione P2, com’è illustrato nella figura seguente. Si può vedere che lo spostamento ha una direzione e un verso oltre che un valore numerico (modulo). Si dovrebbe anche rilevare che lo spostamento, come è stato definito, non dipende dalla traiettoria seguita dalla particella nell’andare da P1 a P2 ma solo dai punti terminali P1 e P2. Un secondo spostamento è indicato nella figura da una freccia che va dal punto P2 al punto P3.

La freccia dal punto iniziale P1 a P3 indica lo spostamento risultante dalla posizione iniziale Pl all’ultima posizione P3; è chiamato somma dei due spostamenti successivi.
Le grandezze che hanno un valore numerico, una direzione e un verso e che ubbidiscono alla legge di composizione illustrata da questi spostamenti sono chiamate vettori. Molte grandezze della fisica, oltre agli spostamenti, sono vettori; per esempio, la velocità, l’accelerazione, la forza, la quantità di moto e il campo elettrico. Le grandezze vettoriali sono indicate con un carattere tipografico in grassetto, come in A, B e C per i tre spostamenti nella figura. (Nella scrittura a mano, un vettore è indicato con una freccia sopra il simbolo della grandezza che esso rappresenta). La legge di composizione per i vettori qui illustrata è semplicemente:
C = A + B
Il modulo, o lunghezza, del vettore A è scritto |A| o A. Il modulo di un vettore è ordinariamente associato a un’unità fisica, come il modulo della ve1ocità o dell’accelerazione. Un vettore spostamento, per esempio, ha un modulo che può essere espresso in metri o in qualunque altra unità di misura della distanza. Si osservi che la somma dei moduli di A e di B non è uguale al modulo di C = A + B, salvo che A e B non abbiano la stessa direzione e lo stesso verso: |C| ≠ |A| + |B| salvo che A e B non abbiano la stessa direzione e lo stesso verso.
Le grandezze che sono specificate completamente soltanto da un numero (a cui è associata un’unità), per esempio, la distanza, la massa, o la temperatura, sono chiamate scalari.
14 – Componenti di un vettore
La proiezione di un vettore su una retta è chiamata componente del vettore nella direzione di quella retta. Un esempio importante di componenti di un vettore è costituito dalle proiezioni del vettore sugli assi di un sistema di coordinate cartesiane ortogonali. Queste proiezioni, chiamate componenti cartesiane ortogonali del vettore, sono denotate con |Ax|, |Ay| e |Az| per il vettore A. La figura seguente illustra le componenti cartesiane ortogonali degli spostamenti A, B e C della figura precedente. Denotiamo le coordinate di P1 con (x1,y1) e usiamo designazioni analoghe per P2 e P3; quindi le componenti di questi vettori sono:
|Ax| = x2 – x1 |Ay| = y2 – y1
(1) |Bx| = x3 – x2 |By| = y3 – y2
|Cx| = x3 – x1 |Cy| = y3 – y1

E’ bene notare che le componenti di un vettore non sono vettori. Sono numeri positivi o negativi ai quali sono associate delle unità. Dovrebbe risultare chiaro dalla figura che:
(2) C = A + B implica sia |Cx| = |Ax| + |Bx| sia
|Cy|= |Ay|+ |By|
Il modulo di un vettore può essere espresso per mezzo delle componenti cartesiane ortogonali del vettore. Com’è illustrato nella figura precedente, le componenti cartesiane ortogonali |Ax| e |Ay| formano i due cateti di un triangolo rettangolo la cui ipotenusa è il modulo |A|. Si ha allora che |A| = √x2 + y2 e, se θ è l’angolo fra il vettore e una retta parallela all’asse, risulta tan θ = |Ay|/|Ax|.
E’ anche possibile scrivere un vettore per mezzo delle sue componenti cartesiane usando vettori unitari. Un vettore unitario, o versore, è un vettore senza dimensioni con modulo l ed è orientato in maniera conveniente. Per esempio, siano i, j e k versori orientati rispettivamente nelle direzioni x, y e z. Un vettore generico A può essere scritto come somma di tre vettori, ciascuno parallelo a un asse coordinato:
(3) A = |Ax|i + |Ay|j + |Az|k
Il vettore |Ax|i è il prodotto della componente |Ax| per il versore i. È un vettore parallelo all’asse x con modulo |Ax|. La somma vettoriale indicata nell’equazione (3) è illustrata nella figura seguente.

La composizione di due vettori A e B può essere scritta per mezzo di questi versori nella maniera seguente:
(4) A + B = (|Ax|i + |Ay|j + |Az|k) + (|Bx|i+ |By|j + |Bz|k) = (|Ax| + |Bx|) i + (|Ay| + |By|) j + (|Az| + |Bz|) k
15 – Proprietà dei vettori
Riassumiamo alcune importanti proprietà dei vettori.
Uguaglianza
Due vettori A e B sono per definizione uguali se hanno lo stesso modulo, stessa direzione e stesso verso:
- A = B
se |A| = |B| e le loro orientazioni sono uguali
Si osservi che non è necessario che gli estremi dei vettori siano gli stessi perché essi siano uguali. Due vettori sono uguali se le loro componenti cartesiane ortogonali corrispondenti sono uguali:
A = B se Ax = Bx, Ay = By, Az = Bz
Somma di vettori
La somma di due vettori A e B è definita geometricamente come nella figura seguente.

In questa figura, il punto origine del vettore B è portato a coincidere con il punto termine del vettore A. La somma C = A + B è il vettore che va dal punto origine di A al punto termine di B.
Una costruzione alternativa per trovare la somma di due vettori è portare a coincidere i punti origine dei vettori e costruire un parallelogrammo. Il vettore risultante è orientato lungo la diagonale del parallelogrammo.

Per mezzo della costruzione geometrica si può vedere che la somma dei due vettori è indipendente dall’ordine dei vettori. È la proprietà commutativa della somma:
A + B = B + A
La somma di tre o più vettori è indipendente dall’ordine in cui essi sono sommati. Questa è la proprietà associativa della somma, mostrata anche in figura seguente:
(A + B) + C = A + (B + C)

Opposto di un vettore
Il vettore – A è per definizione il vettore che, quando è sommato ad A, dà il vettore nullo:
A + (-A) = 0
Il vettore – A ha lo stesso modulo di A ma verso opposto (talvolta si esprime questa condizione dicendo che – A è parallelo e discorde o antiparallelo rispetto ad A). Le componenti di – A sono ciascuna l’opposto delle componenti di A. Cioè, se A ha componenti (|Ax|, |Ay|, |Az|) allora – A ha componenti (- |Ax|, – |Ay|, – |Az|).
Differenza di vettori
La definizione dell’opposto di un vettore consente di definire la differenza di vettori in maniera semplice. La differenza fra A e B è per definizione la somma di A e – B:
A – B = A + (- B)
La differenza di vettori è illustrata nella figura seguente (a). È spesso utile considerare il vettore A – B come il vettore che è sommato al vettore B per ottenere il vettore A. Questo concetto è illustrato nella figura in (b), dove i vettori A e B sono disegnati con i punti origine coincidenti. Allora il vettore A – B è disegnato dal punto termine di B al punto termine di A.

