Ingegneria Meccanica – Roma Tre
AA/2011-2012
PROBLEMI
(Ripresi integralmente e da me assemblati dai testi di bibliografia)
Roberto Renzetti
Bibliografia: Paul J. Tipler, Gene Mosca – Corso di Fisica – Zanichelli, 2009
Jay Orear – Fundamental Physics – John Wiley & Sons Inc, 1967
F.W. Sears, M.W. Zemansky – University Physics – Addison-Wesley Publishing Company, 1964
M. Alonso, E.J. Finn – Fundamental University Physics – Addison-Wesley Publishing Company, 1969
R. Renzetti – Vari appunti miei raccolti negli anni – http://www.fisicamente.blog
MECCANICA
Problema 1 – Per un punto A di una strada passa un primo veicolo alla velocità v1 = 80 Km/h; 3 minuti dopo passa un secondo veicolo che rincorre il primo alla velocità v2 = 118 Km/h. Supponendo che i due veicoli si muovano di moto uniforme, dopo quanto tempo il secondo veicolo raggiunge il primo ed a quale distanza.
[675 s]
Problema 2 – Un grave viene lanciato verso l’alto con una velocità iniziale v0 = 30 m/s. Supponendo che il lancio avvenga nel vuoto, determinare:
- l’istante di arresto e la massima quota raggiunta;
- il tempo e la velocità di ricaduta.
[t1 = t’ ~ 6 s; smax ~ 46 m; v1 = v0 = 30 m/s]
Problema 3 – Dall’alto di una torre di altezza h = 40 m, si lascia cadere una sfera A; contemporaneamente da terra viene lanciata verso l’alto una sfera B con velocità iniziale v0 = 20 m/s.
Supponendo che i lanci avvengano nel vuoto e che sia positivo il verso che va dall’alto verso il basso, determinare:
- l’istante ed il punto in cui le due sfere si incrociano;
- la velocità delle due sfere nell’istante in cui si incrociano.
[t = h/v0 = 2s; s1 = 19,6 m]
Problema 4 – Un’auto, arrivata a 200 m dall’incrocio, vede che il semaforo (che dura 10 s) diventare verde. La velocità dell’auto è v0 = 60 Km/h. Si vuole sapere se l’auto deve accelerare per superare il semaforo. Se sì, qual è l’accelerazione minima necessaria a superarlo e compatibile con il veicolo ?
[v = 23,3 m/s]
Problema 5 – Un pallone aerostatico sale con velocità uniforme v0. Un carico è sospeso al pallone con una corda che si rompe quando il pallone raggiunge un’altezza h0. Quale sarà il moto del carico dopo la rottura della corda, sia rispetto alla terra che rispetto al pallone ? Calcolare il tempo che il carico impiegherà a cadere a terra e qual è la sua velocità nel momento dell’urto con la terra.
Disegnare i diagrammi v(t) ed s(t) del carico, sia rispetto al pallone che rispetto alla terra.
Problema 6 – Un treno ha una velocità di regime v0 = 72 Km/h. Si sa che, frenando, lo si può fermare in un tempo t* = 20 s. Ammettendo che il moto di frenata sia uniformemente ritardato, si calcoli a quale distanza dalla stazione occorre azionare i freni.
Se alla partenza del treno si ammette di poter raggiungere i 72 Km/h con un moto uniformemente accelerato, con a = 0,5 m/s2, si calcoli il tempo perduto nella fermata che supera il tempo effettivo di sosta.
[s = 200 m; t = 30 s]
Problema 7 – Un autista vede il segnale di curva pericolosa a 200 m dalla curva, mentre procede a 72 Km/h. Qual è l’accelerazione di frenata che deve applicare per giungere alla curva a 36 Km/h ?
Uscendo dalla curva vede, 200 m più oltre, un autotreno che procede nello stesso senso a 21 Km/h. Quale accelerazione dovrà applicare per superare l’autotreno prima che esso abbia percorso altri 100 m ? In tal caso, a che velocità avverrà il sorpasso ?
[a = – 0,75 m/s2; s = 17 s; a =0,9 m/s2; vt = 26 m/s]
Problema 8 – Una massa puntiforme lanciata verticalmente verso l’alto, ricade al punto di partenza. Sapendo che nell’ultimo secondo di volo percorre uno spazio di 20 m, calcolare il tempo totale di volo e l’altezza massima raggiunta.
[tv = 5,08 s; z* = 31,6 m; v = 8,48 m/s]
Problema 9 – Un punto materiale si muove su un piano xOy con equazioni parametriche:
x = At
y = B cos ωt [con: A 0 6 m/s; B = – 2m; ω = 3 s-1]
Si determini:
- l’equazione della traiettoria nel piano xy
- le ascisse dei punti sull’asse x per i quali transita il punto
- il modulo della velocità e dell’accelerazione nei punti suddetti.
[y = – 2cos(x/2); x = π, x = 3 π, x = 5 π, …; x = 6t; vx = 6 m/s; ax = 0; vy = 6sen3t; ay = – 9y]
Problema 10 – Un punto P, che percorre di moto armonico il diametro AC di una circonferenza di raggio r = 20 cm, in un certo istante dista dal centro 15 cm e possiede l’accelerazione di 50 cm/s2. Calcolare:
- La pulsazione ed il periodo del moto armonico
- La velocità del punto P nella posizione assegnata
- L’accelerazione centripeta del punto M (punto sulla circonferenza la cui proiezione sul diametro è P) per detta posizione.
[T ~ 0,344 s; vx ~ 2,41 m/s; ac ~ 67 m/s2]
Problema 11 – Un cannone è capace di sparare proiettili con velocità v0 (in modulo). la bocca del cannone può inoltre ruotare in un piano verticale xy in modo che l’angolo di sparo (o l’alzo) α possa variare fra 0° e 90° (v. figura).

