Ingegneria Meccanica – Roma Tre
AA/2011-2012
APPUNTI PER IL CORSO
(Ripresi integralmente e da me assemblati dai testi di bibliografia)
Roberto Renzetti
Bibliografia: R. Renzetti –Vari appunti miei raccolti negli anni -www.fisicamente.blog
L’inerzia di un corpo è dipendente dal suo contenuto di energia ?
E’ conveniente a questo punto, prima di passare al commento di questa prima memoria relativistica di Einstein, vedere il contenuto dell’altra sua memoria del 1905 che si pone come naturale prosecuzione di quella fin qui discussa; essa ha per titolo L’inerzia di un corpo è dipendente dal suo contenuto di energia ? ed è di 3 pagine. (892)
Einstein, dopo aver ribadito i fondamenti della sua teoria, richiama un risultato che aveva ricavato nella sua precedente memoria. Egli, nel paragrafo 6 della prima memoria, discutendo della pressione di radiazione ed utilizzando la relazione dell’effetto, Doppler relativistico (da lui discussa nel paragrafo 7), aveva trovato un’espressione per l’energia associata ad un sistema di onde piane nel passaggio da un sistema. S, supposto in quiete, ad un sistema S’ in moto uniforme con velocità v rispetto al primo.(893)
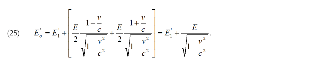
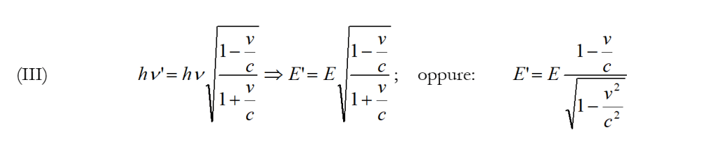
Se un sistema di onde luminose piane possiede l’energia E in un sistema S, esso avrà un’energia E’ misurata dal sistema S’. Nel caso semplice in cui le onde si propagano in una direzione parallela agli assi x ed x’, l’energia E’ sarà data da (si veda la relazione III di nota 893):

Supponiamo ora di avere nel sistema S un corpo in quiete. L’energia di questo corpo sia Eo se misurata in S, sia invece E’o se misurata in S’. Questo corpo, ad•un dato istante, emetta onde luminose piane propagantisi nella direzione dell’asse x.. Sia E/2 l’energia che compete a queste onde che si propagano nel verso positivo dell’asse x ed E/2 l’energia di una uguale quantità di luce che si propaga nel verso negativo dell’asse x (queste energie si intendono misurate nel sistema S. Mentre accade ciò il corpo resti fermo rispetto al sistema S. A questo fenomeno si deve poter applicare il principio di conservazione dell’energia e, per il principio di relatività, ciò va fatto rispetto ad entrambi i sistemi di riferimento (S ed S’). Dopo che il corpo ha emesso luce sia E1 la sua energia misurata in S e sia E’1 la sua energia misurata in S’. Per il principio di conservazione dell’energia, nel sistema S si avrà:
(24) Eo = E1 + [E/2 + E/2]
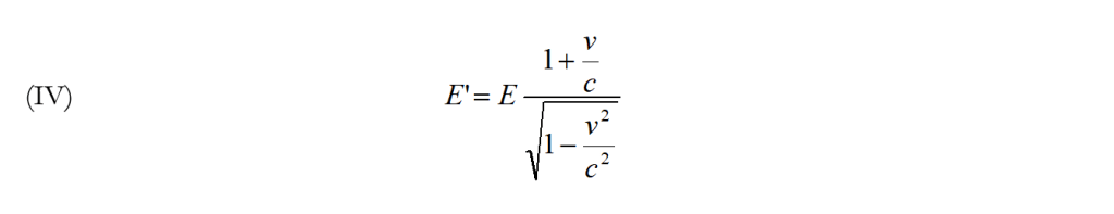
ora, ricordando la (23) e la (IV) di nota 893, in S’ risulterà:

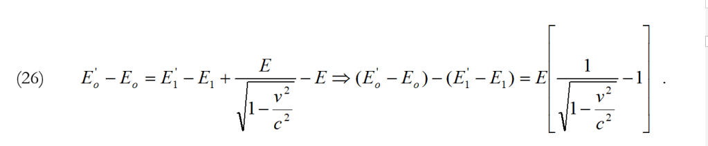
Sottraendo membro a membro alla (25) la (24), si ottiene:

E fin qui sul procedimento di Einstein nessuno ha avuto nulla da ridire. I passaggi successivi però hanno dato adito ad insinuare errori nel procedimento einsteniano.
Secondo Einstein le differenze (E’o – Eo) e (E’1 – E1) che compaiono nella (26) hanno un significato fisico semplice. La prima di esse (E’o – Eo) deve coincidere, a meno di una costante additiva, con l’energia cinetica T’o che aveva il corpo rispetto al sistema S’ (e questo perché il corpo è inizialmente fermo relativamente al sistema S). Allo stesso modo, la seconda differenza (E’1 – E1) sarà l’energia cinetica finale T’1 relativamente al sistema S’ (sempre a meno di una costante additiva che dipenderà, come la precedente, dalla scelta delle costanti arbitrarie delle energie per i sistemi S ed S’). Einstein pone allora:
(27) E’o – Eo = T’o + C e E’1 – E1 = T’1 + C
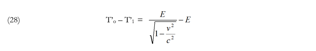
con l’ammissione che la costante C non cambia durante l’emissione di luce. Con le posizioni (27), la (26) diventa allora:

e ciò vuol dire che l’energia cinetica del nostro corpo, rispetto al riferimento S’, diminuisce a seguito dell’emissione della luce e diminuisce di una quantità che risulta, indipendente dalle proprietà del corpo.