Prodotto di un vettore per uno scalare
Se si moltiplica un vettore A per uno scalare positivo c si ottiene il vettore cA, che ha la stessa orientazione di A e modulo c|A|.
Prodotto scalare tra due vettori
Il prodotto scalare di due vettori A e B si scrive A × B ed è per definizione:
(1) A × B = AB.cos φ
dove φ è l’angolo fra A e B (nei testi anglosassoni il prodotto scalare si indica con . e non con ×).

Il prodotto scalare A × B può essere considerato come il prodotto di A per la componente B cos φ nella direzione di A, o come il prodotto di B per la componente A cos φ nella direzione di B. Se A e B sono perpendicolari, il loro prodotto scalare è zero perché φ = 90°. Viceversa, se A × B = 0, o A = 0, o B = 0, o A e B sono mutuamente perpendicolari. Se A e B sono vettori paralleli, il prodotto scalare è semplicemente il prodotto dei loro moduli. Il prodotto scalare di un vettore per se stesso è il quadrato del modulo del vettore:
A × A = A2
Dalla definizione consegue che il prodotto scalare è indipendente dall’ordine di moltiplicazione A x B = B x A. È la cosiddetta proprietà commutativa della moltiplicazione. Il prodotto scalare ubbidisce anche alla proprietà distributiva della moltiplicazione:
(A + B) × C = A × C + B × C
Si può usare questo risultato per esprimere il prodotto di due vettori per mezzo delle loro componenti cartesiane ortogonali:
A × B = (Axi + Ayj + Azk) × (Bxi + Byj + Bzk) =
AxBxi × i + AxByi × j + AxBzi × k +
+ AyBxj × i + AyByj × j + AyBzj × k +
+ AzBxk × i + AzByk × j + AzBzk × k
Poiché i versori i, j e k sono mutuamente perpendicolari, tutti i prodotti scalari di due differenti versori nell’espressione precedente sono nulli. Perciò, sei dei nove termini sono nulli. Ciascuno dei termini rimanenti contiene il prodotto di un versore per se stesso. Poiché ciascuno di questi vettori ha modulo l, questi restanti prodotti scalari hanno semplicemente il valore l. Il prodotto A x B si riduce quindi a:
(2) A × B = AxBx + AyBy + AzBz
I vettori A e B sono espressi mediante le loro componenti cartesiane ortogonali, si può usare l’equazione (2) per trovare l’angolo compreso fra essi.
Se i vettori A e B sono funzioni del tempo, si calcola la derivata di A x B applicando la regola del prodotto per le derivate:
(3) d(A × B)/dt = A × dB/dt + B × dA/dt
Si può ottenere questo risultato prendendo la derivata del secondo membro dell’equazione (2). Poiché Ax e Bx sono funzioni scalari del tempo, si può applicare la regola del prodotto. Perciò, d(AxBx)/dt = AxdBx/dt + BxdAx/dt, e risultati analoghi si ottengono per gli altri prodotti. I sei termini così ottenuti sono uguali ai sei termini che si ottengono esprimendo il secondo membro dell’equazione (3) per mezzo delle loro componenti.
Prodotto vettoriale tra due vettori
In generale, il prodotto vettoriale o prodotto vettore di due vettori A e B, designato con A Λ B (da leggere A vettor B), è, per definizione:
un vettore il cui modulo è uguale all’area del parallelogramma formato dai due vettori (vedi figura a), la cui direzione è perpendicolare al piano contenente A e B e il cui verso è dato dalla regola della mano destra. Si sistemano i vettori A e B con i punti di applicazione coincidenti, senza variare il loro orientamento rispetto agli assi, e si immagina di far coincidere il dito indice con il primo dei due vettori (nel nostro caso A), ed il medio con il secondo vettore (nel nostro caso B), in modo che l’angolo da essi formato sia inferiore a 180°. Il pollice sistemato perpendicolarmente al piano di indice e medio indicherà il verso del vettore C.
Si può anche pensare di tenere il pugno della mano destra chiuso con il pollice aperto. Le dita piegate seguano la rotazione del primo vettore verso il secondo, allora il pollice indica il verso del prodotto.
Si può ancora pensare che, sempre con il pollice come indicatore, il verso di C sia dato dalla rotazione che porta il primo vettore sul secondo in verso antiorario.

Se φ è l’angolo fra i due vettori ed n è un versore perpendicolare a ciascuno e avente il verso descritto, il prodotto vettoriale di A per B è:
(4) A Λ B = AB sin φ n
La relazione fra i vettori A, B e A Λ B è illustrata nella figura b. Se A e B sono paralleli, A Λ B è nullo. Dalla definizione (4), consegue che:
(5) A /\ A = 0
e
(6) A /\ B = – B /\ A
Si dovrebbe rilevare che è importante l’ordine in cui i due vettori sono moltiplicati. A differenza della moltiplicazione dei numeri ordinari, cambiare l’ordine di due vettori in un prodotto vettoriale cambia il risultato. In realtà, com’è indicato nell’equazione (6), cambiare l’ordine dei fattori in un prodotto vettoriale cambia il segno del risultato. Il prodotto vettoriale di versori ortogonali si trova con facilità. Per esempio,
i /\ j = |i||j| sen 90°. k = k;
k /\ k = 0.
In modo analogo:
i /\ i = 0 i /\ j = k i /\ k = – j
j /\ i = – k j /\ j = 0 j /\ k = i
k /\ i = j k /\ j = – i k /\ k = 0
Alcune proprietà del prodotto vettoriale di due vettori sono le seguenti:
l. Proprietà associativa:
(7) A /\ (B + C) = A /\ B + A /\ C
2. Derivata:
se A e B sono funzioni di una certa variabile quale t, la derivata di A /\ B segue l’ordinaria regola per la derivazione di un prodotto di funzioni:
(8) d(A /\ B)/dt = A /\ dB/dt + dA/dt /\ B
Ricordando che si deve rispettare l’ordine corretto.
16 – Il vettore velocità
Siamo ora in grado di estendere i concetti di velocità e accelerazione al moto generale di una particella. Si consideri una particella che si muove lungo una curva in due dimensioni, come in figura.

In un certo istante tl si trova nel punto P1 e in un istante successivo t2 si trova nel punto P2. Si può descrivere la posizione della particella con un vettore r dall’origine alla posizione della particella. Questo vettore posizione, o raggio vettore, è speciale in quanto nella sua definizione si specifica la posizione del suo punto origine. Dalla figura si vede che il vettore spostamento è la differenza fra i due vettori posizione, r2 – r1. Lo spostamento in due (o in tre) dimensioni è:
Δr = r2 – r1
Il nuovo vettore posizione r2 è perciò la somma del vettore posizione iniziale r1 e del vettore spostamento Δr, come si può vedere dalla figura:
r2 = r1 + Δr
Per definizione il vettore velocità media è il rapporto fra il vettore spostamento Δr e l’intervallo di tempo in cui si produce tale spostamento Δt = t2 – t1:
vm = Δr/Δt
La velocità media è il prodotto di uno scalare (l/Δt) per un vettore (Δr) ed è perciò un vettore. Dalla figura precedente si vede che il modulo del vettore spostamento non è uguale alla distanza Δs percorsa dalla particella, misurata lungo la curva. È in realtà minore di questa distanza (salvo che la particella non si muova in linea retta fra i punti P1 e P2). Però, se si considerano intervalli di tempo sempre più piccoli, com’è indicato nella figura seguente, il modulo dello spostamento tende a diventare uguale alla distanza percorsa dalla particella lungo la curva, e l’orientazione di Δr tende a diventare uguale all’orientazione della tangente alla curva nel punto P1.

