Ingegneria Meccanica – Roma Tre
AA/2011-2012
APPUNTI PER IL CORSO
(Ripresi integralmente e da me assemblati dai testi di bibliografia)
Roberto Renzetti
Bibliografia:
Paul J. Tipler, Gene Mosca – Corso di Fisica – Zanichelli 2010
Jay Orear – Fundamental Physics – John Wiley & Sons Inc, 1967
F.W. Sears, M.W. Zemansky – University Physics – Addison-Wesley Publishing Company, 1964
M. Alonso, E. J. Finn – Fundamental University Physics – Addison-Wesley Publishing Company, 196
R. Renzetti – Appunti miei raccolti negli anni – www.fisicamente.blog
ELETTROMAGNETISMO
7 – TEOREMA DI AMPÈRE
(una via intermedia in termini di complessità)
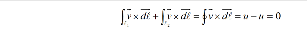
In questo paragrafo ci proponiamo di stabilire se esiste o meno un potenziale magnetico, se cioè il campo magnetico è conservativo, condizione per poter avere un potenziale. Ricordiamo che un campo è conservativo se il lavoro fatto per andare da un punto P1 ad un punto P2 del campo è indipendente dal cammino percorso o, che è lo stesso, se muovendosi lungo una linea chiusa all’interno del campo il lavoro fatto è nullo (quest’ultima condizione si può esprimere nel modo seguente: se l’integrale esteso ad una linea chiusa all’interno del campo è nullo). Quanto detto si può scrivere matematicamente nel modo seguente. Se v è il campo vettoriale in considerazione e P1 e P2 sono due punti situati in esso:


dove u è la funzione scalare che si origina dal prodotto scalare tra due vettori.
Se ora facciamo l’integrale di linea andando da P2 a P1 si avrà:

Se infine facciamo l’integrale lungo la linea chiusa che ci porta prima da P1 a P2 e quindi da P2 a P1, avremo:

Ebbene, se l’integrale circuitale ora scritto dà per risultato zero, allora il campo vettoriale v in considerazione è conservativo.
Riprendiamo ora la Legge di Biot e Savart (la 1 del paragrafo 4) che riporto di nuovo (con una figura simile, utile ad individuare le grandezze in gioco).

Il campo magnetico dB ha verso entrante nel disegno. Si noti che ds è perpendicolare a dB e che ds ha una sua componente dt parallela a dB che, come dB, ha verso entrante nel disegno.

La situazione di figura precedente vista da altra angolazione. B e dt sono tra loro paralleli e concordi.
La legge di Biot-Savart, da cui partire, è la seguente

dal disegno risulta:

dal disegno ricaviamo ancora:

osserviamo ancora che integrare da – π/2 a + π/2 equivale ad integrare da 0 a π/2 dopo aver moltiplicato per 2 l’intera espressione:

e ritroviamo ancora la legge di Biot e Savart.
Passiamo ora a calcolarci l’integrale prima lungo una linea ℓ1 (la linea rossa di figura fatta dai 4 tratti 1, 2, 3 e 4) chiusa nel campo ma non includente la corrente quindi lungo una linea ℓ2 chiusa (circuitazione). [Questa dimostrazione è tratta da:
http://www.fis.unical.it/Mat_didattico/falcone/fisica2cap10.pdf ]

Il percorso non si avvolge intorno al filo. I tratti 2 e 4 sono nella direzione radiale mentre i tratti 1 e 3 sono parti di circonferenze con raggio rispettivamente uguale a R1 e R3. Il prodotto scalare è nullo nei tratti 2 e 4, pertanto da essi non viene alcun contributo. Nei rimanenti tratti il campo B e lo spostamento infinitesimo ds sono paralleli o antiparalleli, per cui:

dove θ è l’angolo che sottende sia l’arco 1 che l’arco 2. Possiamo concludere dicendo che, per un percorso che non avvolga il filo, la circuitazione è nulla, almeno per un campo prodotto da un filo rettilineo indefinito.
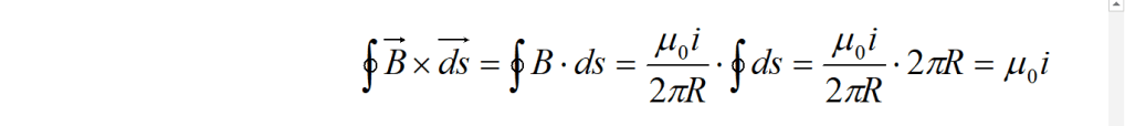
Consideriamo, ora, un circonferenza che giri intorno al filo.

