Roberto Renzetti
Quando si inizia una ricerca scientifica, si ha in mente un’idea del mondo ? Detto meglio: tutti coloro che intraprendono una ricerca scientifica hanno a priori un riferimento filosofico, una qualche convinzione a priori che indirizzi le sue ricerche ? Non credo che quanto sto tentando di comunicare sia comprensibile a chi non ha lavorato in prima persona nel campo o a chi non abbia letto quanto scritto da (pochi) studiosi sull’argomento. Occorre fare esempi che siano contundenti e di segno univoco perché si capisca la portata di questo problema.
Uno di tali esempi è clamoroso ed ha fatto molto discutere oltre a farlo ancora. Si tratta di alcune concezioni alla base della fisica dell’Ottocento mentre si passava da un modo ad un altro di intendere i fenomeni naturali.
Non sarò esaustivo perché è impossibile esserlo in un lavoro non enciclopedico, ma alcune cose si possono ricavare qua e là.
In linea del tutto generale sul finire del Settecento vi è in Europa l’affermazione della ragione sulla metafisica. La metafisica, la religione, il cristianesimo, costituivano un baluardo dei sistemi di potere arcaici, violenti, autoritari. La lotta dell’uomo per emanciparsi da questo potere non poteva che passare attraverso la lotta contro il potere delle gerarchie ecclesiastiche. La situazione emblematica è quella francese dell’epoca della Rivoluzione. Se tentiamo di guardare questo periodo attraverso il cammino della descrizione fisica non ingenua del mondo naturale ci troviamo di fronte ad un paio di secoli molto significativi. Una descrizione razionale del mondo, sganciata da necessità o voleri metafisici, si ha con Galileo nella prima metà del Seicento. Si prescinde dal “Dio che ha voluto così“, dall’insondabile, dai misteri, dall’incomprensibile, da ciò che non può essere conosciuto, … e si inizia umilmente a descrivere le cose, fin dalle più semplici, cercandone delle leggi di comportamento valide dovunque nelle medesime condizioni. L’approccio è umile ma l’impresa è difficilissima perché si tratta, oltre alla difficoltà intrinseca dei problemi da risolvere, di costruire un vocabolario nuovo e soprattutto univoco. Galileo getta le basi di questo discorso praticamente infinito nelle sue uscite e l’indeterminatezza logica dei suoi lavori apre ad una gran quantità di altri ricercatori. Parallelamente però tutti coloro che affidavano le loro fortune ai misteri del mondo reagirono con brutalità e, finché ne hanno avuta la possibilità, hanno fatto di questa reazione strumento di morte intravedendo nei germi della conoscenza razionale una inesorabile caduta del loro potere.
Già Cartesio stravolge le cose realizzate con somma fatica da Galileo. La metafisica che era stata messa da parte per la comprensione del mondo naturale ritorna prepotentemente addirittura per la sua spiegazione. Se ci si chiede qual è la causa del moto, Cartesio risponde che è Dio e se l’indagine va oltre si scopre che il moto si conserva perché Dio mai toglie ciò che ha dato.
Con Newton l’approccio alla conoscenza del mondo cambia ancora. La strada seguita sembra essere quella di Galileo ma in realtà non è così. Vengono introdotte delle ipotesi su spazio, tempo e materia dentro le quali vengono sistemate le leggi fisiche. Non è più la sola esperienza alla base della conoscenza sensibile ma alla conoscenza razionale vengono sovrapposte teorie generali apparentemente impossibili da verificare sperimentalmente. Sparisce però Dio che resta come convinzione personale dello scienziato e non interviene nelle leggi del moto e del mondo. La cosa fece tanto scalpore che Newton dovette aggiungere un capitolo conclusivo al suo lavoro principale in cui diceva che era sottintesa la presenza di Dio dovunque, tanto più che, in assenza di conservazione dell’energia, era proprio Dio che ridava qualche colpetto a qualche pianeta che avesse deciso di smetterla di ruotare. Ciò non convinse tanto che la fisica di Newton verrà bollata come meccanicista (un quasi materialismo): il mondo, messo in moto da Dio, fa poi a meno di esso e continua da solo la sua marcia con leggi che l’uomo è in grado di scoprire e comprendere.
C’è intanto da fare una osservazione. Che c’entra Dio nella spiegazione del mondo ? La cosa poteva avere un significato in un’epoca in cui la Chiesa era infiltrata in tutti i gangli della società. Ma oggi ? Il riferimento religioso può essere una motivazione personale ma certamente non sociale. L’analisi di questo problema potrebbe portarci al di là della buona fede fino al convenzionalismo interessato. Ad esempio: essere in Italia contro la ricerca sulle cellule staminali embrionali se è del singolo individuo, un fatto di coscienza, non si vede perché un tale ricercatore non si dimette dal suo ente di ricerca. Più che mai non si vede perché debbano esservi norme che vietino tali ricerche negli enti pubblici. Ma tutto questo argomentare ci porterebbe troppo lontano e lo lascio qui.
Resta il fatto che, ancora a fine Settecento, Dio era un referente per ogni attività umana e, particolarmente scientifica. Più che l’evanescente Dio, il vero referente era la Chiesa che dalla ricerca scientifica temeva la messa in discussione dei suoi dogmi metafisici. Se però si entra nella posizione personale, nelle convinzioni, del singolo ricercatore si scopre che egli abbraccia una determinata posizione o quella antagonista indipendentemente dalle sue convinzioni religiose. In particolare, personaggi che incontreremo come Ampère e Faraday erano ambedue credenti, direi molto legati alle loro convinzioni religiose di cristiani, pur sostenendo posizioni scientificamente opposte.
C’è piuttosto da chiedersi chi guida e può modificare un indirizzo di ricerca in senso lato. Può la scienza far cambiare posizioni filosofiche ? Oppure può la filosofia far modificare l’approccio ad una ricerca scientifica ? Le cose sono complesse da indagare ma sembra di poter dire che se qualche crisi nelle interpretazioni e descrizioni del mondo vi sono esse non sono dovute ad un intervento di una critica filosofica. Semmai è vero il fatto che novità in ambito scientifico comportano crisi nelle descrizioni filosofiche del mondo. Spingendo oltre queste note si può aggiungere che se la filosofia aveva un suo peso fino alla fine dell’Ottocento perché interveniva con qualche conoscenza di causa dell’argomento scientifico del contendere, da allora sempre più la scienza è rimasta a descrizioni complessive senza più comprendere cosa la scienza stesse facendo.
Mettiamoci più terra terra cercando di capire. Quando si è all’interno di un filone di ricerca e si sviluppano concetti già definiti, in genere, non si pongono problemi che invece si pongono di fronte ad un fatto nuovo che la natura ci offre. Per razionalizzare la novità occorre capire alcune cose. Innanzitutto se essa è riconducibile a fatti già noti e ciò è suggerito da un principio elementare al quale l’uomo ricorre, quello di maggior semplicità o, se si vuole, al principio del minimo sforzo. Se questa prima operazione non dà risultati iniziano ipotesi nuove che, mi spiace per chi crede il contrario, ma non vanno mai ad interrogare una posizione filosofica e tantomeno religiosa. Si tenta uno scanner delle conoscenze scientifiche che uno possiede per tentare di ricondurre la novità ad una di esse. Si forza la matematica nota per tentare di riportare un comportamento all’interno di una descrizione che, in linea di principio, torni con quanto si conosce. All’interno di questo approccio teorico si possono inventare ipotesi che però debbono avere verifiche interne molto strette. Se tali verifiche vengono trovate allora iniziamo a pensare che la nostra descrizione funziona e, solo dopo, cerchiamo di capire se è o meno riconducibile ai canoni noti ed accettati. Se qualcuno, ad inizio d’opera, avanza una teoria diversa senza che essa sia sostenuta da nulla (intendo da una qualche evidenza o trattazione formale), prima di accettare la nuova teoria si cerca in tutti i modi di ricondurre quanto sembra nuovo in ambiti noti. La nuova teoria proposta sarà sviluppata tentando di vedere se essa riesce a superare gli ostacoli eventualmente incontrati nella trattazione tradizionale solo se quest’ultima non è riuscita a essere esplicativa in modo convincente.
CONFLITTI
A fine Settecento venne scoperto uno strano fenomeno elettrico che sembrava non essere spiegabile con ciò che si conosceva. Non entrerò qui in tutti gli interessantissimi dettagli di questa storia perché l’ho già ampiamente fatto altrove. Mi interessa invece una comprensione rapida di quanto accadeva per arrivare a discutere altro. In quegli anni segnati da grandi sommovimenti politici, la fisica era diventata la regina delle scienze, in questo sostenuta anche da Kant che la esaltava perché era stata in grado di inserire nei suoi strumenti di indagine l’analisi matematica. Il grande scienziato esemplificativo del lavoro del fisico era Newton. Egli era riuscito a dare una descrizione del mondo che rasentava la perfezione: tutto era compreso e ricondotto, dal più elementare dei fenomeni alla gravitazione del sistema solare, a leggi semplici, a forze agenti tra corpo e corpo (non importa quali) lungo la linea retta che li congiungeva. Più in dettaglio questa azione rettilinea tra corpi avveniva quando essi erano distanti a piacere in un tempo zero. Ciò vuol dire che dato un corpo, messogliene uno vicino ad una data distanza, i due corpi iniziavano ad agire tra loro istantaneamente. E dire che una azione avviene in tempo zero vuol dire che essa ha una velocità infinita. Non so ed ora non interessa sapere se Newton si fosse reso conto di ogni implicazione; resta il fatto che tutto il mondo meccanico del grande scienziato era basato su ipotesi sottostanti enunciate con chiarezza all’inizio del suo lavoro (spazio, tempo, moto, luogo distinguendo tra assoluti e relativi, veri e apparenti, matematici e comuni). Nonostante però alcune definizioni definibili solo come metafisiche (spazio e tempo assoluti), Newton afferma di non inventare ipotesi Qualunque cosa, infatti, non deducibile dai fenomeni va chiamata ipotesi; e nella filosofia sperimentale non trovano posto le ipotesi sia metafisiche, sia fisiche, sia delle qualità occulte, sia meccaniche. In questa filosofia le proposizioni vengono dedotte dai fenomeni, e sono rese generali per induzione. Resterebbe da discutere il senso dell’ipotesi in Newton ma, per certo e come accennato, egli usa l’ipotesi ogni volta che essa manifesti la sua fecondità per comprendere, interpretare, studiare altri fenomeni; come punto di partenza, quindi, ed eventualmente da rimettere in discussione o da cambiare radicalmente quando la strada aperta da quell’ipotesi dimostri la sterilità della stessa. Sarebbe infatti del tutto impossibile fare scienza senza servirsi di ipotesi da indagare. L’importante è che alla fine il giudizio sia dell’esperienza e non di qualche tribunale, magari dell’Inquisizione.
Con Newton abbiamo a che fare con uno scienziato che inizia con ogni fecondità ad identificare la matematica e la meccanica attraverso una concezione realistica della prima, che ne rifiutava quindi l’astrattezza (in particolare il rifiuto dell’astrattezza, ad esempio, in geometria lo porta ad assegnare una realtà fisica allo spazio euclideo o meglio a sovrapporre le due immagini di spazio fisico e spazio euclideo). E’ una strada molto complessa perché richiede la comprensione del tutto astratta del dove appendere variabili e del come studiarle, del sapere distinguere tra variabili finite ed infinitesime (Considero qui le grandezze matematiche non come costituite di parti piccole a piacere, ma come generate da un moto continuo… Queste generazioni hanno veramente luogo in natura, e si osservano ogni giorno nel movimento dei corpi) e del fidarsi di quanto la matematica elabora. La matematica è quindi elemento indispensabile per testare la teoria ed essa fa tutt’uno con le impostazioni del problema perché permette di definire la univocità logica della teoria medesima e di ogni ipotesi introdotta. Ma prima di ricorrere ad una qualche teoria occorre l’attenta osservazione del fenomeno che dovrà essere compreso all’interno di dati oggettivi che lo circondano. Se si discute, ad esempio, di fenomeni cinematici occorrerà disporre di univoci concetti di spazio, tempo e luogo e la cosa non è per nulla banale. Newton dedica a questo difficile compito molte pagine arrivando alla conclusione che nel passato si era incorsi in molti errori proprio per voler considerare lo spazio, il tempo ed il luogo riferiti a cose sensibili (lo spazio come quell’ “entità” compresa da una determinata sfera, il tempo come qualcosa di legato al giorno ed alla notte e comunque a vari fenomeni periodici, il luogo come una nozione da riferire a particolari caratteristiche fisiche che differiscono appunto da quelle di altro luogo. Newton assegna invece una validità autonoma ai singoli concetti testé citati e, ad esempio, dà vita propria al tempo assoluto non legandolo, come era stato fatto nel passato, al movimento (ricordiamo che secondo Aristotele il tempo si desume dal movimento). Quello che, invece, noi percepiamo è il tempo relativo che ha attinenza con fenomeni per i quali è possibile misurare una durata. Anche per quanto riguarda lo spazio la situazione è analoga: noi percepiamo solo quello spazio che è oggetto di misure sensibili (spazio relativo) ma non riusciamo a renderci conto dello spazio assoluto proprio perché esso, essendo omogeneo e indifferenziato, non presenta, ad esempio, dei riferimenti dai quali partire per misurarlo. Il luogo, parte di spazio occupata da un corpo, è invece qualcosa di percepibile anche se rimane da riferirlo o allo spazio relativo o a quello assoluto. Definiti così spazio, tempo e luogo, discende facilmente la distinzione esistente tra moto assoluto e moto relativo, il primo essendo la traslazione di un corpo da luogo assoluto a luogo assoluto, il secondo da luogo relativo a luogo relativo. C’è subito da osservare: come mai Newton non sceglie il cielo delle stelle fisse come riferimento assoluto, e si imbarca invece in un’impresa che sarà poi oggetto di aspre critiche ? Egli era cosciente del fatto che ogni cosa che dovesse avere caratteristiche di assolutezza non doveva essere legata a cose sensibili ed anche se le stelle fisse avevano fino ad allora dato grosse garanzie Newton temeva (come poi è accaduto, ad esempio, con Mach) che in futuro non fossero più in grado di darle (Halley scoprì infatti nel 1718 che le stelle fisse non sono fisse). Newton in definitiva attrezza un possente apparato che ha lo scopo di rispondere ad ogni obiezione che potrebbe sorgere da una attenta discussione della sua fisica. Non entro ora in una valutazione sulla giustezza o meno dell’apparato che Newton mise su. Mi serve solo di osservare che egli ritenne indispensabile quell’apparato, un apparato che oggi neppure si cita quando si discutono le leggi del moto di Newton.
Per ciò che ora interessa si deve osservare che l’intero apparato newtoniano rappresentava un mondo ordinato in cui le azioni, dentro quello spazio fantastico (assoluto ed immobile), erano, come accennato, rettilinee, istantanee a distanza oltre ad essere azioni che variano con l’inverso del quadrato della distanza tra i corpi agenti(1). Queste azioni sembravano non discutibili perché nessun fatto le metteva, almeno apparentemente in discussione. Come si comportava allora un ricercatore che si era educato sui testi di Newton ? Indagava i vari fenomeni ricercando azioni alla Newton. Può essere criticabile a piacere una tale posizione ma, a nessuno veniva in mente di ipotizzare azioni di tipo differente. E così si ebbero due effetti all’interno di tutto il Settecento: da una parte l’elaborazione scientifica crebbe poco perché i più ritenevano che Newton avesse fatto tutto ed era quindi inutile imbarcarsi in altre ricerche; dall’altra le poche ricerche che si facevano erano condannate alla ricerca di azioni alla Newton. In realtà quanto ora detto è un approccio che semplifica molto e non coglie qualcosa dimolto importante che maturava in quel secolo. L’opera di Newton veniva analizzata in ogni dettaglio, scandagliata fino all’inverosimile attraverso una ferrea applicazione della matematica su di essa. Vi fu quindi lo sviluppo di una matematica estremamente avanzata e sofisticata, matematica che trovò applicazione nella Meccanica di Newton che fu trasformata in Meccanica Razionale. Ogni moto, ogni forza, ogni equilibrio venne studiato in ogni minimo dettaglio costruendo un apparato matematico che se da una parte era superbo, dall’altra scoraggiava molti giovani ricercatori a cimentarsi con esso. Sembrava che non si elaborasse niente in fisica se non fosse trattato matematicamente in modo esaustivo. Questo era un aspetto delle ricerche settecentesche. L’altro era l’individuare per forza azioni di tipo newtoniano (rettilinee, istantanee, a distanza) in ogni fenomeno che spuntasse empiricamente da qualche parte. E questi fenomeni spuntarono presto in ambito elettrico e magnetico, con spiegazioni o tentativi da parte di un francese e di un inglese. I primi, l’attrazione o repulsione tra cariche elettriche, furono studiati da Coulomb (circa 1780) che scrisse una legge di forza che è l’analogo elettrico della legge di gravitazione universale (la Legge di Coulomb funziona poco e solo sotto strette condizioni). Il secondo fenomeno, quello dell’attrazione o repulsione tra poli magnetici, ebbe ancora una legge analoga a quella di gravitazione universale ad opera di John Michell (circa 1750) ma purtroppo per lui era una vera bufala(2).
Quindi, agli inizi dell’Ottocento, la fisica di Newton spiegava praticamente tutto (restava in sospeso l’azione dei poli magnetici ed altre questioni relative alle trasformazioni di calore in lavoro). Era il primo sistema strutturato in grado di intervenire dovunque e dare, presto o tardi, risposte. Sembra evidente che, al presentarsi nuovi fenomeni, non immediatamente compresi, si facesse ricorso ai mezzi più sofisiticati che l’evoluzione della fisica di Newton nella Meccanica Razionale, attraverso quella potente matematica, aveva permesso.
Nel 1820 arrivò un semplice fenomeno che dette moltissimo da discutere e molto da elaborare sia teoricamente che matematicamente: il danese Oersted aveva mostrato che un filo conduttore attraversato da corrente voltaica faceva ruotare un ago magnetico posto nelle vicinanze. La rotazione avveniva su un piano perpendicolare alla congiungente filo-ago.