Per definizione, il vettore velocità istantanea è il limite a cui tende la velocità media quando l’intervallo di tempo Δt tende a zero:

La velocità istantanea è perciò la derivata del vettore posizione rispetto al tempo. La velocità istantanea è orientata lungo la tangente alla curva descritta dalla particella nello spazio. Il modulo della velocità istantanea è |ds/dt|, dove s è la distanza misurata lungo la curva. Il vettore posizione r può cambiare in modulo, in orientazione, o in entrambi. Se la particella si muove lungo una retta radiale passante per l’origine, come nella figura seguente, r cambia soltanto in modulo e il vettore velocità è parallelo a r.

La figura seguente rappresenta una particella che si muove intorno all’origine descrivendo una circonferenza di raggio r. In questo caso, il vettore posizione ha modulo costante, ma cambia verso. Il vettore velocità per questo moto è tangente alla circonferenza e perciò è perpendicolare al raggio vettore. Nel caso generale illustrato in figura il raggio vettore cambia sia in modulo sia in orientazione.

17 – Il vettore accelerazione
Il vettore accelerazione media è, per definizione, il rapporto fra la variazione del vettore velocità istantanea, Δv, e l’intervallo di tempo, Δt:
am = Δv/Δt = (v2 – v1)/Δt
Il vettore velocità istantanea è, per definizione, la derivata del vettore velocità rispetto al tempo:

È particolarmente importante rilevare che il vettore velocità può cambiare in modulo, in verso, o in entrambi. Se il vettore velocità cambia in qualche modo, la particella è soggetta a un’accelerazione secondo la definizione. Forse è più familiare l’accelerazione in cui il vettore velocità cambia in modulo, cioè in valore numerico. Però, una particella può muoversi con velocità costante in modulo ed essere tuttavia soggetta a un’accelerazione se cambia il verso del vettore velocità. Questa accelerazione è tanto reale quanto quella che si produce quando cambia il modulo del vettore velocità. Più oltre vedremo che occorre una forza per impartire un’accelerazione a una particella. La forza necessaria per impartire una data accelerazione (per esempio, l m/s2 verso il basso) a una particella è la stessa, sia questa accelerazione associata a una variazione del modulo del vettore velocità, a una variazione del suo verso, o a una combinazione di entrambe.
18 – Moto con accelerazione costante: il moto dei proiettili (composizione dei movimenti)
Consideriamo il piano xOy perpendicolare al suolo e spariamo un proiettile dall’origine O con velocità iniziale:
v0 = v0xi + v0yj
e con θ0 angolo formato tra v0 ed il verso positivo dell’asse x. Riferendoci alla figura, abbiamo:


v0x = v0 cos θ0 v0y = v0 sen θ0
Si osservi che, mentre le velocità cambiano continuamente, l’accelerazione si mantiene costante (g).
Il moto in considerazione può essere studiato come composizione di due moti, uno orizzontale e l’altro verticale, ciascuno dei quali indipendente dall’altro.
Moto orizzontale
x = x0 + v0xt à x – x0 = v0xt à
- x – x0 = (v0 cos θ0).t
Moto verticale
y = y0 + v0yt – ½gt2 à y – y0 = v0yt – ½gt2 à
- y – y0 = (v0 sen θ0).t – ½gt2
Per la velocità abbiamo :
vy = v0y – gt à vy = v0 sen θ0 – gt
e, ricordando che v2 – v02 = 2ax, che nel nostro caso diventa
vy2 = v0y2 + 2a(y – y0), troviamo:
vy2 = v0y2 – 2g(y – y0) à vy2 = (v0 sen θ0)2 – 2g(y – y0)
Traiettoria y = f(x)
Mettiamo a sistema la (1) e la (2)
(1) x – x0 = (v0 cos θ0).t
(2) y – y0 = (v0 sen θ0).t – ½gt2
ricaviamo t dalla (1)
t = (x – x0)/ (v0 cos θ0)
e sostituiamolo nella (2)
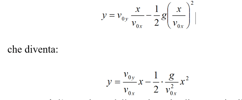
y – y0 = v0 sen θ0 .[(x – x0)/ (v0 cos θ0)]- ½g.[(x – x0)/ (v0 cos θ0)]2
Questa espressione, per y0 = x0 = 0 diventa:
y = tan θ0. x – g.x2/2(v0 cos θ0)2
e poiché g, θ0, v0 sono delle costanti, per la traiettoria avremo una parabola del tipo
y = – Ax2 + Bx
Gittata orizzontale R
Ponendo x – x0 = R e y – y0 = 0 si ha:
R = v0xt =>
(3) R = (v0 cos θ0).t
Abbiamo poi:
0 = v0yt – ½gt2 =>
(4) 0 = (v0 sen θ0).t – ½gt2
Ricavando t dalla (3) e sostituendolo nella (4) si ha :
R = (2v02/g). sen θ0 cos θ0 =>
R = (v02/g). sen 2θ0
ed il massimo per questa espressione della gittata si ha per sen 2θ0 = 1, quindi per 2θ0 = 90° e cioè per θ0 = 45°.
19 – Altro possibile approccio al medesimo argomento
Un importante caso particolare di moto in due o in tre dimensioni si ha quando l’accelerazione è costante sia in modulo sia in verso. Un esempio di moto con accelerazione costante è quello di un proiettile vicino alla superficie della Terra se si può trascurare l’attrito dell’aria.
Sia a0 il vettore accelerazione istantanea. L’accelerazione a0, essendo costante, è uguale all’accelerazione media durante qualunque intervallo di tempo Δt. L’equazione che ci forniva l’accelerazione media è quindi:
Δv = a0. Δt
Se v0 è la velocità nell’istante t = 0 e v è la velocità istantanea in un istante generico t, si ha:
v – v0 = a0(t – 0)
da cui
v = v0 + a0t
Si vedano nella figura seguente (a) le relazioni esistenti tra i tre vettori discussi:

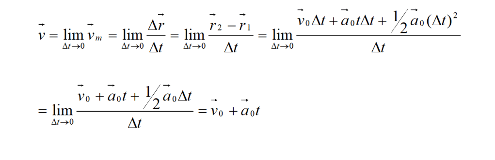
Il vettore posizione r, che come visto ha per derivata rispetto al tempo il vettore velocità (dr/dt = v), è dato da (si ricordi l’espressione trovata per x(t) quando abbiamo parlato di moto con accelerazione costante):
r = r0 + v0t + ½a0t2
dove r0 è il vettore posizione all’istante t = 0. Ma vediamo come ricavare la relazione precedente mediante il calcolo diretto della derivata dr/dt. Siano r1 ed r2 i vettori posizione negli istanti t e t + Δt. Utilizzando la relazione precedente il vettore r2 risulterà successivamente:
r2 = r0 + v0(t + Δt) + ½a0(t + Δt)2
= r0 + v0t + v0Δt + ½a0t2 + ½a0Δt2
= r1 + v0Δt + a0tΔt + ½a0Δt2
Da questa relazione si ricava subito
r2 – r1 = v0Δt + a0tΔt + ½a0Δt2
E’ allora facile trovare il valore della velocità istantanea come limite, per Δt -> 0, della velocità media così come in precedenza definita:

La figura (b) precedente mostra la relazione vettoriale esistente tra il vettore spostamento r – r0, la velocità iniziale v0 e l’accelerazione a0.
Le relazioni vettoriali viste possono valere sia nel caso bidimensionale che in quello tridimensionale, basta assegnare ai vettori le componenti del piano o dello spazio. Studiamo ora un caso bidimensionale supponendo che la particella si muova in un piano x,y (con l’asse z perpendicolare ad esso). Le componenti delle equazioni vettoriali ora viste su questo piano sono (si veda la figura seguente):

vx = v0x + a0xt
x = x0 + v0xt + ½a0xt2
vy = v0x + a0xt
y = y0 + v0yt + ½a0yt2
[per ottenere un moto in tre dimensioni, parallelo al piano x,y, basta aggiungere le due equazioni vz = 0 e z = z0].
Quando l’accelerazione è costante, il moto si svolge in un piano e i moti x ed y possono essere descritti separatamente mediante equazioni identiche a quelle per il moto unidimensionale con accelerazione costante.
Si possono applicare questi risultati al moto di un proiettile, cioè, di qualsiasi corpo lanciato nell’aria e lasciato muovere liberamente. Se si trascura la resistenza dell’aria, l’accelerazione di un proiettile è l’accelerazione di gravità g. (Trascureremo per semplicità gli effetti della resistenza dell’aria, sebbene tali effetti siano importanti nel moto dei proiettili reali). Se il moto si svolge vicino alla superficie della Terra e si può trascurare la curvatura della Terra, l’accelerazione g è un vettore costante diretto verso il basso con modulo pari a circa 9,8 m/s2. Scegliamo come piano del moto il piano x,y, con l’asse y verticale e l’asse x parallelo alla superficie della Terra. Se il verso positivo sull’asse y è scelto verso l’alto, l’accelerazione del proiettile è:
a = – g.j
e, applicando le equazioni precedenti con a0x = 0 ed a0y = – g, si ha:
vx = v0x
x = x0 + v0xt
vy = v0y – gt
y = y0 + v0yt – ½gt2
(Si possono semplificare lievemente queste equazioni scegliendo l’origine nel punto di proiezione, in modo che x0 = y0 = 0).
Le componenti x e y della velocità iniziale sono correlate con il modulo della velocità iniziale v0 e con l’angolo di proiezione θ0 (l’angolo fra la velocità iniziale e l’orizzontale), com’è illustrato nella figura:

v0x = v0 cos θ0
v0y = v0 sen θ0
Si possono applicare questi metodi per trovare la gittata R per una v0 ed un θ0 generici. L’intervallo di tempo per raggiungere il punto più alto si può trovare ponendo vy = 0 nell’equazione vista (vy = v0y –gt):
t = voy/g
La gittata è quindi la distanza orizzontale percorsa in un intervallo di tempo doppio di questo:

:
Poiché il valore massimo di sen 2θ0 è l quando 2θ0 = 90° ossia θ0 = 45°, la gittata assume il valore massimo v02/g quando θ0 = 45°. (Questo calcolo, ricordiamolo, è fatto nell’approssimazione di resistenza dell’aria nulla. Con la resistenza dell’aria la gittata massima è alquanto minore di 45°).
L’equazione generale per la traiettoria, y(x), si può ricavare dalle equazioni x = x0 + v0xt e y = y0 + v0yt – ½gt2, che abbiamo precedentemente trovato, eliminando la variabile t. Scegliendo x0 = y0 = 0 e usando t = x/v0x nell’ultima equazione ricordata, si ottiene:

:
e questa è l’equazione della traiettoria di un proiettile che può essere rappresentata come in figura dove il vettore velocità con le sue componenti è disegnato in differenti punti:

Secondo la nostra analisi del moto di un proiettile, un corpo lasciato cadere da un’altezza h rispetto al suolo colpirà il suolo nello stesso istante in cui lo raggiunge un corpo lanciato in direzione orizzontale dalla stessa altezza. In ogni caso, la distanza di cui il corpo cade è data da d = ½gt2 (se si misura d verso il basso rispetto all’altezza iniziale). Questo fatto notevole può essere dimostrato con facilità.
Vediamo in altro modo quanto ora detto discutendo il problema del lancio di un proiettile come composizione di due movimenti: quello orizzontale in moto uniforme e quello verticale in moto uniformemente accelerato.
Supponiamo di considerare un aereo, in moto uniforme con velocità v0 che, all’istante t = 0, lasci cadere un dato oggetto P. Seguiamo il moto dell’oggetto lasciato cadere lungo l’asse x (seguendo la componente Px) e, subito dopo, lungo l’asse y (seguendo la componente Py).
Moto di Px => x = v0t vx = v0
Moto di Py => y = ½gt2 vy = gt ay = g
Ricavato il tempo t dalla prima relazione che ci fornisce il moto di Px:
t = x/v0
lo sostituiamo nella prima che ci fornisce il moto di Py:
y = ½g(x/v0)2 e cioè y = (g/2v02).x2
(dove v = √x2 + y2 e tan θ = vy/vx)
e l’ultima espressione è quella di una parabola che, preso il verso dell’asse y diretto verso il basso, è rappresentabile come in figura:

20 – Moto circolare uniforme
Si consideri ora una particella che descriva nel suo moto una traiettoria circolare di raggio R, con velocità costante di modulo |v| (ricordo che la velocità è un vettore e si ha variazione di velocità anche variando il suo verso).

