Ingegneria Meccanica – Roma Tre
AA/2011-2012
APPUNTI PER IL CORSO
(Ripresi integralmente e da me assemblati dai testi di bibliografia)
Roberto Renzetti
Bibliografia: R. Renzetti – Vari appunti miei raccolti negli anni – http://www.fisicamente.blog
__________________________________
EQUAZIONI DI TRASFORMAZIONE RELATIVISTICHE. (PARTE 1).
CINEMATICA RELATIVISTICA
La prima, questione che viene affrontata è la definizione di contemporaneità o simultaneità.
Cosa si deve intendere per eventi simultanei? Sembrerebbe di poter rispondere: eventi che avvengono nello stesso istante. Si, ma che significa nello stesso istante ?
Per rispondere a questa domanda Einstein si costruisce una serie di strumenti concettuali tali che gli permettano di arrivare ad una definizione operativa delle grandezze fisiche tempo (mediante orologi) e lunghezza (mediante regoli rigidi). (849) Seguiamo il suo ragionamento.
Egli inizia con l’introdurre un sistema inerziale che, per semplicità discorsiva, considera in quiete. Se si vuole definire la posizione di un punto materiale in questo sistema, lo si può fare misurando, con dei regoli rigidi, le distanze di questo punto dai tre assi cartesiani coordinati. Se si vuole definire il moto di questo punto materiale si possono dare le coordinate del punto in funzione del tempo. Ora, quando si parla di tempo, occorre fare attenzione. Infatti, parlare di tempo è come parlare di avvenimenti simultanei e questo perché se, ad esempio, noi diciamo che il treno arriva alle 7, intendiamo dire che il treno arriva simultaneamente a quando le lancette del nostro orologio segnano le 7. Si può allora sostituire la definizione di tempo con le posizioni delle lancette dell’orologio ? Questo va bene solo nel caso in cui si debba definire il tempo per il luogo dove si trova l’orologio; ma se si vogliono dare i tempi per “avvenimenti che si svolgono in luoghi differenti“, allora sorge la necessità di sapere cosa diventa quella simultaneità cui ci riferivamo prima. Noi potremmo certamente valutare il tempo in cui si produce un determinato fenomeno nello spazio a partire da un unico osservatore, munito di orologio, che si trovi nell’origine delle coordinate del nostro sistema inerziale: si produce l’avvenimento; esso viene segnalato all’origine delle coordinate con un segnale luminoso; quando il segnale luminoso arriva, l’osservatore va a vedere che tempo segna il suo orologio. Questo metodo però, osserva Einstein, “ha l’inconveniente di non essere indipendente dalla posizione dell’osservatore munito di orologio“; infatti, a posizioni diverse dell’osservatore, data la costanza di c (e qui non serve assumere la costanza di c per tutti i sistemi inerziali ma solo quella per un sistema in quiete), corrispondono tempi diversi per uno stesso fenomeno che avviene in un punto fissato dello spazio. (850) Einstein suggerisce quindi “una più pratica determinazione [per] avvenimenti che si svolgono in luoghi differenti” .
Supponiamo di prendere in considerazione due punti A e B dello spazio, nei quali si trovino due osservatori muniti di due orologi identici. L’osservatore A potrà dare i tempi di A e delle immediate vicinanze; l’osservatore B potrà dare i tempi di B e delle immediate vicinanze. Se però non si fa qualche altra convenzione
“non è possibile … paragonare temporalmente un avvenimento in A con un avvenimento in B; noi [infatti] abbiamo finora definito un tempo A e un tempo B, ma nessun tempo comune ad A e B.”
L’ulteriore convenzione che manca per definire quest’ultimo tempo è
“che il tempo che la luce impiega per giungere da A a B è uguale al tempo che essa impiega per giungere da B ad A.”
Data questa definizione è allora possibile sincronizzare due orologi distanti mediante un segnale luminoso che, partito da A, dopo la riflessione su B, riporti ad A l’informazione sul tempo di B. Chiamiamo con tA l’istante (il tempo) in cui un raggio di luce parte da A, con tB l’istante in cui questo raggio viene riflesso da B per tornare verso A e con t’A l’istante in cui il raggio arriva di nuovo in A. La definizione data ci permette di dire che i due orologi funzionano in modo sincrono quando:
tB – tA = t’A – tB . (851)
Con questa definizione non vi è luogo a contraddizioni e non solo per i punti A e B, ma per qualsiasi altro punto dello spazio, di modo che valgono le seguenti condizioni:
“1.Quando l’orologio in B cammina sincrono con l’orologio in A, l’orologio in A cammina sincrono con l’orologio in B.
2.Quando l’orologio in A cammina sincrono con l’orologio in B quanto anche con l’orologio in C, camminano pure sincroni gli orologi in B e in C relativamente l’uno all’altro.”
In questo modo, aiutandosi con esperienze mentali, Einstein fornisce una definizione di tempo e di simultaneità. In particolare, secondo Einstein,
“il tempo di un avvenimento è l’indicazione contemporanea all’avvenimento di un orologio in quiete, che si trova nel luogo dell’avvenimento, il quale procede sincrono con un determinato orologio in quiete, e precisamente per tutte le determinazioni di tempo, con lo stesso orologio.”
Come conseguenza di quanto detto ed in accordo con il Principio della costanza della velocità della luce, si ha:
(2 AB)/( t’A – tA ) = c
cioè: la velocità della luce, come costante universale, è data dal rapporto tra l’intero tragitto, andata e ritorno, tra A e B ed il tempo totale impiegato a percorrere questo tragitto. Come si ricorderà questi due punti, A e B, erano presi in un sistema in quiete, per cui
“il tempo ora definito, a cagione di questa appartenenza al sistema in quiete, lo diremo il tempo del sistema in quiete.” (852)
A questo punto si può cominciare a parlare di relatività di lunghezze e tempi introducendo nelle nostre discussioni e il Principio di relatività e quello della costanza della velocità della luce che vengono ora esplicitamente enunciati nel modo seguente:
“1) Le leggi secondo le quali si modificano gli stati dei sistemi fisici sono indipendenti dal fatto che questi e cambiamenti di stato vengano riferiti all’uno o all’altro di due sistemi di coordinate che si trovino in relativa reciproca traslazione uniforme.
2) Ogni raggio di luce si muove nel sistema di coordinate in quiete con la determinata velocità c, indipendente dal fatto che quel raggio di luce sia emesso da un corpo in quiete o da un corpo in movimento.“
Supponiamo di avere, nel definito sistema in quiete, un’asta rigida di lunghezza h (misurata nello stesso sistema in quiete con un regolo rigido). Quest’asta si trovi poggiata sull’asse delle x e, ad un dato istante, cominci a muoversi con velocità v nel verso delle x crescenti. Ci si chiede qual è la lunghezza di questa asta in due eventualità:
a) l’osservatore (853) è in moto con l’asta alla sua stessa velocità ed esegue la misura in questo sistema mediante un regolo rigido (il tutto va come se osservatore, asta da misurare, regolo di misura si trovassero in quiete);
b) l’osservatore è sul sistema in quiete; egli, mediante orologi (in quiete) sincronizzati con quelli (in moto) che si trovano sull’asta da misurare, “deduce … in quali punti del sistema in quiete si trovino il principio e la fine dell’asta da misurare, in un determinato tempo t“; a questo punto si passa a misurare la distanza di questi due punti, mediante un regolo rigido nel sistema in quiete. Anche questa dovrà essere considerata come lunghezza dell’asta.
Il principio di relatività ci dice subito che utilizzando il sistema di misura (a), “la lunghezza dell’asta in moto nel sistema in moto deve essere uguale alla lunghezza h dell’asta in quiete“; e ciò vuol dire che la misura che noi troviamo per l’asta è la stessa sia quando noi, stando in quiete, misuriamo l’asta in quiete nel sistema in quiete; sia quando noi, stando in moto, misuriamo l’asta in moto nel sistema in moto. (854)
Vediamo ora di calcolarci mediante (b) “la lunghezza dell’asta in moto nel sistema in quiete” e, come Einstein anticipa, troveremo che essa è differente dalla precedente lunghezza h, e ciò in contrasto con quanto la cinematica ordinaria generalmente ammette. Supponiamo di avere alle estremità A e B dell’asta due orologi sincronizzati con gli orologi del sistema in quiete; e ciò vuol dire che i tempi indicati dagli orologi che si trovano in A e B corrispondono, istante per istante, al “tempo del sistema in quiete“; e ciò vuol dire ancora che gli orologi che si trovano in A e B sono “sincronizzati nel sistema in quiete“. (855) Vi sia poi un osservatore vicino all’orologio A ed un osservatore vicino all’orologio B, di modo che i due osservatori si muovano con gli orologi. Questi osservatori dovranno sincronizzare gli orologi mediante il sistema di sincronizzazione dato precedentemente e cioè mediante un segnale luminoso. Allora, “al tempo tA [del sistema in quiete] (856) parta [da A] un raggio luminoso, venga riflesso al tempo tB in B e ritorni al tempo t’A in A“. Questo segnale impiegherà un tempo tB – tA per percorrere la distanza AB ed un tempo t’A – tB per percorrere la distanza BA. Ora, a seguito del principio della costanza della velocità della luce, il segnale luminoso che viaggia con velocità c: quando da A va verso B, dovrà rincorrere l’estremo B che gli si allontana con velocità v; quando da B torna verso l’estremo A, si troverà quest’ultimo che gli va incontro con velocità v. In definitiva, se con rAB denotiamo la lunghezza dell’asta misurata nel sistema in quiete, si ha: (857)
tB – tA = rAB /(c – v) e t’A – tB = rAB /(c + v)
Quanto ricavato vuol dire che “osservatori in moto con l’asta in moto troverebbero i due orologi non procedenti sincronicamente, mentre osservatori nel sistema in quiete dichiarerebbero, sincroni quegli orologi”. (858) E questo perché, mentre avevamo visto che per il sistema in quiete i due orologi situati in A e B erano sincroni con la conseguenza che per il sistema in quiete doveva risultare:
tB – tA = t’A – tB
ora, per il sistema in moto, risulta:
tB – tA ≠ t’A – tB.
Einstein può allora concludere:
“ Vediamo dunque che al concetto di simultaneità non possiamo attribuire alcun significato assoluto, ma che invece due avvenimenti che, considerati da un sistema di coordinate, sono simultanei, considerati da un sistema mosso relativamente ad esso, non sono più da considerare come avvenimenti simultanei.”
In definitiva, il concetto di simultaneità, dato per evidente nella cinematica classica, viene a perdere il suo valore assoluto, diventando relativo. Inoltre si scambiano i ruoli preesistenti: mentre prima la definizione di tempo ci permetteva di parlare di eventi simultanei, ora la definizione di eventi simultanei ci permette una misura del tempo.
Abbiamo ora in mano tutte le premesse necessarie per costruirci le equazioni di trasformazione, quelle cioè che ci permettono di passare da un sistema supposto in quiete ad un altro in moto traslatorio uniforme rispetto al primo (e viceversa). Questa parte viene trattata da Einstein nel paragrafo 3 della sua memoria. Io, per ragioni di semplicità concettuale ed espositiva, (859) preferisco seguire un modo diverso per ricavare le stesse equazioni di trasformazione. Questa trattazione è stata elaborata dallo stesso Einstein in un’epoca successiva (1916). (860)
Supponiamo allora di avere due sistemi di coordinate: l’uno, S (di coordinate x,y,z), supposto in quiete; l’altro, S’ (di coordinate x’, y’, z’), in moto rettilineo uniforme a velocità v rispetto al primo. Per semplicità i due sistemi sono presi in modo tale che i loro assi x ed x’ coincidono, mentre gli assi y e z del primo sono rispettivamente paralleli agli assi y’ e z’ dell’altro
(si veda la figura 43). (861) Dice Einstein: (861 bis)
“II nostro problema può venir formulato con esattezza nel modo seguente.