Fig. 1 – Esperienza di Oersted. Si noti che l’ago ruota parallelamente al piano d’appoggio dell’apparato e non dirige una sua estremità verso il filo.
LA FILOSOFIA DELLA NATURA
Oersted è un esempio emblematico di uno scienziato che trova un fenomeno fisico mosso dalle sue convinzioni filosofiche, egli era infatti un convinto seguace della Filosofia della Natura (Naturphilosophie) che, in ambito di pensiero romantico, era stata sviluppata dal filosofo tedesco Schelling. Vediamo un poco più in dettaglio.
Inizio con il mettere a futuro buon fine una delle cose che Kant, nella Prefazione alla seconda edizione della Critica della Ragion Pura, sosteneva: la ragione scorge soltanto ciò che essa stessa produce secondo il proprio disegno […] ed essa deve procedere innanzi coi principi dei suoi giudizi secondo leggi stabili, costringendo la natura a rispondere alle proprie domande, senza lasciarsi guidare da essa come fossimo dei bambini. In caso diverso le nostre osservazioni accidentali, fatte senza un piano preciso, non trovano connessione in alcuna delle leggi necessarie di cui invece la ragione va alla ricerca ed ha impellente bisogno. Ciò vuol dire che l’osservazione empirica slegata da una elaborazione teorica è poca cosa e che la ragione ricerca invece il ricondurre esperienze empiriche a leggi stabili. E’ quindi a quelle leggi che uno scienziato mira e, se non ha trovato una nuova legge stabile, dovrà affidarsi alle leggi note.
La filosofia che si sviluppa a cavallo del Settecento ed Ottocento va, in linea di massima, sotto il nome di idealismo. Si tratta di negare il materialismo dando il massimo risalto alla potenza dello spirito, dell’idea, del pensiero sulla materia. Le speculazioni che per un secolo avevano preso le mosse da Newton, considerato un materialista, avevano portato a negare il diritto divino dei regnanti sostenuti da una Chiesa che viene ridimensionata al suo ruolo che non può essere di supporto al potere. La chiave di volta di quel periodo è la Rivoluzione Francese che è figlia del materialismo e del razionalismo illuminista ma i cui ideali non furono esportati da Diderot e D’Alembert ma da Napoleone con un forte risentimento contro quella formazione culturale che era vista alla base dell’oppressione militare. Il primo movimento di rottura con il pur evanescente Illuminismo tedesco è quello dello Sturm und Drang. Gli appartenenti ad esso (gli sturmer) ebbero molto in comune con gli illuministi, soprattutto divisero con loro la dura condanna per l’ancien regime, l’interesse per la natura e lo spirito laico; nel contempo, però, si distaccarono radicalmente da essi nel sostituire la categoria del genio a quella della razionalità. Ma l’autentico superamento dell’Illuminismo tedesco sarà rappresentato dal criticismo kantiano. Kant, che si muoveva all’interno dell’Illuminismo (essendone un appassionato difensore), si impadronì delle esigenze di razionalità di esso, studiò i fondamenti di tali esigenze ed arrivò a scoprirne i limiti. Sulla strada aperta da Kant iniziò a muoversi J.G. Fichte (1762- 1814) che ben presto si distaccherà dal maestro per imboccare la strada della filosofia idealista che in poco tempo si imporrà a tutta la Germania. Non è certo questa la sede per indagare la complessità, e l’eterogeneità del pensiero tedesco, delle posizioni assunte, dei temi affrontati e degli sviluppi che, in sede speculativa, ne conseguirono. Basti solo dire che i principali indirizzi di pensiero assunsero caratteristiche sempre più anti illuministiche e nazionalistiche.
Per contrastare il materialismo occorreva mostrare che la materia praticamente non esiste, che è un’illusione, la produzione di fenomeni rapportabili al pensiero, all’idea, allo spirito (così molte menti si dedicheranno in questo periodo storico a disquisire dottamente su cosa è materia e su come appare a noi). La realtà è conoscibile per vie irrazionali come sentimento, intuizione, immaginazione (ed ecco che ritorna in primo la religione). La ragione continua in un ambito di nuova razionalità nella quale la ragione è un potere infinito (l’Io, l’Idea, lo Spirito), uno spirito assoluto che non ha nulla a che vedere con la razionalità umana. La natura non è più costretta negli ambiti ristretti della visione meccanicista ma diventa viva ed organica, qualcosa che non è già realizzata ma che si sta realizzando e crescendo. Dall’orologio come simbolo si passa all’albero. In questa visione la verità è una creazione umana. Per contrastare il materialismo insito nel meccanicismo (l’identificazione tra materialismo e meccanicismo è di Hegel) occorreva mostrare che la materia praticamente non esiste, che è un’illusione, la produzione di fenomeni rapportabili al pensiero, all’idea, allo spirito (così molte menti si dedicheranno in questo periodo storico a disquisire dottamente su cosa è materia e su come appare a noi). La realtà è conoscibile per vie irrazionali come sentimento, intuizione, immaginazione (ed ecco che ritorna in primo la religione). La ragione continua in un ambito di nuova razionalità nella quale la ragione è un potere infinito (l’Io, l’Idea, lo Spirito), uno spirito assoluto che non ha nulla a che vedere con la razionalità umana. La natura non è più costretta negli ambiti ristretti della visione meccanicista ma diventa viva ed organica, qualcosa che non è già realizzata ma che si sta realizzando e crescendo. Dall’orologio come simbolo si passa all’albero. In questa visione la verità è una creazione umana.
I filosofi idealisti faranno a gara a richiamarsi a Kant mentre quest’ultimo non si stancava di ripetere che questo riferimento alla sua opera mostrava che gli idealisti non avevano capito nulla. In particolare, in riferimento esplicito a Fichte, Kant scriveva: Un proverbio italiano dice: «dagli amici mi guardi Iddio che dai nemici mi guardo io». Vi sono infatti amici sinceri, animati dalle migliori intenzioni, ma che nella scelta dei mezzi per favorire i nostri propositi si comportano goffamente, e finiscono con lo sragionare; ma vi sono anche dei cosiddetti amici, ipocriti, maligni, che mirano alla nostra rovina e che pure adoperano un linguaggio pieno di rispetto, nei confronti dei quali, e dei lacci che tendono, non si sta mai abbastanza in guardia [dal testo di Cesa]. Ma il loro idealismo non aveva nulla a che fare con l’idealismo trascendentale di Kant (i fenomeni sono semplici rappresentazioni e non cose in sé) che per lo stesso Kant non era in contraddizione con il realismo empirico (che afferma l’esistenza delle cose nello spazio esterno a noi) ma di sostegno al suo. Nella filosofia idealista si stabilisce una nuova relazione tra Filosofia, Scienza e Religione. Il metodo dialettico permetterebbe alla filosofia di conquistare il primato sulla scienza che non è più considerata come modello per investigare e speculare. La scienza per antonomasia è la metafisica e la Religione è una espressione imperfetta della metafisica.
Per ciò che riguarda direttamente quanto voglio discutere, in Germania le speculazioni di Kant daranno l’avvio al movimento della Naturphilosophie che, se da una parte rappresenterà un freno all’affermarsi e all’evolversi della scienza, dall’altraporrà i germi per i grandi sviluppi della scienza tedesca della seconda metà del XIX secolo. Il più autorevole pensatore della Naturphilosophie fu certamente Friedrich Wilhelm Joseph von Schelling (1775 – 1854) le cui radici di pensiero si possono ritrovare nei lavori di Leibniz (1646 – 1716) di Boscovich e, appunto, di Kant.
Secondo Schelling il meccanicismo fisico non rende ragione dell’esistenza della natura. Egli scriveva:
La rappresentazione comune non conosce alcunché di superiore, posto fuori e sopra la natura, che non sia lo spirito. Ma se soltanto tentassimo di concepire la forza vitale come principio spirituale, ne annulleremmo con ciò stesso il concetto. Infatti si chiama forza ciò che, almeno come principio, possiamo porre alla sommità della scienza della natura, e ciò che, anche se in se stesso non è spiegabile, è però determinabile, nel suo modo di agire, mediante leggi fisiche. Ma di come uno spirito possa agire fisicamente non abbiamo il minimo concetto, e perciò non possiamo neppure chiamare un principio spirituale con il nome di forza vitale, espressione che esprime almeno la speranza di poter fare agire quel principio secondo leggi fisiche. Ma se rinunciamo, com’è necessario fare, a questo concetto di una forza vitale, siamo costretti a rifugiarci in un sistema completamente opposto, nel quale spirito e materia stanno ancora l’uno in opposizione all’altra: sebbene ora riusciamo tanto poco a capire come lo spirito possa agire sulla materia, quanto poco prima capivamo come la materia potesse agire sullo spirito […].
Se racchiudiamo la natura in una totalità, si trovano di fronte il meccanismo, cioè una serie di cause ed effetti che scorre dall’alto in basso, e il finalismo, cioè l’indipendenza dal meccanismo, la contemporaneità di cause ed effetti. Se raccogliamo insieme anche questi estremi, sorge in noi l’idea di una banalità del tutto: la natura diviene un circolo che scorre su se stesso, un sistema chiuso in se stesso. La serie delle cause e degli effetti scompare completamente e genera una relazione reciproca di mezzo e fine: il singolo non potrebbe esistere senza il tutto, né il tutto potrebbe divenire effettivamente reale senza il singolo […].
… noi vogliamo non già che la natura concordi accidentalmente (e magari per la mediazione di una terza cosa) con le leggi del nostro spirito, ma che in se stessa necessariamente ed originariamente non soltanto esprima ma realizzi veramente le leggi del nostro spirito, e che essa sia e si chiami natura solo in quanto essa faccia ciò.
La natura deve essere lo spirito visibile, lo spirito la natura invisibile. Qui dunque, nell’assoluta unità dello spirito in noi e della natura fuori di noi, deve risolversi il problema di come una natura sia possibile fuori di noi. La meta ultima delle nostre ulteriori ricerche è perciò questa idea della natura: se riusciremo a raggiungerla, potremo anche essere certi di aver fatto abbastanza per quel problema [dal testo di Cesa].
In un alro passo di Schelling, troviamo addirittura la messa in discussione della matematica utilizzata per trattare questioni fisiche:
Non avendo in sé la materia alcun principio vitale, e dato che si voleva risparmiare un intervento dello spirito su di essa che servisse di spiegazione ai fenomeni più alti, al movimento arbitrario e simili, si finì con l’ammettere, per spiegare gli effetti più prossimi, qualcosa fuori di essa che fosse, per così dire, solo materia, e che, negando le sue proprietà più caratteristiche (la gravità ecc.), avrebbe dovuto avvicinarsi a un concetto negativo di spirito (inteso come sostanza immateriale) – come se in questo modo il contrasto di entrambi fosse stato aggirato, o almeno diminuito. Anche ammettendo la possibilità del concetto di materie imponderabili e incoercibili pure, nella materia, con quel tipo di spiegazione, tutto venne introdotto per intervento dall’esterno; la morte sarebbe stata così il prius, e la vita il derivato.
Ma se anche il meccanismo fosse riuscito, con la sua spiegazione, a rendere completamente comprensibili quei fenomeni, sarebbe pur sempre stato come se qualcuno che volesse interpretare Omero o un qualsiasi autore cominciasse a spiegare la forma dei caratteri di stampa, in qual modo essi sono stati composti e infine stampati – e concludesse che da tutto ciò è nata quell’opera. È più o meno ciò che è successo con quelle che finora, in fisica, sono state gabellate per costruzioni matematiche. Già prima abbiamo rilevato che le forme matematiche sono adoperate, secondo quel metodo, in modo meramente meccanico. Non sono cioè i fondamenti essenziali dei fenomeni, fondamenti che sono posti, piuttosto, in qualcosa di estraneo e di empirico – per esempio, nel caso dei movimenti dei corpi celesti, in una spinta che essi hanno ricevuto da una parte. È vero che con d’applicazione della matematica si è imparato a predire le distanze tra i pianeti, il tempo delle loro rotazioni e delle loro ricomparse; non si è però così minimamente spiegato l’essenza o l’in-sé di questi movimenti. La cosiddetta teoria matematica della natura è dunque finora un vuoto formalismo, nel quale non si riscontra alcuna traccia di una vera scienza della natura [dal testo di Cesa].
Più oltre Schelling illustra il ruolo dell’esperimento:
L’opposizione che di solito viene stabilita tra teoria ed esperienza non vuol dire propriamente niente, e ciò già per il fatto che nel concetto di teoria è implicito il riferimento a una particolarità, e pertanto all’esperienza. La scienza assoluta non è teoria, e il concetto di quest’ultima si colloca piuttosto in quella confusa mescolanza di universale e particolare in cui è impigliato il sapere volgare. La teoria può differenziarsi dall’esperienza solo a patto di esprimere quest’ultima più astrattamente, e nella sua forma più originaria, libera da condizioni contingenti. Ma è compito anche dell’esperimento trarre alla luce tale forma, e rappresentare puramente, in ogni fenomeno, l’agire della natura; entrambe stanno allo stesso livello. Non si vede pertanto come una ricerca sperimentale della natura possa ritenersi in qualche misura superiore alla teoria, poiché soltanto da quest’ultima essa viene guidata; senza l’ispirazione della teoria non potrebbe nemmeno porre alla natura (come si suol dire) quelle domande, dalla cui pertinenza dipende la chiarezza delle risposte che la natura dà. Entrambe hanno in comune che il loro punto di approdo è sempre l’oggetto determinato, non un sapere universale ed assoluto. Entrambe, se restano fedeli al loro concetto, sono diverse dal falso teoretizzare che si propone di spiegare i fenomeni naturali, e a questo scopo inventa le cause; entrambe si limitano infatti al mero enunciare o esporre i fenomeni, e sono in questo analoghe alla costruzione, che anch’essa non si preoccupa affatto dello spiegare [dal testo di Cesa].
Risulta chiaro che la concezione meccanicista di materia come un qualcosa di inerte fino a che su di essa non agiscono forze, entità diverse e separate dalla materia è, secondo Schelling, l’ammissione di una discontinuità tra materia e spirito (tra natura e uomo) che non corrisponde alla unità originaria di queste due entità, per esempio, nell’organismo vivente. Schelling, nelle sue Ideen zu einer Philosophie der Natur (Idee per una filosofia della natura, 1797), Von der Weltseele (Sull’anima del mondo, 1798), Erster Entwurf eines Systems der Naturphilosophie (Primo abbozzo di un sistema della Filosofia della Natura, 1799), sosteneva che è lo spirito (le forze) che si organizza in materia e pone quindi le forze, agenti tra punti inestesi, con i loro “conflitti e trasformazioni” alla base dell’esistenza del mondo (dinamismo fisico). Non c’è più materia allora ma c’è una particolare modificazione di una determinata zona dello spazio dovuta appunto ai conflitti ed alle trasformazioni delle forze (spirito) eterne e preesistenti ma anche convertibili le une nelle altre. In definitiva si affermava che tutto lo spazio fosse riempito da forze in permanente conflitto e trasformazione; si credeva che calore, luce, elettricità e magnetismo fossero particolari manifestazioni di queste forze; si vedeva l’origine dei fenomeni sensibili dalla unità di natura e spirito in un «assoluto» metafisico. La natura è quindi unitaria ma dinamicamente poiché è in un mutamento continuo regolato dalle trasformazioni delle forze. I seguaci della Naturphilosophie cercarono costantemente un principio che unificasse tutti i fenomeni naturali. Lo stesso Schelling scriveva: I fenomeni magnetici, elettrici, chimici, ed addirittura quelli organici dovrebbero essere interconnessi formando una grande unità […] che comprende tutto il mondo naturale. […] Non c’è dubbio che una sola forza, nelle sue varie forme, si manifesta nella luce, nell’elettricità e così di seguito [Citato da Kuhn].
Si tenga conto che elementi non immediatamente riconducibili al meccanicismo fisico nascevano senz’altro dalla spiegazione dei processi biologici che i newtoniani insistevano a voler ricondurre ad esso (Goethe, nel suo saggio Zur Farbenlehre o Teoria dei colori del 1810, bollò questa pretesa come inaccettabile). Inoltre le scoperte di quegli anni del galvanismo (1789) e della pila di Volta (1800), che il meccanicismo non aveva ancora spiegato esaurientemente, avevano aperto campi di indagine e di polemica in cui si inserirono efficacemente le speculazioni romantiche nella loro offensiva generale contro il meccanicismo.