Si definisce velocità angolare la quantità ω:

Osserviamo che
2πR : 360° = ds : dθ => 2πR/2π = ds/dθ =>
R = ds/dθ => ds = R dθ.
Sostituendo quest’ultima relazione in quella che ci fornisce la velocità (periferica) in un moto uniforme, v = ds/dt, si trova:
v = R.dθ/dt = ωR => v!R = ω
espressione che lega la velocità angolare ω con quella tangenziale v.
Con definizioni del tutto generali si ha poi:

che si misura in secondi alla meno uno o hertz (s-1 = Hz)
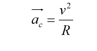
Accelerazione centripeta

Consideriamo una particella in moto circolare nelle due posizioni A e B (si veda figura a). La velocità sia v1 in A e v2 in B, con |v| il suo valore in modulo. Sia poi Δs la corda (attenzione corda e non arco) che lega A e B. Nella figura b, in accordo con la definizione di differenza tra vettori, è riportato il vettore v1 cambiato di segno e spostato (parallelamente a se stesso) all’estremo di v2 per poterlo sottrarre a quest’ultimo. Si ha:
Δv = v2 + (– v1) = v2 – v1
Osserviamo ora la similitudine tra i due triangoli OAB e BCD, dalla quale si trova successivamente:
Δv : Δs = v : R à Δv/Δs = v/R à Δv = (v/R).Δs à
(dividendo ambo i membri per Δt)

In definitiva si trova il valore dell’accelerazione centripeta:

E’ appena il caso di ricordare che l’accelerazione tangenziale è nulla:

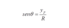
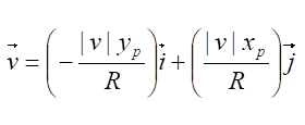
Dimostriamo ora per via vettoriale la relazione vista che fornisce l’accelerazione centripeta

Riferendoci alle figure precedenti troviamo:

E poiché si ha:


Si trova:

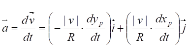
Trovata la velocità possiamo passare all’accelerazione, tenendo conto che |v| ed R non variano rispetto al tempo:

Osserviamo ora che

.
e questo è il vettore rappresentato nella figura (c). Passiamo ora a ricavarci |a|:

Si osservi che tan Φ = ay/ax = tan θ e quindi θ = Φ, da cui si ricava che l’accelerazione ha la direzione di R e quindi è diretta verso il centro.
21 – Oscillazioni: moto armonico semplice (primo approccio)
Consideriamo il punto P che si muova di moto circolare uniforme sulla circonferenza di figura in verso orario. La proiezione sul diametro di questo moto è il moto armonico semplice.

Quanto detto vuol dire che noi dovremo seguire il moto di Px da quando inizia il moto di P a partire dall’istante in cui Px si trova in O. L’andamento di questo moto sarà sinusoidale, con ampiezza massima uguale a quella del raggio R della circonferenza, come mostrato nella figura seguente:

Detta x la distanza di Px da O, avremo la funzione:
- x = R sen ωt
con R = ampiezza del moto armonico ed ω = pulsazione del moto armonico. Il periodo e la frequenza sono quelli definiti nel moto circolare uniforme.
La velocità istantanea di Px è la proiezione del vettore velocitò su AB, cioè:

Tale velocità può anche essere trovata come derivata dello spazio x percorso rispetto al tempo:

(3)
Più in generale l’equazione oraria di un moto armonico è data da:
(5) x = R.sen (ωt – φ) (*)
che si può anche scrivere:
(6) x = R.sen ω(t – φ/ω)
relazione comoda quando iniziamo a studiare il moto non a t = 0 ma a t = φ/ω.
Se il moto armonico è riferito all’asse y avremo:
(7) y = cos ωt = sen (ωt + π/2)
Combinando questo moto con l’altro che abbiamo visto, x = sen ωt, avremo un moto circolare uniforme. Si tratta del moto risultante di due moti armonici con la stessa ampiezza, ad angolo retto fra loro e sfasati di π/2. Per ampiezze tra loro differenti il moto risultante è ellittico.
—————-
(*) Faccio ora un breve inciso per evitare confusioni possibili dalla lettura di differenti testi.
La relazione (5) può essere scritta, più in generale, in vari modi. In particolare:
(5’) x = A.sen (ωt + φ)
oppure:
(5”) x = A.cos (ωt + φ)
Dipendendo la scelta da dove, sugli assi, si considera l’origine O del moto. Di seguito riassumo graficamente le diverse curve che si possono incontrare.
x = sen ωt

x = sen (ωt + φ)

x = cos ωt

x = cos (ωt + φ)

22 – Le trasformazioni di Galileo
Cominciamo con il ricordare, nella sua moderna formulazione, il principio di relatività:
Le leggi della meccanica hanno la stessa forma in tutti i sistemi inerziali;
oppure, che è lo stesso:
Le leggi della meccanica restano invariate rispetto a tutti i sistemi di riferimento animati di moto traslatorio uniforme gli uni rispetto agli altri.
Come conseguenza del principio di relatività discende l’impossibilità, mediante esperienze di meccanica eseguite su di un sistema di riferimento, di mettere in evidenza l’eventuale moto rettilineo uniforme (velocità costante) di tale sistema rispetto ad un altro supposto in quiete.
E questo è un dato dell’esperienza quotidiana: se siamo in casa e ci versiamo acqua in un bicchiere ci aspettiamo che l’acqua vada nel bicchiere; allo stesso modo ci si aspetta che l’acqua vada nel bicchiere quando l’operazione avviene su di un treno, alla velocità che volete ma costante e lungo un percorso rettilineo(1). Si ricordi a questo punto il passo di Galileo, e relativo alla stiva di una nave(2). In definitiva, se ci troviamo chiusi in un vagone blindato (e supponiamo un isolamento perfetto che ci impedisca di sentire vibrazioni, rumori od altro) non siamo in grado di capire se il vagone è fermo o in moto: le cose che comunemente facciamo vanno allo stesso modo in ambedue i casi. Il fatto è ancora più evidente (e qui non serve supporre alcun isolamento) quando ci troviamo su di un treno in una stazione. Quante volte ci è capitato di trovarci affiancati ad un altro treno ed al momento di una partenza non riuscire a capire chi si stava muovendo? Quello che abbiamo percepito è solo un moto relativo, ma, in assoluto, non siamo stati in grado di dire quale era il movimento “vero”. Anche qui c’è sempre venuto in aiuto spontaneamente il “buon senso”. Ci siamo affacciati al finestrino ed abbiamo guardato il marciapiede. Se eravamo fermi rispetto al marciapiede era l’altro treno che partiva, altrimenti era il nostro.
Per illustrare questo fenomeno in un modo semplice e suggestivo si può ricorrere ad una locomotiva-giocattolo attrezzata in modo particolare. Il fumaiolo della locomotiva è in grado di “sparare” verticalmente verso l’alto una piccola pallina, la quale appena ha raggiunto il vertice della sua traiettoria ricade poi giù, dentro lo stesso fumaiolo che l’ha sparata. E questo naturalmente quando la locomotiva è ferma sul tavolo. Se poi gli date la carica e la fate camminare a velocità costante, vi accorgete che la pallina sparata ricade sempre dentro il fumaiolo. Evidentemente c’è l’opportunità con questa semplice esperienza, che tra l’altro si può eseguire con foto stroboscopi che, di evidenziare la stretta correlazione tra principio di relatività e principio d’inerzia (si tratta di sottolineare che la componente verticale del moto della pallina rimane immutata nei due casi). Anche qui osservando solo il fenomeno di ricaduta della pallina nel fumaiolo, non siamo in grado di dire se la locomotiva è ferma o in moto.
LE TRASFORMAZIONI DI GALILEO
Abbiamo detto più volte che le leggi della meccanica sono le stesse per due sistemi di riferimento in moto relativo (rettilineo ed uniforme), l’uno rispetto all’altro. Dir questo non significa però che le posizioni e le velocità di un corpo siano le stesse per i due sistemi di riferimento in considerazione.
Un oggetto in moto in uno dei due riferimenti sarà descritto in un modo da un osservatore che si trova sullo stesso riferimento ed in un altro da un osservatore che si trova sull’altro.
L’esempio che abbiamo fatto, di un oggetto in moto, è ancora particolare. Conviene dare una descrizione più generale e riferirsi anziché ad un fatto particolare, ad un fatto qualunque, più generale, che chiamiamo evento. Ebbene, un qualunque evento ha luogo in un determinato punto dello spazio e ad un certo istante. Noi sappiamo già come rappresentare un punto nello spazio se il nostro spazio è un ordinario spazio euclideo con la sua rappresentazione cartesiana.
La fig. 24 mostra che per indicare il punto P su un sistema di assi cartesiani ortogonali occorrono le tre coordinate x, y e z.

