Ingegneria Meccanica – Roma Tre
AA/2011-2012
APPUNTI PER IL CORSO
(Ripresi e sistemati, con differente organizzazione e varie integrazioni, dai testi di bibliografia)
Roberto Renzetti
PARTE TERZA
LAVORO ED ENERGIA
Bibliografia: Paul J. Tipler, Gene Mosca – Corso di Fisica – Zanichelli, 2009
Jay Orear – Fundamental Physics – John Wiley & Sons Inc, 1967
F.W. Sears, M.W. Zemansky – University Physics – Addison-Wesley Publishing Company, 1964
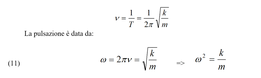
M. Alonso, E.J. Finn – Fundamental University Physics – Addison-Wesley Publishing Company, 1969
R. Renzetti – Vari appunti miei raccolti negli anni – www.fisicamente.net
14 – Lavoro
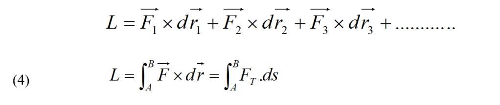
Consideriamo una particella A che si muove lungo una curva C sotto l’azione di una forza F (vedi figura). In un intervallo di tempo molto piccolo dt essa si muove da A ad A’, lo spostamento essendo AA’ = dr.

Il lavoro compiuto dalla forza F durante tale spostamento è definito dal prodotto scalare

Possiamo enunciare questo concetto dicendo che il lavoro è uguale al prodotto dello spostamento per la componente della forza nella direzione dello spostamento.
Osserviamo che, se la forza è perpendicolare allo spostamento (θ = 90°), il lavoro compiuto dalla forza è nullo. Per esempio, questo è il caso della forza centripeta Fc nel moto circolare (figura a) o della forza di gravità mg quando un corpo si muove su di un piano orizzontale (figura b).

La (1) fornisce il lavoro per uno spostamento infinitesimo. Il lavoro totale compiuto sulla particella nel passaggio da A a B (vedi figura) è la somma di tutti i lavori infinitesimi compiuti durante i successivi spostamenti infinitesimi.

Cioè:

Prima di poter calcolare questo integrale (detto anche integrale curvilineo di F), dobbiamo conoscere F in funzione di x, y, e z. Inoltre, in generale, dobbiamo conoscere l’equazione della traiettoria lungo la quale la particella si muove; oppure dobbiamo conoscere F, x, y e z in funzione del tempo e di qualche altra variabile.
Talvolta è conveniente rappresentare graficamente FT. Nella figura seguente abbiamo riportato il diagramma di FT in funzione della distanza s.

Il lavoro dL = FT.ds compiuto durante un piccolo spostamento ds, corrisponde all’area del rettangolo stretto. In tal modo possiamo trovare il lavoro compiuto sulla particella per spostarla da A a B, dividendo dapprima l’intera area tratteggiata della figura in tanti rettangoli stretti, e sommando poi le loro aree. Cioè, il lavoro totale compiuto è dato dall’area totale sottesa dalla curva, dall’asse s e dai segmenti di perpendicolare tracciati dagli estremi considerati della curva e l’asse s.
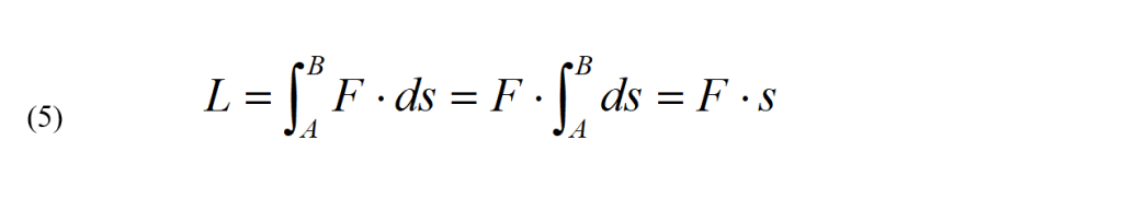
Un interessante caso particolare è quello in cui la forza è costante in modulo e direzione, e il corpo si muove in linea retta nella direzione della forza (vedi figura).

Allora FT = F, e dalla (4) si ottiene:

Cioè: il lavoro è dato dal prodotto della forza per lo spostamento, che è l’espressione riportata normalmente nei testi elementari.
Se Fx, Fy ed Fz sono le componenti ortogonali di F, e dx, dy e dz sono le componenti ortogonali di dr (vedi figura), la regola del prodotto scalare di due vettori ci permette di scrivere:


Quando la particella è soggetta a numerose forze F1, F2, F3, … , il lavoro compiuto da ciascuna forza durante uno spostamento AA’ = dr (vedi figura) è dL1 = F1x dr, dL2 = F2 x dr, dL3 = F3x dr, ecc.

Osserviamo che dr è lo stesso per tutte le forze, poiché tutte agiscono sulla stessa particella. Il lavoro totale dL compiuto sulla particella si ottiene sommando i lavori infinitesimi dL1, dL2, dL3, … , compiuti da ciascuna forza. Allora:

dove F = F1 + F2 + F3 + … è la forza risultante. Ma l’ultimo risultato fornitoci dall’equazione precedente è il lavoro compiuto dalla forza risultante che agisce sulla particella. Ciò dimostra allora che il lavoro compiuto dalla risultante di parecchie forze applicate alla medesima particella è uguale alla somma dei lavori compiuti dalle forze componenti.
Il lavoro è positivo se il moto si svolge nello stesso verso della forza e negativo se si svolge in verso opposto. L’unità di misura è il joule:
1 J = 1 N . 1 m
Le dimensioni sono:
[Lavoro] = [M.L.T-2.L] = [M.L2.T-2]
15 – Potenza
Nelle applicazioni pratiche, specie in relazione alle macchine e ai problemi di ingegneria, è importante conoscere quanto lavoro viene compiuto nell’unità di tempo. La potenza istantanea è definita da:

e così la potenza si può anche definire come il prodotto della forza per la velocità. La potenza media durante un intervallo di tempo t si ottiene dividendo il lavoro totale L, dato dalla (4), per il tempo t, ottenendo così Wmed = L/t.
Da un punto di vista applicativo, il concetto di potenza è molto importante, perché quando un ingegnere progetta una macchina, ciò che importa è il ritmo col quale essa può produrre lavoro, piuttosto che la quantità totale di lavoro che la macchina può compiere.
L’unità di misura è il watt: 1W = 1 J . 1s-1
[sono in uso, come unità di misura di energia, il wattora = Wh = 3600 J ed il KWh = 3,6.106 J].
16 – Lavoro ed energia cinetica
La curva della figura seguente rappresenta la traiettoria di una particella di massa m che si muove nel piano x,y soggetta ad un forza risultante F che varia in modulo ed in direzione da un punto all’altro della traiettoria

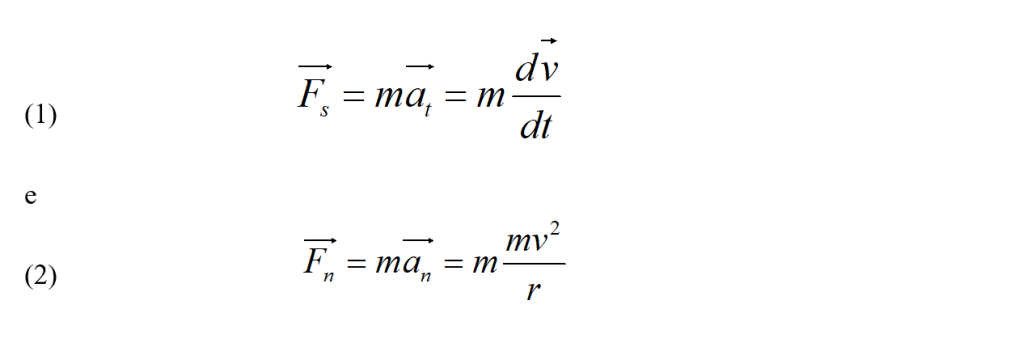
In un moto curvilineo generico, come già discusso, occorre considerare sia la forza tangenziale che quella centripeta per le quali valgono le seguenti relazioni già viste:

La componente Fn , perpendicolare alla velocità v, è una forza centripeta ed ha la funzione di variare la direzione della velocità mentre la componente Fs fa variare il modulo della velocità.
Sia s la distanza di una particella da un punto fisso O della traiettoria. In generale il valore di Fs, dato dalla (1), sarà funzione di s di modo che v, oltre ad essere funzione di t, è anche funzione di s, risultando funzione di funzione.
Applicando la regola di derivazione di una funzione di funzione troviamo:

La (1) diventa quindi:

L’integrale del primo membro è il lavoro totale L fatto dalla forza risultante F nello spostare la particella da s1 ad s2:

che chiamiamo energia cinetica.
Con queste notazioni la (3) diventa:

Abbiamo allora il teorema dell’energia cinetica: il lavoro fatto dalla forza F che agisce su una particella è uguale alla variazione dell’energia cinetica della particella.
Se φ è l’angolo tra la forza F e l’elemento di spostamento ds, la componente della forza parallela a ds è Fs = F cos φ, come si può vedere dalla figura.