Anche in tal caso, la circuitazione si calcola facilmente e si trova, essendo B e dl paralleli e concordi e B costante su una circonferenza con centro sul filo,

Sebbene abbiamo fatto riferimento a casi molto semplici, l’esperienza mostra che i due risultati valgono qualunque sia la forma del circuito percorso da corrente stazionaria che produce il campo e qualunque sia il percorso scelto per la circuitazione.
Più in generale, data una qualsiasi linea chiusa, la circuitazione lungo di essa del campo magnetico generato da un sistema comunque complesso di correnti è uguale alla somma algebrica delle correnti concatenate (diremo che un percorso è concatenato con un circuito se esso non può ridursi ad un punto) con la linea; ciascuna corrente essendo presa come positiva (negativa) se fluisce in verso concorde (discorde) con quello con cui avanza una vite che giri nel verso fissato sul percorso ed essendo contata tante volte quante volte la linea è con essa concatenata.
In definitiva se percorriamo una linea chiusa in un campo magnetico, concatenando la linea con la corrente stessa, il campo non è conservativo e non si può quindi definire un potenziale. Più in generale si conclude che il campo magnetico non è conservativo.
8 – FORZA DI LORENTZ
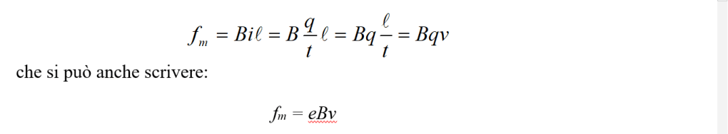
Un campo magnetico B esercita una forza Fm = Biℓ (si veda la 3 del paragrafo 4) su ogni tratto di filo di lunghezza ℓ percorso da una corrente i (con ℓ e B perpendicolari tra loro).

Poiché un elettrone in moto è una piccolissima corrente, il campo eserciterà su di esso una forza fm data da:

ma questa volta cambia il verso della corrente e quindi cambia il verso di fm:

[si osservi che Fm = n.fm dove n è il numero degli elettroni che costituiscono la corrente].
Più in generale quando ℓ e B non sono perpendicolari, si ha che la forza magnetica che si esercita su una carica q è data da:

ebbene, la fL è nota come forza di Lorentz.
In un tubo catodico si sfrutta la forza di Lorentz facendo agire simultaneamente campi elettrici e magnetici, perpendicolari tra loro, su un fascio di elettroni. Mediante un tubo catodico è possibile misurare il rapporto e/m tra carica e massa di un elettrone (misura fatta alla fine dell’Ottocento da J.J. Thomson).

Facciamo agire un campo B ed un campo E, perpendicolari tra loro, su un elettrone che si muove con velocità v:

Le forze elettrica e magnetica saranno quelle colorate in rosso nella figura.
Il fascio di elettroni può essere aggiustato operando su B ed E. Se, ad esempio, si opera in modo da rendere fe = fm risulta:
(1) qE = qBv -> E = Bv -> ν = E/B
Se ora azzeriamo il campo elettrico, il fascio sarà deviato dal solo campo magnetico lungo una traiettoria circolare di raggio R misurabile direttamente sullo schermo. Infatti, una particella di massa m che sia sottoposta in ogni punto della sua traiettoria ad una forza costante e perpendicolare alla velocità ha solo accelerazione centripeta costante ed accelerazione tangenziale nulla. Quindi essa si muove di moto circolare uniforme. Il prodotto di massa per accelerazione centripeta deve dunque essere uguale alla forza magnetica:

ed al secondo membro abbiamo tutte grandezze misurabili.
[Televisore]
9 – MAGNETISMO NELLA MATERIA
Studiando i campi elettrici nella materia abbiamo trovato che il campo elettrico è influenzato dalla presenza di dipoli elettrici. Nel caso delle molecole polari, che hanno un momento dipolare elettrico permanente, i dipoli sono allineati dal campo elettrico; mentre nel caso delle molecole non-polari i dipoli elettrici sono indotti dal campo esterno. In entrambi i casi, i dipoli sono allineati con il campo elettrico esterno e l’allineamento tende a indebolire il campo esterno.
Effetti alquanto simili ma più complicati si verificano nel magnetismo. Gli atomi possiedono momenti magnetici dovuti al moto dei loro elettroni. Inoltre, ogni elettrone ha un momento magnetico intrinseco associato al suo spin. Il momento magnetico totale di un atomo dipende dalla disposizione degli elettroni nell’atomo stesso. A differenza della situazione che si verifica con i dipoli elettrici, l’allineamento dei dipoli magnetici con un campo magnetico esterno tende ad aumentare il campo. Si può vedere questa differenza confrontando le linee di E per un dipolo elettrico con le linee di B per un dipolo magnetico, per esempio per una piccola spira percorsa da corrente. Nella regione distante dai dipoli le linee sono identiche, ma nella regione all’interno del dipolo le linee di B e di E hanno versi opposti. Perciò, in una sostanza polarizzata elettricamente i dipoli creano un campo elettrico parallelo e contrario (antiparallelo) al loro vettore momento di dipolo, mentre in una sostanza polarizzata magneticamente i dipoli creano un campo magnetico parallelo e concorde rispetto ai vettori momento magnetico di dipolo.

Le sostanze possono essere classificate in tre categorie: paramagnetiche, diamagnetiche e ferromagnetiche. Quelle paramagnetiche e ferromagnetiche hanno molecole con momenti magnetici dipolari permanenti. Nel paramagnetismo, questi momenti non interagiscono fortemente fra loro e sono normalmente orientati in maniera casuale. In presenza di un campo magnetico esterno, i dipoli sono parzialmente allineati secondo l’orientazione del campo, aumentando così il campo stesso. Però, a temperature ordinarie e in campi magnetici esterni ordinari, solo una piccola frazione delle molecole si allinea con il campo esterno perché il moto termico tende a rendere casuale la loro orientazione. L’aumento del campo magnetico totale è perciò molto piccolo. Il ferromagnetismo è molto più complicato. A causa di una forte interazione fra dipoli magnetici vicini, può essere ottenuto un alto grado di allineamento con i campi magnetici esterni anche se essi sono deboli, e quindi un grande aumento del campo magnetico totale. Anche in assenza di un campo magnetico esterno, la sostanza ferromagnetica può contenere dipoli magnetici allineati, come nei magneti permanenti.
Il diamagnetismo è dovuto a un momento magnetico indotto con orientazione opposta a quella del campo esterno. I dipoli indotti indeboliscono perciò il campo magnetico risultante. Questo effetto si verifica in tutte le sostanze ma è molto debole e spesso mascherato dagli effetti paramagnetico o ferromagnetico se le singole molecole hanno momenti magnetici dipolari permanenti.
10 – PERMEABILITA’ MAGNETICA DI UN MEZZO
Se introduciamo all’interno di un solenoide percorso da corrente un pezzo di ferro questo si magnetizza.
Ciò significa che, in aggiunta al campo magnetico B0 prodotto dalla corrente i che circola nel solenoide, si aggiunge un campo di induzione M prodotto dalla magnetizzazione (polarizzazione magnetica) del materiale entro il quale il campo B0 è stato prodotto.
In prima approssimazione si può scrivere:
(1) Bm = µr.B0
ed occorre dire che nei materiali ferromagnetici µr non è costante.
Conviene allora separare esplicitamente il campo B0 dal campo prodotto dalla polarizzazione del mezzo:
(2) Bm = B0 + µ0.M
dove M è l’intensità di magnetizzazione.
Se M è proporzionale a B0, la (2) si può scrivere:
Bm = B0 + χ.B0 = (1 + χ).B0 = µr.B0
Quando non c’è proporzionalità tra M e B0, allora la (2) è ancora valida ma non lo è la (1).
Si noti che spesso si avrà a che fare con un’altra grandezza, il vettore intensità del campo magnetico H, così definito:
11 – PARAMAGNETISMO (μr > 1 μr ~ 1)
Il paramagnetismo si verifica nelle sostanze i cui atomi hanno momenti magnetici permanenti i quali interagiscono fra loro solo molto debolmente. In assenza di campo magnetico esterno, questi momenti magnetici sono orientati in maniera casuale. In presenza di un campo magnetico esterno, essi tendono ad allinearsi con il campo, ma questa tendenza è contrastata dalla tendenza a orientarsi in maniera casuale per effetto del moto termico. La frazione di momenti che si allinea con il campo dipende dal modulo del campo e dalla temperatura. A temperature molto basse e in campi esterni molto alti, quasi tutti i momenti sono allineati con il campo. In questa situazione il contributo dato dal materiale al campo magnetico totale è molto grande. Anche con i più forti campi magnetici ottenibili in laboratorio, la temperatura deve essere di qualche grado assoluto soltanto perché si ottenga un alto grado di allineamento con il campo esterno. A temperature superiori e in campi esterni più deboli solo una piccola frazione dei momenti magnetici è allineata con il campo e il contributo della sostanza al campo magnetico totale è molto piccolo. Si può formulare in maniera più quantitativa questo comportamento confrontando l’energia di un momento magnetico in un campo magnetico esterno con l’energia termica, che è dell’ordine di kT, dove k è la costante di Boltzmann e T è la temperatura assoluta. L’energia potenziale di un momento magnetico in un campo magnetico esterno è minima quando il momento magnetico ha la stessa orientazione del campo ed è massima quando il momento magnetico ha un’orientazione opposta a quella del campo.
A una temperatura normale di T = 300 °K, l’energia termica tipica kT è 4,14 x 10-21 J, circa 200 volte maggiore della differenza di energia potenziale quando il dipolo ha la stessa orientazione del campo o l’orientazione opposta. Perciò, anche in un forte campo di un tesla (l T) la maggior parte dei momenti magnetici sarà orientata sostanzialmente in maniera casuale per effetto dei moti termici.
In queste sostanze la magnetizzazione è inversamente proporzionale alla temperatura assoluta. Il fenomeno fu scoperto per via sperimentale da Pierre Curie ed è noto come legge di Curie.