Fissato un generico valore di α, determinare:
- i moti componenti e l’equazione della traiettoria di un proiettile rispetto al riferimento xOy;
- la gittata xG, il tempo di volo tv e l’altezza massima raggiunta hmax;
- il modulo e la direzione della velocità all’istante tv/3 ed al momento della ricaduta sull’asse x;
- l’accelerazione tangenziale, quella normale ed il raggio di curvatura della traiettoria al tempo tv/3. Si chiede inoltre:
- calcolare il valore di α per cui si ha la gittata massima;
- verificare che per angoli di sparo che siano superiori o inferiori a 45° della stessa quantità, le gittate sono uguali (Galileo).
(Si trascurino la presenza dell’aria e gli effetti dovuti alla rotazione terrestre).
Problema 12 – Un’auto che viaggia a 72 Km/h su una strada rettilinea, rallenta in modo uniforme fino ad arrestarsi in 40 m. Se l’auto pesa 8,8.103 N, qual è l’intensità della forza applicata ai freni ?
[F = – 4,49.103 N]
Problema 13 – Lungo un piano inclinato (altezza h, angolo di base α) viene abbandonato un corpo di massa m a velocità zero. Trovare le espressioni del tempo di caduta e della velocità di arrivo alla base nei seguenti due casi:
- attrito trascurabile
- attrito dinamico di valore μ.
Si confrontino le espressioni ottenute con quelle della caduta libera dalla quota h.
[tc = (2.h/g)1/2 ; v’c = (2.hg)1/2; v’c = vc; …]
Problema 14 – Determinare le caratteristiche cinematiche del moto di un punto materiale di massa m soggetto ai seguenti tipi di forze:
- – bv (resistenza passiva proporzionale alla velocità)
- – bv2 (resistenza passiva proporzionale al quadrato della velocità)
- F – bv (in cui F è una forza costante).
Problema 15 – Su di un piano inclinato (α = 30°) sono poggiate due masse m1 = 3 Kg ed m2 = 2 Kg a contatto (m2 dietro m1) e con differenti coefficienti d’attrito K1 = 0,4 e K2 = 0,3. Trovare l’accelerazione con cui il blocco unico delle due masse scende e verificare che, nello scendere, le due masse non si separano.
[a = 2 m/s2]
Problema 16 – Una pallina con massa m = 50 g può scorrere senza attrito su un’asta girevole in un piano orizzontale intorno ad un punto O (vedi figura).
La pallina è collegata ad O da un filo elastico che, in condizioni normali, è lungo ℓ = 10 cm e ch si allunga di Δℓ =1 cm per una tensione f = 1N.
Se si fa girare l’asta con velocità angolare costante ω = 300 giri/minuto, a che distanza r da O la pallina sarà in equilibrio sotto l’azione dell’elastico e della forza centrifuga ?
Se si allontana un poco la pallina da tale posizione, lungo l’asta rotante, si dimostri che la pallina compie su di essa oscillazioni armoniche e se ne calcoli il periodo.