Perciò l’equazione (4) per il lavoro eseguito da una forza F può essere scritta:

In generale, sia F sia φ variano mentre la particella si muove lungo una curva tridimensionale. Si rilevi che cos φ ds è la componente dello spostamento ds su una linea parallela alla forza. Perciò, si può considerare l’elemento di lavoro dL = F cosφ ds o come il prodotto dello spostamento ds per la componente parallela della forza F cos φ o come il prodotto della forza F per la componente dello spostamento ds cos φ. La seconda interpretazione è talvolta utile quando la forza è costante in direzione.
Per capire meglio, approfittando anche per ampliare la conoscenza dell’energia, consideriamo un esempio.
Un oggetto di massa m parte dalla quiete e scende strisciando lungo un piano inclinato liscio che forma un angolo θ con il piano orizzontale. Cerchiamo di calcolare il lavoro eseguito da tutte le forze e la velocità della particella dopo che ha percorso strisciando una distanza s lungo il piano.

Le forze che agiscono sulla particella sono il peso mg e la forza di contatto N esercitata dal piano, la quale è perpendicolare al piano poiché questo è liscio. Queste forze sono indicate nella figura. La forza normale N, essendo perpendicolare al moto, non esegue lavoro. L’unica forza che esegue lavoro è il peso mg, che ha la componente mg sin θ nella direzione del moto. (Si rilevi che l’angolo φ fra il peso e la direzione del moto è il complemento dell’angolo di inclinazione θ. Perciò l’elemento di lavoro eseguito dal peso è dL = mg cos φ ds = mg sin θ ds). Poiché il peso è costante, il lavoro eseguito sulla distanza s è semplicemente mg sin θ s. È il lavoro totale eseguito da tutte le forze, e perciò è uguale alla variazione dell’energia cinetica, che è semplicemente ½mv2 perché la particella parte dalla quiete. Perciò il teorema dell’energia cinetica dà:
Ltot = mg sin θ s = ½ mv2
Ossia:
v2 = 2s sin θ g = 2gh
dove h = s sin θ è l’altezza verticale totale di cui la particella è discesa. Il lavoro eseguito dalla Terra sulla particella è mgh ed è indipendente dall’angolo di inclinazione del piano. Se l’angolo θ aumentasse, la particella percorrerebbe una distanza s più piccola per discendere della stessa distanza verticale h, ma la componente del peso parallela al moto mg sin θ sarebbe maggiore, e il lavoro eseguito mg sin θ s sarebbe perciò identico.
I risultati di questo esempio possono essere generalizzati. Si consideri una particella che scende strisciando lungo una curva di forma qualsiasi sotto l’influenza della gravità. La figura seguente indica un piccolo spostamento ds parallelo alla curva.

Il lavoro eseguito dalla Terra durante questo spostamento è mg cos φ ds, dove φ è l’angolo fra lo spostamento e la forza di gravità diretta verso il basso. La quantità ds.cos φ è semplicemente dh, la distanza verticale percorsa dalla particella nello scendere. Mentre la particella scende strisciando lungo la curva, l’angolo φ varia, ma per ogni spostamento ds la componente dello spostamento parallela al peso è ds cos φ = dh e il lavoro eseguito dalla Terra è mg ds cos φ = mg.dh. Perciò, il lavoro totale eseguito dalla Terra è mgh, dove h è la distanza verticale totale percorsa dalla particella nella sua discesa. Se la curva è liscia (priva d’attrito), il peso è l’unica forza che esegue lavoro. In questo caso il modulo della velocità che la particella ha dopo essere discesa in una distanza verticale h si ricava da ½mv2 – ½mv02 = mgh, dove v0 è il modulo della velocità iniziale. Se la curva non è liscia, la forza d’attrito eseguirà un lavoro (questo lavoro sarà negativo perché la forza d’attrito ha verso opposto a quello del moto). Il lavoro eseguito dalla forza d’attrito dipende dalla lunghezza e dalla forma della curva e dal coefficiente d’attrito.
17 – Energia potenziale
Spesso il lavoro eseguito da una forza applicata a un corpo non produce un aumento dell’energia cinetica del corpo perché altre forze eseguono un’uguale quantità di lavoro negativo. Per esempio, si consideri un blocco che viene sollevato lentamente lungo un piano inclinato liscio con velocità costante da una forza applicata Fappl che equilibra esattamente la componente del peso del blocco parallela al piano inclinato, Fappl = mg sin θ. Il lavoro eseguito dalla forza applicata nello spostare il blocco di una distanza s è

Ma si può convertire in una variazione dell’energia cinetica il lavoro eseguito dalla forza applicata, liberando il blocco e lasciandolo ridiscendere strisciando lungo il piano inclinato. Il peso eseguirà allora una quantità di lavoro positiva mg sin θ s = mgh, che è uguale all’aumento dell’energia cinetica perché è l’unico lavoro eseguito sul blocco.
Possiamo usare l’attrazione gravitazionale che la Terra esercita sul blocco per accumulare il lavoro che eseguiamo sul blocco, usandolo in seguito per impartire al blocco un’energia cinetica. Diciamo che il blocco all’altezza h ha un’energia potenziale mgh rispetto alla posizione iniziale. Il lavoro eseguito dalla forza applicata aumenta l’energia potenziale del blocco. Quando il blocco ridiscende strisciando sotto l’influenza del suo solo peso, il lavoro eseguito dalla Terra diminuisce l’energia potenziale aumentando nello stesso tempo l’energia cinetica di una uguale quantità. In questo caso l’energia potenziale si converte in energia cinetica. Poiché la perdita di energia potenziale è uguale al guadagno di energia cinetica per ciascuna parte del moto discendente, la somma dell’energia potenziale e dell’energia cinetica è costante mentre il blocco scende strisciando lungo il piano inclinato. È un esempio della conservazione dell’energia.
Se si lancia un corpo dal basso verso l’alto lungo un piano inclinato con velocità iniziale v0, il corpo si muove sul piano finché il lavoro negativo eseguito dalla Terra non annulla l’energia cinetica.

