1 – LA RIPRESA DELLO SVILUPPO CAPITALISTICO A PARTIRE DAL 1848: VICENDE POLITICO-ECONOMICO-SOCIALI IN CONNESSIONE CON LO SVILUPPO TECNICO-SCIENTIFICO (438)
Abbiamo già accennato nel paragrafo 1 del precedente capitolo che la borghesia industriale è la detentrice del potere economico intorno alla metà del secolo XIX. Le vicende del ’48 non fanno altro che sancire questa egemonia a livello politico. La. Restaurazione delle classi aristocratiche e latifondiste è dovunque battuta e, nonostante una profonda crisi economica che si abbatte sull ‘Europa, il terreno è preparato per l’ imponente balzo in avanti indicato comunemente come seconda rivoluzione industriale.
Dopo il ’48 si sente il bisogno di un generale riassestamento dei sistemi politici ed economici dei vari Stati che passa attraverso un più decisivo ridimensionamento degli strati sociali più conservatori.
” Lo sviluppo capitalistico ha ormai bisogno di una struttura politica liberal-democratica, dell’unificazione dei mercati nazionali, di un. sistema economioo liberistico, di un aumento delle disponibilità finanziarie e monetarie. Nel ventennio che segue il 1848, infatti, prendono consistenza o si compiono i processi di unificazione nazionale (in particolare della Germania intorno alla Prussia e dell’Italia intorno al Piemonte); le borghesie nazionali incrementano gli investimenti all’estero, aboliscono le misure protezionistiche allargando e consolidando un’area internazionale di libero scambio, che incoraggia l’attività imprenditoriale, cui il temporaneo rialzo dei prezzi ed anche l’attività bellica forniscono un consistente sostegno; si sperimentano nuove forme di credito e si sviluppa un sistema bancario solido e compatto. Il trattato commerciale franco-britannico del 1860 ispirato alla libertà di commercio è seguito da tutta una serie di trattati aventi analoga ispirazione.” (439) Matura anche l’esigenza di superare la crisi economica mediante una ripresa della produzione per portarla a livelli superiori a quelli, pure importantissimi, del passato. D’altra parte le aperture doganali impongono una ristrutturazione industriale finalizzata alla penetrazione, in regime di concorrenza, sui mercati esteri e, contemporaneamente, alla. difesa dei prodottti nazionali da quelli di importazione. Si impone quindi un nuovo balzo tecnologico che trasformi l’industria, facendole superare i ristretti limiti che le erano imposti dal ferro e dal vapore su cui essa essenzialmente si fondava. Occorre inventiva, non più osservare, descrivere e sottoporre a trattamento teorico dei fenomeni, ma prefigurarli ed inventarli; la metodologia di ricerca deve mutare: l’uso delle ipotesi, dei modelli e delle analogie si fa sempre più spinto, l’elaborazione teorica sempre più astratta. In questo contesto le risposte dei tecnici diventano sempre più insoddisfacenti; nell’ultima metà del secolo è la scienza che si porrà come strumento formidabile per lo sviluppo della tecnica, finalizzata alla produzione industriale. La scienza, sempre più, acquisterà i connotati di scienza applicata e avrà i più importanti successi proprio in quei paesi che come la Germania, e gli Stati Uniti cureranno di più questo suo aspetto (attraverso la particolare struttura educativa, attraverso l’istituzione di laboratori di ricerca direttamente inseriti nell’industria, attraverso la promozione da parte dello Stato, attraverso lo stretto legame che si va instaurando tra laboratori universitari ed industria). Si inverte cosi il rapporto scienza-tecnica che fino alla prima metà del secolo aveva visto quest’ultima. come trainante per tutti i problemi che nascevano nella produzione industriale ed anche come suggeritrice di tematiche all’elaborazione scientifica. Il nuovo ruolo che la scienza acquista, come fattore determinante di un nuovo modo di produzione, comporta una specializzazione sempre più spinta nei vari settori di ricerca, come del resto era richiesto dal tipo di evoluzione che l’industria subiva.
La produzione di macchine per l’industria era stata, fino alla prima metà dell’Ottocento, la costruzione, ancora essenzialmente di tipo artigianale, di grosse macchine per la grossa industria, con costi molto elevati. Pian piano si affermò una duplice esigenza, da una parte di produrre macchine più piccole che potessero servire alle esigenze dell’industria che oggi chiameremmo piccola e media, (440) e dall ‘altra di alimentare gli standards di precisione costruttiva, in modo sii rendere intercambiabili alcuni pezzi ed, in definitiva, in modo da passare alla produzione in serie. Quindi anche nella costruzione di macchine si richiede una specializzazione sempre più spinta da raggiungersi con il perfezionamento delle macchine utensili, con l’uso di materiali più adeguati e con un’ingegneria più accurata.
Vale la pena soffermarsi un istante sulle piccole macchine e sulla produzione in serie.
Abbiamo già detto che si sentiva l’esigenza di macchine più piccole e meno costose per lo sviluppo della piccola e media industria che per molti versi sarebbe diventata un supporto formidabile alla grande industria. In genere quest’ultima delega la costruzione di piccole parti, di accessori, di particolari pezzi, ad una industria più piccola che per ciò stesso diventa satellite della prima. Ma se il ritmo di produzione delle due è sfasato, se cioè la grande industria produce più in fretta perché ha a disposizione macchine automatiche più veloci, mentre la piccola industria, essendo ancora legata a processi artigianali, produce più lentamente, non c’è raccordo possibile. E’ quindi necessario introdurre il nuovo modo di produzione anche in industrie più piccole , da necessario supporto a quelle grandi.
Una macchina ad aria calda (vapore surriscaldato), dovuta allo svedese J. Ericsonn (l803-l889) e basata sul ciclo di Carnot, fece la sua comparsa nel 1833 ed ebbe una certa diffusione intorno al 1850. Essa fu però abbandonata per la sua scarsa efficienza. Nel 1860 il belga E. Lenoir (1822-1900) costruì un motore ad accensione elettrica, alimentato da una miscela esplosiva di gas ed aria, che funzionava come una particolare macchina a vapore. Ebbe subito successo e se ne costruirono molti esemplari. Nel 1862 il francese A. B. de Rochas (1815-1887) inventa il ciclo a 4 tempi per il motore a scoppio. Fondamentali per questa scoperta furono i brevetti degli italiani E. Barsanti (1821-1864) e F. Matteucci (l808-l887), per il motore atmosferico (1854), per il motore bicilindrico a gas (1856), per il motore a pistoni concorrenti in un’unica camera di scoppio (1858), per il motore a pistone libero (l859). E’ doveroso notare che i motori Barsanti-Matteucoi furono i primi ad essere accoppiati a delle macchine utensili (cesoia e trapano nelle Officine della Ferrovia a Firenze, 1856) e che solo una non adeguata protezione dei brevetti permise di assegnare ad altri la paternità del motore a scoppio. In ogni caso, sulla base del ciclo di de Rochas, i tedeschi H.A. Otto (l832-l88l) ed E. Langen (1833-1895) ottengono un brevetto per un motore atmosferico identico (ed addirittura più arretrato relativamente alla trasmissione del moto) a quello di Barsanti-Matteucci. Questo motore ha il pregio di consumare 2/3 meno del motore Lenoir. ” In dieci anni furono vendute quasi 5.000 macchine atmosferiche da un quarto di cavallo fino a tre cavalli.” (441) Il successo fu grandissimo ed aumentò notevolmente quando, nel 1876, lo stesso Otto costruì il famoso motore silenzioso a quattro tempi, alimentato dalla solita miscela esplosiva di gas ed aria, che risultava, molto meno pesante ed ingombrante della macchina atmosferica.
Una caratteristica che mancava ancora alle piccole macchine motrici era la trasportabilità; infatti esse erano legate, come ad un cordone ombelicale, alla conduttura del gas.
Fu l’altro tedesco G. Daimler (l834-1900) che, nel 1883, costruì un leggero e veloce motore a benzina. Ma il motore che doveva avere i più clamorosi sviluppi (che poi portarono all’automobile) fu brevettato nel 1885, indipendentemente da O. Daimler e C. Benz (1844-1929). Da ultimo, alla fine del secolo (l892), vide la luce il motore con accensione per compressione di R. Diesel (1858-1913) estremamente versatile sia all’uso in impianti fissi che mobili, sia in impianti della più disparata potenza.
Connesso con lo sviluppo dei motori a benzina ebbe un grande incremento la richiesta di materia prima, il petrolio, da cui la benzina ed il gasolio venivano ricavati. A partire dal 1857, quando in Romania venne perforato il primo pozzo di petrolio e dal 1859 quando iniziarono le prime perforazioni negli Stati Uniti, la produzione di questa materia prima crebbe sempre di più anche se la sua importanza diventerà fondamentale solo dopo la fine della prima guerra mondiale.
La richiesta di piccole macchine , a prezzi accessibili, sarà comunque soddisfatta, come vedremo, dalle applicazioni pratiche della scienza elettrica.
Passiamo ora a discutere brevemente dell’altra esigenza di cui si diceva: l’accuratezza ingegneristica nella costruzione di macchine per permettere 1’utilizzazione di pezzi intercambiabili.
Le prime macchine a vapore erano state costruite con utensili molto rozzi e con una mano d’opera scarsamente qualificata. Già Smeaton, nel 1760, doveva lamentarsi molto di questo stato di cose; nelle sue macchine, tra cilindro e pistone, c’era uno spazio di circa mezzo pollice (su un diametro del cilindro di circa 28 pollici). (442) Questa approssimazione nella costruzione era responsabile di alte perdite di potenza. Si cercò di porvi rimedio coprendo la parte superiore del cilindro con uno strato d’acqua ma, nel progetto di Watt, dovendo la macchina funzionare con cilindro sempre caldo, questo sistema, non poteva essere adottato. Ci furono quindi serie difficoltà per la realizzazione del progetto di Watt che furono superate solo quando J. Wilkinson (1728-1808) riuscì a brevettare (1774) un trapano perfezionato che rese possibile la fabbricazione di cilindri di precisione. Il problema era quindi quello di una sempre maggiore precisione nella progettazione e, soprattutto, nelle macchine per la costruzione di macchine.
Che sulla strada di ricerca di precisione si marciasse dovunque, lo d imostra il fatto che nel 1765 il costruttore francese di armi, Le Blanc, introduce, nel processo di fabbricazione dei moschetti, l’intercambiabilità dei pezzi. Ciò vuol dire che ogni pezzo deve essere esattamente uguale ad un altro di modo che, in caso di rottura del primo, sia possibile montarne un secondo al suo posto.
Quindi, via. via, vengono realizzate macchine (443) sempre più in grado di costruire pezzi uguali tra loro. Questo aspetto non è indipendente però dalla ricerca di materiali sempre più affidabili. Si realizzeranno così acciai sempre più adatti ai fini che si volevano conseguire. E per far questo si dovette anche lavorare sui particolari convertitori per produrli (Bessemer, Siemens, Thomas, Martin,…). (444) Per alimentare questi giganteschi “forni” si ricercano sempre nuove e più affidabili fonti di energia. In tal senso lo sviluppo dell’elettricità è perfettamente funzionale ad ogni esigenza produttiva. L’elettricità gode della proprietà di essere “localmente” controllabile. Non serve cioè avere un generatore nel luogo d’uso, ma basta un cavo per trasportare la fonte di energia dove si vuole (445). Tutte le realizzazioni, le innovazioni, le scoperte subivano imponenti accelerazioni (ad opera essenzialmente di tedeschi e statunitensi, in connessione con la ripresa dello sviluppo capitalistico dopo le vicende del ’48) nell’ultimo quarto di secolo. L’elettricità in soli 70 anni divenne completamente matura. Ma questo processo riguardò moltissimi altri settori, tra cui quello chimico, a partire dall’industria dei coloranti (446); quello dell’automazione e dei miglioramenti dei rendimenti termodinamici (447); insomma, veramente dovunque, si avanzò in modo da cambiare radicalmente la struttura del mondo produttivo, dei modi di produzione, delle condizioni di vita della gente (448).
Inizia ad emergere con chiarezza lo stretto legame che l’industria instaura con la ricerca da cui attinge a piene mani. D’altra parte lo stesso mondo scientifico, almeno quello più intraprendente, lavorava direttamente per l’industria (Weber, Kohlraush, Kirchhoff, Kelvin,…)
Per dare solo un indice di come tutto ciò rivoluzionò l’intero modo di produzione industriale, si pensi che alla fine del Settecento (1787) il lavoro nei campi di 19 contadini riusciva a produrre un surplus sufficiente ad alimentare una persona che viveva in città, mentre agli inizi del Novecento (1935) gli stessi 19 contadini riuscivano a produrre un surplus sufficiente ad. alimentare 66 persone che vivevano in città (i dati sono riferiti agli Stati Uniti). Si può quindi ben capire come industrializzazione e meccanizzazione dell’agricoltura dovessero andare di pari passo: sarebbe stato altrimenti impossibile distogliere mano d’opera dai campi per servire alla produzione nell’industria.
Ma per lo sviluppo di tutti i ritrovati tecnici che si andavano accumulando era indispensabile una enorme disponibilità di capitali.
” Sul piano finanziario l’immissione di nuovo oro sul mercato e l’introduzione della carta moneta aumentano notevolmente le disponibilità monetarie e, con la caduta del saggio d’interesse, si espande contemporaneamente il volume del credito … Le banche commerciali per azioni, nate in Gran Bretagna, si diffondono rapidamente sul continente, favorendo una grande mobilitò di capitali e una notevole efficienza nell’utilizzazione delle risorse finanziarie.” (449)
Con la crisi poi che graverà su tutta l’Europa a partire dal 1873 fino al 1896 (grande depressione economica dalla quale solo la Germania riuscì ad uscire quasi indenne) “il sistema bancario e finanziario subisce trasformazioni profonde per rispondere alle nuove esigenze: da un lato la domanda di capitali per il dilatarsi delle imprese industriali con ritmi crescenti di innovazione tecnologica, dall’altro la quota, sempre più elevata di investimenti all’estero. Il capitale si da’ così forme nuove: nascono società finanziarie per azioni i cui rappresentanti siedono nei consigli di amministrazione delle aziende ed il cui potere di controllo si esercita a tutti i livelli della vita economica, politica e sociale.” (450)
Ma all’interno delle fabbriche non si produceva soltanto con le macchine e con il capitale: occorreva anche la forza lavoro degli operai. Leggiamo in proposito un brano scritto nel 1844 da un industriale tedesco, F. Harkorts:
” I grandi capitali sono sorti soprattutto attraverso le colpe delle amministrazioni, dei monopoli, dei debiti pubblici e del deprecato traffico della carta moneta. Essi sono alla base dei giganteschi impianti, conducono alla truffa che va oltre il bisogno, ed. opprimono le piccole officine, mediante le quali, prima, anche chi non era dotato di mezzi poteva farsi una strada con la propria diligenza, con una giudiziosa tendenza all’agiatezza. Con l’introduzione delle macchine, con la suddivisione del lavoro che viene spinta fino all’inverosimile (ad esempio nell’industria degli orologi esistono 102 rami diversi a cui vengono indirizzati i vari apprendisti), (451) sono necessarie soltanto una forza limitata ed assai poca intelligenze, e con la concorrenza il salario deve essere limitato al minimo indispensabile per restare in vita. Se appena si verificano quelle crisi di sovraproduzione, che sempre si ripetono a breve distanza, le paghe scendono subito al disotto dei limiti minimi; spesso il lavoro cessa completamente per qualche tempo …. Così come stanno ora le cose i fanciulli vengono impiegati soltanto per deprimere le paghe degli adulti; se i minorenni verranno eliminati dalla cerchia di coloro che possono lavorare, i più anziani troveranno migliori compensi per il lavoro delle loro mani. Anch’io appartengo alla categoria dei padroni dell’industria, ma disprezzo di tutto cuore la creazione di qualsiasi valore e ricchezza che si faccia a spese della dignità umana, ed abbassi la. classe dei lavoratori. Il compito della macchina è di sollevare l’uomo dalla servitù animalesca, non quello di creare ulteriore schiavitù.” (452)
Harkort concludeva questo brano affermando che, migliorando le condizioni di vita dei lavoratori (case e cibi sani, riduzione dell’orario di lavoro, educazione scolastica, compartecipazione agli utili, …), si sarebbe raggiunta una produzione di gran lunga maggiore. E quanto scriveva Harkort non era che lo specchio di una condizione di vita operaia veramente insopportabile: bassi salari, completa precarietà del lavoro, giornate lavorative fino a 16 ore, abitazioni e cibi malsani, mortalità infantile che arrivava fino a 300 per ogni mille nati vivi (” il punto più basso nello sviluppo sociale che l’Europa abbia conosciuto dall’alto Medio Evo”, così lo ha definito lo storico liberale Lewis Mumford), ritmi frenetici con conseguenti molteplici incidenti, abbondanza di malattie professionali per le condizioni di lavoro in fabbrica (la fabbrica era definita dallo stesso Mumford come ” La casa del Terrore”). Anche i fanciulli, perfino di 6 e 7 anni, venivano impiegati e perfino nelle miniere (si pensi che ci volle la legge mineraria inglese del 1842 per vietare il lavoro in miniera alle donne ed ai bambini di età inferiore a … 10 anni ! Si pensi poi che l’uso dei bambini nelle fabbriche di cotone durò, negli Stati Uniti, fino al 1933).
Vi furono vari tentativi di accordo tra operai e padroni dell’industria ma, l’accordo stipulato in un certo periodo, veniva regolarmente non rispettato dai padroni in un periodo successivo.
Verso la metà del secolo fu il tedesco Karl Marx (l8l8-l663) che, con estrema lucidità, denunciò le condizioni di lavoro degli operai, analizzando i rapporti esistenti tra capitale, lavoro salariato e profitto, arrivando a prospettare l’organizzazione rivoluzionaria degli sfruttati per l’abbattimento della società capitalistica e per l’emancipazione del proletariato, (454) ed operando attivamente a questo fine “combattendo con una passione, con una tenacia e con un successo come pochi hanno combattuto … Marx era perciò l’uomo più odiato e calunniato del suo tempo. I governi, assoluti e repubblicani, lo espulsero, i borghesi, conservatori e democratici radicali, lo coprirono a gara di calunnie.” (455) Ma l’eredità che questo uomo ha lasciato al movimento operaio di tutto il mondo è il bene più prezioso di cui esso dispone. “Marx ed il movimento dei lavoratori che a lui si collegava contribuirono a far si che lo Stato, a partire dall’ultimo quarto del XIX secolo, si sforzasse di migliorare le condizioni di lavoro e di vita dei lavoratori dell’industria, con una legislazione di politica sociale progressista.” (455 bis)
A parte queste considerazioni pur fondamentali, e per le quali rimando ai vari testi specializzati, rimane il fatto che, a partire dalla metà dell’Ottocento, iniziarono conflitti sempre più estesi tra i padroni dell’industria e gli operai in essa. occupati, soprattutto a partire dall’inizio degli anni ’70 quando, come abbiamo già accennato, una profonda crisi economica, che avrà il suo culmine nel crack del 1873 e sarà superata solo nel 1896, si abbatté su tutta l’Europa.
“Qui, come in occasione delle altre crisi cicliche, il meccanismo di accumulazione capitalistica si inceppa, si restringono i margini di realizzazione del profitto ed emerge drammaticamente la contraddizione tra il livello di produttività raggiunto e la struttura rigida del mercato nell’ambito dei rapporti di produzione esistenti. La caduta del saggio medio di profitto diventa una concreta realtà che impone una trasformazione di tutto il complesso della struttura produttiva al fine di rimettere in moto e dare nuovo slancio al meccanismo di sviluppo capitalistico. [A questa crisi il mondo industriale risponde con] la chiusura della fase di libero scambio che aveva caratterizzato il ventennio precedente e tutti i governi innalzano nuovamente rigide barriere doganali: si sviluppa così l’esigenza sempre più pressante del controllo dei mercati d’oltremare e delle fonti di materie prime e le nazioni europee fanno a gara nella conquista di nuovi territori in Asia e in Africa. Contemporaneamente l’urgenza di uscire dalla crisi e di superare la fase di depressione impone un radicale processo di riconversione produttiva, alla ricerca di più elevati standard di organizzazione e livelli tecnologici.”(456)
Da una parte quindi si inaugura l’età del colonialismo e dell’imperialismo e dall’altra la necessità di riconversione porta alla fine di tutte le imprese più deboli e ad una grossa espulsione di operai dalle fabbriche. La strada che si imboccò fu quella dell’ulteriore automazione che porterà alle teorizzazioni e realizzazioni dello statunitense F.W. Taylor (1856-1915), fondatore del metodo dell’organizzazione scientifica del lavoro (parcellizzazione), all’introduzione delle catene di montaggio e ad un grosso aumento di produzione.
Oltre a ciò si costruirono grosse concentrazioni industriali sotto forma di società per azioni, cartelli e trusts che ben presto assunsero il ruolo di multinazionali,
: Nel processo di ristrutturazione, a partire dalla crisi de ’73, la Gran Bretagna e la Francia persero il loro primato produttivo, economico, industriale, commerciale e scientifico-tecnologico. Questo primato passò alla Germania ed agli Stati Uniti.
Indagare con una qualche pretesa di completezza questo passaggio di primato ci porterebbe troppo lontano, ma alcuni elementi per comprenderlo possono essere delineati.
Certamente la struttura produttiva della Gran Bretagna era, ancora alla metà del secolo, di gran lunga la più possente tra tutte le altre; e qui già si può cogliere un primo elemento del declino di questa potenza (che per molti versi è simile a quello della Francia): una struttura. solida, che ha dei processi produttivi consolidati già da anni, presenta molto maggiori difficoltà alla riconversione industriale e tecnologica (a meno che si rinunci a gran parte del profitto per le cicliche indispensabili innovazioni). Altro elemento fondamentale, alla base della perdita del primato britannico, fu la struttura scolastica ed educativa. Questa difficoltà non si presentò invece alla Germania (ed agli Stati Uniti) che paradossalmente risultò avvantaggiata dalla sua preesistente arretratezza. (456 bis)
Mentre la Gran Bretagna, manteneva ancora una scuola profondamente classista in cui solo chi aveva soldi poteva andare avanti e non c’era alcun incentivo statale alla pubblica istruzione, mentre in questo paese l’istruzione non aveva alcun legame con il mondo della produzione e forniva una preparazione rigida e poco flessibile, al contrario, in Germania, c’era una grossa promozione statale alla pubblica istruzione, che era obbligatoria a livello primario, non c’era selezione sul censo, c’era una grossa selezione ma solo sulle capacità e la preparazione, c’era una scuola strettamente legata alle esigenze produttive, una scuola molto elastica e flessibile che preparava personale disciplinato ed altamente qualificato, in grado di poter cambiare mansione in caso di necessità; oltre a ciò vi erano anche moltissime scuole per adulti ed in particolare per operai che erano facilitati a frequentarle per il fatto che la legislazione dello Stato faceva obbligo agli industriali di lasciar loro del tempo libero per poter accedere ad esse.
Per quanto riguarda poi l’istruzione tecnico-scientifica a livello superiore, essa lasciava molto a desiderare in Gran Bretagna, pochi erano gli istituti che vi si dedicavano, pochi coloro che li frequentavano. La stessa struttura rigida della produzione che aveva creato il miracolo britannico ora diventava un ostacolo alla successiva espansione, non richiedendo il contributo di nuovi tecnici e scienziati.
In Germania, invece, le scuole tecniche prolificavano. Vi erano una quantità di istituti di ricerca altamente specializzati, gli studenti potevano preparare liberamente piani di studio, i laboratori erano attrezzatissimi, vi si faceva molta ricerca alla quale erano avviati anche gli studenti, vi erano borse di studio vere per studenti meno abbienti, vi si sviluppava, una grande sensibilità ai problemi della produzione. Oltre a ciò, come già accennato, era la stessa industria che da una parte si legava strettamente a questi centri di ricerca (soprattutto per la chimica) e dall’altra manteneva propri laboratori con molti ricercatori al lavoro.
Ed a proposito del declino della Gran Bretagna, Cardwell osserva che “il fallimento non fu affatto, in quel periodo, un fallimento economico; fu, invece, sostanzialmente un fallimento scientifico e tecnologico.” (458)
E’ quindi interessante notare che questo fallimento sul piano scientifico e tecnologico è riferito essenzialmente a quanto sia la scienza che la tecnica potevano fare per lo sviluppo dei processi produttivi, infatti non è per nulla vero che in Gran Bretagna non si facesse più scienza, anzi se ne faceva e molto sofisticata (Maxwell, Rayleigh, J.J. Thomson, Rutherford,…), ma non era la scienza che serviva per i settori trainanti dal punto di vista produttivo, non era scienza applicata e non fu in grado di inserirsi nei rivolgimenti scientifici di fine secolo e degli inizi del novecento. Come osservano Baracca e Livi tutto ciò mostra “ancora una volta che l’evoluzione della scienza non dipende solo dalla pura rilevanza fisica dei risultati, ma dal modo in cui essi si inseriscono in un processo più complesso, caratterizzato dai livelli di integrazione della scienza nel sistema produttivo e dalla capacità di quest’ultimo di valorizzarne nel modo più completo la ricaduta tecnologica.” (459)
La situazione degli Stati Uniti era in parte simile ed in parte radicalmente diversa da quella della Germania. Questo paese era di relativamente recente costituzione. Negli anni che vanno dal 1861 al 1865 esso aveva dovuto affrontare la sanguinosissima guerra di secessione degli Stati del Sud che, per altri versi, segnò un grosso sforzo produttivo a sostegno delle esigenze belliche, che comportò anche un grosso sforzo tecnologico sia per le stesse esigenze belliche in senso stretto sia per sopperire alla mancanza di mano d’opera, principalmente nei campi, proprio per effetto della guerra. E’ dalla fine di questa guerra che gli Stati Uniti iniziarono la lunga marcia verso il primato produttivo, scientifico e tecnologico a livello mondiale.
Le enormi distanze nel territorio, la scarsità di mano d’opera, le enormi ricchezze della terra sia per usi agricoli che estrattivi, furono da stimolo ad uno sviluppo che si differenziava da quello europeo. In questo Paese la necessità imponeva soprattutto di occuparsi di trasporti, comunicazioni (la conquista del West) ed automazione (per sopperire alla scarsità di mano d’opera) (460) sulla base, soprattutto, di una notevole mole di tecnologia empirica. (461) D’altra parte anche le prestazioni operaie erano scarsamente qualificate a causa della inesistente tradizione culturale e quindi educativa di quel Paese. Pertanto gli Stati Uniti puntarono essenzialmente sulla quantità di prodotto e sulle industrie di assemblaggio, al contrario di quel che faceva la Germania che puntava sulla qualità del prodotto e sulle industrie di trasformazione ad alta tecnologia. Tutto ciò comunque portò gli Stati Uniti al primato che condivise con la Germania alla fine del secolo. La Gran Bretagna invece, alla fine del secolo, pur mantenendo ancora un certo primato in alcuni settori produttivi, che erano stati quelli che avevano fatto la sua fortuna all’epoca della prima rivoluzione industriale (industrie tessili e minerarie), si trovava nella situazione in cui il resto delle sue industrie “erano per lo più filiali di ditte americane e tedesche o erano state impiantate da stranieri naturalizzati.” (462)
Quelli che ho dato sono certamente brevi cenni ma possono servire da spunto di riflessione per eventuali integrazioni e necessari ampliamenti.
Prima di concludere questo paragrafo ci rimane da fare alcune considerazioni sulle correnti di pensiero dominanti nella seconda metà dell’Ottocento.
Il primo dato che emerge e’ il tramonto del Romanticismo in connessione con una diffusa fiducia nelle capacità della scienza di risolvere i problemi dell’uomo e di essere il motore del progresso (non meglio identificato). Questo atteggiamento di fiducia nella scienza, che ai può senz’altro definire positivistico, non è tanto rintracciabile nell’opera di un qualche autore dell’epoca (occorre rifarsi a Comte) quanto appunto in un diffuso stato d’animo che nasceva, nelle classi che facevano cultura, in connessione con i successi della scienza e della tecnica. Si trattava di una sorta di ammirazione attonita che non si preoccupava di andare a comprendere l’infinità delle implicazioni sociali che il balzo tecnologico comportava, ma si accontentava soltanto di considerare i dati più appariscenti della questione. Questo atteggiamento culturale può essere riassunto in un semplice slogan: e’ solo la scienza che fornisce verità; la religione e la metafisica (e quindi la filosofia) non ci aiutano ad andare avanti.
Questo atteggiamento si accompagnava ad un declino della filosofia tradizionale in tutta Europa. Da una parte la scienza con le sue problematiche in terne, esterne e sui fondamenti, dall’altra l’incapacità, da parte di quella filosofia, di cogliere il dibattito per mancanza degli strumenti di comprensione della materia del contendere. La scienza era sempre più strutturata nel suo formalismo che tendeva via via ad anticipare fatti piuttosto che a spiegarne di noti, ed al suo interne nacquero e si svilupparono tutte quelle tematiche che, in connessione con la crisi del meccanicismo e le formulazioni evoluzionistiche, aprirono un dibattito e talvolta uno scontro tra visioni diverse del mondo e dello stesso modo di fare scienza.
La filosofia che non coglieva questa dinamica e non diventava filosofia della scienza rimaneva esclusa dal dibattito dovendo ripiegare su se stessa.
Ci furono certamente dei tentativi di salvaguardare la ‘purezza’ della filosofia insieme al suo primato sulla scienza (considerata, appunto, una forma di conoscenza inferiore) e tra di essi vanno ricordati quelli tardopositivisti (dei quali ci occuperemo ancora) e quelli irrazionalisti (per i quali rimando ad un testo di filosofia).
Una menzione a parte la merita invece la corrente di pensiero pragmatista, che vide la luce nell’ultimo quarto di secolo negli Stati Uniti, secondo la quale, ed in accordo con la visione della scienza cose forma inferiore di conoscenza, sono solo le applicazioni che danno una misura della validità del sapere scientifico (anche ‘la filosofia’ ha ben capito chi è che paga).
In ogni caso, al di là delle singole correnti di pensiero, emergeva con forza il problema dei rapporti scienza-filosofia.
Questa scienza che cambia i suoi metodi ed i suoi contenuti; mette in discussione i fondamenti; si impone all’attenzione per le sue potenzialità produttive; ebbene, questa scienza rappresenta l’elemento più importante da discutere alla fine del secolo. Se solo si pensa che anche Marx ed Engels (463) (e più tardi Lenin) sentirono il bisogno di occuparsi di scienza, entrando in argomento, in modo discutibile se si vuole ma certamente con cognizione di causa e puntuale conoscenza dello specifico, ci si rende conto di quanto attuale fosse il problema da qualunque parte fosse guardato. Ma la separazione scienza-filosofia si andava via via consumando con effetti incalcolabili che ancora oggi stiamo pagando.
Nei settori più consapevoli, comunque, per capire le connessioni ed i rapporti esistenti tra scienza e scienza e tra scienza e società, nacque l’esigenza di una storia delle scienze che non fosse una semplice cronaca dei fatti ma che andasse a ricercare l’origine profonda dei concetti, dei fatti, delle leggi, delle varie formulazioni e teorie, che non si succedono staticamente in un processo di accumulazione successiva ma si articolano dinamicamente in una dialettica molto complessa che non ha solo referenti interni ma anche e, per quanto abbiano visto, soprattutto esterni.
La fine dell’Ottocento vide anche un’altra novità che a buon diritto può essere considerata rivoluzionaria. Molta enfasi viene spesso data all’inaugurazione galileiana del metodo sperimentale, ma quasi mai si pone attenzione alla svolta che si operò alla fine dell’Ottocento, a partire dai lavori di Maxwell. Per la prima volta si rompeva lo schema galileiano e, con il demandare agli altri la verifica sperimentale delle ipotesi e delle teorie, si inaugurò quel processo che, come portato della divisione del lavoro e della sua sempre più spinta specializzazione, approdò alla separazione tra teoria ed esperimento, con la nascita prima del fisico teorico e poi della fisica teorica.
E, sempre in questo contesto, in cui la scienza si rivestiva di un alone di superiorità, gli addetti ai lavori iniziarono a trovare un alibi al di-sinteresse dell’uso che veniva fatto delle loro scoperte scientifiche. E quest’ultimo aspetto non ha più un carattere di storia ma di cronaca contemporanea soprattutto se si pensa che ancora oggi c’è chi dice che è la curiosità che muove la scienza, e che quest’ultima è perfettamente neutrale. (464)
2 – UN PANORAMA SU ALTRE SCOPERTE SCIENTIFICHE DEL SECOLO XIX. LA NASCITA DEI QUANTI.
Nel capitolo precedente mi sono occupato ampiamente di alcuni aspetti dello sviluppo della ricerca fisica nell’Ottocento ed in particolare ho riguardato con qualche dettaglio lo sviluppo dell’elettrodinamica e dell’elettromagnetismo, dell’ottica e della termodinamica. Nei paragrafi che seguiranno svilupperò ancora alcuni aspetti delle problematiche già affrontate con particolare riguardo all’ottica ed all’elettrodinamica – elettromagnetismo.
In questo paragrafo intendo dare un quadro più completo delle ricerche che in alcuni campi della scienza (soprattutto chimica e fisica) si portavano avanti nel corso del secolo. Lo scopo di ciò è di dare un riferimento più significativo per la comprensione degli argomenti che, invece, ho trattato e tratterò con maggiori dettagli.