[r = 0,197 m; T = 0,197 s]
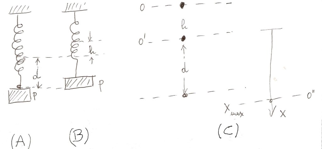
Problema 17 – L’allungamento di una molla elastica a cui è agganciato un corpo di peso P = 1 Kgp è, all’equilibrio, d = 0,02 m (figura A). Si supponga ora che il corpo sia lasciato cadere verticalmente (v0 = 0) in modo che il suo aggancio alla molla avvenga dopo h = 0,01 m di caduta libera (figura B). Si calcoli la massima forza di richiamo esercitata dalla molla.

[Fmax = 23,7 N]
Problema 18 – Un proiettile di massa M = 10 Kg nel vertice della sua traiettoria parabolica esplode in due frammenti che vengono proiettati nella direzione tangente alla traiettoria (vedi figura). Se nell’esplosione viene liberata un’energia E = 300 J, la velocità del proiettile nell’istante in cui si produce l’energia è V = 200 m/s e le masse m1 ed m2 dei due frammenti stanno nel rapporto 3/7, quali sono le velocità v1 e v2 dei due frammenti ?

[v1 = 211,84 m/s; v2 = 194,93 m/s; v1’ = 188,16 m/s; v2’ = 205,97 m/s]
Problema 19 – Dimostrare che nell’urto perfettamente elastico non centrale fra due corpi di uguale massa, di cui uno originariamente in quiete, le direzioni delle traiettorie emergenti formano un angolo retto.
Problema 20 – Un proiettile di massa m = 10 g viene sparato e penetra per d = 10 cm in un blocco di legno di massa M = 1 Kg, tenuto rigidamente fermo. Se il blocco fosse lasciato libero di muoversi, quale sarebbe la nuova profondità di penetrazione d’ ? In entrambi i casi si supponga la forza frenante uguale e costante.
[d’ = 9,9 cm]
TERMODINAMICA
Problema 21 – Una grammomolecola di un gas monoatomico (n = 1) si trasforma e, nella trasformazione, riceve una quantità di calore δQ = C.dT, con C = 2R.
Se all’inizio pressione e volume valgono rispettivamente P = 1 atm e t = 27 °C, quale sarà la pressione del gas quando la temperatura arriverà a t = 327 °C ?
Problema 22 – Un recipiente isolato termicamente contiene un gas perfetto biatomico. Il recipiente si muove ad una velocità v = 50 m/s e viene fermato istantaneamente. All’interno, dopo l’equilibrio, la temperatura aumenta di 0,12 °C. Supposto che l’energia del recipiente si dissipi all’esterno, qual è il peso molecolare del gas contenuto nel recipiente ?
Problema 23 – In un cilindro orizzontale cavo, diviso da un pistone isolante (un setto variabile), vi sono due volumi di gas:
V1 con numero di moli n1 = 1
V2 con numero di moli n2 = 2.
I gas sono perfetti e biatomici. Alle estremità del cilindro vi sono due sorgenti di calore, S1 ed S2, che mantengono la temperatura all’interno ad un valore θ = 27°C. Si aumenta la temperatura di S1 fino a θ1 = 127°C mentre si lascia costante la θ2 = θ = cost. Si ha così una trasformazione reversibile ed il sistema passerà dai volumi V1 e V2 ad altri volumi V1’ e V2’. Si vuol sapere:
a) il rapporto K = V2/V2’
b) la quantità di calore assorbita dal gas 1.
Problema 24 – Un gas la cui variazione di energia interna è data da:
dU = Cv dT + (a/v2) dv
si espande nel vuoto a temperatura T = cost. Durante l’espansione passa da un volume Vi = 15 ℓ ad un volume Vf = 50 ℓ.
Quanto calore ha scambiato il gas con l’esterno durante la trasformazione ?
Problema 25 – Due cilindri chiusi da due pistoni sono in contatto termico ed isolati dall’esterno. In ciascuno di essi vi è una mole di un gas perfetto monoatomico. Inizialmente la temperatura e la pressione del gas sono rispettivamente T1 = 600°K e p1 = 64 atm. Mentre la pressione di uno dei due recipienti è mantenuta costante, il gas dell’altro recipiente viene fatto espandere fin quando si raggiunge una temperature T2 = 300°K. Si vuol conoscere la pressione finale raggiunta dal gas nel recipiente che si espande, nell’ipotesi che non vi sia scambio di calore fra gas e recipiente ma solo tra le due moli di gas. Si supponga la trasformazione reversibile.
Problema 26 – Un fluido esegue un ciclo di Carnot reversibile fra due sorgenti a temperatura T1 = 300°K e T2 = 400°K. Sapendo che durante l’isoterma a temperatura superiore l’entropia aumenta di ΔS2 = 5 Kcal/°K, calcolare il lavoro prodotto durante il ciclo.
Si consideri un altro ciclo formato sempre da due isoterme reversibili, insieme a due adiabatiche irreversibili. L’aumenta di entropia dell’isoterma superiore è sempre ΔS2 = 5 Kcal/°K, mentre lungo le adiabatiche, la variazione di entropia è ΔSad = 1 Kcal/°K. Calcolare il lavoro prodotto durante il ciclo.
Problema 27 – Un gas perfetto biatomico viene sottoposto ad un ciclo costituito da tre trasformazioni reversibili, una isocora, una isobara ed una adiabatica.

