Ingegneria Meccanica – Roma Tre
AA/2011-2012
APPUNTI PER IL CORSO
(Ripresi integralmente e da me assemblati dai testi di bibliografia)
Roberto Renzetti
PARTE SECONDA
DINAMICA
Bibliografia: Paul J. Tipler, Gene Mosca – Corso di Fisica – Zanichelli, 2009
Jay Orear – Fundamental Physics – John Wiley & Sons Inc, 1967
F.W. Sears, M.W. Zemansky – University Physics – Addison-Wesley Publishing Company, 1964
M. Alonso, E.J. Finn – Fundamental University Physics – Addison-Wesley Publishing Company, 1969
D. Sette – Lezioni di fisica I – Veschi 1990
R. Renzetti – Appunti miei raccolti negli anni – www.fisicamente.net
Scopo della dinamica.
Per questo capitolo ci limitiamo a stabilire le leggi sperimentali su cui si sviluppa la meccanica.
La forza muscolare applicata ad una molla la deforma, e viceversa da questa deformazione può dedursi l’esistenza di una forza che agisce sulla molla, p. es. una forza peso. Una forza muscolare applicata a un corpo inizialmente fermo, ma libero di muoversi, produce un movimentò nel verso della forza. Un corpo lasciato libero cade lungo la verticale, segno che la forza peso è capace di agire come la forza muscolare non soltanto in statica (deformazione di una molla), ma anche per la produzione di un movimento (dinamica).
Più precisamente in statica la forza peso, che si attribuisce alla presenza della Terra, è applicata al corpo; la molla, nel punto di sospensione, applica una forza elastica uguale ed opposta, che permette di stabilire l’equilibrio.
Tutte le volte che un corpo, inizialmente fermo, si pone in moto in una certa direzione, l’esperienza ci avverte che, nelle stesse condizioni, il corpo può essere trattenuto nella posizione iniziale se è agganciato ad una molla; questa dà così l’orientazione e la misura della forza, a cui attribuiamo la messa in moto del corpo.
Il problema fondamentale della dinamica è quello di stabilire la legge del moto dei corpi, quando le forze applicate vengano determinate equilibrandole.
In questo modo, invero, se le forze in azione dipendono dalla velocità (forze di attrito del mezzo, azione di un campo magnetico su di una carica elettrica in moto, ….. ), viene rivelato solo il valore della forza che ad esse compete in corrispondenza della velocità nulla.
Ma chi ci avvertirà che le forze con cui si sperimenta sono indipendenti dalla velocità.
Utilizzeremo come forze motrici le forze peso, e ammetteremo che il peso di un corpo sia indipendente dalla sua velocità e dalla sua accèlerazione.
Si deve, dunque, concludere che molte cose bisogna postulare per poter offrire una esperienza atta a controllare direttamente le leggi della dinamica. A queste leggi GALILEO e NEWTON sono pervenuti attraverso una meravigliosa intuizione piuttosto che attraverso un solido appoggio sperimentale. Questo, nelle esperienze, è sempre molto mediocre perché le esperienze dirette sulle leggi della dinamica riescono quasi sempre poco precise.
Il valore e la bontà delle leggi della dinamica è rivelato essenzialmente dalle innumerevoli verifiche indirette.
Finché non avvertiremo del contrario, ci limiteremo a considerare il moto di punti materiali, cioè di corpuscoli di dimensioni piccole rispetto agli spostamenti in studio, in modo che il moto del baricentro individui sufficientemente il moto del corpo intero, e siano trascurabili le rotazioni del corpo intorno al suo baricentro.
Il moto del punto materiale, cioè del suo baricentro, è riferito a tre assi fissi alle pareti della stanza in cui si sperimenta.
La dinamica del punto è contenuta in due leggi: la seconda legge della dinamica o principio di azione delle forze; la terza legge della dinamica o principio di azione e reazione.
La prima legge o principio di inerzia è contenuta come caso particolare nella seconda legge e non vi è nessun motivo di farne una legge a parte.
Principio di azione delle forze.
Un corpo, lasciato libero, sotto l’effetto della sua forza peso cade lungo la verticale. Corpi di forma irregolare, di piccolo peso specifico (una piuma, un foglio di carta), non obbediscono nemmeno approssimativamente a questa legge. Ciò è dovuto alla resistenza dell ‘aria.
Nel vuoto anche questi corpi cadono lungo la verticale. Le esperienze nell’aria van fatte con corpi di forma conveniente (p. es. sferette), di peso specifico molto forte e fino a velocità non molto elevate perché l’attrito dell’aria non disturbi eccessivamente.
Dunque la forza peso, di grandezza e orientazione conosciute grazie all’esperienza statica del filo a piombo, produce un moto rettilineo lungo la retta di azione della forza stessa.
Qual è la legge del moto?
Vettorialmente si può scrivere:
F = m.a [1]
p = m.g
e noi ammetteremo. che la [1], seconda legge (o principio) della dinamica, sia valida in ogni caso, p. es. anche se F è funzione del tempo. a della velocità; a varia allora col tempo. e la [1] dà ad ogni istante la relazione tra F ed a.
La massa inerziale m del mobile ne misura ciò che può chiamarsi l’inerzia al moto: m è tanto maggiore quanta maggiore è la forza necessaria a produrre nel corpo in studio una determinata accelerazione.
Le più diverse esperienze con il pendolo permetteranno di concludere che g in un dato luogo è costante per tutti i corpi, e che, per un dato corpo, da luogo a luogo variano. P e g, mentre m si conserva costante. Si giustifica così la misura delle masse mediante la bilancia e la convenienza di introdurre come unità di misura fondamentale l’unità di massa (Kg). La massa m costante, caratteristica del corpo, indipendente dalla sua velocità finché questa non diventi una frazione sensibile della velocità della luce, è indipendente dalla temperatura, dallo stato di aggregazione, dalla vicinanza di altri corpi, …..
Vediamo come testi importanti del passato definivano la massa.
La massa può assumersi a misura della “quantità di materia” del corpo, assumendo che quantità uguali di materia sono quelle aventi ugual massa.
La costanza della massa inerziale di un sistema al variare delle sue condizioni sia fisiche sia chimiche (cioè durante le reazioni chimiche che avvengono. tra le parti del sistema) è la prova della conservazione della materia, della sua indistruttibilità.
Principio di inerzia. Sistemi inerziali.
Essendo in grado di misurare la massa di un corpo mediante la bilancia, e l’accelerazione mediante il moto risetto alla terna di assi di riferimento, ammettere valida la [1], significa ammettere che ogni accelerazione osservata sia da attribuire all’esistenza di una forza motrice, e viceversa.
Un corpo non soggetto a nessuna forza o sta fermo (v = 0, quindi a = 0) o si muove di moto rettilineo uniforme (v ≠ 0, costante; a = 0).
È questo il principio di inerzia o primo principio della dinamica, che è dunque un caso particolare del secondo principio.
Si è già detto che il peso e gli attriti impediscono la verifica sperimentale diretta del principio d’inerzia, perché impediscono la realizzazione di un corpo non soggetto a forze esterne.
Fissata dunque la terna d’assi di riferimento, l’ammettere vera la [1] equivale a stabilire che le forze applicate devono essere computate dal prodotto m.a della massa del corpo per la sua accelerazione. La [1], anziché una legge fisica, costituisce solo la definizione di «forza». La [1] afferma che deve essere costante per ciascun corpo il rapporto F/a.
1 – Le leggi di Newton
Riassumendo, una proprietà generale di un corpo materiale è la sua massa inerziale (in breve: massa); un altro concetto nuovo, utile nella descrizione delle interazioni tra corpi materiali, è quello di forza. Questi due concetti, massa inerziale e forza, furono per la prima volta definiti in modo operativo da Isaac Newton.
PRIMA LEGGE DI NEWTON
Un corpo permane in uno stato di quiete o di moto rettilineo uniforme (accelerazione nulla) quando è lasciato a se stesso (la risultante delle forze agenti su di esso è nulla). Matematicamente ciò si esprime
a = 0
quando Fris = 0.
SECONDA LEGGE DI NEWTON
La forza risultante agente su un corpo è data dal prodotto della massa del corpo per la sua accelerazione.
Fris = m.a
TERZA LEGGE DI NEWTON
Quando due corpi interagiscono, la forza esercitata sul primo corpo dal secondo è uguale ed opposta alla forza esercitata sul secondo dal primo.
FAB = – FBA
Newton stesso specificò che le tre leggi del moto sono valide solo quando l’osservatore si trova in quello che egli chiamò sistema di riferimento inerziale. Newton definì inerziale ogni sistema di riferimento che non fosse accelerato rispetto alle stelle fisse. In realtà trovare un sistema di riferimento inerziale non è così semplice come si potrebbe pensare; ciò richiede la conoscenza della struttura dell’universo (cosmologia) e noi sorvoleremo.
La seconda legge di Newton è comunque molto discutibile in quanto essa fa uso di due nuove quantità, forza e massa, nessuna delle quali è stata definita in modo rigoroso; tuttavia la seconda e la terza legge di Newton insieme definiscono in maniera univoca sia la massa che la forza.
Noi definiremo la massa inerziale facendo uso di una formulazione più moderna della terza legge di Newton: la legge della conservazione della quantità di moto (si veda più oltre il paragrafo 6). Le nostre attuali conoscenze ci indicano che la terza legge di Newton non è esatta essendone state osservate grosse violazioni.
Vedremo in relatività che i segnali non possono viaggiare a velocità superiore a quella della luce; per questa ragione, la terza legge di Newton non può essere applicata a forze che agiscano a distanza, altrimenti le forze potrebbero essere usate per trasmettere segnali con velocità infinita. D’altra parte la terza legge di Newton è corretta per oggetti in quiete e per interazioni a contatto. Per quel che sappiamo oggi, la legge della conservazione della quantità di moto è una legge di natura, non è stata mai osservata violazione alcuna di essa, ed è stata ampiamente controllata da ogni sorta di esperimenti.
In realtà le leggi di Newton possono essere dedotte dalle leggi di conservazione della quantità di moto e dell’energia, e viceversa. Quale sia da considerarsi legge fondamentale è questione di gusti; di più, con l’uso della matematica superiore, si può dimostrare che le leggi di conservazione della quantità di moto e dell’energia sono una conseguenza dei principi di simmetria della omogeneità dello spazio e del tempo. Per omogeneità dello spazio intendiamo che le leggi della fisica sono le stesse in qualsiasi punto dello spazio; omogeneità del tempo significa che le leggi della fisica non cambiano nel tempo.
Prima di continuare la discussione delle leggi di Newton, dobbiamo definire la massa inerziale; lo faremo mediante la legge della conservazione della quantità di moto.
2 – Conservazione della quantità di moto per definire la massa
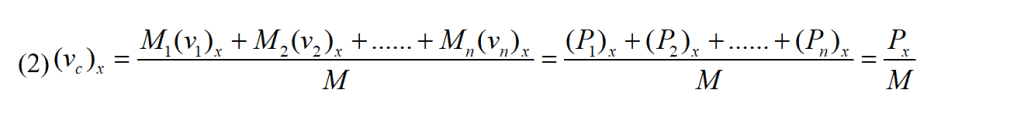
Si definisce quantità di moto p di un oggetto il prodotto della massa dell’oggetto per la sua velocità.
(1) p = mv
La legge della conservazione della quantità di moto afferma che, in assenza di forze esterne, la somma delle quantità di moto di due particelle rimane costante. Per esempio, se due particelle A e B, di masse rispettive mA e mB, si urtano (vedi figura seguente), allora, a primo membro, avremo la somma delle quantità di moto delle due particelle prima dell’urto e, a secondo membro, quella delle due particelle dopo l’urto:
(2) pA + pB = pA’ + pB’
ovvero
(3) mAvA + mBvB = mAvA’ + mBvB’
dove vA e vB sono le velocità delle masse mA e mB prima dell’urto e vA’ e vB’ le rispettive velocità dopo l’urto.

In figura è mostrato un esempio in cui le particelle sono palle da biliardo.
La più semplice applicazione della conservazione della quantità di moto è il considerare due oggetti A e B inizialmente in quiete (uniti da una molla), come nella figura seguente, cioè con vA = vB = 0.