Alcune delle cose che era dirò saranno soltanto una cronologia di alcune tappe significative, e questo principalmente per la matematica e la chimica. Su alcuni aspetti dello sviluppo della fisica non esplicitamente fin qui rilevati o discussi (o da discutere nei prossimi paragrafi) ai soffermerò un poco di più.
E’ solo il caso di ricordare che gran parte delle ricerche di questo secolo saranno improntate al filone di pensiero, già più volte richiamato, che va sotto il nome di meccanicismo fisico, eredità del pensiero newtoniano. (465) Ho già detto più volte che questo meccanicismo assumerà articolazioni diverse e che, in nome di Newton, saranno affermate le cose più diverse e, a volte, addirittura antitetiche. Ma, al di là di queste considerazioni, rimane il fatto che la tradizione culturale dominante fa del richiamo a Newton una questione imprescindibile ed in questo senso è estremamente significativo che l’atteggiamento che via via emergerà sarà il ricondurre alla meccanica, non solo tutti i più disparati fenomeni che venivano scoperti nel campo della fisica e della chimica, ma anche quelli che provenivano da scienze più distanti come, ad esempio, la biologia e la fisiologia. Dovunque si cercheranno modelli meccanici a cui affidare, insieme alla loro elaborazione matematica, la spiegazione della realtà. E questa tendenza alla ricerca del modello (e dell’analogia) si accentuerà molto verso la fine del secolo, quando il grado di astrazione delle elaborazioni matematiche raggiungerà livelli non più immediatamente rappresentabili mentalmente. Ed, anche qui, in nome di Newton, si elaboreranno (e costruiranno materialmente) modelli così incredibilmente complessi da essere, quanto meno, molto lontani, essi stessi, da una semplice rappresentazione meccanica e quindi dalla semplicità degli schemi interpretativi introdotti da Newton. Valga come esempio il modello che Kelvin propose per l’etere nel 1889. Egli costruì un modello meccanico di un elemento di un modello di etere proposto nel 1839 da J. Mac Cullagh (l809-l847). ” Dispose quattro bastoncini a forma di tetraedro, e preso come asse ciascun bastoncino vi sistemò una coppia di volani giroscopici (466) ruotanti l’uno in senso contrario all’altro. Questo modello opponeva resistenza ad ogni disturbo in senso rotatorio, ma non opponeva alcuna resistenza a moti traslatori.” (467) In questo modo si cercava di rendere conto delle strane proprietà che il supposto etere avrebbe dovuto avere (estremamente sottile, estremamente elastico, in grado di trasmettere vibrazioni trasversali).
Su questa strada si mosse anche Helmholtz e via via molti altri.
La ricerca di modelli meccanici o meno era anche teorizzata dallo stesso Kelvin con queste significative parole: “Io non sono soddisfatto finché non ho potuto costruire un modello meccanico dell’oggetto che studio. Se posso costruire un tale modello meccanico comprendo; sino a che non posso costruirlo, non comprendo affatto.” (468)
La ricerca di una spiegazione meccanicistica era poi così enunciata da Helmholtz: ” II problema della scienza fisica naturale è ricondurre i fenomeni naturali a immutabili forze attrattive e repulsive la cui intensità dipende solamente dalla distanza. La soluzione di questo problema è la condizione per una completa comprensibilità della natura.” (469)
E’ in ogni caso altrettanto vero che, proprio verso la fine del secolo, la crisi del sistema meccanicistico portava ad altre formulazioni o quanto meno alla messa in discussione della pretesa di voler spiegare tutto con la meccanica. Ma di questo ci occuperemo più oltre, nei paragrafi seguenti.
Passiamo ora, per singole discipline, a dare quel panorama di riferimento annunciato, ricordando solo che le cose qui elencate non hanno trovato posto in altre parti del lavoro.
Astronomia
Ormai l’astronomia si avvia pian piano a diventare astrofisica. (470) Nel corso del secolo verranno perfezionate le osservazioni del sistema solare e si estenderanno le osservazioni al di fuori di esso, si scopriranno vari astri e si costruiranno vari cataloghi di stelle che verranno suddivise, a seconda delle loro caratteristiche, in vari gruppi. Più in particolare, i fatti più significativi sono:
– la dimostrazione che i moti propri stellari riguardano tutte le stelle, fatta dall’italiane G. Piazzi (1746-1826) nel 1814;
– la scoperta del moto delle stelle doppie in orbite ellittiche intorno al baricentro comune, fatta dal tedesco (che lavorò in Gran Bretagna) W. Herschel (1738-1622) nel 1820;
– la determinazione delle posizioni, delle distanze, del colore e della grandezza di un gran numero di stelle doppie, fatta dal russo W. Struve (1793-1864) nel 1837;
– la prima determinazione della parallasse annua di una stella, fatta dal tedesco P.W. Bessel (1784-1846) nel 1838;
– la prima osservazione di una nebulosa a spirale, fatta dal britannico W.P. Rosse (1800-1867) nel 1845;
– la predizione dell’esistenza di Nettuno fatta studiando le perturbazioni di Urano, dal francese U.J.J. Le Verrier (l811-l877) e quindi la sua scoperta ad opera del tedesco F.J. Galle (1812-1910) nello stesso anno 1846;
– la dimostrazione della rotazione della Terra sul suo asse, fatta da L. Foucault nel 1851 con il sue famoso esperimento del pendolo;
– la fondazione della spettroscopia stellare fatta nel 1863 dall’italiano A. Secchi (1816-1878);
– la dimostrazione della struttura discontinua degli anelli di Saturno (già teorizzata da Maxwell nel 1859), fatta dallo statunitense J.C. Keeler (1857-1900) nel 1895.
Matematica
Questa scienza nel secolo in esame ebbe uno sviluppo possente. Si approfondirono e svilupparono campi già noti; inoltre si aprirono nuovi capitoli, alcuni dei quali di grande interesse ai fini degli sviluppi futuri della fisica. L’analisi acquistò la sua sistemazione quasi definitiva, passando dalla formulazione classica a quella moderna con la creazione della teoria degli insiemi, il riconoscimento dell’importanza della logica e, soprattutto, la trattazione rigorosa.
Notevolissimo impulso ebbe la teoria delle funzioni e delle equazioni differenziali; furono introdotte le equazioni integrali ed il calcolo funzionale; anche nei campi dell’algebra e della geometria si progredì molto ed in particolare nacquero la teoria dei gruppi, le geometrie non euclidee, la geometria algebrica, la geometria differenziale, il calcolo differenziale assoluto e la topologia. Fu inoltre dimostrata resistenza dei numeri trascendenti con notevoli conseguenze sul secolare problema della quadratura del cerchio. Infine anche il calcolo delle probabilità fece notevoli progressi.
Esula completamente dai miei scopi l’andare a discutere di questi problemi. Voglio solo ricordare alcuni dei nomi che maggiormente contribuirono agli eccezionali sviluppi della matematica cui abbiamo fatto cenno:
i tedeschi: Kummer, Kronecker, Schwartz, Jaoobi, Gauss, Hilbert, Bessel, Dirichlet, Riemann, Weierstrass, Cantor, Klein, Dedekind, Listing, Hankel, Frege;
i francesi: Laplace, Poisson, Legendre, Fourier, Liouville, Hermite, Cauchy, Sturm, Galois, Picard, Poincaré,Briquebon, Poncelet, Lamé, Lebesgue;
i britannici: De Morgan, Clifford, Bode;
gli italiani: Ruffini, Betti, Cremona, Volterra, Peano, Beltrami, Enriques, Dini, Castelnuovo, Ricci-Curbastro, Levi-Civita;
i norvegesi: Abel, Lee;
i russi: Lobacevskij, Tcebycheff, Minkowski (che studiò e lavorò in Germania);
l’irlandese: Hamilton;
il cecoslovacco: Bolzano;
lo svizzero Argand;
il rumeno: Bolyai.
Chimica
Dei pregressi della chimica, soprattutto di quella organica, abbiamo già parlato abbastanza nelle note del paragrafo precedente. Resta solo da aggiungere che quei progressi furono permessi dalla graduale sistemazione della chimica inorganica a partire dallo studio dei gas fino ad arrivare alla teoria della valenza ed alla tavola periodica degli elementi. Le tappe più importanti da ricordare sono:
1802 – il francese Gay-Lussac (1778-1850) estende la legge di Volta, relativa alla dilatazione termica dei gas, a tutti i gas;
1803 – il francese J.L. Proust (1761-1826) formula la legge delle proporzioni definite (mentre si trova a lavorare in Spagna!);
1808 – il britannico J. Dalton (1766-1844) avanza l’ipotesi atomica e stabilisce la legge delle proporzioni multiple;
1808 – Gay-Lussac formula la legge dei volumi dei gas;
1811 – l’italiano A. Avogadro (1766-1856) formula la legge che porta il suo nome (volumi uguali di gas, nelle stesse condizioni di temperatura e pressione, contengono lo stesso numero di grammomolecole);
1811 – Avogadro formula l’ipotesi che porta il suo nome e che permette di distinguere atomi da molecole (le molecole dei corpi semplici gassosi sono formate da atomi identici mentre le molecole dei corpi composti gassosi sono formate da atomi differenti); si osservi che si dovranno attendere circa 50 anni prima che questa ipotesi venga presa in considerazione, fatto quest’ultimo che permetterà enormi sviluppi nella chimica;
1815 – il britannico W. Prout (1785-1850) sostiene che i pesi atomici sono multipli interi di quello dell’idrogeno;
1826 – il britannico W.H. Fox Talbot (1800-1877) scopre che con l’analisi spettroscopica di sostanze incandescenti si può conoscere la loro composizione chimica;
1836 – lo svedese J.J. Berzelius (1779-1849) formula l’ipotesi che l’affinità chimica è dovuta alle cariche elettriche di segno contrario presenti nelle sostanze che reagiscono (altri importanti lavori di Berzelius avevano preceduto questo; le stesse leggi per la composizione chimica delle sostanze inorganiche valgono per le organiche; prima tabella dei pesi atomici; indicazione simbolica degli elementi con le loro iniziali latine);
1858 – l’italiano S. Cannizzaro (1826-1910) riprende l’ipotesi di Avogadro e suggerisce un metodo per la determinazione dei pesi atomici;
1869 – il russo S. Mendelejev (1834-1907) costruisce il sistema periodico degli elementi;
1874 – il francese A. Le Bel (1847-1937) e, indipendentemente, l’olandese J.H. Van’t Hoff (1852-1911 ) introducono le formule stereochimiche;
1876 – lo statunitense J.W. Gibbs (l839-1903) enuncia la regola delle fasi che permette di studiare l’equilibrio delle sostanze eterogenee su base matematica con stretti legami con la termodinamica;
1887 – lo svedese S. Arrhenius (1859-1927) fornisce una spiegazione della dissociazione elettrolitica in base all’ipotesi, già avanzata da Clausius nel 1857, dell’esistenza di ioni di segno contrario all’interno dell’elettrolito.
Meccanica
In questo campo si continua ancora a sistemare quanto trovato nei secoli precedenti puntando soprattutto a chiarire alcuni concetti (come quello di forza) ancora ritenuti oscuri. Un ruolo importante l’assume invece lo studio dei sistemi rotanti, con riguardo alle forze centrifughe ed ai moti relativi.
1829 – il francese D. Poisson (1781-1840) determina le equazioni generali del moto dei corpi;
1830 – il tedesco K.F. Gauss (1777-1855) enuncia il principio fondamentale della meccanica, detto principio del minimo sforzo;
1835 – il francese G.G. Coriolis (1792-1843) determina le condizioni per formulare l’equazione del moto relativo di un sistema di corpi stabilendo (l836), nel teorema che porta il sue nome, il ruolo della forza centrifuga;
1836 – l’irlandese W.R. Hamilton (l805-l865) ricava dalle equazioni di Lagrange le equazioni canoniche della dinamica o hamiltoniane;
1850 – il francese L. Foucault studia l’effetto della forza d’inerzia in un sistema in rapida rotazione».
Spettroscopia (nascita della fisica dei quanti).
E’ questo un campo nuovo che si apre in queste secolo, sulla scia della decomposizione dello spettro solare ottenuta da Newton con il prisma, e che avrà sviluppi formidabili fino alla prima formulazione dell’ipotesi dei quanti ad opera di Planck nel 1900. E tutto ciò discenderà da una felice intersezione con i metodi ed i risultati della termodinamica. Seguiamone le tappe principali:
1802 – il britannico W.H. Wollaston (1766-1828), osservando lo spettro solare prodotto da un prisma, scopre l’esistenza di sette righe scure distribuite in modo irregolare;
1814 – il tedesco J. Fraunbofer (1787-1826) osserva il fenomeno in modo più approfondito: conta 560 righe scure, scopre che una di queste righe (la D) coincide con la doppia riga gialla del sodio (Fraunhofer non sapeva ancora che quella doppia riga gialla era caratteristica del sodio: egli la otteneva osservando lo spettro prodotto da una candela, da una lampada ad elio e da una lampada ad alcool); (471) costruisce la prima carta dello spettro solare, scopre nello spettro di Venere alcune righe presenti nello spettro del Sole, introduce i reticoli di diffrazione con i quali realizza le prime determinazioni della lunghezza d’onda dei vari colori dello spettro;
1827-1855 – in questi anni si sommano diversi contributi ed in particolare: la scoperta della fotografia ad opera del francese J.P. Niepce (1765-1833); la scoperta dell’emissione di spettri da parte di solidi portati all’incandescenza, ad opera del britannico J.W. Draper (1811-1882);
1857 – il tedesco R.W. Bunsen (1811-1899) scopre che utilizzando il gas illuminante, installato nel suo laboratorio nel 1855, si ottiene una fiamma non molto luminosa ma ad alta temperatura e costruisce il becco Bunsen, con il quale si possono ottenere gli spettri dei soli corpi portati all’incandescenza senza interferenze da parte della fiamma che non ha un proprio colore specifico;
1859 – Kirchhoff e Bunsen gettano le basi della moderna spettroscopia, distinguendo con chiarezza la differenza esistente tra spettri di emissione e spettri di assorbimento : se sul becco si fa bruciare del sodio, lo spettro presenta due righe gialle che coincidono esattamente con le più brillanti delle linee oscure dello spettro del Sole (riga D); osservando poi lo spettro della luce solare lungo la cui traiettoria è interposto il becco con del sodio che brucia, non appare più la riga D nello spettro solare ed al suo posto vi sono le righe gialle del sodio; questo ultimo fenomeno si verifica solo quando la luce solare è molto attenuata, in caso contrario si continua a vedere la linea D; lo stesso fenomeno si può ottenere mantenendo costante l’intensità della luce solare e aumentando o diminuendo la temperatura della fiamma del becco. Da ciò Kirchhoff capì il significato dello spettro solare ed in particolare delle sue linee scure: la superficie del Sole emette radiazioni (fotosfera) di tutti i colori e l’atmosfera di gas incandescenti del Sole (cromosfera e corona), molto meno calda della fotosfera, assorbe una parte delle radiazioni emesse dal Sole, ed assorbe quelle che sono emesse dagli elementi componenti l’atmosfera solare. Come dice Kirchhoff: “le fiamme colorate nei cui spettri si presentano linee brillanti e marcate [spettro di emissione], indebolisce talmente i raggi del colore di queste linee quando passano attraverso di esse, che in luogo delle linee brillanti compaiono linee scure [spettro di assorbimento] quando si colloca dietro la fiamma una fonte di luce di sufficiente intensità e nel cui spettro mancano queste linee. Concludo quindi che le linee scure dello spettro solare, he non sono prodotte dall’ atmosfera terrestre, nascono dalla presenza nella infuocata atmosfera del Sole, di quelle sostanze che nello spettro di una fiamma presentano le linee brillanti nella stessa posizione.” (473) Ed in questo modo Kirchhoff e Bunsen riuscirono a stabilire la presenza sul Sole di alcuni elementi: confrontando le righe che compongono lo spettro solare con quelle, ottenute in laboratorio, per elementi noti (all’esistenza di un dato insieme di righe nello spettro corrisponde sempre la presenza di un dato elemento).
Altro fondamentale risultato ottenuto da Kirchhoff nello stesso anno è il cosiddetto principio di inversione secondo il quale una sostanza assorbe le stesse radiazioni che è in grado di emettere. (474)
Per portare avanti le loro ricerche i due ricercatori si servirono di uno spettroscopio, strumento da loro realizzato e costruito da K. A. von Steinheil (famoso costruttore di strumenti ottici) nel 1853. I risultati qui esposti possono essere considerati il fondamento dell’astrofisica e della fisica teorica. Da questo momento si iniziò lo studio sistematico degli spettri di varie stelle ed il risultato di queste osservazioni portò a riconoscere che tutti gli elementi in esse presenti sono gli stessi che conosciamo sulla Terra. /
Nello stesso anno Kirchhoff scoprì le proprietà del corpo nero. Dallo studio dei fenomeni ad esso connessi ne scaturì la scoperta della fisica dei quanti ad opera di Max Planck [nel sito vi è una ricostruzione dettagliata delle vicende che portarono ai lavori di Planck; ad esso rimando per approfondire la questione ed avverto che saltano qui le note 475 e 476].
1900 — Kelvin apre il nuovo secolo con un articolo che riassume bene tutte le difficoltà della fisica a quell’epoca, dal titolo significativo: Nubi del diciannovesimo secolo sulla teoria dinamica del calore e della luce. La prima nube è, secondo Kelvin, quella del moto relativo dell’etere e dei corpi ponderabili che, come abbiamo visto nel paragrafo 6 del capitolo 3, poneva difficoltà che sembravano insormontabili. Del diradarsi di questa nube ci occuperemo in seguito, basti per ora dire che il cielo si schiarì con la teoria della relatività di Einstein. La seconda nube e’ proprio relativa all’argomento irraggiamento di un corpo nero. Tutta la fisica classica era stata messa alla prova ed i risultati erano clamorosamente in disaccordo con l’esperienza. Dice Kelvin riportando parole di Rayleigh: “Siamo di fronte ad una difficoltà fondamentale, che non è semplicemente connessa alla teoria dei gas, quanto piuttosto alla dinamica generale. Ciò che sembrerebbe necessario è un qualche modo di sfuggire alla distruttiva semplicità della conclusione generale.” (476)
E tutti i fisici dell’epoca erano d’accordo con questa conclusione;
1900 – alla fine dell’anno Planck risolve la questione del corpo nero facendo l’ipotesi dei quanti
1905 – A. Einstein riprende l’ipotesi dei quanti calcolandosi la variazione di entropia di una trasformazione termodinamica che tratta la radiazione come un gas di oscillatori e che fa passare il volume della cavità del corpo nero da un valore V1 ad un valore V2, quando la pressione e’ mantenuta costante. Egli trova:
Δ S = f(ν/T). 1/ε . k log (V2/V1)
dove f (ν/T) è la solita funzione di ν/T ed e ε = hν. Questa espressione risulta formalmente identica a quella che fornisce Δ S per un gas perfetto, formato da N particelle, che subisce la stessa trasformazione:
ΔS = N.K . log (V2/V1)
da cui:
S2 – S1 = N.K . log V2 – N.K . log V1
che è ancora formalmente identica a quella trovata da Boltzmann:
S = K . log P.
L’analogia porta Einstein a concludere che la radiazione è costituita da corpuscoli (i quanti) di energia ε = hn (è una euristica esigenza di simmetria che, per sua stessa ammissione, aveva mosso Einstein). A questo punto mediante la stessa ipotesi dei quanti, Einstein passa a dare una spiegazione di quello strano fenomeno, l’effetto fotoelettrico (477), scoperto dal tedesco H. Hertz nel 1877, e studiato dall’italiano A. Righi (1850-1920) nel 1888 e dal tedesco W. Hallwachs (1859-1922); nel far ciò Einstein implicitamente ammette che anche la propagazione dell’energia avvenga per quanti (fatto che radicalizza il contrasto con la teoria elettromagnetica della luce).
Ha inizio la fisica quantistica che negli anni seguenti avrà enormi sviluppi. Alcune sue formulazioni però, ed in particolare l’introduzione in essa della probabilità fatta da Born nel 1926, vedranno lo stesso Einstein molto critico verso questa branca della fisica che nel frattempo diventava sempre più autoritaria ed efficientista. (478)
Scarica nei gas
Anche questo è un nuovo campo di ricerca che si inaugura agli inizi dell’ultimo quarto di secolo. L’innesto dei risultati delle ricerche in questo settore con alcune conclusioni che si traevano dai fenomeni elettrolitici portò all’affermazione dell’esistenza di una struttura discontinua dell’elettricità, a prevedere e quindi a provare l’esistenza dell’elettrone, a misurarne carica e massa dando il via a quell’altro vasto campo di ricerca della fisica che riguarda la struttura atomica, molecolare e, quindi, della materia. Ripercorriamo, anche qui, alcune tappe di rilievo:
1833 – Faraday stabilisce le leggi dell’elettrolisi ricavando che, in questo fenomeno, “gli atomi dei corpi che sono equivalenti fra loro posseggono delle quantità uguali di elettricità, che sono loro associate per natura” (479) Pur non essendo un corpuscolarista, Faraday riesce a formulare una legge nella quale è implicito il concetto di quantità elementare di elettricità o elettrone. Ma Faraday non approfondirà la cosa;
1874 – l’irlandese G.J. Stoney (1861-1911), partendo dall’analisi delle leggi di Faraday per l’elettrolisi, postula l’esistenza di una quantità elementare di elettricità “indipendente dai corpi sui quali agisce” (48 0) ed in seguito (1891) darà a questa quantità elementare il nome di elettrone;
1879 – il britannico W. Crookes (1832-1921) produce una scarica elettrica in un tubo di vetro in cui aveva praticato un vuoto molto spinto (dell’ordine di un milionesimo di atmosfera). Da questa esperienza ricava l’esistenza di raggi emessi dal catodo costituiti, secondo la sua teoria, da molecole elettrizzate espulse dal catodo stesso (raggi catodici); (481)
1861 – anche il tedesco E. Riecke (1845-1915) sostiene la natura corpuscolare dei raggi catodici;
1881 – Helmholtz, studiando i fenomeni del l’elettrolisi, stabilisce la costanza e l’indivisibilità della carica elettrica degli ioni monovalenti, si convinse dell’esistenza di una carica elementare e la difende con molto impegno: “Se ammettiamo l’ipotesi che le sostanze elementari sono composte da atomi, non possiamo evitare di concludere che l’elettricità, sia positiva che negativa, è suddivisa in particelle elementari definite che si comportano come atomi di elettricità”; (482)
1883 – il tedesco H. Hertz (1857-1894), insieme al suo assistente P. Lenard, fece una serie di esperienze con le scariche nei gas rarefatti. In particolare osservò (1892) che i raggi catodici erano in grado di attraversare lamine metalliche sottili. Da ciò egli concluse che non poteva trattarsi di fenomeni corpuscolari e che, al contrario, i raggi catodici non sono altro che vibrazioni dell’etere, allo stesso modo della luce. Hertz convince con queste argomentazioni i ricercatori tedeschi: le ricerche in questo campo proseguiranno essenzialmente in Gran Bretagna;
1886 – il tedesco E. Goldstein (1850-1930), servendosi di un catodo perforato, scopre l’esistenza di raggi anodici, o positivi o canale o di Goldstein;
1890 – il tedesco A. Schuster (1851-1934) riesce a misurare il rapporto tra la carica e la massa delle ipotetiche particelle emesse dal catodo, osservandone la deviazione in un campo magnetico (il valore da lui trovato era molto lontano da quello oggi accettato, ma il metodo da lui introdotto si rivelò molto importante nel seguito); (483)
1892 – l’olandese H.A. Lorentz (l853-1928) elabora la sua teoria degli elettroni nella quale considera l’elettricità costituita da particelle dota te di carica e massa (del lavoro in cui Lorentz avanza questa teoria mi occuperò abbondantemente nei paragrafi seguenti, per la sua rilevanza ai fini della storia della relatività);
1894 – il britannico J.J. Thomson (1856-1940), usando di uno specchio ruotante, riesce a calcolare la velocità dei raggi catodici trovando un valore di circa 10.000 Km/sec, velocità molto più piccola di quella della luce ed enormemente più grande di quella delle molecole di un gas. Quindi, conclude Thomson, né Hertz né Crookes hanno ragione: non si tratta né di vibrazioni dell’etere né di molecole, ma di particelle d’altra natura e cariche negativamente;
1894 – P. Lenard dimostra che i raggi catodici possono uscire dal tubo di scarica, attraversando foglie sottili di alluminio come finestre e quindi diffondendosi nell’aria;
1895 – il tedesco W.C. Rontgen (1845-1923) scopre che, nelle vicinanze di un tubo di Crookes, le lastre fotografiche rimangono impressionate ed interpreta il fenomeno come originato da nuovi e misteriosi raggi provenienti dal tubo, che egli chiama raggi X;
1895 – il francese J. Perrin (1670-1941) dimostra che i raggi catodici sono costituiti da particelle cariche negativamente, gli elettroni;
1896 – Rontgen approfondisce lo studio dei raggi X scoprendo che essi sono generati da tutti i punti colpiti dai raggi catodici e che hanno la proprietà di scaricare i corpi elettrizzati;
1896 – il francese G. Gouy (1654-1926) scopre la rifrazione e la diffrazione dei raggi X;
1697 – J. J. Thomson dimostra che quando i raggi X passano attraverso un gas lo rendono conduttore di elettricità;
1697 – il tedesco K.F. Braun (1850-1918) dimostra che i raggi catodici sono deviati da un campo magnetico, ma anche da un campo elettrico e su questo principio costruisce un tubo (tubo di Braun), del tipo del video di un televisore. Sul fondo del tubo è cosparsa sostanza fluorescente sulla quale si produce una piccola scintillina quando è colpita da un raggio catodico;
1897 – il tedesco W. Wiechert (l86l-1928) fornisce un’altra determinazione del rapporto tra massa e carica dell’elettrone, dalla deviazione dei raggi catodici sotto l’influenza di un campo magnetico e dal confronto dei dati così ottenuti con quelli che erano stati ottenuti mediante elettrolisi; (484)
1897 – J.J. Thomson misura il rapporto e/m, tra carica e massa di un elettrone, trovando che esso vale 770 volte l’analogo rapporto per lo ione idrogeno;
1897 – il tedesco W. Kaufmann (1871-1947), usando il tubo di Braun, corregge in 1770 il valore trovato da Thomson. Per le sue misure Kaufman si basa sempre sulla deviazione dei raggi catodici mediante campo magnetico ma anche sulla differenza di potenziale tra gli elettrodi.
A questo punto comincia a porsi il problema: se e/m calcolato per l’elettrone è tanto più grande del Q/M dello ione, ciò dipende dal fatto che è molto più grande di Q o dal fatto che è molto più piccolo di M ? Proprio allora il britannico C.T.R. Wilson (1869-1959) costruì uno strumento che permetteva di visualizzare le tracce delle particelle cariche (camera di Wilson o camera a nebbia).
1899 – J.J. Thomson, utilizzando una camera di Wilson, scopre che la carica di uno ione gassoso è la stessa dello ione idrogeno da fenomeni elettrolitici ed è anche la stessa di quelle particelle che vengono emesse da una superficie metallica per effetto fotoelettrico. Thomson trasse la conclusione che la carica dell’elettrone doveva essere uguale a quella dello ione idrogeno (che oggi sappiamo essere un protone), e di conseguenza era la massa m dell’elettrone che doveva essere molto piccola rispetto a quella di questo ione. Il valore che Thomson trovò per m era più piccolo di circa 1700 volte del valore della massa dello ione idrogeno. Questo valore fu in seguito perfezionato da ulteriori misure e mediante strumenti sempre più perfezionati.
Scoperta l’esistenza di una carica negativa costituente la materia e dato per scontato che la materia è neutra, si cominciò a porre il problema delle cariche positive che, all’interno della stessa materia, avrebbero dovuto neutralizzare le negative.
Come era organizzato il tutto ?
Via via iniziarono le prime ipotesi sulla costituzione dell’atomo che da una parte usarono degli spettri atomici e dall’altro trovarono compimento con l’applicazione della fisica quantistica (e di quella relativistica) all’intero edificio atomico.
Ricerche diverse
Altra grande mole di ricerche e scoperte viene realizzata nel secolo. Si tratta essenzialmente di varie derivazioni dalle cose che abbiamo precedentemente visto ma anche di cose nuove che avranno notevoli sviluppi (come la scoperta della radioattività) o che creeranno enormi polemiche (come la formulazione della teoria evoluzionista). Elenco di seguito alcune tappe degne di interesse:
1836 – Faraday scopre che all’interno di una gabbia metallica non si risentono le azioni elettriche esterne (gabbia di Faraday);
1837 – il tedesco G. Oberhäuser (1798-1868) costruisce un microscopio che ingrandisce 500 volte;
1844 – il russo E. C. Lenz (1804-1865) scopre che la conducibilità elettrica dei fili metallici à inversamente proporzionale alla temperatura (questo fatto troverà una spiegazione compiuta solo nel nostro secolo con la formulazione della teoria quantistica delle bande di energia, teoria che si può trovare nel sito);
1844 – il britannico C Wheatstone (1802-1875) costruisce un dispositivo (ponte di Wheatstone) per la misura di resistenze);
1848 — il francese J. Palmer costruisce un calibro a vite micrometrica per misure di precisione (piccoli spessori e curvatura di lenti);
1851 – l’italiano M. Melloni (1798-1854) costruisce la pila termoelettrica, che funziona da termometro ad elevatissima sensibilità ed è in grado di rilevare anche a notevole distanza la presenza di una qualsiasi fonte di calore radiante;
1859 – il britannico C. Darwin (1809-1882) pubblica L’origine della specie affermando definitivamente la teoria evoluzionistica;
1865 – il britannico J.N. Lockyer (1836-1920) scopre nello spettro solare una riga non attribuibile a nessun elemento terrestre conosciuto. Egli denomina quell’elemento elio;
1880 – lo statunitense E.H. Hall (1855-1936) scopre una differenza di potenziale che si stabilisce nei punti opposti rispetto all’asse di un conduttore percorso da corrente quando è sottoposto all’azione di un campo magnetico costante (effetto Hall);
1884 – il britannico J.A. Fleming (1849-1945) formula la regola detta delle tre dita (della mano sinistra), che fornisce direzione e verso della forza elettromagnetica originata dall’azione di un campo magnetico su una corrente elettrica;
1889 – il britannico E. Rutherford (1871-1937) scopre della radiazione proveniente dall’uranio ed in essa individua due diverse specie di raggi (raggi a e raggi b) con differenti proprietà elettriche e di penetrazione ;
1896 – il francese H. Becquerel (l852-1908) ottiene la deviazione dei raggi b mediante un campo elettrico e conclude che si tratta di particelle cariche. Scopre inoltre che alcuni sali di uranio riescono ad impressionare lastre fotografiche attraverso sostanze opache interposte e quindi ne ricava l’esistenza di un’altra specie di raggi (raggi g);
1896 – l’olandese P. Zeeman (1865-1943) scopre lo sdoppiamento delle righe spettrali emesse da un gas quando quest’ultimo è sottoposto all’azione di un intenso campo magnetico;
1898 – il francese P. Curie (1859-1906) dimostra che tutti i corpi ferromagnetici diventano paramagnetici al di sopra di una data temperatura (temperatura di Curie);
1900 – l’irlandese J. Larmor (1857-1942) enuncia il teorema sulla precessione delle orbite elettroniche nei campi magnetici.
Più in generale, altri aspetti che vanno sottolineati sono:
– un grande sviluppo delle tecniche da vuoto che permetteranno via via ricerche fisiche sempre più sofisticate;
– un grande sviluppo della fisica delle basse temperature (in connessione con le esigenze di refrigeramento delle derrate alimentari per e dalle colonie) che permetterà di raggiungere una conoscenza sempre più profonda della costituzione della materia e di sviluppare ampiamente la termodinamica;
– la costruzione di strumenti di misura sempre più sofisticati e precisi che saranno alla base di ogni ricerca e misura e che deriveranno dal sempre maggiore affinamento della tecnica.
3 – ALCUNE CONSEGUENZE SPERIMENTALI DELL’OPERA DI MAXWELL: I LAVORI DI HERTZ.
[Da queste pagine ho tratto il materiale per l’articolo La verifica sperimentale delle teorie di Maxwell: i lavori di Hertz. Ripubblico qui il lavoro mantenendo le note e la bibliografia. Saltano invece le note del lavoro originale dalla (486) alla (540]
PREMESSA
I lavori di Maxwell avevano lasciato in sospeso alcune questioni di rilevante importanza dalla cui verifica o confutazione sperimentale sarebbero dipese le sorti dell’intera teoria. In particolare, la predizione teorica di esistenza di onde elettromagnetiche propagantesi nello spazio etereo alla velocità della luce diventava uno stimolo fortissimo alla loro ricerca sperimentale. (1) Per altri versi anche la ricerca di quell’etere elettromagnetico, supposto fisicamente esistente proprio perché dotato di proprietà fisiche, diventava una sfida ormai non più eludibile (anche in relazione agli sviluppi dell’ottica dei corpi in movimento).(2)
Indubbiamente i lavori di Maxwell avevano aperto, in tutta la comunità scientifica, la strada ad una miriade di dibattiti, di elaborazioni teoriche, di imprese sperimentali. Ed al di là della potenza della riflessione teorica che apre ad una portata conoscitiva empiricamente impensabile, è pur vero che su almeno due fatti sperimentali si basava l’intera costruzione teorica di Maxwell: da una parte dall’osservazione di coincidenza della velocità di propagazione della luce con quella delle perturbazioni (onde) elettromagnetiche; dall’altra, dall’effetto di rotazione del piano di polarizzazione della luce indotto da un campo magnetico (effetto Faraday). Ed una prima osservazione che può essere fatta è che la “base sperimentale” a monte delle equazioni di Maxwell riguarda fenomeni ottici.(3) E proprio con esperienze che avevano a che fare con l’ottica si ebbero le prime verifiche sperimentali della sua teoria.
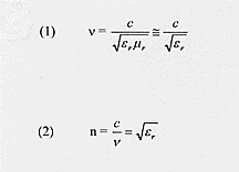
Una conseguenza immediata della teoria elettromagnetica della luce era lo stabilire una relazione ben precisa tra la costante dielettrica e l’indice di rifrazione di una data sostanza. Maxwell aveva trovato che la velocità v di propagazione delle onde elettromagnetiche in un mezzo isolante (nel quale la permeabilità magnetica relativa è circa uguale ad uno) è data dalla relazione (1) dalla quale segue la (2). La facile conclusione è che l’indice di rifrazione di una data sostanza è proporzionale alla radice quadrata della sua costante dielettrica relativa.