Allora se il sistema di coordinate cartesiane rappresenta il nostro sistema di riferimento, l’evento P sarà localizzato nello spazio da x, y e z. Ciò però non basta per definire completamente l’evento. Serve anche dire l’istante in cui esso avviene e per far questo occorre introdurre una quarta coordinata: il tempo t. Ed in ultima analisi una quaterna x, y, z, t individua univocamente un evento. Un esempio semplice ci aiuta a capire questo fatto. Un aereo nello spazio è localizzato ad un certo istante da x1, y1, z1 e t1. Se un altro aereo si trova nella stessa posizione spaziale x1, y1, z1, in un tempo diverso t2 non accade nulla di particolare, ma se per disgrazia esso si trova nella stesso posizione del primo aereo nello stesso istante t1, allora la quaterna x1, y1, z1 e t1 del primo aereo coinciderà con quella del secondo e ci sarà una collisione.
Ebbene, le coordinate di uno stesso evento cambiano se cambiamo sistema di riferimento (che qui come nel seguito sarà inerziale) dal quale osserviamo l’evento in questione.
La fig. 25 mostra che, rispetto alla terna cartesiana Oxyz, il punto P ha coordinate P = (x, y, z);

mentre, rispetto alla terna O’x’y’z’ il punto P ha coordinate P = (x’, y’, z’). Se supponiamo che P rappresenta un evento osservato nello stesso istante dai due riferimenti, ci convinciamo che osservatori diversi daranno “posizioni” diverse per P per il semplice fatto che hanno l’origine, del sistema di unità di misura, spostata.
La cosa è ancora più evidente se i due sistemi di riferimento sono in moto rettilineo uniforme l’uno, relativamente all’altro.
Se consideriamo una palla che cade all’interno di un vagone in marcia con velocità v, essa verrà descritta con equazioni diverse da due osservatori che si trovino uno sul treno ed uno a terra.
La palla si muoverà lungo un’asse verticale che ha l’orientazione positiva verso l’alto. Pertanto l’osservatore che si trova sul treno descriverà il moto della palla (inizialmente nella posizione x0, y0, z0) con l’equazione del moto uniformemente accelerato:
y = y0 – 1/2 gt2
egli, inoltre, non osserverà spostamenti diversi da quello verticale e dovrà ammettere che:
x = xo
z = zo
L’osservatore solidale con la Terra vedrà le cose andare in modo diverso. La palla parte sempre da una determinata posizione che sarà ora x’0, y’0, z’0.
Dall’istante in cui è lasciata cadere all’istante in cui arriva al suolo trascorre un tempo t nel quale il treno ha percorso un tratto d = v t. Ebbene l’osservatore a terra vedrà la palla cadere non verticalmente ma con una traiettoria parabolica dovuta al fatto che nel tempo necessario alla palla per arrivare al suolo il treno si è spostato del tratto d.
Si dovranno pertanto comporre i due moti della palla, quello verticale lungo y’ e quello orizzontale lungo x’.
In definitiva l’osservatore a terra descriverà il fenomeno così:
y’ = y’0 – 1/2 gt2
x’ = x’0 + v t = x’0 + d
z’ = z’0
Come si vede la descrizione lungo y’ e z’ è la stessa che si ha lungo y e z (a meno di una traslazione di coordinate). Si hanno invece descrizioni diverse lungo l’asse orizzontale.
Nel far questo esempio abbiamo anticipato alcune cose non avendole spiegate compiutamente. Per farlo occorre procedere con ordine riprendendo da dove avevamo lasciato.
Il problema che abbiamo è il seguente:
poiché la descrizione del moto è diversa in due diversi sistemi di riferimento, si tratta di trovare le leggi (le equazioni di trasformazione) che ci permettano di passare da un sistema di riferimento ad un altro.
Note quindi posizioni e velocità di un certo oggetto in un dato sistema di riferimento S (supposto fermo) si tratta di calcolarle in un altro sistema di riferimento S’ in moto rettilineo uniforme con velocità u rispetto al primo.
A questo punto faccio una semplificazione che non modifica la sostanza del fenomeno ma rende più agevoli i calcoli: supponiamo che gli assi cartesiani ortogonali che rappresentano i nostri sistemi di riferimento abbiamo la stessa orientazione e che la direzione del moto (con velocità v) coincida con la direzione comune di un asse (x ed x’) ed inoltre che al tempo t = 0 le origini dei due riferimenti coincidano. Insomma, si tratta di studiare il problema in una dimensione anziché complicarlo in tre dimensioni.
Le ipotesi implicite che ammettiamo nel portare avanti le nostre operazioni di misura sui due sistemi di riferimento (si badi bene: con regoli ed orologi) sono:
- i regoli (una volta confrontati e calibrati l’uno con l’altro a riposo), rimangono della stessa lunghezza quando si confrontano in moto relativo l’uno rispetto all’altro(3);
- gli orologi, una volta sincronizzati e calibrati a riposo, mantengono il loro ritmo e danno letture in accordo anche se sono in moto relativo l’uno rispetto all’altro. Ciò ci porterà a dire che in ogni caso t = t’.
Riportiamo in fig. 26 i due riferimenti nell’istante t = 0 (o t’ = 0), quando, come abbiamo detto, le origini coincidono (per rendere più chiara la figura gli assi dei due riferimenti, che dovrebbero coincidere, sono stati disegnati un poco spostati l’uno rispetto all’altro).

Chiamiamo ora S il sistema individuato dalla terna Oxyz ed S’ il sistema O’x’y’z’. Supponiamo poi che S’ si sposti, relativamente ad S (supposto in quiete), con velocità u. Poiché abbiamo semplificato il problema riportandolo ad una sola dimensione, non dobbiamo seguire gli spostamenti del corpo da studiare lungo gli assi y (e y’) e z (e z’); dovremo solo studiare le sue posizioni e velocità sugli assi x ed x’. Pertanto sarà sufficiente riportare in figura solo le posizioni relative dell’asse x e dell’asse x’. In definitiva, dopo un tempo t = t’ = 0, i due sistemi saranno situati, l’uno rispetto all’altro, come riportato in fig. 27 (anche qui i due assi, che dovrebbero coincidere per le ipotesi iniziali, sono stati disegnati l’uno splittato rispetto all’altro). Il tratto d che in figura separa O da O’ è il tratto che il sistema S’ percorre, marciando alla velocità u, nel tempo t (o t’), cioè: d = u t (oppure d = u t’).