E’ interessante poi notare che la variazione T’o – T’1 dell’energia cinetica dipende dalla velocità v con cui il riferimento S’ si muove rispetto al riferimento S, e ciò in accordo con quanto trovato nella relazione (22) per l’energia cinetica dell’elettrone.
Ricordiamo ora uno sviluppo in serie che abbiamo già incontrato al paragrafo 4 del precedente capitolo:

Da quest’ultima relazione si può vedere che, senza variazione della velocità v, si ha una variazione T’o – T’1 dell’energia cinetica. Dovrà allora essere la massa del corpo a variare di una quantità Δm; si dovrà cioè avere: (895)
(30) T’o – T’1 = ½. Δm.v2
Confrontando la (29) e la (30) si vede che:
Δm = E/c2
o, che è lo stesso:
(31) E = Δm.c2. (896)
Einstein, nella conclusione di questo suo breve e fondamentale lavoro, che, come si vede, si pone a coronamento del precedente, afferma:
“Da questa equazione (897) segue immediatamente:
Se un corpo emette l’energia E in forma di radiazione, si diminuisce la sua massa di E/c2 . Qui è evidentemente inessenziale che l’energia sottratta al corpo sia proprio andata in energia di radiazione, così che siamo condotti alla deduzione più generale:
La massa di un corpo è una misura per il suo contenuto di energia; se varia l’energia di E, varia la massa, nello stesso senso di E/9.1020, quando siano misurate l’energia in erg e la massa in grammi.
Non e’ escluso che con corpi dei quali il contenuto di energia è variabile in alta misura (per es. con sali di radio) una prova della teoria possa riuscire. (898)
Se la teoria corrisponde alla realtà delle cose, la radiazione trasporta inerzia tra il corpo emittente e quello assorbente.”
E qui termina la memoria, di Einstein che, unitamente a quella precedentemente discussa, è la base fondamentale della teoria della relatività. A partire da qui una messe di altri lavori, dello stesso Einstein e di molti altri fisici, amplierà, estenderà e generalizzerà questo primo corpo in una teoria (la Relatività Generale) che si estenderà a tentare di costruire una fisica che rendesse ragione in modo unitario dell’intero universo.
Noi non ci spingeremo su questa strada ma cercheremo dapprima di commentare quanto detto in questo paragrafo, quindi, nel prossimo, di riformulare tutta la relatività cinematica e dinamica, che abbiamo ora discusso, in modo più semplice ed intuitivo. Avverto comunque già da ora, completamente d’accordo con D’Agostino, che molto spesso procedimenti algebricamente più semplici nascondono molta fisica. (899)
ALCUNE OSSERVAZIONI
Riallacciandoci alle cose dette nell’introduzione a questo paragrafo, la prima osservazione è relativa al fatto che la trattazione einsteniana, dal punto di vista delle predizioni sperimentali, aggiunge ben poco a quanto già era stato ottenuto, indipendentemente ed in parte contemporaneamente, dagli sviluppi dell’elettrodinamica dei corpi in movimento (in particolare con i lavori di Lorentz e Poincaré). Le equazioni di trasformazione delle coordinate dello spazio e del tempo sono le stesse (mi sto riferendo ai lavori di Lorentz del 1904 e di Poincaré del 1905); le equazioni di trasformazione per i campi elettrici e magnetici hanno la stessa forma; la legge di variazione della massa con la velocità è la stessa. Le novità, sempre dal punto di vista delle predizioni sperimentali, riguardano la composizione delle velocità (si veda la 13), (900) l’equivalenza massa-energia (si veda la 31) e l’effetto Doppler relativistico (si veda la nota 893). Si aggiunga a questo che tutti i fatti sperimentali noti al 1905 erano spiegati tanto dalla teoria di Lorentz quanto da quella di Einstein.
Quali furono allora i motivi per i quali, dopo un breve periodo di accese discussioni, si scelse la strada indicata da Einstein ?
E qui veniamo a dei risultati dell’elaborazione einsteniana che, pur essendo sostanziali novità rispetto ai lavori precedenti, non hanno mai trovato adeguate casse di risonanza.
Innanzitutto Einstein sostituisce all’impalcatura delle 11 ipotesi di Lorentz una teoria che con due postulati fondamentali riassumeva in sé proprio quelle 11 ipotesi (teoria più semplice), risultando inoltre, come vedremo, più generale. Questa, differenza di fondo è messa in luce, con estrema chiarezza, proprio dallo stesso Lorentz nel 1909: (901)
“I risultati [di Einstein] concernenti fenomeni elettromagnetici e ottici … si accordano per lo più con quelli che noi abbiamo ottenuto nelle pagine precedenti, la principale differenza essendo che Einstein semplicemente postula ciò che noi abbiamo dedotto, con qualche difficoltà e non sempre in maniera soddisfacente, dalle equazioni fondamentali del campo elettromagnetico. Nel far ciò egli può certamente aver credito per il fatto di mostrarci nel risultato negativo di esperimenti come quelli di Michelson, Rayleigh e Brace, non una fortuita compensazione di effetti contrastanti, ma la manifestazione di un principio generale e fondamentale …
Sarebbe ingiusto non aggiungere che, oltre l’affascinante audacia del suo punto di partenza, la teoria di Einstein ha un altro significativo vantaggio sulla mia. Laddove io non sono stato capace di ottenere per le equazioni riferite a sistemi di riferimento in moto, esattamente la stessa forma di quelle valide in un sistema stazionario, Einstein vi è riuscito per mezzo di un sistema di nuove variabili leggermente diverso da quello da me introdotto.”
