Ingegneria Meccanica – Roma Tre
AA/2011-2012
APPUNTI PER IL CORSO
(Ripresi e sistemati dai testi di bibliografia)
Roberto Renzetti
Bibliografia: R. Renzetti – Svariati lavori riportati su: http://www.fisicamente.blog
Segue in fondo
CENNI DI FISICA QUANTISTICA ED ATOMICA
1 – Cenno ai quanti
Nella seconda metà dell’Ottocento vengono scoperti alcuni fenomeni, apparentemente marginali, che non trovano spiegazione con la fisica nota:
- Kirchhoff e Bunsen (1857) scoprono gli spettri degli elementi. Perché, scaldando un elemento, emette quelle strane righe discrete?
- Hertz (1887) scopre l’effetto fotoelettrico. Una lamina metallica colpita da radiazione UV acquista una carica elettrica positiva (più tardi, con la scoperta dell’elettrone – 1897 – , si dirà che quella lamina perde elettroni). La stessa lamina è indifferente ad un fascio di luce, anche intensissimo ma, ad esempio, verde.
- Le teorie dell’emissione e dell’assorbimento di radiazione, forniscono risultati diametralmente opposti a quelli sperimentali, nel caso del corpo nero.
- Per altri versi la teoria ondulatoria della luce prevedeva, in analogia con le ordinarie onde meccaniche (come, ad esempio, quelle sull’acqua o quelle sonore), che vi fosse una qualche entità che sorreggesse le onde della luce nel loro procedere nello spazio vuoto. Si ipotizzò un etere che però sfuggiva ad ogni rivelamento.
- Altre questioni tra cui il moto browniano che però tralasciamo.
Nell’anno 1900 Kelvin aprì il secolo con un articolo che aveva per titolo: “Due nubi oscure all’orizzonte della fisica” e, nel lavoro, faceva particolare riferimento al fatto che la fisica non riusciva a spiegare lo spettro del corpo nero e non era in grado di trovare l’etere. La soluzione del problema dell’etere fu fornita da Einstein nel 1905 con un articolo che ha per titolo “Sull’elettrodinamica dei corpi in movimento” meglio notocome l’articolo sulla relatività ristretta. La soluzione del problema del corpo nero fu avviata da Planck proprio allo scadere dell’anno 1900. Con questi due lavori si iniziarono via via a fornire spiegazioni a tutti i fenomeni fisici citati, fino ad allora non compresi. Vediamo di accennare a quanto trovato da Planck.
Planck prese in mano la teoria del corpo nero e la rimescolò in vari modi. Si accorse che solo effettuando un ardito passaggio, la teoria avrebbe coinciso con i fatti sperimentali. Si trattava di toccare una delle grandezze fondamentali della fisica, l’energia. Questa grandezza era sempre stata comunemente intesa come continua, come un qualcosa che si prende o si dà in quantità a piacere. Planck si trovava di fronte ad un problema probabilistico del tipo: come sistemare un certo numero di oggetti in un numero dato di caselle (come suddividere l’energia tra vari stati energetici). Si trattava di “frantumare” quella grandezza continua in tante piccole parti (la cosa era già stata fatta da Boltzmann) da sistemare nelle differenti caselle. Ma mentre Boltzmann aveva fatto l’operazione di limite facendo tendere a zero le dimensioni delle quantità discrete di energia, continuando a trovare il disaccordo della teoria con l’esperienza, Planck non fa questa operazione e mantiene queste energie in quantità piccole e discrete, i quanti. Cosa vuol dire una cosa del genere? Semplicemente che, a livelli microscopici l’energia si distribuisce in quantità discrete (con un esempio macroscopico si può dire che per inviare latte da un punto A ad un punto B si può usare un tubo e versare il latte in A per riceverlo in B; oppure si possono immettere tetrabrik in A su un nastro trasportatore e ricevere il latte in B in quantità discrete: o un litro o due o tre …. mai in frazioni di litro! La cosa risultava veramente straordinaria. La si doveva ammettere solo perché questo artificio di calcolo rimetteva a posto il disaccordo esistente tra teoria ed esperienza nel fenomeno del corpo nero. La cosa comunque non piaceva, ad iniziare dallo stesso Planck … Si trattava in definitiva, di sostituire ad una grandezza continua (l’energia E) la somma di n piccole grandezze discrete i quanti hν,
E = hν
dove ν è la frequenza della radiazione ed h un coefficiente di proporzionalità (costante di Planck).
Ed allora gli scambi di energia possono avvenire solo per quanti e ciò vuol dire che si possono scambiare 1, 2, 3, 230 quanti ma mai 1 quanto e mezzo: i mezzi quanti non esistono. Così le scambio di una data quantità di energia potrà essere rappresentato dalla relazione:
E = n.h.ν
dove n è necessariamente un numero intero.
Quindi un corpo può cedere o acquistare energia cedendo o acquistando quanti, sempre in numero intero e mai in frazione. Dai conti fatti e successivamente perfezionati la scala dei quanti era la seguente:
1/2 h ν; 1/2 h ν + 1 h ν; 1/2 h ν + 2 h ν; 1/2 h ν + 3 h ν; ……..
in pratica vi era una quantità 1/2 h ν che si aveva all’inizio della scala e che rimaneva sempre sommata ai singoli quanti interi (questa vicenda, vedremo, sarà fondamentale per capire moltissime cose). In tal modo, la formula precedentemente data diventa:
E = (1/2 + n) . h ν.
Questo cambiamento, l’introduzione di ½ hν, non è cosa di poco conto perché modifica l’intera interpretazione degli scambi energetici di un oscillatore. Possiamo pensare, visto che ci stiamo occupando di basse temperature, di togliere energia ad un oscillatore. Ciò comporta la perdita di vari quanti hν. Continuiamo a togliere quanti per avvicinarci allo zero assoluto e scopriamo che possiamo toglierli tutti meno che hν/2 proprio perché i quanti si possono cedere o acquistare solo per unità intere. Ciò comporta che un oscillatore mantiene sempre un’energia che è quella di oscillazione hν/2 . Ciò si può leggere in due modi: 1) anche allo zero assoluto si mantiene un minimo di energia; 2) lo zero assoluto è irraggiungibile proprio perché quell’energia ad un oscillatore nessuno gliela può togliere.
Si può notare un fatto fondamentale che, almeno in linea di principio, ci ricollega a quanto dicevamo sull’effetto fotoelettrico: l’energia dipende dalla frequenza! Maggiore frequenza, maggiore energia. Ricordando che 1/2 ed n sono numeri puri, l’energia risulta uguale ad una frequenza ν per quella costante h che non può essere un numero puro ma deve avere delle dimensioni, quelle cioè di una energia moltiplicata per un tempo (grandezza nota come azione e mai ben chiarita). Inoltre h, invariante spazio temporale, ha un valore numerico enormemente piccolo (un 1 diviso per un numero con 34 zeri):
h = 6,63.10-34 joule.secondo
e questa piccolezza di h fa si che i quanti abbiano un peso solo in un mondo microscopico (atomico, molecolare, nucleare). Nel mondo che cade sotto i nostri sensi i quanti sono assolutamente trascurabili. Sto dicendo che la fisica ordinaria (classica o newtoniana) va benissimo per trattare il mondo macroscopico.
E che significa dire che l’energia che si scambia è direttamente proporzionale alla frequenza ? Per capire supponiamo di illuminare, cioè di fornire energia ad un corpo con luce di differenti colori. Noi sappiamo che ad un dato colore corrisponde una data frequenza, la più piccola per il rosso, la più grande per il viola (almeno per la luce visibile) e valori intermedi per il verde, il giallo, l’azzurro. Quindi illuminare con luce rossa un dato oggetto vuol dire che, a parità di intensità, della sorgente, si fornisce ad esso meno energia di quanta se ne fornirebbe se il medesimo oggetto lo illuminassimo con luce viola. In termini di quanti, ciò vuol dire che un quanto viola porta il massimo di energia (nell’ambito della luce visibile), un quanto indaco un poco meno, un quanto azzurro ancora un poco meno, quindi, in questa scala, vi è il verde, poi il giallo, poi l’arancio ed infine il rosso.
Allora variare l’intensità di una sorgente luminosa vuol dire solo variare il numero di quanti che questa sorgente fornisce; variare invece la frequenza di una sorgente vuol dire variare il suo colore o, più in generale, la sua frequenza. E il fatto che macroscopicamente noi non avvertiamo questi salti quantici, ma avvertiamo una sensazione di continuo, è ben spiegabile: analogamente al fatto che la natura corpuscolare della materia non è percepibile ai nostri sensi, allo stesso modo per quel che riguarda la natura corpuscolare dell’energia. Un esempio banale può essere tratto dalla nostra vita quotidiana: quando verniciamo una superficie con una bomboletta spray abbiamo un colore compatto sulla superficie verniciata ma questo colore è il portato di tante piccole particelle che sono spinte fuori in modo certamente discontinuo. Per quanto ne so e per quanto mi pare, questo modo di vedere le cose sconvolse più i fisici formati ad una certa scuola che non coloro i quali apprendono questi fatti.
Per ricapitolare quanto fino ad ora detto per quel che ci servirà, gli scambi di energia avvengono per unità intere, i quanti, non è ammissibile la presenza di una frazione di quanto; ciascun quanto possiede una energia pari ad E = h.n; un dato oggetto può emettere o assorbire una quantità di energia multipla intera di hn.
2 – Energia e quantità di moto dei fotoni. Proprietà ondulatorie della materia
Poiché la frequenza media della luce visibile è ν ≈ 5.1014 Hz, il calcolo dell’energia che trasporta un fotone di luce è semplice:
E = 6,63.10-34.5.1014 J = 3,3.10-19 J
Una lampada da 50 watt, quindi con un’energia pari a 50 J/s, emette ogni secondo un numero di fotoni dato da:

La lunghezza d’onda di un fotone si ricava da relazioni note (la frequenza della radiazione è uguale alla velocità divisa per la lunghezza d’onda):

moltiplicando ora numeratore e denominatore per h, otteniamo:

Un fotone deve possedere anche una quantità di moto p = mv. Ma parlare di massa per un fotone sembra del tutto inappropriato (si tratta di un’onda che viaggia alla velocità della luce, velocità alla quale possono andare solo oggetti con massa nulla). E’ possibile comunque fornire una quantità di moto per il fotone a partire da un risultato ricavato dalla “pressione di radiazione”:

e, ricordando la (1):

La (2) e la (3) valgono per tutti gli oggetti che si muovono alla velocità della luce.
1 – 1 I primi modelli atomici
Già nel 1899, J. J. Thomson stava elaborando un qualche modello di atomo che rendesse conto dei fenomeni fisici osservati. Egli si rendeva conto che all’interno di un atomo doveva, in qualche modo, esservi della carica positiva. La presenza degli elettroni negativi nella materia doveva prevedere la presenza di un qualcosa di positivo che andasse a neutralizzare la carica di segno opposto. Ma su questa supposta carica positiva non si sapeva nulla. Fu Kelvin che nel 1901 suggerì che la carica positiva dovesse essere assegnata ad una massa omogenea e continua, da pensarsi come ordinariamente sono pensati i fluidi (una specie di massa gelatinosa a bassissima densità). Un atomo, allora, deve essere pensato come un continuo sferico di carica positiva dentro cui si trovano queste piccole masse che sono gli elettroni. Riguardo poi a come sono distribuiti gli elettroni nella gelatina positiva, dipende dal loro numero: se l’atomo ha un solo elettrone questo si dispone al centro della sfera; se gli elettroni sono più di uno, probabilmente (dice Kelvin), si disporranno in superfici sferiche concentriche con la sfera ed interne ad essa. Questi elettroni saranno, inoltre, probabilmente dotati di moto rotatorio intorno al centro della sfera.
Quest’ultima eventualità, il moto rotatorio degli elettroni, creava però dei problemi con gli ultimi sviluppi dell’elettromagnetismo ed in particolare con i lavori di H.A. Lorentz del 1895.
J. J. Thomson si mise a studiare il problema e nel 1904 portò a compimento il suo modello atomico servendosi di quanto Kelvin aveva sostenuto nel 1901. Tale modello atomico era pensato come costituito da una carica elettrica positiva distribuita uniformemente in una sfera piccolissima, neutralizzata da un conveniente numero di elettroni immersi nella stessa sfera e liberi di muoversi in essa:

Nel 1911 E. Rutherford, che era stato assistente di Thomson, suggerì, in base all’esperienza, che in un dato atomo la carica positiva e la maggior parte della massa fosse concentrata in un nucleo di dimensioni estremamente ridotte; la carica negativa, formata dagli elettroni è distribuita nel resto del volume atomico che risulta essere quindi in gran parte vuoto (se un elettrone atomico girasse intorno al Duomo di Milano, il nucleo non sarebbe più grande della capocchia di uno spillo).
Vediamo l’esperienza dalla quale Rutherford dedusse il suo modello atomico. Questa esperienza fu realizzata per la prima volta da Geiger e Mardsen nel 1909. I due fisici, allievi di Rutherford, stavano studiando le radiazioni emesse spontaneamente da un campione di radio con il seguente dispositivo sperimentale:
che consisteva di:
a) un campione S di radio le cui radiazioni sono schermate da due fogli F di piombo, a parte quelle che riescono a passare dalla fenditura;
b) una lamina d’oro L molto sottile (spessore ~ 10-6 cm) da far attraversare dalla radiazione;
c) degli schermi fluorescenti R (fatti ad esempio di solfuro di zinco) che quando sono colpiti da una particolare radiazione provocano una scintillazione localizzata che permette di individuare il punto di arrivo della radiazione stessa. Tali schermi o rivelatori potevano essere spostati tutt’intorno al sistema.
La pasticca del radio emette, fra l’altro, radiazioni a, cioè particelle formate tra l’altro da due protoni (nuclei di elio: He2+). Queste particelle escono a gran velocità dalla fenditura F e vanno ad urtare ed attraversare la lamina d’oro. A quell’epoca si aveva a disposizione il modello atomico di Thomson ed un pezzo di materia, costituito da questi atomi era pensato molto compatto (vedi la figura (a)):

La previsione era che la maggior parte delle particelle a, emesse dal radio riu scisse ad attraversare l’atomo (di Thomson): quelle che passavano per il centro non dovevano subire alcuna deviazione (nel qual caso, per motivi di simmetria, c’è equilibrio fra le forze repulsive agenti su di esse, quelle che passavano un poco più distanti dal centro dovevano essere deviate di angoli piccolissimi, aumentando la deflessione all’aumentare della distanza dal centro dell’atomo.