Facciamo ora interagire i due oggetti liberando la molla ovvero bruciando il filo che tiene compressa la molla (la massa della molla dovrebbe essere trascurabile rispetto a quella di mA e di mB). Poiché la quantità di moto iniziale è nulla, il primo membro dell’equazione (3) è uguale a zero e abbiamo
0 = mAvA + mBvB
ovvero
mAvA = – mBvB
dove il segno meno indica che i vettori hanno la stessa direzione, ma verso opposto; vale quindi la relazione:
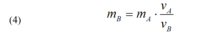
mB|vB| = mA|vA|
dove il segno meno non c’è più in quanto consideriamo i moduli dei vettori velocità. E da questa relazione si ricava subito:

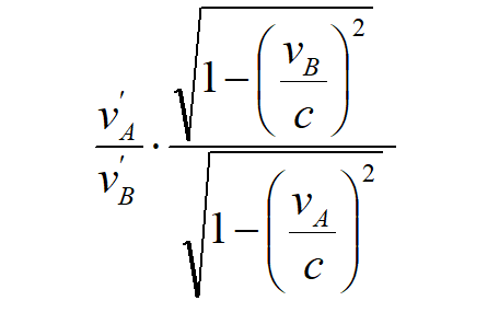
Ora disponiamo di un procedimento operativo per definire la massa. Sia mA una massa campione nota: potrebbe essere la massa del cilindro campione di l kg di platino-iridio conservato in Francia. Ora ogni massa incognita mB può essere determinata ponendo una molla tra mA e mB ed osservando il rapporto fra le velocità finali; con semplici misurazioni del rapporto fra le velocità finali può essere determinata la massa inerziale di qualsiasi corpo. Dalla legge della conservazione della quantità di moto sembrerebbe che il rapporto tra le velocità finali fosse indipendente dalla forza della molla. In realtà ciò non è del tutto vero. Se disponessimo di una supermolla capace di imprimere velocità paragonabile a quella della luce, ci accorgeremmo che in realtà è una quantità più complessa (e che qui tralasciamo) ad essere indipendente dalla forza della molla:

Questa evidenza sperimentale, insieme all’equazione (3), ci fa concludere che la massa di un oggetto è proprio quella che ci fornisce la relatività ristretta:


dove m0 è la massa dell’oggetto quando è in quiete e c è la velocità della luce (vedi figura). Fino a quando non accenneremo alla relatività ristretta manterremo l’approssimazione, ottima, che la massa sia una costante indipendente dalla velocità. In questi primi capitoli di fisica avremo sempre a che fare con velocità molto più piccole dell’ l% della velocità della luce; anche all’l% della velocità della luce l’equazione (5) ci dice che la massa aumenta appena di 1 parte su 20 000.
Un’altra conseguenza sperimentale della definizione di massa contenuta nell’equazione (4) è che le masse sono additive; ciò vuol dire che se due masse mB e mC sono unite insieme la misura della loro massa totale mD sarà uguale alla somma delle misure delle masse mB e mC determinate separatamente. L’additività delle masse può sembrare ovvia al lettore, ma ovvia oppure no, ogni speculazione sulla natura deve essere confermata dall’esperienza. Vi sono quantità fisiche che non sono additive. Un esempio è costituito dai moduli dei vettori; un altro dalla somma dei volumi. Se si aggiunge a l ℓ di acqua l ℓ di alcool, si ottiene notoriamente un volume minore di 2 ℓ.
Prima di giungere alla definizione di forza e alla discussione della seconda legge di Newton, mostriamo, con alcuni esempi, la grande utilità della legge della conservazione della quantità di moto.
ESEMPI
Rinculo di un fucile o una pistola

Prima dello sparo:
mf.0 + mp.0 = 0
Dopo lo sparo:
mf.vf’ + mp.vp’ = 0 => mf.vf’ = – mp.vp’
- vf’ = – (mp/ mf).vp’
Se mf = 3 kg , mp = 10 g = 10-2 kg e v’p = 600 m/s allora:
v’f = – 2 m/s.
Analogamente per una pistola:

Moto di un razzo
L’ottanta per cento della massa di un razzo da 20 t (20 000 kg) è costituita dal carburante. Se tale carburante è espulso come gas bruciato con una velocità media di 103m/s rispetto alla Terra, quale sarà la velocità finale del razzo? Trascurate la gravità e la resistenza dell’aria. Questo esempio è analogo al precedente; qui la spinta del razzo corrisponde al rinculo del fucile e si può pensare ogni molecola di gas bruciato come un piccolo proiettile sparato dal razzo. La quantità di moto totale del gas bruciato è il prodotto della massa del carburante m, per la velocità media del gas vg (vedi figura);

come nell’esempio precedente la quantità di moto totale iniziale è nulla, segue che anche la somma delle due quantità di moto finali deve essere nulla.
Quantità di moto totale iniziale:
pg + pr = 0
m.0 + M.0 = 0 => m.vg + M.vr = 0
=> vr = – (m/M).vg
(con M = massa del razzo vuoto). Poiché la massa del carburante è quattro volte quella del razzo vuoto e vg = 103m/s. otteniamo:
vr = – 4.103m/s.
Vediamo che la velocità finale di un razzo può esser resa grande a piacere, rendendo corrispondentemente grande il rapporto tra la massa del carburante e quella del razzo vuoto. Tuttavia il fatto che il contenitore del razzo debba essere abbastanza resistente per contenere il carburante pone un limite superiore al rapporto (m /M). Possiamo evitare questa limitazione impiegando razzi a più stadi (quando si stacca e cade uno stadio M diventa più piccola e m/M più grande). Nel problema di cui sopra supponiamo che parte di Mr contenga un secondo stadio e che l’ 80 % della massa di questo sia pure costituita da carburante. Il secondo stadio può acquistare così una velocità addizionale vg di 4.103 m/s; la velocità finale del secondo stadio vuoto sarà dunque 8.103m/s, cioè la velocità necessaria per entrare in orbita attorno alla Terra.
Più in generale, in un sistema isolato la quantità di moto si conserva e la legge di conservazione della quantità di moto è data da:
p = Σ pi = Σ mivi = costante
3 – La forza
Qualche riga più su avevamo dato il secondo principio delle leggi del moto di Newton nella forma seguente:
La forza risultante agente su un corpo è data dal prodotto della massa del corpo per la sua accelerazione, cioè:
(6) F= m.a.
Avendo ora introdotta la quantità di moto, p = mv, è possibile dare questo secondo principio in altra forma. Intanto osserviamo che la forza risultante vuol dire “la somma di tutte le forze che agiscono su un corpo” e quindi possiamo utilizzare la scrittura ΣF = ma. Se ora si legge con attenzione quanto scritto in corsivo ci si convince facilmente che un massa che vari la sua velocità corrisponde ad una variazione della quantità di moto di tale massa e quindi che la somma di tutte le forze che agiscono su un corpo originano una variazione della quantità di moto nel tempo di tale corpo

unità di misura: newton (N); dimensioni: [M.L.T-2]
che è quella annunciata. Ma con una grande differenza che potrà essere compresa solo conoscendo la relatività ristretta. Mentre la (6) è valida in meccanica classica e quindi solo per piccole velocità (rispetto alla velocità della luce), quelle per le quali la massa può considerarsi costante (la dipendenza della massa dalla velocità è data dalla 5), la (7) è sempre valida. [Da ora invece di scrivere ΣF o Fris scriverò semplicemente F].
4 – Forze di contatto
Quando si pongono a contatto due oggetti, come ad esempio un mattone spinto contro un muro o appoggiato su un tavolo, si esercitano forze di contatto. Non esiste solo una forza sul mattone esercitata dal tavolo, ma esiste anche una forza esercitata dal mattone sul tavolo. La causa prima di queste due forze sta nelle forze ripulsive che agiscono tra gli atomi. Quando le nubi elettroniche di due atomi si sovrappongono, si crea una forza repulsiva tra essi, e più i due atomi sono spinti l’uno contro l’altro, più cresce tale forza repulsiva. Questa repulsione tra gli atomi ha origine elettromagnetica e può essere molto forte se paragonata alla attrazione gravitazionale. Se spingiamo più forte il mattone contro il tavolo, avviciniamo tra loro gli atomi della superficie del mattone a quelli del tavolo finché non si crea una forza repulsiva risultante eguale ed opposta alla forza applicata. Chiamiamo forze di contatto tali forze repulsive che si esercitano tra le superfici.
Consideriamo il seguente «paradosso»: un blocco di legno di massa M è spinto con una forza F contro un muro. Per la seconda legge di Newton l’accelerazione è a = F/M. Da ciò sembrerebbe che il blocco dovesse accelerare cominciando a muoversi;

tuttavia sappiamo dall’esperienza che il blocco non si muoverà. Che cosa c’è di sbagliato? Questo paradosso si risolve osservando che la F dell’equazione F = Ma deve essere la forza risultante. Se due forze F1 e F2 agiscono entrambe sulla medesima massa M, allora Fris = F1 + F2. Sul mattone agisce, oltre alla forza applicata F, anche una seconda forza F’ esercitata dal muro sul blocco; la forza risultante è allora Fris = F + F’. Per la terza legge di Newton F’ è uguale ed opposta alla forza esercitata dal blocco sul muro, cosi F’ = – F. In tal modo Fris = F + (- F) = 0; ora la seconda legge di Newton dà per risultato a = Fris/M = 0.
Per capire che occorre stare attenti nell’applicazione delle leggi di Newton vediamo un altro paradosso. Consideriamo due blocchi, MA e MB, su di una superficie priva di attrito, come mostrato in figura; una forza F è applicata al blocco A e si trasmette attraverso di esso al blocco B.

Per la terza legge di Newton, il blocco B eserciterà una forza eguale e contraria (- F) sul blocco A, quindi la forza risultante su A è la somma della forza applicata F più la forza di contatto – F del blocco B. Cioè: Fris = F + ( – F) = 0. Dunque a = Fris/M = 0. La conclusione sarebbe che il blocco A non si può muovere, per quanto grande possa essere la forza ad esso applicata. Questo paradosso contiene un errore che consiste nell’ipotesi che la forza F sia trasmessa attraverso A e sia in tal modo applicata anche a B. Niente nelle leggi di Newton ci permette di affermare ciò. Dovremo invece attribuire un valore arbitrario F’ per la forza esercitata da A su B; allora la forza risultante su B è F’ e la forza risultante su A è F – F’. La seconda legge di Newton, applicata ai blocchi A e B rispettivamente, dà
F – F’= MA.a
con F’ = MB.a.
Sommando membro a membro le due equazioni, otteniamo:
F = (MA + MB).a => a = F/(MA + MB)
Che vuol semplicemente dire che l’accelerazione è data dalla forza applicata F diviso massa totale dei due blocchi.
5 – Alcune applicazioni delle leggi di Newton
PIANO INCLINATO
Si può vedere sperimentalmente che tutti i corpi che cadono liberamente possiedono la stessa accelerazione. Per la seconda legge di Newton la forza di gravità agente su qualsiasi corpo di massa M in prossimità della superficie terrestre deve essere FG = M.g, dove g = 9,8 m/s2.
Domanda: Qual è l’accelerazione di una massa M posta su un tavolo?
La risposta è: poiché la velocità della massa non varia, per definizione la sua accelerazione è zero.
Domanda: Qual è la forza risultante su di una massa M situata su un tavolo?
Poiché l’accelerazione è nulla la forza risultante è Fris = M.a = M.0 = 0. La forza di contatto F’ esercitata dal tavolo sulla massa è uguale ed opposta alla forza di gravità che agisce su M. La forza risultante è Fris = FG – F’ = M.g – M.g = 0. Ciò è vero per le componenti verticali delle forze, anche se la massa M si muove su di un piano privo di attrito; in assenza di attrito non vi sarà nessuna componente orizzontale della forza.
Se ora incliniamo un tavolo, privo di attrito, la componente, lungo la superficie, della forza di contatto sarà ancora nulla, cioè l’unica forza di contatto che il tavolo può esercitare su M deve essere perpendicolare alla superficie come indicato da F’ in figura.