Calcolare il rendimento del ciclo sapendo che VC/VB/= VC/VA = 2.
Problema 28 – Una macchina reversibile funziona tra due sorgenti di colore, una a temperatura T1 = 420°K, l’altra a T2 = 370°K; essa compie lavoro che viene utilizzato per una macchina frigorifera reversibile funzionante fra TF = 300°K e T2 = 370°K.
Si vuole conoscere la quantità di calore Q1 che la macchina M deve assorbire dalla sorgente a temperatura più alta affinché la macchina frigorifera F estragga dalla sorgente TF una quantità di calore QF = 9 Kcal, sapendo che tanto lavoro fa la macchina M, tanto ne viene assorbito da F.
Problema 29 – Un cilindro chiuso ed isolato termicamente è diviso in due parti da un pistone mobile e conduttore di calore. Inizialmente il pistone è fermo e nelle due cavità vi è del gas distribuito come in figura.

La temperatura delle due cavità è T0 = 300°K.
Si lascia il pistone libero di muoversi ed esso si fermerà in una posizione di equilibrio. Si vuole sapere:
- qual è la temperatura finale,
- la pressione finale,
- l’aumento di entropia.
Problema 30 – Una sbarra omogenea a sezione costante si trova in condizioni stazionarie fra due sorgenti T1 = 3000°K e T2 = 300°K. La sbarra ha capacità termica Cρ = 400 cal/°C. Essa viene isolata a pressione costante. Dopo un certo tempo si avrà una temperatura TF uniforme. Qual è la variazione di entropia del sistema ?