Poiché questo lavoro negativo è uguale all’aumento dell’energia potenziale mgh, l’altezza massima raggiunta dal corpo è data da mgh = ½mv02 (vedi figura). (Di nuovo l’altezza è indipendente dall’angolo d’inclinazione del piano). Il corpo si arresta momentaneamente a questa altezza e poi ridiscende strisciando lungo il piano, acquistando energia cinetica e perdendo energia potenziale. Quando raggiunge il suo punto di partenza, la sua energia cinetica è di nuovo ½mv02.
Esistono molti altri tipi di energia potenziale. Si supponga di avere una massa attaccata ad una molla nella sua posizione di equilibrio. Se si allunga la molla applicando una forza uguale a quella esercitata dalla molla (dopo avere impresso alla massa una lieve spinta), la molla esegue un lavoro negativo uguale in valore assoluto a quello eseguito dalla forza applicata, e l’energia cinetica non varia. Nella posizione allungata, la molla ha un’energia potenziale uguale al valore assoluto del lavoro (negativo) eseguito dalla molla. Quando la massa è lasciata libera, la molla esegue su di essa un lavoro positivo. Ciò aumenta l’energia cinetica della massa e diminuisce l’energia potenziale.
18 – Energia potenziale gravitazionale. Energia meccanica totale e sua conservazione
Vediamo in altro modo quanto detto sull’energia potenziale riferendoci alla figura seguente:

(a) (b) (c)
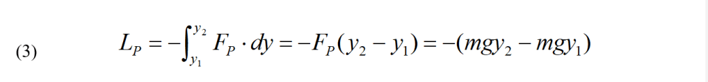
Supponiamo, come mostrato in figura (a), di avere un corpo di massa m e peso FP = mg che viene sollevato da una forza Fr(risultante di tutte le altre forze). Il sollevamento porta il centro di massa del corpo da un’altezza iniziale y1 ad una finale y2 rispetto ad un piano di riferimento (il suolo). Sia inoltre L’ il lavoro fatto da Fr. Il lavoro LP fatto dalla forza peso FP è opposto a quello fatto nello spostamento verso l’alto:

Sia ora φ l’angolo che ds forma con la sua componente verticale dy. Allora dy = ds.cos φ e, poiché φ = 180° – θ risulterà:
cos φ = – cos θ => cos θ ds = – dy
Cosicché la (2) si può scrivere:

e si vede facilmente che questo risultato è identico alla relazione (1), cioè a quello trovato per un moto verticale. Ciò vuol dire che il lavoro fatto dipende solo dalle quote (posizioni) iniziali e finali, indipendentemente dalla traiettoria.
Ricordiamo ora che il lavoro totale L è uguale alla variazione dell’energia cinetica, come mostrato nella relazione (6) del capitolo 16:

Da cui:

alla quale si dà il nome di energia potenziale gravitazionale che possiamo indicare anche con U.
Scriviamo la (4) in altro modo:

E ciò vuol dire che: nelle condizioni dette, l’energia meccanica totale si conserva.

19 – Lavoro ed energia
Confrontiamo la definizione scientifica di lavoro con l’uso quotidiano del termine. Si consideri una persona che tiene un peso a una distanza h dal pavimento, come nella figura.

Nel linguaggio quotidiano, si dice che bisogna eseguire un lavoro per far questo: si deve esercitare una forza, che stanca i muscoli; ma nella nostra definizione scientifica, nessun lavoro è eseguito da una forza che agisce su un corpo fermo. Si potrebbe eliminare lo sforzo di sostenere il peso legando semplicemente la fune a qualche oggetto fisso, e il blocco sarebbe sostenuto senza che si debba intervenire in alcun modo. Allo stesso modo, una persona che trasposti una pesante valigia su un marciapiede orizzontale piano, non fa alcun lavoro fisico (la forza risulta perpendicolare allo spostamento)ma fatica molto. È utile considerare il lavoro, così come è stato definito, come una grandezza di cui deve essere pagato lo scotto in qualche modo. Il pagamento avviene mediante qualche tipo di perdita di energia da parte di qualunque agente che eserciti la forza. Per esempio, non si può sollevare il peso della figura a un’altezza maggiore se non si fornisce energia in una forma o in un’altra. Se si attacca un peso lievemente più grande alla fune e si solleva il peso iniziale lasciando cadere il secondo peso, si paga con la perdita di energia potenziale del secondo peso. Se si solleva semplicemente il peso con i muscoli, si paga lo scotto del lavoro eseguito con la perdita di energia chimica interna del corpo. Per continuare a eseguire lavoro con i muscoli, si deve finire per ripristinare questa energia con l’assunzione di nutrimento. Se si attacca la fune a un motore elettrico per sollevare il peso, si spende energia elettrica per eseguire questo lavoro.
20 – Campi conservativi
Si definisce conservativo un campo di forze quando il lavoro fatto per spostarsi tra due punti A e B di esso è indipendente dal cammino percorso (il campo è conservativo solo quando in esso agiscono forze conservative come quella gravitazionale o elettrostatica). Dietro questa definizione vi è un fatto semplice. Supponiamo che da un paesino A a fondovalle si voglia raggiungere una cima B. Tale cima, come si sa, è raggiungibile per varie vie, da quella per principianti a quella per esperti scalatori. L’una sarà una passeggiata che si servirà di molti tornanti, l’altra punterà a perpendicolo verso la cima. Ambedue, il principiante e lo scalatore, faranno un lavoro per andare da A a B. Nel caso del principiante si avrà l’applicazione media di una forza minore ma il tragitto è più lungo; nel caso dello scalatore vi sarà l’applicazione di una forza maggiore per un tragitto però più breve. Si tratta di capire quale lavoro è maggiore se ve ne è uno maggiore. La cosa non è priva di senso, semplicemente perché, ad esempio, dovendo costruire una strada si tenterà sempre di farlo lungo il preteso tragitto in cui il lavoro sia minimo. Fin qui mi sono riferito al campo gravitazionale. Stesse cose si possono dire per campi elettrici, magnetici, elettromagnetici, … evidentemente con esemplificazioni diverse. Rappresentiamo con un disegno i due punti A e B uniti da due tragitti, l’1 ed il 2 che ci permettono di andare da un punto all’altro secondo il verso delle frecce (Fig. 1).


Figura 1
Tornando al campo conservativo e riferendoci alla figura 1, la definizione data vuol dire che se un campo è conservativo il lavoro fatto per andare da A a B lungo la linea 1 deve essere lo stesso di quello che si fa lungo la linea 2:
;(LAB)1 = (LAB)2
Dire questo equivale a dire che in un campo conservativo il lavoro che si fa per andare da A a B lungo una linea (1) è uguale e di segno opposto a quello che si fa per andare da B ad A lungo un’altra linea (2):
(LAB)1 = (- LBA)2
Ed in definitiva se si calcola il lavoro fatto per andare da A a B e quindi da B ad A, dopo aver percorso un giro completo (Fig 1b), questo deve essere nullo:
(LAB)1 – (- LBA)2 = 0 ⇒ (LAB)1 + (LBA)2 = 0
Dimostriamo in un caso elementare che il lavoro fatto per spostarsi lungo una linea chiusa in un campo gravitazionale è nullo, dimostriamo cioè che il campo gravitazionale è conservativo.
Consideriamo una massa m sferica da dover caricare sul cassone di un camion. Le possibilità evidenti sono due: o facciamo rotolare la massa fin sotto il cassone e poi la solleviamo (cammino 1), o sistemiamo una tavola, che ci serva da piano inclinato, su cui far rotolare la massa sul cassone del camion (cammino 2). Anche qui facciamo un disegnino per capire meglio (Fig. 2).

Figura 2
Occorre calcolarsi il lavoro fatto per andare da B ad A, quindi quello fatto per andare da A a C ed infine quello fatto per andare da C a B. La somma di questi valori fornisce il lavoro fatto per spostarsi lungo una linea chiusa all’interno di un campo gravitazionale (si noti che, la linea rossa corrisponde al lavoro che si fa lungo un cammino e la linea verde quello che si fa lungo l’altro cammino: per considerare l’insieme dei due cammini come linea chiusa ho considerato uno dei due cammini percorso in senso inverso, come annunciato nella seconda relazione scritta).
Ricordando che il lavoro è il prodotto scalare di forza per spostamento:

si trova subito che:
LBA = p.s.cos α = p.h
(poiché la forza deve essere moltiplicata per la proiezione dello spostamento su di essa)
LAC = 0
(poiché la forza è perpendicolare allo spostamento e quindi cos α = 0)
LCB = – p.h
(poiché forza e spostamento hanno versi opposti).
L = LBA + LAC + LCB = p.h + 0 – p.h = 0.
Con questo conticino elementare si dimostra (solo in questo caso semplice) che il campo gravitazionale è conservativo. Il caso è semplice perché abbiamo supposto implicitamente che le linee lungo cui agisce la forza gravitazionale sono parallele tra loro. Tale approssimazione è pure legittima ma non fornisce una dimostrazione rigorosa.
Per dimostrarlo in generale ci si può servire di identica dimostrazione che darò per il campo elettrico, nel caso in cui le linee lungo cui agisce la forza di tale campo sono radiali, si dipartono cioè da una carica come prolungamento dei suoi raggi.
CONSERVATIVITA’ DEL CAMPO GRAVITAZIONALE: CASO RADIALE
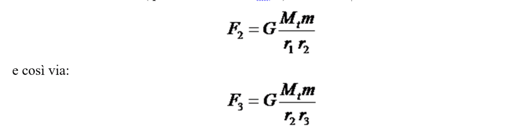
Consideriamo la Terra, di massa M1 con il suo raggio R. Il campo radiale creato da tale sfera è dato da:

dove G è l’intensità del campo gravitazionale definito come la forza di gravitazione universale F per unità di massa (m).
Supponiamo ora di avere una piccola massa m che si sposti, seguendo una linea di campo, dal punto A (sulla superficie della Terra) ad un punto qualunque B.