E qui veniamo all’altra scoperta che Einstein fa. Egli trova ciò che, contemporaneamente e del tutto indipendentemente, sta scoprendo Poincaré, e cioè il fatto che le trasformazioni di Lorentz costituiscono un gruppo di trasformazione tale cioè da far si che l’inversa di una trasformazione di Lorentz è ancora una trasformazione di Lorentz (o, che è lo stesso, che applicando successivamente due trasformazioni di Lorentz, si ottiene ancora una trasformazione di Lorentz). Questo fatto, analiticamente, porta all’ovvia conclusione, sulla quale torneremo, che l’arbitraggio dell’etere nei fenomeni fisici deve essere bandito poiché è impossibile evidenziare un moto relativo all’etere. E qui una considerazione è dovuta. Il fatto che Einstein non utilizzi in modo appariscente la sua teoria per mostrare il risultato negativo dell’esperienza di Michelson, non può far altro che suffragare la tesi della non conoscenza approfondita dell’esperienza in questione, da parte del nostro.
Questi fatti, ma soprattutto il primo, hanno probabilmente giocato a favore della teoria di Einstein, come del resto, ma questo alla lunga, la maggiore manipolabilità della teoria di Einstein per elaborazioni successive e la maggiore apertura a priori nella, spiegazione di nuovi fatti sperimentali.
In definitiva, ciò che Lorentz e la sua teoria dovevano rincorrere ogni volta, già dentro i due postulati di Einstein.
Altri fatti, poi, anche se non hanno svolto probabilmente alcun ruolo nel far scegliere fra l’una e l’altra teoria, vanno tenuti presenti per cogliere fino in fondo le profonde differenze esistenti fra i lavori di Lorentz-Poincaré ed Einstein.
Innanzitutto l’etere Sembra banale, ma, da qui in poi non si avrà più a che fare con il tormento della fisica. Come abbiamo visto, già Lorentz aveva privato questa misteriosa sostanza di tutte le proprietà meccaniche eccetto l’immobilità e, non si dimentichi, la sostanzialità. Ora Einstein qualifica come inessenziale il concetto di etere trascendendo l’enunciato di questa negazione nella negazione, ben più importante ed associata all’etere, di spazio e quindi riferimento assoluto. Lo stesso Einstein dice: (902)
“Per quel che riguarda, la natura meccanica dell’etere di Lorentz si può dire, con un certo spirito ludico, che l’immobilità è l’unica proprietà. meccanica della quale Lorentz non lo ha privato. Bisogna aggiungere che l’intero cambiamento introdotto dalla teoria speciale della relatività nella concezione dell’etere consistette nel privare l’etere della, sua ultima proprietà meccanica, l’immobilità.”
D’altra parte, ancora lo stesso Lorentz, non si sentirà di abbandonare il suo punto di vista neanche quando la teoria di Einstein aveva già fatto importanti passi avanti e quando egli stesso ne aveva riconosciuto, in certo qual modo, il primato. Dice Lorentz: (903)
“Credo che qualcosa possa essere vantato nella forma in cui io ho espresso la teoria. Non posso fare a meno di considerare l’etere, che può essere la sede di un campo elettromagnetico con la sua energia e le sue vibrazioni, come dotato di un certo grado di sostanzialità, comunque possa essere differente da tutte le forme di materia ordinaria.”
L’eliminazione dell’etere comporta un’altra conseguenza importante, oltre al fatto che viene eliminato il riferimento materiale assoluto. Ora le modificazioni del campo elettromagnetico hanno sede nello spazio e, in definitiva, campo e spazio vengono unificati; essi diventano reali anche se non sostanziali. Non è cosa da poco. In qualche modo è il programma di Hertz che va avanti, comportando un ulteriore passo in avanti nell’affrancare l’elaborazione teorica da modelli meccanici. E’ il sanzionamento definitivo della nascita della fisica teorica che non sopporta più le costrizioni di un confronto continuo con quei modelli materiali che se da una parte avevano permesso la sua nascita, dall’altra, ora, ne limitavano il suo decollo. Tutto può essere rimesso in discussione senza alcuna limitazione a priori. E, se qualche limitazione si può riscontrare (i principi di conservazione ed attualmente le simmetrie) essa è dovuta solo al bisogno di sicurezze da parte dei fisici e, in ogni caso, alla mancanza di elaborazioni teoriche che comprendano in sé guanto ora è ritenuto irrinunciabile. L’esperienza in senso galileiano passa in secondo piano; la teoria può spaziare per conto proprio e se poi viene un sostegno sperimentale, meglio, ma se non viene si può tranquillamente continuare a lavorare. Poi, tra tante teorie che si accumulano efficientemente ed inutilmente negli istituti di fisica, un giorno qualcuno ne ricaverà qualcosa di utile che permetterà nuovi balzi in avanti funzionali non certo alle curiosità care a qualche luminare ingenuo.
Tornando all’etere, che conseguenze discendono dall’eliminazione del riferimento assoluto ?