In più passavano vicine al centro dell’atomo finché, quando passavano nel
centro, venivano riflesse totalmente definitiva si doveva trovare che poche particelle risultassero non deviate, mentre la gran parte dovesse risultare deviata. I risultati che furono trovati dall’esperienza furono del tutto diversi. Si trovò infatti che le particelle a venivano deviate sempre di più quanto indietro. Si trovò cioè che la maggior parte delle particelle attraversava indisturbata (senza cioè alcuna deviazione) la lamina d’oro mentre le rimanenti altre subivano delle forti deviazioni e addirittura delle riflessioni all’indietro.

Questo fatto, apparentemente sorprendente, si poteva spiegare solo in un modo: all’interno dell’atomo c’era una forte concentrazione di carica positiva che determinava la repulsione delle particelle α. E questa fu la spiegazione che diede Rutherford: l’intera carica positiva, in luogo di essere diluita in tutto lo spazio occupato dall’atomo, è concentrata in un nocciolo (il nucleo) al centro dell’atomo.

In questa esperienza le cariche negative (gli elettroni) non disturbavano, infatti il loro comportamento è analogo a quello delle molecole d’aria quando sono attraversate da un proiettile: si spostano. La più grossa conseguenza di questa osservazione è che gli atomi sono in gran parte costituiti da spazio vuoto: la materia è costituita da più vuoti che pieni.
I risultati conseguiti con le esperienze sulle particelle a diffuse da una lamina d’oro convinsero Rutherford a formulare un nuovo modello atomico. [Si osservi che per spiegare alcuni fatti sperimentali relativi agli spettri di emissione di alcune sostanze, nel 1903, il fisico giapponese H. Nagaoka (1865-1950) propose alla società fisicomatematica di Tokio m modello atomico costituito da un nucleo centrale positivo circondato da particelle cariche negativamente (gli elettroni) disposte in cerchio intorno al nucleo, a distanze uguali tra di loro. Il lavoro di Nagaoka fu pubblicato nel 1904 sulla rivista britannica Nature e, come si vedrà, il modella atomico di Rutherford coincide praticamente con quello di Nagaoka]. In definitiva, secondo Rutherford, si ha un nucleo positivo immerso in una atmosfera poco densa di elettroni, o meglio, si ha un sistema solare in miniatura con il nucleo centrale ed un certo numero di elettroni che gli ruotano intorno trattenuti dal l’attrazione coulombiana, così come i pianeti ruotano intorno al Sole, sottoposti all’attrazione gravitazionale. Alla periferia dell’atomo, questi elettroni negativi neutralizzano l’effetto della carica positiva del nucleo; così che, complessivamente, l’atomo è neutro. Questo significa che il nucleo ha un numero di cariche elementari positive uguale al numero degli elettroni. Osservo a parte che Rutherford ha scoperto il nucleo dell’atomo. Nella figura riportata poco prima in (a), come abbiamo visto, era rappresentato un pezzo di materia costituito con atomi di J. J. Thomson, osserviamo ora che in (b) è riportato lo stesso pezzo di materia costituito con atomi di Rutherford: è evidente la profonda differenza tra i due modelli.

Questo modello atomico di Rutherford non resse però che poco tempo alla prova teorica. Esso presentava infatti delle gravi incongruenze, ed in particolare con la teoria elettromagnetica di Lorentz, come abbiamo già accennato. Secondo questa teoria, infatti, ogni accelerazione del movimento di un elettrone dà origine ad un’onda elettromagnetica che irradia energia proporzionalmente al quadrato dell’accelerazione; soltanto nel moto uniforme una carica non irradia energia. In definitiva, quando si ha una carica elettrica in moto accelerato, essa deve irradiare energia nello spazio circostante sotto forma di onde elettromagnetiche. Ebbene, gli elettroni planetari sono delle particelle cariche le quali, per di più, muovendosi di moto rotatorio, sono dotate di accelerazione centripeta. Questa emissione di radiazione sottrae energia e quindi, per il principio di conservazione dell’energia, l’energia meccanica dell’elettrone deve via via decrescere e, di conseguenza, la sua orbita gradualmente restringersi, finché esso cade sul nucleo; e tutto ciò in un tempo brevissimo, dell’ordine di 10-10 secondi. Questo fatto comportava l’instabilità dell’edificio atomico: ogni pezzo di materia avrebbe dovuto implodere su se stessa in tempi brevissimi ed il mondo sparirci davanti.
E questa non era l’unica difficoltà che comportava il modello di Rutherford. Un’altra ne nasceva proprio dal confronto del possibile comportamento degli elettroni in questo modelle con i fatti sperimentali che offriva la spettroscopia. Poiché gli elettroni potevano muoversi intorno al nucleo su ogni possibile orbita, questi elettroni dovevano possedere un continuo di valori di energia a partire da quella spettante alla prima orbita vicino al nucleo fino ad arrivare a quella corrispondente al livello di ionizzazione (quando cioè l’elettrone ha acquistato tanta energia da andarsene via dall’atomo cui appartiene). Guardando allo spettroscopio la radiazione emessa da siffatti atomi (quando sono eccitati) si dovrebbe vedere uno spettro continuo (analogo a quello della luce solare che passa attraverso un prisma) poiché gli elettroni possono avere tutte le possibili energie. Come già sappiamo questa ipotesi contrastava con l’esperienza che fino ad allora si era acquisita attraverso l’osservazione degli spettri di diversi atomi eccitati. Gli spettri atomici risultavano infatti costituiti da righe colorate separate da buio e non da un continuo di diversi colori
Un’altra difficoltà era poi legala alla struttura intrinseca dei singoli atomi. Ci si chiedeva perché, dato il modello di Rutherford in cui gli elettroni potevano trovarsi su di un’orbita qualsiasi, due atomi di uno stesso elemento dovevano essere uguali. Perché gli elettroni di un atomo di carbonio dovrebbero muoversi sulle stesse, identiche, orbite di tutti gli altri atomi di carbonio?
Prima però di passare a vedere come furono sistemate le cose cerchiamo di illustrare quanto abbiamo detto a proposito della prima obiezione al modello atomico di Rutherford: perché una carica accelerata deve emettere energia.
1 – 2 Perché una carica accelerata irradia energia
Per capire perché un elettrone in un atomo debba irradiare energia elettromagnetica, cominciamo con il ricordare alcuni concetti di elettricità e magnetismo .
Una corrente elettrica è un flusso di cariche elettriche in moto. A questo flusso di cariche elettriche lungo un filo è associato un campo magnetico con le linee di forza circolari e concentri che al filo stesso:

Il campo magnetico B è tangente punto per punto a queste linee di forza con verso dato dalla regola di Maxwell o del cavatappi (il verso è quello di rotazione del cavatappi che avanza nel senso della corrente):

Supponiamo ora di avere una singola carica q in moto ( e l’elettrone è una carica). E’ spontaneo assumere che questa carica costituisca una piccolissima corrente elettrica lungo la linea su cui avanza la carica:

Sappiamo già che una carica elettrica ferma ha intorno a sé un campo elettrico E radiale (le linee di forza possono essere interpretate come i prolungamenti dei raggi della sferetta che ci rappresenta la carica):

Se questa carica si muove, poiché origina una piccolissima corrente elettrica, al campo elettrico si aggiungerà un campo magnetico le cui linee di forza saranno circonferenze concentriche alla linea del moto. Questo campo magnetico risulterà essere trasversale (il vettore campo magnetico B è in ogni punto perpendicolare al vettore campo elettrico E); esso sarà nullo sulla linea del moto ed avrà il suo massimo sul piano perpendicolare a questa linea e passante per la carica.
I due campi, elettrico e magnetico, risultano così strettamente legati originando il cosiddetto campo elettromagnetico.
Consideriamo ora una carica elettrica che si muove di moto rettilineo uniforme (moto su di una retta con velocità costante). Questa particella, nel suo moto, trasporta con sé il campo elettromagnetico e l’energia che compete a questo campo. Supponiamo ora che la carica si sposti nel verso indicato in figura con velocità costante v:

Il campo elettrico della carica rimane invariato, mentre il campo magnetico: nei punti che sono dietro la carica (a sinistra della carica in figura) decresce gradualmente della stessa quantità, nei punti che sono davanti alla carica (a destra della carica in figura) cresce gradualmente della stessa quantità. In definitiva il campo elettromagnetico cresce gradualmente a destra della carica mentre decresce gradualmente, della stessa quantità a sinistra della carica. L’aumento di un campo significa un aumento dell’energia e viceversa per la diminuzione del campo, quindi, relativamente alla nostra carica in moto, si ha un continuo trasferimento di energia da sinistra verso destra o, più precisamente, nella direzione del moto. Si ha così un continuo flusso di energia nel verso del moto della carica.
Se si fanno i conti si vede che, data la simmetria dei campi elettrico e magnetico, non si ha irraggiamento di energia verso l’esterno, ma solo un trasferimento dell’energia nel verso del moto della carica. Ciò è comprensibile se si tiene conto che la carica vede intorno a sé, istante per istante, sempre lo stesso campo e quindi ha sempre una energia costante. Se questa energia è costante per la carica lo deve essere anche per un ipotetico osservatore.
In conclusione: una carica elettrica che si muove di moto rettilineo uniforme non irradia energia elettromagnetica verso l’esterno.
Consideriamo ora una carica che si muova di moto accelerato. Il campo elettrico di questa carica non è più radiale ma risulta dissimetrico con un addensamento delle linee di forza dalla parte verso cui si muove la carica:

Quando questa carica si muove non si avrà più la situazione vista precedentemente (aumento di campo a destra uguale alla diminuzione di campo a sinistra); ora il campo a destra crescerà di più di quanto diminuisca il campo a sinistra proprio a causa della accelerazione della carica e della conseguente dissimetria destra-sinistra del campo stesso. A questo aumento di campo corrisponde, come già sappiamo, un aumento di energia ed il bilancio destra-sinistra della carica in moto è tale per cui c’è un eccesso di energia risultante nella direzione del moto.
Questo eccesso di energia originato a spese della carica che crea il campo si trasferirà in tutto lo spazio circostante sotto forma di radiazione elettromagnetica.
In conclusione: una carica elettrica che si muove di moto accelerato irradia energia elettromagnetica verso l’esterno nello spazio circostante.
Se la carica q in considerazione si muove di moto accelerato (con accelerazione a) nel vuoto (e con buona approssimazione nell’aria), l’energia al secondo, W, che essa irradia (nel sistema SI) è data da (come ha ricavato Larmor intorno al 1900):
W = K.q2.a2
dove K è una costante che vale: K = 0,44.10-15 s/m, q è la carica elettrica, a è l’accelerazione che compete alla carica.
Nel caso in cui la carica sia quella e dell’elettrone, si ha:
W = K.e2.a2
ed essendo e = 1,6.10-19 coulomb, si ha:
W = G.a2
essendo G una costante che vale: G = K.e2 =1,13.10-53 (coulomb)2 s/m .
2 – I COLORI NELLA TEORIA CORPUSCOLARE ED ONDULATORIA
La teoria corpuscolare, anche se non esplicitamente detto, prevede che la luce consista nell’emissione, da parte di una sorgente luminosa, di una miriade di corpuscoli di “masse diverse”. E’ proprio la diversità della massa che differenzia i colori che compongono la luce bianca (Sole o lampada ad incandescenza). Noi sappiamo che se scomponiamo tale luce con un prisma, otteniamo lo spettro (continuo) dei vari colori che la compongono: si parte dal rosso, poi successivamente, arancio, giallo, verde, azzurro, indaco, viola (il passaggio da un colore all’altro non è netto ma graduale). Il rosso è il colore che ha la minore deviazione, rispetto alla perpendicolare, il viola è quello che ha massima deviazione, fig. 6 ).

fig. 6 a

fig. 6 b
Ebbene, secondo la teoria corpuscolare, il colore rosso è costituito da corpuscoli di massa maggiore. Tale massa va diminuendo per corpuscoli che vanno verso il colore viola. Il prisma è insomma un selezionatore dei corpuscoli portatori di colori differenti (la cosa è in “analogia” con dei sassi di massa differente lanciati in acqua: a massa minore, maggiore deviazione, rispetto alla perpendicolare, entrando nell’acqua). La teoria ondulatoria interpreta lo stesso fenomeno pensando i colori associati ad onde di frequenza differente: il rosso ha la frequenza minore. Tale frequenza cresce mano a mano che si va verso il viola cui compete la frequenza maggiore. In tal caso il prisma ha la funzione di selezionatore di frequenze. Ferme restando le cose dette, verso la metà dell’Ottocento vennero scoperti gli “spettri” degli elementi.
Abbiamo già visto la celebre esperienza di Newton della separazione della luce solare mediante un prisma di cristallo. Ebbene, quella striscia illuminata con i vari colori si chiama spettro e, in particolare, spettro della luce bianca. La scienza che studia gli spettri si chiama spettroscopia. Seguiamone le tappe principali:
1802 – il britannico W.H. Wollaston (1766-1828), osservando lo spettro solare prodotto da un prisma, scopre l’esistenza di sette righe scure distribuite in modo irregolare (più oltre se ne scopriranno altre);

1814 – il tedesco J. Fraunbofer (1787-1826) osserva il fenomeno in modo più approfondito: conta 560 righe scure, scopre che una di queste righe (chiamata D, quella in corrispondenza del giallo che poi si scoprirà essere una doppia riga) coincide con la doppia riga gialla del sodio (vedi oltre; Fraunhofer non sapeva ancora che quella doppia riga gialla era caratteristica del sodio: egli la otteneva osservando lo spettro prodotto da una candela, da una lampada ad elio e da una lampada ad alcool); costruisce la prima carta dello spettro solare, scopre nello spettro di Venere alcune righe presenti nello spettro del Sole, introduce i reticoli di diffrazione (che permettono di separare meglio la luce) con i quali realizza le prime determinazioni della lunghezza d’onda dei vari colori dello spettro;
1827-1855 – in questi anni si sommano diversi contributi ed in particolare: la scoperta della fotografia ad opera del francese J.P. Niepce (1765-1833); la scoperta dell’emissione di spettri da parte di solidi portati all’incandescenza, ad opera del britannico J.W. Draper (1811-1882);
1857 – il tedesco R.W. Bunsen (1811-1899) scopre che utilizzando il gas illuminante, installato nel suo laboratorio nel 1855, si ottiene una fiamma non molto luminosa ma ad alta temperatura e costruisce il becco Bunsen, con il quale si possono ottenere gli spettri dei soli corpi portati all’incandescenza senza interferenze da parte della fiamma che non ha un proprio colore specifico;