Per capire in quale contesto di idee ci si muoveva sono utili alcune brevi citazioni, a cominciare da Fichte. Scriveva il nostro: la dottrina della scienza è la ricerca del molteplice per via del passaggio ragionato dal dato e non dato (1801). E’ questo solo un assaggio del modo di ragionare degli idealisti: si trattava di rendere dotte delle affermazioni prive di senso o con molto senso ma nascosto. Hegel, colui il cui pensiero ha riempito di sé mezza Europa nell’Ottocento, è il campione di tutto questo. Il grande pensatore, guardato da chi si occupa di scienza, risulta un monumentale ignorante che pretenderà, di determinare le leggi della natura a priori, ricavandole semplicemente su basi metafisiche. Non discuto delle sue opinioni sulla scienza, detestabili ma lecite, ma del suo entrare in alcune elaborazioni, ad esempio fisiche, senza che avesse capito l’abc di esse. Vediamo qualche esempio tratto dalla sua Enciclopedia delle scienze filosofiche, vol 1 (Laterza, 1967) in cui Hegel scrive della luce:
§ 276 – … La materia grave è divisibile in masse, perché è quantità ed essere per sé concreto, ma, nell’idealità del tutto astratta della luce, non vi è alcuna distinzione siffatta: una limitazione della luce, nel suo infinito espandersi, non toglie la sua assoluta connessione in sé. L’idea di raggi luminosi discreti e semplici, e di particelle e fasci di essi, dei quali deve consistere una luce limitata nella sua espansione, fa parte di quelle barbariche categorie, che Newton in ispecie ha rese dominanti nella fisica. E l’esperienza più comune che la luce, come non può mettersi in sacchi, così non si può isolare in raggi e stringere insieme in fasci di raggi …
Come si può capire qui ci imbattiamo nella negazione di una ipotesi fisica in base ad un pregiudizio di inesistenza della realtà che discende da un preteso fatto sperimentale che vuole toccare la realtà negata. Strano modo di procedere che viene reiterato più oltre:
§ 320 – … E non solo il barbarismo, ma l’improprietà e la scorrettezza delle osservazioni e degli esperimenti di Newton, e non meno l’insipidezza di essi, anzi perfino, come il Goethe ha mostrato, la loro malafede. …
Il nostro prosegue imperterrito incurante di vergogna e consimili:
§ 303 – Il calore è il ricostituirsi della materia nella sua informità, la sua fluidità, il trionfo della sua omogeneità astratta sulle determinazioni specifiche: la sua continuità astratta, che è solo in sé, come negazione della negazione, è qui posta come attività. Formalmente, cioè in relazione alla determinazione spaziale in genere, il calore appare come dilatante, come quello che toglie la limitazione, la quale è lo specificarsi dell’occupazione indifferente dello spazio.
Riguardo alla meccanica, a partire dallo spazio e tempo per arrivare alla materia, il nostro raggiunge l’apice della sua imbecillità:
SPAZIO
§ 254 – La prima o immediata determinazione della natura è l’universalità astratta della sua esteriorità; la cui indifferenza priva di mediazione è lo spazio. Lo spazio è in giustapposizione del tutto ideale, perché è l’esser fuori di se stesso, e semplicemente continuo, perché questa esteriorità è ancora del tutto astratta, e non ha in sé alcuna differenza determinata. […] Lo spazio è pure quantità; soltanto non più la quantità come determinazione logica, ma come determinazione immediata ed esteriore. La natura perciò comincia non col qualitativo, ma col quantitativo, perché la sua determinazione non è, come l’esser logico, il primo astratto e l’immediato, ma è già essenzialmente il mediato in sé, l’essere che è esteriormente ed è altro.
[…]
TEMPO
§ 257 – La negatività,che si riferisce come punto allo spazio e vi svolge le sue determinazioni come linea e superficie, è nella sfera dell’esteriorità altresì per sé, e pone colà dentro le sue determinazioni, ma insieme in modo conforme all’esteriorità; e vi appare come indifferente verso la giustapposizione immobile. La negatività, posta così, è il tempo [e chi non ha capito è … non un idealista, ndr].
§ 258 – Il tempo, unità negativa dell’esteriorità, è alcunché di semplicemente astratto e ideale. – Il tempo è l’essere che, mentre è, non è, e mentre non è, è; il divenire intuito; il che vuol dire che le differenze semplicemente momentanee, ossia che si negano immediatamente, sono determinate quali differenze estrinseche, cioè esterne a se stesse.
Il tempo è come lo spazio, una pura forma della sensibilità o dell’intuizione, è il sensibile insensibile; – ma, come allo spazio, così anche al tempo niente preme la differenza dell’oggettività, e di una coscienza soggettiva, che le stia di fronte. […] Il tempo è continuo, non meno dello spazio; giacché esso è la negatività, che astrattamente riferisce sé a sé, e in questa astrazione non vi è ancora alcuna differenza reale. […]
MATERIA E MOVIMENTO. MECCANICA FINITA
§ 262 – La materia, di fronte alla sua identità con se stessa, mediante il momento della sua negatività e della sua individuazione astratta, si mantiene frazionata; ed è questa la repulsione della materia. Ma
egualmente essenziale […] è l’unità negativa di questo essere per sé, che è frazionato; la materia è perciò continua; e questo è la sua attrazione.
Queste piccole citazioni, neppure le più clamorose, mostrano a che livello era scesa nella mente degli idealisti la natura e la sua descrizione razionale. Hegel l’apprendista teologo a Tubinga dove studiò per 15 anni, risvegliatosi al mondo reale lo vede attraverso le lenti deformanti del puritanesimo religioso. Niente di male se non si interviene come visto in quel modo barbaro sui faticosissimi lavori degli scienziati da Newton in poi.
Altro spessore, pur sempre idealista, è quello di Goethe. Nel suo The Experiment As Mediator between Object and Subject, Goethe sosteneva l’impossibilità di utilizzare un singolo esperimento per arrivare ad affermare la verità di una teoria. Per Goethe, occorreva innanzitutto stabilire il legame tra vari fenomeni simili ammonendo sui pericoli della creatività umana nell’inventare teorie. Il suo approccio alla scienza si avvicinò a quello della Naturphilosophie con l’esposizione di un metodo secondo il quale occorreva servirsi di una serie di esperimenti contigui derivati l’uno dall’altro che avrebbero avuto maggiore affidabilità dell’esperimento cruciale di Newton (letteralmente: quando ci si trova ad un bivio, ad un crocevia, ad una croce in senso lato, e si è in dubbio su quale strada scegliere, ci si interroga in proposito. E l’experimentum crucis è l’esperimento che, di fronte a due possibilità, ci dice quale è quella corretta. Ad esempio, si può discettare quanto si vuole sulla velocità della luce, se maggiore o minore in mezzi più densi. Una esperienza che misuri la velocità della luce nell’acqua e ne confronti il valore con quella nell’aria è un experimentum crucis), nella determinazione della teoria che sta dietro i fenomeni osservabili. Un esperimento sarebbe cruciale solo se esso elimina in modo conclusivo ogni possibile insieme di premesse esplicative salvo una. In alternativa, una serie di esperimenti darebbe risultati maggiormente significativi perché fornirebbe più informazioni intorno ai fenomeni in studio. Ogni esperimento ne induce un altro e tutti gli esperimenti messi insieme fornirebbero una teoria più completa. Goethe aggiungeva che le più grandi scoperte non sono realizzate dall’uomo ma dal tempo. […] Ed allo stesso modo vale la pena che ciascun singolo esperimento riceva la sua reale validazione solo quando è unito o combinato con altri esperimenti. Si può considerare questa posizione assimilabile a quella di Schelling intendendo con i successivi differenti esperimenti una sorta di forza che si manifesta in differenti forme ed è unificata dalla teoria, con l’avvertenza che ora la parola teoria può dar adito ad equivoci (ad esempio: dire la teoria della natura della luce o dire la teoria di Coulomb dei due fluidi che rapporto ha con la teoria dell’elettromagnetismo ? In almeno un secolo si sono sviluppate molte teorie separate di una o più teorie fino ai lavori di Maxwell che hanno unificato le differenti teorie, prodotto di differenti scienziati formati a differenti scuole filosofiche, sia ispirate a Newton che a Goethe). In definitiva Schelling e Goethe condividevano la tesi della fondamentale unità della natura. Piuttosto che essere considerati come differenti oggetti di studio, i fenomeni e le forze della natura dovevano essere considerate come differenti manifestazioni di una singola sottostante e onnicomprensiva causa. Resta una questione. Se anche gli idealisti ritengono l’esperienza indispensabile per conoscere il mondo esterno, in cosa la Filosofia della Natura i distingue dall’empirismo ? La risposta è all’interno delle elaborazioni della Naturphilosophie. La natura deve essere interrogata senza ipotesi precostituite e senza pensare di trarre da essa alcun utile (ad esempio, le piante vanno studiate in sé e non perché da esse si possano ricavare medicinali). Tralasciando la questione dell’utile, sull’altra una cosa si può dire. E’ certamente vero (anche se molti filosofi non lo sanno) che l’approccio ad una esperienza è impossibile senza una teoria a priori, un pregiudizio, senza che uno non abbia in mente cosa dall’esperienza debba risultare. Ma questo, come ho più su citato, era ben chiaro a Schelling in questo non in accordo con gli altri idealisti. L’idea balzana che uno abbia davanti degli strumenti e, senza idee preconcette si metta a giocare con essi trovando una qualche legge la lasciamo ai seguaci di presunti storici e agli idealisti.
Ora, pur nei limiti imposti da un lavoro necessariamente limitato, questo insieme di pensieri, in gran parte etimologicamente mostruosi e/o stravaganti, avrebbe modificato il modo di lavorare, di pensare, di fare scienza dei fisici e ricercatori a cavallo tra Settecento ed Ottocento ? Pur nell’ammissione che il ruolo della filosofia, rifugio delle menti libere dalle asfissianti teologie, era di gran lunga superiore allora rispetto ad oggi, resta il fatto che con niente non si modifica nulla. Si può certamente pensare che ormai il contesto newtoniano avesse terminato di essere esplicativo ed in grado di far progredire la scienza. E ciò può senz’altro apparire ragionevole anche perché gli esiti di una costruzione fisica possente non è detto che debbano fornire materiale per descrivere la natura per sempre, anzi. Già ho accennato al fatto che la perfezione intrinseca dei lavori di Newton bloccarono la ricerca fisica per circa 100 anni e chi si aggirava da quelle parti cercava una qualche via di uscita. Anche oggi dopo le sensazionali fisiche relativistica e quantistica che hanno occupato il primo trentennio del Novecento, siamo quasi paralizzati ed impantanati alla ricerca di una qualche uscita. La drammatizzazione (come scriveva Bellone) del passaggio dalla fisica newtoniana con le sue azioni rettilinee ed istantanee a distanza alla, per intenderci, teoria di campo è un’operazione a posteriori fatta soprattutto dai filosofi della scienza che certamente hanno dato enormi contributi alla comprensione di varie fasi dello sviluppo del pensiero scientifico ma, altrettanto certamente, si sono mossi sempre a posteriori con teorie non epistemologicamente falsificabili. A parte alcuni grandi personaggi che hanno insegnato molte cose a tutti, certamente a me (Holton, Elkanà, Lakatòs, Kuhn, Bunge, …), in genere i filosofi entrano senza scrupoli con i piedi in un piatto che non conoscono. Come fanno i filosofi, particolarmente alcuni sedicenti filosofi della scienza, a raccontarci la scienza ? Leggono le divulgazioni. Non possono leggere le opere originali in quanto, a partire almeno da Huygens e da Newton la scienza fisica è una scienza che si serve del linguaggio matematico, come intuì perfettamente Galileo iniziando a formalizzare i fenomeni che la natura ci offre. Lo stesso Kant aveva sostenuto, ad esempio, che le vere scienze sono quelle che utilizzano gli strumenti dell’analisi matematica (ed in tal senso, all’epoca, sosteneva che la chimica non era una vera scienza proprio perché non faceva uso dell’analisi). La conoscenza della matematica, appunto, che non è un vezzo che vive di vita autonoma ma di uno strumento ultrapotente di indagine e di verifica delle ipotesi introdotte, è indispensabile per capire i contenuti delle scienze, soprattutto se poi si vogliono discutere tali contenuti, non in un salotto. Come il pentagramma, le note ed il tempo sono il linguaggio e l’anima della musica (che io non riesco a leggere, rammaricandomene moltissimo), la matematica è il linguaggio della fisica. Il matematizzare dei fenomeni fisici corrisponde al renderli in una lingua più idonea, con il vantaggio che poi su quella matematica si può lavorare per trarre, se ve ne sono, ulteriori conseguenze anche nel senso del mettere in crisi i ragionamenti che si erano fatti. E’ un poco l’introduzione di uno strumento logico che si aggiunge a quello descrittivo. E’ un controllo simultaneo di estrema efficacia e potenzialità. E’ portatore di uscite laterali a volte non previste. Eppure vi sono filosofi che discettano ex cathedra di questioni fisiche senza conoscere la matematica. Come se io tentassi una incursione nella musica, nella sua tecnica costruttiva che si affianca certamente all’ispirazione artistica. Ed io neppure tento di entrare a disquisire di Hegel o Heiddeger se non per le loro parti in cui, come già detto, mettono i piedi nel mio piatto. Ma i filosofi, quelli cui mi riferisco, non hanno scrupoli. Per loro il mondo è un accidente di loro proprietà e nessuno li fermerà dal disquisire su tutto e sul tutto. E’ un vezzo antico che aveva un suo significato profondo proprio fino alla metà del Settecento, quando iniziò a sparire il pensatore complessivo (è noto a tutti che fino alla fine del Seicento i filosofi erano intellettuali complessivi. Bastano gli esempi di Cartesio, di Leibniz, dello stesso Newton, di Galileo, … Chi si occupava con maggiore interesse a questioni di scienza era il filosofo naturale) per lasciar posto via via allo scienziato ed al filosofo in senso lato. E’ certamente vero che ancora i filosofi potranno argomentare di scienza financo di quella contemporanea e di quella più sofisticata in termini di linguaggio matematico. Mi sembra ragionevole, in tal caso, un requisito indispensabile che non smetterò di richiedere, pena il considerare chi non lo possiede e parla di scienza un cialtrone: la conoscenza del linguaggio in cui sono scritti i lavori dei fisici (e di molte scienze) e cioè della matematica. Io non amo Popper ma gli riconosco una notevole competenza matematica (si leggano: La logica della scoperta scientifica ed i tre volumi del Post Scriptum). Analogamente i precedentemente citati.
Da quanto detto, a parte le considerazioni di Goethe, non è che sia molto chiaro il cammino che uno scienziato deve percorrere, quali i suoi compiti, quali i suoi strumenti, quale il suo metodo, nell’ipotesi che vi sia uno di questi strumenti. Ma poi, vi è un cammino definibile in qualche modo ? Sta di fatto che Oersted trasse ispirazione dalla Naturphilosophie per cercare l’esistenza del conflitto di forze nella natura. Egli credette di avere trovato tale conflitto, tra elettricità e magnetismo, nella sua esperienza. Ripeto, l’esperienza nelle attrezzature e fenomenologia è semplice ma estremamente complessa da ricondurre a qualche teoria o linea guida. E’ chiaro che era compito fondamentale dei newtoniani ricondurla alla ragione, a trovare cioè l’apparato formale e concettuale che la rendesse un differente modo di presentarsi delle azioni istantanee a distanza regolate dalla legge dell’inverso del quadrato della distanza tra i soggetti agenti. Sgomberando il campo da possibili e ripetuti preconcetti, seguiamo gli avvenimenti che si ebbero nei primi anni dell’Ottocento, a partire dall’esperienza di Oersted che, nella mente del suo ideatore e realizzatore avrebbe dovuto mostrare l’esistenza del conflitto di forze ed essere la conseguente dimostrazione del fallimento delle azioni alla Newton.
OERSTED. ARAGO.
Dopo molti anni di tentativi disparati, Oersted riuscì ad evidenziare in una esperienza una azione che si presentava in modo del tutto differente da quelle di tipo newtoniano: un filo conduttore, se disposto parallelamente ad un ago magnetico, vede l’ago ruotare di 90º e disporsi perpendicolarmente al filo, quando in esso viene fatta circolare corrente.