Sembrerebbe che tutto resti come prima; sembrerebbe una sola questione di gusto. Infatti contrazione di lunghezze si ha in Lorentz e contrazione di lunghezze si ha in Einstein, tanto per fare un esempio. La differenza è invece sostanziale e discende dal fatto che mentre Einstein è un relativista,
Lorentz non lo è. Ed allora, mentre per quest’ultimo la contrazione nel verso del moto di una data asta rigida ha un significato materiale determinato dalla. velocità v che un oggetto ha rispetto al riferimento assoluto dell’etere (tutti i corpi in moto rispetto all’etere subiscono questa contrazione anche se essa non è direttamente misurabile poiché per farlo occorrerebbe disporre di un regolo di misura che, quando è sovrapposto all’oggetto da misurare in moto, subisce la medesima contrazione); per Einstein la contrazione di una data asta in moto rispetto ad un riferimento considerato in quiete è un effetto della misura, che di questa asta si fa dal riferimento in quiete ( si misura un effetto di contrazione a seguito della costanza di c; in questo caso la contrazione che si misura dipende dalla velocità v con cui l’asta è in moto rispetto all’osservatore; è allora evidente che si misureranno contrazioni differenti per osservatori in moto con velocità differenti, con la conseguenza che non può esistere una contrazione assoluta). Ma, dato il principio di relatività, se si osserva la stessa asta, questa volta supposta immobile, da parte di un osservatore in moto, essa risulterà di nuovo contratta (ed il corpo in moto vedrà una stessa contrazione per un corpo considerato in quiete). Ciò vuol dire che due aste identiche in moto relativo l’una rispetto all’altra si vedranno l’un l’altra contratte (della stessa quantità.!). Ed in definitiva: misure di uno stesso fenomeno da sistemi di riferimento inerziali in moto relativo a velocità differenti daranno risultati differenti.
Qual è il risultato vero, la vera misura, nel nostro esempio, dell’asta ?
Nessuna delle misure effettuate può essere assunta come vera; ciascuna misura, è relativa al sistema di riferimento dal quale è stata effettuata; oppure: tutte le misure sono ugualmente vere.
Se poi solo si pensa a quel che abbiamo trovato per l’elettrodinamica, ci si accorge che qui le differenze sono, se possibile, ancora, più evidenti; l’eliminazione delle asimmetrie è conseguenza dell’eliminazione del riferimento assoluto, rispetto al quale si poteva parlare distintamente di campi elettrici e magnetici; ora non si hanno più campi elettrici e magnetici separati, se non come risultati di misure, ma solo campi elettromagnetici. Le stesse equazioni di trasformazione, poi, per Einstein sono conseguenza dei postulati assunti alla base della teoria, mentre per Lorentz sono strumenti che servono a garantire ima identità formale delle equazioni di Maxwell nel passaggio da un riferimento solidale con l’etere ad un altro in moto traslatorio uniforme rispetto allo stesso etere (fermo restando il fatto che le equazioni vere sono quelle per il sistema immobile rispetto all’etere). A questo proposito dice D’Agostino: (905)
“… Per giustificare l’invarianza delle equazioni di Maxwell (irrinunciabile nella concezione dell’etere stazionario, per giustificare ed es. il trascinamento parziale) Lorentz e’ costretto a postulare trasformazioni matematiche prive di significato fisico.
La sua teoria assume quindi molto spesso una veste puramente matematica. senza una adeguatezza di significati fisici.”
Profonda differenza quindi. Cambiamento radicale di punto di vista. Su questo oggi c’è quasi un completo accordo, al di là delle singole interpretazioni di diversi storici od epistemologi. (906) C’è solo una voce stonata, che merita di essere citata per la grande autorità che ha avuto ed ha; è quella del grande storico della fisica E. Witthaker. Egli, nella sua opera, fondamentale, Storia delle teorie dell’etere e dell’elettricità, del 1951-1953 (si veda bibl. 112), sostiene qualcosa, che lascia realmente sconcertati. Dopo aver assegnato il principio di relatività a Poincaré e lo sviluppo della teoria a Lorentz e Poincaré, testualmente dice: (907)
“… Nell’autunno dello stesso armo (1905), nello stesso volume degli Annalen der Physik in cui era comparso il suo scritto sul moto .Browniano, Einstein pubblicò un articolo nel quale esponeva, con alcuni ampliamenti, la teoria della rdetività di Poincaré e Lorentz che ha riscosso molto interesse. Egli affermò come principio fondamentale la costanza della velocità della luce e cioè che la velocità della luce nel vuoto è la stessa in tutti i sistemi di riferimento in moto l’uno relativamente all’altro: un’affermazione che all’epoca fu accettata con carattere generale, ma, che è stata severamente criticata da autori posteriori. In questo articolo Einstein fornì le modificazioni che debbono essere introdotte nelle formule dell’aberrazione e dell’effetto Doppler.”
E, dopo aver discusso in due pagine dell’effetto Doppler relativistico, Whittaker tace su tutti gli altri aspetti dell’elaborazione einsteniana da noi discussi. (908) Questa posizione venne poi ribadita da Whittaker in un suo scritto del 1955 (909) nel quale, riferendosi al lavoro di Lorentz del 1904 lo chiama ripetutamente il lavoro di Lorentz del 1903. Holton, che discute a fondo le posizioni di Whittaker, a questo proposito osserva: (910)
“Più difficile risulta, discutere quest’articolo di Lorentz del 1903 … In primo luogo questo articolo non esiste … E visto che, per lo più, Whittaker procedette sempre con una squisita attenzione per quel che riguarda le sue innumerevoli citazioni da fonti originali, questo ripetuto lapsus … non è semplicemente un errore. E’, quanto meno, un errore simbolico: simbolico nel senso che i pregiudizi di un biografo interagiscono col suo materiale di lavoro.”