Supponiamo di sollevare il tavolo di un angolo θ, quale sarà l’accelerazione della massa quando scivola lungo il piano inclinato?
In questo caso la forza di contatto F’ esercitata dal piano inclinato su M deve avere un valore tale che Fris sia diretta lungo il piano inclinato; inoltre F’ deve essere perpendicolare al piano inclinato. I tre vettori Fris, F’, e la forza gravitazionale FG, sono mostrati in figura (a); in figura (b) i vettori F’ e FG sono sommati secondo la regola del parallelogramma per dare Fris. L’angolo tra F’ e FG sarà ancora θ, perché F’ e FG sono rispettivamente perpendicolari al piano inclinato e all’orizzontale. Poiché il seno di un angolo è il rapporto tra il cateto opposto all’angolo stesso e l’ipotenusa, dalla figura (b) abbiamo sen θ = Fris/FG => sen θ = M.a/M.g => sen θ = a/g =>
a = g. sen θ.
FORZA PESO
In ciò che abbiamo detto è implicito che il peso P di un oggetto è la forza (di gravità) FG con cui tale oggetto è attratto dalla Terra (ma su questo torneremo):
(8) FG = P = m.g
Si tratta di una forza ordinaria con l’unica differenza che si ha ora a che fare con una accelerazione (g) costante e diretta verso il centro della Terra. L’unità di misura del peso è il newton [qualcuno usa ancora l’unità chilogrammo peso, KgP, che equivale a 1.KgP = 1.Kgm.9,8 m/s2 = 9,8 N].
Se abbiamo una massa m di peso FG posta su di un tavolo, la forza risultante agente sulla massa sarà Fris = FG + (-Fp)= 0 perché – Fp è la forza di reazione del tavolo su m, forza tale da tenere m in quiete.
La forza peso, agente su una persona di massa M, è responsabile del suo essere legata al suolo. Supponiamo che tale persona si trovi su un ascensore che scenda verso il basso con una accelerazione a. La Fris in questo caso sarà Fris = Ma (perché la persona non è in quiete, come la massa di cui prima, ma si muove con accelerazione a verso il basso) e da questa relazione possiamo ricavare il peso della persona:
Fp = FG – Ma = Mg – Ma
Cioè
Fp = M(g – a)
Ciò vuol dire che il peso di una persona diminuisce quando il suo corpo acquista un’accelerazione verso il basso. Se l’ascensore avesse accelerazione verso l’alto avremmo
Fp = M(g + a)
Se l’ascensore cadesse liberamente avremmo a = g il peso della persona si annullerebbe (condizione di assenza di peso con tutte le conseguenze su orecchie e stomaco). Se invece avessimo a > g allora sbatteremmo la testa sul soffitto dell’ascensore.
Il problema generale della dinamica del punto libero.
Su di un asse x
Ecco il problema: data la massa m del punto A e la forza applicata F (parallela all’asse x e di cui F è il modulo), determinare la legge del moto x = x (t).
E nota l’accelerazione a = F!m, dunque è nota d2x!dt2 occorre trovare la funzione x (t) la cui derivata seconda è F/m..
Esempio: Determinare la legge di caduta lungo la verticale di un corpo A di massa m. Si trasformi la verticale in un asse fissando l’origine O e il verso positivo (verso il basso, p. es.).
La forza applicata è il peso P = m· g e la sua misura F sull’asse delle x è:
F = m.g .

Non si hanno altre forze, in particolare non si ha attrito. Si ha dunque:

:
Il moto di caduta è uniformemente accelerato, con accelerazione g; vo e xo sono due costanti arbitrarie di integrazione; per t = 0 è v = vo, x = xo; dunque tali costanti di integrazione hanno il significato fisico di velocità iniziale e posizione iniziale del grave. Il problema posto è indeterminato; è determinato soltanto se è così enunciato: un corpo A di massa m è lanciato verticalmente con la velocità vo dalla posizione xo; il corpo A è soggetto al peso P=m.g. Come si muove A ?
Il problema fondamentale della dinamica è dunque: data la massa m e la forza F, data la posizione e la velocità iniziali xo, vo del punto A, trovare il moto del punto, risolvere, cioè, l’equazione differenziale:

ed F sarà in generale non costante, ma funzione conosciuta o del tempo t o, più spesso, della posizione x in cui il corpo A viene a trovarsi durante il suo moto (campo di forza X lungo l’asse x).
Non è escluso che si debbano anche considerare forze che siano funzioni note della velocità (come vedremo, forze non conservative).
IMPULSO E QUANTITÀ DI MOTO
Il II principio della dinamica può essere espresso in una altra maniera, che è quella che corrisponde alla formulazione iniziale di Newton, se si introduce una nuova grandezza, la quantità’ di moto definita come il prodotto
p = m v (1)
Tale grandezza è un vettore avente la direzione ed il verso di v ed intensità’ mv . Le sue dimensioni sono
[p] = [L.M.T-2 ]
e le unità di misura ne conseguono.
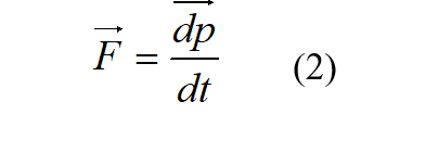
La formulazione originaria del secondo principio fatta da Newton è la seguente: in un sistema di riferimento inerziale la forza totale applicata ad un punto materiale è pari alla derivata rispetto al tempo del vettore quantità di moto. Cioè

E’ evidente che, nel caso in cui m sia costante la (2) è equivalente alla F = ma. Si osservi, peraltro, che il secondo principio nella formulazione (2) è più vasto di quello nella espressione F = ma perché include il caso che la massa del punto varii. In tal caso, Situazioni di questo genere si possono presentare ed assumono importanza nel caso di particelle a velocità prossime a quelle della luce, quando, come mostra la teoria della relatività la massa varia con la velocità. In tal caso la formulazione (2) può essere usata, mentre la F = ma non è più valida.
Dalla espressione (2) del II principio si ricava una nuova formulazione per il I principio della dinamica: in un sistema inerziale, un punto materiale non sottoposto ad azioni mantiene inalterata la sua quantità di moto (p = cost). La stessa relazione (2) consente di esprimere il cosiddetto principio di conservazione della quantità di moto, secondo il quale la quantità di moto di un punto materiale sottoposto a forze la cui somma è nulla (F = 0) resta costante in un sistema di riferimento inerziale.
Dalla (2) si ha:

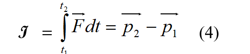
(F dt) è chiamato impulso elementare I della forza nell’intervallo fra t e (t + dt). La variazione della quantità di moto del punto fra due istanti (t1 e t2) è espressa da

[unità di misura: N.s]
L’integrale a primo membro prende il nome di impulso della forza durante l’intervallo di tempo considerato.
Per comprendere in modo semplice cosa è l’impulso riferiamoci all’esempio di una mazza di golf che colpisce la pallina.
Quando una mazza da golf colpisce una palla, la forza F sulla palla è nulla subito prima che avvenga il contatto; poi aumenta fino a un grandissimo valore e infine si annulla quando la palla si separa dalla mazza (vedi figura).

L’intervallo di tempo di contatto totale Δt = tfin – tiniz, chiamato intervallo eccezionale, è brevissimo, forse soltanto 0,001 s circa.
Il modulo dell’impulso è l’area sotto la curva F in funzione di t.
Per la mazza da golf che colpisce una palla inizialmente in quiete, la variazione della quantità di moto della palla è semplicemente la sua quantità di moto finale:
Δ.p = F = pfin
L’impulso esercitato dalla palla sulla mazza è uguale in modulo e opposto in verso a quello esercitato dalla mazza sulla palla poiché le forze sono uguali e contrarie secondo la terza legge di Newton.
PENDOLO SEMPLICE
(spostamento x dalla verticale piccolo rispetto alla lunghezza L della sospensione)
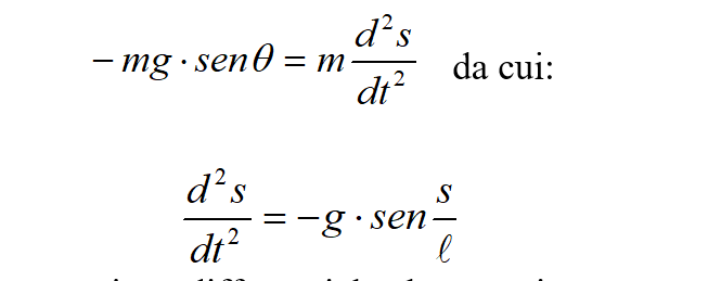
Si definisce pendolo semplice una massa m sospesa a un filo (inestensibile e di massa trascurabile) di lunghezza ℓ. Quando si parla del moto di un pendolo semplice si fa l’ipotesi che lo spostamento s sia sempre molto piccolo rispetto ad ℓ. Calcoleremo ora l’accelerazione di m esaminando la figura seguente.

Il punto materiale può’ trovarsi in quiete nella posizione O, soggetto alla forza di gravità ed alla reazione del vincolo (normale alla circonferenza che costituisce la traiettoria consentita nel caso di moto). In un’altra posizione individuata dall’angolo θ, la reazione vincolare R‘ non equilibra il peso, sicché al punto materiale è applicata’ una forza risultante, che tende a riportare il punto in O.
L’equazione fondamentale della dinamica si scrive

Trattandosi di un moto su traiettoria prestabilita noi siamo interessati particolarmente a ricavare la equazione oraria. Perciò supponiamo di misurare le ascisse curvilinee a partire da O, e le considereremo positive a destra. All’ascissa curvilinea è associato l’angolo θ di cui devia OQ rispetto a OO (positivo per deviazioni a destra)
s = ℓ.θ
La relazione che a noi interessa si ottiene proiettando la (1) sulla tangente orientata (nel verso delle s crescenti). Si osservi che essendo R’ normale alla traiettoria la componente tangenziale della forza applicata si riduce alla componente della forza peso: quest’ultima inoltre ha sempre segno opposto a s e θ. Si ottiene quindi

[abbiamo ottenuto una equazione differenziale che non siamo capaci di risolvere. Per avvicinarci alla soluzione occorre fare una semplificazione]. Osserviamo che per piccoli angoli θ il seno e l’arco si confondono [sen(s/l) ≈ s/l]. Si può quindi scrivere:

dove il segno meno sta ad indicare che a ed x hanno versi opposti.
E’ questo il primo esempio che incontriamo di un moto con accelerazione variabile in modulo; si osservi che l’accelerazione è legata allo spostamento in maniera molto semplice: è direttamente proporzionale ad s ed ha verso opposto. Questo tipo di moto è chiamato moto armonico semplice (MAS). La condizione generale per il MAS è che il rapporto tra l’accelerazione ed uno spostamento x sia uguale a una costante K:

Tale condizione è soddisfatta da molti comuni tipi di moto. Per esempio, la forza che può esercitare una molla compressa è, in genere, proporzionale allo spostamento x (tale osservazione sperimentale sulle proprietà delle molle è nota come legge di Hooke) ne segue che il moto di una massa attaccata all’estremità di una molla è un moto armonico semplice (MAS).
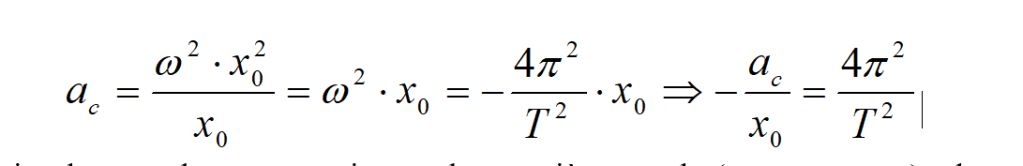
Sia x0 lo spostamento massimo della pallina del pendolo rispetto alla propria posizione di equilibrio, per x = x0 la forza di richiamo è massima, la massa ripassa per x = 0 e giunge fino a x = – x0 (trascuriamo l’attrito), quindi il processo si ripete. Il tempo impiegato dalla pallina per andare da x = x0 a x = – x0 e di nuovo fino a x = x0 si chiama periodo T. La figura mostra l’andamento di x, di F, e della velocità v in funzione del tempo per un oggetto che si muove di MAS partendo dalla posizione x = 0.

Il valore di T è determinato soltanto dal rapporto a/x che determiniamo come grandezza valida per ogni MAS.
Abbiamo visto che, in un moto circolare o armonico, risulta:

Poiché v = ω.x0 (si ricordi che v = ω R) ed ω = 2π/T, si ha:

Scritta la precedente espressione nel caso più generale (ac = a; x0 = x) ed osservato che il segno meno è stato messo per ricordare il verso opposto di x0 ed ac, si ha:

Osserviamo che il periodo di un pendolo semplice è indipendente dalla massa dello stesso e dallo spostamento x0. Negli orologi meccanici si è seguito il suggerimento di Galileo, sfruttando il fatto che nel MAS il periodo è indipendente dall’ampiezza delle oscillazioni.
Alla luce di quanto detto sul MAS rivediamo il moto circolare uniforme proiettato sul diametro della circonferenza, cioè quanto abbiamo detto qualche pagina più su sempre sul moto armonico semplice. Consideriamo la figura seguente per fare alcune considerazioni.



al fatto cioè che il rapporto tra accelerazione e spostamento è costante. Ciò è vero per ogni MAS.
FORZE ELASTICHE. LEGGE DI HOOKE. OSCILLATORE ARMONICO.
Le forze elastiche hanno origine nella deformazione dei corpi finché tali deformazioni sono piccole. Avremo modo in seguito di esaminare il comportamento elastico dei corpi. Per ora possiamo asserire, che i corpi sottoposti ad azioni che tendono a variare il loro assetto di riposo si deformano e tali deformazioni originano delle forze dirette come le azioni esterne ed in verso opposto; entro certi limiti (elastici) le intensità di queste forze (elastiche) sono proporzionali alle deformazioni.