Quanto valgono le x’ ,y’, z’ e t’ di un evento rispetto ad S’, quando sono date le grandezze x, y, z, t, dello stesso evento rispetto ad S ?”
Ora, un qualunque evento, che si produca sull’asse x del sistema S,
“è rappresentato rispetto al sistema di coordinate S dall’ascissa x e dal tempo t, e rispetto al sistema S’ dall’ascissa x’ e dal tempo t’. Dobbiamo trovare x’ e t’ quando siano dati x e t.” (862)
Riferendoci alla figura 43, supponiamo che all’istante in cui inizia a prodursi l’evento da studiare le origini O ed O’ di S ed S’ coincidano. In questo istante un segnale luminoso (l’evento) venga emesso dall’origine O di S e si propaghi lungo l’asse x, nel verso delle x crescenti.
Nel sistema S, dopo un tempo t ≠ O, il segnale avrà raggiunto il punto di ascissa x = ct; e poiché vale il principio di costanza della velocità della luce, anche nel sistema S’ dovrà risultare x’ = ct’. (863)
In definitiva, nei due sistemi valgono rispettivamente le due equazioni:
x = ct
x’= ct’
e cioè:
x – ct =0
x’- ct’= 0.
Ciascuna di queste due equazioni corrisponde alla misura dello stesso evento sul rispettivo sistema di riferimento. Di conseguenza le due equazioni dovranno essere tra loro dipendenti. In particolare l’annullarsi dell’una dovrà implicare l’annullarsi dell’altra. E questo vuol dire che le due equazioni dovranno essere uguali a meno di una costante moltiplicativa; cioè:
(x’ – ct’) = λ (x – ct)
dove λ e’ appunto la costante che dovrà essere determinata.
Ripetendo lo stesso ragionamento per un segnale luminoso che, partito da O, si propaghi in verso contrario (verso delle x decrescenti), troviamo:
(x’ + ct’) = ν(x + ct)
dove ν e’ ancora una costante da determinarsi.
Ed allora, per trovare le equazioni di trasformazione dal sistema S a quello S’ ( e viceversa ) occorrerà determinare le due costanti λ e ν, cominciando con il risolvere il sistema:
(x’ – ct’) = λ(x – ct)
(x’ + ct’) = ν(x + ct)
Sommando e sottraendo le due equazioni si trova:
(x’ – ct’) + (x’ + ct’) = λ(x – ct) + ν(x + ct)
(x’ – ct’) – (x’ + ct’) = λ(x – ct) – ν(x + ct)
da cui, di seguito:
2x’ = λx – λct + νx + νct
-2ct’ = λc – λct – νx – νct
x’ = ½ (λ + ν)x – ½ (λ – ν)ct
ct’ = ½ (λ + ν)ct – ½ (λ – ν)x
Chiamando per semplicità:
a = ½ (λ + ν) e b = ½ (λ – ν)
si ha:
x’ = ax – bct
ct’ = act – b
ed il problema diventa quello di determinare le due costanti a e b. Per farlo occorrono due condizioni fisiche che discendono da considerazioni elementari. Innanzitutto si può osservare che sul sistema S’ in moto, l’origine O’ ha per ascissa x’ = 0 (e questo è sempre vero). Ponendo questo valore nella prima delle (1) si ha;
0 = ax – bct -> x = (b/a)ct
Ora, poiché abbiamo chiamato con v = x/t la velocità con cui l’origine O’ di S’ si muove rispetto ad S, dall’ultima relazione scritta discende:
x/t = (b/a)c
e cioè:
v = (b/a)c -> b = a(v/c) (2)
ed ancora:
v/c = b/a. (864) (3)
“Inoltre il principio di relatività ci insegna che, giudicata da S, la lunghezza di un singolo regolo-campione che sia in quiete rispetto ad S’ deve essere esattamente identica alla lunghezza, giudicata da S’, di un singolo regolo-campione che sia in quiete relativamente ad S. Per vedere come appaiono i punti dell’asse S’ visti da S, dobbiamo soltanto prendere ‘una istantanea’ di S’ da S; ciò significa che dobbiamo assegnare a t (tempo di S) un valore particolare, ad esempio t = 0.” (865)
Al tempo t = 0 una data lunghezza Δx’ di S’ varrà Δx se valutata da S. Vogliamo ricavarci Δx conoscendo il suo valore Δx’ in S’. Sostituendo t = 0 nella prima delle (1) si trova:
x’ = ax
e ciò vuol dire che:
Δx’ = a Δx
Se quindi la lunghezza Δx’ misurata in S’ vale, ad esempio, Δx’ = 1, nella ‘istantanea’ presa da S essa varrà:
1 = a Δx —>
Δx = 1/a. (866) (4)
Facciamo ora un’altra ‘istantanea’, questa volta da S’, al regolo-campione Δs in quiete su S. Anche adesso dobbiamo assegnare a t’ (tempo di S’) un valore particolare, ad esempio, t’ =0. Il problema è lo stesso del precedente. Ora, dato che al tempo t’ = 0 una data lunghezza Δs di S varrà Δx’ se valutata da S’, si tratta di ricavare Δx’ conoscendo il suo valore Δx in S. Sostituendo t’ = 0 nella seconda delle (1), si trova:
act – bx = 0.
Da questa espressione occorre eliminare la t e per farlo la si può mettere a sistema con la prima delle (1):
act – bx = 0
x’ = ax – bct
Dalla prima si ricava subito t:
t = (b/a)(x/c)
che può essere subito sostituito nella seconda;
x’ = ax – bc (b/a)(x/c)
Risolvendo si trova:
x’ = ax – abc(b/a2)(x/c) -> x’ = ax – ax(b2/a2) -> x’ = a (1 – b2/a2)x.
Ricordando la (3), questa espressione diventa:
x’ = a(l – v2/c2)x
E ciò vuol dire che:
Δx’ = a(l – v2/c2)Δx.
Se quindi la lunghezza Δx misurata in S vale, ad esempio, Δx = 1, nella ‘istantanea’ presa da S’ essa varrà:
Δx’ = a(1 – v2/c2). (5)
Ma, per il principio di relatività, questa e l’altra ‘istantanea’ dovranno essere identiche; l’espressione (4) dovrà cioè essere uguale all’espressione (5):
Δx = Δx’ -> 1/a = a(1 – v2/c2) -> a2 = 1/(1 – v2/c2) -> (6)
Abbiamo così ricavato una delle costanti che ci occorrevano. Per trovare l’altra sostituiamo la (6) nella (2):