1859 – Kirchhoff e Bunsen gettano le basi della moderna spettroscopia, distinguendo con chiarezza la differenza esistente tra spettri di emissione e spettri di assorbimento : se sul becco si fa bruciare del sodio, lo spettro presenta due righe gialle che coincidono esattamente con le più brillanti delle linee oscure dello spettro del Sole (riga D); osservando poi lo spettro della luce solare lungo la cui traiettoria è interposto il becco con del sodio che brucia, non appare più la riga D nello spettro solare ed al suo posto vi sono le righe gialle del sodio; questo ultimo fenomeno si verifica solo quando la luce solare è molto attenuata, in caso contrario si continua a vedere la linea D; lo stesso fenomeno si può ottenere mantenendo costante l’intensità della luce solare e aumentando o diminuendo la temperatura della fiamma del becco. Da ciò Kirchhoff capì il significato dello spettro solare ed in particolare delle sue linee scure: la superficie del Sole emette radiazioni (fotosfera) di tutti i colori e l’atmosfera di gas incandescenti del Sole (cromosfera e corona), molto meno calda della fotosfera, assorbe una parte delle radiazioni emesse dal Sole, ed assorbe quelle che sono emesse dagli elementi componenti l’atmosfera solare. Come dice Kirchhoff: “le fiamme colorate nei cui spettri si presentano linee brillanti e marcate [spettro di emissione: quello di figura è del sodio],

indebolisce talmente i raggi del colore di queste linee quando passano attraverso di esse, che in luogo delle linee brillanti compaiono linee scure [spettro di assorbimento: quello di figura è ancora del sodio con la riga gialla di emssione che diventa nera in assorbimento]

quando si colloca dietro la fiamma una fonte di luce di sufficiente intensità e nel cui spettro mancano queste linee. Concludo quindi che le linee scure dello spettro solare, he non sono prodotte dall’ atmosfera terrestre, nascono dalla presenza nella infuocata atmosfera del Sole, di quelle sostanze che nello spettro di una fiamma presentano le linee brillanti nella stessa posizione.” Ed in questo modo Kirchhoff e Bunsen riuscirono a stabilire la presenza sul Sole di alcuni elementi: confrontando le righe che compongono lo spettro solare con quelle, ottenute in laboratorio, per elementi noti (all’esistenza di un dato insieme di righe nello spettro corrisponde sempre la presenza di un dato elemento).
Altro fondamentale risultato ottenuto da Kirchhoff nello stesso anno è il cosiddetto principio di inversione secondo il quale una sostanza assorbe le stesse radiazioni che è in grado di emettere.
Per portare avanti le loro ricerche i due si servirono di uno spettroscopio, strumento da loro realizzato e costruito da K. A. von Steinheil (famoso costruttore di strumenti ottici) nel 1853. Sulla destra della figura vi è una fenditura regolabile in ampiezza da cui far passare la luce. La luce può essere quella di una lampada (luce bianca) o quella ottenuta con un becco Bunsen sul quale è sistemata una retina metallica sulla quale si mettono delle sostanze che si fanno bruciare per vederne gli spettri. Questa “luce” passa attraverso il collimatore T, va sul prisma P dove viene separata, quindi entra nel cannocchiale C (mobile su una ghiera graduata) ai cui estremi vi è un osservatore o una lastra fotografica (al posto di P, per avere studi più sofisticati si possono sistemare dei reticoli di diffrazione).

Gli studi in questo campo portarono a stabilire senza ombra di dubbio che ciascun elemento aveva un suo spettro che differiva da tutti gli altri. Se si aveva un composto, lo spettro che veniva fuori era semplicemente la sovrapposizione degli spettri dei vari elementi che lo costituivano. Per questa via si scoprirono nuovi elementi poiché in dati composti comparivano serie di linee che non erano mai state osservate per nessun elemento. Esemplifico con gli spettri di due elementi, il primo dell’elio (elemento prima sconosciuto e che, appunto, fu trovato per via spettroscopica, analizzando lo spettro solare), il secondo del neon.



Nella figura, che compare nel lavoro di Kirchhoff e Bunsen
Analisi chimiche mediante osservazioni spettroscopiche
(Annalen der Physik, 110, pp. 161-189, 1860, Pl. II) sono
rappresentati gli spettri di alcuni metalli alcalini
confrontati con lo spettro solare e le sue linee oscure
Ebbene, i dati osservativi stavano lì, avevano permesso importanti scoperte, ma non si riusciva a capire quale fosse l’origine degli spettri. Si provò a metterli dentro delle formule empiriche che rendessero conto della frequenza da assegnare ad ogni riga per differenti elementi. Nel 1885, lo svizzero Balmer riuscì a montare una formula che rendeva conto della frequenza delle varie righe dello spettro dell’idrogeno nel visibile.
Dallo studio della sua formula Balmer riuscì a prevedere alcuni fatti:
1) devono esistere delle righe relative ad n = 7, 8, 9, ……,∞ nella regione dell’ultravioletto (queste righe furono osservate subito dopo con uno spettroscopio opportuno);
2) devono esistere relative ad 1/12 (nella formula) situate nel lontano ultravioletto (queste linee furono osservate sempre con uno spettroscopio opportuno da Lyman nel 1906: serie di Lyman);
3) devono esistere altre righe relative a 1/32 (nella formula) nella regione dell’infrarosso (queste righe furono osservate da Paschen nel 1908);
4) devono esistere altre righe relative a 1/42, 1/52, … nella regione dl lontano infrarosso (queste righe furono osservate negli anni seguenti da diversi ricercatori, tra cui Brackett e Pfund).
Quindi ci troviamo di fronte ad un fatto all’epoca incomprensibile e considerato solo dal suo aspetto empirico. Gli spettri discontinui saranno un grave problema per oltre 50 anni.

Le righe nere di Fraunhofer che solcano lo spettro solare

Un’esemplificazione degli spettri di emissione (in alto) che diventano di assorbimento (in basso).
3 – L’atomo di Bohr
Nel 1913 il danese N. Bohr apportò alcune correzioni all’atomo di Rutherford in modo che esso potesse rispondere ai fatti sperimentali e fosse in grado di risolvere le gravi difficoltà cui esso si era scontrato (ed alle quali abbiamo accennato). Queste correzioni erano basate sull’accettazione della teoria dei quanti e sulla sua applicazione alla struttura degli atomi ma, come vedremo, sembravano del tutte ingiustificate da un punto di vista teorico.
Essenzialmente Bohr basò il suo modello atomico su due postulati non giustificati, se non per rendere conto dei fatti sperimentali, una specie di formula di Balmer a livelli molto superiori. Il primo di questi postulati, conseguenza diretta dell’applicazione dei quanti alla struttura atomica, afferma che in un atomo gli elettroni non possono assumere qualsiasi valore dell’energia ma solo certi valori definiti (si usa dire che in un atomo l’energia è quantizzata).Ciò significa qualcosa di molto importante: solo certe orbite elettroniche possono essere occupate dagli elettroni che ruotano intorno al nucleo e ad ogni orbita corrisponde un determinato valore dell’energia.
Questa prima ipotesi può essere formulata più precisamente nel modo seguente. Supponiamo di considerare un elettrone che ruoti intorno al nucleo su una determinata orbita; sia r il raggio dell’orbita che stiamo considerando e q = mv la quantità di moto dell’elettrone su questa orbita, di modo che il momento della quantità di moto, meglio, il momento angolare dell’elettrone rispetto al nucleo sarà p = mvr; ebbene, questo momento angolare non può assumere tutti i valori possibili, ma solo alcuni determinati , multipli interi di una data quantità elementare; vale cioè la relazione:

là dove n è un numero intero positivo chiamato numero quantico principale ed h è la costante di Planck.
II secondo postulato riconosce che l’elettrone orbitale non può emettere alcuna energia a meno che non cambi orbita (cioè livello energetico); questo passaggio non può avvenire, quindi, gradualmente, ma si ha un vero e proprio salto energetico. Quando, per un qualche motivo, un elettrone salta da una orbita ad energia più alta (livello energetico iniziale: i) ad una energia più bassa (livello energetico finale: f), la sua perdita di energia è emessa sotto forma di quanto di luce (oggi meglio conosciuto come fotone). Si ha così:
Ei – Ef = h ν .
dove Ei è l’energia corrispondente all’orbita ad energia più alta, Ef quella corrispondente all’orbita ad energia più bassa ed hn è il quanto di luce che abbiamo incentrato nella prima teoria dei quanti di Planck. La relazione scritta significa che un elettrone nel passare da una certa orbita ad una ad energia più bassa perde energia, e questa perdita di energia (per la legge di conservazione) la si ritrova sotto forma di emissione di radiazione (emissione di un quanto di radiazione). Nel caso il salto avvenga in senso contrario a quello descritto fin qui si ha assorbimento di un quanto di radiazione hn dall’esterno. [Noto a parte che la prova sperimentale dell’esistenza degli stati quantici fu fornita da Franck ed Hertz nel 1913].
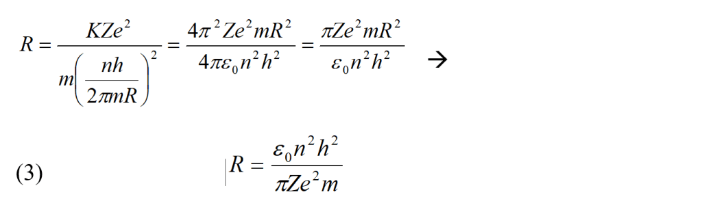
Cerchiamo di vedere un poco più in dettaglio i conti che fece Bohr. In un atomo l’elettrone orbita circolarmente intorno al nucleo. La forza centripeta (Fcentripoeta = Fc) che mantiene l’elettrone nell’orbita circolare è fornita dalla forza di attrazione elettrostatica (Felettrostatica = Fe) che il nucleo esercita sull’elettrone; deve allora risultare:

La forza elettrostatica è data invece dalla formula:


A questo punto subentra la condizione di Bohr di quantizzazione del momento angolare:

(con n = 0, 1, 2, …….., ∞) e, sostituendo la (2) nella (1) si ha

e questo è il valore del raggio atomico R (vari R per vari n) per vari atomi (al variare di Z). Sostituendo la (3) nella (2) si ha:

e questa è la velocità tangenziale dell’elettrone per varie orbite (al variare di n) e per vari atomi (al variare di Z). se si fa un rapido calcolo per l’atomo di idrogeno (Z = 1) non eccitato (con l’elettrone nell’orbita n = 1)si trova che il raggio atomico vale R = 0,53 Å, mentre la velocità dell’elettrone intorno al nucleo vale v = 2,182.108 cm/s. Osservando a questo punto che la velocità angolare w è data dalla velocità tangenziale v divisa per il raggio R, si trova:

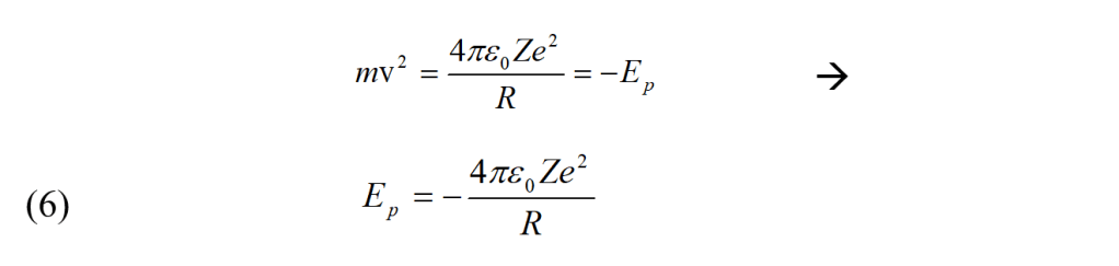
Ritorniamo ora all’equazione (1’) ed osserviamo che l’espressione mv2 rappresenta l’energia (nel nostro caso potenziale Ep, con il segno – perché attrattiva). Si ha allora:

Osserviamo inoltre che l’energia cinetica Ec è data da:

Ricordiamo ora che l’energia totale Et del livello n-esimo è data da:
Et = Ec + Ep
si ha, sostituendo a v la (4) e ad R la (3):

(8)
e questa è l’energia totale che compete ad un elettrone di un atomo con numero atomico Z, che si trovi sull’n-esima orbita.
Consideriamo ora due orbite elettroniche: una caratterizzata da n e l’altra da n1 (con n1 > n); l’energia totale della prima sarà En e della seconda En1 (con En1 > En):

Riferendoci all’atomo di idrogeno (Z = 1), si ha:

Per quanto già sappiamo e per la conservazione dell’energia si può scrivere:

Osserviamo che la costante che moltiplica la parentesi è calcolabile per semplice sostituzione dei valori delle costanti che la compongono:
m = 9,1.10-31Kgm; massa dell’elettrone
e = 1,6.10-19coulomb; carica dell’elettrone
h = 6,6.10-34j.s; costante di Planck
e0 = 8,85.10-12coulomb2/N.m; costante dielettrica del vuoto,
e si trova:

si ha che quella costante vale 13,6 eV. La (9) può quindi scriversi:


Vediamo la portata e la semplicità dell’espressione ricavata calcolando l’energia hν che occorre fornire all’elettrone dell’atomo di idrogeno per farlo passare dalla prima orbita (n = 1) alla seconda (n1 = 2):



Vediamo ora qual è l’energia necessaria ad allontanare l’elettrone dall’atomo cui appartiene, a portarlo cioè dall’orbita n = 1 a quella n1 = ∞ (energia di ionizzazione):

La relazione (10), trovata da Bohr, spiegava bene le righe spettrali osservate la prima volta nel 1906 e relative ad n = 1. appunto in quell’anno Lyman osservò, con uno spettroscopio per radiazione ultravioletta (UV), uno spettro di radiazione, emesso dall’idrogeno, costituito da tante righe che andavano addensandosi intorno alla lunghezza d’onda di 908 Å (che corrisponde ad n1 = ∞), come mostrato in figura:

Già nel 1885 erano state osservate le righe spettrali dell’idrogeno situate nella regione del visibile (da 4.000 Å a 7.000 Å) e relative ad n = 2 (si veda figura):

Quindi tutte le altre situati in altre regioni dello spettro. In definitiva, per quel che riguarda il visibile si ritrova la formula che empiricamente aveva dato Balmer. E merito di Bohr fu proprio l’aver dato un significato a quella costante B che avevamo incontrato in quella formula. Inoltre la formula di Bohr era in grado di prevedere altri spettri a frequenze diverse e tutto questo fu confermato sperimentalmente (con una qualche deviazione al crescere di Z, come vedremo). Nella figure che seguono sono riportate tutte le serie spettrali dell’idrogeno:



I due postulati di Bohr forniscono un nuovo modello di atomo che è simile a quello di Rutherford con la fondamentale differenza che ora non tutte le orbite sono permesse all’elettrone (quantizzazione dell’energia o dei livelli energetici). In tal modo l’edificio atomico risulta stabile anche se con qualche difficoltà teorica. Non sto qui a fare una storia dettagliata della mese di lavori che venne dopo quelli di Bohr. Ma occorre dire che questo modello atomico fu perfezionato da Sommerfeld nel 1916. Sommerfeld, per tentare di eliminare la non adesione ai dati sperimentali del modello per Z > 1 (ed anche alcune questioni legate all’intensità delle linee spettrali), applicò all’intero atomo una quantizzazione più spinta. Infatti la quantizzazione del momento angolare introdotta da Bohr limita i gradi di libertà di un elettrone costringendolo ad un raggio R di una determinata orbita. Sommerfeld suppose che l’elettrone, muovendosi nello spazio ha tre gradi di libertà e non uno solo. Sviluppando matematicamente il concetto Sommerfeld introdusse tre numeri quantici (vedi più avanti), anziché il solo numero quantico n, come aveva fatto Bohr. Il primo numero quantico, n (quanto principale, che può assumere valori interi e positivi), come quello di Bohr, indica l’orbita su cui l’elettrone si muove (il suo livello energetico). Il secondo numero quantico, l (quanto azimutale, che può assumere valori interi e positivi), ci dà invece lo schiacciamento delle orbite (queste non sono più circolari, come aveva indicato Bohr, ma possono anche essere ellittiche: più l è grande, più l’orbita è schiacciata o eccentrica).