Si consideri per esempio un punto materiale P all’estremità di una molla a spirale: questa è un corpo che nell’assetto di riposo ha una certa lunghezza (ℓ). La molla venga deformata assialmente e si indichi con x 1’allungamento (positivo se la deformazione è un’estensione, negativo se è un accorciamento). La forza che la molla esercita su P è diretta lungo x nel verso tale da riportarlo nella posizione (O) di riposo e, se x è sufficientemente piccolo, ha intensità proporzionale a x. La forza elastica in questo caso ha l’espressione (Legge di Hooke):

Vogliamo ora applicare il secondo principio della dinamica all’esame di alcuni processi che si presentano in numerosi ed importanti fenomeni fisici. Noi considereremo il comportamento di alcuni sistemi oscillanti nei quali intervengono forze elastiche, ma le stesse considerazioni e conclusioni valgono in sistemi oscillanti di diverso tipo (per esempio circuiti elettrici oscillanti). Dovremo considerare vari casi, corrispondenti a diverse condizioni nelle quali il sistema può trovarsi.
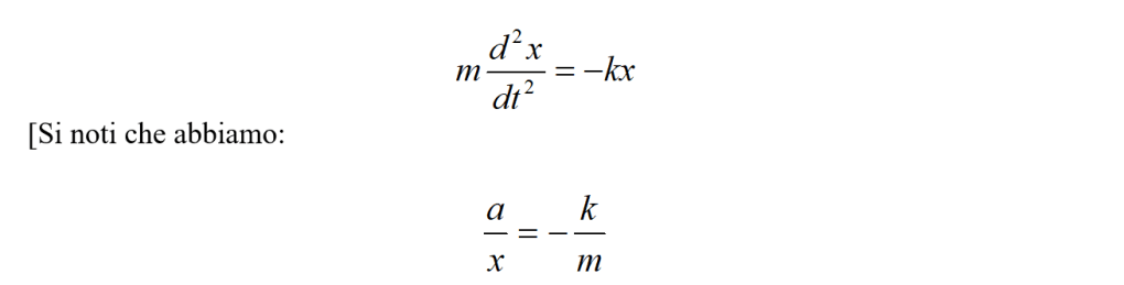
a) Oscillazioni libere (oscillatore armonico unidimensionale). Si consideri un semplice sistema, come quello di figura a, costituito da un punto materiale (P) di massa m che può muoversi su un piano orizzontale privo di attrito e che può essere sollecitato da una forza, anche essa orizzontale, che una molla può esercitare su di esso.

Un estremo della molla è collegato a P, l’altro è fissato ad una parete verticale. Indichiamo con x la direziona dell’asse della molla, e con O la posizione di quiete del punto P su di esso. Se la molla viene allungata nella direzione di tale asse di un tratto x (positivo per allungaménti) al punto P è applicata una forza elastica di richiamo F = – k r. uguale e contraria a quella (F*) applicata dall’esterno per deformare la molla. Il punto resti in quiete nella nuova posizione 1 (figure b,c). Si supponga ora di rimuovere la forza esterna F*. Il punto materiale prenderà a muoversi sotto l’azione della forza elastica di richiamo. Il secondo principio della dinamica si scrive (essendovi solo le componenti secondo x dei vettori a ed F) :

cioè che il rapporto tra accelerazione e spostamento è costante e quindi siamo di fronte ad un MAS].
Il moto del punto P risulta essere rettilineo e caratterizzato da un’accelerazione sempre diretta verso la posizione di riposo (O) e proporzionale allo spostamento da essa (x). Ne segue che il punto si muove di moto armonico intorno ad O (oscillazioni libere). L’equazione (oraria) che dà gli spostamenti, se si contano i tempi dall’istante di rimozione della forza F*, è:

L’ampiezza delle oscillazioni, A, è pari allo spostamento iniziale del punto dalla posizione di riposo.
La pulsazione delle oscillazioni libere, risulta

determinata dalla costante elastica k e dalla massa del corpo.
b) Oscillazioni smorzate.
c) Oscillazioni forzate.
Più oltre vedremo queste due eventualità.
REAZIONI VINCOLARI. FORZA DI ATTRITO
Nella relazione che esprime il secondo principio F rappresenta la risultante di tutte le forze reali applicate al punto materiale. Le forze reali applicate vengono alle volte distinte in due categorie: forze esterne (od attive) e reazioni vincolari. Le prime sono quelle che vengono applicate al punto materiale dall’esterno nel singolo caso specifico per determinare il desiderato stato di moto o di quiete. Le seconde sono quelle che si originano in relazione alle limitazioni (vincoli) imposte al movimento del punto materiale dai corpi circostanti: per esempio, se il punto è vincolato a rimanere su una linea., le forze vincolari si originano tutte le volte che altre azioni tendano ad allontanare il corpo dalla linea; nessuna azione invece impedisce il moto lungo la linea stessa. Se un corpo è vincolato a non attraversare un piano, reazioni vincolari si originano per resistere ad azioni tendenti a spingere il corpo oltre il piano, mentre nessuna forza si desta se il moto avviene nel semispazio consentito. Le forze (reazioni) vincolari sono quindi delle forze che vengono applicate al punto materiale dai corpi circostanti che realizzano il vincolo e rappresentano l’azione del vincolo su un punto materiale altrimenti libero.
Di particolare interesse sono i vincoli che obbligano un punto materiale a restare in contatto con una superficie od una linea.
Un caso di questo tipo è quello che può essere considerato nel discutere il primo ed il secondo principio della dinamica. In tal caso il punto può muoversi su un piano orizzontale in seguito all’applicazione della forza F. In realtà questa non è la sola forza applicata al punto: v’è infatti la forza peso P e la reazione vincolare R. In questo caso peraltro risulta che con grande approssimazione si può porre R = – P.

sicché la risultante delle forze applicate è F: ciò ha consentito di ignorare la presenza di P ed R nelle considerazioni che sono state fatte.
Una discussione che volesse introdurre il primo principio della dinamica avrebbe occasione di osservare un corpo in moto su un piano orizzontale sotto l’azione di una forza F, se questa venisse rimossa, il punto materiale prenderebbe a muoversi di moto rettilineo uniformemente ritardato: ciò equivale a dire che è presente una forza (tangenziale) diretta in verso contrario al moto. Siccome il punto’e’ soggetto alla forza peso ed alla reazione del vincolo, evidentemente la reazione vincolare in realizzazioni di questo genere possiede oltre alla componente normale al piano (pari a – P) una componente tangenziale diretta in senso contrario al moto: tale componente prende il nome di forza di attrito.
Attrito
Data la notevole frequenza con cui nella pratica si incontrano situazioni in cui corpi assimilabili a punti materiali si trovano a scorrere su superfici che realizzano un vincolo e dato 1’interesse di comprendere bene gli effetti dovuti alla presenza delle forze di attrito nella maggior parte delle applicazioni tecniche, svolgeremo alcune ulteriori considerazioni su tali forze .
Si immagini di avere un punto materiale P, costituito da un blocco in quiete su una superficie piana orizzontale. In tali condizioni la reazione del vincolo, essendo pari a – P (peso del corpo), è normale al vincolo (RN). Se si applica una forza tangenzialmente alla superficie di appoggio, F, è possibile vedere che il corpo permane in quiete fino a che

cioè finché l’intensità della forza non superi un valore che si trova proporzionale all’intensità della reazione normale: questo fatto vuoi dire che il vincolo è capace di fornire una reazione che ha, oltre alla componente normale, una componente tangenziale (RT = A ), cioè una forza d’attrito di intensità
RT = A ≤ ms.RN (1)
Tale forza d’attrito cresce con la F e la equilibra finché la F non supera il valore ms.RN..
ms è una grandezza adimensionata e prende il nome di coefficiente di attrito statico o di primo distacco. Questo comportamento della reazione della superficie si può esprimere dicendo che la reazione è contenuta in un semicono che ha vertice nel punto di contatto della superficie con il corpo (punto materiale), si trova nella regione consentita dal vincolo ed ha un angolo di semiapertura fs dato da


Le condizioni di moto incipiente corrispondono ad una reazione che giace sulla falda del cono. Una volta che il blocco si è messo in moto (F > ms.RN) , si può riscontrare che per mantenerlo in moto rettilineo uniforme occorre una forza avente la direzione F ed una intensità più piccola di ms.RN . Scriveremo allora:

con md minore di ms. Ciò significa che la reazione di attrito durante il moto è inferiore al valore massimo che essa può avere nel caso statico. md prende il nome di coefficiente di attrito dinamico, o di attrito radente.
Le leggi (1) e (2) sono empiriche: esse hanno il pregio di essere semplici pur stando a rappresentare processi che su scala microscopica sono molto complicati. Non c’è quindi da meravigliarsi se la loro applicazione in alcuni casi debba essere fatta con particolare cautela.
Nella maggior parte dei casi i due coefficienti di attrito sono indipendenti dalle aree delle superfici a contatto, mentre dipendono fortemente dalla natura e dallo stato delle superfici: essi decrescono rapidamente al diminuire della rugosità (al crescere della levigatezza) delle superfici a contatto, dipendono fortemente dai materiali con cui sono fatte le superfici, dalla temperatura, dalla presenza di materiali estranei ed in particolare dalla presenza di pellicole liquide.
L’attrito è essenzialmente dovuto alle forze di coesione che si esercitano tra molecole che appartengono ai due corpi. Tali forze, nelle condizioni in cui si presentano, possono assumere valori tanto elevati da far si che frammenti di uno dei due corpi siano strappati da esso e trasferiti all’altro; alle volte si possono determinare, in corrispondenza ad aree di contatto molto piccole, saldature vere e proprie (microsaldature) che devono essere rotte per avere lo scorrimento.
Quando i due corpi sono a contatto,1’area di contatto effettiva è inferiore a quella apparente (S), giacché a causa della presenza di rugosità, il contatto avviene in corrispondenza alle asperità. Tale area di contatto cresce aumentando la pressione di un corpo su l’altro (cioè al crescere di RN) in seguito alla deformazione dei corpi. Questa circostanza fa comprendere come nei casi normali (quando cioè le pressioni RN/S che spingono i due corpi l’un contro l’altro in corrispondenza all’area apparente S, non sono notevolmente elevate) le forze di attrito, che è logico assumere proporzionali all’area effettiva di contatto, non dipendano dall’area apparente di contatto e crescano proporzionalmente a RN.
Il valore del coefficiente dinamico, può essere assunto indipendente dalla velocità, in accordo con le esperienze iniziali di Coulomb, solo se la velocità relativa di scorrimento non vari molto.
Come si è accennato, l’uso delle relazioni empiriche (1) e (2) rispecchia abbastanza bene l’andamento delle cose in quasi tutti i casi normali. In alcuni casi, peraltro, come quando la pressione fra i corpi viene fatta variare entro vasti limiti, o quando la velocità relativa di scorrimento dei corpi vari notevolmente, le semplici relazioni non si prestano bene alla rappresentazione dei fatti. Si possono peraltro mantenere per le forze di attrito le espressioni (1), (2), ritenendo i coefficienti di attrito md e ms funzioni della pressione RN/S, e md funzione anche della velocità relativa di scorrimento.
In alcuni casi l’esistenza dell’attrito viene utilizzata nella tecnica: freni, attacchi a frizione, ecc. Si cerca allora di avere elevati coefficienti ms e di porsi in condizioni prossime a quelle di moto incipiente (forze di attrito statico massime).

In altri casi, quando i corpi debbono muoversi l’uno rispetto all’altro, la presenza delle forze di attrito è contraria a ciò che si desidera. Si cerca allora di ridurre le forze d’attrito il più possibile, per esempio mediante l’uso di lubrificanti .
E’ anche vantaggioso sostituire, ove possibile, a corpi che strisciano uno sull’altro corpi che rotolano. In caso di semplice rotolamento (quando le deformazioni dei corpi che rotolano, per esempio ruote su un piano, sono piccole) le forze di attrito di rotolamento che si destano a causa delle deformazioni dei corpi sono molto minori di quelle d’attrito di scorrimento.
Vogliamo concludere dicendo che spesso si considerano vincoli realizzati in modo da ridurre le forze d’attrito a valori estremamente piccoli, tanto da poter essere considerati approssimativamente privi di attrito: in questi casi la reazione vincolare ha solo la componente normale alla superficie del vincolo.
– L’attrito fra due superfici diminuisce in un primo momento se si levigano entrambe le superfici, ma se le superfici vengono levigate finché non diventano estremamente lisce e piane, l’attrito torna ad aumentare. Perché ?
– Vari oggetti giacciono sul pianale di un autocarro. Se l’autocarro accelera quale forza agisce su questi corpi che li fa accelerare ?
FORZE FITTIZIE
Le leggi di Newton valgono solo nei sistemi di riferimento inerziali. Quando l’accelerazione di un corpo è misurata rispetto a un sistema di riferimento che è esso stesso accelerato rispetto a un sistema di riferimento inerziale, la forza risultante sul corpo non è uguale al prodotto della massa del corpo per la sua accelerazione. In alcuni casi un corpo sarà in quiete rispetto al riferimento inerziale, anche se è evidente che su di esso agisce una forza non equilibrata. In altri casi, il corpo non è soggetto ad alcuna forza ma è accelerato rispetto a quel riferimento. Però, anche in tale riferimento accelerato si può usare la legge di Newton ΣF = ma se si introducono forze fittizie che dipendono dall’accelerazione del sistema di riferimento. Queste forze non sono esercitate da alcun agente, ma sono soltanto enti fittizi introdotti per conservare la validità di ΣF = ma quando l’accelerazione a è misurata rispetto al riferimento non-inerziale. Agli osservatori situati nel riferimento non-inerziale, le forze fittizie sembrano tanto reali quanto le altre forze in virtù della salda credenza intuitiva nella seconda legge di Newton. La forza fittizia più familiare è la forza centrifuga che si incontra nei sistemi di riferimento rotanti. Purtroppo, il concetto di forza centrifuga è probabilmente usato più spesso in maniera sbagliata che in maniera corretta.
Consideriamo anzitutto un vagone ferroviario che si muove in linea retta lungo un binario orizzontale con accelerazione costante a rispetto al binario, che verrà supposto in un sistema di riferimento inerziale. Se si lascia cadere un oggetto nel vagone, l’oggetto non cade lungo la verticale ma cade verso la parte posteriore del vagone. Rispetto al vagone, ha un’accelerazione verticale g e un’accelerazione orizzontale – a (vedi figura).