Sostituendo nelle (1) i valori (6) e (7) delle due costanti così trovate, si
hanno le equazioni di trasformazione cercate:

->

Per completare basta osservare che sugli assi y, y’, z e z’ non si ha moto relativo, quindi risulta:
y’ = y
z’ = z
In definitiva il gruppo delle trasformazioni che trova Einstein è:


Queste trasformazioni ci permettono di stabilire “quanto valgono le x’, y’, z’, t’, di un evento rispetto ad S’, quando sono date le grandezze x, y, z, t, dello stesso evento rispetto ad S.”
Ora, anche se Einstein non lo fa esplicitamente, è utile ricavare le trasformazioni inverse che rispondono alla domanda: quanto valgono le x, y, z, t di un evento rispetto ad S, quando sono date le grandezze x’, y’, z’, t’, dello stesso evento rispetto ad S’ ? Quanto detto corrisponde a situare l’osservatore in S’ e, dato il principio di relatività, supporre S’ in quiete mentre il sistema S si muove con velocità -v rispetto ad esso. Per rispondere alla domanda che ci siamo posti, osservando che già abbiamo ovviamente y = y’ e z = z’, basterà risolvere rispetto ad x e t il sistema formato dalla prima e dalla quarta delle (8). Risolvendo di seguito e, per semplicità, chiamando β = 1/(1 – v2/c2)½ , si trova, successivamente:











ed in definitiva si hanno le equazioni di trasformazioni cercate


E’ di grande importanza osservare che le (9) si ottengono dalle (8) semplicemente sostituendo a v che compare in queste ultime la quantità – v. E ciò proprio in virtù del fatto che le trasformazioni che trova Einstein godono della proprietà di gruppo (la trasformazione inversa di una data trasformazione deve essere la trasformazione identica). (868)
Come si ricorderà ciò non valeva per le equazioni di trasformazione di Lorentz, prima dell’intervento di Poincaré.
Ma, tornando ad Einstein, egli, dopo essersi ricavate le equazioni di trasformazione (8) (che, incidentalmente e conseguentemente con quanto detto nel paragrafo 1, egli ancora non chiama trasformazioni di Lorentz), passa a dimostrare che “ogni raggio di luce, misurato nel sistema in moto, si propaga con la velocità e, purché ciò, come abbiamo ammesso, accada nel sistema in quiete, poiché non abbiamo ancora dato la dimostrazione che il principio della costanza della velocità della luce sia compatibile con il principio di relatività.”
Supponiamo allora di considerare un segnale luminoso che all’istante t = t’ = 0 (istante in cui le origini O ed O’ dei due riferimenti S ed S’ coincidono) venga emesso dall’origine O di S (sistema in quiete). Questo segnale si propagherà da O sotto forma di un’onda sferica il cui fronte viaggerà rispetto ad S con la velocità c della luce. La superficie sferica di quest’onda avrà un raggio r che varierà con il tempo (di S) secondo la relazione:
r = ct.
Ricordando che l’equazione di una sfera con centro nell’origine degli assi (in S) è data da:
x2 + y2 + z2 = r2
si vede subito che nel nostro caso si ha:
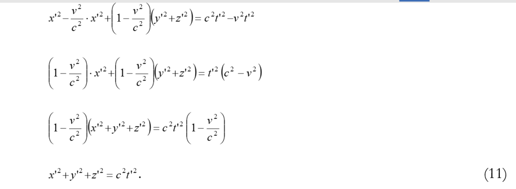
x2 + y2 + z2 = c2t2. (869) (10)
Se applicando le trasformazioni (9) a questa equazione otteniamo anche per il sistema S’ l’equazione di una superficie sferica che si propaga dall’origine O’ con velocità c, allora avremo dimostrato la compatibilità dei due principi di Einstein.o di seguito, si trova

da cui successivamente:

(11)
“L’onda in oggetto è dunque, anche considerata nel sistema in moto, un’onda sferica con la velocità di propagazione c. Con ciò è mostrato che i nostri due principi fondamentali sono … compatibili.”
E ciò vuol anche dire che se la luce ha velocità c nel sistema S, essa ha la stessa velocità c nel sistema S’, indipendentemente dalla velocità di quest’ultimo rispetto al primo; si ha infatti:
r’ = ct’.
Possiamo a questo punto passare al quarto paragrafo della memoria di Einstein dal titolo Significato fisico delle equazioni ottenute, riguardanti corpi rigidi ed orologi in movimento.
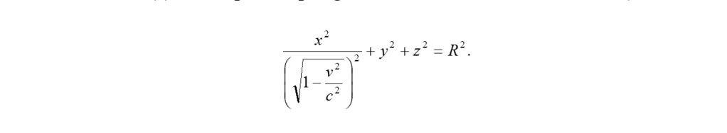
Si inizia con il considerare, nel sistema S’ in moto relativamente al sistema S in quiete, un corpo rigido che ha la forma di una sfera di raggio S e che ha il suo centro nell’origine delle coordinate. Nel sistema S’ la superficie di questa sfera è data dall’equazione:
x’2 + y’2 + z’2 = R2.
Al tempo t = 0, nel sistema S, questa equazione diventa (applicando la prima delle trasformazioni (6), nella quale si ponga t = 0, oltre alla seconda e terza):

Questa equazione non è più quella di una sfera ma quella di un ellissoide di rotazione i cui tre semiassi, rispettivamente agli assi z, y, z del sistema di coordinate S, valgono:

E ciò vuol dire che:
“un corpo solido, che misurato in stato di quiete ha la forma di una sfera, ha dunque in stato di moto – considerato dal sistema in quiete – la forma di un ellissoide di rotazione … Mentre dunque le dimensioni y e z della sfera (ma anche di qualsiasi altro corpo di qualsiasi forma) non appaiono modificate a cagione del moto, la dimensione x appare accorciata del rapporto (1 – v2/c2)-1/2, dunque tanto più fortemente quanto più grande è v. Per v = c tutti i corpi mossi – considerati dal sistema in quiete – si contraggono in figure superficiali. Per velocità superiori a quella della luce le nostre considerazioni perdono il loro significato; d’altronde vedremo nelle considerazioni che seguiranno che la velocità della luce ha, nella nostra teoria, fisicamente il ruolo di una velocità infinita. E’ chiaro che uguali risultati sussistono per un corpo fisso nel sistema in quiete quando venga considerato da un sistema in moto uniforme.”
I corpi di un sistema in moto, quindi, se osservati da un sistema in quiete, si contraggono nella direzione del moto. La contrazione è tanto maggiore, quanto maggiore è la velocità v del moto relativo; al limite, per v = c, la dimensione dell’oggetto nel verso del moto si annulla. Questa pertanto è la prima
considerazione che fa concludere ad Einstein che la velocità della luce è una velocità fisicamente infinita, cioè che essa è insuperabile o, che è lo stesso, che essa è una velocità limite. E’ importante sottolineare che un’uguale contrazione nel verso del moto si osserverebbe dal sistema in moto
sul sistema in quiete a seguito del principio di relatività.
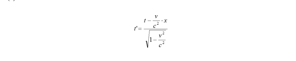
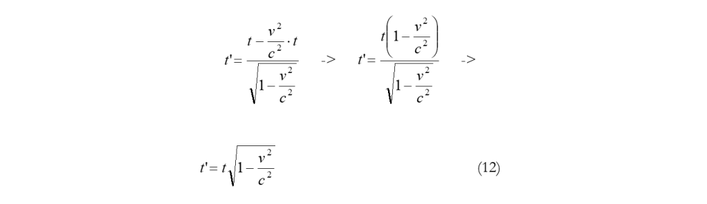
Analogo ragionamento si può fare per i tempi. Supponiamo di avere un orologio che nel sistema S in quiete dia il tempo t, mentre (lo stesso orologio) nel sistema S’ in moto dia il tempo t’. Poniamo quest’orologio nell’origine delle coordinate di S’ e vediamo che tempo fornisce in S. La quarta delle trasformazioni (8) ci dice che:

inoltre sappiamo che, in S:
x = vt.
Sostituendo quest’ultima relazione nella precedente, si trova:

In definitiva, il tempo t’ segnato da un orologio in moto, quando esso è valutato da un riferimento in quiete, è in ritardo di (1 – v2/c2)1/2 rispetto al tempo t misurato nel sistema in quiete. E ciò vuol dire che il tempo del sistema in moto, se osservato dal sistema in quiete, scorre più lentamente o, che è lo stesso, si dilata. Dalla relazione (12) inoltre si vede subito che per v = c si ha che t’ = 0, e cioè che il tempo e’ fermo in un sistema che si muove con la velocità della luce, quando è osservato da un sistema in quiete. Anche qui si possono fare le stesse considerazioni fatte precedentemente a proposito di velocità superiori a c (in questo caso il tempo t’ diventerebbe una grandezza algebricamente immaginaria alla quale non sapremmo quale significato fisico assegnare). Anche qui, resta inteso che, data la validità del principio di relatività, una medesima dilatazione del tempo si osserva dal sistema in moto sul sistema in quiete. Einstein aggiunge, a questo punto, che questo risultato vale anche quando l’orologio si muove da un punto ad un altro seguendo una linea poligonale ed ancora se questa poligonale è chiusa. Quest’ultimo fatto fa dire ad Einstein un qualcosa che, successivamente ed ancora oggi, ha dato il via ad una serie di speculazioni che sono lungi dall’aver trovato una soluzione. Dice Einstein:
“se si trovano in A due orologi sincroni e si muove uno di essi con velocità costante su una curva chiusa finché ritorna in A, ciò che potrebbe durare t sec, quest’ultimo orologio al suo arrivo in A si trova, rispetto all’orologio rimasto immobile, in ritardo di 1/2.t.v2/c2 sec.” (870)
E finalmente arriviamo all’ultimo paragrafo della parte cinematica che è dedicato alla composizione delle velocità. (871)
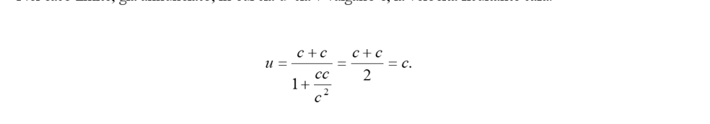
In accordo con la costanza di c e con il suo non sommarsi con nessuna altra velocità, occorrerà trovare delle equazioni di trasformazione che, nel passaggio da un sistema ad un altro, rendano, al limite, c + c = c.
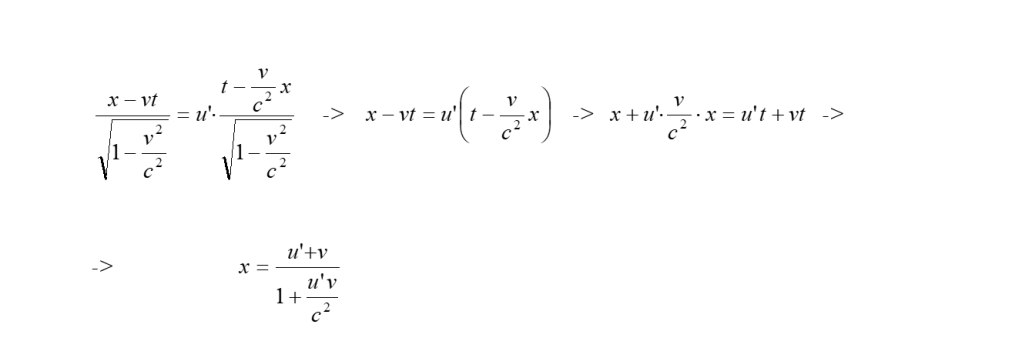
Supponiamo che un punto materiale si muova sul sistema S’ che è, ricordiamolo, in moto con velocità v rispetto al sistema S supposto in quiete. Questo punto si muova, per semplicità, l’ungo l’asse x’ (che ha la stessa direzione dell’asse x di S) e sia u’ la sua velocità rispetto ad S’. Si vuole conoscere con quale velocità u si muove questo punto rispetto al sistema S (o, che è lo stesso, quanto vale u’ osservata da S). Cominciamo con l’osservare che il moto del punto materiale sul sistema S’ è descritto dall’equazione:
x’ = u’t’.
Basta applicare le trasformazioni (6) a x’ e t’ di quest’ultima relazione, per trovare ciò che cerchiamo. Si ha

Dividendo ambo i membri per t e ricordando che nel sistema S è x/t = u, si trova l’equazione di trasformazione cercata:

Si noti che per velocità u’ e v molto piccole rispetto a c, il termine u’v/c2, che si trova al denominatore, può essere trascurato, di modo che si ottiene l’equazione classica di addizione delle velocità (quella di Galileo):
u = u’ + v.
Nel caso limite, già annunciato, in cui sia u’ sia v valgano c, la velocità risultante sarà:

Da quanto detto
“segue che dalla composizione di due velocità, le quali siano minori di c, risulta sempre una velocità minore di c …
Segue inoltre che la velocità della luce c non può venir modificata per composizioni con una velocità inferiore a quella della luce.”
E qui, dopo aver fatto notare che varie trasformazioni come la (13), quando sono applicate a vari sistemi di riferimento, formano gruppo, Einstein conclude la parte cinematica per passare a mostrarne le applicazioni all’elettrodinamica.
NOTE
(849) Colui che per primo formulò in modo esplicito l’operazionismo fu il fisico statunitense P.W. Bridgman (l862-1961) . Per eliminare dalla fisica e dalla scienza in genere molti concetti metafisici, Bridgman propose (1927) di definire i vari concetti che si utilizzano nella fisica in termini di operazioni o processi (di misura, di laboratorio, …). In un suo saggio, Le teorie di Einstein da un punto di vista operativo, inserito nel volume curato da Schlipp, Albert Einstein, scienziato e filosofo (bibl.168, pagg. 281-301), Bridgman afferma che colui che ha, nei fatti, inventato l’operazionismo è stato proprio Einstein con la sua Teoria della relatività ristretta. Dice Bridgman in apertura del saggio: “ Questa esposizione tenterà di dimostrare che Einstein non riportò nella sua relatività generale la profondità e gli insegnamenti che egli stesso ci aveva dato con la sua teoria particolare.” Einstein quindi, almeno con la sua relatività generale, abbandonò il punto di vista operativo nella definizione delle grandezze. Sul l’argomento si veda anche Bergia in bibl. 148, pagg. 37-38.
(850) Si noti che un’altra possibilità di dare i tempi per avvenimenti che si svolgono in luoghi differenti potrebbe essere quella di portare gli orologi nello stesso luogo, sincronizzarli e quindi riportarli nei luoghi d’origine. Einstein non prende in considerazione questa possibilità perché, probabilmente, aveva in mente due difficoltà: chi garantisce che il moto non alteri il funzionamento degli orologi ? e chi ci assicura che per due fenomeni differenti i tempi passino allo stesso modo? Si ricordi che quella di Einstein è una definizione operativa.
(851) In definitiva, per sincronizzare un orologio che sta in A con uno che sta in B, si invia un segnale luminoso da A a B e si attende che ritorni in A. Alla fine dell’esperimento il tempo totale letto sa A, diviso per due, permette di sincronizzare i due orologi.
(852) Si noti che, in accordo con il Principio di relatività, tutti i sistemi inerziali sono equivalenti. Scelto un sistema inerziale a caso, nessuno ci vieta di considerarlo come se fosse in quiete (ed il fatto è in accordo anche con il principio classico di relatività). Occorre comunque ricordare che, dato un sistema inerziale, tutti quei sistemi che si muovono di moto rettilineo uniforme rispetto a quello, sono anch’essi inerziali.
(853) Taylor, in un modo divertente, fa rilevare: ” in queste spiegazioni intervengono sempre gli osservatori, i quali non possono neppure dormire perché, se lo facessero, potrebbero perdersi qualche avvenimento importante e mettere in crisi l’intera teoria” (bibl. 177, pag.86). Sulla abbondanza degli osservatori nella relatività basta tener sempre presente che l’osservatore non è né un fisico né un filosofo; non é uno che fa teorie ma, al contrario, è un esecutore materiale di misure, un operatore metrico.
(854) Se qualcuno, che ha già una qualche conoscenza di relatività, pensasse a per ora non meglio specificate contrazioni dell’asta, tenga conto che le contrazioni riguardano anche il regolo di misura. Ma su questo torneremo più oltre.
(855) Cioè: nel sistema in quiete risulterà, come abbiamo visto, tB – tA = t’A – tB . Il che vuol dire che: l’orologio che si trova in A indicherà il tempo di A nel luogo in cui si trova A; l’orologio che si trova in B indicherà il tempo di B nel luogo in cui si trova B; sia l’orologio di A che quello di B indicheranno il tempo del sistema in quiete; nel sistema in quiete i due orologi risulteranno sincroni.
(856) Come lo stesso Einstein ci fa osservare, questo tempo del sistema in quiete è anche la “posizione delle lancette dell’orologio del sistema in moto” che si trova nel luogo di cui si parla.
(857) Se si ricorda l’enunciato originale di Einstein del principio di costanza della velocità della luce (dato appena qualche riga più su), si riconoscerà che la velocità della luce, nel sistema in quiete, deve essere c. Ciò vuol dire che gli orologi del sistema in quiete misureranno un tempo maggiore per la luce che va da A a B rispetto a quello necessario alla luce per andare da B ad A. In un caso infatti bisognerà tener conto del fatto che la luce emessa da A deve raggiungere B che si allontana con velocità v; nell’altro caso, la luce riflessa da B dovrà raggiungere A che si avvicina con velocità v.
(858) Facendo seguito a quanto detto nella nota precedente, se gli orologi che si trovano in moto agli estremi dell’asta in movimento sono sincronizzati con il metodo di Einstein, rispetto al sistema in quiete daranno, tra loro e istante per istante, letture differenti. Ma poiché il principio della costanza di c è affermato per tutti i sistemi inerziali, noi dobbiamo ammettere che gli orologi nel sistema in moto, sincronizzati tra loro con il solito metodo, sono effettivamente sincroni tra loro.
(859) II modo con cui Einstein ricava le equazioni di trasformazione nella memoria del 1905 è, per noi, complesso per due motivi: 1) si introducono le equazioni alle derivate parziali che non conosciamo (non tutti almeno); 2) si svolgono dei ragionamenti un poco farragginosi (a posteriori!).
