Ingegneria Meccanica – Roma Tre
AA/2011-2012
APPUNTI PER IL CORSO
(Ripresi integralmente e da me assemblati dai testi di bibliografia)
Roberto Renzetti
Bibliografia: R. Renzetti – Vari appunti miei raccolti negli anni – http://www.fisicamente.blog
_________________________
EQUAZIONI DI TRASFORMAZIONE RELATIVISTICHE. (PARTE 2).
_________________________
L’EQUAZIONE FONDAMENTALE DELLA DINAMICA RELATIVISTICA
Riprendiamo in esame una relazione già incontrata (grandezza della forza = variazione della quantità di moto p nell’unità di tempo):
:

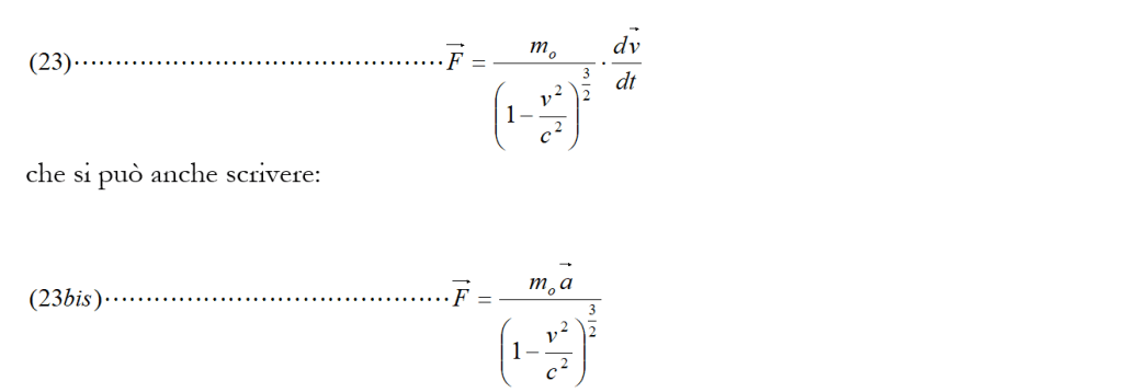
Abbiamo già trovato che quando forza, accelerazione e velocità sono vettori tra loro paralleli, si trova [vedi la (23)]:

avendo posto dv/dt = a.
Ma, nel caso più generale, quando forza, accelerazione e velocità non sono più vettori tra loro paralleli, come si sviluppa la (15) ? Ricordando che p = mv e che sia m che v sono grandezze variabili, la (15) diventa (si tratta di far la derivata di un prodotto tra due funzioni):

essendo m0 una costante.
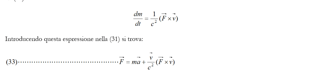
Dalla dinamica classica sappiamo che:

La (32) diventa allora:

che è l’equazione fondamentale della dinamica relativistica.
La (33) si può anche scrivere:

e, da quanto scritto, si può subito vedere che per v << c il secondo termine del secondo membro è trascurabile di modo che la (33) fornisce il 2° principio della dinamica nell’approssimazione, appunto, v << c
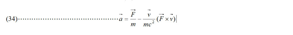
Ricaviamoci ora l’accelerazione dalla (33):

Si può subito vedere che l’accelerazione e la forza non hanno, in generale, la stessa direzione (si veda figura 69) poiché ad F occorre sommare il vettore-secondo-termine-del-secondo-membro che non ha necessariamente la direzione di F (questo fatto non si verificava in dinamica classica). Inoltre, sempre