Figura 3
Ora calcoleremo il lavoro che dobbiamo fare contro le forze del campo per spostare tale piccola massa da A a B (cammino 1), quindi calcoleremo il lavoro che dovranno fare le forze del campo per riportare la piccola massa in A lungo il cammino 2. Ma torniamo al calcolo del lavoro fatto per portare m da A a B. Per farlo occorre partire con una osservazione di fondamentale importanza, pena un calcolo errato in tutto. Lo spostamento è AB e qui non vi è nulla da osservare. Ma la forza (che si ottiene moltiplicando la m per il campo G) è davvero un grave problema perché, osservando la (1), ci si rende immediatamente conto che essa varia con l’inverso del quadrato della distanza (l’analogo della forza gravitazionale). Le altre cose che compaiono nella formula sono delle costanti, anche Mt è quella e basta. Il fatto che la forza vari con il quadrato della distanza, vuol dire che man mano che ci si allontana dalla Terra tale forza diminuisce. Fin qui è chiaro. Il fatto è che la variazione di tale forza avviene punto per punto. Ciò vuol dire che per calcolare il lavoro fatto per andare da A a B occorre sommare infiniti lavori, quelli fatti punto per punto (della linea AB) che sono diversi tra loro.
Seguiamo il seguente metodo di calcolo per capire successivamente la potenza dell’analisi matematica. Suddividiamo la distanza AB = r – R in tanti piccoli segmenti tali che, in ognuno di essi la forza F = m.G sia approssimativamente costante, pari cioè al valor medio (attenzione: non media aritmetica!) nell’intervallo.
All’inizio del primo intervallo (punto A) la forza che agisce sulla massa m sarà data da:

Il problema è avere una media nell’intervallo di questi due valori. La media aritmetica (sommare i due valori di forza per poi dividere per 2) dovrebbe prevedere una diminuzione costante della forza nell’intervallo. Ma qui la forza diminuisce con il quadrato, se cioè ci si allontana di 2 la forza diventa un quarto, se ci si allontana di 3 la forza diventa un nono, … Una media che risponde allo scopo è la media geometrica, media in grado di determinare il tasso medio di decremento (o accrescimento) di un fenomeno (nel nostro caso: decremento della forza). Si definisce come media geometrica tra N valori (nessuno dei quali negativo o nullo), la radice N-esima del loro prodotto. Nel nostro caso abbiamo 2 valori e quindi dovremo calcolare la radice quadrata del loro prodotto. Chiamando con F1 la nostra media, si trova:

Nel secondo intervallo (quello che va da r1 ad r2) si troverà:

Il lavoro che la forza F1 compie nel primo intervallo, sarà:

Analogamente, per ΔL2, ΔL3, …, si trova:


………………………….
Poiché il lavoro complessivo L3 fatto dalla forza elettrica in questi primi tre intervalli sarà:

si ha:

cioè:

Estendendo il ragionamento a tutti gli intervalli, osservando che il secondo termine dentro una parentesi tonda si annulla con il primo della parentesi tonda successiva, si trova che il lavoro totale LAB , per spostare la m da A a B è dato da:

Prima di andare oltre si deve notare che questo lavoro è fatto contro le forze del campo (è contro il campo gravitazionale della Terra che spostiamo la massa m da A a B) e non da esse come nel caso in cui la massa m fosse lasciata cadere da B verso A.
In quest’ultimo caso l’espressione doveva essere cambiata di segno. Ma torniamo alla discussione che stavamo facendo.
Resta un piccolo problema: siamo sicuri che il calcolo della media geometrica ci dia proprio il valore cercato ? Mi sembra chiaro che il valore migliore per la forza non dovrebbe essere mediato su un intervallo ma dovrebbe essere quello che la forza ha punto per punto. Si tratterebbe quindi di sommare infiniti contributi infinitesimi. L’integrale è l’operazione che permette questo tipo di somma. Facendo l’integrale da A a B (cioè da R ad r) delle forza gravitazionale (nella quale l’erre che compare al denominatore non sarà né R né r ma un ρ variabile tra R ed r, cioè: R ≤ ρ ≤ r) moltiplicata per l’intervallo infinitesimo dρ della linea di forza, abbiamo il lavoro LAB che abbiamo prima trovato con la lunga elaborazione vista:

Mi pare sia chiaro che il calcolo, l’analisi, è qualcosa di fondamentale. Non si viaggia più per tentativi (per quanto sofisticati) ma si arriva a risultati certi in tempi brevissimi e con operazioni generalmente molto semplici (l’integrale ora fatto è uno degli integrali elementari).
Volendo ora chiudere il discorso sul campo gravitazionale, campo conservativo, occorre fare il conto del lavoro che si fa per tornare da B ad A, attraverso la linea 2 della figura 3. Se facendo questo conto, troviamo lo stesso valore (cambiato di segno) che abbiamo ora trovato per il lavoro, allora potremo concludere che il lavoro fatto per andare da A a B è indipendente dal cammino percorso in accordo con quanto detto all’inizio: il lavoro fatto lungo una linea chiusa è nullo.

Figura 4
Riferendoci alla figura 4, soffermiamoci sulla linea curva che unisce B ad A. Anche qui mi servirò di ragionamenti analitici. Tale linea la posso pensare costituita da tanti tratti radiali (paralleli alle linee di forza) e da tanti archi di cerchi concentrici alla sfera. Lungo tali archi la forza che sposta la carica non compie lavoro perché la forza è perpendicolare allo spostamento (la forza agisce lungo la linea di forza e tale linea è un raggio della sfera e quindi perpendicolare alla sua superficie ed a tutte le superfici concentriche ad essa). Nel tragitto curvo restano allora solo da considerare i contributi radiali e la somma di tali contributi non è altro che il tratto BA. Pertanto il lavoro complessivo (lavoro fatto dalle forze del campo) per portare la massa m da B ad A lungo la linea curva non è altro che quello che abbiamo già trovato cambiato di segno. Pertanto:
LBA = – LAB => L = LAB + LBA = 0.
Con questo abbiamo dimostrato la conservatività del campo gravitazionale. Quando arriveremo a trattare il campo elettrico faremo un discorso del tutto simile trattando la conservatività nel caso radiale.
IL POTENZIALE
Riferendoci all’ultima relazione scritta, iniziamo con il ricordare che la variazione di energia potenziale tra due punti A e B è definita come il lavoro fatto per andare da A a B:
UB – UA = LAB
avendo anche qui indicato con U l’energia potenziale.
Facciamo ora un esercizio puramente teorico, ricaviamo la nuova grandezza potenziale nel caso gravitazionale. L’esercizio è qui teorico perché non si usa quasi mai tale grandezza nel caso gravitazionale.
Nel caso quindi che discutiamo, quello gravitazionale, abbiamo immediatamente:

E questo risultato è valido in generale, cioè:

Chiunque studi fisica si accorgerà dell’importanza del concetto di conservatività e di quello di potenziale e quanto detto avrà rilevanza soprattutto nel caso elettrico.
______________________________
Rivediamo ora esattamente le stesse cose da riferire però al caso elettrico in cui la forza è (come vedremo) quella di Coulomb ed il campo è quello elettrico E:

Consideriamo ora UA come energia potenziale di riferimento ponendola quindi uguale a zero in corrispondenza di un campo E che vale zero:
UA = 0 quando E = 0.
Ora E = 0 a distanza infinita, quando cioè r = ∞. Quindi abbiamo:

rappresenta il lavoro compiuto per portare la carica q da un certo punto (a distanza r da Mt) all’infinito.
Introdotta U è possibile definire il potenziale V come energia potenziale per unità di carica:

Chiunque studi fisica si accorgerà dell’importanza del concetto di conservatività e di quello di potenziale e quanto detto, come annunciato, avrà rilevanza nel caso elettrico.
21 – Ancora sulla conservazione dell’energia.
In un campo conservativo, fissato un punto A qualunque (a noi conveniente), il lavoro che le forze del campo compiono lungo una traiettoria qualsiasi che conduca da A a B, è dato da:

Ma in questa espressione UB non ha un valore determinato sia perché B è scelto arbitrariamente, sia perché ad UB si può assegnare un valore a piacere. Ciò significa che l’energia potenziale U in un punto qualunque del campo è determinata solo a meno di una costante additiva. Ma questa costante non ha influenza nei fenomeni fisici se si considerano differenze di energia potenziale.
Diciamolo in altro modo, ricordando la relazione (1) che possiamo scrivere nel modo seguente:

Essendo definita soltanto la variazione dell’energia potenziale, il valore della funzione U in qualunque punto non è specificato dalla definizione. Si è liberi di scegliere il valore di U in qualunque punto arbitrariamente. Di solito si assegna a U il valore zero in un certo punto di riferimento. L’energia potenziale in qualunque altro punto è quindi la differenza fra l’energia potenziale in quel punto e quella nel punto di riferimento.
Il lavoro eseguito da una forza non-conservativa (ved i subito dopo) agente su una particella che si sposta dal punto A al punto B può anche essere scritto come un integrale di linea, come nell’equazione (1), ma questo lavoro può dipendere dalla traiettoria seguita dalla particella, dalla velocità della particella, e da altre grandezze. Poiché questo lavoro non è semplicemente una funzione della posizione iniziale e della posizione finale della particella, ad una forza non-conservativa non è associata una funzione energia potenziale.
FORZE NON CONSERVATIVE
È importante capire che una funzione energia potenziale U(x) può essere definita dalle equazioni (2) e (3) solo se la forza F è conservativa (ricordo che il lavoro in un campo conservativo può essere solo fatto da forze conservative), cioè, se F è costante o è una funzione della sola posizione. Si può comprendere la ragione di questa limitazione considerando forze che dipendono da grandezze diverse dalla posizione, per esempio, dalla velocità della particella. In questo caso, il lavoro eseguito su una particella mentre essa si sposta dal punto A al punto B dipende dalla velocità della particella. Non potendo esprimere questo lavoro come funzione dei punti A e B, non si può definire un’energia potenziale U(x) mediante l’equazione (2). Un esempio di tale forza non-conservativa è la resistenza viscosa, che cresce in modulo al crescere del modulo della velocità e ha orientazione opposta a quella della velocità della particella.
Un altro esempio di forza non-conservativa, a cui si è già accennato, è l’attrito allo strisciamento. Si consideri un blocco che striscia su un piano scabro dal punto A al punto B. La forza d’attrito dipende dalla velocità del blocco e non può essere espressa in funzione della posizione del blocco. Per esempio, se il blocco è in quiete e non è soggetto ad alcuna forza, la forza d’attrito è nulla. Se il blocco si muove verso destra, la forza d’attrito è diretta verso sinistra; se il blocco si muove verso sinistra, la forza d’attrito è diretta verso destra. Anche se il modulo della forza d’attrito è approssimativamente indipendente dalla velocità, il verso della forza dipende dal verso della velocità. Perciò, non si può esprimere il lavoro eseguito da questa forza in funzione delle posizioni iniziale e finale e non si può definire una funzione energia potènziale associata a questa forza. Il lavoro eseguito da questa forza dipende dal modo in cui il corpo è spostato da un punto a un altro.
Un altro esempio comune di forza non-conservativa è una forza applicata da un agente umano, quale una spinta o una trazione. Supponiamo di voler sollevare un peso di una distanza verticale h. Si può applicare una forza verticale uguale al peso, equilibrando esattamente la forza di gravità in modo che il peso non acceleri. Oppure si può applicare una forza maggiore del peso, in modo che il peso acceleri. È chiaro che la forza applicata non dipende soltanto dalla posizione e perciò non è conservativa.
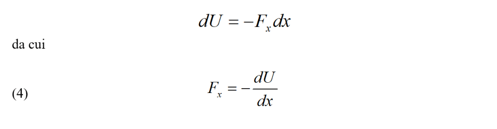
COME RICAVARE LA FORZA DALL’ENERGIA POTENZIALE
Finora abbiamo ricavato la funzione energia potenziale da una data forza. Consideriamo ora il problema inverso, ricavare la forza da una data funzione energia potenziale. Per la maggior parte dei casi che ci interessano (moto unidimensionale e forze centrali) la forza ha soltanto una componente e l’energia potenziale è una funzione di una sola variabile. In questi casi la forza è semplicemente l’opposto della derivata dell’energia potenziale. Secondo l’equazione (3), la forza e la funzione energia potenziale sono legate dalla relazione:

La forza è perciò l’opposto in segno della derivata di U rispetto a x. Per le forze centrali, per esempio per la forza gravitazionale e la forza elettrostatica, abbiamo:

Un vettore orientato secondo la massima variazione di una funzione scalare e avente come modulo la derivata della funzione rispetto alla distanza in quella direzione è chiamato gradiente della funzione. Perciò, in generale, la forza è l’opposto del gradiente dell’energia potenziale.
22 – Energia potenziale elastica
Riferiamoci alla figura seguente:

Applicando alla massa m una forza FA che la sposta di un tratto x, si genera una forza elastica F = – kx (Legge di Hooke).
Il lavoro Lel fatto dalla forza elastica, l’area sottesa dalla retta di figura fino all’ascissa presa in considerazione, è dato da:

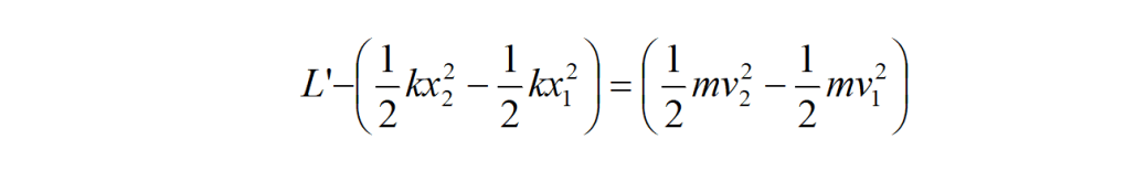
:Indicando con L’ il lavoro della forza applicata FA si ha che il lavoro totale L vale:
L = L’ + Lel = ΔEc
cioè:

Da cui

Anche qui, come nell’equazione (6) del capitolo 18, si trova in ogni quantità tra parentesi compare la somma di una energia cinetica e di una energia potenziale. Ebbene, tale somma è l’energia meccanica totale.
La prima parentesi contiene l’energia meccanica totale alla fine del processo, la seconda all’inizio. Cosicché il lavoro di tutte le forze che agiscono sul corpo (eccetto quella gravitazionale) è uguale all’aumento della sua energia meccanica totale.
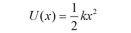
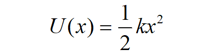
Nelle relazioni scritte compare una quantità che è l’energia potenziale elastica Uel:

RAPPRESENTAZIONE GRAFICA
La figura seguente mostra un diagramma dell’energia potenziale in funzione di x per una massa attaccata a una molla. La funzione energia potenziale, dall’equazione precedente è:

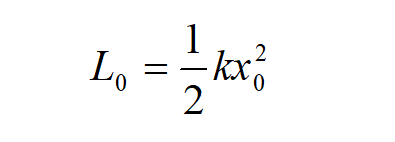
Supponiamo che la massa m, all’estremità della molla, venga tirata (o pressata), e che di conseguenza la molla si allunghi (o si comprima) di un tratto x2 – x1 = x0. In tal caso il lavoro compiuto su m sarà L = ½ kx02 e verrà immagazzinato dalla molla sotto forma di energia potenziale U = ½ kx02. Se lasciamo andare la massa, in assenza di attrito, m oscillerà di moto armonico semplice (vedi oltre); quando x diminuisce rispetto al suo valore massimo x2 diminuirà corrispondentemente l’energia potenziale, e aumenterà l’energia cinetica.
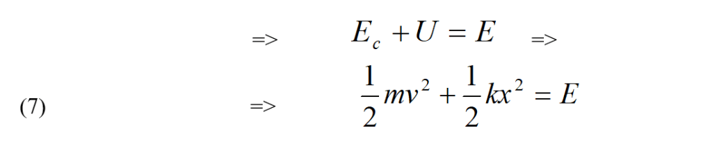
Poiché in un sistema isolato la quantità EC + U rimane costante, si può ottenere facilmente il valore di EC da un grafico dell’energia potenziale. La parabola in figura rappresenta il grafico di U in funzione di x, per una molla allungata (o compressa). La retta orizzontale individua il valore

tale valore rappresenta l’energia potenziale elastica del sistema quando la molla è allungata di un tratto x0. Poiché l’energia totale si conserva, allora
EC + U = L0 => EC = L0 – U
In altre parole l’energia cinetica, per un allungamento x della molla, è data dalla distanza del punto della curva (parabola) di ascissa x dalla linea colorata orizzontale. In questo modo, per ogni valore di x, si ottiene immediatamente dal grafico dell’energia potenziale il valore corrispondente di EC.
23 – Urti elastici ed anelastici
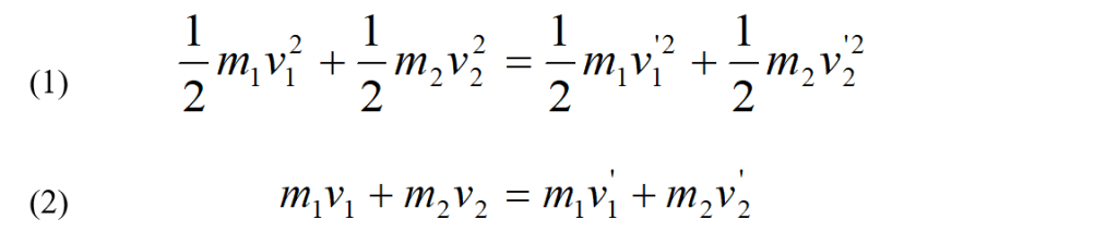
In un urto elastico si conserva sia l’energia cinetica che la quantità di moto. Consideriamo l’urto tra due masse m1 ed m2 dotate rispettivamente di velocità v1 e v2. Applicando le due conservazioni suddette, si ha:

Si tratta di due equazioni indipendenti dalle quali, date le masse e le velocità iniziali, è possibile ricavare le velocità finali. Si può ricavare v1’ dalla (2) e v1’2 dalla (2) ottenendo:
(3) v1’ = v1 + m2/m1.(v2 – v2’)
(4) v1’2 = v12 + m2/m1.(v22 – v2’2)
Dalla (3) e dalla (4) otteniamo rispettivamente:
(5) v1’ – v1 = m2/m1.(v2 – v2’)
(6) v1’2 – v12 = m2/m1.(v22 – v2’2)
Sviluppiamo la (6):
(7) (v1’ – v1)( v1’ + v1) = m2/m1.(v2 – v2’)(v2 + v2’)
Sostituiamo la (5) nella (7):
(8) m2/m1.(v2 – v2’)(v1’ + v1) = m2/m1.(v2 – v2’)(v2 + v2’)
Semplificando:
(9) (v1’ + v1) = .(v2 + v2’)
Da cui un risultato:
(10) . (v2’ – v1’) = – (v2 – v1)
Resta da trovare v1’ e v2’. Per farlo occorre tornare al sistema delle (1) e (2). Dalla (1) si ricava, ad esempio, v1’2 e dalla (2) v1’. Si sostituisce questo secondo valore nel primo e si fanno i conti, trovando alla fine il valore di v2’:

La (10) ci permette di affermare che in un urto centrale elastico, la velocità relativa del corpo 2 rispetto al corpo 1 dopo l’urto, cioè (v2’ – v1’), è uguale, ma con verso invertito, alla velocità relativa degli stessi due corpi prima dell’urto, cioè (v2 – v1).
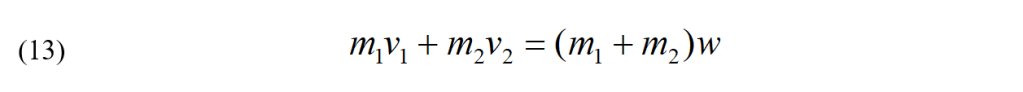
Ogni altro urto è chiamato anelastico mentre quello per il quale la velocità relativa dopo l’urto è nulla, cioè v2’ – v1’ = 0, è chiamato completamente anelastico (i due corpi, urtandosi, restano legati insieme e viaggiano con una medesima velocità).
Se l’urto è completamente anelastico si avrà:
v1’ = v2’ = w
e la conservazione (2) della quantità di moto diventa:

E ciò vuol dire che i due corpi, dopo l’urto, restano legati tra loro.
Passando all’energia cinetica, essa, prima dell’urto varrà:

E la (13) diventa:

=>

Sostituendo la (17) nella (18) si trova:

E ciò vuol dire che in urto anelastico l’energia cinetica totale diminuisce.
25 – Oscillazioni: Moto armonico semplice
Riprendiamo qui, per approfondire, alcune delle cose già dette nella Parte Prima.
Come già detto nel moto armonico semplice (MAS), il più semplice dei moti oscillatori o periodici, lo spostamento (o elongazione) x della particella dalla sua posizione di equilibrio in funzione di t è dato dall’equazione (confronta con la relazione 5’ del capitolo 21 della Parte Prima):
(1) x = A.sen (ωt + φ)
dove A, ω e φ sono delle costanti.
Si può trovare la relazione esistente tra la posizione iniziale x0 e le costanti A e φ ponendo t = 0 nella relazione precedente:
(2) x0 = A.sen φ
La velocità di una particella che si muove di MAS è:
(3) vx = dx/dt = Aω.cos (ωt + φ)
L’accelerazione è:
(4) ax = d2x/dt2 = dvx/dt = – ω2A.sen (ωt + φ)
E, tenendo conto della (1), sarà:
(5) ax = – ω2x
Consideriamo ora un corpo che oscilli di MAS intorno alla sua posizione di equilibrio O come mostrato in figura.