Se un corpo è collocato su un tavolo liscio e quindi la forza risultante è nulla, esso accelera verso la parte posteriore del vagone. Naturalmente, dal punto di vista di un osservatore in un riferimento inerziale a terra, sui binari, il corpo non accelera, ma sono invece il vagone e il tavolo che accelerano sotto il corpo. Si può usare la seconda legge di Newton nel sistema di riferimento del vagone se si introduce una forza fittizia – ma agente su qualunque corpo di massa m. Si consideri, per esempio, una lampada appesa con un filo al soffitto del vagone. La descrizione dell’accelerazione della lampada e delle forze che agiscono su di essa dal punto di vista del riferimento inerziale e di quello non-inerziale è illustrata nella figura seguente.

La componente verticale della tensione del filo è uguale al peso della lampada secondo ciascun osservatore. Nel riferimento inerziale del binario, la lampada accelera. Questa accelerazione è impressa dalla forza risultante dovuta alla componente orizzontale della tensione nel filo. Nel riferimento del vagone, la lampada è in quiete e perciò non ha accelerazione. Ciò è spiegato dal fatto che la componente orizzontale della tensione equilibra la forza fittizia – ma osservata su tutti i corpi situati all’interno del vagone.
FORZE FITTIZIE: la forza centrifuga
La figura seguente mostra un altro riferimento non-inerziale, una piattaforma rotante. Ogni punto situato sulla piattaforma, poiché si muove descrivendo una circonferenza, ha un’accelerazione centripeta. Perciò, un riferimento solidale con la piattaforma è un riferimento non-inerziale. Nella figura seguente, un blocco in quiete rispetto alla piattaforma è attaccato al palo centrale per mezzo di una fune.

Secondo gli osservatori situati in un riferimento inerziale, il blocco si muove su una circonferenza con velocità di modulo v ed è soggetto a un’accelerazione diretta verso il centro della circonferenza. Questa accelerazione centripeta v2/r è fornita dalla forza non-equilibrata dovuta alla tensione nella fune T. Però, secondo un osservatore situato sulla piattaforma, il blocco è in quiete e non è soggetto ad accelerazione. Per poter usare ΣF = ma, si deve introdurre una forza fittizia di modulo mv2/r che agisce in direzione radiale verso l’esterno per equilibrare la tensione nella fune. Questa forza fittizia diretta verso l’esterno, chiamata forza centrifuga, sembra del tutto reale all’osservatore situato sulla piattaforma. Se egli vuole stare in piedi «in quiete» sulla piattaforma; una forza orientata verso l’interno e avente questa intensità dev’essere esercitata su di lui (dal pavimento) per «equilibrare» la forza centrifuga diretta verso l’esterno. Abbiamo occasione di usare questa forza fittizia soltanto in un riferimento rotante. Si consideri un satellite vicino alla superficie della Terra e osservato in un riferimento inerziale solidale con la Terra (trascuriamo in questo caso la rotazione della Terra). Si sente spesso dire che il satellite non cade perché l’attrazione gravitazionale della Terra «è equilibrata dalla forza centrifuga». Questa asserzione non è corretta. Le forze fittizie quale la forza centrifuga si manifestano solo nei sistemi di riferimento accelerati. Nel riferimento terrestre il satellite cade verso la Terra con un’accelerazione v2/r prodotta dall’unica forza non-equilibrata che agisce su di esso, la forza di gravità. Ma un osservatore situato nel satellite, per il quale il satellite è in quiete, può usare ΣF = ma solo se introduce una forza centrifuga verso l’esterno per equilibrare la gravità.
FORZE FITTIZIE: la forza di Coriolis
L’ordinaria meccanica da noi studiata è sviluppata su un sistema di riferimento supposto inerziale (è una autodefinizione). Un sistema inerziale è un sistema in quiete rispetto a noi che osserviamo o un sistema in moto rettilineo uniforme, sempre rispetto a noi che osserviamo.
Se ci poniamo ad osservare una piattaforma ruotante, stando al di fuori di essa, avremo a che fare con tutta la dinamica del moto rotatorio che conosciamo. Ma se ci poniamo sulla piattaforma ruotante o su di un riferimento dotato di moto accelerato, allora la fisica che conosciamo non risponde più poiché nascono delle strane forze delle quali, con l’ordinaria meccanica dei sistemi inerziali, non si sa rendere conto.
Se ricordiamo che su un sistema dotato di moto rotatorio uniforme agisce l’accelerazione centripeta, possiamo in generale dire che: in tutti i sistemi di riferimento dotati di accelerazione le leggi della dinamica non hanno la stessa forma che conosciamo. E quanto detto equivale a dire che i sistemi dotati di accelerazione (sia essa tangenziale che centripeta) non sono sistemi inerziali.
Ebbene, finché guardiamo dall’esterno (stando noi in quiete) un sistema accelerato, potremo applicare le ordinarie leggi della dinamica. Quando ci trovassimo su di un sistema dotato di accelerazione, allora dovremo tener conto di tutte le forze con le quali ci imbattiamo (forze che risulterebbero fittizie guardando dall’esterno un sistema accelerato).
Mettiamoci quindi su di un sistema accelerato ed, in particolare, su di un sistema ruotante. Già sappiamo che su di un tale sistema dobbiamo tener conto di una forza che non compare nei sistemi inerziali, quella centrifuga. Oltre alla forza centrifuga, ve ne è ancora un’altra da dover considerare, quella, appunto, di Coriolis o forza centrifuga composta). Per capire di cosa si tratta riferiamoci alla figura 1.

Figura 1
In (a) l’osservatore T si trova fuori della piattaforma. Ad un dato istante il signor O, che si trova sulla piattaforma, lancia una palla ad R, anch’esso sulla piattaforma. T vede che, quando la palla è arrivata nel punto che all’istante del lancio occupava R, quest’ultimo occupa una posizione più avanzata, di modo che la palla non raggiunge R. In (b) l’osservatore T si trova sulla piattaforma. La piattaforma in rotazione non modifica le posizioni relative di T, O ed R. Quando O lancia la palla verso R, allo stesso modo di prima, la palla non raggiungerà R; solo che ora R è fermo rispetto a T e T non potrà far altro che concludere che la palla lanciata da O ha seguito la traiettoria indicata in figura.
La forza di Coriolis, che compare solo trattando oggetti in moto su sistemi in rotazione, è la forza responsabile della deviazione di un oggetto dalla sua traiettoria inerziale (occorre notare che su oggetti immobili in sistemi in rotazione, per un osservatore su uno di questi sistemi, agisce solo la forza centrifuga). Poiché la traiettoria risultante è un arco di circonferenza, la forza di Coriolis risulta perpendicolare al vettore velocità di un dato oggetto (rispetto al sistema di riferimento in rotazione).
Per un calcolo semplice del valore di questa forza ci si può servire di figura 2.

Figura 2
La velocità angolare ω della piattaforma sia ω = α/t.
Osservando che l’arco s percorso sta alla lunghezza della circonferenza (2πr) come l’angolo α percorso sta a 360°, si trova che:
s = α r.
Poiché dall’altra relazione si ricava che α = ω.t, risulterà:
s = ω.t r.
Ed s è l’arco che il punto R percorre, per arrivare ad R’, nel tempo t necessario affinché la palla, lanciata da O con velocità v percorra il tragitto r (il raggio della piattaforma). Abbiamo quindi anche:
r = v t.
Sostituendo questa espressione nella precedente, si trova:
s = ω t (v t) = ω v t2 = 1/2 (2 ω v) t2 = 1/2 ac t2
avendo posto ac = 2 ω v accelerazione di Coriolis.
Possiamo quindi iniziare a concludere che s è la deviazione che l’osservatore T, che si trova sul sistema in rotazione, osserva per l’oggetto che è stato lanciato da O in direziono radiale. Per s si trova un’espressione che fornisce proprio lo spazio percorso in un moto uniformemente accelerato quando si ponga ac = 2 ω v.
Per trovare la forza di Coriolis non dobbiamo far altro che utilizzare la definizione di forza dataci dal 2° principio della dinamica:
F = mac = 2 m ω v
Quello che abbiamo fin qui ricavato è valido nel caso semplice in cui la velocità dell’oggetto in moto sul sistema rotante ha una direzione perpendicolare all’asse di rotazione. Più in generale la forza di Coriolis, mentre non dipende dalla distanza a cui l’oggetto si trova rispetto all’asse di rotazione, dipende dalla velocità (valore assoluto e verso) dell’oggetto in moto sul sistema rotante.
La formula più generale è allora la seguente:
F = – 2 m ω Λ v = – 2 mω v sen α
dove: ω e’ la velocità angolare del sistema rotante rispetto ad un sistema inerziale; m è la massa e v è la velocità dell’oggetto in moto rispetto al sistema rotante; il vettore ω è il vettore rotazione definito in modo da essere diretto secondo l’asse di rotazione e tale che, rispetto ad esso, la rotazione avvenga in verso antiorario; α è l’angolo formato tra il vettore rotazione ed il vettore velocità v dell’oggetto in moto; il segno meno sta ad indicare il fatto che la deviazione sovviene in verso contrario a quello del moto del sistema rotante. Questa forza è sempre perpendicolare all’asse di rotazione (al vettore rotazione) ed al verso del moto del nostro oggetto.
[Le velocità e le accelerazioni angolari di un corpo rotante possono essere, con qualche riserva, considerate come vettori. Consideriamo ad esempio la velocità angolare riferendoci ad un disco che ruota su un perno fisso. Il disco ha una velocità di rotazione ω che è fissa e un senso di rotazione anch’esso fisso. Per convenzione, rappresentiamo la sua velocità angolare con un vettore ω diretto secondo l’asse di rotazione; la sua lunghezza rappresenta l’intensità ω della velocità angolare secondo una scala appropriata. Per assegnare il verso del vettore ω usiamo la regola della mano destra. Mettete la mano destra vicino al disco rotante, con le dita piegate e orientate nel senso del moto (cioè con le unghie corrispondenti alla punta della freccia) della periferia del disco: il pollice, portato ad angolo retto rispetto alle altre dita, indicherà il verso positivo del vettore velocità angolare. Se il disco inverte il senso di rotazione, per la regola della mano destra il pollice punterà nella direzione opposta.

Non è facile abituarsi a «vedere» le grandezze angolari come vettori. Ci si aspetterebbe, d’istinto, che qualcosa si muovesse nella direzione indicata dal vettore. Ma non è così. Al contrario, qualcosa, cioè un corpo rigido, ruota intorno a quella direzione. Nel mondo della rotazione pura, un vettore definisce un asse di rotazione, non un punto verso il quale qualcosa si muove. Tuttavia, il vettore definisce anche le caratteristi del moto. E, ciò che è più importante, obbedisce a tutte le regole sui vettori. Anche l’accelerazione angolare a è un vettore, e come tale segue le stesse regole.
Noi considereremo solo rotazioni attorno a un asse fisso e non saremo obbligati a considerare i vettori, ma sarà sufficiente rappresentare la velocità angolare con ω e l’accelerazione angolare con α, lasciando al segno il compito di specificare se si tratta di rotazione oraria (segno meno) o antioraria (segno più).
Veniamo ora alle riserve sopra espresse. Gli spostamenti angolari (a meno che siano molto piccoli) non possono essere trattati come vettori. Perché no? Potremmo certamente assegnare anche a loro un modulo e una direzione, come abbiamo fatto per il vettore velocità angolare. Tuttavia questa condizione è necessaria, ma non sufficiente. Per poter essere rappresentata da vettori, una grandezza deve anche obbedire alle regole di addizione dei vettori, una delle quali dice che se si sommano due vettori, è indifferente in quale ordine vengano addizionati. Gli spostamenti angolari non sono in grado di superare questa prova].
Fu F. Reich (1799 – 1882) che nel 1833 verificò per primo quanto trovato da Coriolis. Facendo cadere grosse masse in un pozzo verticale, profondo 158 m, trovò delle deviazioni dalla verticale di 28 mm verso est. Questo fatto basta per riconoscere la non inerzialità del sistema Terra (si tenga conto che, poiché la Terra è una sfera in rapida rotazione, e non una piattaforma, il fenomeno di deviazione avviene sia per moti che si svolgono sulla superficie della Terra, sia per moti di caduta dei corpi).
Con la forza di Coriolis si possono spiegare altri svariati fenomeni tra cui: il fatto che i cicloni osservati dai satelliti hanno verso antiorario nel nostro emisfero ed orario in quello australe, cosa che vale anche per le correnti marine; il fatto che i venti alisei vengono deviati verso occidente; il fatto che nel nostro emisfero le rive destre dei fiumi e le rotaie destre (rispetto al verso del moto) sono le più consumate; il fatto che se si spara a grande distanza su un bersaglio, senza tener conto della deviazione di Coriolis, non lo si colpisce; la famosa esperienza (1851) del pendolo di Foucault. Dell’effetto di Coriolis occorre tenere conto negli spostamenti in aeroplano; per es., nel caso di un velivolo che dal Polo Nord diriga verso l’Equatore volendo mantenere fissa la propria direzione lungo un meridiano: mentre l’aereo è in volo, la Terra ruota di un certo angolo verso est, il che lo porterebbe ad atterrare in un punto a ovest del luogo previsto, se il pilota non modificasse la traiettoria.