(860) In un lavoro divulgativo dal titolo Sulla relatività speciale e generale, bibl. 178. In particolare la trattazione che ci riguarda è in appendice, al paragrafo 11, pagg 68-70. Anche qui ho cambiato alcune notazioni di Einstein in modo da renderle conseguenti con altre notazioni da me usate in altra parte di questo lavoro.
(861) In sostanza andremo a studiare il problema ad una dimensione anziché complicarlo in tre dimensioni; e ciò vuol dire che ci occuperemo solo delle variazioni della coordinata x (oppure x’), restando inteso che per le altre coordinate valgono le seguenti equazioni di trasformazione: y = y’ e z = z’.
(861 bis) Bibl. 178, pag. 66.
(862) Ibidem, pag. 68.
(863) Poiché all’istante in cui l’evento comincia a prodursi le origini dei due riferimenti coincidono, anche in S’ il segnale luminoso sarà emesso al tempo t’ = 0. E, data appunto la costanza di c, anche in S dopo un tempo t’, il segnale luminoso si troverà ad occupare l’ascissa x’ = ct’.
(864) A partire da questo punto, P. Couderc segue un metodo diverso per ricavarsi le trasformazioni di Lorentz (si veda allo scopo bibl. 180, pagg. 120-122 ).
(865) Ibidem, pagg. 69-70. Si osservi che una ‘istantanea’, scattata quando il centro del regolo è sull’asse ottico della macchina fotografica, permette di traguardare simultaneamente gli estremi del regolo.
(866) Δx è la lunghezza di un regolo-campione, in quiete su S’, valutata da S mediante una ‘istantanea’.
(867) Come già detto (nota 859), Einstein , nella sua memoria del 1905 utilizzò un metodo differente per ricavare le (8). In breve, egli prima di tutto annuncia che “le equazioni da trovare devono essere lineari a cagione della proprietà di omogeneità che noi attribuiamo allo spazio e al tempo“, quindi, utilizzando il metodo di sincronizzazione precedentemente definito, va a calcolarsi l’equazione di trasformazione del tempo nel passaggio dal sistema S al sistema S’. Questa equazione dipende da un fattore f(v), dipendente dalla velocità, da determinarsi. Con l’equazione di trasformazione del tempo egli si va a calcolare l’equazione di trasformazione delle coordinate. Tutte queste equazioni sono date a meno del fattore f(v). A questo punto Einstein passa a dimostrare che anche nel sistema in moto la luce si propaga con velocità c (se, appunto, con questa velocità essa si propaga nel sistema in quiete); e ciò gli serve per dimostrare la compatibilità del principio di relatività con quello della costanza di c. Per fare ciò egli si serve delle equazioni di due onde sferiche luminose emesse all’origine dei due riferimenti al tempo t = t’ =0 (quando, passandosi vicino i due sistemi, le.due origini coincidono) e poiché esse , applicandovi le trasformazioni già trovate, risultano ancora sferiche (nel passaggio dall’una all’altra), Einstein può concludere che “i nostri due principi fondamentali sono compatibili“. L’ultimo passo che Einstein fece fu quello di sbarazzarsi del fattore f(v). Allo scopo egli introduce un terzo sistema di coordinate S” che si muove rispetto ad S come lo faceva S’, ma questa volta con velocità -v. Mediante una doppia applicazione delle equazioni di trasformazione egli trova che le coordinate x’’, y’’, z’’, t’’ del sistema S’’, sono legate a quelle (x, y, z, t) del sistema S dalle relazioni:
x” = f(v).f(-v)x
y” = f(v).f(-v)y
z“ = f(v).f(-v)z
t” = f(v).f(-v)t
dove f(-v) è un altro fattore indeterminato che gli viene fuori nel ricavare le equazioni di trasformazione da S” ad S. Einstein osserva allora:
“Poiché le relazioni tra s”, y”, z” e x, y, z non contengono il tempo t, i due sistemi S ed S” sono relativamente in quiete, ed è chiaro che la trasformazione da S ad S” deve essere la trasformazione identica. E’ dunque:
f(v).f(-v) =1.”
Quindi, con l’introduzione di considerazioni di teoria dei gruppi (la trasformazione inversa di una data trasformazione deve essere la trasformazione identica) egli riesce a trovare una prima relazione che gli permetterà di ricavare f(v). Da altre considerazioni trova che:
f(v) = f(-v)
e quindi, mettendo insieme le ultime due relazioni, può concludere che
f(v) = 1.
Si osservi la maggiore semplicità di questo metodo e quante ipotesi in meno sono necessarie rispetto a quanto aveva fatto Lorentz che si era trovato di fronte allo stesso problema.
(868) Si noti come ‘proprietà di gruppo’ e ‘principio di relatività’ siano esattamente la stessa cosa: la prima esprimendo in modo analitico il secondo. Si può ora ricordare che le trasformazioni che trovò Lorentz non godevano della proprietà di gruppo poiché, data l’immobilità dell’etere, non ha senso la trasformazione inversa del sistema di riferimento in moto con il sistema in riposo rispetto all’etere.
(869) Si può anticipare una osservazione sulla quale torneremo più oltre. La velocità della luce c è una costante che noi abbiamo studiato solo incidentalmente per la luce; essa ha un significato più generale rappresentando una proprietà dello spazio-tempo. Dalla (10) si vede infatti che c è quella costante che, moltiplicata per t, rende omogenee le grandezze in gioco nello spazio-tempo.
(870) Su questo ‘paradosso degli orologi’ il fisico francese P. Langevin (1872 -1946) costruirà nel 1911 il famoso ‘paradosso dei gemelli’ del quale discuteremo più oltre. Basti per ora dire che per percorrere una poligonale sono necessarie delle accelerazioni e le accelerazioni sono competenza della relatività generale e non della relatività ristretta.
(871) Anche qui seguirò un metodo differente da quello utilizzato da Einstein nella sua memoria del 1905.
Categorie:Senza categoria
Rispondi