Con questo lapsus Whittaker vorrebbe accreditare l’idea che Einstein abbia letto il lavoro di Lorentz del 1904. Abbiamo già detto e, se il lavoro che ho fatto non è del tutto inutile, si deve essere capito che: anche se Einstein avesse conosciuto questo lavoro, nulla cambierebbe rispetto al rivolgimento radicale che il suo articolo comportò.
E quando si parla di rivolgimento radicale, oltre agli aspetti già discussi, ci si riferisce al nocciolo centrale del, è il caso di dirlo, cambiamento di riferimento operato da Einstein: la sua ridefinizione dei concetti elementari e base della meccanica unitamente ad un approccio metodologico del tutto differente.
In meccanica classica vi sono tre concetti base che sono mutuamente legati da un certo grado di dipendenza. L’esperienza ci permette di osservare moti uniformi: il moto uniforme di un dato oggetto è quello che fa percorrere all’oggetto spazi uguali in tempi uguali. Accettata questa definizione (e chi pensava di discuterla, sembra così innocua !), dalla misura di supposti spazi uguali si risale a quella di tempi conseguentemente uguali. E, in definitiva, moto uniforme, spazio e tempo erano dati come concetti primitivi. Dal fatto poi che il tempo era un concetto primitivo, con esso si poteva operare, ad esempio, per definire due eventi simultanei, come quelli che avvenivano allo stesso tempo (si badi comunque che questa definizione era addirittura un pleonastico).
Con Einstein viene cambiato il ruolo di tempo e simultaneità in questa ultima definizione: due eventi sono simultanei quando forniscono la stessa misura del tempo. Ma, appunto, questi tempi occorre misurarli e, senza dare nulla per scontato sullo scorrere uniforme del tempo, Einstein fornisce il metodo di sincronizzazione che abbiamo visto nelle pagine precedenti. Ebbene, il metodo fornito da Einstein non darebbe alcun risultato nuovo rispetto alla meccanica classica, se, ad esempio, i segnali con cui si possono sincronizzare due orologi avessero velocità infinita. Ma c’è qui il postulato della costanza della velocità della luce che comporta l’essere questa velocità una velocità limite. Come conseguenza discende la differenza nella misura dei tempi per due osservatori in moto relativo (in particolare il tempo rallenta, il suo ritmo per osservatori in moto rispetto a quelli supposti in quiete).
Ma la costanza di c giuoca anche un altro ruolo fondamentale. Riallacciandoci a quanto dicevamo qualche riga più su, in relazione al tempo dato in meccanica classica in modo da presupporre moti uniformi, per poter confrontare dei tempi e poter quindi affermare la loro uguaglianza occorre disporre di moti uniformi. La costanza di c fornisce proprio il moto uniforme che è necessario per definire il tempo.
Inoltre Einstein ammette “l’esistenza di un corpo di riferimento S, la cui condizione di moto è tale che rispetto ad esso valga il principio [d’inerzia] di Galileo“. (912) Assegnato questo riferimento, quello che Einstein suppone in quiete e quello per il quale vale la costanza di c, tutti gli altri riferimenti in moto rettilineo uniforme rispetto al dato riferimento S sono equivalenti, cioè galileiani, cioè inerziali; quindi, per il principio di relatività, la costanza della velocità della luce è data anche su questi altri sistemi e, d’altra parte, il principio di relatività si applica solo ad essi.
Quindi Einstein pone alla base della sua teoria dei dati assoluti: la costanza di c, il principio di relatività ed il sistema inerziale. Credo che questa ricerca dell’assoluto, del definito, abbia giocato un qualche ruolo nella nascita della relatività., tant’è vero che, come ricorda Holton, (913) nei primi due anni successivi al 1905, Einstein nella sua corrispondenza chiamava la sua teoria con il nome di “Teoria degli invarianti“. E’ interessante notare che anche Planck riconoscerà di essersi avvicinato alla relatività poiché la vedeva come una teoria degli invarianti. Dice Plance: (914)
“… Bisogna guardarsi dal trarre conseguenze positive da parole e termini la cui scelta non fu sotto ogni riguardo felice. La teoria della relatività ha permesso di trovare il valore assoluto dell’energia, e chi si limitasse a riconoscere la necessità di una relativizzazione dello spazio e del tempo, senza domandarsi dove conduca questa relativizzazione, dimostrerebbe alquanta superficialità, di pensiero. Che certi concetti, a cui si era attribuito per molto tempo un valore assoluto, si dimostrassero poi validi soltanto in senso relativo, è accaduto molte volte nella storia della scienza, e di regola fu un segno di fondamentale progresso. Con ciò l’assoluto non era eliminato, ma soltanto spostato. Negare l’assoluto, secondo me, equivarrebbe a negare che un determinato evento abbia una causa, (915) semplicemente quella che per un certo tempo fu ritenuta la causa risultò poi non essere tale.
No, non si può rendere tutto relativo, come non si può definire e dimostrare tutto. Ogni definizione di concetto deve sempre partire almeno da un concetto che non abbisogna di nessuna definizione, ogni dimostrazione deve fare uso di una premessa riconosciuta vera senza dimostrazione; ed allo stesso modo ogni relativo deve ricollegarsi, in ultima analisi, a qualche assoluto che sta a sé.. Altrimenti il concetto, o la dimostrazione, o il relativo, sta sospeso in aria, come un vestito per il quale non si trova un chiodo a cui appenderlo. L’assoluto costituisce il punto di partenza fisso e necessario; occorre soltanto cercarlo al punto giusto.”
Con questo abbiamo accennato a vari aspetti delle problematiche poste dalla relatività ristretta di Einstein.