DUE PAROLE SUI VORTICI NEI LAVANDINI
http://planet-terre.ens-lyon.fr/planetterre/XML/db/planetterre/metadata/LOM-force-de-coriolis.xml
Le lavabo

Figure 9.
Pour comprendre ce qui se passe dans un lavabo, nous allons essayer de calculer un ordre de grandeur de la force de Coriolis, et la comparer aux autres forces en présences. L’écoulement dans un lavabo a une vitesse faible, de l’ordre de 0,1 m/s. La force de Coriolis par unité de masse a alors, sous nos latitudes, une intensité de l’ordre de Fc = 10-5 N.kg-1. Nous allons à présent comparer cette force à celle introduite par une différence de pente entre deux parois du lavabo, comme sur la figure ci-dessous :

On considère deux particules de même masse de part et d’autre du siphon. La force qui pousse la particule vers le fond (l’équivalent de la force de pression pour le cyclone) est la projection de son poids sur la paroi. On obtient :
P1 = P x sin α
P2 = P x sin β
Pour avoir P2 – P1 de l’ordre de la force de Coriolis, il suffit d’avoir P1 – P2= 10-5, soit α – β = 10-6 rad, ce qui correspond pour une baignoire d’un mètre à un écart de 1µm. Autant dire que la moindre irrégularité de surface entraîne une force supérieure à la force de Coriolis, autorisant ainsi le tourbillon à tourner dans le sens qu’il veut (ce sens dépendant essentiellement de ce que l’eau n’est jamais totalement au repos, mais a un sens de rotation privilégié qui sera amplifié par le tourbillon).
Par contre, si on considère un très grand récipient, avec de l’eau initialement bien au repos, alors on peut mettre en évidence l’existence d’un sens de rotation privilégié suivant l’hémisphère. Des physiciens ont réalisés des expériences le démontrant. On pourra par exemple consulter :
- Arsher Shapiro, Bath tub vortex, Nature, 196, 1080-1081, 1962, doi:10.1038/1961080b0 pour l’hémisphère Nord.
- Lloyd Trefeten et al., The bath tube vortex in the southern hemisphere, Nature, 207, 1084-1085, 1965, (doi:10.1038/2071084a0) pour l’hémisphère Sud (vedi subito oltre)
_______________________
http://www.nature.com/nature/journal/v207/n5001/abs/2071084a0.html
letters to nature
Nature 207, 1084 – 1085 (04 September 1965); doi:10.1038/2071084a0
The Bath-Tub Vortex in the Southern Hemisphere
LLOYD M. TREFETHEN, R. W. BILGER, P. T. FINK, R. E. LUXTON & R. I. TANNER
University of Sydney, New South Wales, Australia.
IT has long been thought that water draining from a tank would rotate counter-clockwise in the northern hemisphere and clockwise in the southern hemisphere, provided other influences were kept small compared with the influence of the rotation of the Earth. This idea has only recently been tested, by Shapiro in Watertown, Massachusetts, as part of a film on vorticity2–4, and later by Binnie in Cambridge, England1. Shapiro and Binnie both acquired confidence, after surmounting difficulties in their early experiments, that the counter-clockwise rotations observed in their later experiments were due to the rotation of the Earth.
- Binnie, A. M. , J. Mech. Eng. Sci., 6, 256 (1964). | ISI |
- Shapiro , Ascher, H. , film, Vorticity (Educational Services Inc., Watertown, Mass., 1961).
- Shapiro , Ascher, H. , Nature, 196, 1080 (1962). | ISI |
- Shapiro , Ascher, H. , four-min film loop No. FM–15, The Bathtub Vortex (Educational Services Inc., Watertown, Mass., 1963).
© 1965 Nature Publishing Group
Privacy Policy
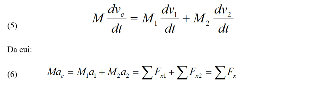
6 – Il terzo principio della dinamica utilizzando la quantità di moto
Abbiamo dato la definizione di quantità di moto:
p = mv
dalla quale abbiamo ricavato il secondo principio:
F = dp/dt = m(dv/dt) = ma
Abbiamo poi dato la legge di conservazione della quantità di moto:
p = Σ pi = Σ mivi = costante
e da ciò è possibile enunciare il terzo principio in altro modo:
In un sistema inerziale la quantità di moto totale di un sistema isolato rimane costante nel tempo.
Vediamo ora come da qui si arriva alla formulazione più conosciuta (F1= – F2) del terzo principio. Si ha:
m1v1 + m2v2 = costante =>
(derivando rispetto al tempo ambedue i membri)
m1(dv1/dt) + m2(dv2/dt) = 0 =>
m1a1 + m2a2 = 0 =>
m1a1 = – m2a2 =>
F1 = – F2
Che vuol dire che la risultante delle due forze è nulla.
Più in generale:
Σ Fi = 0
7 – La gravitazione universale
La gravitazione è una sorgente di forza ed il suo studio fa uscire il concetto di forza dalla metafisica. La forza gravitazionale è una delle quattro forze o interazioni fondamentali che la natura (fino ad ora) ci offre (gravitazionale, debole, elettromagnetica, forte):
| Interazione | Mediatore | Magnitudine relativa | Andamento asintotico | Raggio d’azione |
| Interazione forte | gluone | 1038 | r0 | 1,4 · 10-15 m |
| Interazione elettromagnetica | fotone | 1036 | 1/r2 | |
| Interazione elettrodebole | Bosoni W e Z | 1025 | 10-18 m | |
| Interazione gravitazionale | gravitone | 100 | 1/r2 |
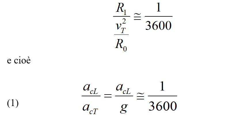
La famosa mela di Newton si può raccontare così: la forza che fa cadere una mela al suolo è la stessa che fa cadere la Luna sulla Terra ?

Calcolando l’accelerazione centripeta della Luna acL = vL2/R1, (dove R1 è distanza della Luna dal centro della Terra e vL è la velocità tangenziale della Luna intorno alla Terra) Newton trovò che era circa 1/3600 dell’accelerazione centripeta della mela in caduta acT = g = vT2/R0 (dove R0 è il raggio della Terra cioè la distanza della mela dal centro della Terra e vT è la velocità tangenziale all’equatore della Terra in rotazione su se stessa).

Inoltre Newton restò colpito dal fatto che 3600 era anche il rapporto tra il quadrato di R1 e di R0:

Mettendo insieme la (1) e la (2) si trova che.

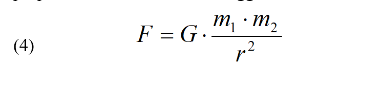
Da ciò Newton ricavò che l’accelerazione dovuta alla gravità decresce in modo inversamente proporzionale al quadrato della distanza della mela dal centro della Terra (R0). Poiché poi tutti i corpi cadono verso il centro della Terra con la medesima accelerazione g, Newton avanzò anche l’ipotesi che la forza di gravità deve essere proporzionale alla massa. La legge che Newton riuscì a costruire è la seguente:

Legge di gravitazione universale
Dove m1 ed m2 sono le due masse che si attraggono, r è la distanza dai loro centri, G è la costante gravitazionale il cui valore è G = 6,67.10-11 N.(m2/Kg2) e che Newton stimò in modo approssimativo mentre fu ricavata sperimentalmente da Cavendish nel 1798 (bilancia di torsione usata anche da Coulomb nel 1784).
Infine Newton si convinse della correttezza delle sue ipotesi quando dalla sua legge di gravitazione universale riuscì a ricavare le leggi che Kepler aveva trovato tra il 1600 ed il 1620 sul moto dei pianeti intorno al Sole.
Vediamo ora le leggi di Kepler per poi tornare a qualche applicazione della gravitazione universale.
8 – Le leggi di Kepler
Induttivamente, dalla montagna di dati lasciata dall’astronomo Tycho Brahe, Kepler ricavò le sue leggi:
PRIMA LEGGE DI KEPLER
Ogni pianeta descrive un’orbita ellittica di cui il Sole occupa un fuoco (nella pratica l’eccentricità è piccola per tutti i pianeti, eccetto Plutone, per cui si possono approssimare le orbite a circonferenze).
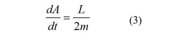
SECONDA LEGGE DI KEPLER
Il raggio vettore che congiunge il Sole a un pianeta spazza aree uguali in tempi uguali.

Nella figura le aree colorate sono uguali; per la seconda legge di Keplero un pianeta impiega lo stesso tempo a percorrere gli spazi S1, S2 ed S3, perciò quando la Terra è più vicina al Sole (ai primi di gennaio) essa possiede la sua velocità massima, inoltre gli inverni all’emisfero Nord sono più brevi che all’emisfero Sud, dove cadono in luglio, quando la Terra si trova nel punto più distante dal Sole.
Qualitativamente questa seconda legge significa che la velocità del pianeta è maggiore quando è più vicino al sole e minore quando è più lontano.
Tale legge è perfettamente equivalente al principio di conservazione del momento angolare. Si consideri la seguente figura:

L’area ΔA del triangolo che si vede in figura è data da

Il momento angolare (si veda oltre) del pianeta rispetto al sole è dato da

essendo v⊥ la componente del vettore velocità perpendicolare a r. Eliminando
r ω tra la (1) e la (2) si ottiene:

Se dA/dt è costante, come afferma la seconda legge di Keplero, allora anche L è costante; e ciò è corretto se si parte dall’ipotesi, implicita da quanto detto da noi, che il sistema è chiuso e isolato.
La seconda legge di Keplero è dunque equivalente al principio di conservazione del momento angolare che può essere dedotto facilmente dalle leggi della dinamica newtoniana.
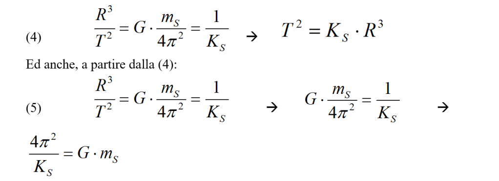
TERZA LEGGE DI KEPLER
I cubi delle distanze dal sole di due pianeti stanno tra loro come i quadrati dei rispettivi periodi di rivoluzione:


ove R1 e T1 sono la distanza e il periodo del pianeta 1 ed R2 e T2 la distanza e il periodo del pianeta 2. Kepler specificò che per la distanza R si doveva prendere il semiasse maggiore dell’ellisse.
Affermare che il quadrato del periodo di rivoluzione è direttamente proporzionale al cubo dell’asse maggiore dell’orbita significa che i pianeti maggiormente lontani dal sole impiegheranno un tempo maggiore per percorrere l’orbita rispetto a quelli più vicini. Anche questa è una diretta conseguenza delle leggi della dinamica classica.
Dimostriamo questa legge per un’orbita circolare (nel caso di orbite ellittiche, come detto, si dovrà prendere il semiasse maggiore dell’ellisse); per la II legge della dinamica si ha che:

semplificando la (5) e ricordando che omega è uguale a 2 pi greco su T otteniamo

che è proprio la terza legge di Keplero.
9 – Ricaviamo ora le leggi di Kepler dalla gravitazione universale
Ricaveremo solo la terza e seconda legge di Kepler perché, per ricavare la prima, occorrerebbe il calcolo differenziale che ancora non conosciamo.
RICAVIAMO LA TERZA LEGGE DI KEPLER
Naturalmente operiamo nell’approssimazione, accettabile, di orbite planetarie circolari e riferendoci alla figura precedente.
Partiamo dalla seconda legge di Newton applicata al pianeta 1.
(1) F1 = m1a1
Poiché il pianeta 1 si muove di moto uniforme su una traiettoria circolare l’accelerazione a1 sarà quella centripeta. Quindi possiamo sostituire ad a1 l’espressione che ci fornisce l’accelerazione centripeta per il pianeta 1:

Sostituiamo il valore trovato nella (1)