Fig. 2 – Esperienza di Oersted

Fig. 3 – Disegno originale di Oersted del fenomeno da lui osservato (la lettera O indica l’Est)
Questo tipo di azione, come già detto, si svolge su di un piano perpendicolare alla congiungente filo-ago e consiste in una rotazione dell’ago medesimo risultando, come dice Oersted, ‘circolare’. Oersted, nel condurre l’esperienza, muove l’ago nello spazio circostante il filo e si accorge che, se la rotazione avviene in un senso con l’ago disposto sotto il filo, essa avviene in senso opposto se si dispone l’ago sopra il filo. Per Oersted quindi, le forze magnetiche sono distribuite nello spazio che circonda il filo e, data la simmetria degli spostamenti dell’ago, conclude che le forze magnetiche sono costituite da cerchi “poiché è nella natura dei cerchi che movimenti da parti opposte debbano avere opposte direzioni” (oggi diremmo che le linee di forza del campo magnetico intorno ad un filo rettilineo percorso da corrente, sezionando il filo con un piano ad esso perpendicolare, hanno la forma di circonferenze concentriche al filo).
Questo tipo di azione non sembrava più riconducibile alle forze centrali. Sono proprio le forze secondo un moderno modo di vedere, che riempiono tutto lo spazio e quindi che esistono sia lungo la congiungente filo-ago sia lungo la normale a questa congiungente che rendono possibile la deviazione dell’ago. Lo stesso Öersted, dopo aver premesso che:
«all’effetto che ha luogo nel [filo] conduttore e nello spazio circostante, daremo il nome di conflitto elettrico»,
e dopo essersi accertato degli effetti di simmetria:
«se si colloca il filo conduttore in un piano orizzontale sotto l’ago magnetico, si hanno gli stessi effetti come se il filo fosse posto in un piano al di sopra dell’ago, però in direzione opposta»,
sosteneva:
« … Il conflitto elettrico non è racchiuso nel conduttore ma, come abbiamo già detto, è al medesimo tempo disperso nello spazio circostante, e ciò è ampiamente dimostrato da tutte le osservazioni fin qui fatte… ».
Riferendosi poi all’effetto di simmetria da lui riscontrato nel disporre l’ago magnetico al di sopra o al di sotto del filo percorso da corrente diceva:
« … In maniera simile è possibile dedurre da quanto abbiamo osservato che questo conflitto agisce circolarmente perché questa sembra essere una condizione senza la quale è impossibile che la medesima parte del filo di congiunzione, che quando sta sotto il polo magnetico lo fa spostare ad est, lo fa spostare invece ad ovest quando è posta sopra di esso. Perché è nella natura dei cerchi che moti in parti opposte abbiano direzioni opposte… ».
L’intera esperienza e la discussione che Oersted fece non prevedeva in alcun luogo una qualche formalizzazione. Egli discusse qualitativamente i dati empirici senza determinare alcuna legge quantitativa che descrivesse l’azione.
L’esperienza di Öersted, se da una parte sembrava negare le teorie meccaniciste, dall’altra affermava l’esigenza del metodo scientifico (che, si badi bene, era negata da Shelling): le forze o chi per esse preesistono nella «natura» solo se, andandole a cercare, le troviamo. Comunque questa osservazione non fu fatta all’epoca e l’esperienza di Oersted suscitò un interesse ed un fermento di ricerca che tanti risultati avrebbero dato allo sviluppo della scienza. Oersted mostrò, in linguaggio moderno, che una corrente elettrica provoca effetti magnetici e Faraday mostrerà che il magnetismo produce elettricità. Da questo momento il magnetismo diventa un capitolo della più generale scienza elettromagnetica (resta sempre lo studio dei fenomeni legati ai materiali magnetici ma sarà piuttosto un problema di struttura della materia). Finché la luce non sarà inglobata nel più generale elettromagnetismo, rendendo l’ottica un suo capitolo. E la misura della sua velocità ci riporterà a vicende meccaniche con conseguenze impensabili ancora alla fine dell’Ottocento.
Per tornare un attimo a quanto commentavo nel paragrafo precedente, cosa fa un fisico che si è formato su Newton e sulla scuola dei fisici matematici francesi ? Deve subito dire: caspita, questa non ce l’aspettavamo ! Dobbiamo cambiare modo di pensare ! Oppure costui deve organizzare tutte le sue conoscenze per tentare di ricondurre anche questa nuova e complessa esperienza ai dati ed alla fisica conosciuta ? Non è forse più facile ad una persona che non ha avuto familiarità con la fisica di Newton tentare di inventare qualcosa di differente ? E non è forse vero che proprio Oersted e Faraday, per primi, apriranno proficui cammini nuovi, proprio loro che non mostrarono di conoscere la matematica e potevano spaziare in teorie tanto affascinanti quanto dure e difficili da provare ?
La memoria di Öersted del 27 luglio 1820(5) fu comunicata all’Académie des Sciences di Parigi, il 4 e l’11 settembre del 1820 da François Arago che l’aveva vista eseguire a Ginevra da Auguste De la Rive e che la ripeté davanti agli accademici. Immediatamente, nello stesso settembre, partirono le prime ricerche sperimentali degli scienziati francesi(6). In quello stesso mese ed in quelli immediatamente successivi Ampère lesse all’Académie una serie di note(7) in cui riuscì in nell’impresa di ricondurre le forze del tipo di quelle osservate da Oersted al caso delle forze centrali. In proposito vi è un aneddoto raccontato da Umberto Forti che è interessante riportare:
Durante la memorabile seduta dell’Académie des Sciences, il 25 settembre 1820, un accademico si alzò obiettando che le «nuove» scoperte di Ampère erano una semplice banalità dopo la scoperta di Oersted, e le precisazioni di Arago. «Se due correnti agiscono sull’ago, esse debbono anche agire fra di loro», egli diceva. Ampère taceva un po’ imbarazzato, ma Arago si alzò in piedi, tolse di tasca due grosse chiavi di quelle che usavano allora, e «anche queste – disse – agiscono sull’ago, ma non fra di loro», e cosi l’accademico si rese conto della fallacia della propria obiezione: dall’azione di due pezzi di ferro su un ago non si può dedurre logicamente l’azione dei due pezzi di ferro fra loro: e cosi anche per la azione di due correnti sull’ago. Qui è l’importanza delle fondamentali prove sperimentali di Ampère, come egli avverte – proprio servendosi di questo esempio – nella sua memoria Sur la Théorie mathématique des phénomènes éleetrodinamiques, uniquement déduite de l’expérience (1826) che Maxwell considerava come «una delle più belle produzioni scientifiche».
I primi apparecchi di Ampère erano imperfetti, e il pubblico accorso alle sue dimostrazioni rimase deluso. Poco dopo Daniele Colladon, il ginevrino suo assistente, migliorò il banco, e tutto andò a meraviglia, ma Laplace – che era piuttosto anziano, e non ci vedeva piu come ai bei giorni – si mostrò diffidente. Quando il grosso ebbe abbandonato la sala, si rivolse a Colladon e gli chiese in confidenza: «Giovanotto, non vi sarà mica capitato per caso di dare un colpetto al filo?».
Da notare che nella seduta dell’Académie des Sciences del 25 settembre 1820, insieme alla seconda comunicazione di Ampère sulle azioni ponderomotrici (termine introdotto dallo stesso Ampère) tra correnti elettriche, Arago fece una comunicazione (vedi: Annales de Chimie et Phisyque (2), t. XV, p. 93-102. 1820) relativa ad alcune esperienze da lui fatte che dimostravano la proprietà della corrente voltaica di magnetizzare barre di ferro e di acciaio. Fra le altre cose egli sostenne (vedi articolo citato pag. 93-94):
…«Avendo adattato un filo cilindrico di rame abbastanza sottile, ad uno dei poli della pila voltaica, ho osservato che all’istante in cui questo filo era in comunicazione con il polo opposto esso attirava la limatura di ferro dolce come avrebbe fatto un vero magnete. Il filo, immerso nella limatura, se ne ricopriva egualmente tutto intorno, e acquistava, a causa di questa aggiunta, un diametro quasi uguale a quello di un calamo di penna ordinaria. L’azione del filo, congiungente i poli, sul ferro si esercita a distanza: è facile vedere in effetti che la limatura si solleva molto prima che il filo sia in contatto con essa …»
Ecco allora che da questa esperienza Arago ricaverà conferma della validità dell’azione a distanza.
AMPÈRE
Ampère era un convinto newtoniano. Era un eccellente matematico formatosi alla prestigiosa scuola dei fisici-matematici francesi della fine del Settecento(3). Aver visto l’esperienza di Oersted fu per lui uno stimolo potente a capire come quello strano comportamento sperimentale rientrasse dentro le sue convinzioni newtoniane. Il suo approccio non fu diretto a quell’esperienza ma partì da un lunghissimo circuito che discuteva scoprendo nuovi fenomeni che, alla fine, gli sarebbero serviti per attaccare la spiegazione di quell’esperienza. Seguiamo tutti i passi che egli seguì per arrivare alle sue conclusioni.
In linea di principio è utile osservare che Ampère si muove con ragionamenti di tipo riduzionista, in particolare egli non considera il magnetismo come un fenomeno a sé ma come una speciale manifestazione di un’organizzazione molecolare della materia. Inoltre egli si rende conto che non deve lavorare sul macroscopico (l’intero filo e l’intero ago magnetico) ma, in accordo con la scuola matematica in cui operava, sulle azioni di elementi infinitesimi di corrente. E poiché il magnetismo della materia è un aspetto particolare di correnti circolanti nelle molecole magnetiche, da una parte Ampère descriverà la sua concezione delle molecole magnetiche e dall’altra inizierà i suoi lavori trascurando il magnetismo in sé occupandosi invece delle azioni reciproche tra correnti.
Ampère studiando l’azione che si esercita tra due correnti scrive:
... I due conduttori si trovano così paralleli e vicini l’un l’altro su di un piano orizzontale; uno di essi può oscillare intorno alla linea orizzontale passante per le estremità dei due punti di acciaio, e, in questo movimento, esso resta necessariamente parallelo all’altro conduttore (che è) fisso...
Ampére inizia a studiare due conduttori rettilinei disposti parallelamente ed in grado di muoversi parallelamente l’uno rispetto all’altro. In questo caso si ha attrazione o repulsione (a seconda del verso delle correnti nei due fili). Il problema che Ampére aveva bene in mente era però quello della rotazione dell’ago magnetico di Öersted ed allora egli monta l’esperienza in modo da avere un filo rettilineo fisso ed un altro in grado di ruotare su di un piano parallelo al primo:
… Se il conduttore mobile, invece di essere costretto a muoversi parallelamente a quello fisso, è libero soltanto di girare su di un piano parallelo a questo conduttore fisso, intorno ad una perpendicolare comune passante per i loro centri, è chiaro che, secondo la legge che abbiamo appena ammesso per le attrazioni e repulsioni delle correnti elettriche, le due metà di ogni conduttore attireranno e respingeranno quelle dell’altro, secondo che le correnti siano concordi o discordi; per conseguenza il conduttore mobile girerà fino a quando esso arriva in una situazione in cui si trovi parallelo a quello fisso, e in cui le correnti siano dirette nello stesso senso: da cui segue che nell’azione mutua di due correnti elettriche l’azione direttrice e l’azione attrattiva o repulsiva dipendono da uno stesso principio e non sono che effetti differenti di una sola e medesima azione.
Nel caso quindi in cui uno dei due conduttori in esame è libero di ruotare esso tende a disporsi parallelamente al primo. In definitiva, secondo Ampère, due correnti non parallele tendono a disporsi parallelamente. Questo primo ragionamento, confortato dall’esperienza, è il nocciolo su cui si impernia tutta l’ulteriore discussione che porterà Ampère ad ammettere una sostanziale identità tra correnti e magneti. Egli dice:
Non è più allora necessario stabilire tra questi due effetti la distinzione che è così importante fare, come vedremo fra poco, quando si tratta dell’azione mutua di una corrente elettrica e di un magnete considerato come si fa ordinariamente in rapporto al suo asse, perché, in questo tipo di azione, i due oggetti tendono a sistemarsi in direzioni perpendicolari tra loro.
L’ipotesi riduzionista di Ampère non può però prescindere da una «teoria» che vada ad interpretare il magnetismo come, appunto, originato da particolari correnti. Ampère parte da un’ipotesi di costituzione molecolare della materia. Nella seduta dell’Académie del 15 gennaio 1821 Ampère lesse una memoria(8) in cui compare per la prima volta, a fianco delle correnti macroscopiche che si muovono perpendicolarmente su linee chiuse intorno all’asse del magnete, l’ipotesi delle correnti particellari(9). Ecco quello che Ampère testualmente sostenne(10):
« … Si tratta di sapere se le curve chiuse secondo le quali hanno luogo le correnti elettriche che forniscono all’acciaio magnetizzato le proprietà che lo caratterizzano, sono situate concentricamente intorno alla linea che unisce i due poli del magnete, o se queste correnti sono ripartite in tutta la sua massa intorno a ciascuna delle sue particelle, sempre nei piani perpendicolari a questa linea… ».
C’era dunque da decidere quale di queste due ipotesi fosse quella esatta. Lo stesso Ampère disse che per fare ciò occorreva attendere « finché dei nuovi calcoli e delle nuove esperienze abbiano fornito tutti i dati necessari alla sua soluzione ».
A questo punto interviene Fresnel con due lettere private(11) ad Ampère per suggerire la soluzione al problema. Fresnel nella prima lettera confronta, su base sperimentale, le due ipotesi di correnti intorno all’asse del magnete e di correnti intorno a ciascuna molecola ed arriva alla conclusione che è più verosimile quest’ultima ipotesi. Nella seconda lettera precisa ulteriormente questo concetto sostenendo(11):
« … è facile vedere che, supponendo le correnti di uguale intensità intorno a tutte le particelle che si trovano lungo una barra magnetizzata, l’azione dovrà emanare solo dalla superficie che delimita la barra a ciascuna delle sue estremità, perché le azioni laterali di tutte le particelle costituenti la barra si neutralizzeranno dappertutto tranne che nei lati esterni delle particelle che si trovano alla estremità… ».
Da questo punto in poi Ampère userà sempre l’ipotesi di molecola circondata da una corrente elettrica. Questa molecola elettrodinamica di Ampère è d’importanza fondamentale: è la prima volta che si passa dalla concezione di correnti infinitesime, senza realtà fisica, che servono solo per ricavare relazioni matematiche, a correnti reali, anche se ipotetiche, che circondano le molecole costituenti il magnete. Questa concezione riduzionista di Ampère è in linea con i tempi e risulterà di estrema importanza per gli sviluppi futuri delle teorie sulla costituzione degli atomi e dei magneti.
Ed allora un magnete, ed in particolare un ago magnetico, viene concepito come circondato da correnti che si avvolgono attorno al suo asse risultando perpendicolari a quest’ultimo (si veda la seconda delle figure che seguono).