[Cp = Cρ/M; ∫ log(a + bx) dx = (a + bx)/b . log (a + bx) – x + cost]
ELETTROMAGNETISMO
Problema 31 – Agli estremi di un segmento lungo ℓ = 1 m sono fissate due cariche puntiformi Q1 = 9,955.10-6 C e Q2 = 1,100.10-6 C.
- Se nel centro del segmento vi fosse una carica Q = 6,28.10-6 C, quale sarebbe la forza cui è soggetta ?
- Dove dovrebbe essere posta Q, affinché sia in equilibrio (supponiamo, in questo caso, che Q2 = 1,9.10-6 C) ?
- Qual è il valore del campo elettrico nel centro del segmento, dopo aver tolto la Q ?
Problema 32 – Un filo rettilineo ed indefinito è carico di elettricità con densità lineare ρ = 8,855.10-10 C/m.
- Quanto vale il campo elettrico in un punto distante a = 0,5 m dal filo ?
- Determinare il campo elettrico con il teorema di Gauss.
Problema 33 – Calcolare l’intensità del campo elettrico in punti interni ed esterni ad una sfera di raggio R che ha una carica distribuita con densità di carica pari a:
ρ(r) = ρ0/r2 con ρ0 = costante.
Problema 34 – Un condensatore di capacità C1 = 1μF caricato ad una d.d.p. V1 = 200 V ed uno di capacità C2 = 2μF caricato alla d.d.p. V2 = 400 V sono connessi in modo che la piastra caricata positivamente di ciascuno sia connessa con quella negativa dell’altro. Trovare la d.d.p. e la carica su ciascun condensatore dopo la connessione. Trovare infine la variazione di energia.
Problema 35 – Come devono essere connessi 5 condensatori, ciascuno di capacità C = 1μF, per produrre una capacità totale di 3/7 μF ?
Problema 36 – Lo spazio tra le piastre di un condensatore piano è riempito con un dielettrico la cui costante dielettrica ε varia linearmente con la distanza x da una piastra secondo la legge
ε = ε1 + (ε2 – ε1). x/d
dove d è la distanza che separa le due piastre di area S. Trovare la capacità del condensatore.
Problema 37 – 1) Si scriva l’equazione differenziale esprimente la legge di riscaldamento di un filo metallico percorso da una corrente elettrica costante di densità J [con J = i/s], nell’ipotesi che il filo stesso sia isolato termicamente e che la legge di variazione della sua resistività con la temperatura sia di tipo lineare
ρθ = ρ0 (1 + αθ).
2) Assumendo come temperatura iniziale del filo quella di 0°C, e θ essendo la temperatura che esso raggiunge nel tempo t, si mostri che l’espressione analitica della funzione θ = f(t), ricavabile dall’integrazione della detta equazione differenziale, è di tipo esponenziale e, per un dato metallo, contiene la sola variabile densità J di corrente. [Equivalente meccanico della caloria a = 4182 J/Kcal]
Problema 38 – Un conduttore non ohmico ha una caratteristica rappresentata dalla relazione i = kV2 con k = 10-6 A/V2 (per V si considerino solo valori positivi). Il conduttore viene posto in serie con una resistenza R = 20.000 Ω e chiuso su una f.e.m. E = 300 V, priva di resistenza interna. Calcolare, in condizioni stazionarie:
- la corrente che circola nel circuito
- la caduta di tensione sui due conduttori
- la potenza dissipata sul conduttore non ohmico.
Problema 39 – Un sottile conduttore rettilineo è percorso da una corrente i = 45A. Nel punto A di figura il conduttore si biforca nei rami 1 e 2 per ricongiungersi in B.

I due rami, di resistenza R1 = 10Ω ed R2 = 5Ω rispettivamente, sono disposti secondo un cerchio di diametro AB = 2r = 2m.
Supposto il verso della corrente da A a B ed il sistema situato nell’aria (μ = 1) calcolare:
- modulo, direzione e verso del campo magnetico B nel centro O della spira;
- il minimo ed il massimo valore possibili di B in O, in funzione di R1 ed R2 ed i corrispondenti valori del rapporto R1/R2;
- il momento della coppia esercitato sul tratto A0B0 = 4m dal campo magnetico B0 generato da un filo rettilineo indefinito passante per O in direzione normale al piano del cerchio e percorso da una corrente i0 = 100°.
Problema 40 – Un circuito con R = 20Ω ed L = 160H in serie, chiuso su una d.d.p. E = 2V, si può pensare che abbia raggiunto la corrente di regime dopo un tempo t1 = 5L/R.
- Verificare che l’energia fornita in questo tempo dal generatore è uguale alla somma di quella dissipata per effetto Joule sulla resistenza e di quella dissipata sull’induttanza per la creazione del campo magnetico (energia intrinseca della corrente).
- Calcolare la quantità di elettricità messa in gioco dalla extracorrente di chiusura.
Problema 41 – Sia dato un circuito R,C in continua, inizialmente con tasto T aperto.

Alla chiusura di T calcolare la f.e.m. autoindotta ai capi di C e la corrente i indotta, nel regime transitorio.
Problema 42 – Il problema 41 precedente era relativo alla carica di un condensatore attraverso la resistenza R. Se ora cortocircuitiamo la pila, il condensatore C si scaricherà attraverso R. Calcolare la corrente di scarica.

Problema 43 – Calcolare la corrente autoindotta in un circuito R,L in continua quando viene chiuso il tasto T.