E dell’esperienza di Michelson, che molti, costruendo una storia di comodo, pongono come la motivazione principale per la nascita della relatività, che ne è di questa esperienza ?
Sembrerebbe a questo punto che il suo ruolo sia diventato secondario, nel senso che le problematiche non ruotano intorno ad essa. E le cose stanno proprio così, o meglio quell’esperienza aiutò molto la relatività nel suo affermarsi ma in un senso diverso da quello comunemente assegnatogli. Fu proprio la semplicità con cui la spiegazione dell’esperienza di Michelson rientrava nella nuova teoria, che giocò un ruolo importante a favore di essa, specialmente per quel che riguarda l’accettazione della relatività da parte del mondo dei fisici.
In definitiva, nonostante ciò che Einstein diceva della sua teoria (essenzialmente un avanzamento nelle ricerche teoriche sull’elettrodinamica), (916) la relatività non si pone come teoria che serve alla spiegazione di vari aspetti particolari (917) o, detto meglio, questa teoria si pone nei fatti non come conclusione di un processo, ma piuttosto come inizio di una nuova epoca.
Certo che a questo punto potrebbe cominciare tutta un’altra storia. Sarebbe almeno altrettanto lunga e forse più interessante poiché è la storia delle scelte che, per la fisica, sono state fatte altrove e che, per esempio, relegano alcuni Paesi a ricerche di prestigio e non fondamentali in nome della divisione internazionale del lavoro che nel nostro mondo occidentale significa lo strapotere degli Stati Uniti. Ma, ripeto, questa è un’altra storia che uomini di cultura non del tutto rimbambiti dalla società dei consumi e dall’apparente benessere, dovrebbero denunciare con forza, se non altro per permettere un nuovo balzo in avanti della scienza (che sempre si accompagna all’affermazione di nuove classi sociali).
Quello che faremo è molto più banale. Nel prossimo paragrafo tenteremo di divulgare la cinematica e la dinamica relativistiche.
NOTE
(892) Si veda la nota 827.
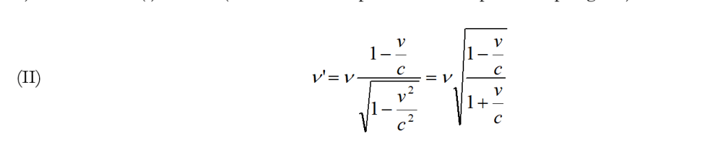
(893) La relazione trovata da Einstein per l’effetto Doppler relativistico è del tutto generale, nel senso che è ricavata per un sistema di onde luminose che si propagano, a partire dall’origine O di un dato sistema S, lungo una direzione formante un angolo φ qualunque con l’asse x. Essa è:

dove ν è la frequenza dell’onda luminosa nel sistema S in quiete, mentre ν’ è la frequenza misurata da un osservatore in moto con velocità v (sistema S’).
Nel caso in cui l’onda si propaghi lungo la direzione dell’asse x risulta φ = 0 (da cui cos φ = 1) e la relazione (I) diventa (noi la troveremo per altra via nel prossimo paragrafo):

E’ evidente che sarebbe possibile da questa, ma anche dall’altra, espressione dell’effetto Doppler risalire alle equazioni di trasformazione per l’energia trasportata dall’onda luminosa. Basta infatti introdurre i quanti di luce (ricordando che E = hν) e moltiplicare il primo e l’ultimo membro della (II) per la costante h di Planck (che si suppone non vari nel passaggio da S ad S’), per avere:

Einstein comunque non scelse questa strada, anche se aveva gli strumenti per farlo (si ricordi l’articolo sui quanti di luce che precedeva, questo) ed anche se, certamente, egli dovette essere mosso ad elaborare l’articolo di cui stiamo discutendo dai risultati del suo precedente articolo relativi al fatto che la frequenza della luce varia con il moto dell’osservatore [effetto Doppler descritto dalla (II)] con una stessa relazione che vale per l’energia della luce (III); egli preferì invece ricavare l’ultima delle (III) con altre considerazioni (si veda il lavoro di Einstein in bibl. 174, pagg.497-498). Si noti che, nel caso in cui le onde si propaghino nel verso delle x decrescenti, l’ultima delle (III) diventa:

(894) In particolare, come dice M. Jammer (bibl. 160, pagg.181-183), H.E. Ives (1952) ha dimostrato l’illegittimità logica della deduzione einsteniana. Secondo Jammer, la formula E = m2 che trova Einstein non è altro che una petitio principii, “la conclusione cioè dell’aver posto il quesito”. Vedremo in nota 896 le obiezioni al procedimento di Einstein.
(895) Si noti che Einstein elabora esplicitamente fino alla relazione (29). La (30) e la (31) qui aggiunte si desumono dalle conclusioni dell’articolo come si vedrà tra un istante.
(896) Vediamo in breve quali sono le obiezioni a questo procedimento, almeno a partire dalla (26). Seguirò le argomentazioni portate da Jammer (si veda la nota 894). Jammer osserva che le posizioni (27) che Einstein fa sono erronee. Con il solito significato dei simboli e chiamando inoltre con mo ed m1, la massa del corpo misurata da S, rispettivamente prima e dopo l’emissione di luce, per le energie del corpo (rispetto ad S) prima e dopo l’emissione, si può solo scrivere (ma data già la conoscenza, di E = mc2):

Sottraendo dalla prima la seconda, si ottiene:

Sostituendo quanto ora ricavato al secondo membro della (26) si ha:
(E’o – Eo) – (E’1 – E1) = E/(Δm.c2).(T’o – T’1)
e considerare questa espressione come differenza tra due relazioni:
E’o – Eo = E/(Δm.c2).(T’o + C) ; E’1 – E1 = E/(Δm.c2).(T’1 + C)
Confrontando quanto ora trovato con le posizioni (27) di Einstein, si vede che quest’ultimo involontariamente suppone quanto c’è da dimostrare, e cioè che:
E/(Δm.c2) = 1 -> E = Δm.c2 .