Ebbene, proprio poco tempo dopo che Maxwell ebbe pubblicato questo risultato, L. Boltzmann (1873) mostrò sperimentalmente la sua correttezza.
Riguardo poi all’effetto Faraday, nel 1875, il fisico britannico J. Kerr mostrò sperimentalmente che anche un campo elettrostatico agisce sulla propagazione della luce: alcuni corpi trasparenti, sia solidi che liquidi, se sottoposti ad un campo elettrico acquistano la proprietà della doppia rifrazione (effetto Kerr).
Ma, al di là di queste conferme, che via via si andavano accumulando a sostegno della teoria elettromagnetica della luce, rimaneva un dubbio di fondo (oltre alle polemiche vere e proprie) e questo dubbio era ben espresso da Kelvin quando sosteneva di non comprendere i ragionamenti di Maxwell e di non capire bene l’utilità della teoria elettromagnetica della luce. Sembrava inoltre ben chiaro che l’insieme delle equazioni di Maxwell andava ben al di là dell’eventuale riconosciuta identità di luce ed onde elettromagnetiche.
La teoria di campo era certamente stata l’idea conduttrice di tutti i lavori di Faraday, ma quest’ultimo non era stato in grado di portare alcun nesso deduttivo formale che legasse le sue scoperte alle sue teorie e, d’altra parte, nessun esperimento di Faraday poteva essere spiegato in modo univoco a partire dalla teoria di campo. L’unico appiglio poteva essere la teoria ondulatoria della luce, ma quest’ultima era relegata in un capitolo della fisica che nulla aveva a che vedere con la meccanica della materia ordinaria. In ogni caso era possibile accettare tutti i risultati sperimentali di Faraday senza per questo doversi compromettere con l’accettazione della teoria che, in particolare, prevedeva l’abbandono della teoria newtoniana dell’azione istantanea a distanza. Con le elaborazioni di Maxwell non fu più possibile trascurare la teoria di campo ed in ogni caso sarebbe stato necessario confrontarsi con essa per un suo eventuale rigetto.
Intanto veniva con sempre maggiore chiarezza affermandosi l’idea che luce ed onde elettromagnetiche fossero la stessa cosa, insieme al fatto che il campo elettromagnetico fosse uno stato particolare del mezzo dielettrico che aveva come caso speciale l’etere, inteso allo stesso modo di un dielettrico materiale come, ad esempio, la paraffina o il vetro ( e ciò apriva a possibili confutazioni sul piano sperimentale); quindi rimanevano aperte questioni relative a:
– come interagisce un campo con una carica e con una corrente;
– qual è il campo intorno ad una carica in moto;
– qual è il campo vicino ad una corrente variabile;
– come interagisce il campo con la materia ed in particolare
– come il campo risulta perturbato dal moto della materia nell’etere (supposto dalla teoria) in analogia con le problematiche che si ponevano nell’ottica dei corpi in movimento (il moto della Terra perturba la propagazione della luce ?);
– cos’è una carica (una perturbazione di campo – alla Faraday – o una particella ?).
– Svariati fisici del mondo anglosassone si cimentarono con questi problemi (J.J.Thomson, J.H. Poynting, G.F.Fitzgerald, O.Heaviside) ma non realizzarono passi degni di nota.
HELMHOLTZ
Nel continente il primo a comprendere l’enorme portata della teoria di Maxwell fu Helmholtz che la elaborerà con modificazioni radicali (4), in un contesto molto più vicino alla fisica newtoniana, reintroducendo l’azione a distanza ma dovendo rinunciare allo spazio vuoto che viene rimpiazzato dall’etere.
Il nostro, nel 1870, pubblicò una memoria dal titolo Sulle equazioni del movimento dell’elettricità per corpi conduttori in moto. In essa l’autore metteva a confronto le varie teorie elettromagnetiche fino ad allora sviluppate per fornirne una sua, concludendo che sarebbe stato necessario costruire una teoria elettrodinamica in completo accordo con le teorie di Newton, altrimenti si sarebbe rischiato di inficiare la validità di queste ultime. Ed al fine di conseguire il risultato che si prefiggeva egli fece delle ipotesi che così enunciava nell’articolo in oggetto: “si considera che le azioni elettrostatiche ed elettrodinamiche sono pure azioni a distanza, nelle quali il mezzo isolante non subisce né esercita effetti …ciò non ostante, a causa delle scoperte di Faraday, oggi sappiamo che la grande maggioranza dei mezzi materiali è magnetizzabile … La teoria più elementare del diamagnetismo si ottiene supponendo che l’etere luminifero che riempie lo spazio è magnetizzabile, ammetteremo allo stesso tempo (la qual cosa non è improbabile) la possibilità di considerarlo come un dielettrico, nel senso di Faraday.” Sulla base di queste ipotesi egli riuscì a trovare una formula che, in accordo con la meccanica newtoniana, con la conservazione dell’energia e con la teoria di Ampère per correnti chiuse (circuito senza condensatori), forniva nel modo più generale l’equazione del potenziale di un elemento di corrente che agiva su di un altro. La formula dipendeva da un parametro K (che poteva assumere i valori:-1;0,+1) e, a seconda del suo valore, essa sarebbe risultata in accordo, rispettivamente, con la teoria di Weber, di Maxwell, di Neumann.
Diventava sempre più urgente andare ad indagare che relazione esistesse tra la teoria elettromagnetica e la polarizzazione dei dielettrici. Vari risultati negativi in questo senso convinsero Helmholtz del fatto che, qualunque teoria elettromagnetica, per essere corretta, dovesse tenere conto degli effetti elettromagnetici dei dielettrici: “sembra importante investigare cosa accade della mia legge generalizzata dell’induzione nel caso di mezzi magnetizzabili e dielettricamente polarizzabili.”(5) Ma il non essere riuscito a realizzare nessun esperimento che evidenziasse la possibilità di polarizzare un dielettrico attraverso un campo magnetico lo indusse (1879) a far bandire dall’Accademia delle Scienze di Berlino un concorso che avesse come tema, appunto, il “Trovare per via sperimentale una relazione tra forze elettromagnetiche e polarizzazione dielettrica degli isolanti – cioè , o una forza magnetica esercitata dalle polarizzazioni nei corpi non conduttori, oppure la polarizzazione del non-conduttore come effetto dell’induzione elettromagnetica”;(6) si trattava quindi, come diremmo oggi, di trovare una relazione qualunque tra materia e campo. La soluzione di questo problema avrebbe potuto essere cruciale per scegliere tra le varie teorie elettromagnetiche e quella di Maxwell.
Come si può ben capire l’esperimento a questo punto avrebbe giocato un ruolo determinante ed in questo senso i lavori di Helmholtz in elettrodinamica non furono tanto importanti in sé, ma in quanto facevano chiarezza sui problemi ed indicavano possibili soluzioni sperimentali.
HERTZ
Lo stesso Helmholtz avviò Hertz a cimentarsi con questo problema. Ma la questione era delicata e non così conseguente come potrebbe sembrare. Infatti Hertz conosceva inizialmente la teoria di Maxwell come caso limite della teoria di Helmholtz (K = 0); e ciò vuol dire, in poche parole, che non conosceva direttamente l’opera di Maxwell, ma solo l’elaborazione che ne aveva fatto Helmholtz.(7) E certamente ciò fu, da una parte, un grande vantaggio, poiché Hertz comprendeva meglio il contesto in cui si muoveva Helmholtz e quindi era inizialmente in grado di coglierlo in tutta la sua portata, dall’altra, una specie di handicap poiché, come osserva D’Agostino, “nella forma accettata da Helmholtz la teoria di Maxwell sarebbe stata impervia ad ogni verifica di tipo hertziano (rilevamento di onde elettromagnetiche nell’aria) perché, fra l’altro, il fatto che la polarizzabilità dell’aria … è pochissimo differente dall’unità avrebbe reso difficile, secondo la teoria di Helmholtz, un esperimento per rivelare radiazioni elettriche nell’aria. Coerentemente con la sua visione teorica Helmholtz aveva indirizzato Hertz verso un tipo di verifica che consisteva nel rivelare forti correnti di polarizzazione in dielettrici densi, come la paraffina, la pece greca, ecc., che hanno anche una relativamente alta costante dielettrica relativa.”(8) La stessa teoria di Maxwell non avrebbe poi aiutato per nulla Hertz: le esemplificazioni (scarica di un condensatore nel caso di forte smorzamento) ed i conti che si trovavano sul Trattato di Maxwell (sviluppo dell’equazione di un’onda piana che corrisponde ad una sorgente posta all’infinito) erano i meno adatti ad una verifica sperimentale.
Allora è del tutto evidente che quanto Hertz operò non fu una semplice e lineare “verifica” della teoria di Maxwell. Egli, formatosi in un contesto di scuola continentale, dovette superare sperimentalmente questo contesto, addirittura capovolgendone le premesse, per arrivare a lavorare con dielettrici poco densi come, ad esempio, l’aria e per riuscire a sperimentare nella banda elettromagnetica di frequenze. Il processo fu lungo e travagliato tant’è vero che, quando nel 1879 fu bandito il concorso dell’Accademia di Berlino, Hertz ritenne impossibile arrivare ad una qualche conclusione e per 7 anni abbandonò, almeno pubblicamente, il problema. Anni dopo lo stesso Hertz raccontò(9): “ Ho riflettuto sul problema ed ho cercato di capire quali risultati potevo aspettarmi in condizioni favorevoli utilizzando le oscillazioni delle bottiglie di Leida e dei rocchetti d’induzione aperti. La conclusione che ne ricavai non era certamente quella che io desideravo; a prima vista non ci si doveva aspettare nessun fenomeno nitido ma soltanto un’azione al limite dell’osservabilità. Così, dunque, abbandonai l’idea di lavorare al problema.”
Nel 1884 Hertz tornò sulla questione per affrontarla da un punto di vista teorico in una memoria dal titolo Relazioni tra le equazioni fondamentali dell’elettrodinamica di Maxwell e le equazioni fondamentali di diverse elettrodinamiche(10). In questo lavoro egli non premise alcuna ipotesi speciale e, in particolare, non postulò alcun etere o alcun meccanismo di trasmissione in esso. Rielaborò quindi le equazioni di Maxwell nel contesto della scuola continentale e, in particolare, con il metodo dei potenziali ritardati introdotto da Riemann e L. Lorenz. Egli formalmente realizzò una generalizzazione della teoria di Neumann riuscendo, alla fine, a ritrovare le equazioni di Maxwell in modo più semplice ed immediato riducendone, tra l’altro, il loro numero da 20 a 9, scrivendole in una feconda forma simmetrica, eliminando da esse i potenziali vettori e scrivendole in forma vettoriale (così come aveva fatto Heaviside in modo indipendente ed al quale Hertz riconobbe la priorità temporale). Questo lavoro permise ad Hertz di intuire la possibilità di verificare la teoria non più nella banda ottica di frequenze (come già accennato e fino ad allora fatto) ma nella banda elettromagnetica, mediante le forze che si esercitano tra due circuiti chiusi percorsi da corrente alternata ad alta frequenza.
LE PRIME ESPERIENZE
Nel 1886, appunto 7 anni dopo il bando di concorso dell’Accademia, Hertz ritornò sulla questione con una conoscenza più profonda della teoria di Maxwell e con una maggiore pratica sperimentale, soprattutto nel campo delle correnti ad alta frequenza. E se da una parte è vero che Hertz non inventò alcuno strumento, è altrettanto vero che egli seppe utilizzare i più avanzati prodotti che la tecnologia dell’epoca era in grado di offrirgli ed al limite delle possibilità.
Secondo la teoria di Maxwell una variazione nella polarizzazione di un dielettrico ha gli stessi effetti magnetici di una corrente di conduzione. Ebbene, nel caso della polarizzazione, si ha a che fare con un fenomeno o così rapido o così debole che risulta estremamente difficile poterlo rilevare. Hertz si rese conto che la possibilità di evidenziare il fenomeno poteva risiedere nel “moltiplicarlo” cercando di ottenere successive, rapide e periodiche polarizzazioni e depolarizzazioni.(11) Per ottenere ciò ci si poteva affidare ad una bottiglia di Leida che fornisce appunto una scarica oscillatoria.(12) Una scarica di tali caratteristiche avrebbe potuto originare gli effetti di polarizzazione e depolarizzazione annunciati, mediante un dispositivo schematizzato in figura 1.