Fig. 4

Fig. 5
Nella figura 4, in a, sono rappresentate le molecole costituenti la materia sistemate in modo disordinato e tale da originare un materiale non magnetico mentre, in b, le molecole sono ordinate in modo tale da originare un materiale magnetico. Nella figura 5 è riportata una barra di ferro magnetizzata con le frecce disegnate che rappresentano la risultante delle correnti costituite dalla somma delle correnti elementari delle singole molecole.
Riporto, nella figura seguente, una sezione di un magnete cilindrico inteso costituito da molecole di Ampère:

Fig. 6 – L’ipotesi del magnetismo di Ampère
Ampère passa quindi a sottoporre all’esperienza questa ipotesi cominciando a studiare le azioni mutue tra correnti e magneti e tra magneti e magneti:
Esaminerò… l’azione mutua tra una corrente elettrica ed il globo terrestre o un magnete e l’azione mutua di due magneti l’uno sull’altro e mostrerò che esse rientrano l’una e l’altra nella legge dell’azione mutua di due correnti elettriche che ho appena annunciato, concependo sulla superficie e all’interno di un magnete tante correnti elettriche, in piani perpendicolari all’asse di questo magnete, quante si possono concepire linee formanti, senza intersecarsi mutuamente, delle curve chiuse; in modo che non mi sembra molto possibile, dopo il semplice raffronto dei fatti dubitare che non vi siano realmente queste correnti intorno all’asse dei magneti, o piuttosto che la magnetizzazione non consiste che nella operazione per la quale si fornisce alle particelle d’acciaio la proprietà di produrre, nel senso delle correnti di cui abbiamo appena parlato, la stessa azione elettromotrice che si trova nella pila voltaica… .
E questa azione elettromotrice non è rilevabile perché, come osserva Ampère:
… Solamente, poiché questa azione elettromotrice si sviluppa nel caso del magnete tra le differenti particelle di uno stesso corpo buon conduttore essa non può mai… produrre alcuna tensione elettrica, ma solamente una corrente continua rassomigliante a quella che avrebbe luogo in una pila voltaica rientrante su se stessa in modo da formare una curva chiusa (45): è abbastanza evidente… che una tale pila non potrebbe produrre in alcuno dei suoi punti né tensione né attrazioni o repulsioni elettriche ordinarie…; ma la corrente che si stabilirebbe immediatamente in questa pila agirebbe, per orientarla, attirarla o respingerla, sia su un’altra corrente elettrica, sia su un magnete che viene allora considerato come un insieme di correnti elettriche.
E con queste ultime esperienze in connessione con i termini teorici (le ipotesi aggiuntive) Ampère riesce a portare a compimento un’operazione che soltanto un mese prima sarebbe sembrata impossibile: la spiegazione in termini newtoniani dell’esperienza di Öersted. Nel portare a compimento questo «programma » Ampère arriva anche ad una importante conclusione che trascende gli scopi per cui aveva iniziato a lavorare:
E’ cosi che si arriva a questo risultato inatteso, che i fenomeni magnetici sono unicamente prodotti dalla elettricità….
Ecco allora su quali ipotesi Ampère trova la legge di forza tra correnti: il magnete è pensato come un insieme di correnti elettriche nei piani perpendicolari alla linea che unisce i poli. Questa ipotesi è dunque necessaria ad Ampère, e non accessoria come sembra dalla lettura di qualche testo od articolo, per ricavare l’azione ponderomotrice tra
correnti, per rendere conto dell’esperienza di Öersted e, infine, per ricondurre le «forze in conflitto» all’ordine newtoniano.
L’esperienza di Oersted può ora venir studiata analiticamente considerando l’attrazione e/o repulsione della corrente circolante del filo con quelle che costituiscono l’ago magnetico. Ma Ampère non lascia la sua premessa teorica sulla costituzione molecolare dei magneti appesa per aria. Una volta che si è convinto di una tale struttura molecolare e quindi del fatto che un magnete è un insieme di correnti, egli passa a studiare le azioni tra correnti per poter arrivare, dopo un lungo percorso, a ciò che a lui interessa. Occorre quindi partire da molto lontano iniziando dalle prime formalizzazioni di Biot e Savart, seguendo poi tutte le esperienze realizzate da Ampère, esperienze per le quali egli realizzò quell’apparato oggi noto come banco di Ampère.
LA LEGGE DI BIOT E SAVART
Jean-Baptiste Biot aveva lavorato con Coulomb ed, anch’egli, era un convinto newtoniano. Venuto a conoscenza dell’esperienza di Oersted, si mise al lavoro per trovare una legge di forza che rendesse conto di quella strana azione. Egli era un abilissimo sperimentatore ma in questo caso rinunciò ad ideare esperienze per dedicarsi completamente a trovare una legge che fornisse la forza magnetica esercitata da un filo infinito in funzione della distanza da esso. Vedremo che, mentre Biot tenta la soluzione di un problema particolare, Ampère tenterà di costruire una teoria complessiva in grado di spiegare una completa categoria di fenomeni.
Biot inizia con il considerare il conduttore rettilineo come tagliato in fette sottili di modo F sia una di tali fette (da buon matematico Biot considera elementi infinitesimi del filo ai quali assegna proprietà magnetiche).

Fig. 7
Ognuna di queste fette è costituita da molecole, ciascuna delle quali subisce una magnetizzazione momentanea. In tal modo ciascuna fetta può essere descritta da infinitesimi aghi magnetici tangenti alla sua superficie esterna (ab, a’b’, a”b”, a”’b”’, ma se ne potrebbero disegnare altri).
Fu Savart, un medico appassionato di acustica, che fece misure estremamente delicate per determinare la forza esercitata dal filo conduttore su un polo magnetico per dedurre successivamente la legge matematica dell’azione di una piccola fetta di conduttore su questo polo. Biot il 18 dicembre 1820 enunciò la legge che era stata trovata. Riferendosi alla figura seguente, la legge infinitesima dice che la forza esercitata

Fig. 8
da un elemento infinitesimo di filo, di lunghezza infinita, situato in N (vedi figura 8) su una particella magnetica situata in M, è perpendicolare al piano della figura ed ha un’intensità proporzionale a
sen ϖ/r2
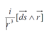
dove r è la distanza tra M ed N, ω è l’angolo formato dalla retta MN con il filo conduttore. La legge può essere anche scritta in forma vettoriale diventando:

E cioè: la forza magnetica dovuta ad un elemento ds di un circuito in cui circola una corrente i, ad una distanza r da ds è dato dalla relazione scritta (in grassetto sono date grandezze vettoriali). Ma Biot non terminò lì le sue elaborazioni,
proseguì con ulteriori esperienze ed elaborazioni matematiche. Più in dettaglio, la costruzione della relazione precedente avvenne per tappe successive. Il 30 di ottobre Biot comunicò alcuni risultati sperimentali: la forze esercitata da un filo conduttore infinito su un polo magnetico è inversamente proporzionale alla distanza MH del polo al filo. Si può quindi dedurre (come fece osservare Lapalce a Biot) che la forza elementare esercitata da un elemento infinitesimo di filo situato ad una distanza r dal polo è proporzionale ad 1/r2. La forza esercitata dall’elemento infinitesimo situato in N dipende ancora dall’angolo ω secondo una funzione da determinare. Per calcolare questa funzione Biot realizzò un’altra serie di esperienze. Egli misurò la forza, esercitata sul polo M, da un filo conduttore infinito formante un angolo variabile del vertice A. Egli ne concluse che questa forza è proporzionale a quest’angolo variabile θ (vedi figura 9).

Fig. 9
Il 18 dicembre Biot specificò ulteriormente che, come già detto, la forza elementare è proporzionale a
sen ϖ/r2
Qui Biot si trovò di fronte ad un problema: l’integrazione sull’intero filo di questa forza elementare fornisce una forza totale proporzionale a
tg θ/2
e non a θ. La questione fu risolta nel senso di θ/2 solo 3 anni dopo, quando Ampère, che aveva individuato l’errore di Biot, propose misure più precise. Si può comunque comprendere che il fattore sen ω nella relazione precedente a quella di tg θ/2 è stato dedotto con un ragionamento e non dall’esperienza, infatti la forza esercitata dall’elemento infinitesimo N è massima per ω = 90° (o per ω = – 90°, a seconda del verso della corrente) ed è nulla per ω = 0 e la funzione trigonometrica che risponde a queste semplici condizioni è il sen ω.
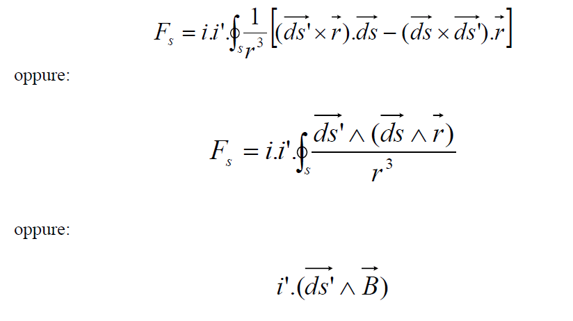
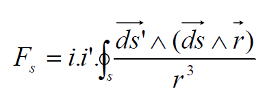
A parte una costante moltiplicativa che indicherò con Z, la legge di Biot e Savart si scrive oggi comunemente nel modo seguente:

Ora, il fattore sen ω/r2 è dovuto a Biot e Laplace ma i.ds è l’elemento di corrente di Ampère, quello che troverà Ampère. Ma, al di là di queste osservazioni che approfondiremo più oltre, resta la considerazione che si va delineando una forza che va con l’inverso del quadrato della distanza, cioè come quelle di Newton. Ma vi è una importante considerazione da fare al di là dell’apparenza matematica: questa forza per essere di tipo newtoniano avrebbe dovuto essere diretta da M ad N, invece è diretta trasversalmente, perpendicolare cioè al piano determinato da MN ed il filo. Ma Biot crede che il tutto sarà risolto con uno studio più accurato della sezione di filo considerata poiché la sua azione è un’azione composta. Per Biot: resta da trovare come ogni molecola infinitamente piccola del filo contribuisce all’azione totale della sezione di filo di cui essa fa parte. L’azione di una corrente su un magnete risulterebbe così ridotta a delle pure interazioni magnetiche che sono da determinare e dalle quali si possa dedurre la sua legge sperimentale, anche se ciò è molto difficile come lo stesso Biot ammette.
ANCORA AMPÈRE
In quanto detto sembra evidente che inizia a farsi strada l’idea di una sorta di similitudine tra correnti e magneti che, estendendo il concetto, vuol dire anche che mentre i conduttori trasportano correnti che agiscono con magneti, accade anche che i conduttori agiscono l’un l’altro come fossero magneti.
Intanto, il 18 settembre, appena una settimana dopo l’annuncio di Arago della scoperta di Oersted, Ampère aveva mostrato all’Accademia le azioni reciproche tra fili percorsi da correnti rettilinee(12), le loro attrazioni e repulsioni in tutte le possibili posizioni reciproche (Dell’azione esercitata da una corrente elettrica da un’altra corrente). Servendosi sello strumento di figura, in cui il

Fig. 9
conduttore AB è fisso mentre il lato CD del conduttore sospeso CDEF può muoversi potendo oscillare sui sostegni XY, poteva studiare le azioni tra correnti rettilinee e parallele. In tal modo trovò la legge di forza tra correnti parallele concordi e discordi. E’ evidente che a questo punto si poneva l’altro problema, quello relativo al conduttore mobile che invece di essere soggetto a muoversi parallelamente a quello che è fisso, può soltanto ruotare in un piano parallelo a quello del conduttore fisso intorno ad una perpendicolare comune passante per i loro punti di mezzo. Realizzando sperimentalmente l’apparato (fig.10), Ampère trovò che secondo la legge che abbiamo scoperto per le attrazioni e le repulsioni delle correnti elettriche, le due metà di ogni conduttore attireranno e respingeranno quelle dell’altro, secondo che le correnti saranno di uguali sensi o di sensi contrari; conseguentemente il conduttore mobile ruoterà fino al momento in cui giunga in una posizione nella quale risulti parallelo a quello fisso e le correnti siano dirette nello stesso senso: donde deriva che, nell’azione mutua di due correnti elettriche, l’azione direttrice e l’azione attrattiva o repulsiva dipendono da uno stesso principio e sono soltanto effetti diversi di una sola e medesima azione. Allora non è più necessario istituire fra questi due effetti la distinzione che è importante fare, come vedremo tra poco, quando si tratta di una corrente elettrica e di un magnete, considerato come si fa comunemente in relazione al suo asse, perché, in questa azione, i due corpi tendono a porsi in direzioni perpendicolari fra loro.

Fig. 10 a – In figura è riportato in rosso il tratto di filo rettilineo fisso, mentre il tratto DP affacciato può ruotare su un’apposita sospensione riportata più in dettaglio nella figura 10 b. Si noti che invertendo i cavi della spira rettangolare nella connessione che permette la rotazione si inverte il verso della corrente nella spira.