In definitiva, sottoponendo una sostanza paramagnetica all’azione di un campo esterno B0 nella sostanza si produce un piccolo campo magnetico addizionale Bm :
B = B0 + Bm
μr = 1 + χ = 1 + 10-4 ~ 1 à B ~ Bm
Inoltre
Bm = Bm(T)
ed a basse temperature queste sostanze si comportano come le ferromagnetiche.
Alcune sostanze paramagnetiche:
alluminio μr = 1,000023
platino μr = 1,00036
caucciù μr = 1,000014
aria μr = 1,00000003
12 – DIAMAGNETISMO (μr < 1 μr ~ 1)
Il diamagnetismo fu scoperto da Faraday nel 1846 quando trovò che un pezzo di bismuto è respinto da ciascun polo di un magnete, la qual cosa indica che il campo magnetico esterno del magnete induce un dipolo magnetico nel bismuto con orientazione opposta a quella del campo. Si può comprendere qualitativamente questo effetto per mezzo della legge di Lenz (vedi oltre) ed introducendo il concetto del vettore magnetone di Bohr (μ) o momento magnetico orbitale dell’elettrone ed il concetto di spin (s)dell’elettrone. Un elettrone che ruota intorno ad un nucleo equivale, agli effetti magnetici, ad una corrente di verso opposto al moto della particella che percorre una spira uguale alla traiettoria descritta dall’elettrone (Lenz). L’elettrone, mentre ruota intorno al nucleo, ruota anche su se stesso (spin), e questa rotazione comporta un ulteriore contributo al magnetismo atomico chiamato momento magnetico di spin (μs).


_____________________________________
(Esercizio da svolgere dopo aver studiato la legge di Lenz) Nella figura seguente due cariche positive si muovono su orbite circolari con la stessa velocità ma in versi opposti. I loro momenti magnetici hanno orientazioni opposte e si elidono (È più semplice considerare cariche positive anche se, come ora visto, sono gli elettroni carichi negativamente che forniscono i momenti magnetici nella materia). Si consideri ora ciò che accade quando un campo magnetico esterno B è stabilito nella direzione perpendicolare al piano del foglio e nel verso entrante in esso. Secondo la legge di Lenz, verranno indotte correnti che si oppongono alla variazione del flusso di induzione magnetica. Se si suppone che il raggio della circonferenza non vari, la carica a sinistra verrà accelerata per aumentare il suo flusso di induzione magnetica uscente dal foglio e la carica a destra verrà rallentata per diminuire il suo flusso di induzione magnetica entrante nel foglio. In ogni caso, la variazione del momento magnetico delle cariche avrà un’orientazione uscente dal piano del foglio, opposta a quella del campo esterno.