Ad un dato istante la scarica del condensatore (bottiglia di Leida) C va a caricare le placche metalliche A e B. In questo modo il dielettrico D risulta prima polarizzato, quindi depolarizzato ed ancora polarizzato in verso opposto. Se si accetta la teoria di Maxwell ad ogni polarizzazione corrisponde una vera e propria corrente istantanea di spostamento, alla quale dovrà associarsi un campo magnetico con linee di forza concentriche alla direzione della corrente e quindi del campo elettrico (il verso di queste linee di forza cambierà con il cambiamento di verso del campo elettrico). In definitiva, operando in questo modo, si produce un campo elettromagnetico periodicamente variabile e si ha così l’opportunità di vedere come esso agisce sul dielettrico per semplice confronto dell’effetto induttivo con e senza il dielettrico tra le armature A e B.
Il problema era però proprio di natura strumentale: sarebbe stato possibile disporre di un apparato (bottiglia di Leida, nella prima ipotesi) che generasse oscillazioni così intense e rapide da produrre un effetto induttivo nel dielettrico tale da poter essere evidenziato? Hertz si fece i conti: gli effetti risultavano troppo deboli per poter essere misurati.(13) E fu così che, come già detto, nel 1879 egli fu costretto ad abbandonare l’impresa.
Cos’era cambiato tra il 1879 ed il 1886 da un punto di vista strumentale? Leggiamo ciò che lo stesso Hertz scriveva nel 1889: (14) “Basandosi sui metodi tradizionali non ci si poteva aspettare alcun aiuto e a sbloccare la situazione doveva sopraggiungere una nuova informazione. Si scoprì allora che, non solo la scarica della bottiglia, ma anche quella di qualsiasi conduttore, sotto certe particolari condizioni, dà origine ad oscillazioni che possono essere molto più brevi di quelle della bottiglia.” Hertz aveva scoperto la possibilità di produrre scariche oscillanti di frequenza molto più elevata ( di circa un fattore 100, con un periodo dell’ordine di 10-5 secondi pari ad una lunghezza d’onda di 3 metri) utilizzando dei rocchetti di induzione (spirali di Riess e Knochenhauer) alimentati da accumulatori.
Egli montò quindi l’esperienza così com’è schematicamente mostrato in figura 2a, nella quale: R1 rappresenta un rocchetto d’induzione alimentato dall’accumulatore A; B è un circuito di scarica nel quale le sfere C1 e C2 sono due conduttori metallici ivi sistemate per aumentare la capacità dei cavi; K ed R2 costituiscono il circuito secondario su cui viene indotta la corrente generata da R1; M rappresenta uno spinterometro, regolabile mediante una vite micrometrica, sul quale si producono le scintille di scarica. Così scriveva Hertz nella sua memoria del 1887, Sulle oscillazioni elettriche rapidissime, nella quale descriveva i risultati dei suoi primi lavori sperimentali (15): “L’esperienza iniziale è semplice. Un filo di rame piegato secondo un rettangolo costituisce un circuito secondario; esso è tagliato a metà di uno dei due lati da un micrometro a scintille M. Un altro filo conduttore lo collega per uno dei suoi punti P al circuito di scarica [B] di una bobina d’induzione [R1], circuito molto aperto formato da due rami paralleli, posti testa a testa, che portano alle loro estremità delle sfere [C1 e C2] che costituiscono delle capacità e separato da un intervallo regolabile [h] tra cui scoccano le scintille primarie. Quando il punto di giunzione P è posto asimmetricamente rispetto al micrometro M, ogni scintilla primaria genera una scintilla secondaria [fig. 2a]. Ma se esso è al centro del lato opposto al rettangolo [fig. 2b], se la simmetria dei due rami è completa, la scintilla secondaria scompare o quasi: si è al ‘punto di indifferenza’.”