Fig. 10 b
Ampère sta avvicinandosi a discutere la questione che è al centro dei suoi interessi, la relazione esistente tra correnti e magneti. A tal proposito inizia a dire: Esaminerò negli altri paragrafi di questa Memoria e nella Memoria seguente l’azione mutua fra una corrente elettrica e il globo terrestre o un magnete e quella di due magneti l’uno rispetto all’altro: mostrerò che tanto l’una quanto l’altra rientrano nella legge dell’azione mutua di due correnti elettriche, che ho testé fatto conoscere, se si immaginano sulla superficie e nell’interno di un magnete tante correnti elettriche, in piani perpendicolari all’asse del magnete, quante linee, formanti curve chiuse che non si taglino mutuamente, si possano immaginare; dimodoché, dal semplice accostamento dei fatti, non mi sembra possibile dubitare che non esistano realmente tali correnti attorno all’asse dei magneti o, meglio ancora, che la magnetizzazione non consista soltanto nell’operazione con la quale si dà alle particelle dell’acciaio la proprietà di produrre, intesa nel senso delle correnti di cui abbiamo parlato, la stessa azione elettromotrice che si trova nella pila voltaica […]. Però, poiché questa azione elettromotrice si sviluppa nel caso del magnete fra le diverse particelle di uno stesso corpo buon conduttore, essa, … non può mai produrre alcuna tensione elettrica, ma soltanto una corrente continua simile a quella che avrebbe luogo in una pila voltaica che rientri su sé stessa formando una curva chiusa […]. In questo modo si giunge al risultato inatteso che i fenomeni del magnete sono unicamente prodotti dall’elettricità e che non vi è nessun’altra differenza fra i due poli di un magnete se non la loro posizione rispetto alle correnti di cui si compone […]. Il modo in cui concepisco il magnete, cioè come un complesso di correnti elettriche in piani perpendicolari alla linea che ne congiunge i poli, mi fece anzitutto cercare di imitarne l’azione con conduttori piegati ad elica, di cui ogni spira rappresentasse una corrente disposta come quella di un […].
Fin qui la parte teorica, la sua idea di magnete ridotta a particolari correnti. Restava il problema della ricerca della legge di forza che Ampère ammette essere cosa molto complessa e non deducibile da esperienze ma da elaborazioni di calcolo differenziale ed integrale: Fin dalle prime ricerche sull’argomento di cui stiamo occupandoci, avevo cercato di ottenere la legge secondo la quale l’azione attrattiva e repulsiva di due correnti elettriche varia quando cambino di valore le loro distanze e gli angoli che determinano la loro posizione rispettiva. Fui ben presto persuaso che non si potesse dedurre questa legge da esperienze dirette, perché essa non può avere un’espressione semplice se non considerando porzioni di correnti di lunghezza infinitamente piccola; ora, non si possono fare esperienze su tali correnti; l’azione delle correnti di cui si possono misurare gli effetti è la somma delle azioni infinitamente piccole dei loro elementi, somma che si può ottenere soltanto per mezzo di due integrazioni successive, delle quali la prima deve essere fatta in tutta l’estensione di una delle correnti per un medesimo punto dell’altra e la seconda si deve eseguire sul risultato della prima integrazione presa fra i limiti indicati dalle estremità della prima corrente, in tutta l’estensione della seconda corrente; soltanto il risultato di quest’ultima integrazione, preso entro i limiti segnati dalle estremità della seconda corrente, può essere paragonato con i dati dell’esperienza; donde consegue, come ho detto nella Memoria che ho letto all’ Académie il 9 ottobre scorso, che queste integrazioni sono la prima cosa di cui bisogna occuparsi quando si voglia determinare dapprima l’azione mutua di due correnti di lunghezza finita, sia rettilinee, sia curvilinee, tenendo presente che in una corrente curvilinea la direzione delle porzioni di cui essa si compone è determinata in ogni punto dalla tangente alla curva secondo la quale la corrente stessa si manifesta, e in secondo luogo quella di una corrente elettrica su un magnete o di due magneti l’uno sull’altro considerando, in questi ultimi due casi, i magneti come complessi di correnti elettriche disposte come ho detto sopra.
Ampère elabora allora una lunga serie di esperienze in cui via via assimila il comportamento di un ago magnetico con quello di una spira percorsa da corrente, di una barra di ferro magnetizzata con un solenoide. Studia le azioni mutue di magneti, di spire, di solenoidi, di magneti con spire e solenoidi. Resta il problema che continua ad avere presente e che la sperimentazione lo aiuta a focalizzare, quello del ricavare la legge di forza tra correnti e quella tra magneti e correnti che, a questo punto, è la stessa cosa.
Rispetto a Biot, il primo sostanziale cambiamento realizzato da Ampère è nell’impostazione iniziale degli elementi infinitesimi. Egli non considera, come Biot, fette o sezioni infinitesime di filo ma elementi di filo di lunghezza infinitesima ds. Inoltre, contrariamente a Biot egli si muove con l’idea di interazioni tra correnti e non tra magneti. La differenza tra le diverse concezioni di Biot ed Ampère è in un disegno trovato tra gli appunti di Ampère (figura 11) in cui, in alto vi è l’idea delle correnti nel filo conduttore dei due fisici, in basso l’idea del magnete che i medesimi due avevano. Per Ampère sia il filo che il magnete erano costituiti da correnti elementari mentre per Biot da magneti elementari.

Fig. 11
La forza che si esercita tra due correnti può teoricamente dedursi mediante due integrazioni successive a partire dalla forza elementare tra due elementi di corrente i.ds e i’.ds’ . Per ricavare invece l’azione tra un magnete ed una corrente occorre ricorrere ad una tripla integrazione, poiché ciascuna fetta di magnete contiene, secondo Ampère, una infinità di correnti circolari coassiali. Ma se è possibile passare mediante integrazione dalla forza elementare a quella totale, l’inverso non è possibile. Anche Biot si era scontrato con tale problema e, lo ricordo, aveva trovato il suo fattore angolare mediante l’intuizione e non mediante l’esperienza.
Per determinare la forza elementare tra due elementi di corrente Ampère propose di partire da una forza d’interazione la più generale possibile e di precisare l’espressione trovata mediante esperienze qualitative su dei circuiti finiti. La forza elementare che egli avrebbe così trovato avrebbe dovuto rispettare il principio d’azione e reazione ed essere diretta secondo la retta che univa i due elementi di corrente. Studiando poi i 4 casi di equilibrio tra correnti in varie situazioni realizzate con il suo banco di esperienze estremamente sofisticate oltreché ingegnose, egli trovò 4 leggi ancora oggi importanti:
Primo principio: le azioni di una corrente sono invertite quando si inverte il senso della corrente,
Il secondo principio (delle correnti sinuose) «consiste nell’uguaglianza delle azioni esercitate su un conduttore mobile da parte di due conduttori fissati ad uguale distanza dal primo, dei quali l’uno è rettilineo e l’altro è curvo e disegnato in modo qualsiasi»,
Terzo principio: «L’azione di un circuito chiuso e di un insieme di circuiti chiusi su un elemento infinitamente piccolo di una corrente elettrica è perpendicolare a questo elemento». Principio che pone in evidenza il carattere essenzialmente «trasversale» delle sole azioni «elementari» che siano osservabili.
Quarto principio: A intensità costanti, le interazioni di due elementi di corrente non cambiano quando le loro dimensioni lineari vengono modificate secondo uno stesso rapporto,

Fig. 12

Fig. 13
Da queste premesse e dall’ipotesi che la forza tra due elementi di circuito o elementi di corrente (corrispondenti ai punti-massa di Newton) agisce lungo la linea che li congiunge (azione alla Newton), Ampère ottenne una espressione per questa forza che ora cercherò di ricavare utilizzando il calcolo vettoriale, allo stesso modo di Whittaker. Mi servirò della figura 14 da me fatta per semplificare qualcosa di analogo fatto da Ampère (figura 16).

Fig. 14 – Le due spire non devono essere pensate su un medesimo piano ma su piani qualunque

Fig. 15 – I vettori che hanno A e B come punti di applicazione, se pensati su piani diversi P e Q, per la loro individuazione hanno bisogno di tre angoli: α, β, γ. Se A e B sono due elementi di corrente di lunghezza infinitesima rispetto alla loro distanza AB = r, l’intensità della forza che si esercita tra A e B non dipende solo da r ma anche dai valori degli angoli α, β, γ.

Fig. 16 – I disegni originali di Ampère
Riferendoci allora alla figura 14, siano quindi(13) i.ds e i’.ds’ gli elementi di corrente, r la linea che li unisce ed i, i’ le intensità di corrente (stabilito che gli elementi di corrente sono ids ed i’ds’, di seguito per mia comodità li indicherà solo con ds e ds’. Si noti che nelle varie relazioni il prodotto i.i’ deriva proprio dal prodotto ordinario dei due elementi di corrente sui quali si opera solo nella parte vettoriale). L’effetto di ds su ds’ è il vettore somma degli effetti delle componenti dx, dy, dz di ds su ds’. In tal modo la forza da trovare deve avere la seguente forma: il vettore r per una quantità scalare che ha una relazione lineare ed omogenea con ds; essa deve poi essere allo stesso modo omogenea e lineare con ds’; così in definitiva l’espressione della forza (tenuto conto dei quattro principi elencati prima ed in particolare del numero 1) deve essere del tipo:




La debolezza del lavoro di Ampère risiede evidentemente nell’assunto che la forza sia diretta lungo la linea congiungente i due elementi di circuito. Infatti nell’analogo caso dell’azione fra due molecole magnetiche, sappiamo che la forza NON è diretta lungo la linea congiungente le due molecole. E’ quindi importante trovare la forma che assume F quando questa ipotesi risulta tolta di mezzo.
Per fare ciò osserviamo che possiamo aggiungere all’espressione precedente trovata per F qualche termine della forma:


e l’espressione tra parentesi quadra è la componente vettoriale del quaternione (numero complesso a 4 componenti anziché 2 che generalizza allo spazio in quattro dimensioni il numero complesso ordinario) prodotto dei tre vettori ds, r e ds’.
Da ognuno di questi valori di F possiamo trovare la forza pondero motrice esercitata dall’intero circuito s sull’elemento ds’; troviamo, infatti, dall’ultima espressione:



In tutto ciò che abbiamo visto vi è una gran quantità di vettori e conseguentemente di angoli (vedi figura 15). Ampère si era fatto l’idea da una gran mole di esperienze, condotte con estrema precisione ed ingegnosità, che oggi chiameremmo somma vettoriale degli elementi di corrente, cioè della possibilità di rimpiazzare un elemento di corrente con le sue proiezioni sui tre assi ortogonali e quindi di considerare le forze che si esercitano tra queste componenti prese due a due. E nel programma di Ampère, che prevedeva una legge che andasse con l’inverso del quadrato della distanza, vi era il calcolo delle variazioni della forza al variare degli angoli con sui si presentavano disposti gli elementi di corrente medesimi. Nel portare avanti tali ricerche, Ampère credeva sinceramente di muoversi su un percorso newtoniano ma in realtà lo aveva egli stesso superato quando faceva dipendere le forze da angoli, cosa che avrebbe inorridito i newtoniani.
AMPÈRE E FARADAY
I lavori di Ampère non furono accolti da tutti con soddisfazione. Intanto lo stesso Ampère aveva fatto confusione con i suoi scritti pubblicati sempre in fretta e quindi spesso non chiari (soltanto nel 1827 sarà pubblicato il suo lavoro organico e sistematizzato, lavoro che era stato scritto nel 1825, Théorie des phénomènes électrodynamiques uniquement déduite de l’expérience). Vi erano poi due questioni che rendevano difficile l’accettazione dei lavori di Ampère: da una parte la grande difficoltà di riuscire a ripetere le sue esperienze per la difficoltà di trovare tecnici di laboratorio di grande levatura da sommarsi alla grande capacità richiesta in laboratorio dal medesimo sperimentatore; dall’altra vi era quella matematica spinta al massimo delle conoscenze dell’epoca che escludeva subito la gran parte degli scienziati dal seguire fino in fondo i ragionamenti dello scienziato che, per di più, si sommavano con gli ostici concetti di correnti infinitesime. Altro ostacolo che rendeva ostica l’accettazione della teoria era l’ipotizzata esistenza di correnti elettriche che sarebbero esistite all’interno di magneti.
Faraday (del quale non andrò ad occuparmi qui perché già fatto estesamente altrove) iniziò una corrispondenza decennale improntata a grande stima reciproca con Ampère. Lodò la sua perizia di laboratorio ma non era disposto ad accettare la sua visione dei fenomeni elettromagnetici. Faraday aveva un grave handicap rispetto ad Ampère: non conosceva la matematica. Era il figlio di un povero fabbro che aveva avuto la fortuna di incontrare chi aveva capito quanto valesse, Davy, per portarlo nel suo laboratorio dove riuscì ad iniziare un lavoro eccezionale per molti anni dando l’avvio, oltre ad una vera montagna di scoperte, alla teoria del campo. Per la matematica Faraday chiedeva sempre una specie di traduzione in fisica al suo amico matematico Babbage. Faraday era uno sperimentatore altrettanto valente di Ampère e furono via via sue esperienze, delle quali Ampère era informato, a farlo lavorare in fretta per trovare successive soluzioni che andassero sempre nel senso delle azioni alla Newton. Nel settembre 1821 Faraday in una sua nota (Memoria sui moti elettromagnetici e la teoria del magnetismo in Quaterly Journal of Science), negò l’esistenza delle correnti molecolari(14) considerandole alla stregua delle ipotesi «ad hoc»:
« … M. Ampère non ha una opinione definita sulla grandezza delle correnti elettriche che egli suppone esistere nei magneti perpendicolarmente ai loro assi. In un passaggio della sua Memoria, egli le considera, mi sembra, come aventi i loro centri sull’asse stesso del magnete; ma ciò non può non aver luogo in un magnete cilindrico cavo, a meno che uno non supponga due direzioni opposte (per le correnti), una sulla superficie interna, l’altra sulla superficie esterna. Egli in altra parte avanza (l’ipotesi), io credo, che queste correnti siano infinitamente piccole; sarebbe probabilmente possibile spiegare il caso del più irregolare magnete dando a ciascuna di queste piccole correnti la direzione richiesta dalla teoria…».
A queste obiezioni di Faraday, Ampère rispondeva indirettamente in una lettera al Sig. Van Beck(15) riaffermando la sua teoria della molecola elettrodinamica ed arricchendola di interessanti considerazioni teoriche. In questa lettera Ampère sosteneva:
« … Ho trovato… molte altre prove della disposizione delle correnti elettriche intorno a tutte le particelle dei magneti; diverse circostanze si spiegano meglio quando si considerino le cose in questo modo e si ammetta che le correnti esistono nei metalli suscettibili di magnetismo prima della magnetizzazione, e forse in tutti gli altri corpi, ma che esse non possono esercitare azione, se non ricevono una direzione determinata sia da un altro magnete, sia da una corrente voltaica…».
Nel febbraio del 1822 Faraday, in una lettera ad Ampère(16) scriveva:
« … Mi dispiace che la mia carenza nella conoscenza matematica mi renda tardo nel comprendere queste argomentazioni. Sono per natura scettico in materia di teorie e quindi lei non deve essere adirato con me perché io non ammetto quella che lei ha avanzato immediatamente con la sua ingegnosità e le cui applicazioni sono stupefacenti ed esatte, ma non riesco a comprendere come le correnti si producano e particolarmente se si suppone che esse esistano intorno a ciascun atomo o particella ed attendo ulteriori prove della loro esistenza prima di ammetterle definitivamente … ».
Nel 1821 Faraday aveva scoperto il fenomeno illustrato in figura 17: con l’arrangiamento di figura aveva realizzato il moto circolare continuo di un magnete intorno ad una corrente e, simultaneamente, di un filo percorso da corrente intorno ad un magnete.