Problema 44 – Un circuito è costituito da un condensatore di capacità C = 8μF e da una bobina avente resistenza ohmica R = 125Ω ed un coefficiente di autoinduzione L = 4H in serie. Agli estremi di esso viene applicata una f.e.m. sinusoidale (resistenza interna trascurabile) il cui valore efficace è Eeff = 120V.
- Se la frequenza è ν = 42Hz, calcolare il valore efficace della d.d.p. esistente ai capi di C, EC.
- Quale valore deve avere la frequenza della f.e.m. affinché la corrente che percorre il circuito assuma il valore massimo ? Qual è tale valore massimo ? A quanto ammonterebbero le d.d.p. ai capi di C e di L, se la frequenza assumesse valore zero ? E se essa diventasse infinitamente grande ?
Problema 45 – Una barretta metallica AB di lunghezza ℓ è sospesa per il suo baricentro all’estremo di un filo, l’altro estremo del quale è legato ad un peso P.

La barretta AB può scorrere, mantenendosi orizzontale, su due rotaie metalliche parallele e verticali, distanti ℓ una dall’altra ed aventi gli estremi inferiori D e C collegati mediante una resistenza R. Il sistema si trova immerso in un campo magnetico uniforme B perpendicolare al piano ABCD. La barretta AB si sposta verso l’alto per effetto del peso P ed all’istante t = 0 La sua velocità è nulla. La resistenza dei tratti DA, AB, e BC, il peso del filo e della barretta AB, gli attriti ed il coefficiente di autoinduzione del sistema sono trascurabili.
Determinare, con sole considerazioni energetiche, la legge del moto della barretta AB.
Problema 46 – Una bobina ha la resistenza di 5Ω. Quando è connessa ad un generatore di f.e.m. alternata (Feff = 220V e ν = 50Hz) assorbe una corrente Ieff = 0,5A.
- Qual è il valore del coefficiente di autoinduzione della bobina ?
- Qual è la potenza assorbita ?
- Se si aumenta la frequenza, come varia la potenza assorbita ?
Problema 47 – Una bobina circolare e compatta S1 formata da N1 = 150 spire di raggio R1 = 25 cm è percorsa da una corrente d’intensità i1 = 10A. Coassiale alla bobina S1 e ad una distanza x = 35cm è posta una seconda bobina S2, pure circolare e compatta, formata da N2 = 30 spire di raggio R2 = 0,5cm e percorsa da una corrente di intensità i2 = 4A.
Si chiede:
- Quanto vale la forza mutua tra le due bobine per x = 35 cm ?
- Quale valore deve avere x perché tale forza risulti massima ?
[Poiché la bobina S2 ha raggio piccolo rispetto a quello di S1, si trascuri la variazione di B0 nei punti appartenenti al piano di S2; inoltre, poiché S2 è compatta, si consideri la sua lunghezza piccola rispetto a x, in modo da poter considerare trascurabile anche la variazione di B0 in Δx].
Problema 48 – E’ dato il sistema di conduttori rappresentato in figura.

Il conduttore PQ può strisciare da sinistra verso destra sulle rotaie x’ ed x’’ mantenendosi parallelo a se stesso. Il sistema si trova in un campo magnetico B perpendicolare al piano definito dai conduttori. Tutti i conduttori hanno uguale resistenza r per unità di lunghezza.
- Quale deve essere la legge del moto el conduttore PQ affinché la corrente i indotta nel circuito chiuso APQB sia costante durante il moto ?
- Supponendo che al tempo t = 0, PQ coincida con AB, qual è il valore della sua velocità iniziale, se i = 0,01A, r = 0,1 Ω/m e B = 0,1 Wb/m2 ?
[Si trascuri l’induttanza del circuito].
Problema 49 – All’istante t = 0 il commutatore di figura viene spostato dalla posizione A, in cui si trovava da tempo, alla posizione B.

Si chiedono:
- l’espressione dell’intensità di corrente a partire da tale istante;
- l’energia complessiva dissipata per effetto Joule nel circuito per f = 12V, r = 0,1 Ω, L = 1H, R1 = 1Ω..
[Si trascurino scintillio e irraggiamento]
Problema 50 – Tra i due fili di una linea elettrica in aria e monofase è collegato un motore di potenza media Pμ e di fattore di potenza cos φ = 0,5. Si determini la variazione percentuale della potenza P dissipata nella linea quando il motore viene rifasato ad un valore cos φ = 0,9.
Si consideri che le perdite lungo la linea siano dovute solo alle resistenze dei fili conduttori. Inoltre, nelle condizioni ordinarie di lavoro con il rifasamento, non cambia né la tensione di linea vista dal motore né la parte resistiva del motore.
Categorie:Senza categoria
Rispondi