Figura 69
dalla figura 69 si può vedere che invece le componenti tangenziali aT e FT della forza e dell’accelerazione e le componenti normali aN e FN sempre della forza e dell’accelerazione hanno rispettivamente stessa direzione e stesso verso (si noti che risulta sempre FT > FN).
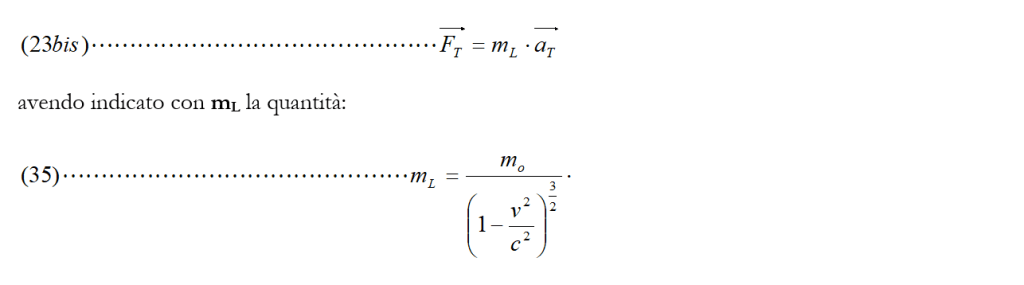
Indaghiamo un poco meglio le componenti tangenziale e normale della forza F (rispettivamente FT ed FN) riprendendo in esame la (31):



Nel caso invece in cui la forza F che compare nella (33) risulti perpendicolare alla velocità v, la stessa forza risulterà parallela all’accelerazione a. Questo perché quando forza e velocità sono perpendicolari formano tra loro un angolo α di 90°; se α è di 90° ai avrà che cos α = 0 ; e se cos α = 0 il secondo termine del secondo membro della (33 bis) si annulla; allora si avrà F=ma e cioè F=m.dv/dt
Scriviamo esplicitamente quest’ultima espressione. Si ha:

rappresenta quella che va sotto il nome di massa trasversale (al movimento).
LE EQUAZIONI DI TRASFORMAZIONE PER LA QUANTITÀ DI MOTO E L’ENERGIA
Le espressioni (17 bis) e (25 bis) che abbiamo trovato rispettivamente per quantità di moto ed energia relativistiche sono date in un determinato riferimento, ad esempio, S:


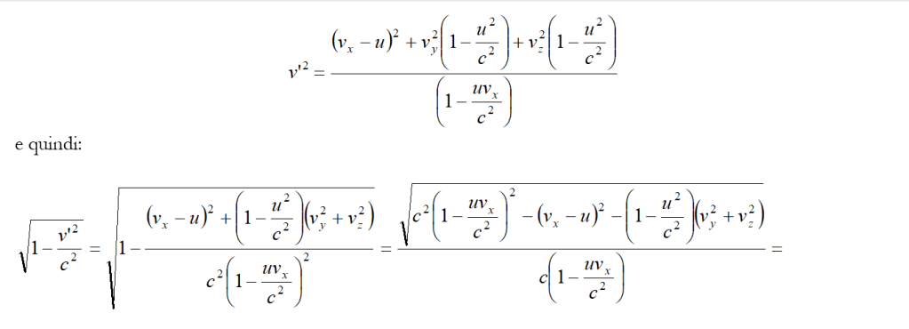
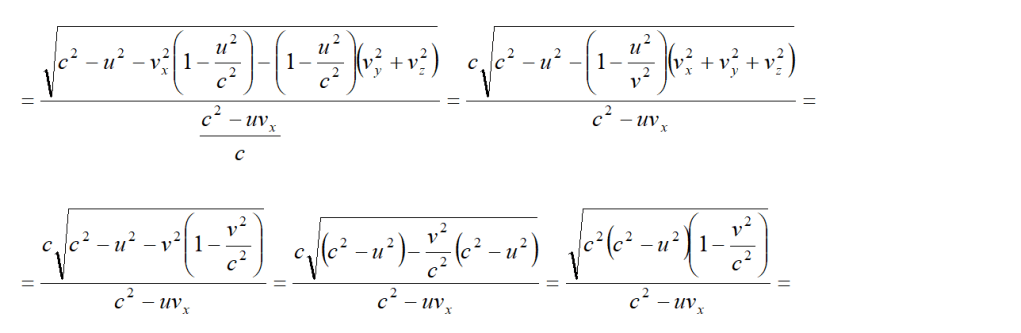
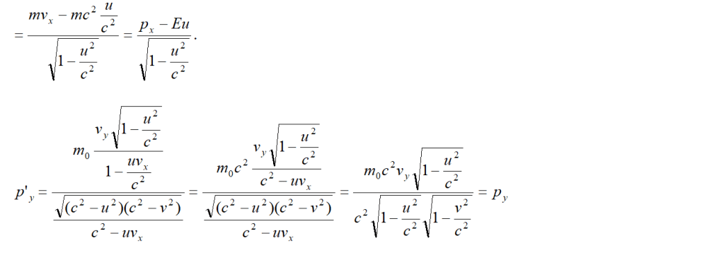
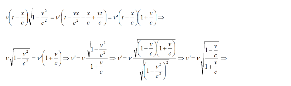
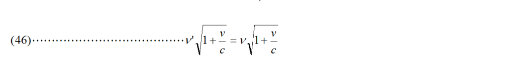
Supponiamo ora di voler riscrivere le (17 bis) e (25 bis) per un altro riferimento S’ in moto con velocità u rispetto ad S, con le solite modalità (S’ fa scivolare il suo asse x’ Sull’asse x di S, nel suo verso positivo). In questo riferimento il nostro oggetto si muoverà con una velocità v’, di componenti v’x, v’y, v’z tali che che può essere trovata mediante la composizione delle velocità [si vedano le (14)] e, data la costanza di c e l’invarianza di m0 (in quanto si tratta di una massa a riposo), le (17 bis) e (25 bis) diventano rispettivamente:


e che [vedi le (14) ed osserva che ora i ruoli di u e di v sono cambiati]:

Si ha così che:








dove le ultime quattro trasformazioni sono state scritte tenendo conto del principio di relatività e sostituendo – u ad u.
LE EQUAZIONI DI TRASFORMAZIONE PER LA MASSA E PER LA FORZA
Le equazioni di trasformazione per la massa, sempre rispetto ai riferimenti S ed S’ presi in considerazione nella sezione precedente, si possono ricavare facilmente a partire da uno dei passaggi che abbiamo incontrato per ricavare la (39):


E la (41) e (42) sono le equazioni di trasformazione per la massa da noi cercate.
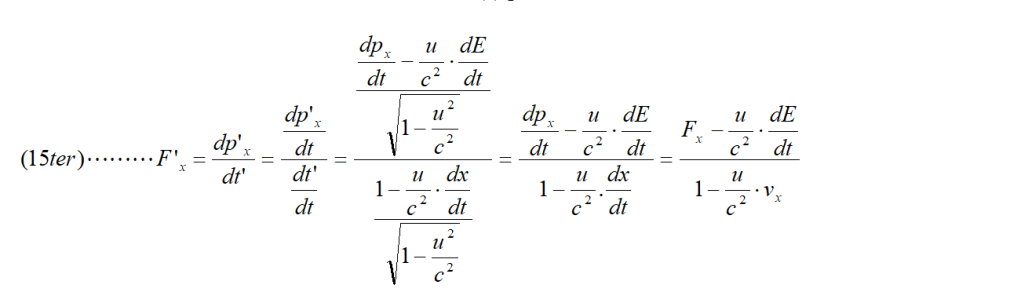
Per quel che riguarda le equazioni di trasformazione della forza, basta ricordare la definizione (15):

Il problema può allora essere risolto utilizzando le (40). Tenendo conto delle componenti Fx, Fy ed Fz della forza F e ricordando la trasformazione di Lorentz (8) per t’, si ha:

avendo posto vx = dx/dt.
Resta da calcolare dE/dt. Lo faremo semplificando il problema con l’ipotesi che l’oggetto su cui agisce la forza sia istantaneamente in quiete su S’ (v’ = 0). Ricordando la (21 bis):

In modo più semplice si può procedere per F’y ed F’z. Sempre ricordando le (40) e la seconda delle (10), e cioè dt/dt’ = 1/(1 – u2/c2)1/2, si ha:

Ricapitolando, nel caso particolare in cui l’oggetto su cui agisce la forza sia in quiete su S’ ad un dato istante (istante nel quale v’ = 0), le equazioni di trasformazione per la forza sono:

Nel caso più generale, in cui l’oggetto su S’ sia già dotato di una data velocità (v’ ≠ 0) quando su di esso agisce la forza, si può dimostrare che valgono le seguenti equazioni di trasformazione (si veda, ad esempio, A. P. French – Special Relativity – Norton & Co., New York, 1968):