Riservandoci di tornare tra un istante a questo ‘punto di indifferenza‘, seguiamo ancora quel che scriveva Hertz per illustrare il sistema che aveva utilizzato per rilevare il fenomeno(16): “Poiché le scintille [nel secondario] sono estremamente piccole, di una lunghezza che raggiunge appena il centesimo di millimetro, la loro scarica non impiega neppure un milionesimo di secondo. Sembra impossibile,quasi assurdo, che esse debbano essere visibili, ma in una stanza buia sono visibili ad un osservatore attento.”
Hertz aveva dunque a disposizione l’apparato sperimentale con il quale avrebbe potuto finalmente affrontare il tema del concorso bandito dall’Accademia di Berlino. Egli ancora si muoveva nell’ambito della verifica sperimentale della teoria elettrodinamica di Helmholtz e per questo dovette passare attraverso varie difficoltà poiché la polarizzazione alla Helmholtz è un qualcosa di diverso dalla corrente di spostamento di Maxwell; in particolare, come già accennato, secondo la teoria di Helmholtz, si trattava di rilevare forti correnti di polarizzazione in dielettrici densi, piuttosto che anche deboli correnti di spostamento in dielettrici a piccola densità come etere o aria.
E sono proprio gli esperimenti che poco a poco fanno ribaltare in Hertz il suo quadro concettuale, fino a farlo passare dall’adesione alle teorie di Helmholtz all’accettazione della teoria di Maxwell, con un programma sperimentale finalizzato alla rivelazione dei fenomeni indotti, non più nei mezzi densi, ma nell’aria o nell’etere. Ma ritorniamo ai suoi esperimenti servendoci ancora della figura 2.
Quando ci si trova nelle condizioni di figura 2a (il micrometro a scintilla M posto in posizione asimmetrica rispetto a P) la perturbazione elettrica generata da R1 provoca delle scintille in M. Se ci si trova invece nelle condizioni di figura 2b (M situato simmetricamente rispetto a P) in M non si osservano scintille (che invece continuano numerose nello spinterometro del primario). La spiegazione di ciò è abbastanza semplice: le scintille si originano a causa della differenza di potenziale esistente tra i punti 1 e 2 di M; quando l’oscillazione che arriva alla spira R2 si divide in due cammini di diversa lunghezza (Pabcd2 diverso da P1) per arrivare ad M, allora si ha la scintilla (situazione di figura 2a: c’è una differenza di fase, e quindi di potenziale, tra i punti 1 e 2, fra le oscillazioni che si propagano sui due cammini diversi); quando l’oscillazione che arriva in R2 si divide percorrendo due cammini uguali (Pab1 diverso da Pdc2) per arrivare ad M, allora non si ha scintilla (situazione di figura 2b: non c’è differenza di fase, e quindi di potenziale, tra i punti 1 e 2, fra le oscillazioni che si propagano su cammini di uguale lunghezza).(17)
DIFFICOLTA’ ED UN PRIMO SUCCESSO
Hertz pensò allora di sfruttare questa proprietà per arrivare a risolvere il problema posto dall’Accademia. Infatti la proprietà di non avere scintille per una particolare disposizione simmetrica del secondario, la proprietà di avere un punto neutro, lo convinse del fatto che le oscillazioni dovessero avere una grande regolarità. Ebbene, si modifica la posizione del punto neutro interponendo un dielettrico in modo opportuno fra le sfere C1 e C2 del primario? Il risultato di questa esperienza avrebbe fornito la soluzione al quesito dell’Accademia.
Prima di passare a ciò, Hertz volle accertarsi che gli effetti nel primario fossero dovuti essenzialmente al fenomeno dell’autoinduzione piuttosto che a fenomeni di induzione mutua con il secondario. Nel far questo scoprì che si producevano scintille nello spinterometro M del secondario anche quando quest’ultimo non era collegato mediante il conduttore K con il circuito primario; e ciò poteva essere meglio evidenziato aumentando di molto la capacità delle due sfere C1 e C2 (fig. 3a). Egli interpretò il fenomeno, in analogia con quanto Helmholtz aveva fatto nell’acustica, in termini di risonanza mostrando che gli effetti nel secondario dipendevano in modo molto stretto dalle dimensioni di quest’ultimo. Questo fatto risultò di grande importanza per lo sviluppo del programma sperimentale di Hertz: si aveva ora a disposizione uno strumento che, costruito con geometria e dimensioni opportune, avrebbe permesso la rilevazione a distanza nell’aria delle perturbazioni elettromagnetiche originate nel primario.

Con il dispositivo di figura 3a, modificato come in figura 3b, Hertz risolse un altro dei problemi che era stato proposto da Helmholtz, anche se non immediatamente connesso con il tema del concorso: dimostrò che le correnti aperte (come quella che ‘circola’ tra k ed i) provocano effetti induttivi. Infatti, anche nel caso del montaggio di figura 3b, si osservano scintille in M e queste scintille sono più intense di quelle rilevate con il montaggio di figura 3a; Hertz interpretò il fenomeno come dovuto alla sovrapposizione degli effetti delle oscillazioni che si producevano nel secondario e della corrente aperta del primario.(18)

Sempre con il dispositivo di figura 3a, modificato come in figura 4, Hertz si accinse all’esperienza il cui risultato gli avrebbe permesso di rispondere al quesito dell’Accademia. I bracci del circuito B di scarica sono ora piegati e terminano sempre con due conduttori C1 e C2 che, questa volta, hanno maggiore capacità e sono modificati a forma di piastre; nello spazio tra C1 e C2 viene posto un dielettrico D molto denso (un pacco di carta, della paraffina, del solfuro di paraffina, … ). Hertz si proponeva di verificare se “le correnti di polarizzazione producono effetti elettromagnetici come le correnti di conduzione”. Si trattava di provare se la presenza del dielettrico producesse una qualche perturbazione nelle correnti indotte nel secondario R2. E si poteva procedere, come già accennato, semplicemente per confronto: andando a valutare la differenza di scintillazione nel secondario quando il dielettrico fosse stato rapidamente tolto. Hertz, in accordo con la teoria di Helmholtz, si aspettava che l’effetto in R2 sarebbe stato maggiore quando il dielettrico D (solfuro di paraffina) era posto tra C1 e C2, poiché, secondo la teoria di Helmholtz, la corrente di spostamento sarebbe stata maggiore nel dielettrico denso che nell’aria, a causa del fatto che il potere induttivo del primo era molto maggiore di quello del secondo. Ebbene, la rimozione rapida del dielettrico non provocava alcun effetto, E con queste parole Hertz descriveva la situazione (19):
“L’estate del 1887 trascorse in inutili tentativi di mettere in evidenza l’influenza elettromagnetica degli isolanti, con l’aiuto del nuovo tipo di oscillazioni … L’esperimento falliva sempre per l’invariabile ripresentarsi di forti scintille nel conduttore secondario, cosicché il piccolo effetto – di rafforzamento o indebolimento – prodotto dall’isolante non si lasciava sentire. Poco a poco mi resi conto che, in questo caso, non poteva essere applicata la legge che io avevo supposto alla base del mio esperimento; che, a causa della rapidità del movimento, anche le forze originate da un potenziale sono in grado di produrre scintille nel conduttore quasi chiuso; e, in generale, che, quando si applicano le idee e le leggi generali che sono alla base delle teorie elettriche usuali, bisogna procedere con somma cautela. Tutte queste leggi sono relazionate con situazioni statiche o stazionarie, mentre io stavo in realtà di fronte ad uno stato variabile.”
Il fatto che non si osservassero effetti al secondario, quando nel primario era posto e successivamente rimosso il blocco dielettrico, fu finalmente spiegato da Hertz come un effetto di sovrapposizione: quando non c’è il dielettrico concorrono al processo d’induzione sia le correnti nei fili, sia le cariche statiche presenti sulle placche C1 e C2 e quindi le cose vanno allo stesso modo di quando c’è il dielettrico (in quest’ultimo caso dovendo considerare, invece dell’effetto delle cariche statiche, l’effetto della polarizzazione del blocco dielettrico). Si trattava allora di trovare un qualche arrangiamento sperimentale che permettesse di evitare l’effetto delle forti scariche dovute al campo elettrico tra le placche C1 e C2 del primario. Ed a questo fine Hertz scoprì che, cambiando la posizione del secondario R2 (che possiamo chiamare ‘circuito rivelatore’) su differenti piani dello spazio, era possibile separare la rivelazione degli effetti elettrici da quelli magnetici. Sistemando quindi il rivelatore in modo opportuno, egli andò a studiarsi solo gli effetti magnetici riuscendo, in questo modo, a confrontarli con e senza il dielettrico.
Finalmente l’esperienza dette i risultati previsti: quando il dielettrico era posto tra C1 e C2 si aveva un effetto nel circuito rivelatore più grande di quello che si aveva quando il dielettrico era rimosso; ponendo successivamente un blocco conduttore al posto del dielettrico ed osservando che si aveva lo stesso effetto nel rivelatore di quello che si aveva con il dielettrico, risultava dimostrato che la corrente dovuta ad una variazione di polarizzazione ha degli effetti uguali ad una normale corrente di conduzione. In questo modo era risolta la prima parte del quesito proposto dall’Accademia: Hertz aveva trovato “ una forza elettromagnetica esercitata dalle polarizzazioni nei corpi non conduttori “. Questo risultato venne comunicato all’Accademia nel novembre del 1887.(20)
LE ESPERIENZE DECISIVE
Rimaneva da verificare la seconda parte del tema del concorso:” la polarizzazione del non-conduttore come effetto dell’induzione elettromagnetica.” Ma mentre Hertz si accingeva a farlo rifletteva sul lavoro di Helmholtz del 1870. Come lo stesso Hertz raccontò,(21) Helmholtz aveva ricavato la teoria di Maxwell introducendo tre ipotesi fondamentali all’interno della teoria elettromagnetica: le prime due erano quelle che dovevano essere verificate nell’ambito del concorso, mentre la terza consisteva nell’ammettere che, sotto l’aspetto degli effetti che possono produrre, “l’aria e lo spazio vuoto si comportano come tutti gli altri dielettrici.” Osservava allora Hertz che “ mettere alla prova tutte queste ipotesi e stabilire con ciò la fondatezza di tutta la teoria di Maxwell sembrava una richiesta non ragionevole e l’Accademia si era quindi contentata della conferma di una delle prime due.”(22) La dimostrazione delle prime due ipotesi avrebbe al massimo verificato una sola parte della teoria infatti, come osservava Hertz,(20) “ il punto cruciale della nuova teoria non stava nelle conseguenze delle prime due ipotesi. Se si dimostrava che erano corrette per un qualunque isolante, ne sarebbe discesa come conseguenza che il tipo di onde predette da Maxwell potevano propagarsi in esso, con una velocità finita che potrebbe essere forse molto diversa da quella della luce. Mi convinsi che la terza ipotesi raccoglieva in sé l’essenza e particolare importanza della teoria di Faraday e, pertanto, di quella di Maxwell, e che valeva la pena porsela come obbiettivo. Non riuscivo a vedere il modo di provare separatamente la prima e la seconda ipotesi nell’aria [o nel vuoto]; ma ambedue sarebbero state provate simultaneamente se riuscivo a dimostrare l’esistenza di onde che si propagano nell’aria con velocità finita.”(23)
C’è da notare che questo programma di ricerca era probabilmente relazionato con quanto Hertz aveva osservato ‘di passaggio’ nel condurre le esperienze precedenti. Come egli diceva:(24) “ Il fatto che più mi sorprese era il continuo aumento della distanza a cui l’azione era rilevabile; fino allora l’idea corrente era che le forze elettriche diminuivano secondo la legge di Newton, e pertanto tendevano rapidamente a zero con l’aumentare della distanza.”
Ed è proprio da qui che procede l’idea che condusse Hertz a realizzare le esperienze successive. Egli aveva osservato azioni fino a 12 metri di distanza dal primario; nel caso vi fossero state delle onde, “in questo raggio la fase del movimento avrebbe dovuto subire più di una inversione; si trattava solo di rilevare e provare queste inversioni.”(25) Si trattava cioè di provare la presenza di ventri e nodi.
Per far ciò Hertz ideò (1888) un’esperienza con la quale si proponeva di confrontare la velocità di propagazione di una perturbazione elettromagnetica e nell’aria e in un cavo.(26) L’esperienza consisteva nel creare una perturbazione elettromagnetica con il solito metodo del rocchetto primario d’induzione; questa perturbazione si sarebbe propagata nell’aria così come Hertz aveva scoperto, ebbene, mediante il dispositivo mostrato in figura 5a (si osservi che le figure 5a e 5b mostrano una stessa situazione da due punti di osservazione differenti), si poteva confrontare la velocità della perturbazione che si propagava nell’aria e di quella che, simultaneamente immessa, si propagava in un cavo (tagliato ad una certa distanza dalla sorgente per motivi che ora vedremo). Per rilevare gli effetti del fenomeno, si poteva ancora usare il rivelatore a scintille precedentemente ideato da Hertz (fig. 5c). L’aggiunta della placca C1’ serve per il collegamento del cavo (accoppiamento capacitivo) e quest’ultimo è tagliato affinché l’onda che in esso viaggia possa riflettersi all’estremità del cavo (fatto già accertato a partire dai lavori di Weber e Kohlausch), interferire con l’onda entrante e quindi produrre, nel cavo stesso, un’onda stazionaria.