Il terzo numero quantico, m* (quanto magnetico, che può assumere valori interi positivi e negativi), rende conto del fatto che il piano dell’orbita può avere solo certe determinate inclinazioni rispetto ad un asse di riferimento (quantizzazione spaziale).

Un’altra importante novità nella trattazione di Sommerfeld dell’atomo di Bohr è l’introduzione della teoria einsteniana della relatività (1905) per lo studio del movimento degli elettroni orbitanti intorno al nucleo. Gli elettroni planetari, infatti, si muovono a velocità molto vicine a quella della luce (velocità della luce ed a questa velocità è importantissimo introdurre la teoria della relatività che ci rende conto di altri fatti sperimentali altrimenti non spiegabili (la separazione dei livelli energetici, andando a studiare la struttura fine degli spettri degli atomi che consiste in un maggior numero di righe osservate se l’osservazione è fatta in modo più sofisticato, con uno strumento cioè in grado di separare linee che grossolanamente sembrano una sola. Nella figura seguente si può vedere come, in struttura fine si separano le prime due righe della serie di Balmer e la prima di quella di Paschen).

La teoria di Bohr si può ulteriormente migliorare tenendo conto che quando si ha a che fare con un oggetto che ruota intorno ad un altro oggetto, bisogna considerare i due oggetti che ruotano intorno al loro centro di gravità. Ciò vuol dire che in qualche modo bisogna tener conto anche della massa del nucleo e, in definitiva, occorre sostituire ad m che compare nelle formule viste la cosiddetta massa. ridetta (m) data da:

dove M è la massa del nucleo.
La teoria di Bohr (ed ormai di Bohr-Sommerfeld), come accennato, lasciava tuttavia a desiderare dal punto di vista logico, trattandosi in sostanza di una sovrapposizione di condizioni nuove alle vecchie leggi della meccanica, poiché si sceglievano, tra le orbite meccaniche, quelle che a tali condizioni si adattavano: si adattano le leggi classiche della meccanica e dell’elettromagnetismo per definire l’orbita dell’elettrone, leggi che venivano poi ripudiate quando si postulava che l’elettrone su un’orbita stazionaria (vedi oltre) non poteva irradiare, in pieno ed aperto contrasto con le leggi inizialmente ritenute valide. Inoltre si introducevano delle costanti arbitrarie (i numeri quantici) che erano un chiaro segno dell’insufficienza della teoria.
3- 1 DE BROGLIE (1924)
E’ il francese L. De Broglie, nella sua tesi di laurea, che inizia a rispondere a questi problemi. Secondo lui deve esservi una simmetria:
se delle onde hanno caratteristiche corpuscolari
dovrà accadere che
particelle presentino caratteristiche ondulatorie.
Dovrà valere la relazione:
mv = h/λ
| mv | = | h/λ |
| quantità di moto (corpuscolare) | quantità di moto (ondulatoria) |
E ciò vuol dire che, ad una data massa m si può sempre associare una lunghezza d’onda λ:
λ = h/mv .
Questa relazione vuole intanto dire che: se si dispone di una particella di data massa, essa avrà una elevata lunghezza d’onda se è lenta (bassa velocità) e, viceversa, essa avrà piccola lunghezza d’onda se è veloce. Inoltre questa relazione si presta ad una verifica sperimentale. Si tratta di provocare l’interferenza (meglio dire: la diffrazione) di elettroni, neutroni, …. E la cosa fu realizzata da Davisson e Germer nel 1927 che ebbero l’idea di utilizzare gli ioni di un cristallo come “fenditure” (sulla lunghezza d’onda di oggetti materiali ritorneremo tra un poco).
Torniamo ora all’ipotesi di De Broglie introducendo preliminarmente un concetto classico elementare. Se uno ha una circonferenza e su di essa vuole metterci un’onda, la cosa è realizzabile solo se vi sono delle condizioni rispettate e cioè che la lunghezza della circonferenza 2πr sia un multiplo intero della lunghezza dell’onda λ:

fig. 16
deve cioè valere la relazione:
2πr = n.λ => λ = 2πr/n .
Mettendo insieme questa relazione con quella vista di De Broglie si trova una naturale spiegazione all’ipotesi di Bohr secondo la quale esistono solo determinate orbite (quelle per le quali mvr = nh/2πr). Si ha:
λ = 2 πr/n = h/mv => mvr = nh/2π.
Resta da giustificare l’altra ipotesi di Bohr, quella che vuole un elettrone in un data orbita non emettere o assorbire energia. La cosa viene spiegata da De Broglie mediante le onde stazionarie. L’elettrone che si trova su di un’orbita elettronica è descritto da un’onda stazionaria (che non si modifica nel tempo). In tale situazione non vi sono cambiamenti energetici.

In definitiva, l’ipotesi iniziale di De Broglie, nata da ragioni eminentemente euristiche, porta a spiegare ipotesi ad hoc di Bohr che, certamente spiegavano ma che, altrettanto certamente, non si capiva bene da dove provenissero. Ma, come annunciato, ritorniamo un attimo alla natura ondulatoria della materia. Riprendiamo la relazione di De Broglie:
λ = h/mv
e calcoliamoci la lunghezza d’onda di differenti “oggetti” materiali.
Lunghezza d’onda di una persona (m = 100 Kg; v = 10 m/s):
λ = h/mv = 6,6.10-34 /100.10 = 6,6.10-37 m
Lunghezza d’onda di un moscone (m = 1g; v = 10 m/s):
λ = h/mv = 6,6.10-34 /10-3.10 = 6,6.10-32 m
Lunghezza d’onda di un elettrone (m ~ 10-30 Kg; v ~ 106 m/s):
λ = h/mv = 6,6.10-34 /10-30.106 = 6,6.10-10 m
Trovate queste lunghezze d’onda, occorre verificare se hanno una qualche corrispondenza sperimentale. Bisognerebbe provocare fenomeni di diffrazione mandando a sbattere uomini o mosconi o elettroni addosso ad un diaframma fornito di due fenditure. Ma, se ricordiamo, le fenditure per provocare interferenza non possono avere dimensioni qualunque. Dico ora che tali fenditure devono avere dimensioni dell’ordine di grandezza della lunghezza d’onda dell’oggetto da diffrangere. Le più piccole fenditure che siamo in grado di costruire sono dell’ordine di grandezza di 10-15 m. Da ciò discende che non è possibile verificare sperimentalmente la diffrazione di uomini o mosconi e più in generale di oggetti macroscopici. Mentre è verificabile per gli elettroni o qualunque altra particella subatomica (ricordo che ho accennato al ruolo fondamentale giocato dalla piccolezza di h per rendere i quanti fondamentali solo nel mondo microscopico). Riporto di seguito due figure di diffrazione, l’una ottenuta da raggi X (tipicamente ondulatori) e l’altra da elettroni (caratteristiche corpuscolari):