ALCUNE VERIFICHE SPERIMENTALI
La relatività ristretta ha un completo e totale riscontro sperimentale in tutti i campi della fisica non avendo avuto fino ad ora (1983) nessuna confutazione dall’esperienza.
E’ comunque utile fare una breve rassegna delle sue conferme sperimentali, a partire dal postulato di costanza della velocità della luce. (925)
LA COSTANZA DELLA VELOCITA’ DELLA LUCE
La prima evidenza sperimentale della costanza di c fu fornita (1913) dall’astronomo De Sitter mediante l’osservazione delle stelle doppie (figura 70). La luce proveniente sulla Terra da un sistema

Figura 70
binario di stelle, in rotazione intorno al loro baricentro O, dovrebbe comporsi con la velocitàv delle stelle. Dalla posizione 1 la luce dovrebbe arrivare sulla Terra, secondo la composizione di Galileo, con velocità c – v, mentre nella posizione 2 con velocità c + v. Se ciò fosse vero, data la differenza dei tempi d’arrivo della luce da 1 e 2, l’orbita delle due stelle (che nella nostra esemplificazione à supposta circolare) dovrebbe apparire eccentrica. I dati sperimentali non mostrano l’eccentricità in oggetto. Una conclusione possibile è che c sia indipendente dalla velocità della sorgente, in accordo con il secondo postulato di Einstein.
Alcune critiche di Fox (1962) alle conclusioni che abbiamo ora proposto, dettero il via a tutta una nuova serie di esperimenti. Tra questi quello di Alväger (1964) fu riconosciuto, anche dallo stesso Fox, come probante delle conclusioni in oggetto.
Altre conferme della costanza di c vennero dai lavori di Quirino Majorana (1919) che utilizzò sorgenti luminose terrestri e specchi in rapido movimento. E quindi altri innumerevoli lavori tra i quali sono da segnalare quelli di Kennedy e Thorndike (l932) e Farley (1964). Altra notevole esperienza per mostrare che c è una velocità limite è quella di W. Bertozzi (l963).
L’ESPERIENZA DI MICHELSON – MORLEY
Poiché tutti i sistemi inerziali sono equivalenti, non è possibile evidenziare il moto assoluto di uno di essi. Assunta la Terra come sistema inerziale (per il breve tempo necessario a eseguire una misura di una esperienza), se su di essa conduciamo una qualsiasi esperienza, anche supponendo che la Terra sia dotata di un qualunque moto traslatorio (sconosciuto) a velocità costante, il risultato di questa esperienza sarà lo stesso che si misurerà su tutti gli altri sistemi inerziali dotati di moto traslatorio uniforme rispetto alla Terra (principio di relatività).
Ma assumiamo pure che vi sia un etere stazionario. Condotta l’esperienza di Michelson nel riferimento dell’etere immobile, essa dovrà dare evidentemente risultato nullo (poiché la velocità della luce è la stessa in tutte le direzioni di un dato sistema inerziale). In definitiva, nell’ipotesi di bracci uguali e lunghi l , il tempo t necessario affinché la luce percorra un braccio andata e ritorno sarà uguale al tempo t necessario alla luce a percorrere andata e ritorno l’altro braccio. Necessariamente, quindi, la differenza Δt dei tempi sarà uguale a zero.
Ed anche se l’apparecchio viene ruotato di 90°, data la costanza di c in tutte le direzioni, il risultato resterà lo stesso. Se poi l’interferometro ha bracci di lunghezza diversa e, per una data posizione di esso, compaiono frange di interferenza, queste ultime non risulteranno spostate per una rotazione di 90° (e qualunque) dell’intero apparato.
Ebbene, dati questi risultati nel sistema supposto in quiete, il principio di relatività ci garantisce che esattamente gli stessi risultati si avranno in tutti gli altri sistemi inerziali.
L’EFFETTO DOPPLER
Supponiamo che un’onda luminosa trasversale si propaghi nel vuoto lungo l’asse x’ di un dato riferimento S’ (figura 73). Sia A’ l’ampiezza dell’onda, ν’ la sua frequenza, c la sua velocità ed abbia