La chiave dell’esperienza è la seguente: se l’onda che si propaga nell’aria ha la stessa velocità (finita) di quella che si propaga nel cavo, così come previsto dalla teoria di Maxwell, le due onde (o meglio: i due campi) interferiranno in modo che si sommeranno ed annulleranno allo stesso modo lungo tutto il cavo; se però la perturbazione che si propaga nell’aria ha velocità infinita (azione a distanza), non si avrà interferenza e l’onda risultante avrà la stessa periodicità dell’onda che viaggia nel cavo e quindi cambierà di segno ogni semilunghezza d’onda (si formerà una specie di onda stazionaria).(27) In definitiva se si osservava una inversione di fase ogni semilunghezza d’onda, la teoria di Maxwell non funzionava; se invece la fase rimaneva costante lungo tutto il cavo, l’onda si propagava con velocità finita anche nell’aria (e quindi nel vuoto o etere) e la teoria di Maxwell risultava confermata.
Era il rivelatore che, spostato adeguatamente nello spazio,(28) avrebbe permesso, a partire dalle variazioni nella scintillazione, di individuare i ventri ed i nodi e quindi determinare la fase dell’onda risultante.
Dai risultati di questa esperienza Hertz rimase dapprima scoraggiato: l’onda risultante cambiava di segno non alla distanza prevista di una semilunghezza d’onda, ma ad una distanza circa due volte e mezza superiore; inoltre questo cambio di segno non si ripeteva a distanze regolari, risultando più frequente nelle vicinanze dell’oscillatore. Sembrava comunque evidente, nell’interpretazione di Hertz, la presenza di onde elettromagnetiche propagantesi nell’aria a velocità finita, anche se superiore a quella della luce; e sembrava anche che questi risultati non fossero in accordo con nessuna delle teorie elettromagnetiche fino ad allora sviluppate. Riguardo alla prima questione (onde che si propagano nell’aria a velocità superiore a quella della luce), essa nasceva da un banale errore di calcolo nel periodo di oscillazione del primario (l’errore fu corretto nel 1890 da H. Poincaré);(29) La soluzione della seconda questione (disaccordo con tutte le teorie elettromagnetiche) fu intuita da Hertz quando si rese conto che le onde che si propagavano nell’aria, in accordo con la teoria di Maxwell, si riflettevano sugli oggetti, specialmente se metallici, presenti nel laboratorio.(30)
Scriveva Hertz: “ mentre ricercavo l’azione delle mie oscillazioni primarie a grandi distanze, osservai qualcosa come la formazione di ombre dietro le masse conduttrici [presenti nel laboratorio], la qual cosa non mi causò una gran sorpresa. Poco dopo credetti di vedere un rafforzamento molto peculiare dell’azione di fronte a queste masse che formavano ombre e anche alle pareti della stanza. La prima idea che mi formai era che questo rafforzamento potesse provenire da una specie di riflessione della forza elettrica sulle masse conduttrici; però, non ostante avessi familiarità con la teoria di Maxwell l’idea mi sembrava quasi inammissibile, tanto essa contrastava con le concezioni allora correnti sulla natura della forza elettrica. Senza incertezze, dopo aver stabilito con sicurezza l’esistenza delle onde, tornai alla spiegazione che all’inizio avevo rifiutato.”(31)
E’ così che Hertz iniziò una nuova serie di esperienze (1888) con le quali, avendo perfezionato la sua strumentazione, riuscì a dimostrare che per le onde elettromagnetiche valgono tutte le leggi dell’ottica: riflessione, rifrazione, propagazione rettilinea, polarizzazione, trasversalità delle vibrazioni, … (32) E’ importante notare che questa volta Hertz eseguì le sue misure di lunghezza d’onda direttamente nell’aria ed indipendentemente dal cavo che aveva usato in precedenza; inoltre egli assunse che la velocità delle onde nell’aria fosse uguale a quella della luce.
A questo punto nessuno più poteva mettere in dubbio l’esistenza delle onde elettromagnetiche, della loro propagazione a velocità finita e mediante azione a contatto. La teoria di Maxwell si poneva ormai come base consolidata dell’elettromagnetismo e dell’ottica.(33)
I LAVORI TEORICI DI HERTZ
Ma hertz non si fermò qui. Egli proseguì i suoi lavori con tre memorie di contenuto teorico (34) nelle quali cercò di precisare e sistematizzare le sue idee nel nuovo contesto teorico e sperimentale, “ in accordo con la teoria di Maxwell” alla luce però di una nuova reinterpretazione di essa.
E’ interessante notare come ancora Hertz veda Maxwell con gli occhi di Helmholtz. Molte delle critiche che egli rivolgeva a Maxwell discendevano infatti , come già detto, dall’avere Hertz studiato l’opera del fisico britannico soprattutto attraverso i lavori di Helmholtz e, comunque, non oltre il Trattato dello stesso Maxwell. In ogni caso Hertz, nella prima di queste tre memorie teoriche, “ Le forze delle oscillazioni elettriche, trattate in accordo con la teoria di Maxwell “, con un metodo che discendeva dai già utilizzati lavori di Riemann e L. Lorenz detto dei potenziali ritardati, ricavò di nuovo le equazioni di Maxwell a partire, questa volta, dallo studio dell’irraggiamento del suo oscillatore rettilineo (che gli serviva da sorgente del campo). Egli ottenne come risultato le equazioni di Maxwell scritte nella stessa forma e con gli stessi simboli della sua ancora precedente memoria teorica, quella del 1884.(35)
Nella seconda di queste memorie, “ Sulle equazioni fondamentali dell’elettrodinamica dei corpi in riposo “, egli sviluppò una critica al modo con cui Maxwell aveva ricavato le sue equazioni. Così scriveva Hertz:(36)
“ Maxwell inizia con il postulare un’azione a distanza diretta e a ricercare le leggi con cui l’ipotetica polarizzazione dell’etere dielettrico dovrebbe variare sotto l’azione di queste forze(37) e conclude affermando che, non ostante la polarizzazione segua effettivamente questa legge, non è in realtà necessario che essa sia influenzata dall’azione a distanza.(38) Questo procedimento lascia dietro di sé una certa insoddisfazione e porta alla conclusione che vi deve essere qualcosa di errato o nel risultato finale o nel procedimento mediante il quale lo si raggiunge. Un altro effetto di questo modo di procedere è che nelle formule sono mantenuti un certo numero di concetti superflui, ed in un certo senso rudimentali che solo avevano il loro proprio significato nella vecchia teoria dell’azione a distanza. “(39)
Hertz passò allora ad affermare che nelle equazioni che descrivono i fenomeni elettromagnetici debbono comparire solo “grandezze osservabili e non grandezze che sono soltanto utili per il calcolo “. Poiché le grandezze effettivamente osservabili sono le intensità del campo elettrico E e del campo magnetico H, la carica e la corrente, egli passò di nuovo a riscrivere le equazioni di Maxwell in termini di queste grandezze ‘osservabili’ eliminando i potenziali, vettori e scalari, che comparivano nella formulazione di Maxwell, perché non osservabili.(40)
Altro fatto di rilevante importanza ed interesse (41) è che Hertz, sempre nel ricavare le equazioni di Maxwell, rinunciò deliberatamente ad una qualsiasi spiegazione meccanicistica. Così Hertz presentava la situazione:(42)
“ Dopo aver trovato queste equazioni non sembra più utile dedurle (in accordo con il processo storico) da ipotesi sulla costituzione elettrica o magnetica dell’etere e sulla natura delle forze agenti – essendo tutte queste cose completamente ignote. Piuttosto è utile partire da queste equazioni in cerca di tali ulteriori congetture sulla costituzione dell’etere.” E’ dunque un processo di assiomatizzazione quello che vedeva impegnato Hertz ed egli era anche cosciente che la cosa poteva non risultare gradita: (43)
“ E’ vero che in conseguenza di questi tentativi la teoria acquista un’apparenza molto astratta ed incolore … Non è particolarmente soddisfacente veder presentare delle equazioni come risultati diretti dell’osservazione e dell’esperimento laddove usavamo ricevere lunghe deduzioni matematiche quali prove apparenti di esse … Se desideriamo dare più colore alla teoria, non vi è nulla che ci impedisca di aggiungere tutto ciò e di aiutare le nostre facoltà d’immaginazione con rappresentazioni concrete delle varie concezioni circa la natura della polarizzazione elettrica, della corrente elettrica, ecc. Ma il rigore scientifico ci richiede di non confondere in alcun modo la semplice e modesta immagine, qule ci è presentata dalla natura, con l’abito vivace che usiamo per rivestirla. “ In definitiva: basta con le interpretazioni meccanicistiche; il nocciolo di una qualunque teoria scientifica risiede soltanto nel suo contenuto verificabile sperimentalmente. Per questo alla domanda che Hertz si pone sul “ cos’è la teoria di Maxwell ? “, lo stesso Hertz non trova altra risposta che “ la teoria di Maxwell è il sistema delle equazioni di Maxwell “. Sono le equazioni di Maxwell verificabili e non l’impalcatura meccanicistica che le ha fatte ricavare. Ed alla base del suo modo di ritrovare le equazioni in oggetto Hertz pone “ le polarizzazioni come le sole cose realmente presenti, che sono la causa dei movimenti dei corpi ponderabili, e di tutti i fenomeni che producono i cambiamenti da noi percepibili in questi corpi. “(44)
Come osserva D’Agostino,(45) : “nella vecchia elettrodinamica … sia la forza elettrica (nel vuoto) che la carica, venivano entrambi considerati come concetti primitivi. Ma tale concezione ha, per Hertz, significato ‘solo in quanto sia possibile rimuovere l’etere dallo spazio senza, con ciò, rimuovere la forza’. Questo è, per lui, l’assunto di fondo, implicito in tutte le teorie dell’azione a distanza. Ma se si accetta come fondamento dell’azione a contatto l’ipotesi che nessuna forza può esistere in assenza di etere allora le posizioni precedenti vanno riviste in quanto contraddittorie … Da ciò segue che non è possibile assumere come concetti primitivi in elettrodinamica la forza nel vuoto e la carica libera (nel vuoto) e poi ricavare mediante la teoria i loro adattamenti, per così dire, all’etere, come faceva Helmholtz. Il ruolo di grandezza primitiva va assegnato alla polarizzazione dell’etere: forza nell’etere e polarizzazione possono diventare ora, per Hertz, … sinonimi.” Tutto ciò significa che Hertz non riusciva più a concepire una distinzione tra materia e forza e tra etere e materia ordinaria: solo il campo è la manifestazione fisica della materia che occupa l’intero spazio; il campo va a prendere il posto dei concetti di carica, corrente e, soprattutto, forza(46) ed il campo è descritto dalla nuova formulazione delle equazioni di Maxwell. Da esse possiamo ricavare, istante per istante e punto per punto, la conoscenza del campo, poiché esse ci dicono come ogni perturbazione si propaghi nello spazio e nel tempo.
Nell’ultima delle tre memorie teoriche, “ Sulle equazioni fondamentali dell’elettrodinamica dei corpi in movimento “, Hertz tentò di estendere quanto precedentemente trovato, andando a studiare l’influenza che il moto della materia ordinaria e dell’etere ha sui fenomeni elettromagnetici.
A questo punto però, poiché non c’è più nessuna ragione di distinguere l’etere elettromagnetico da quello ottico, nascevano le prime conseguenze teoriche che non concordavano con i fatti sperimentali dell’ottica dei corpi in movimento (2). Hertz infatti si trovò di fronte alla difficoltà di dover descrivere l’andamento delle linee di forza, ben definite nel caso di un corpo in riposo, nell’eventualità che quello stesso corpo fosse in moto. Ebbene, come lo stesso Hertz sosteneva, queste linee di forza non possono essere intese come realtà distinta dalla materia ordinaria (47); era quindi impossibile pensare di separare materia e campo e conseguentemente assegnare il ruolo di portatore del campo al solo etere. E’ quindi la materia e non lo spazio ad essere portatrice del campo. Nel caso allora di dielettrici in movimento, le possibilità che Hertz intravede sono solo due: o queste linee di forza rimangono legate al dielettrico, seguendolo nella sua traslazione, oppure restano immobili mentre il dielettrico effettua la sua traslazione attraverso di esse. Traducendo questa alternativa in un linguaggio a noi più familiare si può dire che: o si ha trascinamento totale dell’etere oppure esso rimane in riposo.
Hertz si schierò con la prima possibilità, assumendo che l’etere partecipi completamente al moto dei corpi. Anche se evidenze sperimentali sembravano non confermare questo punto di vista (48) egli lo adottò perché lo riteneva ricavato da fatti sperimentali studiati più a fondo di quelli ottici, quelli elettromagnetici. Inoltre egli respinse la possibilità di un etere stazionario perché, come affermava: (49)
“ se volessimo adattare la nostra teoria a questo punto di vista, dovremmo considerare le condizioni elettromagnetiche dell’etere e della materia ponderabile in ciascun punto dello spazio come se fossero in un certo senso indipendenti le une dalle altre. I fenomeni elettromagnetici nei corpi in movimento dovrebbero quindi appartenere a quella classe di fenomeni che non può essere soddisfacentemente trattata senza l’introduzione di almeno due differenti grandezze per lo stato elettrico e due per lo stato magnetico. “
Ciò sembrava ad Hertz inaccettabile. Egli assunse, in accordo con Maxwell, che lo stato del sistema materia più etere potesse essere trattato allo stesso modo sia quando esso è fermo sia quando è in moto, poiché, come lo stesso Hertz scriveva, “ l’etere contenuto nei corpi materiali si muove con essi “. Ed in un sistema in moto uniforme le cose si svolgono come se l’etere fosse immobile; ciò vuol dire che è valido il principio di relatività di Galileo.
Si tratta di un risultato notevole: dell’estensione del principio di relatività all’elettromagnetismo che comporta l’invarianza delle equazioni di Maxwell (scritte, si badi bene, nella forma di Hertz per i corpi in movimento!) per una trasformazione di Galileo. Ci si rende conto della portata di questo risultato se si ricorda che anche le leggi del moto di Newton sono invarianti per una trasformazione di Galileo. Così scriveva Hertz:(50) “ Il nostro metodo di deduzione delle equazioni per i corpi in moto non richiede che il sistema di coordinate usato debba rimanere assolutamente fisso nello spazio. Possiamo quindi,senza mutamenti formali, trasformare le nostre equazioni dal sistema di coordinate scelte inizialmente ad un sistema di coordinate che si muove in qualsiasi modo nello spazio, prendendo a, b, g per rappresentare le componenti della velocità dell’etere in riferimento al nuovo sistema di coordinate … Da ciò segue che il moto assoluto di un sistema rigido di corpi non ha alcun effetto su un qualsiasi processo elettromagnetico svolgentesi al suo interno, purché tutti i corpi in considerazione, compreso l’etere, partecipino realmente al moto. “
In definitiva, i punti salienti della concezione di Hertz dell’elettrodinamica dei corpi in movimento possono essere ben riassunti con Petruccioli e Tarsitani: (51)
“ a) concezione dei ‘campi’ come ‘cambiamenti di stato’ di un’unica sostanza materiale che può essere dielettrica o conduttrice a seconda del valore di alcune costanti caratteristiche. Etere e materia ponderabile costituiscono ‘modificazioni’ di un’unica sostanza;
b) principio di unità dei campi;
c) rifiuto dell’autonomia del concetto newtoniano di forza;
d) …
e) ipotesi di trascinamento totale dell’etere;
f) conciliazione della teoria di Maxwell con il principio di relatività. “
A questo livello di elaborazione era giunta la teoria di Hertz. Ma, nonostante l’ampiezza del programma, le importanti novità di carattere metodologico, il risultato ottenuto particolarmente nel conseguimento del punto f, ci volle ben poco a soppiantare questa visione dei problemi: le difficoltà della teoria di Stokes sul trascinamento totale dell’etere si ripresentavano interamente e, in ogni caso, bisognava rendere conto del trascinamento parziale di Fresnel-Fizeau.
Per parte sua Hertz non ebbe altre possibilità di ricerca: si spense (1894) giovanissimo, a soli 37 anni.
4 – L’OTTICA DEI CORPI IN MOVIMENTO. IL PROBLEMA DELL’ETERE E L’ESPERIENZA DI MICHELSON – MORLEY.
Verso la metà degli anni ’70, come abbiamo già visto nel paragrafo 6 del capitolo III, la situazione nell’ambito dell’ottica ed in particolare relativamente all’ottica dei corpi in movimento era la seguente:
– la teoria ondulatoria della luce aveva avuto il suo riconoscimento ufficiale;
– la teoria dell’etere immobile spiegava bene il fenomeno dell’aberrazione ma non riusciva a spiegare tutta una serie di fenomeni diversi come, ad esempio, l’esperienza di Arago e quella di Airy;
– la teoria del trascinamento totale dell’etere (Stokes, 1845) incontrava delle difficoltà nella spiegazione del fenomeno dell’aberrazione (si veda la nota 313);
– la teoria del trascinamento parziale dell’etere riusciva a spiegare, almeno al prime ordine di v/c, tutti i fatti sperimentali noti ed in più aveva un grosso sostegno nell’esperienza di Fizeau (misura della velocità della luce in un mezzo trasparente in movimento);
– il problema della determinazione delle proprietà di questo etere e dei suoi rapporti con la materia in moto si faceva sempre più pressante ed un invito ad indagare in questo senso fu anche rivolto ai ricercatori dall’Accademia delle Scienze di Parigi.
Per altri versi gli sviluppi dell’elettromagnetismo avevano definitivamente stabilito che la luce ha una natura elettromagnetica, rendendo l’ottica un paragrafo dell’elettromagnetismo. Anche in questo campo di ricerca si cercava di capire quali fossero le proprietà dell’etere che, anche qui, serviva da sostegno alle ‘vibrazioni’. Risultato, allora, della scoperta identità tra luce ed onde elettromagnetiche fu la fusione dell’etere ottico con quello elettromagnetico. Da questo momento si avrà a che fare semplicemente con l’etere ed il problema della ricerca delle sue proprietà riguarderà da ora tutta la fisica. (541)
Nel 1879 moriva Maxwell e nel 1880 veniva pubblicata postuma su Nature una sua lettera a D.P. Todd. In questa lettera, tra l’altro, Maxwell affermava: (542)
“Se fosse possibile misurare la velocità della luce in un solo senso fra due stazioni terrestri in ciascuno dei due casi [nel primo caso la Terra si muove nello stesso senso della luce, nel secondo caso in senso contrario], la differenza tra i due tempi di transito dovrebbe dipendere in modo lineare dal rapporto tra la velocità v della Terra e la velocità c della luce rispetto all’etere. Si tratterebbe quindi di un effetto del primo ordine … Ma nei metodi terrestri per la determinazione della velocità della luce, la luce stessa torna indietro sempre lungo la stessa traiettoria, così che la velocità della Terra rispetto all’etere dovrebbe alterare il tempo necessario per il doppio passaggio di una quantità che dipende dal quadrato del rapporto tra la velocità della Terra e quella della luce [effetto del secondo ordine]: il quale è un valore troppo piccolo per poter essere osservato.”
Per capire meglio quanto qui sostenuto facciamo un esempio semplice. Supponiamo di voler calcolare il tempo necessario affinché un battello, che parte da un certo punto A, risalendo la corrente di un fiume, raggiunga un altro punto B e, quindi, col favore della corrente, da B torni ad A, avendo percorso una distanza 2d (figura 29). Supponiamo che il battello sia dotato di una velocità u rispetto all’acqua del fiume e che la corrente dello stesso fiume abbia una

velocità v.
Il tempo t AB necessario per andare da A a B (per percorrere la distanza d controcorrente) sarà dato da:
tAB = d/(u-v)
in accordo con il principio classico di relatività (essendo v-u la velocità del battello rispetto alla riva del fiume).
Il tempo tBA per tornare da B ad A (per percorrere la distanza d a favore di corrente) sarà allora:
tBA = d/(u+v)
sempre in accordo con il principio classico di relatività (essendo v+u la velocità del battello rispetto alla riva del fiume).
Il tempo totale t1 necessario a completare il tragitto di andata e ritorno sarà dato da:

Come si vede questo tempo dipende dal secondo ordine in v/u, cioè da v2/u2. Ora, nel caso del battello e del fiume, le velocità sono dello stesso ordine di grandezza e pertanto la quantità v2/u2 è grande tanto da dare un contributo significativo al calcolo di t1 (se il battello ha una velocità di 50 km/h e la corrente di 10 km/h, segue che v/u = 1/5 da cui v2/u2 = 1/25).
Supponiamo ora di voler fare lo stesso conto per il tempo impiegato dalla luce a fare un percorso di andata e ritorno sulla Terra (mediante, ad esempio, uno specchio). Se disponiamo i nostri strumenti in modo che il percorso della luce abbia la stessa direzione del moto orbitale della Terra, quando la luce marcerà in un verso sentirà un vento d’etere che si opporrà al suo movimento, quando marcerà in verso opposto il vento d’etere l’aiuterà nel suo movimento. E’ chiaro che il vento d’etere è quello prodotto dal moto della Terra in mezzo ad esso (l’analogo del vento d’aria che si sente andando in moto, che ha la stessa velocità della moto ma verso opposto). Ora, la velocità della Terra, rispetto all’etere, nel suo moto orbitale, è di circa 30 km/sec, mentre la velocità della luce, sempre rispetto all’etere, è di circa 300.000 km/sec. Il tempo t1 di andata e ritorno per un raggio di luce che debba percorrere un certo tratto d sulla Terra (nella direzione del moto orbitale di quest’ultima), analogamente al caso del battello, sarà:

dove 2d è la lunghezza del tragitto totale percorso dalla luce, v la velocità del vento d’etere, c la velocità della luce. Quanto vale v2/c2 ?

Questo era dunque il ragionamento di Maxwell: effetti cosi piccoli non si sarebbero potuti rilevare con nessuno strumento conosciuto. Egli allora proponeva di cercare il vento d’etere su altre esperienze, ma questa volta di carattere astronomico (in particolare suggeriva una versione modificata della misura fatta da Römer).
Il problema era dunque quello di rilevare un moto assoluto della Terra rispetto all’etere ed, in ogni caso, di individuare la presenza e le proprietà di questa sostanza.
Proprio nell’anno della pubblicazione della lettera di Maxwell su Nature, il guardiamarina A.A. Michelson (1852-1931), docente di fisica al Nautical Almanac Office di Washington, si trasferiva dagli Stati Uniti in Europa per perfezionare i suoi studi, principalmente nel campo dell’ottica.
Michelson già aveva lavorato in ottica riuscendo tra l’altro a realizzare (l873) un importante perfezionamento al metodo di Foucault per la misura della velocità della luce (sostituzione dello specchio concavo con uno specchio piano; la qual cosa permetteva di misurare c su qualsiasi distanza ed inoltre rendeva il costo dello strumento estremamente basso). Ma fatto interessante è che egli venne a conoscenza, in anteprima, della lettera di Maxwell a Todd, poiché quest’ultimo era suo collega al Nautical Almanac Office. Inoltre egli aveva già lavorato su esperienze utilizzanti metodi interferometrioi ed andò a proseguire i suoi studi dapprima a Berlino, nel laboratorio di Helmholtz, quindi ad Heidelberg, nei laboratori di Quincke e Bunsen, infine a Parigi, nei laboratori di Mascart, Cornu e Lippmann. (543)
Già alla fine del 1880 egli aveva comunicato al direttore del Nautical la sua intenzione di riuscire ad individuare il moto della Terra attraverso l’etere; della cosa aveva già informato Helmholtz il quale non aveva avuto nulla da obiettare. (544)
Michelson cominciò ad ideare lo strumento che riteneva necessario per eseguire l’esperienza che aveva in mente; da una ditta tedesca comprò un polarimetro ottico e ne sostituì la parte ottica piana con quella utilizzata nell’interferometro di Jamin (le due lastre uguali di vetro mostrate in figura 20) acquistata da una ditta di Parigi. Lo schema di funzionamento di questo primo interferometro di Michelson è mostrato in figura 30.

Figura 30
S è una sorgente di luce (dapprima monocromatica per la taratura dello strumento e quindi bianca); A e B sono le due lastre di vetro dell’interferometro di Jamin; M1 ed M2 sono due specchi piani; O è un oculare su cui è riportata una scala graduata. Il raggio di luce prodotto da S, interagendo con la lastra A, viene separato in due fasci che marciano tra loro ad angolo retto: il fascio 2, dopo aver attraversato A, essersi riflesso su M2 ed aver riattraversato A, va all’oculare O; il fascio 1, dopo aver attraversato B, essersi riflesso su M1 , aver riattraversato B ed essersi riflesso su A, va anche esso all’oculare O (si noti che: i due fasci si originano nel punto P; che la lastra B – lastra compensatrice – è utilizzata per rendere perfettamente uguali i due percorsi ottici; che i tratti PM1 e PM2 sono chiamati bracci dell’interferometro).
L’idea guida dell’esperienza è ben espressa dallo stesso Michelson in apertura dell’articolo del l861 che ne fa un resoconto: (545)
“La teoria ondulatoria della luce ipotizza resistenza di un mezzo chiamato etere, le cui vibrazioni producono i fenomeni del calore e della luce e che si suppone riempia tutto lo spazio. Secondo Fresnel, l’etere che è racchiuso nei mezzi ottici condivide il moto di questi ultimi in una misura che dipende dai loro indici di rifrazione … Supponendo quindi che l’etere sia in quiete e che la Terra si muova in esso, il tempo necessario alla luce per passare da un punto all’altro della superficie terrestre dovrebbe dipendere dalla direzione lungo la quale essa si muove.”
Dunque si tratta di questo: quando la Terra si muove nello spazio con una velocità v, essa provocherà un vento d’etere con la stessa velocità v ma in verso contrario (si veda la figura 3l). Se si considera un raggio di luce che faccia un

percorso PM1P nella direzione del moto della Terra, esso impiegherà un dato tempo t1 diverso dal tempo t2 necessario ad un raggio di luce per percorrere una ugual distanza PM2P in direzione perpendicolare al moto della Terra. Ritornando all’esempio del fiume, incontrato un poco indietro, vediamone il perché riferendoci alla figura 32.

Abbiamo già visto che il tempo t1 necessario ad un battello, che marci a velocità u, a percorrere il tragitto ABA in direzione della corrente è dato da:

Calcoliamoci ora il tempo t2 necessario allo stesso battello a percorrere una stessa distanza 2d ma, questa volta, in direzione perpendicolare alla corrente (tragitto ACA).
Innanzitutto il pilota del battello, se vuole arrivare da A a C, dovrà puntare la prua verso C”, in accordo con la composizione vettoriale delle velocità: la velocità risultante vR del battello sarà la somma vettoriale della velocità u , del battello rispetto all’acqua, e v della corrente rispetto alla riva (si veda la figura 33a). Analogamente al ritorno; se il pilota vuole arrivare da C ad A, dovrà puntare la prua verso C” e la sua velocità risultante sarà la medesima vR (si veda la figura 33b).

E’ ora abbastanza facile calcolarci vR (velocità del battello rispetto alla riva); basta applicare il teorema di Pitagora per avere:

Il tempo necessario a percorrere il tragitto ACA sarà allora:

Come si può vedere i tempi t1 e t2 , forniti rispettivamente dalle (1) e (2), sono differenti.
Ora, nel caso della luce illustrato in fig. 31, le cose vanno esattamente allo stesso modo a patto di sostituire alla velocità della corrente v la velocità del vento d’etere v, alla velocità del battello u la velocità della luce c, ai percorsi ABA e ACA i percorsi PM1P e PM2P.
E questa era l’idea base di Michelson, il quale voleva evidenziare la differenza tra i due tempi t1 e t2, fatto che gli avrebbe permesso di mostrare l’esistenza dell’etere dal suo vento e conseguentemente il moto assoluto della Terra rispetto a quella misteriosa sostanza.
In definitiva i tempi t1 e t2 necessari alla luce per percorrere rispettivamente i tratti PM1P e PM2P erano teoricamente dati da: (546)


avendo assunto che d è la lunghezza di ciascun braccio dell’interferometro. Calcoliamo ora quanto vale la differenza Δ t fra questi due tempi:

Per poter procedere al calcolo conviene fare una approssimazione lecita solo se v<<c, cosa senz’altro verificata. Allo scopo ricordiamo la formula binomiale che permette lo sviluppo del binomio di Newton:

Applichiamo questo sviluppo ai due termini dell’ultimo membro della (3):


Facciamo ora l’approssimazione annunciata. Poiché v<<c e, conseguentemente, v/c<<1, la quantità v2/c2 è certamente molto piccola e, a molto maggior ragione, v4/c4 è completamente trascurabile. Con tale assunzione si ha:

avendo trascurato i termini in v/c di ordine superiore al secondo.
In questo modo la (3) che ci forniva Δ t diventa:

avendo indicato con Δ s il tragitto percorso dalla luce nel tempo Δ t.
Tutto ciò che abbiamo detto era nell’ipotesi implicita che i bracci dell’interferometro fossero perfettamente uguali e lunghi d. Ora, mentre nel caso del battello metro più o metro meno, su percorsi di centinaia di metri, non crea alcun problema, in questo caso, dato il piccolissimo effetto da rilevare, anche una piccolissima ed inevitabile differenza tra i due bracci può essere fatale alla validità dell’esperienza (essendo tal piccola differenza quantomeno dell’ordine di grandezza dell’effetto da misurare). Per rimediare a questo inconveniente Michelson pensò di effettuare la misura, una prima volta con i bracci dell’interferometro sistemati come in fig. 30 e quindi, una seconda volta con i bracci ruotati di 90° sul piano orizzontale, di modo che il braccio prima disposto nella direzione del vento d’etere fosse ora perpendicolare ad esso (e viceversa per l’altro braccio). Operando in questo modo l’inconveniente veniva eliminato: i due bracci invertivano il loro ruolo e la seconda lettura, fatta per differenza con la prima, compensava gli effetti (anche analiticamente). (547) Nella seconda lettura si otteneva una differenza di tragitto analoga alla prima ma di segno contrario cioè, in totale, una differenza doppia della precedente.
Rifacciamoci allora i conti, nell’ipotesi di bracci con lunghezza diversa: PM1 = d1 e PM2 = d2. Ripartendo dalla (3) si ha:

Invertendo ora i bracci dell’interferometro, la relazione precedente diventa:

La differenza tra questi due tempi sarà:

avendo, come prima, indicato con Δ s il cammino percorso dalla luce nel tempo Δ t. Ora si tratta di andare a sostituire i valori numerici ricavati dalla struttura dell’apparato sperimentale; ed ora, e solo ora, possiamo supporre, nei limiti degli errori di misura, che d1 ~ d2 = d e scrivere:

E questo risultato è in accordo con quanto anticipato: abbiamo ottenuto una differenza doppia e ciò vuol dire che gli effetti si sono compensati.
In ultima analisi, l’esperienza di Michelson, per la prima volta, ci pone di fronte ad una dipendenza del secondo ordine in v/c. la differenza Ds di cammino ottico è quella che nell’oculare O dovrebbe originare frange di interferenza. (548) Considerando gli ordini di grandezza in gioco, cerchiamo di vedere se ciò è sperimentalmente realizzabile. Nell’esperienza di Michelson del 1881 si aveva d1 ~ d2 = 120 cm ed allora Ds ~ 2,4.102.10-8 cm = 2,4.10-6 cm. Se si confronta questa differenza di cammino ottico dei due raggi con la lunghezza d’onda della luce (l = 57.10-6 cm), si trova:

E ciò significa che, dopo aver fatto la prima misura con l’interferometro sistemato in una data posizione, quando si va a fare la seconda misura con l’interferometro ruotato di 90°, si dovrebbe osservare, nella figura d’interferenza, uno spostamento di 4/100 di frangia. E lo strumento a disposizione di Michelson era in grado di apprezzare spostamenti di frange di questo ordine di grandezza.
Nonostante ciò, Michelson concluse la sua memoria del 1881 affermando: (549)
” L’interpretazione dei risultati ottenuti è che non esiste alcuno spostamento delle frange d’interferenza. Si mostra in tal modo che è errato il risultato dell’ipotesi dell’etere stazionario, e ne consegue la necessaria conclusione secondo cui l’ipotesi stessa è sbagliata.
Questa conclusione contraddice direttamente la spiegazione fino ad ora generalmente accettata per i fenomeni di aberrazione: spiegazione che presuppone che la Terra si muova attraverso l’etere e che quest’ultimo rimanga in quiete.”
E ciò vuol dire che la teoria di Fresnel, che prevede un etere immobile nello spazio, etere nel quale la Terra si infila senza creare alterazioni, a parte un piccolo trascinamento nei corpi trasparenti, va rivista. Le cose sembrano andare d’accordo con la teoria di Stokes; infatti, poiché la teoria prevede un trascinamento totale dell’etere sulla superficie della Terra, quest’ultima non e’ animata di moto relativo rispetto all’etere.
Le condizioni in cui Michelson aveva lavorato in questa sua prima esperienza non erano delle migliori. Molti problemi si erano posti, legati soprattutto alle condizioni fisiche del luogo dove lo strumento era posto. Ad esempio egli dovette trasferirsi da Berlino ai sotterranei dell’Osservatorio di Potsdam, poiché troppe erano le vibrazioni dovute al traffico cittadino che, di fatto, gli impedivano di far misure. Un altro grave inconveniente, ricordato dallo stesso Michelson nel suo lavoro con Morley del 1887, era legato alle difficoltà incontrate per ruotare manualmente lo strumento. Insomma, questo primo lavoro lasciò molti dubbi e sollevò molte critiche; lo stesso Michelson lo considerò un insuccesso.
Dopo la realizzazione dell’esperienza, Michelson rimase ancora un anno in Europa. Passò prima ad Heidelberg dove, tra l’altro, ebbe modo di stare a contatto con Quincke il quale nel 1867 aveva introdotto la tecnica dell’argentatura di una delle superfici delle lastre di vetro di Jamin. In questo modo, dosando la quantità di argento che si faceva depositare sulla superficie, si potevano ottenere specchi semitrasparenti, con il risultato che le frange risultavano molto più nitide. (550)
Una lettera scritta a Nature in questo periodo, per criticare una misura di velocità della luce eseguita di recente da Young e Forbes, gli valse l’amicizia di Lord Hayleigfa (1842-1919) che condivideva le sue opinioni su quella misura.
Prima di tornare negli Stati Uniti, Michelson soggiornò qualche tempo a Parigi. Qui, come già detto (si veda la nota 546), scrisse una memoria nella quale riconosceva e correggeva il suo errore nella non valutazione del vento d’etere sul cammino ottico perpendicolare ad esso.
Ripresa la sua attività negli Stati Uniti, per lungo tempo, Michelson non fece più riferimento all’esperienza di Potsdam. Egli si dedicò a svariati lavori di ottica e, in particolare, alla misura della velocità della luce ed alla ripetizione (l886) dell’esperimento di Fizeau, (551) fatto quest’ultimo ritenuto importante da molti, ora che si disponeva di apparati in grado di rilevare effetti al secondo ordine in v/c. Quest’ultima esperienza la condusse insieme al chimico E.W. Morley (1838-1923). (552) Dopo 65 serie di misure (!) con uno strumento che era una variante dell’interferometro di Michelson, i due ricercatori trovarono per il coefficiente di trascinamento di Fresnel in acqua il valore di 0,434 ± 0,03, che era in ottimo accordo con quello previsto teoricamente da Fresnel (0,438). Questo valore migliorava quello trovato da Fizeau (0,5 ± 0,1) che, mentre era in buon accordo con quello previsto dal lavoro teorico di J.J. Thomson (cui abbiano fatto cenno alla nota 541), che aveva tentato di ricavare il coefficiente di trascinamento dalla teoria elettromagnetica, non lo era molto con quello previsto da Fresnel. In ogni caso il risultato era in accordo e con la teoria di Fresnel e con l’esperimento di Fizeau, di modo che i due ricercatori statunitensi conclusero il loro lavoro affermando che “l’etere luminifero è completamente insensibile al moto della materia che esso permea.” Ed in definitiva le cose sembravano svolgersi in accordo con la teoria di Fresnel: etere stazionario e trascinamento parziale.
E’ a questo punto (l886) che viene pubblicata una memoria del fisico olandese H.A. Lorentz (1653-1928) nella quale si discuteva l’influenza del moto della Terra sui fenomeni luminosi. (553) L’articolo in oggetto si apriva con una frase che aveva il sapore di un programma: (554)
“ l’esame di questa questione non interessa soltanto la teoria della luce, esso ha acquistato una importanza molto più generale da quando è diventato probabile che l’etere giochi un ruolo nei fenomeni elettrici e magnetici.”
Fatta questa premessa Lorentz passò ad esporre la sua teoria che prendeva le mosse da quella sviluppata da Stokes nel 1845 (555) e si integrava con quella di Fresnel. Egli però, dopo aver dimostrato l’inconciliabilità delle due ipotesi di Stokes (l’etere dotato di velocità potenziale e l’etere totalmente trascinato dai corpi materiali: è impossibile che l’etere sia un fluido incompressibile e che si muova alla stessa velocità della superficie della Terra senza che in esso si producano vortici – questa era l’ipotesi di Stokes che Lorentz dimostra non in accordo con i principi della meccanica -), optò solo per la prima, accettando quindi che l’etere sia dotato di una velocità potenziale (in questo modo si rendeva possibile la conciliazione di Stokes con Fresnel). Più in dettaglio, (556) secondo Lorentz: l’etere è dovunque immobile nello spazio vuoto; la materia è completamente trasparente all’etere il quale rimane immobile anche quando è attraversato da un corpo materiale in movimento; poiché l’etere è immobile e la Terra è dotata di una certa velocità, l’etere che è a contatto con la Terra risulta in moto rispetto alla sua superficie ed è inoltre dotato di una velocità potenziale; sulla superficie della Terra i moti relativi dell’etere e della Terra stessa possono essere differenti a seconda delle situazioni particolari; nei corpi trasparenti c’è trascinamento parziale dell’etere secondo il coefficiente di Fresnel che dipende dall’indice di rifrazione del mezzo.
Con questa elaboratissima ipotesi Lorentz ridusse la teoria di Fresnel ad un caso particolare della sua (si ha trascinamento di Fresnel quando la velocità potenziale dell’etere è uguale a zero) e dimostrò che, ad eccezione dell’effetto Doppler prodotto dalla luce delle stelle, non si poteva in alcun modo rilevare il moto della Terra da fenomeni ottici. C’è solo da notare che queste conclusioni Lorentz le ricavò facendo delle approssimazioni, a mio giudizio, non più lecite a questo livello di elaborazione teorica e sperimentale: egli trascurò termini in v/c d’ordine superiore al primo. In ogni caso questa teoria era in ottimo accordo con le conclusioni di Fresnel e spiegava allo stesso modo tutti i fatti sperimentali fino ad allora conosciuti. Inoltre, proprio in quello stesso anno, l’esperienza di Michelson e Morley, ripetizione di quella di Fizeau, aveva mostrato un completo accordo della teoria di Fresnel con l’esperimento.
Il lavoro di Lorentz, a questo punto, proseguiva andando a discutere i supposti rapporti tra etere e materia ponderabile anche perché, nella seconda delle sue ipotesi iniziali, egli aveva ammesso che “alla superficie della Terra i moti di questa e dell’etere possono essere differenti” ed una questione di tal portata non si poteva lasciare in sospeso. Cosi scriveva Lorentz: (557)
“Comunque stiano le cose, sarà bene, a mio avviso, non lasciarsi guidare, in una questione cosi importante, da considerazioni sul grado di probabilità o di semplicità dell’una o dell’altra ipotesi, ma indirizzarsi verso l’esperimento per arrivare a conoscere lo stato, di riposo o di movimento, nel quale si trova l’etere sulla superficie terrestre.”
E, secondo Lorentz, l’esperienza di Michelson del 1881 sembrava indicare che l’etere fosse immobile rispetto alla superficie della Terra, anche se questo esperimento non era sufficientemente preciso (e qui Lorentz faceva riferimento all’errore di sopravvalutazione degli effetti fatto da Michelson accennato nella nota 546) ed in ogni caso non in grado di fornire dati sulle velocità relative della Terra e dell’etere. Insomma il problema dell’etere si poneva come problema di rapporto tra etere e materia (preludio questo alla teoria degli elettroni di Lorentz della quale parleremo nel prossimo paragrafo).
Rayleigh, anch’egli convinto che il problema centrale fosse di stabilire il rapporto esistente tra etere e materia, scrisse a Michelson mettendolo al corrente dell’articolo di Lorentz e facendogli presente che era diventato urgente ripetere l’esperienza di Potsdam.
Nel marzo del 1887 Michelson rispose a Rayleigh (558) confidandogli anche la propria insoddisfazione per l’esperienza del l88l e che, per la verità, si era sentito molto scoraggiato quando i suoi stessi amici scienziati non gli avevano prestato attenzione sull’argomento. In ogni caso ringraziava Rayleigh per averlo incoraggiato e, dopo essersi impegnato a ripetere l’esperimento, gli chiedeva dei consigli che potrebbero oggi far sorridere ma che ben rendono conto delle problematiche complesse che c’erano dietro la vicenda dell’etere. Michelson si preoccupava di sapere se la sua esperienza poteva essere inficiata dalla particolare geometria del laboratorio se, ad esempio, una parete potesse ostacolare il vento d’etere. Così scriveva Michelson: (559)
” Supponiamo, per esempio, che le irregolarità della superficie della Terra siano schematicamente rappresentate da una figura come questa:

Se la superficie della Terra fosse in movimento nel verso della freccia, l’etere che si trova in 00 sarebbe trascinato con essa ? [e, cosa accadrebbe] in una stanza di questa forma?

Immediatamente, ancora insieme, Miohelson e Morley si misero al lavoro realizzando uno strumento di misura che aveva superato tutti i difetti di quello di Potsdam. (560) Innanzitutto l’intero stramento era montato solidalmente con una grossa base di arenaria (figura 34a) la quale a sua volta era montata su di un galleggiante di legno sistemato in una vasca di ferro contenente mercurio (una sezione dell’intero apparato e’ mostrata in figura 34b). II tutto aveva una grossa

stabilità e contemporaneamente poteva venir ruotato sul piano orizzontale intorno al suo asse (x), con facilità e senza provocare distorsioni (anzi l’apparato veniva manualmente messo in rotazione e continuava a ruotare per inerzia in modo cosi lento che le letture potevano essere fatte quando esso era in moto).
L’altra questione riguardava la sensibilità dello strumento che era al limite della misura da effettuare: a Potsdam lo strumento era in grado di porre in evidenza uno spostamento delle frange pari ad un centesimo di frangia; ora, con un sistema di riflessioni multiple (figura 34c), si aumentava, moltiplicandolo per circa 10, il tragitto della luce ed in questo modo si aumentava di circa un fattore 10 l’effetto previsto; ora lo strumento, se l’effetto previsto si fosse verificato, avrebbe dato una risposta più grande (lo strumento era reso 10 volte più sensibile). Ci possiamo rendere conto di quest’ultima cosa se riprendiamo per un momento in esame la relazione (4) incontrata più indietro e sostituiamo i valori ora a disposizione , che differiscono dai precedenti solo perché ora d ~ 11 m = 1,1.103 cm, si ha:

e, come si vede, si è amplificato di un fattore 10 l’effetto previsto: ora, mentre si è in grado sempre di apprezzare lo spostamento di un centesimo di frangia, l’effetto previsto è di ben circa mezza frangia.
Con questo apparato, con estrema cura, venne eseguita l’esperienza nel mese di luglio del 1887: non si osservò nessun effetto. Nell’articolo che descrive l’esperienza, (561) tutto impostate per rispondere alle critiche di Lorentz sulla non attendibilità del lavoro del 1881, Michelson e Morley dicevano: (562)
“si è deciso di ripetere l’esperimento con modifiche tali da assicurare un risultato teorico il cui valore numerico sia talmente elevato da non poter essere mascherato da errori sperimentali … Da tutto quanto precede [discussione dei risultati sperimentali] sembra ragionevolmente certo che, se esiste un qualche moto relativo tra la Terra e l’etere luminifero, allora esso deve essere molto piccolo; talmente piccolo da farci rifiutare la spiegazione dell’aberrazione data da Fresnel. Stokes ha elaborato una teoria dell’aberrazione nella quale si ipotizza che l’etere alla superficie della Terra sia in quiete rispetto a quest’ultima: in tale teoria si richiede solamente, inoltre, che la velocità relativa abbia un potenziale; ma Lorentz ha dimostrato che queste condizioni sono tra loro incompatibili. Lorentz ha quindi proposto una variante nella quale si combinano alcune idee di Stokes e di Fresnel, e si assume l’esistenza di un potenziale insieme al coefficiente di Fresnel. Se, sulla base del presente lavoro, fosse lecito concludere che l’etere è in quiete per quanto riguarda la superficie della Terra, allora, secondo Lorentz, non potrebbe esistere un potenziale della velocità; ed in tal caso la teoria dello stesso Lorentz fallisce.”
L’esperienza aveva così fornito un risultato del tutto negativo e la spiegazione immediata e più spontanea , nel contesto della fisica di fine Ottocento, era che l’etere che circonda la Terra fosse trascinato da essa cosicché esso risultasse in quiete rispetto alla superficie della Terra stessa. Di nuovo sorgeva la difficoltà rispetto al fenomeno dell’aberrazione; l’ipotesi di un etere trascinato dalla superficie della Terra e quindi in riposo rispetto ad essa non si conciliava con la spiegazione di questo fenomeno. Di nuovo la teoria di Fresnel non era in accordo con questo fatto sperimentale, non lo era quella di Lorentz e tantomeno quella di Stokes, che Lorentz aveva dimostrato essere inconsistente.
In definitiva, a questo punto ci troviamo di fronte all’aberrazione che si spiega con l’etere immobile; alla costanza dell’aberrazione per differenti mezzi che si spiega con il trascinamento parziale; all’esperienza di Michelson-Morley che si spiega con un trascinamento totale. Sono conseguenze di differenti fatti sperimentali, tutte in disaccordo tra di loro.
Per altri versi l’idea che sempre più andava facendosi strada era che questo etere non sembrava in grado di fornirci un sistema di riferimento privilegiato né per i fenomeni ottici né per quelli elettromagnetici. In particolare, non si era in grado di evidenziare il moto della Terra rispetto all’etere e, d’altra parte, lo stesso etere sfuggiva ad ogni rilevamento sperimentale. (564)
Cosa concludere da tutto ciò?
Certamente occorreva mettersi al lavoro per raccordare con una sola teoria i vari fatti sperimentali. Bisognava inventare cose nuove poiché non era possibile rimettere in discussione né l’ottica in quanto tale, né l’elettromagnetismo, né, tantomeno, la meccanica che ci fornisce la composizione delle velocità, e questo per il semplice motivo che questi capitoli della fisica erano molto ben strutturati, mirabilmente formalizzati, spiegavano una mole notevolissima di fatti sperimentali e fornivano una tal base di certezze che sembrava, impossibile rimettervi le mani.
Da dove cominciare ?
Intanto da ciò che sembrava più semplice: cercare di ricondurre alla ragione quel pazzo interferometro. Quindi cercando di modificare l’elettromagnetismo (di cui l’ottica è ormai un capitolo) in qualche sua parte. Ma la meccanica no: essa era davvero intoccabile.
Non c’è dubbio che questo era un periodo di grande travaglio all’interno di quella parte del mondo scientifico che lavorava su questi problemi in modo diretto. Il resto della comunità scientifica non era toccata dalla cosa; la specializzazione crescente, la divisione del lavoro, la richiesta di efficienza (tutti e tre come portato del mondo esterno che imponeva i suoi ritmi ad una scienza che era buona in quanto presto o tardi sarebbe servita al mondo della produzione – e molto presto della guerra -), tutto ciò faceva sì che problemi complessivi non si ponessero e che un ripensamento sui fondamenti non venisse preso molto sul serio. Ma di questo torneremo a parlare nel paragrafo 6 di questo capitolo. E’ ora molto importante andare a vedere quali furono le immediate elaborazioni teoriche che seguirono il lavoro di Michelson-Morley.
NOTE
(438) Per quel che riguarda la bibliografia generale che serva ad approfondire quanto qui solo accennato rimando alla nota 134.
(439) Bibl. 24, pag. 29. La frase fra parentesi è mia.
(440) Questa esigenza è ben espressa in uno scritto dell’ingegnere P. Reuleaux (1829-1905) che, nel 1875, così si esprimeva: Solo il grande capitale può permettersi di acquistare ed. usare le potenti macchine a vapore … Bisogna rendere l’energia indipendente dal capitale. Il modesto tessitore sarebbe liberato dal prepotere del capitale se potessimo mettere a disposizione del suo telaio, nella misura giusta, la forza motrice che gli serve. Lo stesso potrebbe farsi con successo nel campo della filatura … Altri campi sono quelli della costruzione di mobili, di chiavi, di cinghie, quelli dello stagnino, del fabbricante di spazzole, di pompe, ecc… Quindi ciò che la meccanica deve fare per ovviare ad una gran parte del capitale, è fornire piccoli quantitativi di energia a buon prezzo o, in altre parole, realizzare piccole macchine motrici, il cui esercizio esiga spese assai modeste.” (Da Klemm, bibl. 22, pagg. 347-348).
(441) Bibl. 22, pag.347. Si ricordi che un cavallo potenza (HP) vale circa 76 Kgm/sec , mentre un cavallo vapore (CV) vale 75Kgm/sec. Riguardo alla nascita del cavallo come unità di misura di potenza si può vedere bibl. 45, pagg. 44-45.
(442) II pollice, unità di misura di lunghezza, corrisponde a 2,54 cm.
(443) – Nel 1794 il britannico J. Bramah (1746-1614) inventa il porta-utensili scorrevole per torni paralleli e nel 1795 la pressa idraulica;
– nel 1797 il britannico H. Maudsley (l771-l83l) migliora il porta-utensili per filettare munendolo di un banco a slitte e di un accoppiamento a madrevite;
– nel 1801 il francese M. Brunel (1769-1849) costruisce i primi trapani;
– nel 1832 lo statunitense E. Mhitney (1765-1825) costruisce la prima fresatrice per la realizzazione di superfici piane e costruisce le prime armi statunitensi a pezzi intercambiabili;
– nel 1802 ancora J. Bramah realizza la prima piallatrice meccanica;
– nel 1807 il britannico W. Newberry inventa la sega a nastro;
– nel l8l0 ancora Maudsley completa la realizzazione del primo tornio di precisione, interamente costruito in ferro, con il quale si possono fabbricare viti con filettature precise e cilindri molto ben centrati e rettificati (con questo tornio inizia la produzione standardizzata di viti e cilindri);
– nel 1825 il britannico J. Glement (1779 -1844) realizza una macchina in grado di spianare perfettamente le superfici metalliche; “con l’aiuto di questi cilindri e superfici piane perfetti l’inglese J. Whitworth (l803-l887) sviluppò, negli anni 1830-50, il suo misuratore di precisione a vite, che permetteva di misurare con una sensibilità fino ad un milionesimo di pollice, e i suoi torni di precisione, le sue macchine spianatrici, perforatrici, tagliatrici e modellatrici che gli diedero fama mondiale” (bibl. 16, Vol. II, pag. 530).
– nel 1840 lo stesso Whitworth propose che si adottassero, nella costruzione di macchine, sia pezzi intercambiabili lavorati entro strette tolleranze, sia filettature unificate.
(444) L’acciaio, per le sue caratteristiche, era di gran lunga preferibile per la costruzione di macchine che, proprio perché soggette a rapidi movimenti, erano enormemente sollecitate. I prima acciai si cominciarono a produrre a partire dal 1783 quando il britannico H. Cort (l740-l800) inventò il sistema di puddellaggio, atto alla loro fabbricazione. Nel 1811 il tedesco F. Krupp (1787-1826) inaugurò ad Essen la prima fonderia d’acciaio (nella Germania e già nel 1812 iniziò la produzione dei primi acciai inossidabili.
Leghe di acciaio furono anche studiate e create da M. Faraday (!) nel 1822 ma gli acciai speciali ad alta robustezza e resistenza si cominciarono a realizzare a partire dal 1856 quando, il britannico H. Bessemer (l8l3-l898) inventò il convertitore,che porta il suo nome, per la produzione, appunto, dell’acciaio ed il tedesco P. Siemens (1826-1904), uno dei quattro fratelli Siemens, inventò il forno a rigenerazione,sempre per la produzione dell’acciaio.
Nel 1862 la Krupp aveva già installato il primo convertitore Bessemer del continente.
Appena tre anni dopo (l865) i fratelli Martin, francesi, misero a punto un processo che, integrato con quello Siemens, permetteva, un notevole risparmio di combustibile (processo Siemens-Martin).
Sia il convertitore Bessemer che il processo Siemens-Martin erano però adatti alla lavorazione di minerali senza tracce di fosforo e si adattavano quindi bene ai giacimenti britannici e continentali esclusa la Germania i cui giacimenti erano ricchi di minerale fosforico. La soluzione a questo problema fu trovata dal britannico S.G. Thomas (1850-1685) che con il processo che porta il suo nome permise lo sfruttamento dei giacimenti del Belgio, della Lorena e della Germania.
Intanto nel 1668 era stato installato negli Stati Uniti il primo convertitore Bessemer.
A questo punto il grosso era fatto ma le richieste dell’industria si face vano sempre più pressanti;
-nel 1881 Siemens costruisce il forno elettrico per la fusione dell’acciaio;
– nel 1884 il processo Thomas viene esteso ai forni Martin;
– nel 1888 viene prodotto il primo acciaio speciale con forti percentuali di manganese;
– nel 1889 viene prodotto un altro acciaio speciale, quello al nichel;
– nel 1900 F.H. Taylor produce i primi acciai rapidi per utensili che consentono elevate velocità di taglio.
(445) Certo, perché l’elettricità arrivasse a questo grado di funzionalità, sono stati necessari molti successivi passi, ciascuno dei quali, anche se in tempi relativamente brevi, ha rappresentato una tappa complessa e piena di implicazioni soientifico-tecnologiche. Cerchiamo di ripercorrere questi passi a partire dalle due fondamentali scoperte alla base della tecnologia elettrica: quella di Volta e quella di Faraday.
– Nel 1800 A. Volta costruisce la pila elettrica, prima tappa fondamentale nello sviluppo dell’elettrotecnica;
– nel 1803 il tedesco J. Ritter (l776-l8l0) progetta l’accumulatore elettrico;
– nel 1809 H. Davy costruisce l’arco elettrico;
– nel 1820 il tedesco T.J. Seebeck (l770~l83l) riesce a magnetizzare l’acciaio;
– nel 1822 lo stesso Seebeck dimostra, che la corrente fa variare la temperatura di un circuito dando inizio alla termoelettricità;
– nel 1822 il britannico P. Barlow (1766-1862) dimostra la trasformabilità dell’energia elettrica in energia .meccanica (ruota di Barlow);
– nel 1822 il tedesco G. S.. Ohm (1787-1854) ricava la legge che porta il suo nome e che lega tensione, corrente e resistenza;
– nel 1624 il francese J.C. Peltier (l785-l845) scopre l’effetto termoelettrico;
– nel 1825 lo statunitense M. Sturgeon (1783-1850) costruisce il primo elettromagnete d’uso pratico;
– nel 1831 M. Faraday scopre il fenomeno dell’induzione elettromagnetica e costruisce il primo semplice generatore di corrente alternata;
– nel 1831 lo statunitense J. Henry (1797-1878) costruisce il primo semplice motore elettrico;
– nel 1832 il francese H. Pixii (1776-1861) costruisce una macchina per produrre corrente alternata con il primo dispositivo commutatore per ‘raddrizzarla’;
– nel 1832 ancora Henry scopre il fenomeno dell’autoinduzione;
– nel 1833 Gauss e Weber realizzano il primo telegrafo elettrico;
– nel 1836 il francese A.P. Masson (l806-l880) realizza correnti elettriche indotte ad alta tensione;
– nel 1837 lo statunitense J. P. Morse (1791-1872) costruisce la prima linea telegrafica di uso pratico;
– nel 1838 il tedesco H. von Jacobi (l801-l874) costruisce un motore elettrico ad elettromagneti, alimentati da una batteria di pile, con il quale fa muovere un battello sulla Neva;
– nel 1840 ancora Masson insieme a L.F. Breguet (l804-l883) costruiscono un trasformatore;
– tra il 1840 ed il 1844 ad opera, indipendentemente, del britannico W. Grove (1811-l896), del ‘britannico de Moleyns, dello statunitense J.W. Starr, del francese L. Foucault, vengono realizzati i primi tentativi per lampade ad incandescenza;
– nel 1845 G. Wheatstone modifica i generatori elettrici sostituendo i magneti permanenti con elettromagneti;
– nel 1848 G. Kirchhoff estende la legge di Ohm a circuiti complessi a più rami ;
– nel 1850 viene posato, attraverso la Manica, il primo cavo telegrafico sottomarino;
– nel 1851 il tedesco W. J. Sinsteden (l803-l878) costruisce il primo alternatore elettrico monofase;
– nel 1855 l’italiano De Vincenzi brevetta la prima macchina da scrivere elettrica;
– nel 1859 l’italiano A. Pacinotti (l841-1912) costruisce un indotto per macchine elettriche (anello di Pacinotti) , ad alto rendimento, per la trasformazione dell’energia meccanica in elettrica e viceversa;
– nel 1865 termina la posa in opera del primo cavo transatlantico sottomarino (a cui lavora la ditta Siemens);
– nel 1866 W. Siemens (l8l6~l892) scopre il principio elettrodinamico e costruisce la prima dinamo elettrica;
– nel 1867 il belga Z.T. Gramme (l826-190l) inventa la dinamo ad autoeccitazione per ottenere una corrente continua costante;
– nel 1869 lo stesso Gramme costruisce una dinamo elettrica a corrente continua in grado di trasformare energia meccanica in elettrica e viceversa;
– nel 1870 ancora Gramme, utilizzando i lavori di Pacinotti, costruisce la prima dinamo industriale;
– nel 1871 l’italiano A. Meucci (1804-1889) costruisce il primo rudimentale telefono;
– nel 1874 il tedesco S. Schuckert (1846-1895), collaboratore di Edison, inventa la commutatrice, una macchina rotante capace di convertire la corrente alternata in continua e viceversa;
– nel 1875 ancora Gramme costruisce il primo alternatore ad induttore rotante;
-nel 1875 lo statunitense G. Green prospetta l’idea di alimentare le locomotrici ferroviarie mediante un filo aereo;
– nel 1876 lo statunitense G.A. Bell (1847-1922) chiede il brevetto per il telefono ;
– nel 1878 il britannico J. Swann (1828-1914) costruisce una lampada ad incandescenza a filamento di carbone;
– nel 1879 lo statunitense T.A. Edison (1847-1931) costruisce la prima lampada ad incandescenza;
– nel 1879 ancora W. Siemens costruisce il primo locomotore elettrico;
– nel 1880 di nuovo W. Siemens costruisce il primo ascensore elettrico;
– nel 1881 gli Stati Uniti presentano una centrale telefonica automatica;
– nel 1881 W. Siemens inventa un sistema scorrevole di collegamento alla linea elettrica (trolley);
– nel 1881 W. Siemens accoppia una macchina a vapore ad un generatore di corrente per la produzione di energia elettrica;
– nel 188l negli Stati Uniti viene inaugurato il primo impianto di illuminazione elettrica pubblica;
– nel 1881 W. Siemens costruisce forni elettrici per la fusione dell’acciaio;
– nel 1881 viene inaugurata a Berlino la prima tramvia elettrica (Siemens);
– nel 1882 viene inaugurata negli Stati Uniti, a New York, la prima centrale elettrica per la fornitura di energia elettrica per uso domestico (Edison);
– nel 1884 il francese L. Gaulard (1850-1889) costruisce il trasformatore statico, dimostrando contemporaneamente la possibilità del trasporto a distanza dell’energia elettrica;
– nel 1885 viene inaugurata la prima centrale elettrica tedesca;
– nel 1885 Edison sviluppa la dinamo multipolare;
– nel 1885 l’italiano G. Ferraris (1847-1897) scopre il campo magnetico rotante e, in base ad esso, costruisce il primo motore elettrico a corrente alternata polifase;
– nel 1886 negli Stati Uniti entra in funzione il primo impianto di distribuzione di corrente alternata;
– nel 1886 lo statunitense E. Thomson brevetta il motore elettrico a repulsione;
– nel 1888 il tedesco H. Hertz dimostra l’esistenza delle onde elettromagnetiche;
– nel 1889 la statunitense Westinghouse costruisce i primi alternatori polifasi;
– nel 1889 la statunitense Otis Broters & Co. inizia la produzione industriale di ascensori (con il parallelo sviluppo degli acciai e del cemento armato – Francia 1867 – si renderà possibile la costruzione di grattacieli);
– nel 1891 il russo M. Dolivo-Dobrowolski (1862-1919) inventa l’indotto a gabbia di scoiattolo per i generatori elettrici;
– nel 1891 in Germania si sperimenta la trasmissione di energia elettrica ad alta tensione (25.000 V), su una linea di 178 Km;
– nel 1891 negli Stati Uniti viene installata la prima linea ad alta tensione;
– nel 1892 Siemens sperimenta la prima locomotrice elettrica a corrente alternata. polifase;
– nel 1892 la Westinghouse costruisce i primi trasformatori raffreddati ad acqua;
– nel 1895 il russo A. Popof (1858-1905) costruisce un’antenna per la ricezione delle onde elettromagnetiche;
– nel 1895 l’italiano G. Marconi (l874-1937) compie i primi esperimenti di radiocomunicazione ;
– nel 1897 Marconi stabilisce il primo contatto radiotelegrafico a distanza;
– nel 1900 lo statunitense Hewitt (186l-1921) inventa il raddrizzatore a vapori di mercurio;
– nel 1900 la Westinghouse installa la prima turbina a vapore per la generazione dell’energia elettrica;
– nel 1902 la Westinghouse introduce l’elettrificazione a corrente monofase ad alta tensione per uso ferroviario;
– nel 1904 il britannico J.A. Fleming (1849-1945) costruisce il diodo;
– nel 1506 lo statunitense L. De Forest (l873~196l) costruisce il triodo.
(446) Le tappe più importanti dello sviluppo della chimica, dopo la scoperta delle leggi dei gas e di svariati elementi, soprattutto per quel che riguarda il suo massiccio sfruttamento nell’industria sono:
– nel 1825 M. Faraday scopre il benzene che è un ottimo solvente organico e materia prima per molti derivati;
– nel 1826 M. Faraday scopre che la gomma naturale e’ un idrocarburo aprendo la strada alla fabbricazione della gomma sintetica;
– nel 1826 il tedesco 0. Unverdorben (l806-l873) scopre l’anilina, che e’ una sostanza importantissima per la fabbricazione di coloranti e prodotti farmaceutici;
– nel 1827 i francesi P.J. Bobiquet (1760-1840) e J.J. Colin (1784-1865) isolano l’alizarina (composto organico che si estrae dalle radici della robbia, pianta abbondante nella Francia meridionale, utilizzato come colorante);
– nel 1828 il tedesco P. Wöhler (l800-l882) realizza la prima sintesi organi ca, quella dell’urea (composto organico dal quale si possono ottenere resine sintetiche e che può essere usato come concime azotato);
– nel 1830 lo svedese J.J. Berzelius (1779-1848) introduce il concetto di isomeria;
– nel 1830 iniziano ricerche approfondite sul catrame che porteranno alla scoperta di molti composti organici che saranno alla base dei grandi progressi della chimica organica e dell’industria che li sfrutterà;
– nel 1834 il tedesco F.F. Runge (1794-1867) colora delle fibre tessili con l’anilina ossidata (nero d’anilina);
– nel 1835 J.J. Berzelius scopre le proprietà dei catalizzatori che diventeranno della massima importanza nell’industria chimica;
– nel 1846 lo svizzero C.P. Schönbein (1799-1868) scopre la nitrocellulosa (importante composto per la produzione di coloranti, di esplosivo, della seta artificiale);
– nel 1846 l’italiano A. Sobrero (l8l2-l888) scopre la nitroglicerina, (esplosivo estremamente pericoloso da maneggiare);
– nel 1848 il francese A. Payen (1795-1871 ) inventa un processo per la fabbricazione della cellulosa;
– nel 1856 il britannico W.H. Perkin (l838-1907) sintetizza il primo colorante artificiale, la malveina (violetto d’anilina);
– nel 1863 il belga E. Solvay (1838-1922) scopre un processo più redditizio per la fabbricazione della soda;
– nel 1865 il tedesco A. Kekulé (1829-1896) propone la formula di struttura esagonale del benzene, a partire dalla quale sarà possibile realizzare una enorme quantità di nuovi composti organici;
– nel 1869 i tedeschi K. Graebe (1841-1927) e K. Liebermann sintetizzano l’alizarina;
– nel 1883 il britannico J. Swann (1828-1914) brevetta delle fibre filate di nitrocellulosa;
– nel 1866 lo svedese A.B. Nobel (l833-l896) elabora la nitroglicerina ottenendo la dinamite;
– nel 1901 il francese H. le Chatelier brevetta m processo di fabbricazione dell’ammoniaca sintetica.
In parallelo a quanto abbiamo brevemente elencato anche la chimica teorica si sviluppava rapidamente in un processo di stretta interconnessione con le esigenze produttive. Si potrà notare che la Germania è alla testa della ricerca. Il settore dei coloranti sintetici diventa ben presto trainante e la Germania sa sfruttare ciò che, ad esempio, la Gran Bretagna non utilizza (il brevetto Perkin) e ciò che, ad esempio, la Francia esita ad accettare (la formula di struttura esagonale del benzene di Kekulé). La grande industria chimica tedesca avvia inoltre giganteschi programmi di ricerca in propri laboratori ed in stretto legame con le università (si pensi che la Basf nel 1880 investe la gigantesca cifra di un milione di sterline per la sintesi dell’indaco, programma che solo dopo 17 anni sarà coronato da successo, con una imponente ricaduta tecnologica). Per dare un’idea dell’enorme mole di lavoro svolto dalle sei maggiori industrie chimiche tedesche si pensi che esse, negli anni che vanno dal 1886 al 1900, brevettarono ben 948 sostanze coloranti, mentre, al confronto e nello stesso periodo, le sei maggiori industrie chimiche inglesi ne brevettarono 66.
(447) Le principali tappe di sviluppo della meccanizzazione dell’industria tessile e dell’agricoltura si possono riassumere come segue.
Le grandi innovazioni nei telai portano i processi di filatura e tessitura via via a livelli di automazione sempre più spinta. Già agli inizi dell’Ottocento vari telai erano mossi a vapore. Piano piano vengono introdotti: il movimento differenziale alle macchine per filatura (Gran Bretagna, 1810); le pettinatrici di fibre lunghe (Francia, 1825); il filatoio automatico intermittente (Gran Bretagna, 1825); il filatoio ad anello (Stati Uniti, 1828); il filatoio continuo (Gran Bretagna, 1833); il telaio circolare per maglie (Gran Bretagna, 1849); la macchina per cucire mossa a pedale e dotata di pezzi intercambiabili che ha il grande pregio di lasciare le mani libere (Singer, Stati Uniti, 1851); il telaio rettilineo (Gran Bretagna, 1857); il telaio rettilineo multiplo che permette la produzione contemporanea di molti esemplari dello stesso indumento (Gran Bretagna, 1864); il telaio automatico (Stati Uniti, 1889); il telaio con sostituzione automatica delle spole vuote (Stati Uniti, 1892); la chiusura lampo (Stati Uniti, 1893); l’annodatrice automatica per tessitura (Stati Uniti, 1805).
Con queste innovazioni l’industria tessile aumenta in modo impressionante la produzione senza incrementare i posti di lavoro (se non indirettamente, nell’industria chimica dei coloranti). E per concludere con l’industria tessile c’è solo da aggiungere che l’invenzione della macchina per cucire dà il via all’industria delle confezioni: i prodotti vengono da ora commerciati completamente finiti.
Per quel che riguarda l’agricoltura c’erano da affrontare almeno tre grossi problemi: l’inurbamento massiccio, al seguito della grande industria, richiedeva enormi quantità di cibo ponendo inoltre il problema della sua conservazione; molta forza lavoro aveva abbandonato le campagne per cercare una sistemazione nella fabbrica; la popolazione era grandemente aumentata in valore assoluto negli ultimi anni. Anche qui pertanto bisognava produrre di più, con metodi diversi e sfruttando al massimo i prodotti tecnologici. Da una parte, intorno alla metà del secolo, l’industria chimica iniziò a fornire fertilizzanti e, dall’altra, furono successivamente introdotti i seguenti ritrovati tecnologici: la trebbiatrice (Gran Bretagna, 1802); la falciatrice meccanica (Gran Bretagna, 1814); la mietitrice (Gran Bretagna, 1826; Stati Uniti, 1834); la raccolta automatica del grano in covoni mediante un nastro rotante senza fine (Stati Uniti, 1849); la seminatrice automatica (l850); l’aratura meccanizzata a vapore (Gran Bretagna, 1850); la falciatrice automatica (1850); la legatrice automatica dei covoni (Stati Uniti, 1871); la diffusione del refrigeratore a compressione di ammoniaca (Linde, Germania) per la conservazione dei cibi (l873); la mietitrebbia combinata che miete il grano, lo trebbia, lo pulisce e lo insacca (Stati Uniti, 1886); la mietifalciatrice a vapore (Stati Uniti, 1889); la mietitrebbia combinata su trattore a cingoli, mossa da una macchina a vapore (Stati Uniti, 1904) e da un motore a benzina (Stati Uniti, 1906).
Per altri versi gli sviluppi della tecnologia idraulica dettero un notevole impulso all’elettricità:
– l’invenzione del britannico J.Francis (1815-1892) della turbina idraulica a reazione (1845);
– l’invenzione dello statunitense A. Pelton (1829-1916) della turbina idraulica ad azione (1884).
Le richieste di energia poi erano sempre maggiori e ad esse si faceva fronte da un lato con il carbone, che aveva quasi completamente sostituito la legna da ardere, e solo parzialmente (nel periodo di cui ci stiamo occupando) con il petrolio, dall’altro con l’energia idraulica e d&oall’altro ancora con il miglioramento delle macchine termodinamiche e dei loro rendimenti. A quest’ultimo fine furono via via realizzate:
– la caldaia tubolare (Stati Uniti, 1824; Francia, 1828);
– la macchina a vapore surriscaldato (Svezia, 1833);
– la caldaia a serpentini (Francia, 1850);
– la caldaia a tubi inclinati (Wilcox-Stati Uniti, 1856);
– la macchina a vapore a pezzi intercambiabili (Stati Uniti, 1876);
– la turbina a vapore a reazione che faceva 18.000 giri/minuto (Gran Bretagna, 1884);
– la turbina a vapore ad azione che faceva 30.000 giri/minuto (Francia, l890);
– la turbina a vapore ad azione e ad asse verticale (Stati Uniti, 1896).
Il particolare sviluppo che ebbero le turbine fu dovuto al fatto che esse avevano un rendimento, in termini di denaro, molto più elevato delle macchine a vapore alternative (per migliorare il rendimento di queste ultime fu introdotta la macchina a vapore a cilindro orizzontale per la sua migliore capacità di sfruttare il moto rotatorio). La termodinamica delle macchine a vapore fu sviluppata principalmente dal britannico W. Rankine (l820-1872) in un suo lavoro del 1859. Sempre più ogni settore della produzione si andava sistemando in un tutt’uno integrato con svariati altri settori e sempre più ogni industria cercava di raccogliere in sé tutte le attività produttive in modo da costruire un insieme unico integrato (trust).
(448) Prima di ooncludere questo paragrafo riporto altre innovazioni tecniche realizzate nel corso del secolo; quelle che hanno avuto una grande importanza dal punto di vista economico-politico-sociale, a partire dalle rivoluzionarie conquiste nel settore dei trasporti e delle vie di comunicazione (altri elementi indispensabili per lo sviluppo dei commerci).
– Nel 1807 R. Fulton (1765-1815) inizia un servizio regolare di battelli a vapore (Stati Uniti);
– nel 1814 G. Stephenson (1781-1848) inizia le prove della sua locomotiva a vapore (Gran Bretagna);
– nel 1827 ai compie la prima traversata dell’Atlantico a vapore (il primo servizio regolare inizia nel 1838);
– nel 1822 G. Stephenson con il figlio Robert costruisce la locomotiva Rocket (prima locomotiva moderna) iniziandone la produzione in serie;
– nel 1830 viene inaugurata la prima ferrovia britannica e da allora molti paesi europei inaugureranno la loro prima ferrovia;
– nel 1859 entra in esercizio la prima carrozza letto (Stati Uniti);
– nel 1868 entra in esercizio il primo vagone frigorifero (Stati Uniti);
– nel 1869 viene aperto il Canale di Suez (realizzazione francese su progetto italiano);
– nel 1871 è inaugurato il tunnel del Frejus;
– nel 1881 è inaugurato il tunnel del San Gottardo ;
– nel 1885 G. Daimler costruisce la prima motocicletta;
– nel 1886 C. Benz costruisce la prima automobile a tre ruote;
– nel 1888 il britannico J.B. Dunlop (1840-1921) brevetta il prime pneumatico di uso pratico;
– nel 1893 viene aperto il canale di Corinto;
– nel 1896 lo statunitense H. Ford (1863-1947) costruisce la sua prima auto;
– nel 1898 inizia il traforo del Sempione;
– nel 1900 il tedesco F. von Zeppelin (1838-1917) costruisce il primo dirigibile a struttura metallica;
– nel 1903 gli statunitensi fratelli Wrigat effettuano il primo volo a motore.
Altre tappe da ricordare, nei settori più diversi, sono:
– l’introduzione del cuscinetto a sfora (Francia, l802)f;
– l’invenzione delle lenti per fari, costruite con vetri di un solo pezzo incisi a fasce concentriche (Fresnel, Francia, 1822)( ;
– l’invenzione del maglio a vapore (Gran Bretagna, 1838);
– la scoperta del linoleum (Gran Bretagna, 1844);
– la prima rotativa di stampa (Gran Bretagna, 1848);
– la distillazione del cherosene (Canada, 1854);
– la serratura di sicurezza (Yale, Stati Uniti, 1855)5;
– il brevetto del filo spinato (Stati Uniti, 1874);
– la costruzione del fonografo (Stati Uniti, 1872);
– il brevetto della prima penna stilografica (Watermann, Stati Uniti, 1884);
– la prima macchina per fabbricare bottiglie (Gran Bretagna, 1887);
– il primo processo (piroscissione) di distillazione del petrolio (Gran Bretagna, 1889);
– i fratelli Lumiere realizzano il cinematografo elaborando una precedente realizzazione di Edison (Francia, 1895).
(449) Da Baracca, Russo e Ruffo, bibl. 54, pag. 7.
(450) Ibidem, pag. 93.
(451) II matematico britannico C. Babbage (l792-l87l) fu uno dei primi teorici della parcellizzazione del lavoro. Nel 1832, in un suo lavoro (On the economy of machinary and manifactures), dopo aver sostenuto che la suddivisione del lavoro riduce i tempi dell’apprendistato e fa risparmiare materia prima, affermava: “un altro vantaggio che deriva dalla suddivisione del lavoro è il risparmio di tempo poiché in ogni passaggio da una lavorazione ad un’altra un certo tempo va perduto. Quando la mano e la testa si sono abituate per un certo tempo ad una determinata specie di lavoro, se questo cambia, mano e testa non possono assumere subito la stessa destrezza che avevano raggiunto prima.” Il brano è tratto da Klemn, bibl. 22, pag. 291 (nel testo citato vi sono altri brani di grande interesse).
(452) Citato da Klemm, bibl. 22, pag. 309. Sulle macchine è importante leggere quanto dice Marx. Si veda la rivista Marxiana dell’ottobre 1976.
(453) Il Capitale (vol. 1°) è del 1867. Con quest’opera Marx dette all’econo all’economia un assetto scientifico.
(454) Nel 1864 fu fondata la Prima Internazionale socialista che si sciolse nel 1873, dopo il fallimento della Comune di Parigi (l87l). Nel 1889 fu fondata su basi diverse la Seconda Internazionale.
Al fianco di Marx lavorò F. Engels (1820-1895).
(455) Dall’orazione funebre di Marx, scritta e letta da Engels.
(455 bis) Klemm in bibl. 22, pag. 321.
(456) Baracca, Russo e Ruffo in bibl. 54, pag. 93.
(456 bis) La Germania si costituisce in stato solo dopo la sconfitta di Napoleone III (1871) ad opera dell’esercito di Bismarck che strappò alla Francia l’Alsazia e la Lorena e fondò l’impero tedesco con alla testa Guglielrno 1° (nel frattempo l’impero austro-ungarico giungeva via via al suo disfacimento).
Si noti che il grande statista Bismarck inaugurò una politica di alleanze che garantì all’Europa 50 anni di pace (50 ami nei quali tutti cercarono di costruirsi imperi coloniali.
(457) Soltanto nel 1880 l’istruzione primaria venne resa obbligatoria ma con scuole che davano ” un’istruzione inferiore alle classi inferiori”.
(458) Bibl. 23, pag. 277. Si veda tutto il paragrafo del testo da cui è tratto questo brano; dà ulteriori particolari sull’emergere della Germania con il contemporaneo declino della Gran Bretagna. L’autore del testo, Cardwell, è uno storico britannico ed il brano è perciò ancora più interessante.
(459) Bibl.24, pag. 54.
(460) Che era invece abbondante in Gran Bretagna e Germania. Tra l’altro la forza lavoro negli Stati Uniti costava di più di quanto non costasse nei paesi citati, proprio per la sua scarsità. Questo fu un ulteriore incentivo allo sviluppo, negli Stati Uniti, di macchine sostitutive del lavoro umano.
(461) Un altro elemento a favore del grande sviluppo tecnologico degli Stati Uniti fu una legislazione tra le più avanzate del mondo per i brevetti (essa risaliva al 1691 e fu poi perfezionata nel 1790).
(462) Bibl.23, pag.280. Comincia l’era delle multinazionali.
(463) Engels scrisse un volume che si occupava dei rapporti soienza-filosofia, Dialettica della natura, che fu pubblicato postumo soltanto nel secolo XX. Si veda bibl. 103.
(464) Allo scopo si vedano alcuni interventi ad un convegno che si tenne a Firenze nel 1970 riportati in bibl. 58.
(465) Si veda quanto già detto nei paragrafi 3 e 5 del capitolo 2°.
(466) II giroscopio era stato inventato da L. Foucault nel 1852.
(467) Bibl. 16, Vol. II, pagg. 494-495.
(468) Bibl. 17, Vol. V, pag. 69.
(469) Bibl. 24, pag. 126.
(470) E nel frattempo (1882) la Chiesa, con Papa Pio VII, dopo quasi 300 anni, sanziona ufficialmente l’accettabilità del sistema copernicano. A questo proposito viene da pensare alla cosiddetta riabilitazione di Galileo da parte di Papa Giovanni Paolo II (1980). E Giordano Bruno ? E gli altri ? E poi: hi ha bisogno di essere riabilitato ? (a questo proposito vi sono vari articoli sul sito).
(471) Fraunhofer osservò poi che per diversi spettri la doppia riga gialla si trovava sempre “esattamente nello stesso posto” risultando “conseguentemente utilissima” come sistema di riferimento.
(472) Draper usava una fiamma brillante per portare all’incandescenza i corpi e per questo sosteneva che gli spettri delle sostanze solide fossero continui (era la fiamma brillante che originava lo spettro continuo). Occorrerà la fiamma di Bunsen, molto calda e poco luminosa, per avere spettri discontinui.
(473) Kirchhoff, Sulle righe di Fraunhofer, Monats. Akad. Wissens.; ott. 1859, pag. 662. Riportato anche in bibl.89, pagg. 382-384.
(474) In una memoria di Kirchhoff e Bunsen del 1880 (Analisi chimica mediante osservazioni spettroscopiche, Poggendorf’s Annalen, vol. 110, pag. 161) si legge: “uno di noi ha mostrato, per mezzo di considerazioni teoriche, che lo spettro di un gas incandescente è invertito, cioè che le righe brillanti sono trasformate in righe nere quando una sorgente di luce, di intensità sufficiente, che dia uno spettro continuo, è posta dietro lo stesso. Da ciò possiamo concludere che lo spettro solare, con le sue righe nere, non è altro che l’inverso dello spettro che l’atmosfera del Sole stessa mostrerebbe. Quindi l’analisi chimica dell’atmosfera solare richiede solo l’esame di quelle sostanze le quali, quando siano poste in una fiamma, producono righe brillanti che coincidono con le righe nere dello spettro solare.” Citato in bibl. 54. pag. 78.
(476) Bibl. 100, pag. 838.
(477) Sull’ Effetto fotoelettrico si veda il mio articolo presente nel sito.
(478) Allo scopo si veda la seconda parte del testo di bibl. 57. Si veda anche la corrispondenza tra Einstein e Born riportata in bibl. 104.
(479) Bibl. 19, Vol. III, pag. 205.
(480) Il calcolo che Stoney fa per la carica dell’elettrone gli fornisce un valore 20 volte più piccolo di quello oggi accettato.
(481) Le scariche nei gas rarefatti erano iniziate molto tempo prima. I britannici Watson (l75l) e Morgan (1785) avevano scaricato bottiglie di Leida in modesti vuoti. Davy (1822) aveva osservato, con esperienze analoghe, una luminosità verdognola. Faraday (l838), lavorando con vuoti più spinti, vede scariche più colorate e, in particolare, osserva uno spazio scuro che circonda il catodo. A pressione ancora più bassa il francese J.J.B. Abria (l811-l892) nel 1843 osserva la scarica dividersi in strati alternativamente chiari e scuri, Geissler (1857) costruisce una pompa per vuoti più spinti (a vapori di mercurio) e realizza un tubo di vetro chiuso, dentro cui sono fissati i due elettrodi. Plücker (1858), utilizzando tubi di Geissler, osservò la fluorescenza del vetro nella parte antistante al catodo e scoprì che un magnete è in grado di spostarla. Hittorf (1869) pone nel tubo di Geissler un oggetto tra anodo e catodo e dimostra, dall’ombra che la luce emessa dal catodo provoca nella zona antistante, che questa luce si propaga rettilineamente; egli scopre anche che i raggi emessi dal catodo sono calorifici e che, sottoposti ad un campo magnetico perpendicolare, essi acquistano una traiettoria elicoidale. Il britannico Karley (l87l) ipotizza, dalla deviazione che i raggi subiscono sotto l’azione di un campo magnetico, che essi sono costituiti da particelle cariche negativamente.
(482) Bibl. 19, Vol. IlI, pag. 231.
(483) Il valore da lui trovato per q/a era 550 volte più grande del rapporto Q/M calcolato per lo ione idrogeno nei fenomeni elettrolitici, cioè q/m = 550 Q/M. Da quello che sappiamo oggi, anziché 550 occorre trovare circa 1840; infatti, poiché la carica dell’elettrone è uguale a quella del protone e poiché m è la massa dell’elettrone ed M è quella del nucleo d’idrogeno, cioè del protone, si ha: 1/m = 1840 .1/M => M = 1840 m, si trova cioè quel che sappiamo e che cioè la massa del protone è circa 1840 volte quella dell’elettrone.
(484) Se non si dispone di due misure indipendenti è impossibile misurare separatamente la carica e la massa dell’elettrone; quello che si può ottenere è solo il valore del rapporto della carica sulla massa e/m. Indicando, una volta per tutte, con e la carica dell’elettrone e con m la sua massa, il valore per e/m trovato da Wiechert (confronta con la nota 483) doveva essere tra le 2 000 e le 4 000 volte il rapporto Q/M per lo ione idrogeno trovato nei fenomeni elettrolitici.
(485) Quando uno ione attraversa un vapore soprasaturo, agisce da nucleo di condensazione per il vapore ed intorno ad esso si forma una minuscola gocciolina. Con questo strumento è quindi possibile seguire il cammino di una particella carica in un dato recipiente riempito di vapore soprasaturo (camera a nebbia).
________________________________________
[Inizia qui la numerazione delle note relativa ai lavori di Hertz]
(1) Un’altra delle conseguenze sperimentali delle equazioni di Maxwell riguardava la cosiddetta ‘pressione di radiazione’, Poiché alla luce, come onda elettromagnetica, veniva assegnata una quantità di moto, doveva discendere come conseguenza una pressione che la radiazione esercitava sulla materia. Per approfondire questo aspetto si può vedere R. Renzetti, La pressione della luce, La Fisica nella Scuola, 3, 1991.
(2) Intorno al 1875 la situazione nell’ambito dell’ottica, ed in particolare quella dei corpi in movimento, era la seguente: – la teoria ondulatoria della luce aveva avuto il suo riconoscimento ufficiale. Le misure di velocità della luce di Fizeau avevano corroborato la spiegazione che la stessa teoria ondulatoria dava della rifrazione ammettendo che la luce avesse minore velocità nei mezzi meno densi (contrariamente a quanto ammetteva la teoria corpuscolare). La teoria ondulatoria elaborata da Fresnel – 1818 – con l’ammissione di propagazione della luce per onde trasversali aveva spiegato – almeno al primo ordine di v/c – tutti i fenomeni ottici fino ad allora noti tra cui l’esperienza di Arago – 1810 – che dimostrava la non influenza del moto orbitale della Terra sulla rifrazione della luce proveniente dalle stelle – fatto che risultava in contrasto con la teoria corpuscolare della luce medesima. Per conseguire tale risultato Fresnel aveva dovuto ammettere un trascinamento parziale dell’etere da parte dei corpi in moto all’interno del medesimo. Questo trascinamento doveva dipendere dall’indice di rifrazione n della sostanza attraverso la quale si propaga la luce con una velocità data dalla formula: w = c/n ± v(1 – 1/n2), dove la quantità 1 – 1/n² è il coefficiente di trascinamento dell’etere e v è la velocità di spostamento del mezzo rispetto all’etere immobile (una tale relazione fu verificata sperimentalmente da Fizeau al primo ordine di v/c);
– l’etere, indifferente nella fisica di Newton (questi sembra propendere per una sua esistenza nel sistema solare ma certamente non lo pensa esteso all’infinito), acquista negli anni sempre maggiore importanza sembrando indispensabile sostegno alle ‘vibrazioni della luce’ che ora entravano anche per via elettromagnetica.
– la teoria dell’etere immobile (che qualcuno voleva identificare con lo spazio assoluto di Newton e lo voleva come riferimento assoluto) spiegava bene il fenomeno dell’aberrazione (nel corso di un anno le stelle, osservate dalla Terra, descrivono delle piccole ellissi nella volta celeste; il fenomeno fu scoperto da Bradley nel 1728) ma non riusciva a spiegare una serie di fenomeni diversi tra cui l’esperienza di Arago e quella di Airy (misura della velocità della luce mediante un cannocchiale riempito d’acqua);
–la teoria del trascinamento totale dell’etere (Stokes, 1845) incontrava delle difficoltà nella spiegazione dell’aberrazione e risultava in disaccordo con le misure di Fizeau (misura della velocità della luce in un mezzo trasparente in moto);
-la fusione dell’etere ottico con l’etere elettromagnetico rese sempre più urgente la sua ricerca sperimentale insieme a quella delle sue presunte proprietà e dei suoi rapporti con la materia in moto;
–l’Accademia delle Scienze di Parigi invitava i ricercatori a lavorare in questo senso;
-si andava diffondendo la coscienza che il problema era ormai quello di ricercare effetti del secondo ordine in v/c (e qui ritorniamo alla lettera che Maxwell indirizzò a Todd e che fu pubblicata postuma su Nature nel 1880: in essa Maxwell affermava “ … nei metodi terrestri per la determinazione della velocità della luce, la luce stessa torna indietro sempre lungo la stessa traiettoria, così che la velocità della Terra rispetto all’etere dovrebbe alterare il tempo necessario per il doppio passaggio di una quantità che dipende dal quadrato del rapporto tra la velocità della Terra e quella della luce [effetto del secondo ordine]: il quale è un valore troppo piccolo per poter essere osservato …”);
–di lì a poco lo statunitense Michelson avrebbe realizzato l’esperienza auspicata da Maxwell.
(3) Allo scopo e per le implicazioni connesse si veda anche bibl. 3, pag.231. Si noti che anche la polarizzazione statica dei dielettrici, così come era stata osservata da Faraday, andava a sostegno della teoria di Maxwell.
(4) Lo stesso Helmholtz sosterrà: “Le due teorie [la sua e quella di Maxwell] sono in un certo senso l’una il contrario dell’altra …” (bibl.4, pag. 13, nota 2).
(5) I brani riportati dell’articolo di Helmholtz in oggetto, Uber die Bewegungsgleichungen der Elektricitact fur ruhende leitende Korper sono citati in bibl. 2 , pag. 250.
(6) Si veda l’Introduzione dello stesso Hertz alla sua opera Electric Waves, bibl. 1, pag. 1.
(7) Anche il Maxwell che in seguito fu letto da Hertz, per stessa ammissione di quest’ultimo, gli risultava abbastanza oscuro: “Non sono mai stato sicuro di aver compreso il significato delle sue affermazioni “ (ibidem, pag. 20). Si noti a parte la grande potenzialità che ha l’indeterminatezza logica di una teoria (in questo caso quella di Maxwell).
(8) Bibl. 3, pag. 232.
(9) Bibl. 1, pag. 1.
(10) Uber die Beziehungen Zwischen den Maxwellsuchen electrodynamischen Grundgleichungen und den Grundgleichungen der gegner Elektrodynamik, Wiedemann’s Annalen, 23, 1884,pagg.84-103.
(11) Occorreva disporre di un campo elettrico che variasse con grande frequenza. In questo modo, a maggiore frequenza di variazione del campo elettrico, corrisponde una maggiore frequenza di variazione del campo magnetico concatenato e pertanto una maggiore induzione. Se poi l’intensità del campo elettrico è grande si ottiene un’induzione ancora maggiore e, in definitiva, una maggiore variazione della polarizzazione.
(12) Questo fatto era già stato segnalato da F. Savary nel 1827, da J. Henry nel 1842 e da Helmholtz nella sua famosa memoria del 1847, Uber die Erhaltung der Kraft (Sulla conservazione della forza). Tra il 1853 ed il 1856, Kelvin risolse teoricamente il problema trovando le condizioni di oscillazione, la frequenza e lo smorzamento in funzione della capacità C della bottiglia di Leida, della resistenza R e del coefficiente di autoinduzione L del circuito [la resistenza R minore della radice del rapporto dell’induttanza L e la capacità C]. Tra l’altro Kelvin dimostrò analiticamente che la frequenza delle oscillazioni di una bottiglia di Leida (la radice del rapporto di L su C) è grandissima (dell’ordine di grandezza dei raggi infrarossi da poco scoperti) anche se più piccola di quella della luce [la frequenza è proporzionale, con costante di proporzionalità che vale ½ p per la radice del prodotto dell’induttanza L per la capacità C].
(13) Le oscillazioni prodotte da una bottiglia di Leida, nel caso migliore, hanno una lunghezza d’onda dell’ordine del chilometro. Era pertanto impossibile che la scarica, con l’energia che può fornire una tale bottiglia, fosse rilevabile alla distanza di 1 chilometro. Inoltre era impossibile misurare la lunghezza di una tale onda all’interno di un piccolo laboratorio.
(14) In una conferenza in cui trattò di Collegamenti tra luce ed elettricità. Bibl. 6, pag.81.
(15) Uber sehr schnelle elektrischen Schwingungen, Wiedemann’s Annalen, 31, 1887, pag. 421. I lavori di Hertz sono raccolti in tre volumi: 1) Gesammelte Werke , Lipsia, 1914; 2) Electric Waves, New York, 1962; 3) The principles of Mechanics, New York, 1956. La memoria del 1884, già citata, è nel volume 1; quella in oggetto (1887) è nel volume 2. La traduzione qui riportata è tratta da bibl. 11, Vol. III, pag. 224.
(16) Dalla conferenza citata in nota 14. Si noti che Hertz si serviva anche di un oculare per osservare le scintille nello spinterometro M.
(17) Si noti che, in accordo con la teoria di Maxwell, la presenza di scintille in M in un caso e l’assenza nell’altro può essere interpretato come conseguenza del fatto che le perturbazioni elettromagnetiche sono dotate di grande regolarità e si propagano con velocità finita.
(18) Nel portare avanti queste sue ricerche Hertz si imbatté nell’effetto fotoelettrico originato dalla presenza di luce ultravioletta nelle scintille del primario. Egli descrisse il fenomeno, che tra l’altro si presentò come una complicazione sperimentale, nella memoria On an Effect of Ultraviolet Light Upon the Electric Discharge, Wiedemann’s Annalen, 31, 1887,pag. 983. Per approfondire questo aspetto vedi: R. Renzetti, Venti anni di effetto fotoelettrico, La Fisica nella Scuola, 3, 1992.
(19) Bibl. 1, pagg. 4-5.
(20) On Electromagnetic Effects Produced by Electrical Disturbances in Insulators, Sitzungsber. d. Berl. Akad. d. Wiss.(10 novembre 1887). Riportata in bibl. 1, pagg. 95-106.
(21) Bibl. 1, pagg. 7 e sgg.
(22) Ibidem. La traduzione di questo brano è tratta da D’Agostino, bibl. 4, pag. 5. Nel seguito mi servirò ancora della traccia suggerita da questa referenza.
(23) Una stimolante discussione sul diverso significato che Hertz ed Helmholtz annettevano alla ‘terza ipotesi’ si trova in bibl. 4, pagg. 5-13 ed in bibl. 5, pagg. 311-321.
(24) Bibl. 1, pag. 6. Si deve notare che fino ad allora Hertz aveva interpretato le scintille che si producevano nel rivelatore come un normale effetto d’induzione alla Faraday. Ma l’induzione agisce a breve distanza! Hertz si rese quindi conto di trovarsi dinanzi ad un fenomeno diverso.
(25) Ibidem, pag. 7.
(26) On the Finite Velocity of Propagation of Electromagnetic Action, Wiedemann’s Annalen, 34, 1888, pag. 551. Riportato in bibl. 1, pagg. 107-123.
(27) Secondo la strumentazione di Hertz il cambiamento di segno si sarebbe dovuto avere ogni 2,8 metri. Si ricordi che già era noto che le onde in un cavo viaggiano con velocità finita.
(28) La tecnica di rivelazione è alquanto complicata e mostra l’alto grado di sofisticazione di questa esperienza. Una descrizione di una tale tecnica si può trovare in bibl. 2, pagg. 272-285.
(29) Serviva il periodo di oscillazione del primario perché Hertz calcolava la velocità dell’onda nel cavo mediante la distanza tra i ventri ed i nodi dell’onda stazionaria (lunghezza d’onda) divisa per il periodo di oscillazione del primario. Si noti che, sempre nel 1890, E. Lecher fece delle misure che fornivano un valore approssimato al 2% di quello della velocità della luce. Nel 1893, a Ginevra, E. Saracin e L. de La Rive mostrarono definitivamente che la velocità delle onde elettromagnetiche nei cavi e nell’aria è la stessa.
(30) Obiezioni sulla liceità dell’intera esperienza furono mosse da L. de La Rive e da Poincaré: gli effetti misurati potevano essere di origine strumentale. Certamente un difetto dell’esperienza stava nel disporre di un primario che forniva oscillazioni fortemente smorzate (a causa, ad esempio, dell’irraggiamento) e quindi non armoniche.
(31) Bibl. 1, pag. 11. Si noti che le riflessioni delle onde, da tempo già osservate da Hertz, erano state da lui trascurate quando si muoveva nel contesto della teoria di Helmholtz.
(32) On Electromagnetic Waves in Air and Their Reflection, Wiedemann’s Annalen, 34, 1888, pag. 610. Riportato in bibl. 1, pagg. 124-136. On Electric Radiation, Wiedemann’s Annalen, 36, 1889, pag. 769. Riportato in bibl. 1, pagg. 172-185.
(33) Occorre notare che tra il 1893 ed il 1896 le esperienze di Hertz furono perfezionate da A. Righi il quale si servì di un oscillatore in grado di produrre onde a frequenza più elevata e quindi più vicina a quella della luce. I risultati dei lavori di Righi furono pubblicati in un’opera il cui titolo è un vero compendio del suo contenuto, L’ottica delle oscillazioni elettriche, 1897.
(34) The Forces of Electric Oscillations, Treated According to Maxwell’s Theory, Wiedemann’s Annalen, 36, 1889, pag. 1. On the Fundamental Equations of Electrodynamics for Bodies at Rest, Wiedemann’s Annalen, 40, 1890, pag. 577. On the Fundamental Equations of Electrodynamics for Moving Bodies, 41, 1890, pag. 369. Tutte queste memorie sono riportate in bibl. 1 rispettivamente alle pagg. 137-159; 195-240; 241-268. Si noti che le elaborazioni teoriche sull’irraggiamento del dipolo rettilineo di Hertz, presenti nella prima di queste tre memorie, serviranno di base per i conti che molti teorici elaboreranno nel futuro. In particolare Planck partì da qui per i suoi studi sull’irraggiamento del corpo nero. Si noti ancora che la provata identità di luce ed onde elettromagnetiche con il fatto che queste ultime si possono produrre con correnti oscillanti, apre a due nuovi problemi:come si produce la luce dagli atomi costituenti i corpi e come fa la luce a trasmettersi attraverso i corpi trasparenti. (35) Si noti che a risultati dello stesso tipo era arrivato G.F. Fitzgerald nel 1883.
(36) Bibl. 1, pag . 195.
(37) Valga questo periodo a conferma di quanto dicevo più su: in realtà questa non era la posizione di Maxwell ma di Helmholtz. Si veda anche quanto sostiene Rosenfeld (bibl.8, pag. 1665) e D’Agostino (bibl.4, pag. 9).
(38) Si noti che assegnare questa posizione a Maxwell significa ammettere che la teoria di Maxwell risulta un caso limite di quella di Helmholtz.
(39) I due esempi che Hertz porta a giustificazione di questa frase sono in bibl. 9, pag. 189. Si osservi comunque che il punto chiave da cui Hertz parte è la polarizzazione del dielettrico.
(40) Agli stessi risultati, come già accennato, era giunto O. Heaviside nel 1885. Si noti che Hertz dimostra anche l’accordo di queste equazioni con la conservazione dell’energia.
(41) Soprattutto per le conseguenze metodologiche che aprirono la strada ai lavori di Einstein.
(42) Bibl. 9, pag. 201. E’ da notare che vengono accantonati tutti i problemi riguardanti la costituzione dell’etere. Quest’ultimo rimane come la sostanza materiale che sostiene il campo; le proprietà fisiche dell’etere permettono di spiegare i fenomeni ottici ed elettromagnetici e potranno dare una spiegazione anche del comportamento della materia ordinaria in fenomeni come l’inerzia e la gravità.
(43) Bibl. 1, pag. 28. La traduzione è tratta da bibl. 7, pagg. 212-213. (44) Ibidem, pag. 25. Ad esempio i campi elettrici nel vuoto sono considerati come polarizzazioni dell’etere e, conseguentemente, la carica elettrica del vuoto è data dallo stato di polarizzazione dell’etere. Ed ancora con la polarizzazione dell’etere si identifica la corrente di spostamento di Maxwell.
(45) Bibl. 4, pag. 10.
(46) Si notino i primi passi in direzione dei lavori di Einstein.
(47) Ciò corrisponde a quanto dicevo qualche riga più su: non c’è distinzione, in Hertz, tra materia e forza.
(48) Si veda nota 2. La possibilità che sembrava più promettente non era né l’una né l’altra delle due che Hertz discute; si trattava invece del trascinamento parziale di Fresnel-Fizeau.
(49) Bibl. 1, pag. 242. Si osservi che la teoria di Hertz dava risultati soddisfacenti nel caso di conduttori in moto; là dove cadeva in difetto era nel caso di dielettrici in moto.
(50) Bibl. 1, pag. 246. La traduzione di questo brano è tratta da bibl. 10, pagg. 89-90. Si noti che il metodo di deduzione di Hertz delle equazioni di Maxwell per i corpi in moto, si serviva del concetto di ‘derivata convettiva’ (ibidem) da lui introdotto per rendere conto degli effetti di variazione del campo magnetico su un conduttore in moto e dovuti allo spazio circostante il conduttore stesso.
(51) Bibl. 10, pagg. 90-91. Occorre sottolineare di nuovo, in relazione al punto f, che la teoria di Hertz può essere applicata solo nell’ipotesi di esistenza di etere e di suo trascinamento totale. Di conseguenza essa non può essere applicata allo spazio vuoto ed indipendentemente da ipotesi sullo stato di quiete o di moto dell’etere medesimo.
(541) Nel 1881 J.J. Thomson fece il tentativo di dedurre il coefficiente di trascinamento di Fresnel dalla teoria elettromagnetica estendendo le equazioni di Maxwell al caso di un dielettrico in movimento, ottenendo un risultato che, secondo Thomson, era in accordo con l’esperienza di Fizeau. Nel 1882 G.F. Fitzgerald si occupò per primo degli effetti che il moto della Terra dovevano produrre sui fenomeni elettromagnetici, trovando che questi effetti si devono cancellare l’un l’altro simultaneamente (bibl.124, pagg. 23-24).
————————————————————–
[Si ritorna da qui alla numerazione ordinaria delle note]
(542) Bibl. 123, pagg. 132-133. Gli stessi concetti sono espressi da Maxwell nella voce Etere che egli scrisse per l’Enciclopedia Britannica.
(543) G.H. Quincke (1834-1924) aveva lavorato con metodi interferenziali sia in ottica che in acustica (tubo di Quincke). R.W. Bunsen (l8ll-l899) aveva lavorato, come già accennato, in spettroscopia con Kirchhoff, in fotometria ed in vari altri campi. A. Cornu (1841-1902) aveva lavorato in spettroscopia e a misure di c (migliorando il metodo di Fizeau). G. Lippmann (1845-1921) stava lavorando in tecniche avanzatissime di fotografia ed una sua realizzazione del 1893 gli valse il premio Nobel del 1908.
(544) Per questa ed altre interessanti notizie sulla storia delle esperienze di Michelson (e Morley) si vedano bibll.120 e 121. Questa prima esperienza di Michelson era stata finanziata da A.G. Bell (colui che nel 1876 aveva brevettato il telefono) ed iniziata a Berlino e quindi realizzata a Potsdam.
(545) A.A. Michelson, The Relative Motion of the Earth and the Luminiferous Ether, in American Journal of Science, S. 3, 22, l88l; pagg. 120-129. La traduzione qui riportata è tratta da bibl. 123, pagg. 134-139.
(546) Nella memoria di Michelson del 1881, il calcolo di questo tempo era errato, poiché Michelson non aveva tenuto conto del fatto che il vento d’etere si faceva sentire anche in questo caso. Egli dava quindi per t2 il valore 2d/c. L’errore, come lo stesso Michelson afferma nella sua memoria con Morley del 1887, gli fu fatto notare dal fisico francese M. A. Potier nell’inverno del 1881. Esso fu subito corretto ed i risultati furono pubblicati su Comptes Rendus, 94, 520; 1882. Ma le cose ancora non andavano bene e fu Lorentz nel 1886 a far notare che con i conti fatti da Michelson l’effetto da attendersi era sopravvalutato di un fattore 2.
(547) Con questa rotazione di 90° dello strumento viene eliminato anche un altro effetto: il fatto che non siamo ben sicuri della direzione del vento d’etere anche se possiamo sospettare che sia tangente alla traiettoria della Terra intorno al Sole.
(548) Si noti che in assenza di vento d’etere e nell’ipotesi di bracci perfettamente uguali, in O non si dovrebbe avere nessuna frangia d’interferenza, ma solo una interferenza costruttiva che darebbe il massimo di illuminazione. Ancora in assenza di vento d’etere l’inevitabile disuguaglianza della lunghezza dei due bracci provoca inrterferenza. Qualora ci fosse il vento d’etere queste frange d’interferenza dovrebbero spostarsi quando l’apparato viene ruotato di 90°. Questo era il risultato che si aspettava.
(549) Bibl. 123, pag. 139. Si tenga conto che le difficoltà nell’interpretazione dell’esperimento di Michelson sono di gran lunga maggiori di quanto qui si è discusso. Allo scopo si può consultare il saggio di Holton, Einstein, Michelson y el experimento crucial, riportato in bibl. 127. In particolare si veda la pag. 209.
(550) Per questa ed. altre notizie qui riportate rimando a bibl. 120.
(551) La richiesta di ciò era venuta da Rayleigh e Kelvin direttamente a Michelson mentre i due fisici britannici si trovavano negli Stati Uniti per un giro di conferenze (1884).
(552) A.A. Michelson, E.W. Morley, Influence of Motion of the Medium on the Velocity of Light, Amer. Journ. Sci., 31; 1886; pagg. 377-386.
(553) H.A. Lorentz, De l’influence du mouvement de la terre sur les phénomènes lumineux, Arch. néerl., 21; 1887; pagg. 103-176 (già pubblicata in tedesco nel 1886).
(554) Ibidem, pag. 103.
(555) Si riveda la nota 313. Si noti che verso la fine del secolo la teoria di Stokes fu ripresa e perfezionata da Planck con l’ammissione di un etere compressibile, irrotazionale e con un piccolo scorrimento rispetto ai corpi gravitanti massicci, intorno ai quali è altamente condensato. Per una riproposizione, oggi, della teoria di Stokes-Planck si può vedere: AA.VV. , Esperimenti di ottica classica ed etere, Scientia, Vol. III, fasc. 3°, 1976
(556) Per quanto qui dirò, mi sono servito di bibl. 124 e 128.
(557) H.A. Lorentz, De l’influence …, citata, pag. 162.
(558) Si veda bibl. 120, pag. 29.
(559) Ibidem.
(560) Tra l’altro la lastra di vetro P di figura 30 era ora sostituita da una lastra con la faccia posteriore leggermente argentata (cosa imparata da Michelson ad Heidelberg) in modo da ottenere uno specchio semitrasparente che forniva una figura d’interferenza molto più chiara. Per questo strumento e per le misure che esso permetteva, Michelson ebbe il premio Nobel nel 1907.
(561) A.A. Michelson, E.H. Morley, On the Relative Motion of the Earth and the Luminiferous Ether, Amer. Journ.Sci., S.3, 34; 1887; pagg. 331-345. Ed anche su Phil. Mag., S. 5, 24; 1887; pagg. 449-463.
(562) Phil. Mag. pag. 451 e pagg. 458-459. La traduzione qui riportata è tratta da bibl. 123, pag. 140 e pagg. 144-145.
(563) Si osservi che la conclusione dei due ricercatori statunitensi, per essere completamente corretta, doveva prevedere almeno un’altra misura in un periodo diverso dell’anno (meglio a 6 mesi di distanza). Supponendo infatti che, nel dato periodo dell’anno in cui l’esperienza fu fatta, l’etere e la Terra fossero l’uno relativamente all’altra immobili perché, ad esempio, l’etere riempiente tutto lo spazio si muoveva con la stessa velocità orbitale della l’erra con il verso della tangente alla traiettoria in quel momento, ebbene una misura a sei mesi di distanza, con la Terra dotata di velocità in verso opposto, avrebbe evidenziato un effetto doppio. Ebbene, anche se questa esperienza era preventivata, non fu mai eseguita da Michelson-Morley, contrariamente a quanto si legge su molti libri.
(564) L’esperienza di Michelson-Morley, sempre con gli stessi risultati, fu ripetuta dallo stesso Michelson ad una differente altezza dal livello del mare (Michelson continuava con i dubbi che aveva espresso a Rayleigh)^ nel 1897, quindi da Morley e Miller tra il 1902 ed il 1904 e poi da svariati altri ricercatori, almeno fino al 1958 con tecniche sempre più sofisticate. Si noti che furono anche ideate diverse varianti dell’esperienza: quella di Trouton e Noble (1903), di Trouton e Rankine (l908), e così via; anche qui il risultato fu sempre negativo.
BIBLIOGRAFIA RELATIVA AI LAVORI DI HERTZ
1) H. HERTZ, Electric Waves, Dover, New York (1962).
2) W. BERKSON, Fields of Force, Ediz. in spagnolo Alianza, Madrid (1981).
3) S. D’AGOSTINO, Heinrich Hertz e la verifica della teoria elettromagnetica di Maxwell, Giornale di Fisica, 3, 1974.
4) S. D’AGOSTINO, Hertz e Helmholtz sulle onde elettromagnetiche, Scientia, 106, 1971.
5) S. D’AGOSTINO, Hertz’s Researches on Electromagnetic Waves, Historical Studies in the Physical Sciences, R. Mc Cormmack Ed., 1975.
6) S. D’AGOSTINO, L’elettromagnetismo classico, Sansoni, Firenze (1975).
7) C. DE MARZO, Maxwell e la fisica classica, Laterza, Bari (1978).
8) L. ROSENFELD, The Velocity of Light and the Evolution of Electrodynamics, Supplemento al Nuovo Cimento, Serie X, Vol. IV, 1956.
9) T. HIROSIGE, Origins of Lorentz Theory of Electrons and the Concept of the Electromagnetic Field, Historical Studies in the Physical Sciences, R. Mc Cormmack Ed., 1969.
10) S. PETRUCCIOLI, C. TARSITANI, L’approfondimento della conoscenza fisica dall’affermazione delle concezioni maxwelliane alla relatività speciale (1890-1905), Quaderni di storia e critica della scienza, 4, Domus Galileiana, 1974.11) AA. VV., Storia generale delle scienze, Casini, 1974
Categorie:Albert Einstein
Rispondi