Avremo:


dove con E abbiamo indicato il valore dell’energia totale.
Ed anche qui abbiamo una curva uguale a quella che abbiamo incontrato nel capitolo 22 (Energia potenziale elastica. Rappresentazione grafica):

Anche qui, dalla curva si vede che, agli estremi del moto, tutta l’energia è potenziale, al centro è tutta cinetica e la massa m avrà il massimo di velocità:

Sostituendo quest’ultima espressione nella (8) si ha:


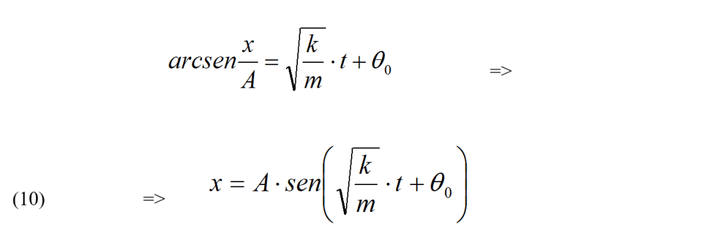
Possiamo quindi sostituire θ0 a C nella (9):

L’elongazione x è quindi una funzione sinusoidale del tempo t. All’interno della parentesi vi è un angolo misurato in radianti che si chiama fase del moto. L’angolo θ0 è la fase iniziale.
Se poniamo t = 0 quando l’oscillazione si trova nel suo punto centrale o quando si trova agli estremi della sua traiettoria, le equazioni scritte assumono una forma più semplice.
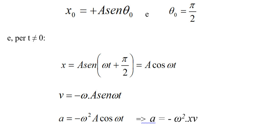
Supponiamo t = 0 quando il corpo oscillante è nella sua massima elongazione positiva, allora si ha:

Ciò vuol dire che, invece di avere uno sfasamento qualunque:

si ha la curva cosinusoidale seguente (l’origine si sposta in O’):

Se poniamo t = 0 quando il corpo si trova nella posizione centrale, in moto verso destra, si ha:
x0 = 0, sen θ0 = 0, θ0 = 0 e l’origine si sposta in O”:
x = A sen ωt
v = ωA cos ωt
a = – ω2A sen ωt

Per trovare il periodo T osserviamo che l’elongazione x ha lo stesso valore a t ed a t + T. Ciò vuol dire che la fase aumenta di 2π nel tempo T.
Poiché l’angolo è dato da

che è indipendente dall’ampiezza, cioè dall’energia totale (isocronismo).
La frequenza ν è data da:

Questo risultato ci permette di scrivere la (10) nel modo seguente:
x = A sen (ωt + θ0)
da cui:
v = dx/dt = ωA cos (ωt + θ0)
a = dv/dt = – ω2A sen (ωt + θ0)
e poiché A sen (ωt + θ0) = 0, si avrà:
a = – ω2x
CONSIDERAZIONI ENERGETICHE SUL MOTO ARMONICO SEMPLICE
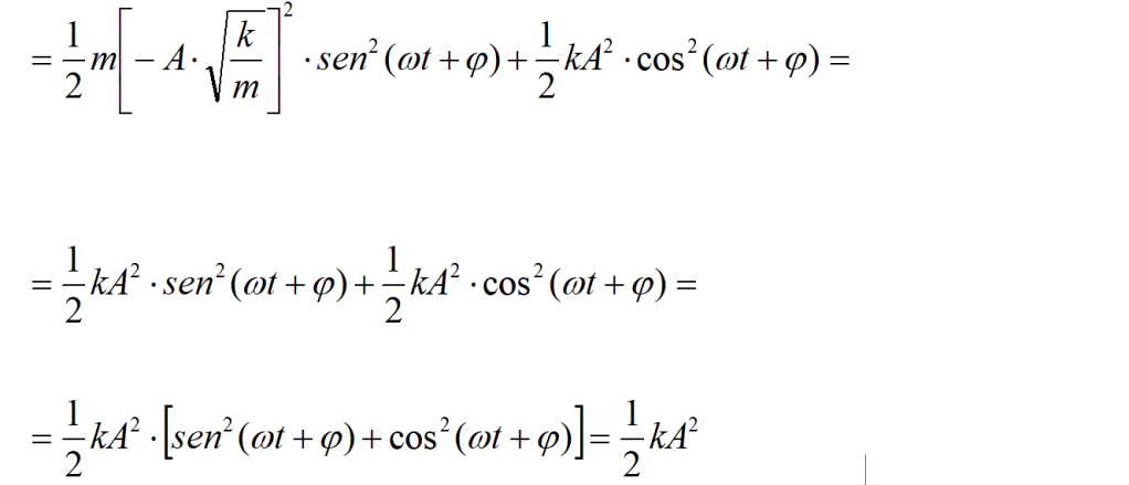
Abbiamo visto nella relazione (2) che nel MAS vale la conservazione dell’energia meccanica:



Ed in definitiva abbiamo che l’energia totale E è data da:

26 – Oscillazioni smorzate
Quando l’energia meccanica di un oscillatore diminuisce con il tempo, si ha a che fare con un oscillatore smorzato.

Si ha invece un oscillatore forzato quando una forza esterna continua a mantenere l’oscillazione, come accade, ad esempio, in una altalena.

Consideriamo una molla (spring di figura) con una massa sospesa (block di figura) che disponga di una appendice (vane di figura) che si muova in un liquido.

Ma si può anche pensare alla massa stessa che, mentre oscilla, peschi in un liquido in modo da variare lo smorzamento dell’oscillazione al variare della densità del liquido (la cosa è realizzabile anche nell’esempio precedente dove si può anche intervenire facendo variare la forma dell’appendice che pesca nel liquido).

Una forza (Fsm) che si può pensare render conto di uno smorzamento di questo tipo deve essere proporzionale ed opposta alla velocità della massa m sospesa alla molla:
(1) Fsm = – b.v
dove b è una costante che descrive il grado di smorzamento: al crescere di b lo smorzamento cresce (nella figura precedente – ed anche nella seguente – sono riportati i grafici di alcuni smorzamenti con cui si ha a che fare: il primo grafico è relativo ad un piccolo smorzamento mentre i successivi sono relativi a smorzamenti sempre maggiori).

Il grafico giallo è relativo a nessuno smorzamento, quello rosso ad un grande smorzamento.
Poiché la forza (1) dipende dalla velocità, non è conservativa e compie sempre un lavoro negativo facendo diminuire l’energia meccanica del sistema.
Calcoliamo la potenza che tale forza sviluppa (osservando che forza e spostamento hanno stessa direzione e stesso verso).

Osservando che v ed x sono funzioni di funzione (possono essere, ad esempio, funzioni sinusoidali di una funzione del tempo), la rapidità di variazione dell’energia meccanica è data da:

Si può quindi concludere che la rapidità di variazione dell’energia meccanica è identica alla potenza W messa in gioco dalla forza di smorzamento (si confronti la 6 con la 2).
Ci si può fare un’idea del comportamento di un oscillatore smorzato senza risolvere nei particolari l’equazione (3). Vediamo.
Se lo smorzamento è piccolo ci si aspetta che la massa oscilli con una pulsazione ω’ approssimativamente uguale alla pulsazione propria del moto non smorzato ω0:

Nel moto armonico semplice, l’energia oscilla fra l’energia potenziale e l’energia cinetica. Il valore medio dell’energia cinetica o dell’energia potenziale è la metà dell’energia totale. Perciò:




Passando ai differenziali:

Usiamo ora questa espressione per trovare la dipendenza dell’ampiezza A dal tempo t, ricordando che per un moto armonico semplice si aveva (nel caso in cui lo sfasamento risultasse φ = 0):
x = A.sen ωt
vx = dx/dt = Aω.cos ωt
ax = d2x/dt2 = dvx/dt = – ω2A.sen ωt

Ancora per il MAS si aveva:

Con un procedimento analogo si può trovare x(t) ed ωsm utilizzando quanto ricaveremo ora a partire dall’equazione (3) che, per comodità, riporto:

[si noti che l’esponenziale regola la decrescita della funzione coseno]. Nella soluzione data, risulta:

Ritroviamo quindi un oscillatore non smorzato.
Comunque, se b << k/m (b molto piccola, quindi smorzamento quasi zero) allora, come del resto abbiamo già detto,
ωsm ≈ ω’
Prendiamo ora per un istante in considerazione la relazione (16). Si tratta di una funzione coseno la cui ampiezza, data da

, In conclusione possiamo dire che l’energia meccanica di un oscillatore smorzato diminuisce secondo l’esponenziale incontrato, come già visto nella (14).
27 – Oscillazioni forzate
In molti casi un oscillatore è soggetto a una forza applicata, o forza esterna, oltre alla forza di smorzamento e alla forza di richiamo. La forza esterna aumenta l’energia meccanica dell’oscillatore se agisce nel verso del moto della massa, e assorbe energia se agisce nel verso contrario al moto. Si è visto un semplice esempio di ciò quando abbiamo discusso di una massa attaccata a una molla verticale. In questo caso la forza esterna è il peso, il quale è costante in modulo, direzione e verso. Il lavoro eseguito da questa forza è positivo quando la massa si muove verso il basso ed è negativo quando la massa si muove verso l’alto. Il lavoro totale eseguito durante un ciclo è nullo e, in media, questa forza costante non cambia l’energia del sistema massa-molla. Una forza costante si limita a cambiare la posizione di equilibrio del sistema.
Un tipo particolarmente importante di forza esterna è quello che varia armonicamente con il tempo, per esempio secondo la legge:
(1) Fest = F0 sen ωt
dove ω è la pulsazione della forza, che in generale non è legata alla pulsazione propria del