Figura 73
equazione:

e poiché A = A’ (per le trasformazioni di Lorentz y = y’) la precedente uguaglianza si riduce alla:

e, sviluppando:


Abbiamo cosi trovato la formula relativistica per l’effetto Doppler. Si noti che, da quanto premesso, ν’ rappresenta la frequenza della sorgente mentre ν la frequenza osservata. Se si confronta la (46) con l’espressione classica, ci si rende conto che quest’ultima è approssimata a termini del primo ordine in v/c e che inoltre, sempre da quest’ultima, sarebbe possibile risalire a riconoscere il moto assoluto o della sorgente o dell’osservatore. Queste difficoltà non si pongono per la (46).
La formula (46) da noi ricavata è comunque valida nel caso in cui vi sia un moto parallelo di allontanamento con velocità v tra sorgente ed osservatore, non interessando in alcun modo quale dei due o se tutti e due si stanno allontanando. Nel caso più generale, in cui le direzioni del moto della
luce e dell’osservatore formino tra loro un certo angolo α , purché si tratti sempre di allontanamento reciproco, la formula relativistica per l’effetto Doppler diventa:

Questa formula fornisce subito la (46) quando α = 0 (quando cioè le direzioni del moto della luce e dell’osservatore, che si stanno allontanando, sono parallele). Nel caso in cui α = 180° (quando cioè le direzioni del moto della luce sono parallele ma hanno verso opposto, il che vuol dire che sorgente ed osservatore si vanno avvicinando) si ha:

Ma, d’altra parte, dato il principio di relatività, questo risultato lo si poteva ricavare direttamente dalla (46) sostituendo ν e -v, rispettivamente, a ν’ e v.
Nel caso di avvicinamento tra sorgente ed osservatore, nel caso più generale in cui questo avvicinamento avvenga secondo un dato angolo α tra le direzioni del moto, vale la relazione:

Questo è un fatto di grande importanza. E’ la previsione sperimentale di un effetto Doppler trasversale che in nessun caso rientrava nelle formulazioni classiche. Se cioè osserviamo la propagazione di onde elettromagnetiche perpendicolarmente alla direzione del loro moto, misuriamo una frequenza ν più piccola della frequenza ν’ della sorgente. Questo fatto fu previsto da Einstein nel 1907 e fu confermato sperimentalmente da Ives e Stilwell (1938 e 1941) e questa conferma sperimentale, tra l’altro, risultò la prima prova a sostegno della dilatazione del tempo in un riferimento in moto rispetto ad un altro (noi) considerato in quiete. Che cosa vuol dire infatti misurare una frequenza più piccola di quella della sorgente, se non che i fenomeni in quel riferimento risultano rallentati ?
I MUONI
II fenomeno di dilatazione del tempo fu messo in evidenza anche da una importante esperienza che Rossi ed Hall realizzarono nel 1941.
Nelle alte zone dell’atmosfera i raggi cosmici ad alta energia, principalmente protoni, interagiscono con i nuclei degli atomi di gas ivi presenti. Queste interazioni generano dei mesoni veloci (i pioni) che in tempi brevissimi decadono in un altro tipo di mesoni (i muoni ). Queste ultime particelle, dotate di carica, hanno una massa che è circa 200 volte quella dell’elettrone ed hanno una velocità vicina a quella della luce (v ≈ 0,998 c). Dopo un tempo brevissimo i muoni si disintegrano producendo un elettrone,
un neutrino ed un antineutrino. La vita media di questi muoni, misurata quando essi sono (quasi) a riposo è Δt’ = 2.10-6 secondi. Anche viaggiando alla velocità della luce, con questa vita media, un muone prodotto negli alti strati dell’atmosfera potrebbe percorrere un tragitto pari a:
l’ = Δt’.c = 2.10-6.3.108 = 600 m
solo 600 metri.
Ebbene, questi muoni non potrebbero mai raggiungere il livello del mare (almeno classicamente). Eppure una gran quantità di essi raggiunge il livello del mare (questo è il motivo per cui sovente si parla di paradosso dei muoni).
La teoria della relatività rende facilmente conto del fenomeno là dove si utilizzi l’equazione (10bis) sulla dilatazione dei tempi.
Consideriamo al solito due riferimenti: quello S’ solidale con il muone e quello S solidale con noi osservatori che ci troviamo sulla Terra. Su S’ la vita media del muone sarà Δt’ = 2.10-6 sec. Nel nostro riferimento S la vita del muone sarà data dalla (10 bis):