Fig. 17
Ampère resta molto colpito da questi fenomeni ma riesce a realizzare un apparato in cui il magnete di Faraday era sostituito da un solenoide. Ma la rotazione
continua che ottiene Ampère è solo per circuiti elettrici, con la rotazione del magnete non riesce nell’impresa. Questo risultato, paradossalmente era a sostegno della sua teoria di correnti elementari e dava un colpo mortale a quella di Biot di magneti elementari (l’elettromagnetismo non si può ridurre alla interazioni tra magneti).
Come già detto Ampère continuò ininterrottamente fino alla sua morte nel 1836 a lavorare con i suoi convincimenti. Dal suo punto di vista, non so dire con quanta convinzione dopo i successi continui che provenivano dalla Gran Bretagna con i lavori di Faraday che nel 1831 aveva scoperto l’induzione elettromagnetica, era riuscito a riportare le azioni dell’esperienza di Oersted ad azioni di tipo newtoniano. La relazione che aveva trovato.

nascondeva bene gli angoli e faceva intravedere una semplificazione tra l’r3 del denominatore con l’r del numeratore, portando quindi un r2 al denominatore. L’azione rettilinea era poi quasi intravista nella rotazione dell’ago magnetico che avveniva al fine di sistemare parallelamente gli elementi di corrente nel filo con le correnti molecolari elementari sommate tra loro e circolanti intorno all’ago magnetico, comunque perpendicolari alla loro congiungente, in corrispondenza della quale la forza attrattiva è massima