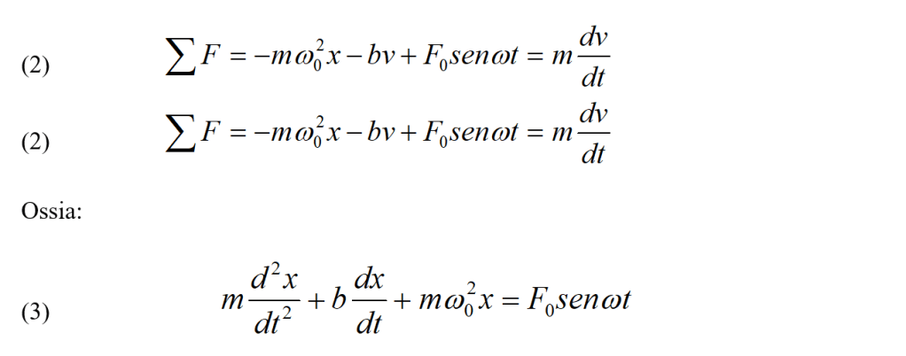
, soggetta a una forza di smorzamento – bv e a una forza esterna F0sen ωt, ubbidisce quindi all’equazione del moto data da:

consideriamo anzitutto il caso particolare dell’assenza di smorzamento (b=0), perché è il più facile da risolvere. L’equazione (3) diventa, per b = 0:

Sostituendo queste espressioni nell’equazione (4), si ottiene:

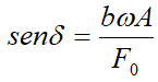
e la fase iniziale δ risulta uguale a 0 se ω < ω0 e ± π se ω > ω0.
Nel caso in cui vi sia smorzamento, la soluzione dell’equazione (3) è più complicata (e noi non la svilupperemo). La soluzione è comunque quella data dalla (5’) ma con i parametri che assumono valori diversi.
Per l’ampiezza A si trova:


La massa oscilla in accordo di fase con la forza eccitatrice se ω è minore di ω0 ed è sfasata di 180° rispetto alla forza eccitatrice se ω è maggiore di ω0. L’ampiezza dell’oscillazione è grande se la pulsazione della forza esterna è prossima alla pulsazione propria dell’oscillatore. Nel caso in cui lo smorzamento è assente, l’equazione (6) implica che A tende all’infinito al tendere di ω a ω0. In tutte le situazioni reali è presente un certo smorzamento e l’ampiezza non è infinita quando ω = ω0 (come si può osservare dalla 6). Poiché l’energia dell’oscillatore è proporzionale ad A2, l’energia è grande quando ω è prossima a ω0. Questo fenomeno è chiamato risonanza e su di esso è utile dare qualche informazione.
Si definisce potenza d’entrata della forza esterna eccitatrice (Fest = F0 sen ωt), quella che mantiene l’oscillazione forzata in regime permanente, il prodotto tra questa forza e la velocità v dell’oscillatore:
W = Fest.v = F0 sen ωt . Aω cos (ωt – δ)
Ricordando ora che cos (ωt – δ) = cos ωt . cos δ + sen ωt . sen δ e, sostituendo questa espressione nella precedente, si ha:
W = ωAF0 sen δ sen2 ωt + ωAF0 cos δ sen ωt cos ωt
La potenza varia con il tempo durante un ciclo. E, mentre il secondo termine dell’espressione precedente oscilla tra valori positivi e negativi, risultando in media nullo, il primo termine ha il valor medio di sen2 ωt che è ½. In definitiva, ricordando la (8), e cioè che

, il valor medio della potenza d’entrata
Wmedia = ½ bω2A2 = ½ (F02/b) . sen2 δ
Nella figura seguente è rappresentata la potenza d’entrata media in funzione della pulsazione eccitatrice per due diversi valori della costante di smorzamento b. Queste curve sono chiamate curve di risonanza. La potenza d’entrata massima corrisponde alla pulsazione di risonanza ω = ω0. Si può vederlo dalla precedente equazione poiché sin δ assume il suo valore massimo 1 in corrispondenza di δ = 90°. Il valore della potenza d’entrata media massima è:
Wmedia = ½ (F02/b) . sen2 90° = ½ (F02/b)
Alla risonanza, lo spostamento è sfasato di 90° rispetto alla forza eccitatrice, ma la velocità è in fase con la forza eccitatrice. Perciò, alla risonanza la particella si muove sempre nel verso della forza eccitatrice, come ci si attende per la potenza d’entrata massima. Quando lo smorzamento è piccolo, la potenza alla risonanza è grande e la risonanza è acuta; cioè, la curva di risonanza è stretta, indicando che la potenza d’entrata è grande solo in prossimità della pulsazione di risonanza. Quando lo smorzamento è forte, la potenza d’entrata alla risonanza è piccola e la curva di risonanza è larga.

Per qualunque pulsazione eccitatrice l’energia totale è la somma dell’energia potenziale e dell’energia cinetica. Tranne che alla risonanza, l’energia totale non è costante nel tempo ma varia durante ogni ciclo. L’energia totale media è grande in prossimità della risonanza quando l’ampiezza A è grande. Alla pulsazione di risonanza ω = ω0 l’energia totale è costante in regime permanente. Alla risonanza l’energia totale è inversamente proporzionale al quadrato della costante di smorzamento.
Fin qui abbiamo discusso l’equazione differenziale (3) nell’ipotesi di b = 0. L’equazione completa, a questo punto del corso, non siamo in grado di risolverla. Possiamo però dire che un modello ideale di oscillatore armonico semplice forzato con pulsazione ω0 sarà:
x(t) = Amax cos (ωt + θ)
Il valore di Amax dipende da una funzione molto complessa di ωed ω0. L’ampiezza vm della velocità delle oscillazioni è più semplice da discutere: essa raggiunge il valore massimo quando si verifica la condizione di risonanza, cioè, come già visto
(9) ω = ω0.
È questa anche, con una certa approssimazione, la condizione per cui l’ampiezza xm dello spostamento delle oscillazioni presenta il massimo valore. Per questa ragione, se spingete un’altalena a un ritmo corrispondente alla sua frequenza naturale, le ampiezze massime dello spostamento e della velocità raggiungeranno valori molto grandi, un fatto che i bambini imparano ben presto per tentativi. Se invece spingete a un ritmo diverso, più veloce o più lento, spostamenti e velocità saranno minori.
Le curve della figura precedente sono una rappresentazione qualitativa della dipendenza dell’ampiezza delle oscillazioni di un oscillatore dalla frequenza ω0 della forza impressa per due diversi valori del coefficiente di smorzamento b. Si noti che per tutti e due la massima ampiezza xm coincide all’incirca con la condizione di risonanza dell’equazione 9, ω/ω0. = 1. Confrontando le curve fra loro si vede che quanto minore è lo smorzamento, tanto più alto e più marcato è il picco di risonanza.
Tutte le strutture meccaniche presentano una o più frequenze naturali. Il progettista deve preoccuparsi di evitare che una struttura possa essere sollecitata da forze impresse variabili ciclicamente con una frequenza che si avvicini a una delle sue frequenze naturali, perché potrebbero innescarsi oscillazioni di ampiezza tale da compromettere la stabilità della struttura. I progettisti aeronautici si accertano che nessuna delle frequenze naturali di un’ala corrisponda alla frequenza di rotazione dei motori a velocità di crociera. Sarebbe evidentemente assai pericoloso che un’ala sbattesse violentemente a certe velocità di rotazione dei motori.
Categorie:Senza categoria
Rispondi