e ciò vuol dire che Δt è 16 volte più grande di Δt’.
Il muone vedrà allora la nostra atmosfera contratta secondo la (11):

e cioè il valore l relativo al percorso del muone che noi osserviamo diventa di 9.600 m, sufficiente a far si che noi possiamo osservare una gran quantità di muoni al livello del mare.
Il ragionamento può anche rovesciarsi. Osservato sperimentalmente che molti muoni arrivano alla superficie del mare, moltiplicando per circa 16 volte il tragitto che dovrebbero percorrere rispetto ad un riferimento solidale con essi, vuol dire che questi muoni viaggiano mediamente ad una velocità pari a 0,998 c.
Esperimenti sulla dilatazione del tempo non più con orologi naturali come i muoni, ma con orologi atomici in volo ad alta quota, sono stati effettuati nel 1971 da Hafele e Keating e nel 1975-1976 da un gruppo di ricercatori dell’Università del Maryland. Ambedue gli esperimenti hanno confermato il fenomeno di dilatazione.
Ora o questi fenomeni di dilatazione del tempo sono perfettamente reciproci se osservati dall’altro riferimento, oppure bisogna negare il principio di relatività (il riferimento nel quale il tempo non si dilata è il riferimento assoluto).
Dico questo perché alcuni fisici, anche importanti, tendono ad assegnare un valore assoluto a tale dilatazione. Occorre, una volta per tutte, ricordare che in tutti questi esperimenti c’è sempre un confronto a riposo degli orologi e quindi la messa in moto di uno di essi. In definitiva si ha sempre a che fare col moto accelerato di uno dei due riferimenti (nel caso dei muoni si ha la decelerazione di essi al momento dell’impatto con il rivelatore e la loro accelerazione nel momento in cui sono creati). Come lo stesso Einstein ha più volte osservato, nessuno ci garantisce che strani fenomeni abbiano luogo proprio nei momenti in cui si ha a che fare con le accelerazioni.
IL PARADOSSO DEI GEMELLI
E’ un paradosso (?) che fu ideato dal fisico francese P. Langevin (l911) sull’onda del paradosso degli orologi ideato dallo stesso Einstein nel suo lavoro del 1905.
Il paradosso consiste in questo.
Uno di due gemelli parte dalla Terra per un viaggio spaziale ad una velocita dell’ordine di grandezza di quella della luce. Dopo qualche tempo, tornato sulla Terra, trova il suo gemello più vecchio di lui. Certo, qualcuno potrebbe dire, egli è stato in viaggio ad una fantastica velocità, per
lui il tempo si è dilatato (è passato più lentamente) e quindi è rimasto più giovane del suo gemello restato sulla Terra. Ed allora, dov’è il paradosso?
Secondo il principio di relatività i due sistemi di riferimento (Terra e razzo) devono poter essere considerati equivalenti ed il razzo che si allontana rispetto alla Terra deve poter essere descritto come Terra che si allontana dal razzo (per altri versi quest’ultima conclusione non è corretta in quanto il razzo, per allontanarsi dalla Terra, deve accelerare). Ed allora, in questa seconda descrizione, è il gemello che si trova sulla Terra che deve mantenersi più giovane. Ciò vuol dire che, in ultima anali-
si, al loro reincontro i due gemelli dovrebbero avere la stessa età.
Per questo si parla di paradosso, perché, secondo svariati e qualificati autori, è proprio il gemello che viaggia in astronave ad invecchiare. Non sono in grado di intervenire autorevolmente in una disputa che dura da più di 80 anni. Posso solo dire che i due sistemi (terra e razzo) sono confrontati a riposo (i due gemelli devono almeno essere nati dalla stessa madre !); i due sistemi dovranno ancora essere confrontati a riposo (al momento del ritorno dell’astronave sulla Terra); si ricordi che quando abbiamo parlato di simultaneità abbiamo escluso la possibilità di sincronizzare due orologi a riposo e quindi di metterne in moto uno (nessuno garantiva che il moto non alterasse il ritmo di quell’orologio); quando un gemello si pone in viaggio accelera per raggiungere la sua folle velocità; lo stesso Einstein