Fig. 18
di modo che si potesse pensare che il tutto si fosse sistemato al fine di far attrarre come due correnti rettilinee e parallele filo ed ago. Era tutta una illusione che Ampère portò avanti fino alla fine.
Egli sviluppò in modo molto esteso la teoria dell’equivalenza di magneti con circuiti percorsi da corrente e mostrò che la corrente elettrica è equivalente, nei suoi effetti magnetici, ad una distribuzione magnetica su ogni superficie limitata dal circuito, gli assi delle molecole magnetiche risultando dovunque perpendicolari a tale superficie. E qui risiedeva un altro problema per la teoria di Ampère: essa era in grado solo di risolvere il problema delle correnti chiuse (una corrente aperta potrebbe essere, ad esempio, quella in un cavo terminante in due sfere metalliche di differente carica. La corrente durerebbe solo qualche istante fino a quando le due sfere raggiungono la stessa carica). Egli non fu capace o non volle o non lo ritenne significativo, realizzare esperienze con correnti aperte. Probabilmente per la grande difficoltà dovuta alla loro breve durata. Per altri versi, Ampère preferì comunque considerare la corrente piuttosto che il fluido magnetico come entità principale e considerare il magnetismo come un fenomeno elettrico; ciascuna molecola magnetica deve le sue proprietà, in accordo con questo modo di vedere, alla presenza in essa di un piccolo circuito chiuso in cui una corrente elettrica fluisce indefinitamente.
Ma Ampère è uno sconsiderato, apprendista stregone ? Doveva Ampère sviluppare la teoria di campo ? Queste osservazioni e/o critiche sono tipiche dei filosofi che non sanno di cosa parlano. Lo anticipavo prima di addentrarmi in qualche conto: lo scienziato di fronte ad un fatto sperimentale nuovo, non immediatamente riconducibile a quanto comunemente accettato, non può far altro che elaborare i dati che ha con le conoscenze di cui dispone al fine di tentare una spiegazione. Questo Ampère magistralmente ha fatto. Non è detto che ogni fisico debba inventare quotidianamente teorie nuove per spiegare fatti nuovi. Vi sono personalità particolari che vi riescono ed una di queste fu Faraday che, non si dimentichi, non proveniva da studi accademici ed aveva un approccio più libero alla speculazione scientifica (tanto è vero che in Gran Bretagna fu attaccato da più parti: i fisici accusandolo di essere un chimico, i chimici di essere un fisico ed ambedue d’accordo nel liquidare chi non conosce la matematica).
Comunque per stare ancora dietro le obiezioni dei filosofi, quanto fatto da Ampère, comunque mai discusso sul piano della validità ed attualità scientifica, è stato discusso da un altro valente fisico, appunto Faraday e non da un qualche filosofo. Se poi qualcuno dice che Faraday si muoveva al di fuori dei canoni meccanicistici perché lavorava senza conoscere la matematica si sbaglia ancora perché la matematica di Faraday è tutta interna a quanto egli racconta passo passo. E, comunque, ancora dei fisici e dei matematici, interverranno sui suoi lavorio per matematizzarli e portarli fino alla stupenda formulazione di Maxwell. Scrive, su un caso analogo, Bellone:
È in questo processo irto di contraddizioni che va situata la memoria di Ampère del 1835 [una memoria sul calore e sulla luce, ndr], e non in quella statica caricatura che alcuni filosofi hanno battezzato meccanicismo riducendo il travaglio interno della fisica classica a un complesso di piatte esercitazioni
matematiche attorno alle equazioni newtoniane e al concetto di azione a distanza. Ed è per raccogliere in un quadro unitario questo groviglio che Herschel nel 1830 cerca un sapere certo nell’esperienza, che Comte inizia nello stesso anno a pubblicare il Cours de philosophie positive, che Ampère tenta di concludere le sue annose ricerche sulla filosofia delle scienze e dà alle stampe la prima parte dell’ Essai. La filosofia è in ritardo, e le stesse radici filosofiche della concezione meccanicistica della natura si sono ridotte a slogan nei quali le nuove teorie seminano lo scompiglio.
Non siamo dunque di fronte a una fisica inconsapevole che compie acrobazie matematiche su concetti vecchi e cerca di rivitalizzare questi ultimi producendo modelli meccanici. Siamo di fronte a una fisica che cresce vigorosa nelle polemiche e nelle contraddizioni, nel dibattito razionale su paradossi e obiezioni ben formulate, nella consapevolezza della provvisorietà dei modelli. E non è un caso se l’astronomo Herschel ripensa alla situazione concreta delle scienze, se il matematico Comte ricerca la struttura reale dell’edificio scientifico, se il fisico Ampère rivede il classico tema della classificazione naturale e artificiale delle discipline. Il problema comune non è soltanto quello di unificare le diverse modalità della ragione. II problema comune è soprattutto quello di prendere atto che le direttrici del pensiero newtoniano si scontrano con una natura sorprendentemente nuova, e di risolvere la presa d’atto del potere eversivo delle scienze in una riformulazione filosofica del rapporto tra scienze e natura. Quando si dice che la filosofia è in ritardo sulle scienze si dice appunto che, se la filosofia ha un compito, allora questo compito è di comprendere ciò che in generale è avvenuto nel movimento della conoscenza scientifica, non di prescrivere leggi su come quel movimento deve svilupparsi in futuro.
Le considerazioni di Ampère sulla luce e il calore vanno dunque viste nella fisica reale, e non nei fantasmi meccanicistici. D’altra parte, se ora torniamo dalla memoria del 1835 alle grandi comunicazioni del periodo 1820-25 sulI’elettrodinamica, la questione dei modelli si chiarisce ulteriormente e permette altresì di confermare il rapporto che esiste tra l’ipotesi di Ampère sul magnetismo e le considerazioni enunciate in proposito da C. A. Coulomb tra il 1777 e il 1789. Il ‘problema Ampère’ diventa pertanto formulabile nel seguente modo: per quali motivi i fisici, nella loro maggioranza, accettano la teoria di Ampère e respingono invece l’ipotesi che lo stesso Ampère ritiene sia il fondamento della nuova elettrodinamica? La risposta che qui si propone è la seguente: la maggioranza dei fisici europei, nella prima metà dell’Ottocento, respinge il modello e accetta la teoria in quanto il modello non dà informazioni necessarie sulla natura delle cose mentre la teoria correla efficacemente i fenomeni. Questa risposta è lecita nella misura in cui quei fisici ritengono che la correlazione teorica tra i fenomeni sia una buona correlazione deduttiva, nel senso che essa è corretta e segue regole ben formulate; che essa è confermata
dai dati empirici disponibili; che la sua validità sperimentale è del tutto indipendente da quanto il modello pretende di dire su ciò che non è misurabile in laboratorio e osservabile direttamente con i sensi. Inoltre – e questo è particolarmente importante per i fisici di scuola laplaciana [come era Ampère, ndr] – se si accetta l’elettrodinamica di Ampère unitamente al modello, si creano contraddizioni in elettrostatica e in magnetostatica e si pongono dubbi fondamentali sull’intera questione dei potenziali secondo Poisson: nel dire questo la scuola laplaciana dogmatizza la teoria di Coulomb, poiché attribuisce a Coulomb la prova del carattere newtoniano delle interazioni tra cariche elettriche e tra corpi magnetizzati, nonché la prova che quelle interazioni sono conseguenze necessarie di un modello particolare sui fluidi elettrici e magnetici: ma Coulomb non ha affatto difeso i privilegi di alcun modello sui fluidi. Solo Faraday riuscirà a districare questa matassa, dopo un iniziale ma tenace scetticismo a proposito dell’ipotesi di Ampère.
E la soluzione di Faraday darà un colpo a tutta la fisica francese dell’azione a distanza, rileggendo l’elettrodinamica all’interno di congetture qualitative e di una progressiva costruzione del concetto di campo. […]
Lo status dell’ipotesi di Ampère e il rapporto di questa ipotesi con la struttura matematica della teoria non si decidono, insomma, con una querelle sulle virtù del metodo newtoniano, ma a colpi di prove matematiche che siano in grado di superare l’apparente equivalenza dei vari modelli e di dimostrare che le nuove formule, unite al modello di Ampère, vanno più a fondo nella conoscenza del reale. Questo approfondimento non porta comunque a elementi assoluti. In proposito Ampère è molto chiaro, e dalla sua dichiarazione si individua altresì un legame con quelle riflessioni che lo porteranno alla memoria del 1835 sul calore e la luce. Se la forza più semplice che compare nella nuova elettrodinamica è la forza tra elementi di corrente, e se le altre forze (tra correnti e magneti e tra magneti) sono delle «derivazioni più o meno complesse» della prima, «si può concludere – scrive Ampère – che la prima debba essere considerata come veramente elementare? ». […]
L’indagine storica, come ricostruzione razionale delle reti locali in cui si strutturano le interazioni tra scienza e filosofia, ha dunque oggetti da analizzare: ma incontra tali oggetti a patto di distruggere quelle metafore filosofiche che trasformano quegli oggetti in etichette metodologiche. In poche parole: quando si dice che Ampère era un newtoniano e che Oersted era un romantico, non si dice nulla sulle origini e i contenuti dell’elettrodinamica.
COSA DIRE DI PIÙ ?
Se dovessimo estendere le considerazioni fatte qui sui rapporti della filosofia vs scienza a quanto accade oggi, ci troveremmo di fronte ad un interlocutore sparito. La filosofia non è più in grado di dire nulla su quanto fa la scienza, a parte qualche predicozzo moralistico. E perché accade questo, che, comunque, resta un danno per la crescita politica, sociale ed intellettuale del Paese ? In Italia la risposta è semplicissima: paghiamo ancora il nostro acritico abbandono all’idealismo che ha fatto pensare i nostri pensatori (?) che non fosse necessario attrezzarsi con tutti gli strumenti di lettura della scienza per leggerla e cercare di capirla. Cosa può dire un filosofo sul teorema di Ampère ? Niente. Ed è un peccato ma, se nel corso di studi di filosofia non si introduce un corso di matematica superiore, non avremo più il conforto del contributo di pensiero dei filosofi.
Ho passato una vita a tentare di convincere i miei amici scienziati dell’importanza della filosofia per capire meglio il proprio agire in meccanismi a volte non controllabili. Il guaio della filosofia (ed anche della matematica) è che è fatta da filosofi (e la matematica da matematici). Ora queste limitazioni non avevano senso fino a che il mondo non aveva conosciuto la specializzazione, la separazione dei saperi, la parcellizzazione del lavoro. Prima (e questo prima deve pensarsi fino ai postumi della Rivoluzione francese che al massimo possono estendersi, rispetto a ciò che cerco di dire, fino alla prima metà dell’Ottocento) si aveva generalmente a che fare con intellettuali complessivi. Poi la specializzazione dei saperi, la complessità di essi, la suddivisione, quasi parcellizazione, sempre più spinta al loro interno,…, insomma addirittura un addetto ad una data disciplina che non riesce più a parlare con un suo collega che, nell’ambito della stessa disciplina, è entrato in una differente specializzazione, tutto questo ha reso sempre più difficile la comprensione del complesso, dell’insieme, … Abbiamo immagini da caleidoscopio ma siamo in possesso di una sola pietruzza: l’immagine complessiva ci sfugge completamente… Non riusciamo più a capire dall’esterno cosa accade alla scienza. La cosa inizia con strappi fortissimi nella storia interna. Faccio solo l’esempio dell’enfasi che si è data per ben 400 anni ai lavori di Galileo. Cosa dicono tutti coloro che hanno in qualche modo studiato il grande pisano? E’ l’inventore della dialettica mani-cervello; è colui che ha inventato il metodo sperimentale che, in definitiva, consiste in teorie che se non sono convalidate da esperienze restano nel limbo dell’incompiuto e, spesso, dell’irrazionale. Un’analoga rivoluzione è avvenuta nella seconda metà dell’Ottocento ma nessuno se n’è accorto. Nasce la fisica teorica con Maxwell, nasce la possibilità di teorizzare all’infinito senza riscontri sperimentali di alcun tipo, si realizza una rivoluzione comparabile con quella di Galileo … e la cosa non è nota ai più!
Nell’ambito della fisica ci si illude ancora, nelle Istituzioni ufficiali, di essere dei puri al servizio delle curiosità e della scienza incontaminata da misere vicende umane. Ma le cose arrivano alla loro definitiva rottura a Copenaghen nel Congresso Solvay del 1928. Si sancisce la separazione tra scienza e filosofia, si formalizza il
fatto che ogni attività non strettamente attinente alla scienza, il chiedersi i perché, FA PERDERE TEMPO; si decide che l’efficienza non va d’accordo con i rompiscatole che chiedono, con quelli che vogliono sapere. Si sottintendono due cose: da una parte che la scienza, comunque e dovunque la si faccia è buona in sé (l’eredità neopositivista è sempre presente ed è una mostruosa malattia infantile della scienza); dall’altra che lo scienziato è in grado di capire e che l’organizzazione sociale non lavora mai contro l’uomo. Queste posizioni si affermarono come vincenti. I rompiscatole come Einstein e Planck persero.
Il discorso sarebbe lungo almeno come un libro che dovesse raccontare nei dettagli tutti gli eventi del Novecento. Taglio per ovvie necessità.
Proprio l’efficienza che domina tra gli scienziati, spesso impregnati inconsciamente di una ingenuità neopositivista, ha fatto si che sulle loro teste è passato tutto ed il contrario di tutto. Posizioni chiare e nette sono sempre state appannaggio dei rompiscatole. Gli altri, pur essendo dei giganti nei loro campi di attività, erano felici con il solo avere a disposizione i giocattoli con cui lavorare (importava poco chi li fornisse).
Da qui parte (o partiva) la lotta all’interno del sistema della ricerca scientifica perché la filosofia entrasse, non per far perdere tempo, ma per far comprendere e scegliere coscientemente. Ma qui urtiamo contro i filosofi o presunti tali, contro i tuttologi che fanno dei danni enormi perché fanno ritirare quei pochi che avevano aderito agli appelli dell’impegno, a causa delle castronerie quotidiane di cui si rendono artefici e ci fanno testimoni certi filosofi.
Sono almeno 150 anni che, nel mondo della scienza, e particolarmente in quello della fisica, nessuno ardirebbe sostenere che egli SA, egli è in grado di ..,… Da tempo immemorabile ogni scienziato è al corrente degli enormi limiti della scienza, della provvisorietà di ogni conoscenza, dei limiti personali di conoscenza rispetto addirittura ad altri capitoli della disciplina di studio (è noto a chi lavora in un Istituto di fisica che un “particellaro” non è in grado di entrare in argomento con uno “strutturista” e viceversa).
I guai vengono da chi, dall’esterno, tenta di spiegare la scienza, costruendo recinti, paradigmi, dizionari, mondi, strutture logiche che, il più delle volte, sono parto della sola fantasia di chi, tra l’altro, non è mai stato un praticante sul campo della scienza. Insomma, arrivano alcuni filosofi che in gran parte si muovono su piani rinunciatari, lavorando su ogni scienziato che non abbia mai formalizzato. E così si sprecano gli studi su Galileo (saltando con cura i Discorsi e dimostrazioni matematiche!), su Cartesio (ma solo nella parte dell’Introduzione al Discorso sul Metodo, il resto è troppo difficile!), su Leibniz (ma senza entrare nella formalizzazione delle monadi perché lì occorrerebbe entrare nel calcolo differenziale!), su ogni scienziato che ha scritto e parlato senza perdersi in troppe formule, … Questi filosofi sono le calamità, sono personaggi che tentano giudizi sulla
scienza conoscendo quasi nulla di essa ed in gran parte di seconda mano. A questo si deve poi aggiungere il disastro di Comte che seleziona, cataloga, classifica le scienze immettendovi discipline che di scientifico non hanno mai avuto nulla (compresa la Sociologia che piace tanto a Popper per essere egli stesso un sociologo e non un filosofo). Ma inizia anche un movimento di scienziati che inizia a discutere di scienza (si pensi a Mach, ad Otswald, a Boltzmann, a Wittgenstein,…) proprio in quell’epoca in cui inizia la separazione tra il lavoro teorico e sperimentale dello scienziato. Siamo nella “mittle-europa” della fine dell’Ottocento, nei circoli di Vienna, di Berlino,… Ma la cosa coinvolge anche la Francia di Poincaré e la Gran Bretagna di Russel (in Italia siamo alle disquisizioni tra Rosmini e Gioberti sulla libera Chiesa in libero Stato). Ho citato scienziati che, dalla loro formazione scientifica, discutono di scienza e di filosofia. Non si trovano filosofi che possano opinare di scienza se la scienza non la conoscono. E conoscere la scienza non vuol dire conoscere alcuni risultati più o meno ben divulgati, ma essere entrati in istituzioni a fare per un certo periodo della ricerca scientifica.
Quando si conosce, per averlo vissuto, il modo di lavorare (o uno dei modi di lavorare) del ricercatore scientifico, quando si è padroni di alcuni pezzi di qualche disciplina scientifica, è allora possibile entrare in argomento e costruire una teoria epistemologica, una ricostruzione plausibile del modo di lavorare dello scienziato (o di “quello” scienziato). In caso contrario è facile scadere in luoghi comuni, in affermazioni mai realmente comprese, in sciocchezze, nel rifugiarsi in parti estranee all’ambito scientifico toccate da tale studioso. Si può addirittura fare il gioco di chi è più bravo ad inventare, quando poi le confutazioni sono solo a livello di libero dibattito, senza possibilità di un qualunque arbitro. Si chiamano volgarmente idee in libertà. Come fa infatti uno scienziato, supposto che ne abbia voglia (e se ne ha voglia, la avrà solo in età avanzata, quando la creatività sul campo della ricerca di frontiera avrà lasciato il posto a riflessioni e all’organizzazione della scienza medesima), a spiegare a un epistemologo di provenienza filosofica che non ha capito l’essenza dei problemi? Si parla con una persona che generalmente non conosce l’argomento del contendere. E’ un poco come i pedagogisti che spiegano come insegnare senza aver mai avuto a che fare con una classe, con un corso di studi, per almeno un ciclo completo.
Quella di R. Feynman è l’esemplificazione più clamorosa che avevo in mente quando iniziavo ad argomentare nella premessa. Questo scienziato, tra i più grandi del Novecento, così scriveva nelle sue famosissime ed ineguagliate Lectures on Physics del 1964 (Vol. I, pag. 16-1):
“These philosophers are always with us, struggling in the periphery to try to tell us something, but they never really understand the subtleties and depths of the problem.”
[Questi filosofi sono sempre con noi, si affannano per cercare di dirci qualcosa, ma non comprendono mai realmente le sottigliezze e la profondità del problema].
L’altra è del famoso storico della scienza Stillman Drake. In un suo saggio, “Il Dialogo di Galileo: Al discreto lettore” (“Scientia“, vol. 117, 2, 1982, p. 267), egli scrive:
“In tempi recenti si è venuto manifestando un grande fastidio nei confronti del Dialogo sui Massimi Sistemi, allorché la storia della scienza è passata dalle mani degli scienziati a quella dei filosofi e dei sociologi“.
Ecco, era contro questo atteggiamento, molto diffuso, che ho fatto il Quijote. Non è questione di aver vinto o perso; di essere riuscito a salvare la mia Dulcinea. Era il tentativo di chi ha fatto il fisico in laboratorio di aprire le menti all’interpretazione della realtà che andasse al di là del mero fatto empirico o scientifico. Intravedevo un mondo complesso che non poteva essere racchiuso in qualche formula. Dal mio punto di vista di fisico volevo approfondire la conoscenza ed inserire il mio lavoro, il mio operare quotidiano in un contesto più ampio, che avesse una sorta di significato. Anticipo che, dopo tanti anni, il problema si è completamente rovesciato: di fronte alla modestia ed alla consapevolezza di una conoscenza limitata del mondo della scienza, si ha la immensa presunzione di alcuni filosofi che credono, DALL’ESTERNO, di aver capito di poter stabilire regole in una macchina che non conoscono perché l’hanno solo vista (?) dall’esterno, nella sua estetica fuorviante che non ha nulla a che vedere con i cicli termodinamici che regolano il suo funzionamento. Oggi dovrei cominciare in modo diverso, dovrei dire che i supposti filosofi, i cialtroni, devono stare alla larga perché sono controproducenti al fine di conciliare, in qualche modo, le due culture. Esempi di questo tipo ne abbiamo tanti, troppi. E richiedono interventi decisi, dissacratori e di denuncia del loro essere piazzisti del potere. Un certo Pera è persona di questo tipo che merita attenzione perché sulla falsificazione e l’ignoranza era assurto alla seconda carica dello Stato. Ma Pera non è che un’ombra deformata che ha tentato il successo attraverso personaggi che muovendosi nell’equivoco della conciliazione tra culture, spaventano i più, quelli che invece, se va bene, dicono con orgoglio che loro, di scienza non hanno mai capito nulla. E’ un mascherarsi dietro la scienza per costruirsi una corazza che dovrebbe difenderli. Da un parte i “letterati” non si azzardano, dall’altra gli scienziati non perdono tempo… Ed i cialtroni hanno buon gioco. O serve ricordare l’articolo di Alan Sokal del maggio 1996 su Social text ?
Roberto Renzetti
BIBLIOGRAFIA
(1) Enrico Bellone – Il mondo di carta – EST Mondadori 1976
(2) G.W.F. Hegel – Enciclopedia delle scienze filosofiche – Laterza 1967
(3) Paolo Casini – Filosofia e fisica da Newton a Kant – Loescher 1978
(4) Claudio Cesa – Le origini dell’idealismo tra Kant e Hegel – Loescher 1981
(5) F.W.J. Schelling – Escitos sobre filosofía de la naturaleza – Alianza Universidad, Madrid 1996
(6) John Losee – Introducción histórica a la filosofía de la ciencia – Alianza Universidad, Madrid 1981
(7) L. Geymonat (a cura di) – Storia del pensiero filosofico e scientifico – Garzanti 1971
(8) A.M. Ampère – Opere – UTET 1969
(9) Umberto Forti – Storia della scienza – Dall’Oglio 1968
(10) Christine Blondel et Bertrand Wolff – A la recherche d’une loi newtonienne pour l’électrodynamique (1820-1826) – Ampère et l’histoire de l’électricité, CNRS
(11) Edmund Whittaker – A History of the Theories of Aether and Electricity – Nelson & Sons, London 1954
(12) Pearcy Williams (a cura di) – The Selected Correspondence of Michael Faraday – Cambridge University Press, 1971
NOTE
(1) L’opera di Newton è trattata in http://www.fisicamente.net/FISICA/index-1600.pdf
(2) Gli sviluppi delle ricerche in ambito elettrico e magnetico dopo Newton si possono trovare in http://www.fisicamente.net/FISICA/index-4.htm
(3) L’opera dei fisici matematici francesi del Settecento si può trovare in http://www.fisicamente.net/FISICA/index-1712.pdf
(4) I lavori di Schelling a cui mi riferisco sono: Idee per una filosofia della natura (1797), Progetto di un sistema di filosofia della natura ... (1799), Deduzione generale del processo dinamico o delle categorie della fisica (1800), Sulla vera essenza della filosofia della natura … (1801).
(5) Oersted, Hans-Christian, Experimenta circa effectum conflictus electrici in acum magneticam, 21 luglio 1820. Pubblicata in francese: Expériences sur l’effet du conflict électrique sur l’aiguille aimantée. Annales de chimie et de physique, 1820, vol. 14, p. 417- 425 .
(6) Tra gli altri importanti contributi sulla ricerca delle forze agenti nell’esperienza di Oersted furono dati da Biot, Savart e Laplace (come ricordò Biot):
(Laplace) ha dedotto matematicamente dalle nostre osservazioni la legge della forza esercitata singolarmente da ogni tratto di filo su ogni molecola magnetica ad esso esposta. Questa forza è diretta, come l’azione totale, perpendicolarmente al piano formato dall’elemento longitudinale di filo e dalla più breve distanza tra questo elemento e la molecola magnetica sollecitata. La sua intensità, come nelle altre azioni magnetiche è inversamente proporzionale al quadrato di questa stessa distanza [Précis élémentaire de Physique, t.II , p. 737 e segg.; 1823]
Le memorie furono lette il 30 ottobre ed il 18 dicembre e non furono mai pubblicate (a parte un brevissimo sunto, Note sur le Magnétisme de la pile de Volta, negli Annales de Chimie et de Physique (2) t. XV, p. 222, 1820 ed il resoconto di una dissertazione tenuta in una seduta pubblica dell’Académie pubblicato sul Journal des Savants del 1821 alla pag. 221). Una esposizione dettagliata dei lavori di Biot e Savart fu da loro eseguita nella terza edizione del Précis élémentaire de Physique, t.II, p. 704 e segg; 1823 (una esposizione più breve si trova sulla seconda edizione della stessa opera, t. II, p. 117 e segg; 1821).
(7) Le note furono lette nei giorni: 18 e 25 settembre; 9, 16 e 30 ottobre; 6 novembre. Il sunto di queste note fu pubblicato negli Annales de Chimie et de Physique (2), t. XV, p. 59/76 e 170/218 nell’anno 1820 sotto il titolo De l’action excercée sur un courant électrique par un autre courant, le globe terrestre ou un aimant. C’è da notare che tutte le memorie di Ampère dal 1820 al 1825 furono raccolte in volume nel 1827 sotto il titolo: Memoire sur la théorie matematique des phénomènes électrodynamiques uniquement deduit de l’expérience. Di seguito riporto l’elenco di alcune memorie di Ampère su questioni elettromagnetiche che si trovano in rete: Ampère, André-Marie. Mémoire sur les effets des courants électriques, 1820. Ampère André-Marie, Mémoire présenté a l’Académie royale des Sciences, le 2 octobre 1820, où se trouve compris le résumé de ce qui avait été lu à la même Académie le 18 et 25 septembre 1820 sur les effets des courans électriques. Ampère André-Marie, Recueil d’observations électro-dynamiques, 1822 (document PDF, en ligne sur Gallica). Ampère, André-Marie, Babinet, Jacques. Exposé des nouvelles découvertes sur l’électricité et le magnétisme…, 1822 (En ligne sur Google “Recherche de Livres”).Ampère, André-Marie. Exposé méthodique des phénomènes électro-dynamiques et des lois de ces phénomènes, 1823 (En ligne sur Gallica). Ampère, André-Marie. Description d’un appareil électro-dynamique construit par M. Ampère, 1824 (En ligne sur Gallica). Ampère, André-Marie. Théorie mathématique des phénomènes électro-dynamiques uniquement déduite de l’expérience, 1827 (document PDF, en ligne sur Gallica). Ampère, André-Marie. Mémoire sur l’action mutuelle d’un conducteur voltaïque et d’unaimant, 1828 (En ligne sur Gallica).
(8) In una memoria letta all’Académie des Sciences l’8 ed il 15 gennaio 1821 ed inedita. Un resoconto di quanto Ampère aveva letto all’Académie, in questa seduta ed in altre precedenti, fu pubblicato in un articolo inserito negli Annales des Mines, t. V, p. 535-558 e riprodotto nella Recueil d’Observations électrodynamiques, p. 69-70.
(9) Su suggerimento di Fresnel, come lo stesso Ampère sostiene, su un frammento di Memoria (Théorie du Magnétisme) mai terminata e pubblicata a causa del cattivo stato della sua salute.
(10) Vedi: Annales des Mines, t. V, p. 557-558.
(11) Le due lettere inedite sono state ritrovate tra le carte di Ampère appartenenti all’Académie des Sciences. La prima lettera non reca alcuna data, mentre la seconda reca la data del 5 giugno 1821. Per il contenuto delle lettere vedi: Collection de Mémoires relatifs a la Physique, pubblicate dalla Società Francese di Fisica – TOMO II – Parigi 1885.
(12) A partire dal 18 settembre 1820 fino al 28 novembre 1825, Ampère comunicò varie memorie all’Accadémie (si veda la nota 7) che Ampère raccolse in una unica grande memoria della fine del 1825 Théorie des phénomènes électrodynamiques uniquement déduite de l’expérience (pubblicata però nel 1827 che si può trovare nel testo n° 12 di bibliografia). La trattazione che segue è fatta sulla base di questa memoria mentre lo sviluppo analitico è fatto seguendo la traccia indicata da Whittaker che si serve, contrariamente da Ampère del calcolo vettoriale, riducendo di molto le centinaia di pagine di conti di Ampère.
(13) Nel seguito il simbolo di una grandezza vettoriale sarà dato indifferentemente con lettere in grassetto o con lettere non in grassetto su cui è riportata una piccola freccia (il problema nasce da una incompatibilità tra il linguaggio word e quello dell’editore di equazioni di word medesimo).
(14) In base a considerazioni su esperienze che dimostravano alcune differenze tra un magnete ed un solenoide percorso da corrente (nel magnete i poli non sono esattamente alle estremità come nel solenoide; il polo di un magnete attira il polo opposto di un ago magnetico in tutte le posizioni e direzioni mentre per un solenoide ed un ago vi sono delle deviazioni essendovi repulsione per una particolare posizione relativa di solenoide ed ago nella quale il polo dell’ago sarebbe invece attratto da un magnete; i poli dello stesso tipo di un magnete, pur respingendosi a distanza, si attirano quando sono a contatto fatto questo che non si verifica per i solenoidi in cui c’è sempre repulsione tra poli dello stesso tipo).
(15) Réponse a la lettre de M. Von Beck, sur une nouvelle expérience électromagnetique, in Journal de Physique, t. XCIII, p. 447 – Ottobre 1821.
(16) Vedi: The Selected Correspondence of Michael Faraday, Volume 1: 1812-1848, pag. 130.
Categorie:Storia
Rispondi