Mettendo insieme le ultime due relazioni si trova quanto cercato:

Oltre alla Luna, che è l’unico satellite naturale, la Terra ha ora molti satelliti artificiali, messi in orbita dagli uomini per svariati scopi. Il calcolo applicato da Newton alla Luna può essere usato anche per questi.
LA VELOCITA’ ORBITALE
Supponiamo che la Terra sia una sfera perfetta di raggio 1 Rt = 6 317 000 metri e non abbia atmosfera. In linea di principio, un satellite potrebbe allora orbitare appena al di sopra della sua superficie. La Terra lo attrarrebbe verso il basso con una forza F = mg, e, a causa della direzione di questa forza, anche ogni accelerazione sarebbe orientata nella direzione alto-basso.
Se un satellite è in un’orbita circolare stabile e la sua velocità è v, allora F fornisce l’esatta quantità di attrazione per mantenere il suo moto. E questo significa che
mg = F = mV2/Rt
Dividendo entrambi i membri per m, si vede che la massa del satellite non influisce, e resta
V2/Rt = g
Moltiplicando ora ambo i membri per Rt si ottiene:
V2 = (g) (Rt) = (9,81) (6 371 000) = 62 499 510 (m/sec2)
V = 7905,66 m/sec = 7,90566 km/s = Vo
Questa è la velocità che occorre al satellite per rimanere nella sua orbita (“1” nel disegno). Se la velocità diminuisce, il satellite perde quota e urta contro la Terra (“2”), se invece aumenta, il satellite sale a una distanza maggiore (“3”). Per confronto, basti pensare che un aviogetto di linea vola a circa 250 m/sec, e un proiettile di fucile viaggia a circa 600 m/sec.
Abbiamo ora la necessità di introdurre di nuovo una radice quadrata. La radice quadrata di 2 corrisponde a circa
1,41421. . .
Se la velocità V del nostro satellite è soltanto moderatamente maggiore di Vo, allora la curva “3” del disegno sarà una porzione di una ellisse kepleriana e alla fine il satellite si riavvicinerà alla Terra. Se però V è maggiore di 1,4142… volte Vo, il satellite avrà raggiunto la velocità di fuga e non tornerà mai indietro: questo avviene a circa 11,2 km/sec.
Il valore di 11,2 km/s era stato già ricavato nella sezione sulla 2ª legge di Keplero, dove era stata introdotta (senza dimostrazione) l’espressione dell’energia del moto kepleriano pari a
E = 1/2 mv2 – k m/r
dove per un satellite in orbita attorno alla Terra a una distanza di un raggio terrestre Rt, la costante k è uguale a k=gRt2. L’energia è negativa per un veicolo spaziale catturato dalla gravità terrestre, positiva per uno non trattenuto affatto, e zero per uno che sia appena in grado di sfuggire. Sia V1 la velocità di un tale veicolo spaziale, posto a una distanza Rt ma con zero energia, cioè E=0. Allora
(1/2) m V12 = mgRt
da cui
V12 = 2gRt
che fornisce, come si era affermato
V1= 1,414×V0
LA TERZA LEGGE DI KEPLERO PER I SATELLITI TERRESTRI
La velocità per un’orbita circolare attorno alla Terra per ogni distanza r si può calcolare in modo simile, ma occorre considerare che la la forza di gravità è più debole a distanze maggiori, di un fattore (Rt/r)2. Quindi abbiamo
V2/r = g (Rt r)2 = g Rt2/r2
Sia T il periodo orbitale, espresso in secondi. Allora (come notato precedentemente), la distanza 2πr percorsa in un’orbita è uguale a VT e per la precedente relazione
4 π2r/T2 = g Rt2/r2
Evitiamo la presenza delle frazioni, moltiplicando ambo i membri per r2T2
4 π2r3 = g Rt2 T2
Per vedere meglio quello che abbiamo ottenuto, dividiamo entrambi i membri per g Rt2, isolando T2:
T2 = (4 π2/g Rt2) r3
Quello che sta tra parentesi è soltanto un numero. Il resto ci fornisce un semplice messaggio: T2 è proporzionale a r3, cioè il quadrato del periodo orbitale è proporzionale al cubo della distanza. Questa è la 3ª legge di Keplero, per il caso particolare di un’orbita circolare intorno alla Terra.
APPLICAZIONE DELLA TERZA LEGGE DI KEPLERO
Per un’orbita circolare intorno alla Terra, abbiamo trovato
T2 = (4π2/g Rt2) r3
con T in secondi e r in metri. La distanza di un satellite dal centro della Terra, espressa in metri, è un numero troppo grande e poco maneggevole, anche prima di elevarlo alla terza potenza. Moltiplichiamo allora l’espressione a secondo membro per (Rt3/Rt3) = 1 e riaggiustiamo i termini:
T2 = (4π2/g Rt2) (Rt3/Rt3) r3 =(4π2Rt/g) (r/Rt)3
Il rapporto r’ = (r/Rt) è la distanza orbitale espressa in unità di raggi terrestri. Questo numero è in genere compreso tra 1 (al livello della superficie terrestre, r = Rt) e 60 (alla distanza dell’orbita lunare, r ~ 60 Rt).
Inoltre, questo rapporto è sempre lo stesso, sia che r e Rt siano espressi in metri, in iarde o in miglia marine, purché siar che Rt siano espresse nelle stesse unità. L’altro termine verrà ora calcolato qui di seguito (gli spazi tra le parentesi indicano una moltiplicazione; potete anche verificare i passaggi con una calcolatrice).
(4π2Rt/g) = (4) (9,87) (6 371 000)/9,81 = 25 638 838
Indicando con √ il segno di radice quadrata
√(25 638 838) = 5063,5 Da cui
T2= (5063,5)2 (r’)3
T= 5063,5 secondi×√(r’)3 =5063,5 sec×r’×√(r’)
Questa è la pratica forma della 3ª legge di Keplero per i satelliti della Terra. Un ipotetico satellite che volasse radente alla superficie terrestre (r’ = 1) avrebbe un periodo
T = 5063,5 sec = (5063,5/60) minuti = 84,4 minuti
La Navetta Spaziale deve uscire dall’atmosfera e andare un po’ più in alto. Diciamo che la sua orbita si trova a una distanza r’ = 1,05 con √(r’) = 1,0247. Pertanto
T = (5063,5) (1,05) (1,0247) = 5448 secondi = 90,8 minuti
I satelliti internazionali per le comunicazioni orbitano nel piano equatoriale terrestre e hanno un periodo orbitale di 24 ore. Mentre la Terra ruota, essi le corrono dietro e perciò stanno sempre nello stesso punto del cielo. Qual’è la loro distanza?
In questo caso T è noto e dobbiamo solo trovare r’:
T = 24 ore = 86 400 sec = 5063,5 √(r’)3
√(r’)3 = 86 400/5063,5 = 17,0632
Se tutti i numeri su questa riga sono uguali, saranno uguali anche i loro quadrati, per cui
(r’)3 = (17,0632)2 = 291,156
Ora occorre una calcolatrice per ricavare la radice cubica (oppure, che è la stessa cosa, la potenza 1/3 = 0,333…). Si ottiene
r’ = 6,628 raggi terrestri
per la distanza dei satelliti “geostazionari”.
MASSA DEL SOLE
Riprendiamo la relazione (2’) ora scritta:

Tenendo conto che R1 = 1,5.1011 m e che T1 = 365,25 giorni ~ 10.1014 s, si trova:
mS ~ 2.1030 Kg
FORZA CHE IL SOLE ESERCITA SULLA TERRA
La forza che il Sole esercita sulla Terra, FS,T, è data ancora dalla seconda legge di Newton (con mT = massa della Terra, R = distanza Sole-Terra ed acT = accelerazione centripeta della Terra):

dove 1/KS è una costante relativa al Sole come è costante la quantità che compare prima dell’ultimo segno di uguaglianza.
Più in generale si ha allora:

:
Sostituendo la (4) nella (3), cioè a T2 la quantità Ks.R3, troviamo:

Essendo allora FS,T = FT,S (in modulo) si avrà subito, confrontando la (6) e la (7):

Ed infatti, moltiplicando numeratore e denominatore della (6), per mS, otteniamo:

che è la legge di gravitazione universale. Cioè la forza cui è soggetta la Terra dipende solo dalla sua massa, da quella del Sole e dalla reciproca distanza (al quadrato). In definitiva, applicando i tre principi della dinamica, abbiamo trovato che le masse interagiscono tra di loro proprio come vuole la legge di gravitazione universale.
COME CALCOLARE IL MOTO DELLA LUNA
Assumiamo che il moto della Luna sia circolare, e che l’attrazione terrestre sia sempre diretta verso il centro della Terra. Sia Rt il raggio medio della Terra (stimato per la prima volta da Eratostene) pari a
Rt= 6 371 km
La distanza R della Luna è quindi circa 60 Rt . Se una massa m sulla Terra è attratta da una forza mg, e se vale la “legge dell’inverso del quadrato” di Newton, allora l’attrazione della stessa massa alla distanza della Luna sarà 602 = 3600 volte più debole e sarà uguale a
mg/3600
Se m è la massa della Luna, è questa la forza che mantiene la Luna sulla sua orbita. Se l’orbita lunare è circolare, poiché R = 60 Rt , allora la sua lunghezza è
2 π R = 120 π Rt
Supponiamo che il tempo impiegato a compiere un’orbita sia T secondi. La velocità v del moto è quindi
v = distanza/tempo = 120 π Rt/T
(Da notare: non è la gravità che fornisce alla Luna la sua velocità. Qualunque sia la velocità della Luna, è probabilmente quella che aveva quando si è formata. Ma è la gravità che impedisce alla Luna di sfuggire via, e che la mantiene sulla sua orbita).
La forza centripeta che mantiene la Luna sulla sua orbita deve essere quindi uguale a
mv2/R = mv2/(60 Rt)
e se è la gravità terrestre a fornire tale forza, allora
mg/3600 = mv2/(60 Rt)
dividendo ambo i membri per m e poi moltiplicandoli per 60, l’espressione si riduce a
g/60 = v2/Rt = (120 π Rt)2/(T2 Rt)
Eliminando un fattore Rt , moltiplicando ambo i membri per 60 T2 e dividendoli per g, si ottiene
T2 = (864 000 π2 Rt)/g = 864 000 Rt (π2/g)
Provvidenzialmente, nelle unità di misura usate, g ~ 9,81 è molto prossimo a π2 ~ 9,87, per cui il termine tra parentesi è prossimo a 1 e può essere eliminato. Si ottiene (sostituendo i valori numerici)
T2 = (864 000) (6 371 000)
Con una calcolatrice, è facile trovare la radice quadrata dei due termini. Otteniamo (con una accuratezza di 4 cifre significative)
864 000 = (929,5)2 6 371 000 = (2524)2
E pertanto
T ≈ (929,5) (2524) = 2 346 058 secondi
Per ottenere T in giorni, dividiamo per 86400, il numero di secondi in un giorno, e abbiamo
T = 27,153 giorni
molto vicino al valore reale
T = 27,3217 giorni
Il calcolo svolto qui sembra semplice e immediato. Tuttavia, esso fa una assunzione che oggi accettiamo senza pensarci due volte: che l’attrazione terrestre sia equivalente a quella che esisterebbe se tutta la massa terrestre fosse concentrata nel suo centro.
Questo non era del tutto ovvio per Newton, Quella mela che cadeva… d’accordo, vi era una massa che l’attraeva verso il basso, però vi erano anche delle masse che l’attraevano lateralmente in tutte le direzioni, forze di attrazione che per lo più si annullavano a vicenda. Anche se la risultante di tutte le attrazioni puntava verso il centro della Terra, chi poteva dire che essa obbediva alla stessa legge dell’inverso del quadrato come se fosse una massa concentrata tutta in un punto? Newton non si fidò del calcolo illustrato precedentemente finché non riuscì a dimostrare, con grande soddisfazione, che l’attrazione terrestre poteva essere sempre considerata equivalente all’attrazione di una massa concentrata nel suo centro.
RICAVIAMO LA SECONDA LEGGE DI KEPLER
Ricaviamo ora in maniera semplice la seconda legge di Kepler usando solo la geometria piana.
La seconda legge di Kepler, la legge delle aree, si può ottenere con l’aiuto della figura seguente.