Ma lo stesso Jammer osserva che ciò non va a demerito di Einstein innanzitutto perché “la relazione fra massa ed energia è una conseguenza necessaria della teoria della relatività e si può dedurre dalle ipotesi fondamentali della teoria con vari metodi” come del resto lo stesso Einstein fece in diversi lavori successivi del 1906, 1907, 1935 (bibl . 160, pag.l83, nota24). Nel prossimo paragrafo ricaveremo l’equivalenza massa-energia in uno tra i modi più semplici.
(897) Einstein si sta riferendo alla (29).
(898) Si noti come Einstein è al corrente di una vasta letteratura scientifica. Qui fa riferimento ai lavori di Marie e Pierre Curie sul radio (lavori che si susseguirono dal 1898 in poi).
(899) Bibl. 130, pag. 31.
(900) Lorentz accettava la composizione galileiana delle velocità che gli forniva la velocità assoluta rispetto all’etere. Egli introduceva poi un nuovo vettore velocità per il riferimento in moto (S’). Osserva D’Agostino: “Le velocità nel sistema … S’ non sono quindi introdotte in base ad un principio … , ma sono considerate … posizioni di carattere algebrico, semplificatrici di passaggi algebrici”. (bibl. 130, pag. 23).
(901) Citato in bibl. 54, pag. 267. Brano tratto dalla Teoria degli elettroni (1909) di Lorentz.
(902) In: Einstein, Ether and Relativity, Methuen, Londra 1922; pagg. 10-11.
(903) Citato in bibl. 54, pag. 267 (si veda la nota 901). Per rendere conto di quanto l’etere fosse radicato, è interessante ricordare che il fisico tedesco Ph. Lenard (1862-1947) elaborò nel 1921 una teoria che prevedeva l’esistenza di due eteri: l’etere di base, immobile e riempiente di sé tutto lo spazio senza alcuna relazione con la materia ponderabile, nel quale si propagano con velocità c tutte le onde elettromagnetiche; l’etere che riguarda la materia ponderabile, anche se distinto da essa. Con questi eteri Lenard. spiegò i fatti sperimentali noti e probabilmente, oggi, con un numero infinito di eteri si potrebbe spiegare anche la creazione. Si veda comunque bibl. 149, Vol. 2, pagg. 473-476.
(904) Per un. confronto dettagliato tra le descrizioni di Lorentz e di Einstein per uno stesso fenomeno, si veda bibl. 111, pagg. 371-374.
E’ interessante riportare la posizione di Reichenbach su questo punto. Egli dice (bibl. 229, pag.223): “Perché la teoria di Einstein è migliore di quella di Lorentz ? Sarebbe errato argomentare che la teoria di Einstein ci fornisce una spiegazione dell’esperimento di Michelson, giacché non ce le fornisce. L’esperimento di Michelson viene semplicemente accolto come un assioma. Tuttavia la teoria di Einstein è superiore alla teoria di Lorentz poiché rinuncia ad una spiegazione dell’esperimento di Michelson in termini di una contrazione. La spiegazione data dalla teoria di Lorentz costituisce la sua debolezza. Essa assume che le relazioni classiche siano evidenti per se stesse e postula scorrettamente che qualsiasi deviazione da queste relazioni debba avere una causa. La teoria di Einstein ricorre alla. arbitrarietà della definizione coordinativa per il confronto fra le lunghezze in quiete di segmenti in movimento, e chiama eguali i due regoli se essi si comportano in accordo con l’esperimento di Michelson. La superiorità della teoria di Einstein consiste nel riconoscimento della legittimità epistemologica di un procedimento del genere” .
(905) Bibl. 130, pag. 23. Sottolineatura mia.
(906) Su questi aspetti si può vedere Bergia in bibl. 163, pagg. 257-291 e in bibl. 148, pagg. 36-48. E’ interessante sottolineare ciò che Bergia afferma con molta chiarezza e che mi trova d’accordo: in mancanza di oggettivi criteri ‘interni’ di scelta tra la teoria di Lorentz e quella di Einstein, occorre rivolgersi a criteri ‘esterni’, che riguardino cioè i rapporti della scienza. con una data società e con le richieste del mondo della produzione di questa società.
(907) Bibl. 112, Vol.2, pag,.40. L’ultima sottolineatura è mia.
(908) Con motivazioni certamente diverse, un duro attacco alla relatività, ed in genere all’opera di Einstein, venne anche da molti scienziati e uomini di cultura nazisti. Come certamente si sa, Einstein era ebreo e nel 1933 dovette abbandonare la Germania, nella quale occupava la cattedra di fisica teorica a Berlino, a seguito delle violente persecuzioni razziali. Tra i pochi scienziati tedeschi rimasti al servizio del nazismo, Heisenberg occupò la sua cattedra e P. Jordan gli dedicò queste parole:
“Nel più ampio cerchio dell’opinione pubblica è stato espresso da molti lati il parere che la posizione negativa presa dal Terzo Reich nei confronti della personalità politica di A. Einstein debba condurre anche ad una condanna della teoria della relatività. A proposito di questo malinteso bisogna però osservare che oltre ad Einstein tutta una serie di altri scienziati ha portato contributi essenziali alla teoria della relatività … e, di più, che i principi fisici espressi nella teoria della relatività sarebbero sgorgati inevitabilmente dalla realtà sperimentale per logica conseguenza, anche se Einstein non fosse mai vissuto.” (Bibl. 183, pag. 36).