non ha fatto mai confronti di orologi a riposo trasferendoli poi su differenti sistemi inerziali animati di moto rettilineo uniforme l’uno rispetto all’altro; quel gemello in viaggio deve poi decelerare per poggiarsi sulla Terra; egli deve poi essere dotato di un moto accelerato (almeno accelerazione centripeta) durante il viaggio, se vuole girare e tornare sulla Terra. La relatività ristretta parla esclusivamente di sistemi inerziali in moto uniforme e rettilineo gli uni rispetto agli altri; il principio di relatività dice che i fenomeni relativistici devono godere di perfetta reciprocità (se da un riferimento si misura una dilatazione del tempo su un altro riferimento, da quest’ultimo si deve misurare la stessa dilatazione sul primo); la relatività non può pronunciarsi sulla realtà degli effetti di dilatazione o contrazione o, meglio, sulla loro assolutezza (in quest’ultimo caso lo stesso principio di relatività deve essere buttato via); la relatività riguarda solo effetti di misura da un riferimento ad un altro è impossibile ogni confronto a riposo.
Sulla strada comunque di ammettere la non assolutezza degli effetti relativistici: oltre a W. Pauli, .J. Perrin, R. Dugas, A. M. Tonnellat, i nostri Palatini e Straneo. Sembra poi che vi sia un coro di studiosi che affermano la realtà dell’effetto gemelli.
Dal mio punto di vista posso fare solo qualche timida obiezione alla realtà di questo effetto. La Terra torna ad essere un riferimento assoluto rispetto al quale si possono dare dei tempi assoluti ? Che ne è della reciprocità tra i diversi sistemi inerziali ? Supposto, ma non concesso, che Terra e razzo sono due sistemi inerziali, che ne è del principio di relatività ? Non mi sento di ragionare come chi sembra sostenere la realtà dell’effetto perché la schiacciante maggioranza dei trattati di relatività è concorde nel ritenere valida la deduzione dell’effetto dalla teoria. D’altra parte com’è possibile rinunciare a ciò che tutti i fisici quotidianamente ci dicono di dover accettare, oltre ai principi di conservazione, le sacre simmetrie ? Non sarebbe ad esempio possibile rimettere in discussione lo stesso principio di relatività ? Non credo però che quest’ultima soluzione piaccia a chi è uso schierarsi con le schiaccianti maggioranze.
NOTE
(925) Dati più completi si possono trovare in: Sexl, Schmidt – Spaziotempo – Boringhieri, 1980; Cortini –Vedute recenti nell’insegnamento della relatività ristretta – Quaderni del Giornale di Fisica 4, Vol. II, 1977; L.I. Schiff – Experimental Tests of Theories of Relativity – Physics Today, Novembre 1968; N. Calder – L’universo di Einstein -Zanichelli, 1981.
E’ POSSIBILE OSSERVARE LA CONTRAZIONE DELLE LUNGHEZZE ?
In un lavoro del 1959 J. Terrell mostra l’impossibilità di osservare la contrazione di Lorentz. In particolare egli mostra, che un dato oggetto, in moto con velocità v molto grande rispetto ad un riferimento in quiete S, risulta, rispetto ad S, non contratto ma ruotato.
Supponiamo di considerare un cubo di lato d’ in moto con velocità v rispetto al nostro riferimento S considerato in quiete (il moto avvenga in modo che gli spigoli del cubo si mantengano paralleli a quelli del riferimento). Per semplicità consideriamo le cose in due dimensioni, come mostrato nella figura 74 (anziché un cubo, consideriamo un quadrato). Supponiamo che il fenomeno sia