_______________________________________
Poiché il momento magnetico indotto ha orientazione opposta a quella del campo magnetico esterno, sia che il momento iniziale abbia la stessa orientazione del campo sia che abbia l’orientazione opposta, ogni elettrone dell’atomo apporta un contributo al momento magnetico indotto dell’atomo. Il vettore magnetizzazione M è il prodotto del numero di elettroni riferito all’unità di volume per il momento magnetico indotto di ciascun elettrone. Se n è il numero di atomi per unità di volume e Z è il numero atomico, il numero di elettroni per unità di volume è nZ.
Gli atomi con struttura elettronica a strati chiusi hanno momento angolare nullo e perciò non hanno momento magnetico dipolare permanente: sono diamagnetici. Gli atomi che hanno un momento magnetico dipolare permanente (e non sono ferro magnetici) sono o paramagnetici o diamagnetici, secondo qual è l’effetto più forte. Poiché l’effetto diamagnetico non dipende dalla temperatura e l’allineamento dei momenti permanenti diminuisce con la temperatura sia per le sostanze paramagnetiche sia per quelle ferromagnetiche, tutte le sostanze sono diamagnetiche a temperature abbastanza alte.

Si ha qui:
B = B0 – Bm
μr < 1 μr ~ 1 à B ~ B0
Bm ≠ Bm(T)
μr ≠ μr (T)
Alcune sostanze diamagnetiche:
bismuto μr = 0,99982
rame μr = 0,99999
argento μr = 0,999981
acqua μr = 0,9999997
13 – FERROMAGNETISMO. ISTERESI
Il ferromagnetismo si verifica nel ferro, nel cobalto e nel nichel puri, nelle leghe di questi metalli fra loro e con alcuni altri elementi e in alcune altre sostanze (gadolinio, disprosio e alcuni composti). In queste sostanze un piccolo campo magnetico esterno può produrre un elevatissimo grado di allineamento dei momenti magnetici di dipolo atomici, il quale, in alcuni casi, può persistere anche quando non c’è più il campo magnetizzante esterno. Ciò avviene perché i momenti magnetici di dipolo degli atomi di queste sostanze esercitano intense forze sugli atomi vicini e quindi, su una piccola regione dello spazio, i momenti sono allineati fra loro anche in assenza di campo esterno. Queste forze di dipolo sono previste per queste sostanze dalla meccanica quantistica, e non possono essere spiegate con la fisica classica. A temperature superiori alla temperatura critica, chiamata temperatura (o punto) di Curie, queste forze scompaiono e le sostanze ferromagnetiche diventano paramagnetiche.
La regione dello spazio nella quale i momenti magnetici di dipolo sono allineati è chiamata dominio ferromagnetico (o dominio di Weiss) e ha di solito dimensioni microscopiche. All’interno del dominio, tutti i momenti magnetici sono allineati, ma l’orientazione di allineamento varia da dominio a dominio; di conseguenza, il momento magnetico totale di un pezzo macroscopico di sostanza è nullo nello stato normale. La figura illustra questa situazione. Quando è applicato un campo magnetico esterno, le pareti che limitano i domini (chiamate pareti di Bloch) si spostano e l’orientazione di allineamento all’interno di un dominio può variare producendo un momento magnetico risultante avente la stessa orientazione del campo applicato. Poiché il grado di allineamento è elevato anche per un piccolo campo esterno, il campo magnetico prodotto nella sostanza dai dipoli è spesso molto più forte del campo esterno.


I domini di Weiss sono visibili al microscopio elettronico. Sono 106 per mm3 ed ogni dominio contiene 1015 atomi

Si immagini di magnetizzare una lunga asta di ferro all’interno di un solenoide aumentando gradualmente l’intensità della corrente i nell’avvolgimento del solenoide. Si supponga che l’asta e il solenoide siano tanto lunghi quanto basta per poter trascurare gli effetti di estremità. L’intensità del campo magnetico H nel centro del solenoide è allora legata all’intensità della corrente dalla semplice relazione

dove M è il vettore magnetizzazione. Per il ferro e le altre sostanze ferromagnetiche, la magnetizzazione M è spesso molto maggiore dell’intensità di campo magnetico H secondo un fattore dell’ordine di parecchie migliaia o più.
La figura seguente è un diagramma di Bi (campo interno) in funzione di Be (campo esterno).


Ferro Acciaio

La curva più in alto è quella per la magnetizzazione di sostanze ferromagnetiche. Quella intermedia è per le paramagnetiche. L’ultima è per le diamagnetiche.