Quindi Heisenberg va ad occupare la più prestigiosa cattedra di fisica teorica del mondo solo perché, di fatto, Einstein viene allontanato, e gli altri, i rimasti, si affannano a mostrare che Einstein è stato solo un incidente nel cammino ariano alla scoperta scientifica.
(909) Biographical Memoirs of Fellows of the Royal Society, Londra 1955. Si veda allo scopo quanto sostiene Holton nel suo lavoro On the Origins of the Special Theory of Relativity, American Journal of Physics, 28, 1-9; 1960 (si veda bibl. 184, pagg. 111-118).
(910) Ibidem, pag. 117.
(911) Si ricordi che, in base al principio di relatività, gli osservatori in moto vedono il tempo degli osservatori in quiete che rallenta esattamente allo stesso modo. Si noti che la definizione di simultaneità data da Einstein non è del tutto esente da critiche. Come osserva Dugas, a parte quei prestigiosi regoli ed orologi che possono servire solo per un’esperienza mentale, “quando gli orologi del sistema S’ battono in generale i tempi t’, Einstein non esita a mettere in evidenza che la simultaneità che egli introduce non ha altro che un significato relativo, a far trovare nel sistema S’ degli orologi che, in ogni punto dello spazio, battono il tempo locale t del sistema S” (bibl. 149, Vol. 2, pagg. 476-477).
(912) Sono parole di Einstein tratte da bibl. 178, pag. 91.
(913) Bibl. 127, pag. 305.
(914) Nello scritto Dal relativo all’assoluto (1924). Bibl 153, pag. 153. Analoghi concetti furono sostenuti da Plance nella sua postuma Autobiografia scientifica (bibl. 185, pag. 29). In quest’ultima, tra l’altro, si legge la bella e significativa frase: “La solita frase tutto è relativo è ambigua e priva di senso”.
(915) Anche Einstein teneva molto alla continuità causale e l’articolo sulla relatività è un esempio di ciò. Born, amico di Einstein, sosterrà, a proposito dell’insieme dei lavori di Einstein del 1905, “leggendo questi scritti [i primi due articoli] si è portati a credere che in quel periodo l’aspetto statistico della fisica fosse per Einstein quello preponderante; eppure, proprio in quello stesso periodo, egli stava elaborando la teoria della relatività in cui vige una causalità rigorosa. Sembra ch’egli sia sempre stato convinto, e lo è tutt’ora [1947], che le ultime leggi della natura siano causali e deterministiche, che la probabilità serva a coprire la nostra ignoranza quando abbiamo a che fare con numerose particelle, e che solo la vastità di questa ignoranza porti in primo piano la statistica” (bibl. l68, pagg. 112-113) .
Su questi aspetti si può anche vedere la corrispondenza Einstein-Born (bibl. 104).
(916) Letteralmente Einstein sostenne (1948) che: “La teoria della relatività ristretta, che era semplicemente un’estensione sistematica dell’elettrodinamica di Maxwell e di Lorentz, ebbe delle conseguenze che andarono oltre i suoi limiti” (bibl. 161, pag. 214. Sottolineatura mia).
(917) E’ ancora la posizione di Einstein schierato dalla parte della fisica dei principi. Questa posizione, espressa con chiarezza da Einstein nel 1948 (si veda la nota 705) è esemplificata in una lettera al suo amico M. Besso del 1918. Egli dice che “una teoria che voglia meritare fiducia deve basarsi su fatti generalizzabili. Esempi antichi: I postulati fondamentali della termodinamica [basati] sulla impossibilità del perpetuo mobile. La meccanica [basata] su una legge d’inerzia compresa completamente. La teoria cinetica dei gas [basata] sull’equivalenza tra il calore e l’energia meccanica (anche storicamente). La relatività speciale sulla costanza della velocità della luce e le equazioni di Maxwell nel vuoto, che a loro volta sono fondate su basi empiriche … Relatività generale: equivalenza tra la massa inerziale e quella, gravitazionale. Mai è esistita una teoria. Veramente utile e profonda che fosse speculativa.” (citato da Holton, bibl. 127, pag. 179).
Un’osservazione la merita quest’ultima frase ed è relativa allo scopo per il quale era stata inviata la lettera. Einstein cercava di mostrare a Besso che egli mai si era distaccato da Mach, fondando tutta la sua ricerca su fatti. Ma, nonostante ciò, Mach aveva duramente criticato la relatività. Nella prefazione ai suoi Principi di ottica fisica (1921), pubblicato postumo nel 1921 (cinque anni dopo la morte di Mach), Mach aveva scritto (1913), tra l’altro, “La ragione per la quale respingo l’attuale teoria della relatività, che trovo sempre più dogmatica, ed il grado con cui lo faccio, insieme con le ragioni particolari che mi hanno portato a queste idee – considerazioni basate sulla fisiologia dei sensi, su dubbi epistemologici, e soprattutto dall’interpretazione dei miei esperimenti – saranno trattate in una appendice” che mai, purtroppo, fu pubblicata. (Citato da Holton in bibl. 127, pag.181) .
Evidentemente i fatti di Mach erano ben altra cosa rispetto ai fatti di Einstein.
Categorie:Senza categoria
Rispondi