Figura 74
misurato da un osservatore T che si trova (sul piano della figura) a grande distanza (che veda cioè il quadrato sotto un piccolo angolo o, che è lo stesso, che riceva la luce proveniente dai diversi spigoli del
quadrato sotto forma di raggi paralleli). Come arriva agli occhi di S la luce proveniente dai quattro spigoli ?
La luce proveniente da A e da B arriverà prima di quella proveniente da C e da D, infatti questi ultimi spigoli sono più distanti da T dei primi due o, che è lo stesso, la luce proveniente da C e da D che arriva agli occhi dell’osservatore è stata emessa prima di quella proveniente da A e B arrivata agli occhi dello stesso osservatore.
Mentre la luce proveniente da C inizia a propagarsi, il quadrato si va spostando verso destra con velocità v. Ciò comporta che la luce proveniente da C non arriva agli occhi dell’osservatore: essa incontra sulla sua strada il lato AB del quadrato che, nel frattempo si è fatto avanti.
La luce proveniente da D arriverà invece a T senza incontrare alcun ostacolo proprio per lo stesso motivo per cui la luce proveniente da C non arriva a T (il lato AB del quadrato si è spostato in avanti e lascia il passo alla luce proveniente da D). Quando la luce proveniente da D è arrivata all’altezza dell’asse x, avendo percorso il tragitto d = c.Δt allora la luce emessa dagli spigoli A e B parte simultaneamente a quella proveniente da D (arrivata sull’asse x) ed arriva simultaneamente agli occhi di T.
Il quadrato apparirebbe allora a T distorto (figura 75) tanto più quanto più è grande la velocità v,

Figura 75
poiché:
(51) D”D = C”C = v.Δt
mentre rimane sempre:
(52) d’ = DA = CB = c.Δt
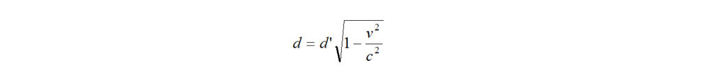
A questo punto però occorre tener conto della contrazione di Lorentz sul lato d del quadrato in moto parallelamente all’asse x. La lunghezza d per questi lati del quadrato (AB e CD) che T misura è data da:

si veda, allo scopo, figura 76. Il quadrato appare così ruotato di un angolo α tanto maggiore quanto maggiore è v. Si può anche calcolare il valore di α. Poiché i tempi Δt che compaiono nelle (51) e (52) sono gli stessi, dalla (52) si ricava che Δt =d/c. Di conseguenza la (51) diventa:
D”D = C”C = (v/c).d’
Dalla figura 76, confrontata con la 75, si vede che:
D’A = D”D e C’B’ = C”C

Figura 76
Di conseguenza:
(53) D’A = C’B’ = (v/c).d’
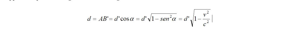
D’altra parte applicando il teorema dei triangoli rettangoli al triangolo DD’A si vede subito che:
(54) D’A = d’.sen α
Confrontando la (53) e (54) si trova che:
sen α = v/c.
Applicando poi un analogo teorema al triangolo AB’B si trova, che:

che è la relazione che già avevamo trovato.
In definitiva un oggetto in rapido movimento appare ruotato ad un osservatore in quiete.
EQUIVALENZA MASSA-ENERGIA
E’ appena il caso di accennare al fatto che la relazione di Einstein E = mc2 ha avuto le più svariate conferme sperimentali soprattutto nel campo della fisica nucleare e delle parlicelle elementari. D’altra parte l’applicazione più massiccia della relatività la si ha proprio in questi campi nei quali si ha a che fare con velocità elevatissime realizzate all’interno degli acceleratori di parlicelle. Insomma la relatività ristretta è oggi una certezza della fisica o, per meglio dire, essa rappresenta una descrizione più completa del mondo naturale di quella fornitaci dalla fisica classica. Con ciò non intendiamo dire che la fisica classica sia da buttar via, tutt’altro; questa fisica è perfettamente valida nelle approssimazioni più
che legittime di v << c. Praticamente tutti i fenomeni che ordinariamente ci circondano sono classici e solo un maniaco li tratterebbe relativisticamente (ben sapendo che, anche trattandoli relativisticamente, si otterrebbero dei risultati che differiscono da quelli classici per la 12-esima o 13-esima cifra decimale e che sfidano qualunque strumento di misura).
Categorie:Senza categoria
Rispondi