fig. 18
Credo si capisca come i due “oggetti” fatti diffrangere, hanno stesso comportamento sperimentale.
Facciamoci ora un facile conto per vedere in modo elementare dove possano portare alcune elaborazioni. Combiniamo insieme la relazione di De Broglie (mc = h/λ , dove abbiamo sostituito a v la velocità c della luce) con quella di Planck (E = hν). Ricordando che, per la luce, ν = c/λ => λ = c/ν e sostituendo questo valore al λ della relazione di De Broglie, si trova:
mc = h/(c/ν) => mc2 = hν
e, ricordando che E = hν, si trova subito:
E = mc2
4 – Il principio di esclusione (Pauli 1925)
Nel 1925 due fisici olandesi, Ulenbeck e Goudsmith, scoprono una proprietà magnetica dell’elettrone. Quest’ultimo, movendosi lungo la sua orbita, ruota anche rapidissimamente su se stesso come una trottola (spin). E’ inutile stare qui a discutere del fatto che in realtà si tratta di un effetto relativistico, è ora importante osservare che il valore energetico, per unità di tempo, che si accompagna a questo spin è proporzionale alla costante h di Planck, s = ± ½ (h/2π). I segni + o – stanno ad indicare le due possibili rotazioni dell’elettrone, verso orario ed antiorario, cosicché anche lo spin risulta quantizzato (la cosa è rappresentata con un vettore diretto verso l’alto o verso il basso). Nello stesso anno il tedesco W. Pauli riuscì a dimostrare che, all’interno di un atomo, non vi possono essere più di due elettroni su una medesima orbita (e ve ne sono due solo se questi hanno spin opposti) [noto a margine che la tavola periodica degli elementi, con questa scoperta di Pauli, trova una sua naturale spiegazione. Senza tale principio non conosceremmo la varietà del mondo chimico e le caratteristiche del mondo fisico sarebbero radicalmente differenti.

Inoltre questo principio spiega perché, abbassando drasticamente la temperatura, la materia non collassa, non si “sgonfia”.

5 – Il principio di indeterminazione: cenni (Heisenberg 1926/1927)
Nelle cose che siamo andati dicendo, a partire da De Broglie, già era sparita la particella materiale. Occorreva dirlo meglio. Formalizzare. E per questo Heisenberg ebbe delle straordinarie intuizioni che poi purtroppo furono estrapolate arbitrariamente fino a creare gravi problemi di interpretazione filosofica della meccanica quantistica. Intanto Heisenberg fa una operazione che rivoluziona il modo di osservare; egli non guarda più dall’esterno ma si mette dentro ciò che vuole osservare (non è una cosa da poco!).
Cerchiamo di capire cosa è tale principio di indeterminazione.
Quando vogliamo descrivere che farà un proiettile sparato da un cannone, non occorre che ci mettiamo ad osservare per credere che le cose vadano in un certo modo. Due calcoletti con la fisica di Newton e riusciamo a conoscere, istante per istante, la traiettoria (o velocità) e la posizione del proiettile. La cosa assume una rilevanza diversa nel mondo microscopico, dove i fenomeni vanno trattati con i quanti.
Occorre prima dire in breve il modo in cui noi vediamo gli oggetti, modo simile sia nella visione ordinaria che quantistica della luce. Dato un oggetto da osservare serve una sorgente di luce che, dopo essersi riflessa sull’oggetto da osservare, arriva agli occhi dell’osservatore informandolo che l’oggetto è proprio lì (si noti che questo toccare indiretto degli oggetti per vederli, corrisponde al toccare diretto del non vedente che si aggira in un ambiente che non conosce).

fig. 1
Riferiamoci a dei fotoni che debbano colpire un oggetto perché noi lo si possa vedere (secondo disegno di figura 1). Le energie in gioco, quelle dei fotoni che colpiscono l’oggetto sono veramente ridicole rispetto all’inerzia dell’oggetto. Possiamo anche prendere un faro usato dalla protezione civile per le inondazioni ed illuminare con esso un granello di sabbia. Tale granello non si sposterà perché colpito da quell’enorme fascio di fotoni. E’ che il granello di sabbia è immensamente più grande del mondo atomico. Scendiamo allora a tale scala. Se volessimo osservare un elettrone dovremmo vederlo. Per fare ciò occorre che almeno un fotone lo colpisca. Ebbene, l’energia di un fotone è dello stesso ordine di grandezza di quella di un elettrone! Ciò vuol dire che, se vogliamo osservare l’elettrone, lo vediamo per un istante infinitesimo, ma poi lo perdiamo perché l’urto del fotone lo ha fatto schizzare via. Quindi si potrebbe pensare di osservare la posizione di un elettrone ma, questa osservazione, ci toglie ogni possibile informazione su quale traiettoria è seguita da quell’elettrone. Ma si potrebbero usare fotoni meno energetici. Invece di quelli, ad esempio, viola, si possono usare quelli rossi. Benissimo. In tal caso non spostiamo apprezzabilmente l’elettrone dalla sua traiettoria ma non riusciamo a vederlo bene, lo vediamo sfocato. Se ci mettiamo con fotoni ad energia intermedia (verdi) perdiamo un poco di informazione sulla traiettoria e poca sulla posizione dell’elettrone.

fig. 2
In formula il principio di indeterminazione si scrive:
Δvx . Δvy . Δvz . Δx . Δy . Δz ≥ h/2πm
e qui occorrerebbe discutere di questo spazio a sei dimensioni che si è introdotto, lo spazio delle fasi, ma ci limitiamo solo a considerare il principio di indeterminazione in una dimensione, così il tutto si semplifica:
Δvx . Δx ≥ h/2πm
dove la formula dice che il prodotto dell’indeterminazione sulla traiettoria (o velocità) per l’indeterminazione sulla posizione non può essere inferiore a quella quantità scritta al secondo membro. Facendo dei conticini facili (si veda ‘atomi e molecole’ al paragrafo “Principio di indeterminazione”) si trova che l’indeterminazione della posizione dell’elettrone in un atomo è ora grande come tutto l’atomo e ciò vuol dire che spariscono orbite e traiettorie e la stessa individualità dell’elettone. Ora quest’ultimo può trovarsi dovunque dentro l’atomo ma non sappiamo dove e neppure come si muove.
Conoscere vuol dire misurare, misurare vuol dire perturbare e perturbare ci porta ad essere indeterminati nel mondo microscopico (noto a parte che nell’esperimento ideale di Heisenberg, descritto dalla figura 2, gli strumenti sono classici e non quantistici e qui si apre un altro fronte non secondario di discussione che per ora rimandiamo). Secondo il fisico russo Gamow in un mondo quantistico non si potrebbe accarezzare un gattino senza spezzargli il collo, tali sono le cose straordinarie che accadono e che non rispondono a quello che conosciamo come senso comune. Il principio di indeterminazione, il carattere probabilistico della fisica dei quanti ed il dualismo onda-corpuscolo non sono altro che espressioni diverse di un solo modo, assai complesso, di rappresentare il mondo microscopico esterno. Si è voluto estendere a tutta la realtà del mondo questo principio con affermazioni che implicherebbero il dover abbandonare le nostre libertà metafisiche, ma su questo tralasciamo.
Categorie:Senza categoria
Rispondi