Dopo aver fissato tutti questi preliminari (che sono utili solo alla semplificazione della comprensione dei fenomeni senza modificarne il significato fisico), consideriamo un evento qualsiasi P che si svolga su S e descriviamolo da S’. Supponiamo che P rappresenti una pallina che si muova su S, lungo il verso positivo della x, con velocità v. Dopo un tempo t ¹ la pallina occupa su S la posizione x. La prima questione che si pone è: qual è la posizione x’ che l’osservatore su S’ misura per P?
In fig. 28 è riportata la situazione:

Si vede subito che:
x = x’ + d Þ x’ = x – d Þ x’ = x – ut
Poiché poi non ci sono variazioni di posizione della pallina lungo l’asse y e lungo l’asse z, allo stesso modo non vi saranno variazioni lungo y’ e z’. Si potrà quindi scrivere:
y’ = y e z’ = z
Da ultimo ricordando l’ipotesi che il tempo scorre allo stesso modo nei due riferimenti (tempo assoluto) si potrà scrivere:
t’ = t
Abbiamo così un gruppo di equazioni di trasformazione (trasformazioni di Galileo) che ci permette, come volevamo, di passare dalla descrizione dell’evento (x, y, z, t) in S alla descrizione dell’evento (x’, y’, z’, t’) in S’. Ogni dato di S è trasformato in un dato di S’.
Concludendo, la trasformazione di Galileo per la posizione è data da:
x’ = x – ut
y’ = y
(1) z’ = z
t’ = t
L’esempio visto può essere letto in altro modo, in accordo con il principio di relatività, e cioè si può pensare il sistema S’ in quiete mentre il sistema S è in moto rettilineo uniforme a velocità u in verso opposto (cioè a velocità – u). Si può allora pensare la particella in moto su S’ e chiedersi cosa osserviamo su S. La situazione è illustrata in fig. 29

Anche qui si ricava subito che:
x = x’ + d Þ x = x’ + u t’
Poiché valgono le considerazioni fatte prima a proposito di y, z e t, la trasformazione di Galileo in questo caso è data da:
x = x ‘ + u t’
y = y’
(2) z = z’
t = t’
e la differenza di segno con la trasformazione precedentemente vista è mera conseguenza dell’avere considerato ora una velocità con verso opposto a quella vista prima:
[x = x’ – ( – u t’) Þ x = x’ + u t’](4)
Trovate le equazioni di trasformazione per la posizione cerchiamo quelle per la velocità utilizzando sempre una pallina nelle stesse condizioni dell’esempio precedente. Questa pallina si muove con velocità costante v in S; quanto varrà la sua velocità v’ in S’?
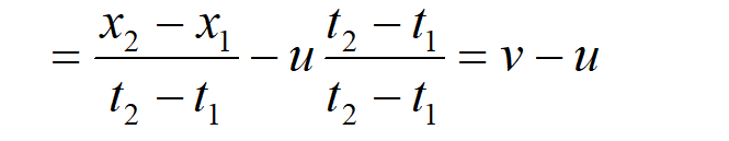
Per far questo utilizziamo semplicemente la definizione di velocità in un moto rettilineo uniforme: v = s / t e quindi v’ = s’ / t’. Nel nostro caso sarà:
s = x2 – x1; t = t2 – t1
s’ = x’2 – x’1; t’ = t’2 – t’1
Ed allora risulta facile arrivare alla conclusione con una sostituzione e pochissimi passaggi. Si ha:


In definitiva si ha:
(4) v’ = v — u
e questa è l’equazione di trasformazione per le velocità che trasforma un moto uniforme in un altro moto uniforme.
Per vedere cosa accade per l’equazione di trasformazione delle accelerazioni partiamo anche qui dalla definizione di accelerazione in un moto uniformemente accelerato (a = Δv /Δt) considerando la pallina P dotata di una accelerazione a su S. Quale sarà l’accelerazione a’ che la pallina risulterà avere su S’?
Nel nostro caso è:
Δv = v2 – v1 Δt = t2 – t1
Δv ‘ = v’2 – v’1 Δt’ = t’2 – t’1
Si ha allora:

In definitiva si ha che:
(6) a’ = a
fatto molto importante ma che per molti versi dovevamo aspettarci.
Innanzitutto la (6) dice che le accelerazioni di un corpo su qualunque sistema inerziale hanno un valore assoluto, non dipendono cioè dal particolare riferimento inerziale rispetto al quale le misuriamo.
Inoltre il fatto che a’ sia uguale ad a garantisce la validità del 2° principio della dinamica (F = m a)(5) nei due riferimenti (e quindi in tutti i riferimenti inerziali), fatto questo che è addirittura tautologico perché eravamo partiti dall’affermare che i sistemi inerziali erano quelli sui quali valevano le leggi della meccanica ed ora ci troviamo a dire che su questi sistemi vale il 2° principio il quale è una legge fondamentale della meccanica stessa(6).
Per concludere si può dire che la 2° legge della dinamica è invariante per una trasformazione di Galileo.
Vediamo ora come vanno le cose quando consideriamo una delle più importanti leggi della dinamica: la conservazione della quantità di moto.
Supponiamo che due palline P1 e P2, di massa rispettivamente m1 ed m2, in moto con velocità v1 e v2 lungo l’asse x di S, subiscano un urto ad un certo istante t.
La conservazione della quantità di moto garantisce che la somma delle quantità di moto delle palline prima dell’urto sia uguale alla somma delle quantità di moto delle stesse dopo l’urto. Se w1 e w2 sono le rispettive velocità delle palline dopo l’urto, deve risultare in S:
(7) m1 v1 + m2 v2 = m1 w1 + m2 w2
Vogliamo ora osservare questo fenomeno dal sistema S’ che, ricordiamolo, è in moto con velocità costante u rispetto ad S (supposto in quiete).
La quantità di moto totale delle due palline prima dell’urto sarà data da:
m1 v’1 + m2 v’2
Applichiamo a questa relazione l’equazione (4) di trasformazione delle velocità. Otteniamo:
m1 v’1 + m2 v’2 = m1 (v1 – u) + m2 (v2 – u) =
= m1 v1 – m1 u + m2 v2 – m2 u = m1 v1 + m2 v2 – m1 u – m2 u
Sostituendo la (7) in quest’ultima espressione si ha:
m1 v’1 + m2 v’2 = m1 w1 + m2 w2 – m1 u – m2 u =
= m1 (w1 – u) + m2. .(w2 – u)
Ed in definitiva, se osserviamo che:
w1 – u = w’1 e w2 – u = w’2
risulta:
m1 v’1 + m2 v’2 = m1 w’1 + m2 w’2
e questa relazione dice che la quantità di moto si conserva anche se il fenomeno è osservato da un riferimento in moto con velocità costante u.
Si può allora dire che anche la conservazione della quantità di moto è invariante rispetto ad una trasformazione di Galileo.
Per concludere queste note, un’ultima importante considerazione su un’ipotesi implicita che abbiamo fatto rispondente semplicemente al buon senso. Non occorrerebbe neanche farla se non dovessimo poi tornarci sopra e se non sapessimo già che le cose in altre condizioni vanno in modo diverso.
Ebbene l’ipotesi implicita in tutte le considerazioni che abbiamo fatto è che si possa parlare di simultaneità, che esistano cioè eventi simultanei.
Il simultaneo è ciò che avviene allo stesso istante e due eventi sono simultanei se avvengono allo stesso istante di tempo.
Quando abbiamo detto che le misure di lunghezza sui nostri riferimenti inerziali le facevamo con dei regoli abbiamo nei fatti ammesso che per ogni lunghezza eseguivamo due misure: se, ad esempio, il risultato di una misura era una lunghezza x, in realtà noi facevamo coincidere il nostro regolo con l’origine O del sistema di riferimento e con il punto di ascissa x; era questa coincidenza simultanea degli estremi del regolo con gli estremi della lunghezza da misurare che ci dava il risultato. E’ evidente che la misura debba essere simultanea; infatti il non operare simultaneamente “sarebbe come se per determinare la lunghezza di un pesce che nuota misurassimo la posizione della coda ad un certo istante e quella della testa ad un altro istante“(7) (con la conseguenza che un pesciolino d’acquario risulterebbe lungo come uno squalo).
La conclusione che si trae è quella ovvia che la fisica classica del resto postula: le misure di lunghezza sono, su differenti sistemi inerziali, assolute, cioè danno sempre gli stessi risultati su qualunque sistema inerziale si eseguano.
Confrontando questo risultato con gli altri trovati o postulati, se ne trae che le tre grandezze alla base della meccanica (lunghezza, massa e tempo) sono invarianti rispetto ad una trasformazione di Galileo, esse non dipendono dal fatto che l’osservatore si muova o meno su di un sistema inerziale.
NOTE
(1) I guai cominciano quando il treno frena o accelera o fa una curva: in questo caso l’acqua aspettata nel bicchiere ce la troviamo sugli abiti. In tutti questi casi (variazione di velocità o di direzione) si ha l’insorgere di strani effetti dovuti all’introduzione di forze.
(2) Dice Galileo per bocca di Salviati:
“Riserratevi con qualche amico nella maggiore stanza che sia sottocoverta di alcun gran navilio, e quivi fate d’aver mosche, farfalle e simili animaletti volanti; siavi anco un gran vaso d’acqua, e dentrovi de’ pescetti; sospendasi anco in alto qualche secchiello, che a goccia a goccia vadia versando dell’acqua in un altro vaso di angusta bocca, che sia posto a basso: e stando ferma la nave, osservate diligentemente come quelli animaletti volanti con pari velocità vanno verso tutte le parti della stanza; i pesci si vedranno andar notando indifferentemente per tutti i versi; le stille cadenti entreranno tutte nel vaso sottoposto; e voi, gettando allo amico alcuna cosa, non più gagliardamente la dovrete gettare verso quella parte che verso questa, quando le lontananze sieno eguali; e saltando voi, come si dice, a pie giunti, eguali spazii passerete verso tutte le parti. Osservate che avrete diligentemente tutte queste cose, benché niun dubbio ci sia che mentre il vassello sta fermo non debbano succeder così, fate muover la nave con quanta si voglia velocità; che (pur che il moto sia uniforme e non fluttuante in qua e in là) voi non riconoscerete una minima mutazione in tutti li nominati effetti, ne da alcuno di quelli potrete comprender se la nave cammina o pure sta ferma; voi saltando passerete nel tavolato i medesimi spazii che prima ne, perché la nave si muova velocissimamente, farete maggior salti verso la poppa che verso la prua, benché, nel tempo che voi state in aria, il tavolato sottopostovi scorra verso la parte contraria al vostro salto: e gettando alcuna cosa al compagno, non con più forza bisognerà tirarla , per arrivarlo, se egli sarà verso la prua e voi verso poppa, che se voi fuste situati per l’opposito; le gocciole cadranno come prima nel vaso inferiore, senza caderne pur una verso poppa, benché , mentre la gocciolina è per aria, la nave scorra molti palmi;’ i pesci nella lor acqua non con più fatica noteranno verso la precedente che verso la susseguente parte del vaso, ma con pari agevolezza verranno al cibo posto su qualsivoglia luogo dell’orlo del vaso; e finalmente le farfalle e le mosche continueranno i loro voli indifferentemente verso tutte le parti, ne mai accaderà che si riduchino verso la parte che riguarda lo poppa, quasi che fussero stracche in tener dietro al veloce cerso della nave , dalla quale per lungo tempo trattenendosi per aria, saranno state separate; e se abbruciando alcuna lagrima d’incenso si farà un poco di fumo, vedrassi ascender in alto ed a guisa di nugoletta trattenervisi, e indifferentemente muoversi non più verso questo che quella parte. E di tutta questa corrispondenza d’effetti ne è cagione l’esser il moto della nave comune a tutte le cose contenute in essa ed all’aria ancora, che per ciò dissi io che si stesse sotto coverta; che quando si stesse al di sopra e nell’aria aperta e non seguace del corso della nave, differenze più e men notabili si vedrebbero in alcuni de gli effetti nominati; e non è dubbio che il fumo resterebbe indietro, quanto l’aria stessa; le mosche parimente e le farfalle, impedite dall’aria, non potrebber seguir il moto della nave, quando da essa per spazio assai notabile si separassero; ma trattenendovisi vicine, perché la nave stessa, come di fabbrica anfrattuosa, porta seco parte dell’aria sua prossima, senza intoppo o fatica seguirebbon la nave, e per simil cagione veggiamo tal volta, nel correr la posta, le mosche importune e i tafani seguir i cavalli, volandogli ora in questa ed ora in quella parte del corpo; ma nelle gocciole cadenti pochissima sarebbe la differenza, e ne i salti e ne i proietti gravi, del tutto impercettibile”.
Questo brano, molto bello, dice certamente di più di qualunque altro discorso si voglia fare in proposito.
(3) Vedi Bibliografia 2, pag. 5. Ciò è in accordo con l’assunto di spazio e di tempo assoluto.
(4) Per ulteriori considerazioni su queste equazioni di trasformazione, si veda Bibliografia 2, pag. 6.
(5) II fatto che la massa non rimanga la stessa nei due riferimenti non è neanche preso in considerazione almeno fino agli inizi del ‘900.
(6) Si potrebbero fare altre considerazioni a proposito delle relazioni intercorrenti tra principio d’inerzia e 2ª legge della dinamica per le quali rimandiamo a Bibliografia 1, pagg. 262, 264.
(7) Vedi Bibliografia 2, pag. 7. 144
BIBLIOGRAFIA
(1) E. Mach – La meccanica nel suo sviluppo storico-critico – Boringhieri.
(2) R. Resnik – Introduzione alla relatività ristretta – Ambrosiana.
Categorie:Senza categoria
Rispondi