Quando Be è gradualmente aumentato a partire dal valore zero, Bi cresce a partire da zero lungo la parte della curva compresa fra l’origine O e il punto P. L’appiattimento di questa curva vicino al punto P indica che il modulo M del vettore magnetizzazione tende al suo valore di saturazione M, quando tutti i dipoli atomici sono allineati. Il campo esterno necessario per produrre la saturazione in un dato materiale ferro magnetico è chiamato campo di saturazione Be,s. Un ulteriore aumento di Be al disopra di Be,s fa aumentare Bi solo attraverso il termine μ0H nell’equazione (2). Quando Be è fatto diminuire gradualmente a partire dal punto P, non si verifica una corrispondente diminuzione della magnetizzazione. Lo spostamento dei domini in una sostanza ferromagnetica non è completamente reversibile e una certa magnetizzazione permane anche quando Be è annullato, come è indicato nella figura. Questo effetto è chiamato isteresi (da un termine greco che significa «memoria»). Il valore dell’induzione magnetica in un punto r quando H è zero è chiamato induzione residua Br. Se ora si inverte la corrente nel solenoide, invertendo così l’orientazione di Be, l’induzione magnetica Bi diminuisce gradualmente annullandosi nel punto c. Il valore di Be necessario per annullare Bi è chiamato campo coercitivo Be,c. La parte rimanente del ciclo di isteresi si ottiene aumentando ulteriormente l’intensità della corrente nel verso opposto finché non è raggiunto il punto Q, corrispondente alla saturazione nel verso opposto, diminuendo l’intensità della corrente fino ad annullarla nel punto R e aumentando di nuovo l’intensità della corrente per produrre un’intensità di campo magnetico Be nell’orientazione iniziale.
L’area racchiusa dal ciclo di isteresi rappresenta la perdita di energia dovuta alla irreversibilità del processo. L’energia si manifesta nella sostanza sotto forma di calore.
Se l’effetto di isteresi è piccolo, e quindi l’area è piccola, la qual cosa indica che la perdita di energia è piccola, la sostanza è detta materiale magnetico dolce (un esempio è il ferro dolce). In tali materiali l’induzione residua Br e il campo coercitivo Be,c sono quasi nulli e la perdita di energia riferita al ciclo è piccola. I materiali magnetici dolci sono usati per i nuclei dei trasformatori, al fine di aumentare l’induzione Bi senza provocare una grande perdita di energia quando il campo subisce molte alternanze in ogni secondo.
D’altra parte, è desiderabile avere una grande induzione residua Br e un grande campo coercitivo Be,c in un magnete permanente (il grande campo coercitivo è importante perché la magnetizzazione non sia distrutta da piccoli campi parassiti). I materiali magnetici duri sono usati per i magneti permanenti.

Con le sostanze ferromagnetiche si ha:
Bm = Bm(T)
μr >> 1
Per T > Tc le sostanze in considerazione perdono ogni caratteristica ferromagnetica e diventano paramagnetiche.
Alcune sostanze ferromagnetiche:
ferro 5 000 < μr < 10 000
nichel μr = 1 100
cobalto μr = 175
permalloy μr = 100 000
supermalloy μr = 1 000 000
_______________________
Curiosità:
- il ferro, il nickel e il cobalto, una volta che i loro domini si sono allineati con B, risultano magnetizzati in permanenza. Ciò si usa per la datazione delle rocce vulcaniche: la lava che si raffredda dopo un’eruzione, scendendo al di sotto del punto di Curie, solidifica in roccia e acquisisce una magnetizzazione che ha la stessa direzione del campo magnetico terrestre in cui era immersa al momento del raffreddamento, mantenendola per sempre. Conoscendo l’orientamento del campo magnetico terrestre nei periodi passati è possibile datare l’epoca dell’eruzione.
- Le proprietà di memoria delle sostanze ferromagnetiche trovano impiego in un’estesa varietà di memorie magnetiche, comprendenti nastri magnetici, dischetti, dischi magnetici e schede magnetiche. Il tipo più semplice di memoria magnetica è costituito da un anellino di materiale ferromagnetico, attraversato da un filo conduttore, che un breve impulso di corrente può magnetizzare in un verso a cui associamo la cifra 1, o nell’altro corrispondente allo 0: così l’anellino può memorizzare una cifra binaria o bit. Per memorizzare grandi quantità di informazioni, si dovrebbe usare un numero enorme di anellini: per questo si preferisce registrare le informazioni in piccole aree della superficie di dischi magnetici: ogni elemento di superficie si comporta come un anellino in cui si può scrivere un’informazione binaria elementare.




Elea 9003 Olivetti

Mario Tchou
Categorie:Senza categoria
Rispondi