Consideriamo nell’orbita di un pianeta tre posizioni vicine P1, P2 e P3; ognuna di tali posizioni disti dalla successiva di l secondo. Allora la distanza tra P1 e P2 sarà data, numericamente, dalla velocità v1 del pianeta e la distanza da P2 a P3 dalla velocità v2 nel secondo successivo. Per la prima legge di Newton sul moto, la componente della velocità perpendicolare alla retta SP2 resta invariata perché la componente della forza in quella direzione è nulla (la forza agente sul pianeta è diretta lungo SP2 verso il Sole), quindi (v1)perp = (v2)perp. L’area spazzata dal pianeta nel primo secondo è quella del triangolo SP1P2 l’area spazzata nel secondo successivo è quella del triangolo SP2P3. Poiché i triangoli hanno la stessa base SP2 e altezza v1 uguale, hanno anche aree uguali. Si osservi che per ricavare questa legge non si è fatto uso della legge dell’inverso del quadrato, tutto quello che si è preso da tale legge è che la forza di interazione è diretta lungo la congiungente i due corpi che interagiscono; ne segue che la seconda legge di Kepler è più generale delle altre due. La legge delle aree deve valere anche per altri tipi di forze che non siano necessariamente dipendenti dall’inverso del quadrato della distanza.
Prima di terminare su questo argomento prendiamo in considerazione una trappola nella quale si cade facilmente. Noi sappiamo che la forza di gravità che agisce su di un pianeta è uguale ed opposta alla forza centrifuga; ora non dovrebbe la forza risultante essere la somma vettoriale delle due, e quindi nulla?
Naturalmente se la risultante delle forze agenti su un pianeta fosse nulla, secondo la prima legge di Newton, esso si muoverebbe in linea retta e non lungo una circonferenza. Come abbiamo detto, la forza centrifuga è una forza fittizia che esiste solo in un sistema di riferimento rotante; d’altra parte esistono sia la forza di gravità che quella centripeta, ma esse sono una sola forza, esattamente la stessa forza. Per la seconda legge di Newton FG = M.ac dove FG è la forza di gravità ed ac l’accelerazione (che, guarda caso, è centripeta nel caso di un cerchio) dovuta alla forza FG.
Questa legge, la legge delle aree, si può ricavare anche in altro modo, facendo uso della conservazione del momento angolare o momento della quantità di moto (sulla quale conservazione tornerò più oltre). La legge della uguaglianza delle aree è un caso particolare di una legge più generale: quella della conservazione del momento angolare.
MOMENTO DI UNA FORZA E MOMENTO ANGOLARE
Supponiamo di avere un punto materiale di massa m in moto con velocità v ed individuato dal vettore posizione r rispetto all’origine. Il punto materiale avrà una quantità di moto p = mv. La situazione è rappresentata nella figura seguente:

Il momento della quantità di moto rispetto ad un punto O di una particela di massa m che si muove con velocità v (quindi con quantità li moto p = m.v è definito dal prodotto vettoriale L = r /\ p [oppure L = mr /\ v ]. Ilmomento della quantità di moto è pertantoun vettore perpendicolare al piano determinato da r e da v. Il momento della quantità di moto della particella cambia in generale in modulo e in direzione mentre la particella si muove. D’altra parte, se una particella si muove in un piano, e il punto O giace in tale piano, la direzione della quantità di moto resta la stessa, cioè perpendicolare al piano, poiché tanto r che v stanno nel piano. Nel caso

del moto circolare (vedi figura), se O è il centro del cerchio, i vettori r e v sono perpendicolari, e v = ω.r, cosicché
L = mrv = mr2ω
La direzione di L è uguale a quella di ω: allora la relazione precedente si può scrivere vettorialmente come
L = mr2ω
Se il moto piano non è circolare, ma curvilineo, possiamo scomporre la velocità nelle sue componenti radiale e trasversale: v = vr + vθ. Ci è lecito allora scrivere il momento della quantità di moto come
L = m r /\ (vr + vθ) = m r /\ vθ
poiché r /\ vr = 0 (i due vettori sono paralleli), Il modulo di L e L = mrvθ. Oppure poiché

Questa espressione è identica a quella vista per il moto circolare, dato che ω = dθ/dt, ma nel caso generale r non è costante. Ricordando poi come si calcola il prodotto vettoriale, è possibile scrivere il momento della quantità di moto di una particella in funzione delle componenti ma noi non lo faremo.
Torniamo ora alla Seconda Legge di Kepler
Riprendiamo quanto già detto sulla II Legge di Kepler, cominciando con il dire che essa è conseguenza del fatto che la forza esercitata dal Sole su un pianeta è diretta sempre verso un punto determinato, cioè il Sole (forza centrale).
Nella figura seguente è mostrato un pianeta in moto nella sua orbita ellittica intorno al Sole.

Nel tempo dt il pianeta percorre una distanza data da v.dt ed il raggio vettore r descrive l’area dA indicata in figura. Quest’area è uguale all’area del triangolo con base r ed altezza vdt. Si può allora pensare di avere un vettore dA associato all’area del triangolo

cioè:

dove L = |r /\ mv| è l’intensità del momento angolare orbitale del pianeta intorno al Sole e dA/dt è la velocità angolare del pianeta che risulta costante. L’area dA descritta in un dato intervallo di tempo dt è quindi proporzionale all’intensità del momento angolare orbitale L. Visto che la forza esercitata su un pianeta giace lungo la retta che congiunge il pianeta e il Sole, il suo momento rispetto al Sole è nullo. Pertanto il momento angolare orbitale del pianeta è costante. Segue che l’area descritta nell’unità di tempo dal raggio vettore è la stessa per tutta l’orbita, e questa è proprio la seconda legge di Keplero. Inoltre, il fatto che L sia costante significa che rv.sen φ è costante.
Nella figura seguente si considerino due qualsiasi dei triangoli spazzati dal pianeta in un secondo

Le aree dei due triangoli sono dA1 = ½ R1(v1)p e dA2 = ½ R2(v2)p, dove vp è la componente di v in direzione perpendicolare a R. Ma, come detto, a dA si possono associare i vettori momento angolare (si moltiplicano ambo i membri per M) e quindi risulta anche:
R1 /\ M(v1)p = R2 /\ M(v2)p.
La quantità M(v1)p è (P1)p, la componente della quantità di moto in direzione perpendicolare a R1. Quindi:
R1 /\ (P1)p = R2 /\ (P2)p
Abbiamo visto che la quantità R /\ Pp è il momento angolare del pianeta in considerazione. L’equazione precedente afferma quindi che la quantità R /\ Pp rimane costante per ogni posizione di un pianeta nella sua orbita; in altre parole, il momento angolare totale del sistema solare si conserva (non diminuisce e non aumenta mai). Ciò è vero sia che la distanza R sia riferita al Sole come a qualsiasi altro punto dello spazio non soggetto ad accelerazione. La legge di conservazione del momento angolare stabilisce che il momento angolare totale di ogni sistema isolato rimane costante; ciò vale indipendentemente dalla natura delle forze di interazione tra le particelle. Tale legge è stata ampiamente confermata dall’esperienza e non si sono mai osservate evidenze contrarie.
10 – Centro di massa o baricentro
La figura mostra il moto di un sistema isolato. Il sistema in questione è costituito da una chiave inglese che si muove liberamente, cioè la risultante delle forze esterne agenti su di essa è nulla. Notiamo che il momento angolare della chiave inglese si conserva: essa ruota con velocità costante attorno a un punto particolare. Mostreremo ora che questo punto particolare, non soggetto a rotazioni in assenza di forze esterne, è il centro di massa.

La componente lungo l’asse x del centro di massa di un sistema di N particelle è definita come

cioè :

dove Px è la componente lungo l’asse x della quantità di moto totale del sistema. Per la conservazione della quantità di moto, se non intervengono forze esterne, Px, Py e Pz restano costanti. Cosi, sia che il sistema ruoti o meno, tutte e tre le componenti della velocità del centro di massa rimangono costanti, cioè il centro di massa, in assenza di forze esterne, continua a muoversi in linea retta. Se un corpo rigido, come ad esempio una chiave inglese, si muove liberamente e ruota in assenza di forze esterne, la definizione di centro di massa implica che questo punto non subisca accelerazioni e non ruoti. Ecco perché i corpi rigidi e i sistemi di particelle ruotano sempre attorno al loro centro di massa. La legge di conservazione del momento angolare implica che la Terra ruoti attorno al proprio centro di massa sempre con la stessa velocità, se si trascurano le forze delle maree, che sono forze esterne dovute alla Luna e al Sole.
Passando ai differenziali, si può in definitiva trovare che la velocità del centro di massa per la massa totale è uguale alla quantità di moto totale del sistema. Nel caso si abbiano due sole particelle, m1 ed m2, la (1) diventa:

L’accelerazione del centro di massa si troverà derivando rispetto al tempo la seconda delle (4):

dove Σ Fx1 = m1a1 è la forza risultante che agisce sulla particella 1, Σ Fx2 = m2a2 è la risultante che agisce sulla particella 2 e Σ Fx1 + Σ Fx2 = Σ Fx è la risultante che agisce sul sistema delle due particelle.
Le forze che agiscono sul sistema possono essere classificate in due categorie, forze interne e forze esterne. Le forze interne sono le forze d’interazione fra le due particelle: la loro mutua attrazione gravitazionale, la loro attrazione o repulsione elettrostatica, le forze di contatto, e le forze esercitate da fili o molle che collegano le particelle. Le forze esterne sono le forze esercitate da agenti esterni al sistema. Le forze interne sono tutte esercitate da agenti situati all’interno del sistema così definito. Le forze esterne, in questo esempio, sono i pesi dei corpi, esercitati dalla Terra; le forze normali, esercitate verso l’alto dal piano; le forze d’attrito esercitate dal piano; e la tensione T. In base alla terza legge di Newton, per ciascuna forza esercitata da m1 su m2 c’è una forza uguale e contraria esercitata da m2 su m1. Perciò, le forze interne agiscono a due a due. Quando si sommano tutte le forze che agiscono sul sistema di due particelle, le forze interne si elidono. Perciò, la forza risultante Σ Fx agente sul sistema è semplicemente la risultante delle forze esterne Σ Fx,est. L’equazione (6) può essere perciò scritta nella forma:

dove P = MvC = M1v1 + M2v2 è la quantità di moto totale. L’equazione (7) afferma che la forza risultante che agisce sul sistema è uguale al prodotto della massa totale per l’accelerazione del centro di massa del sistema. Questa equazione ha la stessa forma della seconda legge di Newton per una singola particella di massa M situata nel centro di massa e soggetta all’influenza della forza risultante
Il centro di massa si muove come una particella di massa M = M1 + M2 sotto l’influenza del risultante delle forze esterne che agiscono sul sistema. È facile generalizzare dal caso particolare di due particelle in una dimensione a molte particelle in tre dimensioni. Se si hanno N particelle, la coordinata x del centro di massa è definita da:

Siamo ora in grado di individuare il centro di massa di un sistema di molte particelle con il suo vettore posizione rc :
(11) rc= xci + ycj + zck
Abbiamo:
Mrc= Σ Mi (xci + ycj + zck)
Mrc= Σ Miri
Derivando questa equazione rispetto al tempo, si ha:
Mvc= Σ Mivi = P
Derivando di nuovo:
Mac= Σ Miai = dP/dt
Ma Miai = Σ Fi e Σ Fiè la forza risultante sulla particella i-esima e che nella somma Σ Fi le forze interne hanno somma nulla e di conseguenza è semplicemente la risultante delle forze esterne agenti sul sistema. Perciò:
(12) Σ Fi,est = dP/dt = Mac
Abbiamo, quindi, di nuovo, che :
il centro di massa di un sistema di particelle si muove come una singola particella di massa M = Σ mi sotto l’influenza della risultante delle forze esterne che agiscono sul sistema.
Questo teorema è importante perché suggerisce come descrivere il moto di un punto, il centro di massa, per qualunque sistema di particelle, comunque vasto possa essere il sistema. Il centro di massa del sistema si comporta come un’unica particella soggetta soltanto alle forze esterne. I singoli moti degli elementi del sistema sono in generale molto più complessi. Per esempio, anche se la resistenza dell’aria è trascurabile, il moto di un sistema costituito da un paio di masse collegate da una molla e lanciate nell’aria è piuttosto complicato. Le masse capitombolano e ruotano mentre si muovono e oscillano lungo la loro congiungente. Ma il centro di massa del sistema, che giace fra le due masse, si muove come se ci fosse un’unica particella: descrive una semplice traiettoria parabolica.
La precedente trattazione di corpi di grandi dimensioni come particelle puntiformi è in realtà giustificata da questo teorema sul moto del centro di massa. Tutti i corpi di grandi dimensioni dovrebbero essere considerati costituiti da numerose piccole masse i cui moti sono governati dalle tre leggi di Newton. Il moto di un sistema siffatto comprende in genere rotazioni e oscillazioni rispetto al centro di massa. Determinare tutti i particolari del moto sarebbe difficilissimo, ma spesso basta determinare il moto del centro di massa. Il teorema stabilisce che questo problema può essere considerato come un problema del moto di una singola particella puntiforme.
Vi sono vari metodi per individuare il centro di massa di un sistema di particelle ma per ora li tralasciamo. Si può però dire che il centro di massa di un corpo uniforme regolare coincide con il centro geometrico del corpo; il centro di massa di un disco uniforme è nel centro del disco, quello di un cilindro uniforme è sull’asse del cilindro, nel punto intermedio fra le basi, ecc.
Categorie:Senza categoria
Rispondi